Impact on Inferred Neutron Star Equation of State due to Nonlinear Hydrodynamics, Background Spin, and Relativity

Author(s)

Bretz, Joseph, Yu, Hang

Abstract

Tidal interaction is a unique, detectable signature in gravitational wave signals from inspiraling binary neutron stars (BNSs), which can be used to constrain the neutron star (NS) equation of state (EoS). The tidal interaction is resonantly amplified as the orbital frequency approaches the NS fundamental mode (f-mode) frequency. It has been shown that the exclusion of tidal resonance in parameter estimation leads to a significant bias in the inferred NS tidal deformability and hence the NS EoS [Pratten et al. PRL 129, 081102 (2022)]. The strength and location of tidal resonance depend sensitively on the f-mode frequency, which is typically modeled using its universal relation with the tidal deformability that is derived for an isolated, non-spinning NS assuming only linear fluid perturbations. In a BNS inspiral, the f-mode frequency can be corrected by at least three known effects: nonlinear hydrodynamics, background spin, and relativity. We use Hamiltonian Monte Carlo simulations to estimate the systematic bias on tidal deformability when each frequency correction is ignored. Our study considers both loud, individual events and the stacking of a population of detections. Both scenarios are expected when the next-generation detectors are available with a sensitivity level increased by about an order of magnitude.

Figures

The impact of TRCs on the frequency-domain GW waveform phase. The difference between $\Psi_x$ -- the waveform phase with the TRC denoted in the legend -- and $\Psi_\mathrm{b}$ -- the baseline waveform phase with FF corrections but no TRC -- is plotted in radians against GW frequency in Hz up to approximate merger. The nonlinear hydrodynamics TRC (blue dashed) reduces the f-mode frequency more strongly at higher orbital frequency, resulting in a reduction in waveform phase that sharply grows at high $f_\mathrm{gw}$. The anti-aligned background spin TRC in the primary NS (red dotted) reduces the f-mode frequency by a fixed amount, resulting in a more gradual reduction in waveform phase. The aligned background spin TRC (olive dotted) does the opposite, increasing the waveform phase. The GR TRC (gray dot-dashed) increases the f-mode frequency, resulting in less resonance and a longer inspiral relative to the baseline.
Caption The impact of TRCs on the frequency-domain GW waveform phase. The difference between $\Psi_x$ -- the waveform phase with the TRC denoted in the legend -- and $\Psi_\mathrm{b}$ -- the baseline waveform phase with FF corrections but no TRC -- is plotted in radians against GW frequency in Hz up to approximate merger. The nonlinear hydrodynamics TRC (blue dashed) reduces the f-mode frequency more strongly at higher orbital frequency, resulting in a reduction in waveform phase that sharply grows at high $f_\mathrm{gw}$. The anti-aligned background spin TRC in the primary NS (red dotted) reduces the f-mode frequency by a fixed amount, resulting in a more gradual reduction in waveform phase. The aligned background spin TRC (olive dotted) does the opposite, increasing the waveform phase. The GR TRC (gray dot-dashed) increases the f-mode frequency, resulting in less resonance and a longer inspiral relative to the baseline.
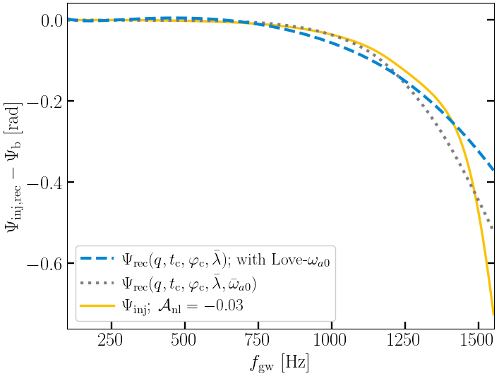
Comparison of the recovered posteriors for an injected waveform with the nonlinear TRC, $\mathcal{A}_\mathrm{nl}=-0.03$ and a SNR of 500. The blue posterior is recovered from the baseline model that has the free parameters listed in the legend, which does not include the nonlinear TRC, \textit{i.e.}, with $\mathcal{A}_\mathrm{nl}=0$. The purple posterior is recovered from a model that includes the nonlinear TRC with a uniform prior on $\mathcal{A}_{\rm nl} \in [-0.06, 0.06]$. The red posterior is recovered from a model that includes the nonlinear TRC whose prior is only negative. All three recovery models impose the Love-$\omega_{a0}$ relation. The vertical gold line denotes the injected value, $\bar{\lambda}=400$. The 5, 50, and 95 percentiles are denoted by vertical lines within each posterior.
Caption Comparison of the recovered posteriors for an injected waveform with the nonlinear TRC, $\mathcal{A}_\mathrm{nl}=-0.03$ and a SNR of 500. The blue posterior is recovered from the baseline model that has the free parameters listed in the legend, which does not include the nonlinear TRC, \textit{i.e.}, with $\mathcal{A}_\mathrm{nl}=0$. The purple posterior is recovered from a model that includes the nonlinear TRC with a uniform prior on $\mathcal{A}_{\rm nl} \in [-0.06, 0.06]$. The red posterior is recovered from a model that includes the nonlinear TRC whose prior is only negative. All three recovery models impose the Love-$\omega_{a0}$ relation. The vertical gold line denotes the injected value, $\bar{\lambda}=400$. The 5, 50, and 95 percentiles are denoted by vertical lines within each posterior.
Corner plot of the recovered posterior for an injected waveform with the nonlinear TRC, $\mathcal{A}_\mathrm{nl}=-0.03$ and SNR of 500. The gray posterior is recovered with the baseline model which has the free parameters listed in the legend and does not include the nonlinear TRC, $\mathcal{A}_\mathrm{nl}=0$. Unlike Figure \ref{fig:hist-Anl}, the Love-$\omega_{a0}$ relation is not used, allowing the f-mode frequency, $\bar{\omega}_{a0}$, to vary. The gold lines are the injected values, $\bar{\lambda}=400$ and $\bar{\omega}_{a0}=0.0786$. The dashed lines denote the 5, 50, and 95 percentiles. The contours in the 2D plot enclose 50\%, 75\%, and 90\% of the samples.
Caption Corner plot of the recovered posterior for an injected waveform with the nonlinear TRC, $\mathcal{A}_\mathrm{nl}=-0.03$ and SNR of 500. The gray posterior is recovered with the baseline model which has the free parameters listed in the legend and does not include the nonlinear TRC, $\mathcal{A}_\mathrm{nl}=0$. Unlike Figure \ref{fig:hist-Anl}, the Love-$\omega_{a0}$ relation is not used, allowing the f-mode frequency, $\bar{\omega}_{a0}$, to vary. The gold lines are the injected values, $\bar{\lambda}=400$ and $\bar{\omega}_{a0}=0.0786$. The dashed lines denote the 5, 50, and 95 percentiles. The contours in the 2D plot enclose 50\%, 75\%, and 90\% of the samples.
The difference between the waveform phase of the baseline model ($\Psi_\mathrm{b}$) and the waveform phases of a.) solid gold: the injected model with the nonlinear TRC ($\mathcal{A}_\mathrm{nl}$); b.) dotted gray: the recovered model with the f-mode frequency ($\bar{\omega}_{a0}$) as a free parameter; c.) dashed blue: the recovered model with the f-mode frequency ($\bar{\omega}_{a0}$) constrained by tidal deformability ($\bar{\lambda}$) and the Love-$\omega_{a0}$ relation. Using waveform mismatch, the SNR threshold is 206 between the blue and gold waveforms and 354 between the gray and gold waveforms.
Caption The difference between the waveform phase of the baseline model ($\Psi_\mathrm{b}$) and the waveform phases of a.) solid gold: the injected model with the nonlinear TRC ($\mathcal{A}_\mathrm{nl}$); b.) dotted gray: the recovered model with the f-mode frequency ($\bar{\omega}_{a0}$) as a free parameter; c.) dashed blue: the recovered model with the f-mode frequency ($\bar{\omega}_{a0}$) constrained by tidal deformability ($\bar{\lambda}$) and the Love-$\omega_{a0}$ relation. Using waveform mismatch, the SNR threshold is 206 between the blue and gold waveforms and 354 between the gray and gold waveforms.
Comparison of the recovered posteriors, stacked over 16 events, for an injected model with the nonlinear TRC, $\mathcal{A}_\mathrm{nl}=-0.03$. Each event has a SNR of 175 but different NS masses. The blue posteriors are recovered from a model that does not include the nonlinear TRC, $\mathcal{A}_\mathrm{nl}=0$. The red posteriors are recovered from a model that includes the nonlinear TRC as a free parameter, $\mathcal{A}_\mathrm{nl}$. The thin, faint posteriors are for individual events, and the thick, shaded posteriors are the product of stacking the 16 individual event posteriors. The vertical gold lines are the injected values. (Left) Stacked posteriors for tidal deformability with an injected value of, $\bar{\lambda}=400$. (Right) Stacked posterior for the nonlinear TRC with an injected value of $\mathcal{A}_\mathrm{nl}=-0.03$.
Caption Comparison of the recovered posteriors, stacked over 16 events, for an injected model with the nonlinear TRC, $\mathcal{A}_\mathrm{nl}=-0.03$. Each event has a SNR of 175 but different NS masses. The blue posteriors are recovered from a model that does not include the nonlinear TRC, $\mathcal{A}_\mathrm{nl}=0$. The red posteriors are recovered from a model that includes the nonlinear TRC as a free parameter, $\mathcal{A}_\mathrm{nl}$. The thin, faint posteriors are for individual events, and the thick, shaded posteriors are the product of stacking the 16 individual event posteriors. The vertical gold lines are the injected values. (Left) Stacked posteriors for tidal deformability with an injected value of, $\bar{\lambda}=400$. (Right) Stacked posterior for the nonlinear TRC with an injected value of $\mathcal{A}_\mathrm{nl}=-0.03$.
Comparison of the recovered posteriors, stacked over 16 events, for an injected model with the nonlinear TRC, $\mathcal{A}_\mathrm{nl}=-0.03$. Each event has a SNR of 175 but different NS masses. The blue posteriors are recovered from a model that does not include the nonlinear TRC, $\mathcal{A}_\mathrm{nl}=0$. The red posteriors are recovered from a model that includes the nonlinear TRC as a free parameter, $\mathcal{A}_\mathrm{nl}$. The thin, faint posteriors are for individual events, and the thick, shaded posteriors are the product of stacking the 16 individual event posteriors. The vertical gold lines are the injected values. (Left) Stacked posteriors for tidal deformability with an injected value of, $\bar{\lambda}=400$. (Right) Stacked posterior for the nonlinear TRC with an injected value of $\mathcal{A}_\mathrm{nl}=-0.03$.
Caption Comparison of the recovered posteriors, stacked over 16 events, for an injected model with the nonlinear TRC, $\mathcal{A}_\mathrm{nl}=-0.03$. Each event has a SNR of 175 but different NS masses. The blue posteriors are recovered from a model that does not include the nonlinear TRC, $\mathcal{A}_\mathrm{nl}=0$. The red posteriors are recovered from a model that includes the nonlinear TRC as a free parameter, $\mathcal{A}_\mathrm{nl}$. The thin, faint posteriors are for individual events, and the thick, shaded posteriors are the product of stacking the 16 individual event posteriors. The vertical gold lines are the injected values. (Left) Stacked posteriors for tidal deformability with an injected value of, $\bar{\lambda}=400$. (Right) Stacked posterior for the nonlinear TRC with an injected value of $\mathcal{A}_\mathrm{nl}=-0.03$.
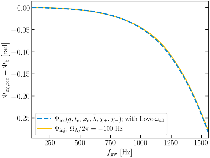
The same as Figures \ref{fig:hist-Anl} and \ref{fig:bw-Anl}, but using an injected waveform with a spinning primary NS, resulting in a background spin TRC of $\Omega_\mathrm{A}/2\pi=(-100$ Hz). The SNR for both posteriors is 1000. Both recovery models include spin in the PP contribution to the waveform via $\chi_\pm$, but neither include the background spin TRC as a free parameter. Instead, the red posterior is recovered using a model that constrains the background spin TRC ($\Omega_\mathrm{A}$) using $\chi_\mathrm{A}$ and the I-Love relation, thus enabling the model to recover the injected parameter values. The waveform mismatch between the injected and recovered waveforms implies a threshold SNR of 2900 to discern between the two.
Caption The same as Figures \ref{fig:hist-Anl} and \ref{fig:bw-Anl}, but using an injected waveform with a spinning primary NS, resulting in a background spin TRC of $\Omega_\mathrm{A}/2\pi=(-100$ Hz). The SNR for both posteriors is 1000. Both recovery models include spin in the PP contribution to the waveform via $\chi_\pm$, but neither include the background spin TRC as a free parameter. Instead, the red posterior is recovered using a model that constrains the background spin TRC ($\Omega_\mathrm{A}$) using $\chi_\mathrm{A}$ and the I-Love relation, thus enabling the model to recover the injected parameter values. The waveform mismatch between the injected and recovered waveforms implies a threshold SNR of 2900 to discern between the two.
The same as Figures \ref{fig:hist-Anl} and \ref{fig:bw-Anl}, but using an injected waveform with a spinning primary NS, resulting in a background spin TRC of $\Omega_\mathrm{A}/2\pi=(-100$ Hz). The SNR for both posteriors is 1000. Both recovery models include spin in the PP contribution to the waveform via $\chi_\pm$, but neither include the background spin TRC as a free parameter. Instead, the red posterior is recovered using a model that constrains the background spin TRC ($\Omega_\mathrm{A}$) using $\chi_\mathrm{A}$ and the I-Love relation, thus enabling the model to recover the injected parameter values. The waveform mismatch between the injected and recovered waveforms implies a threshold SNR of 2900 to discern between the two.
Caption The same as Figures \ref{fig:hist-Anl} and \ref{fig:bw-Anl}, but using an injected waveform with a spinning primary NS, resulting in a background spin TRC of $\Omega_\mathrm{A}/2\pi=(-100$ Hz). The SNR for both posteriors is 1000. Both recovery models include spin in the PP contribution to the waveform via $\chi_\pm$, but neither include the background spin TRC as a free parameter. Instead, the red posterior is recovered using a model that constrains the background spin TRC ($\Omega_\mathrm{A}$) using $\chi_\mathrm{A}$ and the I-Love relation, thus enabling the model to recover the injected parameter values. The waveform mismatch between the injected and recovered waveforms implies a threshold SNR of 2900 to discern between the two.
The same as Figures \ref{fig:hist-Anl} and \ref{fig:bw-Anl}, but using an injected waveform with the relativistic TRC. The SNR for both posteriors is 1000. Both recovery models have the same four free parameters and impose the Love-$\omega_{a0}$ relation, but the red posterior includes the relativistic TRC. The recovery model for the blue posterior does not include relativistic effects and cannot fully recover the injected waveform. The best fit waveform from the blue posterior is plotted over the injected waveform in the right panel. The mismatch between the injected and recovered waveforms implies a threshold SNR of 610.
Caption The same as Figures \ref{fig:hist-Anl} and \ref{fig:bw-Anl}, but using an injected waveform with the relativistic TRC. The SNR for both posteriors is 1000. Both recovery models have the same four free parameters and impose the Love-$\omega_{a0}$ relation, but the red posterior includes the relativistic TRC. The recovery model for the blue posterior does not include relativistic effects and cannot fully recover the injected waveform. The best fit waveform from the blue posterior is plotted over the injected waveform in the right panel. The mismatch between the injected and recovered waveforms implies a threshold SNR of 610.
The same as Figures \ref{fig:hist-Anl} and \ref{fig:bw-Anl}, but using an injected waveform with the relativistic TRC. The SNR for both posteriors is 1000. Both recovery models have the same four free parameters and impose the Love-$\omega_{a0}$ relation, but the red posterior includes the relativistic TRC. The recovery model for the blue posterior does not include relativistic effects and cannot fully recover the injected waveform. The best fit waveform from the blue posterior is plotted over the injected waveform in the right panel. The mismatch between the injected and recovered waveforms implies a threshold SNR of 610.
Caption The same as Figures \ref{fig:hist-Anl} and \ref{fig:bw-Anl}, but using an injected waveform with the relativistic TRC. The SNR for both posteriors is 1000. Both recovery models have the same four free parameters and impose the Love-$\omega_{a0}$ relation, but the red posterior includes the relativistic TRC. The recovery model for the blue posterior does not include relativistic effects and cannot fully recover the injected waveform. The best fit waveform from the blue posterior is plotted over the injected waveform in the right panel. The mismatch between the injected and recovered waveforms implies a threshold SNR of 610.
References
  • [1] Adrian Abac, Raul Abramo, Simone Albanesi, Angelica Albertini, Alessandro Agapito, Michalis Agathos, Conrado Albertus, Nils Andersson, and et al. The Science of the Einstein Telescope. arXiv e-prints, page arXiv:2503.12263, March 2025.
  • [2] B. P. Abbott, R. Abbott, T. D. Abbott, M. R. Abernathy, K. Ackley, C. Adams, P. Addesso, R. X. Adhikari, V. B. Adya, C. Affeldt, and et al. Exploring the sensitivity of next generation gravitational wave detectors. Classical and Quantum Gravity, 34(4):044001, February 2017.
  • [3] Nils Andersson, Rhys Counsell, Fabian Gittins, and Suprovo Ghosh. The tidal response of a relativistic star. arXiv e-prints, page arXiv:2511.05139, November 2025.
  • [4] Eli Bingham, Jonathan P Chen, Martin Jankowiak, Fritz Obermeyer, Neeraj Pradhan, Theofanis Karaletsos, Rohit Singh, Paul A. Szerlip, Paul Horsfall, and Noah D. Goodman. Pyro: Deep universal probabilistic programming. J. Mach. Learn. Res., 20:28:1–28:6, 2019.
  • [5] James Bradbury, Roy Frostig, Peter Hawkins, Matthew James Johnson, Chris Leary, Dougal Maclaurin, George Necula, Adam Paszke, Jake VanderPlas, Skye Wanderman-Milne, and Qiao Zhang. JAX: composable transformations of Python+NumPy programs, 2018.
  • [6] T. K. Chan, Y. H. Sham, P. T. Leung, and L. M. Lin. Multipolar universal relations between f -mode frequency and tidal deformability of compact stars. Phys. Rev. D, 90(12):124023, December 2014.
  • [7] Curt Cutler and Éanna E. Flanagan. Gravitational waves from merging compact binaries: How accurately can one extract the binary’s parameters from the inspiral waveform? Phys. Rev. D, 49(6):2658–2697, March 1994.
  • [8] Thomas Edwards. ripple: A small jax package for differentiable and fast gravitational wave data analysis., 2024.
  • [9] Matthew Evans, Rana X Adhikari, Chaitanya Afle, Stefan W. Ballmer, Sylvia Biscoveanu, Ssohrab Borhanian, Duncan A. Brown, Yanbei Chen, and et al. A Horizon Study for Cosmic Explorer: Science, Observatories, and Community. arXiv e-prints, page arXiv:2109.09882, September 2021.
  • [10] Éanna É. Flanagan and Tanja Hinderer. Constraining neutron-star tidal Love numbers with gravitational-wave detectors. Phys. Rev. D, 77(2):021502, January 2008.
  • [11] Marcus Haberland, Alessandra Buonanno, and Jan Steinhoff. Modeling matter(s) in SEOBNRv5THM: Generating fast and accurate effective-one-body waveforms for spin-aligned binary neutron stars. arXiv e-prints, page arXiv:2503.18934, March 2025.
  • [12] Tanja Hinderer, Andrea Taracchini, Francois Foucart, Alessandra Buonanno, Jan Steinhoff, Matthew Duez, Lawrence E. Kidder, Harald P. Pfeiffer, Mark A. Scheel, Bela Szilagyi, Kenta Hotokezaka, Koutarou Kyutoku, Masaru Shibata, and Cory W. Carpenter. Effects of Neutron-Star Dynamic Tides on Gravitational Waveforms within the Effective-One-Body Approach. Phys. Rev. Lett., 116(18):181101, May 2016.
  • [13] Christian J. Krüger and Kostas D. Kokkotas. Fast Rotating Relativistic Stars: Spectra and Stability without Approximation. Phys. Rev. Lett., 125(11):111106, September 2020.
  • [14] Christian J. Krüger and Sebastian H. Völkel. Rapidly rotating neutron stars: Universal relations and EOS inference. Phys. Rev. D, 108(12):124056, December 2023.
  • [15] D. Lai. Resonant Oscillations and Tidal Heating in Coalescing Binary Neutron Stars. MNRAS, 270:611, October 1994.
  • [16] LIGO Scientific Collaboration, Virgo Collaboration, and et al. GW170817: Observation of Gravitational Waves from a Binary Neutron Star Inspiral. Phys. Rev. Lett., 119(16):161101, October 2017.
  • [17] LIGO Scientific Collaboration, Virgo Collaboration, and et al. GW170817: Measurements of Neutron Star Radii and Equation of State. Phys. Rev. Lett., 121(16):161101, October 2018.
  • [18] LIGO Scientific Collaboration, Virgo Collaboration, and et al. Properties of the Binary Neutron Star Merger GW170817. Physical Review X, 9(1):011001, January 2019.
  • [19] Zhiqiang Miao, Xuefeng Feng, Zhen Pan, and Huan Yang. Relativistic excitation of compact stars. Phys. Rev. D, 112(10):104054, November 2025.
  • [20] M. C. Miller, F. K. Lamb, A. J. Dittmann, S. Bogdanov, Z. Arzoumanian, K. C. Gendreau, S. Guillot, A. K. Harding, W. C. G. Ho, J. M. Lattimer, R. M. Ludlam, S. Mahmoodifar, S. M. Morsink, P. S. Ray, T. E. Strohmayer, K. S. Wood, T. Enoto, R. Foster, T. Okajima, G. Prigozhin, and Y. Soong. PSR J0030+0451 Mass and Radius from NICER Data and Implications for the Properties of Neutron Star Matter. ApJ, 887(1):L24, December 2019.
  • [21] Feryal Özel and Paulo Freire. Masses, Radii, and the Equation of State of Neutron Stars. ARA&A, 54:401–440, September 2016.
  • [22] Paolo Pani, Massimiliano Maria Riva, Luca Santoni, Nikola Savić, and Filippo Vernizzi. Nonlinear Relativistic Tidal Response of Neutron Stars. arXiv e-prints, page arXiv:2512.14663, December 2025.
  • [23] Du Phan, Neeraj Pradhan, and Martin Jankowiak. Composable effects for flexible and accelerated probabilistic programming in numpyro. arXiv preprint arXiv:1912.11554, 2019.
  • [24] Tristan Pitre and Eric Poisson. General relativistic dynamical tides in binary inspirals without modes. Phys. Rev. D, 109(6):064004, March 2024.
  • [25] Tristan Pitre and Eric Poisson. Impact of nonlinearities on relativistic dynamical tides in compact binary inspirals. arXiv e-prints, page arXiv:2506.08722, June 2025.
  • [26] P. Pnigouras, N. Andersson, F. Gittins, and A. R. Counsell. Dynamical neutron star tides: the signature of a mode resonance. MNRAS, 542(2):1375–1387, September 2025.
  • [27] Geraint Pratten, Patricia Schmidt, and Natalie Williams. Impact of Dynamical Tides on the Reconstruction of the Neutron Star Equation of State. Phys. Rev. Lett., 129(8):081102, August 2022.
  • [28] M Punturo, M Abernathy, F Acernese, B Allen, N Andersson, K Arun, F Barone, B Barr, M Barsuglia, M Beker, N Beveridge, S Birindelli, S Bose, L Bosi, S Braccini, C Bradaschia, T Bulik, E Calloni, G Cella, E Chassande Mottin, S Chelkowski, A Chincarini, J Clark, E Coccia, C Colacino, J Colas, A Cumming, L Cunningham, E Cuoco, S Danilishin, K Danzmann, G De Luca, R De Salvo, T Dent, R De Rosa, L Di Fiore, A Di Virgilio, M Doets, V Fafone, P Falferi, R Flaminio, J Franc, F Frasconi, A Freise, P Fulda, J Gair, G Gemme, A Gennai, A Giazotto, K Glampedakis, M Granata, H Grote, G Guidi, G Hammond, M Hannam, J Harms, D Heinert, M Hendry, I Heng, E Hennes, S Hild, J Hough, S Husa, S Huttner, G Jones, F Khalili, K Kokeyama, K Kokkotas, B Krishnan, M Lorenzini, H Lück, E Majorana, I Mandel, V Mandic, I Martin, C Michel, Y Minenkov, N Morgado, S Mosca, B Mours, H Müller–Ebhardt, P Murray, R Nawrodt, J Nelson, R Oshaughnessy, C D Ott, C Palomba, A Paoli, G Parguez, A Pasqualetti, R Passaquieti, D Passuello, L Pinard, R Poggiani, P Popolizio, M Prato, P Puppo, D Rabeling, P Rapagnani, J Read, T Regimbau, H Rehbein, S Reid, L Rezzolla, F Ricci, F Richard, A Rocchi, S Rowan, A Rüdiger, B Sassolas, B Sathyaprakash, R Schnabel, C Schwarz, P Seidel, A Sintes, K Somiya, F Speirits, K Strain, S Strigin, P Sutton, S Tarabrin, A Thüring, J van den Brand, C van Leewen, M van Veggel, C van den Broeck, A Vecchio, J Veitch, F Vetrano, A Vicere, S Vyatchanin, B Willke, G Woan, P Wolfango, and K Yamamoto. The einstein telescope: a third-generation gravitational wave observatory. Classical and Quantum Gravity, 27(19):194002, sep 2010.
  • [29] G. Raaijmakers, S. K. Greif, K. Hebeler, T. Hinderer, S. Nissanke, A. Schwenk, T. E. Riley, A. L. Watts, J. M. Lattimer, and W. C. G. Ho. Constraints on the Dense Matter Equation of State and Neutron Star Properties from NICER’s Mass-Radius Estimate of PSR J0740+6620 and Multimessenger Observations. ApJ, 918(2):L29, September 2021.
  • [30] T. E. Riley, A. L. Watts, S. Bogdanov, P. S. Ray, R. M. Ludlam, S. Guillot, Z. Arzoumanian, C. L. Baker, A. V. Bilous, D. Chakrabarty, K. C. Gendreau, A. K. Harding, W. C. G. Ho, J. M. Lattimer, S. M. Morsink, and T. E. Strohmayer. A NICER View of PSR J0030+0451: Millisecond Pulsar Parameter Estimation. ApJ, 887(1):L21, December 2019.
  • [31] Thomas E. Riley, Anna L. Watts, Paul S. Ray, Slavko Bogdanov, Sebastien Guillot, Sharon M. Morsink, Anna V. Bilous, Zaven Arzoumanian, Devarshi Choudhury, Julia S. Deneva, Keith C. Gendreau, Alice K. Harding, Wynn C. G. Ho, James M. Lattimer, Michael Loewenstein, Renee M. Ludlam, Craig B. Markwardt, Takashi Okajima, Chanda Prescod-Weinstein, Ronald A. Remillard, Michael T. Wolff, Emmanuel Fonseca, H. Thankful Cromartie, Matthew Kerr, Timothy T. Pennucci, Aditya Parthasarathy, Scott Ransom, Ingrid Stairs, Lucas Guillemot, and Ismael Cognard. A NICER View of the Massive Pulsar PSR J0740+6620 Informed by Radio Timing and XMM-Newton Spectroscopy. ApJ, 918(2):L27, September 2021.
  • [32] Jayana A. Saes, R. Abhishek Hegade K., and Nicolás Yunes. Universal Relations with Dynamical Tides. arXiv e-prints, page arXiv:2511.19626, November 2025.
  • [33] A. K. Schenk, P. Arras, É. É. Flanagan, S. A. Teukolsky, and I. Wasserman. Nonlinear mode coupling in rotating stars and the r-mode instability in neutron stars. Phys. Rev. D, 65(2):024001, January 2002.
  • [34] Jan Steinhoff, Tanja Hinderer, Alessandra Buonanno, and Andrea Taracchini. Dynamical tides in general relativity: Effective action and effective-one-body Hamiltonian. Phys. Rev. D, 94(10):104028, November 2016.
  • [35] Jan Steinhoff, Tanja Hinderer, Tim Dietrich, and Francois Foucart. Spin effects on neutron star fundamental-mode dynamical tides: Phenomenology and comparison to numerical simulations. Physical Review Research, 3(3):033129, August 2021.
  • [36] Anna L. Watts, Nils Andersson, Deepto Chakrabarty, Marco Feroci, Kai Hebeler, Gianluca Israel, Frederick K. Lamb, M. Coleman Miller, Sharon Morsink, Feryal Özel, Alessandro Patruno, Juri Poutanen, Dimitrios Psaltis, Achim Schwenk, Andrew W. Steiner, Luigi Stella, Laura Tolos, and Michiel van der Klis. Colloquium: Measuring the neutron star equation of state using x-ray timing. Rev. Mod. Phys., 88:021001, Apr 2016.
  • [37] Nevin N. Weinberg, Phil Arras, Eliot Quataert, and Josh Burkart. Nonlinear Tides in Close Binary Systems. ApJ, 751(2):136, Jun 2012.
  • [38] Kent Yagi and Nicolás Yunes. Approximate universal relations for neutron stars and quark stars. Phys. Rep., 681:1–72, April 2017.
  • [39] Hang Yu, Phil Arras, and Nevin N. Weinberg. Dynamical tides during the inspiral of rapidly spinning neutron stars: Solutions beyond mode resonance. Phys. Rev. D, 110(2):024039, July 2024.
  • [40] Hang Yu and Shu Yan Lau. Effective-one-body model for coalescing binary neutron stars: Incorporating tidal spin and enhanced radiation from dynamical tides. Phys. Rev. D, 111(8):084029, April 2025.
  • [41] Hang Yu, Shu Yan Lau, Ethan Mckeever, Phil Arras, and Nevin N. Weinberg. Dynamical tide modified Roche limit in eccentric, asynchronous binaries. arXiv e-prints, page arXiv:2508.20183, August 2025.
  • [42] Hang Yu, Nevin N. Weinberg, Phil Arras, James Kwon, and Tejaswi Venumadhav. Beyond the linear tide: impact of the non-linear tidal response of neutron stars on gravitational waveforms from binary inspirals. MNRAS, 519(3):4325–4343, March 2023. A Tidal Phase Shift Derivation We calculate the frequency-domain GW waveform phase shift due to tidal effects by using an energy balancing approach outlined in §2.2, culminating in Eqs. (9, 10). This approach requires calculating the orbital energy, GW radiation, and corresponding tidal corrections which are numerically integrated over GW frequency to arrive at the tidal phase shift. For quantities that vary during the inspiral, we calculate them along a GW frequency vector, from 100 Hz to 2 kHz. We start with defining the orbital energy for a quasi-circular, Keplerian orbit, treating the NSs as PPs, Eorb = − 1 2 MAMB r . (57) We use the PP orbital frequency evolution due to GW radiation following eqs. (66, 67) in [39], ω̇pp = 96 5 MAMB M4 tot (Mtotω)