Photon regions, shadow observables and constraints from M87* of a Kerr-Newman-like black hole in Bumblebee gravity surrounded by plasma

Author(s)

Zhang, Jian-Peng, Zhang, Yu, Han, Li

Abstract

In this paper, we investigate the photon regions, shadow, and observational constraints of a Kerr-Newman-like black hole in Bumblebee gravity within a plasma medium. By employing a specific non-homogeneous power-law plasma model to ensure the separability of the Hamilton-Jacobi equation, we derive the null geodesic equations, analyze the photon regions, and construct the black hole shadow. Furthermore, we introduce two sets of shadow observables to systematically analyze the distinct effects of each physical parameter (spin $a$, charge $Q_0$, Lorentz-violating parameter $\ell$, and plasma parameter $k$) on the shadow geometry. Specifically, we find that $a$ and $\ell$ mainly enhance the distortion of the shadow, whereas $Q_0$ and $k$ primarily lead to its radial shrinkage. Additionally, a brief evaluation of the energy emission rate shows that an increase in these parameters generally suppresses the emission peak. Finally, by modeling M87* as a charged rotating black hole in Bumblebee gravity surrounded by plasma, we can constrain the physical parameters using observations from the Event Horizon Telescope (EHT). While the angular diameter $θ_d = 42 \pm 3 \, μ\text{as}$ narrows the viable parameter space, the circularity deviation $ΔC \lesssim 0.1$ and axis ratio $1 < D_x \lesssim 4/3$ obey the EHT limits. This suggests that the charged rotating black hole in Bumblebee gravity surrounded by plasma might be a candidate for real astrophysical black holes.

Figures

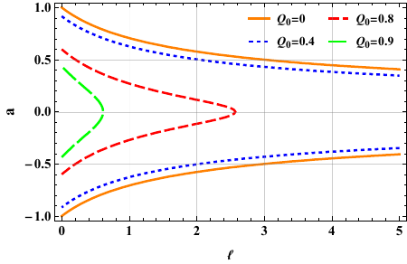
Parameter space of the Bumblebee black hole ($M=1$). The boundary of the curve represents represent the extremal black hole condition, corresponding to the degenerate roots of the radial metric function. The region enclosed by the curves denotes the parameter space where an event horizon exists, whereas the exterior region corresponds to naked singularities.
Caption Parameter space of the Bumblebee black hole ($M=1$). The boundary of the curve represents represent the extremal black hole condition, corresponding to the degenerate roots of the radial metric function. The region enclosed by the curves denotes the parameter space where an event horizon exists, whereas the exterior region corresponds to naked singularities.
Parameter space of the Bumblebee black hole ($M=1$). The boundary of the curve represents represent the extremal black hole condition, corresponding to the degenerate roots of the radial metric function. The region enclosed by the curves denotes the parameter space where an event horizon exists, whereas the exterior region corresponds to naked singularities.
Caption Parameter space of the Bumblebee black hole ($M=1$). The boundary of the curve represents represent the extremal black hole condition, corresponding to the degenerate roots of the radial metric function. The region enclosed by the curves denotes the parameter space where an event horizon exists, whereas the exterior region corresponds to naked singularities.
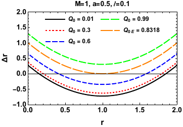
Plots of the radial function $\Delta_r(r)$ versus $r$ for different parameter combinations ($M=1$). The columns (from left to right) display the effects of spin $a$, charge $Q_0$, and Lorentz-violation parameter $\ell$, while the upper and lower rows correspond to positive and negative $\ell$, respectively. The roots of $\Delta_r(r)=0$ denote the Cauchy (left) and event (right) horizons, with tangency indicating extremal black holes.
Caption Plots of the radial function $\Delta_r(r)$ versus $r$ for different parameter combinations ($M=1$). The columns (from left to right) display the effects of spin $a$, charge $Q_0$, and Lorentz-violation parameter $\ell$, while the upper and lower rows correspond to positive and negative $\ell$, respectively. The roots of $\Delta_r(r)=0$ denote the Cauchy (left) and event (right) horizons, with tangency indicating extremal black holes.
Plots of the radial function $\Delta_r(r)$ versus $r$ for different parameter combinations ($M=1$). The columns (from left to right) display the effects of spin $a$, charge $Q_0$, and Lorentz-violation parameter $\ell$, while the upper and lower rows correspond to positive and negative $\ell$, respectively. The roots of $\Delta_r(r)=0$ denote the Cauchy (left) and event (right) horizons, with tangency indicating extremal black holes.
Caption Plots of the radial function $\Delta_r(r)$ versus $r$ for different parameter combinations ($M=1$). The columns (from left to right) display the effects of spin $a$, charge $Q_0$, and Lorentz-violation parameter $\ell$, while the upper and lower rows correspond to positive and negative $\ell$, respectively. The roots of $\Delta_r(r)=0$ denote the Cauchy (left) and event (right) horizons, with tangency indicating extremal black holes.
Plots of the radial function $\Delta_r(r)$ versus $r$ for different parameter combinations ($M=1$). The columns (from left to right) display the effects of spin $a$, charge $Q_0$, and Lorentz-violation parameter $\ell$, while the upper and lower rows correspond to positive and negative $\ell$, respectively. The roots of $\Delta_r(r)=0$ denote the Cauchy (left) and event (right) horizons, with tangency indicating extremal black holes.
Caption Plots of the radial function $\Delta_r(r)$ versus $r$ for different parameter combinations ($M=1$). The columns (from left to right) display the effects of spin $a$, charge $Q_0$, and Lorentz-violation parameter $\ell$, while the upper and lower rows correspond to positive and negative $\ell$, respectively. The roots of $\Delta_r(r)=0$ denote the Cauchy (left) and event (right) horizons, with tangency indicating extremal black holes.
Plots of the radial function $\Delta_r(r)$ versus $r$ for different parameter combinations ($M=1$). The columns (from left to right) display the effects of spin $a$, charge $Q_0$, and Lorentz-violation parameter $\ell$, while the upper and lower rows correspond to positive and negative $\ell$, respectively. The roots of $\Delta_r(r)=0$ denote the Cauchy (left) and event (right) horizons, with tangency indicating extremal black holes.
Caption Plots of the radial function $\Delta_r(r)$ versus $r$ for different parameter combinations ($M=1$). The columns (from left to right) display the effects of spin $a$, charge $Q_0$, and Lorentz-violation parameter $\ell$, while the upper and lower rows correspond to positive and negative $\ell$, respectively. The roots of $\Delta_r(r)=0$ denote the Cauchy (left) and event (right) horizons, with tangency indicating extremal black holes.
Plots of the radial function $\Delta_r(r)$ versus $r$ for different parameter combinations ($M=1$). The columns (from left to right) display the effects of spin $a$, charge $Q_0$, and Lorentz-violation parameter $\ell$, while the upper and lower rows correspond to positive and negative $\ell$, respectively. The roots of $\Delta_r(r)=0$ denote the Cauchy (left) and event (right) horizons, with tangency indicating extremal black holes.
Caption Plots of the radial function $\Delta_r(r)$ versus $r$ for different parameter combinations ($M=1$). The columns (from left to right) display the effects of spin $a$, charge $Q_0$, and Lorentz-violation parameter $\ell$, while the upper and lower rows correspond to positive and negative $\ell$, respectively. The roots of $\Delta_r(r)=0$ denote the Cauchy (left) and event (right) horizons, with tangency indicating extremal black holes.
Plots of the radial function $\Delta_r(r)$ versus $r$ for different parameter combinations ($M=1$). The columns (from left to right) display the effects of spin $a$, charge $Q_0$, and Lorentz-violation parameter $\ell$, while the upper and lower rows correspond to positive and negative $\ell$, respectively. The roots of $\Delta_r(r)=0$ denote the Cauchy (left) and event (right) horizons, with tangency indicating extremal black holes.
Caption Plots of the radial function $\Delta_r(r)$ versus $r$ for different parameter combinations ($M=1$). The columns (from left to right) display the effects of spin $a$, charge $Q_0$, and Lorentz-violation parameter $\ell$, while the upper and lower rows correspond to positive and negative $\ell$, respectively. The roots of $\Delta_r(r)=0$ denote the Cauchy (left) and event (right) horizons, with tangency indicating extremal black holes.
The photon regions of the KN-like black hole in Bumblebee gravity surrounded by plasma in the $(r, \theta)$ plane. The parameters are set to $a = 0.8$, $Q_0 = 0.5$, and $\ell = 0.1$, with varying plasma parameter $k$.
Caption The photon regions of the KN-like black hole in Bumblebee gravity surrounded by plasma in the $(r, \theta)$ plane. The parameters are set to $a = 0.8$, $Q_0 = 0.5$, and $\ell = 0.1$, with varying plasma parameter $k$.
The photon regions of the KN-like black hole in Bumblebee gravity surrounded by plasma in the $(r, \theta)$ plane. The parameters are set to $a = 0.5$, $Q_0 = 0.5$, and $k = 0.3$, with varying Lorentz-violation parameter $\ell$.
Caption The photon regions of the KN-like black hole in Bumblebee gravity surrounded by plasma in the $(r, \theta)$ plane. The parameters are set to $a = 0.5$, $Q_0 = 0.5$, and $k = 0.3$, with varying Lorentz-violation parameter $\ell$.
Shadows of the KN-like black hole in Bumblebee gravity surrounded by plasma, illustrating the independent effects of varying the parameters $a$, $\ell$, $Q_0$, and $k$.
Caption Shadows of the KN-like black hole in Bumblebee gravity surrounded by plasma, illustrating the independent effects of varying the parameters $a$, $\ell$, $Q_0$, and $k$.
Shadows of the KN-like black hole in Bumblebee gravity surrounded by plasma, illustrating the independent effects of varying the parameters $a$, $\ell$, $Q_0$, and $k$.
Caption Shadows of the KN-like black hole in Bumblebee gravity surrounded by plasma, illustrating the independent effects of varying the parameters $a$, $\ell$, $Q_0$, and $k$.
Shadows of the KN-like black hole in Bumblebee gravity surrounded by plasma, illustrating the independent effects of varying the parameters $a$, $\ell$, $Q_0$, and $k$.
Caption Shadows of the KN-like black hole in Bumblebee gravity surrounded by plasma, illustrating the independent effects of varying the parameters $a$, $\ell$, $Q_0$, and $k$.
Shadows of the KN-like black hole in Bumblebee gravity surrounded by plasma, illustrating the independent effects of varying the parameters $a$, $\ell$, $Q_0$, and $k$.
Caption Shadows of the KN-like black hole in Bumblebee gravity surrounded by plasma, illustrating the independent effects of varying the parameters $a$, $\ell$, $Q_0$, and $k$.
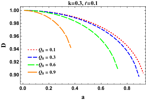
Illustration of shadow observables defined by the reference circle method. The solid black curve represents the black hole shadow, and the dashed blue curve denotes the reference circle. This circle is constructed to pass through three characteristic points: the top ($T$), bottom ($B$), and rightmost ($R$) points of the shadow, while $L$ and $L'$ denote the left endpoints of the shadow and the reference circle, respectively. The parameter $D$ is defined as $D\equiv \alpha_{L'}-\alpha_{L}$.
Caption Illustration of shadow observables defined by the reference circle method. The solid black curve represents the black hole shadow, and the dashed blue curve denotes the reference circle. This circle is constructed to pass through three characteristic points: the top ($T$), bottom ($B$), and rightmost ($R$) points of the shadow, while $L$ and $L'$ denote the left endpoints of the shadow and the reference circle, respectively. The parameter $D$ is defined as $D\equiv \alpha_{L'}-\alpha_{L}$.
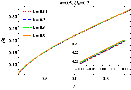
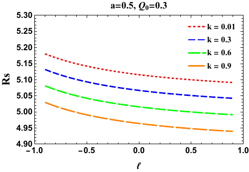
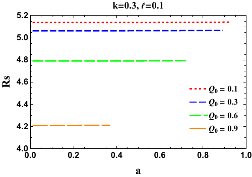
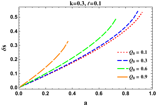
Variations of the shadow radius $R_s$ and the distortion parameter $\delta_s$ for a KN-like black hole in Bumblebee gravity surrounded by plasma. The fixed parameters are set to $a=0.5$, $Q_0=0.1$ (the upper row) and \mbox{$k=0.3$, $\ell=0.1$} (the bottom row).
Caption Variations of the shadow radius $R_s$ and the distortion parameter $\delta_s$ for a KN-like black hole in Bumblebee gravity surrounded by plasma. The fixed parameters are set to $a=0.5$, $Q_0=0.1$ (the upper row) and \mbox{$k=0.3$, $\ell=0.1$} (the bottom row).
Variations of the shadow radius $R_s$ and the distortion parameter $\delta_s$ for a KN-like black hole in Bumblebee gravity surrounded by plasma. The fixed parameters are set to $a=0.5$, $Q_0=0.1$ (the upper row) and \mbox{$k=0.3$, $\ell=0.1$} (the bottom row).
Caption Variations of the shadow radius $R_s$ and the distortion parameter $\delta_s$ for a KN-like black hole in Bumblebee gravity surrounded by plasma. The fixed parameters are set to $a=0.5$, $Q_0=0.1$ (the upper row) and \mbox{$k=0.3$, $\ell=0.1$} (the bottom row).
Variations of the shadow radius $R_s$ and the distortion parameter $\delta_s$ for a KN-like black hole in Bumblebee gravity surrounded by plasma. The fixed parameters are set to $a=0.5$, $Q_0=0.1$ (the upper row) and \mbox{$k=0.3$, $\ell=0.1$} (the bottom row).
Caption Variations of the shadow radius $R_s$ and the distortion parameter $\delta_s$ for a KN-like black hole in Bumblebee gravity surrounded by plasma. The fixed parameters are set to $a=0.5$, $Q_0=0.1$ (the upper row) and \mbox{$k=0.3$, $\ell=0.1$} (the bottom row).
Variations of the shadow radius $R_s$ and the distortion parameter $\delta_s$ for a KN-like black hole in Bumblebee gravity surrounded by plasma. The fixed parameters are set to $a=0.5$, $Q_0=0.1$ (the upper row) and \mbox{$k=0.3$, $\ell=0.1$} (the bottom row).
Caption Variations of the shadow radius $R_s$ and the distortion parameter $\delta_s$ for a KN-like black hole in Bumblebee gravity surrounded by plasma. The fixed parameters are set to $a=0.5$, $Q_0=0.1$ (the upper row) and \mbox{$k=0.3$, $\ell=0.1$} (the bottom row).
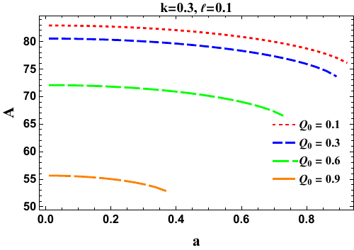
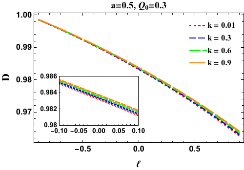
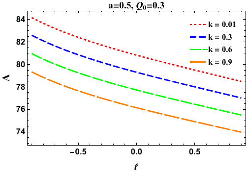
Variations of the shadow area $A$ and the oblateness $D$ for a KN-like black hole in Bumblebee gravity surrounded by plasma. The fixed parameters are set to $a=0.5$, $Q_0=0.1$ (the upper row) and \mbox{$k=0.3$, $\ell=0.1$} (the bottom row).
Caption Variations of the shadow area $A$ and the oblateness $D$ for a KN-like black hole in Bumblebee gravity surrounded by plasma. The fixed parameters are set to $a=0.5$, $Q_0=0.1$ (the upper row) and \mbox{$k=0.3$, $\ell=0.1$} (the bottom row).
Variations of the shadow area $A$ and the oblateness $D$ for a KN-like black hole in Bumblebee gravity surrounded by plasma. The fixed parameters are set to $a=0.5$, $Q_0=0.1$ (the upper row) and \mbox{$k=0.3$, $\ell=0.1$} (the bottom row).
Caption Variations of the shadow area $A$ and the oblateness $D$ for a KN-like black hole in Bumblebee gravity surrounded by plasma. The fixed parameters are set to $a=0.5$, $Q_0=0.1$ (the upper row) and \mbox{$k=0.3$, $\ell=0.1$} (the bottom row).
Variations of the shadow area $A$ and the oblateness $D$ for a KN-like black hole in Bumblebee gravity surrounded by plasma. The fixed parameters are set to $a=0.5$, $Q_0=0.1$ (the upper row) and \mbox{$k=0.3$, $\ell=0.1$} (the bottom row).
Caption Variations of the shadow area $A$ and the oblateness $D$ for a KN-like black hole in Bumblebee gravity surrounded by plasma. The fixed parameters are set to $a=0.5$, $Q_0=0.1$ (the upper row) and \mbox{$k=0.3$, $\ell=0.1$} (the bottom row).
Variations of the shadow area $A$ and the oblateness $D$ for a KN-like black hole in Bumblebee gravity surrounded by plasma. The fixed parameters are set to $a=0.5$, $Q_0=0.1$ (the upper row) and \mbox{$k=0.3$, $\ell=0.1$} (the bottom row).
Caption Variations of the shadow area $A$ and the oblateness $D$ for a KN-like black hole in Bumblebee gravity surrounded by plasma. The fixed parameters are set to $a=0.5$, $Q_0=0.1$ (the upper row) and \mbox{$k=0.3$, $\ell=0.1$} (the bottom row).
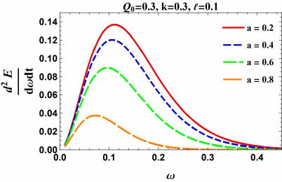
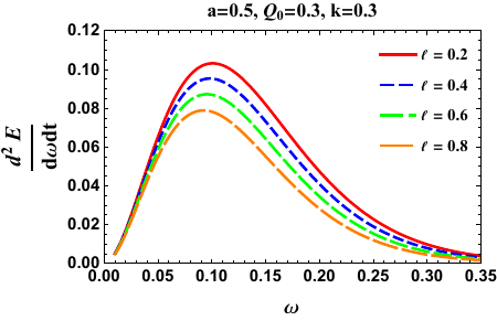
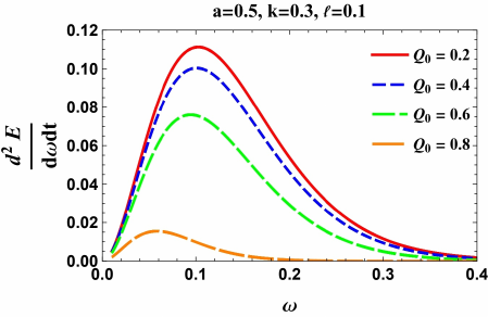
High-frequency energy emission rate as a function of frequency $\omega$ for varying physical parameters ($a, Q_0,k,\ell$).
Caption High-frequency energy emission rate as a function of frequency $\omega$ for varying physical parameters ($a, Q_0,k,\ell$).
High-frequency energy emission rate as a function of frequency $\omega$ for varying physical parameters ($a, Q_0,k,\ell$).
Caption High-frequency energy emission rate as a function of frequency $\omega$ for varying physical parameters ($a, Q_0,k,\ell$).
High-frequency energy emission rate as a function of frequency $\omega$ for varying physical parameters ($a, Q_0,k,\ell$).
Caption High-frequency energy emission rate as a function of frequency $\omega$ for varying physical parameters ($a, Q_0,k,\ell$).
High-frequency energy emission rate as a function of frequency $\omega$ for varying physical parameters ($a, Q_0,k,\ell$).
Caption High-frequency energy emission rate as a function of frequency $\omega$ for varying physical parameters ($a, Q_0,k,\ell$).
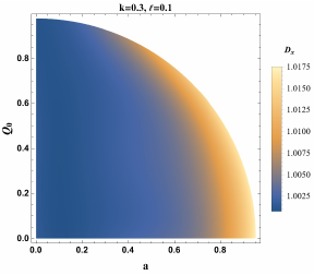
Density plots of the circular deviation $\Delta C$, axial ratio $D_x$, and angular diameter $\theta_d$ in the ($a, Q_0$) parameter plane for $\theta_0 = 17^\circ$.The parameter plane contains only parameter values for which an event horizon exists.
Caption Density plots of the circular deviation $\Delta C$, axial ratio $D_x$, and angular diameter $\theta_d$ in the ($a, Q_0$) parameter plane for $\theta_0 = 17^\circ$.The parameter plane contains only parameter values for which an event horizon exists.
Density plots of the circular deviation $\Delta C$, axial ratio $D_x$, and angular diameter $\theta_d$ in the ($a, Q_0$) parameter plane for $\theta_0 = 17^\circ$.The parameter plane contains only parameter values for which an event horizon exists.
Caption Density plots of the circular deviation $\Delta C$, axial ratio $D_x$, and angular diameter $\theta_d$ in the ($a, Q_0$) parameter plane for $\theta_0 = 17^\circ$.The parameter plane contains only parameter values for which an event horizon exists.
Density plots of the circular deviation $\Delta C$, axial ratio $D_x$, and angular diameter $\theta_d$ in the ($a, Q_0$) parameter plane for $\theta_0 = 17^\circ$.The parameter plane contains only parameter values for which an event horizon exists.
Caption Density plots of the circular deviation $\Delta C$, axial ratio $D_x$, and angular diameter $\theta_d$ in the ($a, Q_0$) parameter plane for $\theta_0 = 17^\circ$.The parameter plane contains only parameter values for which an event horizon exists.
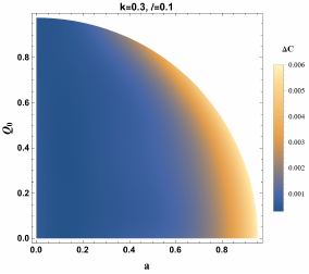
Density plots of the circular deviation $\Delta C$, axial ratio $D_x$, and angular diameter $\theta_d$ in the ($\ell, k$) parameter plane for $\theta_0 = 17^\circ$.The parameter plane contains only parameter values for which an event horizon exists.
Caption Density plots of the circular deviation $\Delta C$, axial ratio $D_x$, and angular diameter $\theta_d$ in the ($\ell, k$) parameter plane for $\theta_0 = 17^\circ$.The parameter plane contains only parameter values for which an event horizon exists.
Density plots of the circular deviation $\Delta C$, axial ratio $D_x$, and angular diameter $\theta_d$ in the ($\ell, k$) parameter plane for $\theta_0 = 17^\circ$.The parameter plane contains only parameter values for which an event horizon exists.
Caption Density plots of the circular deviation $\Delta C$, axial ratio $D_x$, and angular diameter $\theta_d$ in the ($\ell, k$) parameter plane for $\theta_0 = 17^\circ$.The parameter plane contains only parameter values for which an event horizon exists.
Density plots of the circular deviation $\Delta C$, axial ratio $D_x$, and angular diameter $\theta_d$ in the ($\ell, k$) parameter plane for $\theta_0 = 17^\circ$.The parameter plane contains only parameter values for which an event horizon exists.
Caption Density plots of the circular deviation $\Delta C$, axial ratio $D_x$, and angular diameter $\theta_d$ in the ($\ell, k$) parameter plane for $\theta_0 = 17^\circ$.The parameter plane contains only parameter values for which an event horizon exists.
Constraints on parameter $a$, $\ell$ and estimated M87* black hole mass $M (\times 10^9 M_{\odot})$ using M87* shadow angular size within $1\sigma$ (dark green region) and $2\sigma$ (light green region).
Caption Constraints on parameter $a$, $\ell$ and estimated M87* black hole mass $M (\times 10^9 M_{\odot})$ using M87* shadow angular size within $1\sigma$ (dark green region) and $2\sigma$ (light green region).
Constraints on parameter $a$, $\ell$ and estimated M87* black hole mass $M (\times 10^9 M_{\odot})$ using M87* shadow angular size within $1\sigma$ (dark green region) and $2\sigma$ (light green region).
Caption Constraints on parameter $a$, $\ell$ and estimated M87* black hole mass $M (\times 10^9 M_{\odot})$ using M87* shadow angular size within $1\sigma$ (dark green region) and $2\sigma$ (light green region).
References
  • [1] K. Akiyama et al. [Event Horizon Telescope], Astrophys. J. Lett. 875 (2019), L1 doi:10.3847/2041-8213/ab0ec7 [arXiv:1906.11238 [astro-ph.GA]].
  • [2] K. Akiyama et al. [Event Horizon Telescope], Astrophys. J. Lett. 875 (2019) no.1, L2 doi:10.3847/20418213/ab0c96 [arXiv:1906.11239 [astro-ph.IM]].
  • [3] K. Akiyama et al. [Event Horizon Telescope], Astrophys. J. Lett. 875 (2019) no.1, L3 doi:10.3847/20418213/ab0c57 [arXiv:1906.11240 [astro-ph.GA]].
  • [4] K. Akiyama et al. [Event Horizon Telescope], Astrophys. J. Lett. 875 (2019) no.1, L4 doi:10.3847/20418213/ab0e85 [arXiv:1906.11241 [astro-ph.GA]].
  • [5] K. Akiyama et al. [Event Horizon Telescope], Astrophys. J. Lett. 875 (2019) no.1, L5 doi:10.3847/20418213/ab0f43 [arXiv:1906.11242 [astro-ph.GA]].
  • [6] K. Akiyama et al. [Event Horizon Telescope], Astrophys. J. Lett. 875 (2019) no.1, L6 doi:10.3847/20418213/ab1141 [arXiv:1906.11243 [astro-ph.GA]].
  • [7] K. Akiyama et al. [Event Horizon Telescope], Astrophys. J. Lett. 930 (2022) no.2, L12 doi:10.3847/20418213/ac6674 [arXiv:2311.08680 [astro-ph.HE]].
  • [8] K. Akiyama et al. [Event Horizon Telescope], Astrophys. J. Lett. 930 (2022) no.2, L13 doi:10.3847/20418213/ac6675 [arXiv:2311.08679 [astro-ph.HE]].
  • [9] K. Akiyama et al. [Event Horizon Telescope], Astrophys. J. Lett. 930 (2022) no.2, L14 doi:10.3847/20418213/ac6429 [arXiv:2311.09479 [astro-ph.HE]].
  • [10] D. Psaltis, Gen. Rel. Grav. 51 (2019) no.10, 137 doi:10.1007/s10714-019-2611-5 [arXiv:1806.09740 [astroph.HE]].
  • [11] K. Glampedakis and G. Pappas, Phys. Rev. D 104 (2021) no.8, L081503 doi:10.1103/PhysRevD.104.L081503 [arXiv:2102.13573 [gr-qc]].
  • [12] F. H. Vincent, M. Wielgus, M. A. Abramowicz, E. Gourgoulhon, J. P. Lasota, T. Paumard and G. Perrin, Astron. Astrophys. 646 (2021), A37 doi:10.1051/00046361/202037787 [arXiv:2002.09226 [gr-qc]].
  • [13] L. Hui, Ann. Rev. Astron. Astrophys. 59 (2021), 247-289 doi:10.1146/annurev-astro-120920-010024 [arXiv:2101.11735 [astro-ph.CO]].
  • [14] J. Antoniadis et al. [EPTA and InPTA], Astron. Astrophys. 685 (2024), A94 doi:10.1051/0004-6361/202347433 [arXiv:2306.16227 [astro-ph.CO]].
  • [15] A. Afzal et al. [NANOGrav], Astrophys. J. Lett. 951 (2023) no.1, L11 [erratum: Astrophys. J. Lett. 971 (2024) no.1, L27] doi:10.3847/2041-8213/acdc91 [arXiv:2306.16219 [astro-ph.HE]].
  • [15] A. Afzal et al. [NANOGrav], Astrophys. J. Lett. 951 (2023) no.1, L11 [erratum: Astrophys. J. Lett. 971 (2024) no.1, L27] doi:10.3847/2041-8213/acdc91 [arXiv:2306.16219 [astro-ph.HE]].
  • [16] T. Clifton, P. G. Ferreira, A. Padilla and C. Skordis, Phys. Rept. 513 (2012), 1-189 doi:10.1016/j.physrep.2012.01.001 [arXiv:1106.2476 [astro-ph.CO]].
  • [17] P. G. S. Fernandes, P. Carrilho, T. Clifton and D. J. Mulryne, Class. Quant. Grav. 39 (2022) no.6, 063001 doi:10.1088/1361-6382/ac500a [arXiv:2202.13908 [gr-qc]].
  • [18] S. Shankaranarayanan and J. P. Johnson, Gen. Rel. Grav. 54 (2022) no.5, 44 doi:10.1007/s10714-022-02927-2 [arXiv:2204.06533 [gr-qc]].
  • [19] M. Han and H. Liu, Class. Quant. Grav. 39 (2022) no.3, 035011 doi:10.1088/1361-6382/ac44a0 [arXiv:2012.05729 [gr-qc]].
  • [20] C. Zhang, Y. Ma and J. Yang, Phys. Rev. D 108 (2023) no.10, 104004 doi:10.1103/PhysRevD.108.104004 [arXiv:2302.02800 [gr-qc]].
  • [21] R. A. Konoplya, Phys. Lett. B 804 (2020), 135363 doi:10.1016/j.physletb.2020.135363 [arXiv:1912.10582 [gr-qc]].
  • [22] A. Uniyal, R. C. Pantig and A. Övgün, Phys. Dark Univ. 40 (2023), 101178 doi:10.1016/j.dark.2023.101178 [arXiv:2205.11072 [gr-qc]].
  • [23] H. O. Silva, A. Ghosh and A. Buonanno, Phys. Rev. D 107 (2023) no.4, 044030 doi:10.1103/PhysRevD.107.044030 [arXiv:2205.05132 [gr-qc]].
  • [24] F. Atamurotov, I. Hussain, G. Mustafa and A. Övgün, Chin. Phys. C 47 (2023) no.2, 025102 doi:10.1088/16741137/ac9fbb.
  • [25] D. Ayzenberg and N. Yunes, Class. Quant. Grav. 35 (2018) no.23, 235002 doi:10.1088/1361-6382/aae87b [arXiv:1807.08422 [gr-qc]].
  • [26] Z. L. Wang and E. Battista, Eur. Phys. J. C 85 (2025) no.3, 304 doi:10.1140/epjc/s10052-025-13833-7 [arXiv:2501.14516 [gr-qc]].
  • [27] X. M. Kuang, Z. Y. Tang, B. Wang and A. Wang, Phys. Rev. D 106 (2022) no.6, 064012 doi:10.1103/PhysRevD.106.064012 [arXiv:2206.05878 [gr-qc]].
  • [28] V. A. Kostelecky, Phys. Rev. D 69 (2004), 105009 doi:10.1103/PhysRevD.69.105009 [arXiv:hep-th/0312310 [hep-th]].
  • [29] C. Ding, X. Chen and X. Fu, Nucl. Phys. B 975 (2022), 115688 doi:10.1016/j.nuclphysb.2022.115688 [arXiv:2102.13335 [gr-qc]].
  • [30] R. Karmakar, D. J. Gogoi and U. D. Goswami, Phys. Dark Univ. 41 (2023), 101249 doi:10.1016/j.dark.2023.101249 [arXiv:2303.00297 [gr-qc]].
  • [31] V. A. Kostelecky and S. Samuel, Phys. Rev. D 39 (1989), 683 doi:10.1103/PhysRevD.39.683.
  • [32] T. Jacobson, S. Liberati and D. Mattingly, Annals Phys. 321 (2006), 150-196 doi:10.1016/j.aop.2005.06.004 [arXiv:astro-ph/0505267 [astro-ph]].
  • [33] V. A. Kostelecký and M. Mewes, Phys. Lett. B 757 (2016), 510-514 doi:10.1016/j.physletb.2016.04.040 [arXiv:1602.04782 [gr-qc]].
  • [34] D. Colladay and V. A. Kostelecky, Phys. Rev. D 58 (1998), 116002 doi:10.1103/PhysRevD.58.116002 [arXiv:hep-ph/9809521 [hep-ph]].
  • [35] V. A. Kostelecky and S. Samuel, Phys. Rev. Lett. 63 (1989), 224 doi:10.1103/PhysRevLett.63.224
  • [36] A. V. Kostelecky and J. D. Tasson, Phys. Rev. D 83 (2011), 016013 doi:10.1103/PhysRevD.83.016013 [arXiv:1006.4106 [gr-qc]].
  • [37] R. Casana, A. Cavalcante, F. P. Poulis and E. B. Santos, Phys. Rev. D 97 (2018) no.10, 104001 doi:10.1103/PhysRevD.97.104001 [arXiv:1711.02273 [gr-qc]].
  • [38] İ. Güllü and A. Övgün, Annals Phys. 436 (2022), 168721 doi:10.1016/j.aop.2021.168721 [arXiv:2012.02611 [gr-qc]].
  • [39] Q. G. Bailey, H. S. Murray and D. T. Walter-Cardona, Phys. Rev. D 112 (2025) no.2, 024069 doi:10.1103/nkbjvbjf [arXiv:2503.10998 [gr-qc]].
  • [40] C. Ding, C. Liu, R. Casana and A. Cavalcante, Eur. Phys. J. C 80 (2020) no.3, 178 doi:10.1140/epjc/s10052-0207743-y [arXiv:1910.02674 [gr-qc]].
  • [41] C. Ding and X. Chen, Chin. Phys. C 45 (2021) no.2, 025106 doi:10.1088/1674-1137/abce51 [arXiv:2008.10474 [gr-qc]].
  • [42] S. K. Jha and A. Rahaman, Eur. Phys. J. C 81 (2021) no.4, 345 doi:10.1140/epjc/s10052-021-09132-6 [arXiv:2011.14916 [gr-qc]].
  • [43] A. Uniyal, S. Kanzi and İ. Sakallı, Eur. Phys. J. C 83 (2023) no.7, 668 doi:10.1140/epjc/s10052-023-11846-8 [arXiv:2207.10122 [hep-th]].
  • [44] X. M. Kuang and A. Övgün, Annals Phys. 447 (2022), 169147 doi:10.1016/j.aop.2022.169147 [arXiv:2205.11003 [gr-qc]].
  • [45] R. C. Pantig, S. Kala, A. Övgün and N. J. L. S. Lobos, doi:10.1142/S0219887825502408 [arXiv:2410.13661 [gr-qc]].
  • [46] S. U. Islam, S. G. Ghosh and S. D. Maharaj, JCAP 12 (2024), 047 doi:10.1088/1475-7516/2024/12/047 [arXiv:2410.05395 [gr-qc]].
  • [47] X. J. Gao, Eur. Phys. J. C 84 (2024) no.9, 973 doi:10.1140/epjc/s10052-024-13338-9 [arXiv:2409.12531 [gr-qc]].
  • [48] Y. Sekhmani, S. K. Maurya, J. Rayimbaev, M. Altanji, I. Ibragimov and S. Muminov, Phys. Dark Univ. 50 (2025), 102116 doi:10.1016/j.dark.2025.102116.
  • [49] F. Yuan and R. Narayan, Ann. Rev. Astron. Astrophys. 52 (2014), 529-588 doi:10.1146/annurev-astro-082812141003 [arXiv:1401.0586 [astro-ph.HE]].
  • [50] V. Perlick, O. Y. Tsupko and G. S. BisnovatyiKogan, Phys. Rev. D 92 (2015) no.10, 104031 doi:10.1103/PhysRevD.92.104031 [arXiv:1507.04217 [grqc]].
  • [51] G. S. Bisnovatyi-Kogan and O. Y. Tsupko, Mon. Not. Roy. Astron. Soc. 404 (2010), 1790-1800 doi:10.1111/j.1365-2966.2010.16290.x [arXiv:1006.2321 [astro-ph.CO]].
  • [52] M. Sárený and V. Balek, Gen. Rel. Grav. 51 (2019) no.11, 141 doi:10.1007/s10714-019-2629-8 [arXiv:1907.08525 [gr-qc]].
  • [53] F. Atamurotov and B. Ahmedov, Phys. Rev. D 92 (2015), 084005 doi:10.1103/PhysRevD.92.084005 [arXiv:1507.08131 [gr-qc]].
  • [54] A. Abdujabbarov, M. Amir, B.Ahmedov and S. G. Ghosh, Phys. Rev. D 93 (2016) no.10, 104004 doi:10.1103/PhysRevD.93.104004 [arXiv:1604.03809 [gr-qc]].
  • [55] G. S. Bisnovatyi-Kogan and O. Y. Tsupko, Universe 3 (2017) no.3, 57 doi:10.3390/universe3030057 [arXiv:1905.06615 [gr-qc]].
  • [56] V. Perlick and O. Y. Tsupko, Phys. Rev. D 95 (2017) no.10, 104003 doi:10.1103/PhysRevD.95.104003 [arXiv:1702.08768 [gr-qc]].
  • [57] Z. Zhang, H.Yan, M. Guo and B. Chen, Phys. Rev. D 107 (2023) no.2, 024027 doi:10.1103/PhysRevD.107.024027 [arXiv:2206.04430 [gr-qc]].
  • [58] A. Chowdhuri and A. Bhattacharyya, Phys. Rev. D 104 (2021) no.6, 064039 doi:10.1103/PhysRevD.104.064039 [arXiv:2012.12914 [gr-qc]].
  • [59] Q. Li, Y. Zhu and T. Wang, Eur. Phys. J. C 82 (2022) no.1, 2 doi:10.1140/epjc/s10052-021-09959-z [arXiv:2102.00957 [gr-qc]].
  • [60] Q. Sun, Y. Zhang, C. H. Xie and Q. Q. Li, Phys. Dark Univ. 46 (2024), 101599 doi:10.1016/j.dark.2024.101599 [arXiv:2401.08693 [gr-qc]].
  • [61] K. Nozari, S. Saghafi and A. Mohammadpour, Eur. Phys. J. C 84 (2024) no.8, 778 doi:10.1140/epjc/s10052-02413148-z [arXiv:2407.06393 [gr-qc]].
  • [62] Y. Meng, X. M. Kuang and Z. Y. Tang, Phys. Rev. D 106 (2022) no.6, 064006 doi:10.1103/PhysRevD.106.064006 [arXiv:2204.00897 [gr-qc]].
  • [63] M. Heydari-Fard, M. Heydari-Fard and N. Riazi, Int. J. Mod. Phys. D 32 (2023) no.13, 2350088 doi:10.1142/S0218271823500888 [arXiv:2307.01529 [grqc]].
  • [64] W. Liu, D. Wu and J. Wang, JCAP 05 (2025), 017 doi:10.1088/1475-7516/2025/05/017 [arXiv:2407.07416 [gr-qc]].
  • [65] G. Z. Babar, A. Z. Babar and F. Atamurotov, Eur. Phys. J. C 80 (2020) no.8, 761 [erratum: Eur. Phys. J. C 82 (2022), 403] doi:10.1140/epjc/s10052-020-8346-3 [arXiv:2008.05845 [gr-qc]].
  • [65] G. Z. Babar, A. Z. Babar and F. Atamurotov, Eur. Phys. J. C 80 (2020) no.8, 761 [erratum: Eur. Phys. J. C 82 (2022), 403] doi:10.1140/epjc/s10052-020-8346-3 [arXiv:2008.05845 [gr-qc]].
  • [66] J. Badía and E. F. Eiroa, Phys. Rev. D 104 (2021) no.8, 084055 doi:10.1103/PhysRevD.104.084055 [arXiv:2106.07601 [gr-qc]].
  • [67] F. Atamurotov, M. Jamil and K. Jusufi, Chin. Phys. C 47 (2023) no.3, 035106 doi:10.1088/1674-1137/acaef7 [arXiv:2212.12949 [gr-qc]].
  • [68] N. U. Molla and U. Debnath, Annals Phys. 453 (2023), 169304 doi:10.1016/j.aop.2023.169304 [arXiv:2212.02104 [gr-qc]].
  • [69] Y. Pahlavon, F. Atamurotov, K. Jusufi, M. Jamil and A.Abdujabbarov, Phys. Dark Univ. 45 (2024), 101543 doi:10.1016/j.dark.2024.101543 [arXiv:2406.09431 [grqc]].
  • [70] J. Badía and E. F. Eiroa, Phys. Rev. D 107 (2023) no.12, 124028 doi:10.1103/PhysRevD.107.124028 [arXiv:2210.03081 [gr-qc]].
  • [71] R. Ali, M. Awais and A. Mahmood, Annalen Phys. 535 (2023) no.9, 2300236 doi:10.1002/andp.202300236.
  • [72] H. M. Wang and S. W. Wei, Eur. Phys. J. Plus 137 (2022) no.5, 571 doi:10.1140/epjp/s13360-022-02785-6 [arXiv:2106.14602 [gr-qc]].
  • [73] J. Z. Liu, W. D. Guo, S. W. Wei and Y. X. Liu, Eur. Phys. J. C 85 (2025) no.2, 145 doi:10.1140/epjc/s10052025-13859-x [arXiv:2407.08396 [gr-qc]].
  • [74] B. Bezdekova, V. Perlick and J. Bicak, J. Math. Phys. 63 (2022) no.9, 092501 doi:10.1063/5.0106433 [arXiv:2204.05593 [gr-qc]].
  • [75] M. Fathi, M. Olivares and J. R. Villanueva, Eur. Phys. J. C 81 (2021) no.11, 987 doi:10.1140/epjc/s10052-02109787-1 [arXiv:2104.07721 [gr-qc]].
  • [76] S. L. Shapiro, Astrophys. J. 189 (1974), 343-352 doi:10.1086/152809
  • [77] A. Grenzebach, V. Perlick and C. Lämmerzahl, Phys. Rev. D 89 (2014) no.12, 124004 doi:10.1103/PhysRevD.89.124004 [arXiv:1403.5234 [gr-qc]].
  • [78] K. Hioki and K. i. Maeda, Phys. Rev. D 80 (2009), 024042 doi:10.1103/PhysRevD.80.024042 [arXiv:0904.3575 [astro-ph.HE]].
  • [79] R. Kumar and S. G. Ghosh, Astrophys. J. 892 (2020) no.2, 78 doi:10.3847/1538-4357/ab77b0 [arXiv:1906.02572 [gr-qc]].
  • [80] O. Y. Tsupko, Phys. Rev. D 95 (2017) no.10, 104058 doi:10.1103/PhysRevD.95.104058 [arXiv:1702.04005 [grqc]].
  • [81] S. W. Wei and Y. X. Liu, JCAP 11 (2013), 063 doi:10.1088/1475-7516/2013/11/063 [arXiv:1311.4251 [gr-qc]].
  • [82] C. Bambi, K. Freese, S. Vagnozzi and L. Visinelli, Phys. Rev. D 100 (2019) no.4, 044057 doi:10.1103/PhysRevD.100.044057 [arXiv:1904.12983 [gr-qc]].
  • [83] M. Afrin, R. Kumar and S. G. Ghosh, Mon. Not. Roy. Astron. Soc. 504 (2021) no.4, 5927-5940 doi:10.1093/mnras/stab1260 [arXiv:2103.11417 [gr-qc]].
  • [84] I. Banerjee, S. Chakraborty and S. SenGupta, Phys. Rev. D 101 (2020) no.4, 041301 doi:10.1103/PhysRevD.101.041301 [arXiv:1909.09385 [gr-qc]].
  • [85] R. Kumar and S. G. Ghosh, JCAP 07 (2020), 053 doi:10.1088/1475-7516/2020/07/053 [arXiv:2003.08927 [gr-qc]].
  • [86] R. Craig Walker, P. E. Hardee, F. B. Davies, C. Ly and W. Junor, Astrophys. J. 855 (2018) no.2, 128 doi:10.3847/1538-4357/aaafcc [arXiv:1802.06166 [astroph.HE]].