Resonant production of heavy particles during inflation and its gravitational wave signature

Author(s)

Chen, Qi, Yin, Yuan

Abstract

We show that a quadratic $U(1)$-breaking term, together with an effective chemical potential induced by a dimension five derivative coupling between the inflaton and the $U(1)$ current, can drive efficient particle production during inflation even when the $U(1)$ field is heavier than the Hubble scale. Notably, the chemical potential enables efficient production even when the $U(1)$-breaking mass is smaller than the effective diagonal mass. We compute the gravitational wave signal generated by this mechanism during inflation, derive the primordial tensor spectrum, and map it to the present day energy density $Ω_{\mathrm GW}(f)$. Assuming the $U(1)$ field constitutes the dominant component of dark matter, this mapping fixes the characteristic frequency, which we compare with projected sensitivity curves of ongoing and proposed gravitational wave observatories. Finally, we argue that the same dynamics are accompanied by a cosmological collider signal, providing an independent cross validation of the framework.

Figures

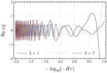
The evolution of the real and imaginary part of the mode function with different momentum.
Caption The evolution of the real and imaginary part of the mode function with different momentum.
The evolution of the real and imaginary part of the mode function with different momentum.
Caption The evolution of the real and imaginary part of the mode function with different momentum.
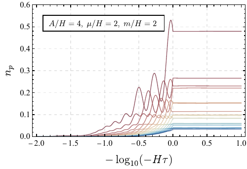
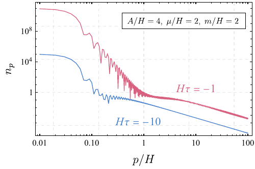
\emph{Left panel}: The evolution of the comoving phase space number density of various mode with momentum range from $p/H \in (1,7)$, where blue/red denote mode with large/small momentum. \emph{Right panel}: The comoving phase space distribution at given comoving time $H\tau = -1$ and $H\tau = -0.5$. The rapid oscillation of $n_p$ is evident in this plot.
Caption \emph{Left panel}: The evolution of the comoving phase space number density of various mode with momentum range from $p/H \in (1,7)$, where blue/red denote mode with large/small momentum. \emph{Right panel}: The comoving phase space distribution at given comoving time $H\tau = -1$ and $H\tau = -0.5$. The rapid oscillation of $n_p$ is evident in this plot.
\emph{Left panel}: The evolution of the comoving phase space number density of various mode with momentum range from $p/H \in (1,7)$, where blue/red denote mode with large/small momentum. \emph{Right panel}: The comoving phase space distribution at given comoving time $H\tau = -1$ and $H\tau = -0.5$. The rapid oscillation of $n_p$ is evident in this plot.
Caption \emph{Left panel}: The evolution of the comoving phase space number density of various mode with momentum range from $p/H \in (1,7)$, where blue/red denote mode with large/small momentum. \emph{Right panel}: The comoving phase space distribution at given comoving time $H\tau = -1$ and $H\tau = -0.5$. The rapid oscillation of $n_p$ is evident in this plot.
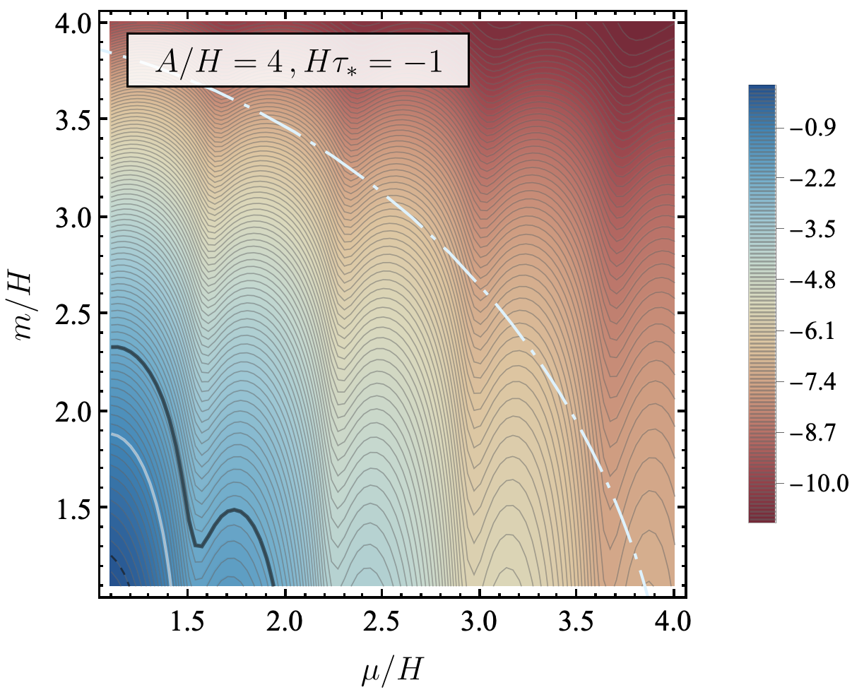
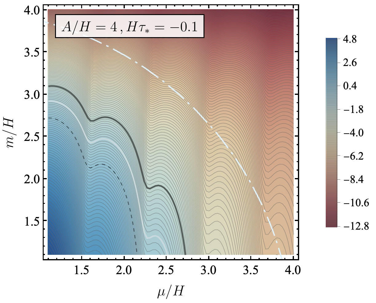
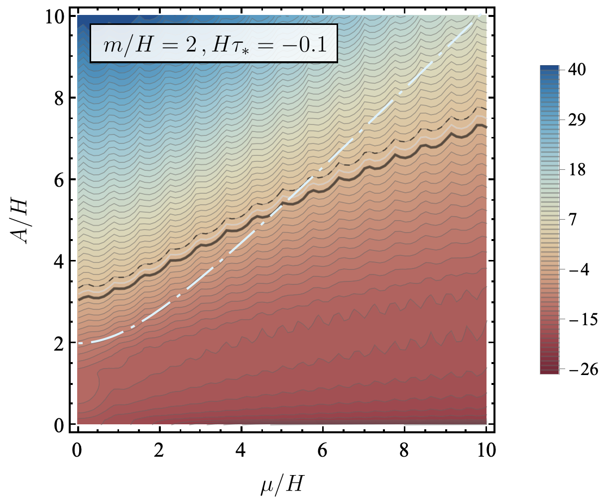
Constraints on the $(\mu/H, A/H)$ and $(\mu/H, m/H)$ planes with $H\tau_i = -100$, where color indicates $\log_{10} f_\chi$. The solid black, solid white, and dashed curves mark the contours $f_\chi = 0.01,0.1,1$ respectively. The dot-dashed curve denote the contour where $A^2 = m^2 + \mu^2$.
Caption Constraints on the $(\mu/H, A/H)$ and $(\mu/H, m/H)$ planes with $H\tau_i = -100$, where color indicates $\log_{10} f_\chi$. The solid black, solid white, and dashed curves mark the contours $f_\chi = 0.01,0.1,1$ respectively. The dot-dashed curve denote the contour where $A^2 = m^2 + \mu^2$.
Constraints on the $(\mu/H, A/H)$ and $(\mu/H, m/H)$ planes with $H\tau_i = -100$, where color indicates $\log_{10} f_\chi$. The solid black, solid white, and dashed curves mark the contours $f_\chi = 0.01,0.1,1$ respectively. The dot-dashed curve denote the contour where $A^2 = m^2 + \mu^2$.
Caption Constraints on the $(\mu/H, A/H)$ and $(\mu/H, m/H)$ planes with $H\tau_i = -100$, where color indicates $\log_{10} f_\chi$. The solid black, solid white, and dashed curves mark the contours $f_\chi = 0.01,0.1,1$ respectively. The dot-dashed curve denote the contour where $A^2 = m^2 + \mu^2$.
Constraints on the $(\mu/H, A/H)$ and $(\mu/H, m/H)$ planes with $H\tau_i = -100$, where color indicates $\log_{10} f_\chi$. The solid black, solid white, and dashed curves mark the contours $f_\chi = 0.01,0.1,1$ respectively. The dot-dashed curve denote the contour where $A^2 = m^2 + \mu^2$.
Caption Constraints on the $(\mu/H, A/H)$ and $(\mu/H, m/H)$ planes with $H\tau_i = -100$, where color indicates $\log_{10} f_\chi$. The solid black, solid white, and dashed curves mark the contours $f_\chi = 0.01,0.1,1$ respectively. The dot-dashed curve denote the contour where $A^2 = m^2 + \mu^2$.
Constraints on the $(\mu/H, A/H)$ and $(\mu/H, m/H)$ planes with $H\tau_i = -100$, where color indicates $\log_{10} f_\chi$. The solid black, solid white, and dashed curves mark the contours $f_\chi = 0.01,0.1,1$ respectively. The dot-dashed curve denote the contour where $A^2 = m^2 + \mu^2$.
Caption Constraints on the $(\mu/H, A/H)$ and $(\mu/H, m/H)$ planes with $H\tau_i = -100$, where color indicates $\log_{10} f_\chi$. The solid black, solid white, and dashed curves mark the contours $f_\chi = 0.01,0.1,1$ respectively. The dot-dashed curve denote the contour where $A^2 = m^2 + \mu^2$.
The shape of the gravitational wave energy density spectrum $\Omega_{\rm GW}h^2$ as a function of frequency $f$ scaled by the frequency $f_*$ of the reference mode.
Caption The shape of the gravitational wave energy density spectrum $\Omega_{\rm GW}h^2$ as a function of frequency $f$ scaled by the frequency $f_*$ of the reference mode.
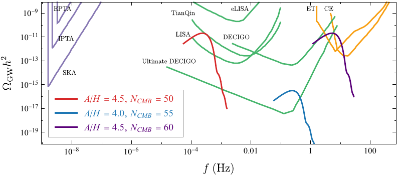
Gravitational wave energy density spectrum $\Omega_{\rm GW}h^2$ as a function of frequency $f$ for the benchmark points listed in Table~\ref{table:Benchmark}. For reference, we overlay representative projected sensitivity curves of selected ongoing and planned gravitational wave observatories.
Caption Gravitational wave energy density spectrum $\Omega_{\rm GW}h^2$ as a function of frequency $f$ for the benchmark points listed in Table~\ref{table:Benchmark}. For reference, we overlay representative projected sensitivity curves of selected ongoing and planned gravitational wave observatories.
The Feynman diagrams that contributes to the bispectrum.
Caption The Feynman diagrams that contributes to the bispectrum.
References
  • [1] A. H. Guth, “The Inflationary Universe: A Possible Solution to the Horizon and Flatness Problems,” Phys. Rev. D 23 (1981) 347–356.
  • [2] A. A. Starobinsky, “Spectrum of relict gravitational radiation and the early state of the universe,” JETP Lett. 30 (1979) 682–685.
  • [3] A. D. Linde, “A New Inflationary Universe Scenario: A Possible Solution of the Horizon, Flatness, Homogeneity, Isotropy and Primordial Monopole Problems,” Phys. Lett. B 108 (1982) 389–393.
  • [4] A. Albrecht and P. J. Steinhardt, “Cosmology for Grand Unified Theories with Radiatively Induced Symmetry Breaking,” Phys. Rev. Lett. 48 (1982) 1220–1223.
  • [5] I. Affleck and M. Dine, “A New Mechanism for Baryogenesis,” Nucl. Phys. B 249 (1985) 361–380.
  • [6] R. N. Mohapatra and N. Okada, “Affleck-Dine baryogenesis with observable neutron-antineutron oscillation,” Phys. Rev. D 104 no. 5, (2021) 055030, arXiv:2107.01514 [hep-ph].
  • [7] M. P. Hertzberg and J. Karouby, “Generating the Observed Baryon Asymmetry from the Inflaton Field,” Phys. Rev. D 89 no. 6, (2014) 063523, arXiv:1309.0010 [hep-ph].
  • [8] K. D. Lozanov and M. A. Amin, “End of inflation, oscillons, and matter-antimatter asymmetry,” Phys. Rev. D 90 no. 8, (2014) 083528, arXiv:1408.1811 [hep-ph].
  • [9] M. Yamada, “Affleck-Dine baryogenesis just after inflation,” Phys. Rev. D 93 no. 8, (2016) 083516, arXiv:1511.05974 [hep-ph].
  • [10] K. Bamba, N. D. Barrie, A. Sugamoto, T. Takeuchi, and K. Yamashita, “Ratchet baryogenesis and an analogy with the forced pendulum,” Mod. Phys. Lett. A 33 no. 17, (2018) 1850097, arXiv:1610.03268 [hep-ph].
  • [11] K. Bamba, N. D. Barrie, A. Sugamoto, T. Takeuchi, and K. Yamashita, “Pendulum Leptogenesis,” Phys. Lett. B 785 (2018) 184–190, arXiv:1805.04826 [hep-ph].
  • [12] Y.-Y. Charng, D.-S. Lee, C. N. Leung, and K.-W. Ng, “Affleck-Dine Baryogenesis, Split Supersymmetry, and Inflation,” Phys. Rev. D 80 (2009) 063519, arXiv:0802.1328 [hep-ph].
  • [13] Y.-P. Wu, L. Yang, and A. Kusenko, “Leptogenesis from spontaneous symmetry breaking during inflation,” JHEP 12 (2019) 088, arXiv:1905.10537 [hep-ph].
  • [14] C.-M. Lin and K. Kohri, “Inflaton as the Affleck-Dine Baryogenesis Field in Hilltop Supernatural Inflation,” Phys. Rev. D 102 no. 4, (2020) 043511, arXiv:2003.13963 [hep-ph].
  • [15] N. D. Barrie, A. Sugamoto, T. Takeuchi, and K. Yamashita, “Higgs Inflation, Vacuum Stability, and Leptogenesis,” JHEP 08 (2020) 072, arXiv:2001.07032 [hep-ph].
  • [16] H. An, Q. Chen, and Y. Yin, “A model for inflaton induced baryogenesis and its phenomenological consequences,” JHEP 06 (2025) 222, arXiv:2409.05833 [astro-ph.CO].
  • [17] A. Bodas, S. Kumar, and R. Sundrum, “The Scalar Chemical Potential in Cosmological Collider Physics,” JHEP 02 (2021) 079, arXiv:2010.04727 [hep-ph].
  • [18] A. Bodas, E. Broadberry, and R. Sundrum, “Grand unification at the cosmological collider with chemical potential,” JHEP 01 (2025) 115, arXiv:2409.07524 [hep-ph].
  • [19] A. Bodas, E. Broadberry, R. Sundrum, and Z. Xu, “Charged Loops at the Cosmological Collider with Chemical Potential,” arXiv:2507.22978 [hep-ph].
  • [20] E. W. Kolb, D. J. H. Chung, and A. Riotto, “WIMPzillas!,” AIP Conf. Proc. 484 no. 1, (1999) 91–105, arXiv:hep-ph/9810361.
  • [21] H. An, X. Tong, and S. Zhou, “Superheavy dark matter production from a symmetry-restoring first-order phase transition during inflation,” Phys. Rev. D 107 no. 2, (2023) 023522, arXiv:2208.14857 [hep-ph].
  • [22] L. Li, T. Nakama, C. M. Sou, Y. Wang, and S. Zhou, “Gravitational Production of Superheavy Dark Matter and Associated Cosmological Signatures,” JHEP 07 (2019) 067, arXiv:1903.08842 [astro-ph.CO].
  • [23] L. Li, S. Lu, Y. Wang, and S. Zhou, “Cosmological Signatures of Superheavy Dark Matter,” JHEP 07 (2020) 231, arXiv:2002.01131 [hep-ph].
  • [24] P. Adshead, L. Pearce, M. Peloso, M. A. Roberts, and L. Sorbo, “Gravitational waves from fermion production during axion inflation,” JCAP 10 (2019) 018, arXiv:1904.10483 [astro-ph.CO].
  • [25] L. Kofman, A. D. Linde, and A. A. Starobinsky, “Towards the theory of reheating after inflation,” Phys. Rev. D 56 (1997) 3258–3295, arXiv:hep-ph/9704452.
  • [26] Y. Ema, R. Jinno, K. Mukaida, and K. Nakayama, “Gravitational Effects on Inflaton Decay,” JCAP 05 (2015) 038, arXiv:1502.02475 [hep-ph].
  • [27] Y. Ema, R. Jinno, K. Mukaida, and K. Nakayama, “Gravitational particle production in oscillating backgrounds and its cosmological implications,” Phys. Rev. D 94 no. 6, (2016) 063517, arXiv:1604.08898 [hep-ph].
  • [28] Y. Ema, K. Nakayama, and Y. Tang, “Production of Purely Gravitational Dark Matter,” JHEP 09 (2018) 135, arXiv:1804.07471 [hep-ph].
  • [29] E. W. Kolb and A. J. Long, “Cosmological gravitational particle production and its implications for cosmological relics,” Rev. Mod. Phys. 96 no. 4, (2024) 045005, arXiv:2312.09042 [astro-ph.CO].
  • [30] J. L. Cook and L. Sorbo, “Particle production during inflation and gravitational waves detectable by ground-based interferometers,” Phys. Rev. D 85 (2012) 023534, arXiv:1109.0022 [astro-ph.CO]. [Erratum: Phys.Rev.D 86, 069901 (2012)].
  • [30] J. L. Cook and L. Sorbo, “Particle production during inflation and gravitational waves detectable by ground-based interferometers,” Phys. Rev. D 85 (2012) 023534, arXiv:1109.0022 [astro-ph.CO]. [Erratum: Phys.Rev.D 86, 069901 (2012)].
  • [31] LIGO Scientific, KAGRA, VIRGO Collaboration, R. Abbott et al., “Search for Gravitational-wave Transients Associated with Magnetar Bursts in Advanced LIGO and Advanced Virgo Data from the Third Observing Run,” Astrophys. J. 966 no. 1, (2024) 137, arXiv:2210.10931 [astro-ph.HE].
  • [32] LISA Collaboration, P. Amaro-Seoane et al., “Laser Interferometer Space Antenna,” arXiv:1702.00786 [astro-ph.IM].
  • [33] TianQin Collaboration, J. Luo et al., “TianQin: a space-borne gravitational wave detector,” Class. Quant. Grav. 33 no. 3, (2016) 035010, arXiv:1512.02076 [astro-ph.IM].
  • [34] W.-H. Ruan, Z.-K. Guo, R.-G. Cai, and Y.-Z. Zhang, “Taiji Program: Gravitational-Wave Sources,” Int. J. Mod. Phys. A 35 no. 17, (2020) 2050075, arXiv:1807.09495 [gr-qc].
  • [35] NANOGrav Collaboration, G. Agazie et al., “The NANOGrav 15 yr Data Set: Observations and Timing of 68 Millisecond Pulsars,” Astrophys. J. Lett. 951 no. 1, (2023) L9, arXiv:2306.16217 [astro-ph.HE].
  • [36] EPTA Collaboration, J. Antoniadis et al., “The second data release from the European Pulsar Timing Array - I. The dataset and timing analysis,” Astron. Astrophys. 678 (2023) A48, arXiv:2306.16224 [astro-ph.HE].
  • [37] A. Zic et al., “The Parkes Pulsar Timing Array third data release,” Publ. Astron. Soc. Austral. 40 (2023) e049, arXiv:2306.16230 [astro-ph.HE].
  • [38] H. Xu et al., “Searching for the Nano-Hertz Stochastic Gravitational Wave Background with the Chinese Pulsar Timing Array Data Release I,” Res. Astron. Astrophys. 23 no. 7, (2023) 075024, arXiv:2306.16216 [astro-ph.HE].
  • [39] NANOGrav Collaboration, G. Agazie et al., “The NANOGrav 15 yr Data Set: Evidence for a Gravitational-wave Background,” Astrophys. J. Lett. 951 no. 1, (2023) L8, arXiv:2306.16213 [astro-ph.HE].
  • [40] EPTA, InPTA: Collaboration, J. Antoniadis et al., “The second data release from the European Pulsar Timing Array - III. Search for gravitational wave signals,” Astron. Astrophys. 678 (2023) A50, arXiv:2306.16214 [astro-ph.HE].
  • [41] D. J. Reardon et al., “Search for an Isotropic Gravitational-wave Background with the Parkes Pulsar Timing Array,” Astrophys. J. Lett. 951 no. 1, (2023) L6, arXiv:2306.16215 [astro-ph.HE].
  • [42] NANOGrav Collaboration, M. Vallisneri et al., “Modeling the uncertainties of solar-system ephemerides for robust gravitational-wave searches with pulsar timing arrays,” arXiv:2001.00595 [astro-ph.HE].
  • [43] CMB-S4 Collaboration, K. N. Abazajian et al., CMB-S4 Science Book, First Edition. 10, 2016. arXiv:1610.02743 [astro-ph.CO].
  • [44] P. Adshead and E. I. Sfakianakis, “Fermion production during and after axion inflation,” JCAP 11 (2015) 021, arXiv:1508.00891 [hep-ph].
  • [45] L.-T. Wang and Z.-Z. Xianyu, “Gauge Boson Signals at the Cosmological Collider,” JHEP 11 (2020) 082, arXiv:2004.02887 [hep-ph].
  • [46] X. Tong and Z.-Z. Xianyu, “Large spin-2 signals at the cosmological collider,” JHEP 10 (2022) 194, arXiv:2203.06349 [hep-ph].
  • [47] Z. Qin and Z.-Z. Xianyu, “Helical inflation correlators: partial Mellin-Barnes and bootstrap equations,” JHEP 04 (2023) 059, arXiv:2208.13790 [hep-th].
  • [48] C. M. Sou, X. Tong, and Y. Wang, “Chemical-potential-assisted particle production in FRW spacetimes,” JHEP 06 (2021) 129, arXiv:2104.08772 [hep-th].
  • [49] Y. Yamada, “Superadiabatic basis in cosmological particle production: application to preheating,” JCAP 09 (2021) 009, arXiv:2106.06111 [hep-th].
  • [50] J. Preskill, “Quantum field theory in curved spacetime.” 1990.
  • [51] L. Parker and S. A. Fulling, “Adiabatic regularization of the energy momentum tensor of a quantized field in homogeneous spaces,” Phys. Rev. D 9 (1974) 341–354.
  • [52] N. D. Birrell and P. C. W. Davies, Quantum Fields in Curved Space. Cambridge Monographs on Mathematical Physics. Cambridge University Press, Cambridge, UK, 1982.
  • [53] P. R. Anderson and L. Parker, “Adiabatic Regularization in Closed Robertson-walker Universes,” Phys. Rev. D 36 (1987) 2963.
  • [54] B. Allen and J. D. Romano, “Detecting a stochastic background of gravitational radiation: Signal processing strategies and sensitivities,” Phys. Rev. D 59 (1999) 102001, arXiv:gr-qc/9710117.
  • [55] S. Weinberg, “Damping of tensor modes in cosmology,” Phys. Rev. D 69 (2004) 023503, arXiv:astro-ph/0306304.
  • [56] M. Maggiore, Gravitational Waves. Vol. 1: Theory and Experiments. Oxford University Press, 2007.
  • [57] C. Caprini and D. G. Figueroa, “Cosmological Backgrounds of Gravitational Waves,” Class. Quant. Grav. 35 no. 16, (2018) 163001, arXiv:1801.04268 [astro-ph.CO].
  • [58] S. Kawamura et al., “Current status of space gravitational wave antenna DECIGO and B-DECIGO,” PTEP 2021 no. 5, (2021) 05A105, arXiv:2006.13545 [gr-qc].
  • [59] ET Collaboration, A. Abac et al., “The Science of the Einstein Telescope,” arXiv:2503.12263 [gr-qc].
  • [60] D. Reitze et al., “Cosmic Explorer: The U.S. Contribution to Gravitational-Wave Astronomy beyond LIGO,” Bull. Am. Astron. Soc. 51 (7, 2019) 035, arXiv:1907.04833 [astro-ph.IM].
  • [61] N. Arkani-Hamed and J. Maldacena, “Cosmological collider physics.” 2015.
  • [62] X. Chen and Y. Wang, “Quasi-Single Field Inflation and Non-Gaussianities,” JCAP 04 (2010) 027, arXiv:0911.3380 [hep-th].
  • [63] J. Hubisz, S. J. Lee, H. Li, and B. Sambasivam, “Cosmological quasiparticles and the cosmological collider,” Phys. Rev. D 111 no. 2, (2025) 023543, arXiv:2408.08951 [astro-ph.CO].
  • [64] H. Lee, D. Baumann, and G. L. Pimentel, “Non-Gaussianity as a Particle Detector,” JHEP 12 (2016) 040, arXiv:1607.03735 [hep-th].
  • [65] X. Chen, Y. Wang, and Z.-Z. Xianyu, “Schwinger-Keldysh Diagrammatics for Primordial Perturbations,” JCAP 12 (2017) 006, arXiv:1703.10166 [hep-th].
  • [66] Y. Cui and Z.-Z. Xianyu, “Probing Leptogenesis with the Cosmological Collider,” Phys. Rev. Lett. 129 no. 11, (2022) 111301, arXiv:2112.10793 [hep-ph].
  • [67] L.-T. Wang and Z.-Z. Xianyu, “In Search of Large Signals at the Cosmological Collider,” JHEP 02 (2020) 044, arXiv:1910.12876 [hep-ph].
  • [68] L.-T. Wang and Z.-Z. Xianyu, “Gauge Boson Signals at the Cosmological Collider,” JHEP 11 (2020) 082, arXiv:2004.02887 [hep-ph].
  • [69] X. Chen, Y. Wang, and Z.-Z. Xianyu, “Neutrino Signatures in Primordial Non-Gaussianities,” JHEP 09 (2018) 022, arXiv:1805.02656 [hep-ph].
  • [70] X. Chen, Y. Wang, and Z.-Z. Xianyu, “Standard Model Mass Spectrum in Inflationary Universe,” JHEP 04 (2017) 058, arXiv:1612.08122 [hep-th].
  • [71] X. Chen, Y. Wang, and Z.-Z. Xianyu, “Standard Model Background of the Cosmological Collider,” Phys. Rev. Lett. 118 no. 26, (2017) 261302, arXiv:1610.06597 [hep-th].
  • [72] X. Chen, Y. Wang, and Z.-Z. Xianyu, “Loop Corrections to Standard Model Fields in Inflation,” JHEP 08 (2016) 051, arXiv:1604.07841 [hep-th].
  • [73] X. Chen, M. H. Namjoo, and Y. Wang, “Quantum Primordial Standard Clocks,” JCAP 02 (2016) 013, arXiv:1509.03930 [astro-ph.CO].
  • [74] G. L. Pimentel and D.-G. Wang, “Boostless cosmological collider bootstrap,” JHEP 10 (2022) 177, arXiv:2205.00013 [hep-th].
  • [75] Y. Yin, “Cosmological collider signal from non-Bunch-Davies initial states,” Phys. Rev. D 109 no. 4, (2024) 043535, arXiv:2309.05244 [hep-ph].
  • [76] S. Aoki and M. Yamaguchi, “Disentangling mass spectra of multiple fields in cosmological collider,” JHEP 04 (2021) 127, arXiv:2012.13667 [hep-th].
  • [77] L. Pinol, S. Aoki, S. Renaux-Petel, and M. Yamaguchi, “Inflationary flavor oscillations and the cosmic spectroscopy,” Phys. Rev. D 107 no. 2, (2023) L021301, arXiv:2112.05710 [hep-th].
  • [78] S. Aoki, “Continuous spectrum on cosmological collider,” JCAP 04 (2023) 002, arXiv:2301.07920 [hep-th].
  • [79] S. Aoki and A. Strumia, “Testing the arrow of time at the cosmo collider,” arXiv:2510.05204 [hep-ph].
  • [80] S. Aoki, A. Ghoshal, and A. Strumia, “Cosmological collider non-Gaussianity from multiple scalars and R2 gravity,” JHEP 11 (2024) 009, arXiv:2408.07069 [astro-ph.CO].
  • [81] S. P. Martin, “A Supersymmetry primer,” Adv. Ser. Direct. High Energy Phys. 18 (1998) 1–98, arXiv:hep-ph/9709356.
  • [82] A. Caravano, E. Komatsu, K. D. Lozanov, and J. Weller, “Lattice simulations of axion-U(1) inflation,” Phys. Rev. D 108 no. 4, (2023) 043504, arXiv:2204.12874 [astro-ph.CO].
  • [83] A. Berera, “Warm inflation,” Phys. Rev. Lett. 75 (1995) 3218–3221, arXiv:astro-ph/9509049.
  • [84] A. Berera, I. G. Moss, and R. O. Ramos, “Warm Inflation and its Microphysical Basis,” Rept. Prog. Phys. 72 (2009) 026901, arXiv:0808.1855 [hep-ph].
  • [85] R. Z. Ferreira and A. Notari, “Thermalized Axion Inflation,” JCAP 09 (2017) 007, arXiv:1706.00373 [astro-ph.CO].
  • [86] K. V. Berghaus, P. W. Graham, and D. E. Kaplan, “Minimal Warm Inflation,” JCAP 03 (2020) 034, arXiv:1910.07525 [hep-ph]. [Erratum: JCAP 10, E02 (2023)].
  • [86] K. V. Berghaus, P. W. Graham, and D. E. Kaplan, “Minimal Warm Inflation,” JCAP 03 (2020) 034, arXiv:1910.07525 [hep-ph]. [Erratum: JCAP 10, E02 (2023)].
  • [87] K. V. Berghaus, M. Drewes, and S. Zell, “Warm Inflation with the Standard Model,” Phys. Rev. Lett. 135 no. 17, (2025) 171002, arXiv:2503.18829 [hep-ph].