Detectability of Gravitational-Wave Memory with LISA: A Bayesian Approach

Author(s)

Cogez, Adrien, Gasparotto, Silvia, Zosso, Jann, Inchauspé, Henri, Pitte, Chantal, Magaña Zertuche, Lorena, Petiteau, Antoine, Besancon, Marc

Abstract

Gravitational wave (GW) astronomy opens a new venue to explore the universe. Future observatories such as LISA, the Laser Interferometer Space Antenna, are expected to observe previously undetectable fundamental physics effects in signals predicted by General Relativity (GR).One particularly interesting such signal is associated to the displacement memory effect, which corresponds to a permanent deformation of spacetime due to the passage of gravitational radiation. In this work, we explore the ability of LISA to observe and characterize this effect. In order to do this, we use state-of-the-art simulations of the LISA instrument, and we perform a Bayesian analysis to assess the detectability and establish general conditions to claim detection of the displacement memory effect from individual massive black hole binary (MBHB) merger events in LISA. We perform parameter estimation both to explore the impact of the displacement memory effect and to reconstruct its amplitude. We discuss the precision at which such a reconstruction can be obtained thus opening the way to tests of GR and alternative theories. To provide astrophysical context, we apply our analysis to black hole binary populations models and estimate the rates at which the displacement memory effect could be observed within the LISA planned lifetime.

Figures

Example of the + polarization of a time-domain waveform with memory effect using the waveform {\tt NRHybSur3dq8\_CCE}. The blue curve shows the total signal ($(2,2)$-oscillatory + memory) and its associated $(2,0)$ memory component in red. The parameters are $Q=1.5$, $\chi_{\mathrm{1z}}=0.7$, $\chi_{\mathrm{2z}}=0.7$, $M=10^6 M_\odot$, $d_\mathrm{L}=10^4$ Mpc, $\iota=\frac{\pi}{2}$, $\varphi_{\mathrm{ref}}=0$, $\psi = 0$.
Caption Example of the + polarization of a time-domain waveform with memory effect using the waveform {\tt NRHybSur3dq8\_CCE}. The blue curve shows the total signal ($(2,2)$-oscillatory + memory) and its associated $(2,0)$ memory component in red. The parameters are $Q=1.5$, $\chi_{\mathrm{1z}}=0.7$, $\chi_{\mathrm{2z}}=0.7$, $M=10^6 M_\odot$, $d_\mathrm{L}=10^4$ Mpc, $\iota=\frac{\pi}{2}$, $\varphi_{\mathrm{ref}}=0$, $\psi = 0$.
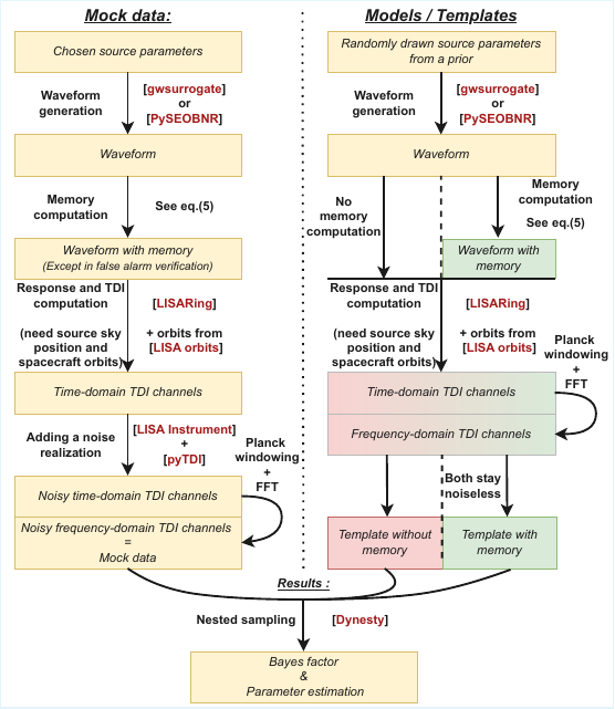
Summarized steps to obtain mock data and templates. Red names indicate the package use for a given process.
Caption Summarized steps to obtain mock data and templates. Red names indicate the package use for a given process.
$\SNRtot$ (top subfigure) and $\SNRmem$ (bottom subfigure) depending on the total source mass $M$ and the mass ratio $Q$. Because of the different frequency content between the oscillatory and the memory signal, the peak of the sensitivity is different in the two cases. Here we used the {\tt NRHybSur3dq8\_CCE} waveform and the following parameters: $\chi_{\mathrm{1z}} = \chi_{\mathrm{2z}}=0.4$, $\iota = \pi/3$, $d_{\mathrm{L}} = 10^4 \textrm{Mpc}$, $\varphi_{\mathrm{ref}} = 1$, $\psi = 0$, $\alpha = 0.74$, $\delta = 0.29$.
Caption $\SNRtot$ (top subfigure) and $\SNRmem$ (bottom subfigure) depending on the total source mass $M$ and the mass ratio $Q$. Because of the different frequency content between the oscillatory and the memory signal, the peak of the sensitivity is different in the two cases. Here we used the {\tt NRHybSur3dq8\_CCE} waveform and the following parameters: $\chi_{\mathrm{1z}} = \chi_{\mathrm{2z}}=0.4$, $\iota = \pi/3$, $d_{\mathrm{L}} = 10^4 \textrm{Mpc}$, $\varphi_{\mathrm{ref}} = 1$, $\psi = 0$, $\alpha = 0.74$, $\delta = 0.29$.
$\SNRtot$ (top subfigure) and $\SNRmem$ (bottom subfigure) depending on the total source mass $M$ and the mass ratio $Q$. Because of the different frequency content between the oscillatory and the memory signal, the peak of the sensitivity is different in the two cases. Here we used the {\tt NRHybSur3dq8\_CCE} waveform and the following parameters: $\chi_{\mathrm{1z}} = \chi_{\mathrm{2z}}=0.4$, $\iota = \pi/3$, $d_{\mathrm{L}} = 10^4 \textrm{Mpc}$, $\varphi_{\mathrm{ref}} = 1$, $\psi = 0$, $\alpha = 0.74$, $\delta = 0.29$.
Caption $\SNRtot$ (top subfigure) and $\SNRmem$ (bottom subfigure) depending on the total source mass $M$ and the mass ratio $Q$. Because of the different frequency content between the oscillatory and the memory signal, the peak of the sensitivity is different in the two cases. Here we used the {\tt NRHybSur3dq8\_CCE} waveform and the following parameters: $\chi_{\mathrm{1z}} = \chi_{\mathrm{2z}}=0.4$, $\iota = \pi/3$, $d_{\mathrm{L}} = 10^4 \textrm{Mpc}$, $\varphi_{\mathrm{ref}} = 1$, $\psi = 0$, $\alpha = 0.74$, $\delta = 0.29$.
Memory waterfall plot from the Fig.~\ref{fig:WaterfallPlotsSurrogate} with stars corresponding to the computed $\log_{10}\mathcal{B}$. The colour of the stars corresponds to the Jeffreys scale (Table~\ref{tab:JeffreysScale}) as indicated by the colour-bar under the figure. The light gray dashed line represents the ISO-SNR contour $\SNRmem = 3$. This plot used the {\tt NRHybSur3dq8\_CCE} waveform and the same parameters as Fig.~\ref{fig:WaterfallPlotsSurrogate}
Caption Memory waterfall plot from the Fig.~\ref{fig:WaterfallPlotsSurrogate} with stars corresponding to the computed $\log_{10}\mathcal{B}$. The colour of the stars corresponds to the Jeffreys scale (Table~\ref{tab:JeffreysScale}) as indicated by the colour-bar under the figure. The light gray dashed line represents the ISO-SNR contour $\SNRmem = 3$. This plot used the {\tt NRHybSur3dq8\_CCE} waveform and the same parameters as Fig.~\ref{fig:WaterfallPlotsSurrogate}
$\log_{10}$Bayes factor computation for different parameters. The colors stand for different parameters, except mass, which are indicated with different markers. This plot made use of {\tt NRHybSur3dq8\_CCE} waveform.
Caption $\log_{10}$Bayes factor computation for different parameters. The colors stand for different parameters, except mass, which are indicated with different markers. This plot made use of {\tt NRHybSur3dq8\_CCE} waveform.
Comparison of the log-likelihood difference for the injected parameters $\bm{\theta}_{\mathrm{source}}$ and the log-Bayes factor for the same points as the ones computed for Fig.~\ref{fig:logB_dep_in_SNRmem}. An inset focusing on the $[0,6]^2$ region is added to distinguish the points. The lower panel shows the residuals $R = \Delta \log_{10} \mathcal{L} -  \Delta \log_{10} \mathcal{Z}$ with its associated RMSE.
Caption Comparison of the log-likelihood difference for the injected parameters $\bm{\theta}_{\mathrm{source}}$ and the log-Bayes factor for the same points as the ones computed for Fig.~\ref{fig:logB_dep_in_SNRmem}. An inset focusing on the $[0,6]^2$ region is added to distinguish the points. The lower panel shows the residuals $R = \Delta \log_{10} \mathcal{L} - \Delta \log_{10} \mathcal{Z}$ with its associated RMSE.
Mean and dispersion values of $\Delta \log_{10}\mathcal{L}(\bm{\theta}_{\mathrm{source}})$ using various parameters sets. The black dotted line shows the fitted power law linking $\SNRmem$ and $\Delta \log_{10}\mathcal{L} \approx \log_{10}\mathcal{B}$, and the red dashed line correspond to the $\log_{10}\mathcal{B} = 2$ threshold. Different total masses $M$ parameter are separated with different colours (blue for $M=10^5 M_\odot$, orange for $M=10^6 M_\odot$, and green for $M=10^7 M_\odot$), both for computed points and the estimated dispersion, represented as coloured areas. The dot points are computed using {\tt NRHybSur3dq8\_CCE} and are used to perform the fit. The red star points correspond to additional runs computed using {\tt SEOBNRv5HM} waveform, which includes higher modes, and are used to test the model.
Caption Mean and dispersion values of $\Delta \log_{10}\mathcal{L}(\bm{\theta}_{\mathrm{source}})$ using various parameters sets. The black dotted line shows the fitted power law linking $\SNRmem$ and $\Delta \log_{10}\mathcal{L} \approx \log_{10}\mathcal{B}$, and the red dashed line correspond to the $\log_{10}\mathcal{B} = 2$ threshold. Different total masses $M$ parameter are separated with different colours (blue for $M=10^5 M_\odot$, orange for $M=10^6 M_\odot$, and green for $M=10^7 M_\odot$), both for computed points and the estimated dispersion, represented as coloured areas. The dot points are computed using {\tt NRHybSur3dq8\_CCE} and are used to perform the fit. The red star points correspond to additional runs computed using {\tt SEOBNRv5HM} waveform, which includes higher modes, and are used to test the model.
Conversion of the SNR waterfall in Fig.~\ref{fig:MemoryWaterfallPlotWithBF} into a waterfall detectability plot. The main colour bar (on the right) provides information on how likely it is to detect memory for a given set of parameters. The black line shows the $\SNRmem = 3$ threshold. We kept stars from the previous BF computations to compare with the prediction, using the same colour bar as in Fig.~\ref{fig:MemoryWaterfallPlotWithBF}.
Caption Conversion of the SNR waterfall in Fig.~\ref{fig:MemoryWaterfallPlotWithBF} into a waterfall detectability plot. The main colour bar (on the right) provides information on how likely it is to detect memory for a given set of parameters. The black line shows the $\SNRmem = 3$ threshold. We kept stars from the previous BF computations to compare with the prediction, using the same colour bar as in Fig.~\ref{fig:MemoryWaterfallPlotWithBF}.
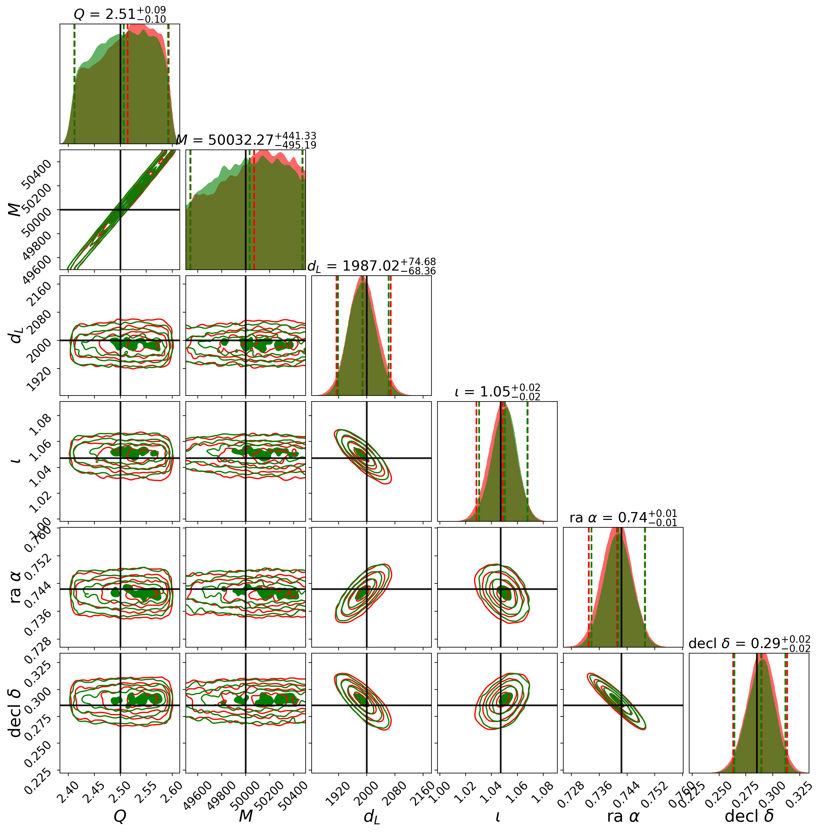
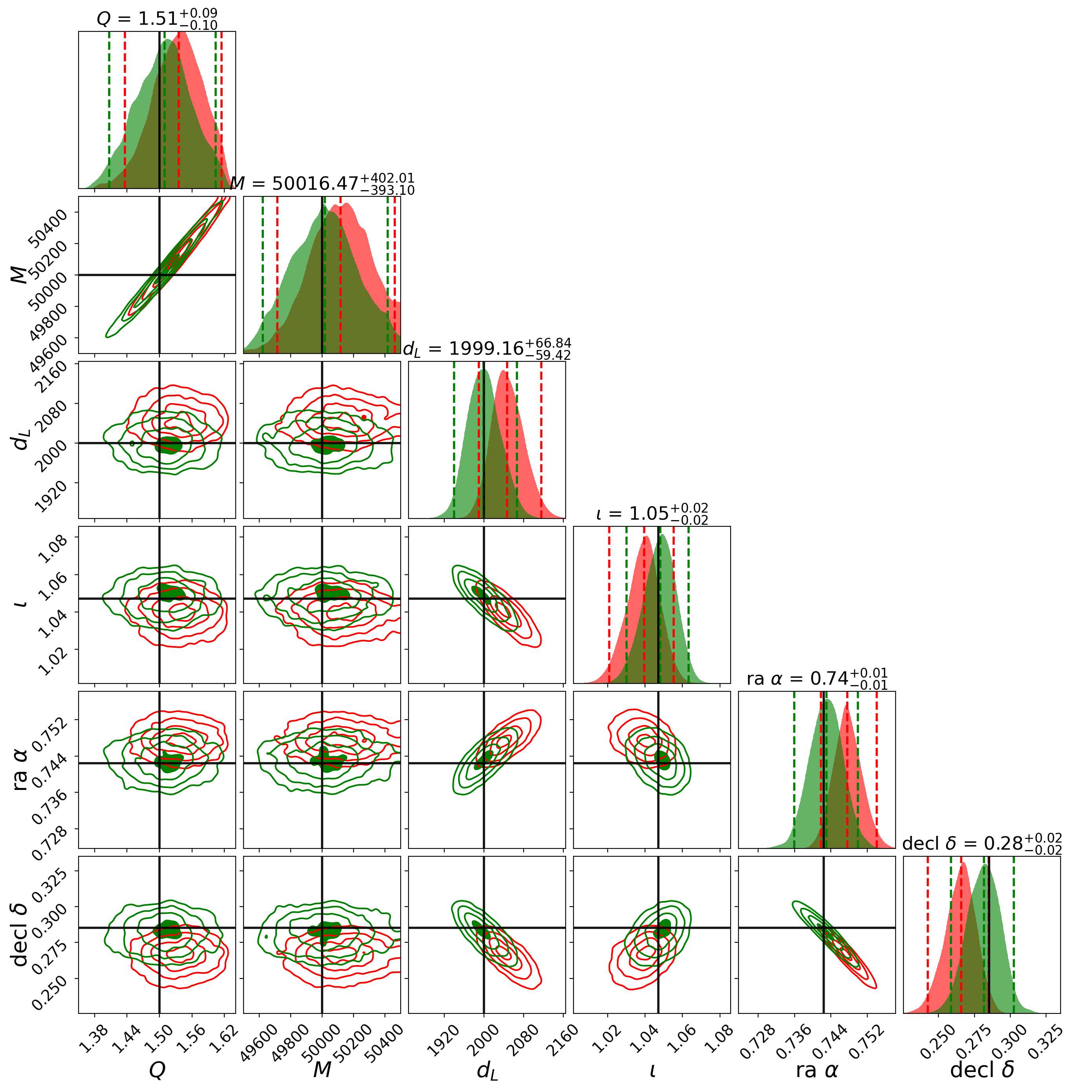
Cropped cornerplots showing parameters estimation of $Q$, $M$, $d_{\mathrm{L}}$, $\iota$, $\alpha$, $\delta$. We plotted the model with memory in green, and the one without in red. The values and uncertainties for parameters indicated on top of the distribution correspond to the memory model. The source parameters are $Q=1.5$ (left) / $Q=2.5$ (right) and [$\chi_{\mathrm{1z}} =\chi_{\mathrm{2z}}=0.7$, $M=5\times10^4 M_\odot$, $d_{\mathrm{L}}=2000$ Mpc, $\iota=\pi/3$, $\varphi_{\mathrm{ref}}=1$, $\psi=0$, $\alpha=0.74$, $\delta=0.29$] Here we used the {\tt NRHybSur3dq8\_CCE} waveform with HM.
Caption Cropped cornerplots showing parameters estimation of $Q$, $M$, $d_{\mathrm{L}}$, $\iota$, $\alpha$, $\delta$. We plotted the model with memory in green, and the one without in red. The values and uncertainties for parameters indicated on top of the distribution correspond to the memory model. The source parameters are $Q=1.5$ (left) / $Q=2.5$ (right) and [$\chi_{\mathrm{1z}} =\chi_{\mathrm{2z}}=0.7$, $M=5\times10^4 M_\odot$, $d_{\mathrm{L}}=2000$ Mpc, $\iota=\pi/3$, $\varphi_{\mathrm{ref}}=1$, $\psi=0$, $\alpha=0.74$, $\delta=0.29$] Here we used the {\tt NRHybSur3dq8\_CCE} waveform with HM.
Cropped cornerplots showing parameters estimation of $Q$, $M$, $d_{\mathrm{L}}$, $\iota$, $\alpha$, $\delta$. We plotted the model with memory in green, and the one without in red. The values and uncertainties for parameters indicated on top of the distribution correspond to the memory model. The source parameters are $Q=1.5$ (left) / $Q=2.5$ (right) and [$\chi_{\mathrm{1z}} =\chi_{\mathrm{2z}}=0.7$, $M=5\times10^4 M_\odot$, $d_{\mathrm{L}}=2000$ Mpc, $\iota=\pi/3$, $\varphi_{\mathrm{ref}}=1$, $\psi=0$, $\alpha=0.74$, $\delta=0.29$] Here we used the {\tt NRHybSur3dq8\_CCE} waveform with HM.
Caption Cropped cornerplots showing parameters estimation of $Q$, $M$, $d_{\mathrm{L}}$, $\iota$, $\alpha$, $\delta$. We plotted the model with memory in green, and the one without in red. The values and uncertainties for parameters indicated on top of the distribution correspond to the memory model. The source parameters are $Q=1.5$ (left) / $Q=2.5$ (right) and [$\chi_{\mathrm{1z}} =\chi_{\mathrm{2z}}=0.7$, $M=5\times10^4 M_\odot$, $d_{\mathrm{L}}=2000$ Mpc, $\iota=\pi/3$, $\varphi_{\mathrm{ref}}=1$, $\psi=0$, $\alpha=0.74$, $\delta=0.29$] Here we used the {\tt NRHybSur3dq8\_CCE} waveform with HM.
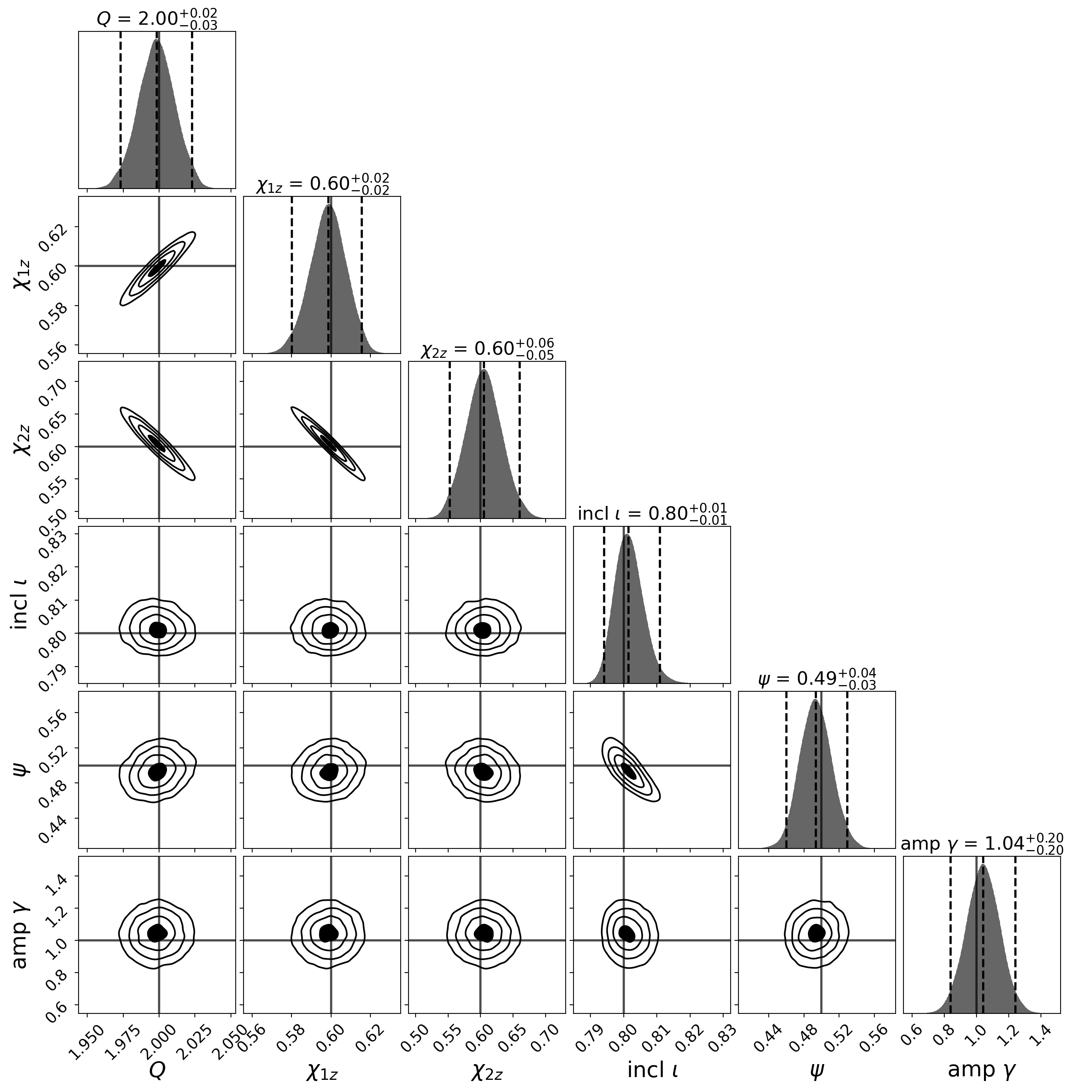
Cropped corner plot showing parameters estimation from mock data with GR memory --i.e. $\gamma = 1$--, using a model with memory where the amplitude of the latter is parametrized. {\tt NRHybSur3dq8\_CCE} is used. Injection parameters are located with the black lines.
Caption Cropped corner plot showing parameters estimation from mock data with GR memory --i.e. $\gamma = 1$--, using a model with memory where the amplitude of the latter is parametrized. {\tt NRHybSur3dq8\_CCE} is used. Injection parameters are located with the black lines.
Measured uncertainties on the amplitude $\delta \gamma$ depending on the $\SNRmem$ of the input GW. Every point is a measurement using a different set of parameters and noise realization. The yellow area indicates the points where the detectability of the memory is likely, yet uncertain due to noise. The dashed line is the fit by a power law.
Caption Measured uncertainties on the amplitude $\delta \gamma$ depending on the $\SNRmem$ of the input GW. Every point is a measurement using a different set of parameters and noise realization. The yellow area indicates the points where the detectability of the memory is likely, yet uncertain due to noise. The dashed line is the fit by a power law.
Histograms of the number of events such that $\SNRmem > 3$ (blue) and $\SNRmem > 5$ (orange) for the six remaining Barausse's catalogs. The bins are unitary and each model presents realizations of 4-year data. A 10-year version can be found in the appendix, Fig.~\ref{fig:Barausse_10yrs_MemorySeenSources}.
Caption Histograms of the number of events such that $\SNRmem > 3$ (blue) and $\SNRmem > 5$ (orange) for the six remaining Barausse's catalogs. The bins are unitary and each model presents realizations of 4-year data. A 10-year version can be found in the appendix, Fig.~\ref{fig:Barausse_10yrs_MemorySeenSources}.
Probability of having a 4-years iteration with $\SNRmem$ greater than a given value (x-axis). Each solid line corresponds to a population model from Barausse et al.~\cite{Barausse_2020, Barausse_Lapi_2021}. The red area cover the region where we are under the threshold $\SNRmem^{\textrm{thresh}} = 3$. The gray dashed line shows the value $\SNRmem = 5$ over which memory should be always detected. A 10-year version can be found in the appendix, Fig.~\ref{fig:Barausse_10yrs_ProbaOfMax}.
Caption Probability of having a 4-years iteration with $\SNRmem$ greater than a given value (x-axis). Each solid line corresponds to a population model from Barausse et al.~\cite{Barausse_2020, Barausse_Lapi_2021}. The red area cover the region where we are under the threshold $\SNRmem^{\textrm{thresh}} = 3$. The gray dashed line shows the value $\SNRmem = 5$ over which memory should be always detected. A 10-year version can be found in the appendix, Fig.~\ref{fig:Barausse_10yrs_ProbaOfMax}.
Time-domain (left) and frequency-domain (right) TDI-A channel obtained, after the response of the links, from the waveform illustrated in Fig.~\ref{fig:WaveformWithMem}. The total waveform is in blue and the memory component alone in red. On the left figure, the inset plot provides a clearer view of the resulting memory component. On the right figure, we added the analytical PSD of the SciRD~\cite{LISA_SciRD} noise model, in green, as a reference. This highlights the possible visibility of the memory component in the mHz region. The parameters are the same as in Fig.~\ref{fig:WaveformWithMem}, with additional sky coordinates $\alpha = 0.74$, $\delta = 0.29$.
Caption Time-domain (left) and frequency-domain (right) TDI-A channel obtained, after the response of the links, from the waveform illustrated in Fig.~\ref{fig:WaveformWithMem}. The total waveform is in blue and the memory component alone in red. On the left figure, the inset plot provides a clearer view of the resulting memory component. On the right figure, we added the analytical PSD of the SciRD~\cite{LISA_SciRD} noise model, in green, as a reference. This highlights the possible visibility of the memory component in the mHz region. The parameters are the same as in Fig.~\ref{fig:WaveformWithMem}, with additional sky coordinates $\alpha = 0.74$, $\delta = 0.29$.
Time-domain (left) and frequency-domain (right) TDI-A channel obtained, after the response of the links, from the waveform illustrated in Fig.~\ref{fig:WaveformWithMem}. The total waveform is in blue and the memory component alone in red. On the left figure, the inset plot provides a clearer view of the resulting memory component. On the right figure, we added the analytical PSD of the SciRD~\cite{LISA_SciRD} noise model, in green, as a reference. This highlights the possible visibility of the memory component in the mHz region. The parameters are the same as in Fig.~\ref{fig:WaveformWithMem}, with additional sky coordinates $\alpha = 0.74$, $\delta = 0.29$.
Caption Time-domain (left) and frequency-domain (right) TDI-A channel obtained, after the response of the links, from the waveform illustrated in Fig.~\ref{fig:WaveformWithMem}. The total waveform is in blue and the memory component alone in red. On the left figure, the inset plot provides a clearer view of the resulting memory component. On the right figure, we added the analytical PSD of the SciRD~\cite{LISA_SciRD} noise model, in green, as a reference. This highlights the possible visibility of the memory component in the mHz region. The parameters are the same as in Fig.~\ref{fig:WaveformWithMem}, with additional sky coordinates $\alpha = 0.74$, $\delta = 0.29$.
Total SNR (left) and SNR of the memory (right) as a function of the total mass $M$ and the mass ratio $Q$. Here we used the {\tt SEOBNRv5HM} waveform with all the previously cited modes. The other parameters used are the same as in Fig.~\ref{fig:WaterfallPlotsSurrogate}
Caption Total SNR (left) and SNR of the memory (right) as a function of the total mass $M$ and the mass ratio $Q$. Here we used the {\tt SEOBNRv5HM} waveform with all the previously cited modes. The other parameters used are the same as in Fig.~\ref{fig:WaterfallPlotsSurrogate}
Total SNR (left) and SNR of the memory (right) depending on the total mass $M$ and the mass ratio $Q$. Here we used the {\tt NRHybSur3dq8\_CCE} waveform, including HMs, and add the simulated PSD of 4-years observation of the galactic confusion noise. This reduces the SNR of both total and memory signal for some total masses. The other parameters used are the same as in Fig.~\ref{fig:WaterfallPlotsSurrogate}
Caption Total SNR (left) and SNR of the memory (right) depending on the total mass $M$ and the mass ratio $Q$. Here we used the {\tt NRHybSur3dq8\_CCE} waveform, including HMs, and add the simulated PSD of 4-years observation of the galactic confusion noise. This reduces the SNR of both total and memory signal for some total masses. The other parameters used are the same as in Fig.~\ref{fig:WaterfallPlotsSurrogate}
SNR of the memory (left) and associated detectability estimation (right) depending on the total mass $M$ (in the detector frame) and the redshift $z$. Here we used the {\tt NRHybSur3dq8\_CCE} waveform. The parameters used are the same as in Fig.~\ref{fig:WaterfallPlotsSurrogate} except that $d_{\mathrm{L}}$ varies and $Q = 1$.
Caption SNR of the memory (left) and associated detectability estimation (right) depending on the total mass $M$ (in the detector frame) and the redshift $z$. Here we used the {\tt NRHybSur3dq8\_CCE} waveform. The parameters used are the same as in Fig.~\ref{fig:WaterfallPlotsSurrogate} except that $d_{\mathrm{L}}$ varies and $Q = 1$.
SNR of the memory (left) and associated detectability estimation (right) depending on the total mass $M$ (in the detector frame) and the redshift $z$. Here we used the {\tt NRHybSur3dq8\_CCE} waveform. The parameters used are the same as in Fig.~\ref{fig:WaterfallPlotsSurrogate} except that $d_{\mathrm{L}}$ varies and $Q = 1$.
Caption SNR of the memory (left) and associated detectability estimation (right) depending on the total mass $M$ (in the detector frame) and the redshift $z$. Here we used the {\tt NRHybSur3dq8\_CCE} waveform. The parameters used are the same as in Fig.~\ref{fig:WaterfallPlotsSurrogate} except that $d_{\mathrm{L}}$ varies and $Q = 1$.
Cornerplot showing parameters estimation using a model with memory (green) and without (red). The values and uncertainties for parameters indicated on top of the distribution correspond to the memory model. Here we used the {\tt NRHybSur3dq8\_CCE} waveform. The associated $SNR$ values are $\SNRtot = 344$ and $\SNRmem = 6$. The injection parameters here are: $Q = 1.5$, $\chi_{\mathrm{1z}} = \chi_{\mathrm{2z}}=0.7$, $M=10^6 M_\odot$, $d_{\mathrm{L}} = 6 \times 10^4$ Mpc, $\iota = \pi/2$, $\varphi_{\mathrm{ref}} = 1$, $\psi = 0$, $\alpha = 3.45$, $\delta = 0.44$. This cornerplot is done with the same parameters as in Fig.~\ref{fig:LowSNRDoubleCornerDegenerate} but using a different noise realization.
Caption Cornerplot showing parameters estimation using a model with memory (green) and without (red). The values and uncertainties for parameters indicated on top of the distribution correspond to the memory model. Here we used the {\tt NRHybSur3dq8\_CCE} waveform. The associated $SNR$ values are $\SNRtot = 344$ and $\SNRmem = 6$. The injection parameters here are: $Q = 1.5$, $\chi_{\mathrm{1z}} = \chi_{\mathrm{2z}}=0.7$, $M=10^6 M_\odot$, $d_{\mathrm{L}} = 6 \times 10^4$ Mpc, $\iota = \pi/2$, $\varphi_{\mathrm{ref}} = 1$, $\psi = 0$, $\alpha = 3.45$, $\delta = 0.44$. This cornerplot is done with the same parameters as in Fig.~\ref{fig:LowSNRDoubleCornerDegenerate} but using a different noise realization.
Cornerplot showing parameters estimation using a model with memory (green) and without (red). The values and uncertainties for parameters indicated on top of the distribution correspond to the memory model. Here we used the {\tt NRHybSur3dq8\_CCE} waveform. The associated SNR values are $\SNRtot = 344$ and $\SNRmem = 6$. The injection parameters here are: $Q = 1.5$, $\chi_{\mathrm{1z}} = \chi_{\mathrm{2z}}=0.7$, $M=10^6 M_\odot$, $d_{\mathrm{L}} = 6 \times 10^4$ Mpc, $\iota = \pi/2$, $\varphi_{\mathrm{ref}} = 1$, $\psi = 0$, $\alpha = 3.45$, $\delta = 0.44$. This cornerplot is done with the same parameters as in Fig.~\ref{fig:LowSNRDoubleCornerClear} but using a different noise realization.
Caption Cornerplot showing parameters estimation using a model with memory (green) and without (red). The values and uncertainties for parameters indicated on top of the distribution correspond to the memory model. Here we used the {\tt NRHybSur3dq8\_CCE} waveform. The associated SNR values are $\SNRtot = 344$ and $\SNRmem = 6$. The injection parameters here are: $Q = 1.5$, $\chi_{\mathrm{1z}} = \chi_{\mathrm{2z}}=0.7$, $M=10^6 M_\odot$, $d_{\mathrm{L}} = 6 \times 10^4$ Mpc, $\iota = \pi/2$, $\varphi_{\mathrm{ref}} = 1$, $\psi = 0$, $\alpha = 3.45$, $\delta = 0.44$. This cornerplot is done with the same parameters as in Fig.~\ref{fig:LowSNRDoubleCornerClear} but using a different noise realization.
Comparison between the two components of the complete (2,0) mode. In the time-domain waveform (left), we can see that the oscillatory part of the (2,0) looks negligible compared to the (2,0) memory component. However the TDI-A time domain channel (right) shows that the memory component is way more suppressed by LISA response and TDI post-treatment. Parameters: $Q=1.5$, $\chi_{\mathrm{1z}} = \chi_{\mathrm{2z}} = 0.6$, $M = 10^6 M_\odot$, $d_{\mathrm{L}} = 10^4 Mpc$, $\iota = \pi/2$, $\varphi_{\mathrm{ref}} = 1$, $\psi=0$, $\alpha = 0.74$, $\delta = 0.28$.
Caption Comparison between the two components of the complete (2,0) mode. In the time-domain waveform (left), we can see that the oscillatory part of the (2,0) looks negligible compared to the (2,0) memory component. However the TDI-A time domain channel (right) shows that the memory component is way more suppressed by LISA response and TDI post-treatment. Parameters: $Q=1.5$, $\chi_{\mathrm{1z}} = \chi_{\mathrm{2z}} = 0.6$, $M = 10^6 M_\odot$, $d_{\mathrm{L}} = 10^4 Mpc$, $\iota = \pi/2$, $\varphi_{\mathrm{ref}} = 1$, $\psi=0$, $\alpha = 0.74$, $\delta = 0.28$.
Comparison between the two components of the complete (2,0) mode. In the time-domain waveform (left), we can see that the oscillatory part of the (2,0) looks negligible compared to the (2,0) memory component. However the TDI-A time domain channel (right) shows that the memory component is way more suppressed by LISA response and TDI post-treatment. Parameters: $Q=1.5$, $\chi_{\mathrm{1z}} = \chi_{\mathrm{2z}} = 0.6$, $M = 10^6 M_\odot$, $d_{\mathrm{L}} = 10^4 Mpc$, $\iota = \pi/2$, $\varphi_{\mathrm{ref}} = 1$, $\psi=0$, $\alpha = 0.74$, $\delta = 0.28$.
Caption Comparison between the two components of the complete (2,0) mode. In the time-domain waveform (left), we can see that the oscillatory part of the (2,0) looks negligible compared to the (2,0) memory component. However the TDI-A time domain channel (right) shows that the memory component is way more suppressed by LISA response and TDI post-treatment. Parameters: $Q=1.5$, $\chi_{\mathrm{1z}} = \chi_{\mathrm{2z}} = 0.6$, $M = 10^6 M_\odot$, $d_{\mathrm{L}} = 10^4 Mpc$, $\iota = \pi/2$, $\varphi_{\mathrm{ref}} = 1$, $\psi=0$, $\alpha = 0.74$, $\delta = 0.28$.
Cornerplot showing parameters estimation using a model with the (2,2)-mode and the full (2,0)-mode (blue) compared to a model neglecting the oscillatory component of the (2,0)-mode (orange). The data used as an input are built with the (2,2)-mode and the full (2,0). {\tt NRHybSur3dq8\_CCE} is used. Injection parameters are located with the black lines : $Q=1.5$, $\chi_{\mathrm{1z}} = \chi_{\mathrm{2z}} = 0.2$, $M = 10^6 M_\odot$, $d_{\mathrm{L}} = 10^4 Mpc$, $\iota = \pi/2$, $\varphi_{\mathrm{ref}} = 1$, $\alpha = 3.45$, $\delta = 0.44$.
Caption Cornerplot showing parameters estimation using a model with the (2,2)-mode and the full (2,0)-mode (blue) compared to a model neglecting the oscillatory component of the (2,0)-mode (orange). The data used as an input are built with the (2,2)-mode and the full (2,0). {\tt NRHybSur3dq8\_CCE} is used. Injection parameters are located with the black lines : $Q=1.5$, $\chi_{\mathrm{1z}} = \chi_{\mathrm{2z}} = 0.2$, $M = 10^6 M_\odot$, $d_{\mathrm{L}} = 10^4 Mpc$, $\iota = \pi/2$, $\varphi_{\mathrm{ref}} = 1$, $\alpha = 3.45$, $\delta = 0.44$.
Histograms of the number of events such that $\SNRmem > 3$ (blue) and $\SNRmem > 5$ (orange) for the six remaining Barausse's catalogs. The bins are unitary and each models presents realizations of 10-years data.
Caption Histograms of the number of events such that $\SNRmem > 3$ (blue) and $\SNRmem > 5$ (orange) for the six remaining Barausse's catalogs. The bins are unitary and each models presents realizations of 10-years data.
Probability of having an iteration with $\SNRmem$ greater than a given value (x-axis). Each color correspond to a population model from Barausse et al., 2020~\cite{Barausse_2020, Barausse_Lapi_2021}. Solid lines corresponds to 4-years iterations and dotted lines to 10-years. The red area cover the region where we are under the threshold $\SNRmem^{\textrm{thresh}} = 3$. The gray dashed line shows the value $\SNRmem = 5$ over which memory should be always detected.
Caption Probability of having an iteration with $\SNRmem$ greater than a given value (x-axis). Each color correspond to a population model from Barausse et al., 2020~\cite{Barausse_2020, Barausse_Lapi_2021}. Solid lines corresponds to 4-years iterations and dotted lines to 10-years. The red area cover the region where we are under the threshold $\SNRmem^{\textrm{thresh}} = 3$. The gray dashed line shows the value $\SNRmem = 5$ over which memory should be always detected.
References
  • [1] A. Einstein, Sitzungsberichte der Königlich Preussischen Akademie der Wissenschaften pp. 688–696 (1916).
  • [1] A. Einstein, Sitzungsberichte der Königlich Preussischen Akademie der Wissenschaften pp. 688–696 (1916).
  • [2] A. Einstein, Sitzungsberichte der Königlich Preussischen Akademie der Wissenschaften pp. 154–167 (1918).
  • [2] A. Einstein, Sitzungsberichte der Königlich Preussischen Akademie der Wissenschaften pp. 154–167 (1918).
  • [3] J. Aasi et al. (LIGO Scientific), Class. Quant. Grav. 32, 074001 (2015), 1411.4547.
  • [4] F. Acernese et al. (VIRGO), Class. Quant. Grav. 32, 024001 (2015), 1408.3978.
  • [5] T. Akutsu et al. (KAGRA), PTEP 2021, 05A101 (2021), 2005.05574.
  • [6] B. P. Abbott, R. Abbott, T. D. Abbott, M. R. Abernathy, F. Acernese, K. Ackley, C. Adams, T. Adams, P. Addesso, R. X. Adhikari, et al., Physical Review Letters 116, 061102 (2016), ISSN 0031-9007, 1079-7114, URL https://link.aps.org/doi/10.1103/ PhysRevLett.116.061102.
  • [7] M. Colpi, K. Danzmann, M. Hewitson, K. HolleyBockelmann, P. Jetzer, G. Nelemans, A. Petiteau, D. Shoemaker, C. Sopuerta, R. Stebbins, et al., Lisa definition study report (2024), 2402.07571, URL https: //www.cosmos.esa.int/web/lisa/lisa-redbook.
  • [8] Y. B. Zel’dovich and A. G. Polnarev, Sov. Astron. 18, 17 (1974).
  • [9] V. B. Braginskii and L. P. Grishchuk, Zhurnal Eksperimentalnoi i Teoreticheskoi Fiziki 89, 744 (1985).
  • [10] V. B. Braginsky and K. S. Thorne, Nature 327, 123 (1987).
  • [11] D. Christodoulou, Phys. Rev. Lett. 67, 1486 (1991), URL https://link.aps.org/doi/10.1103/PhysRevLett.67. 1486.
  • [12] K. S. Thorne, Physical Review D 45, 520–524 (1992), ISSN 0556-2821, URL https://link.aps.org/doi/10. 1103/PhysRevD.45.520.
  • [13] S. Pasterski, A. Strominger, and A. Zhiboedov, Journal of High Energy Physics 2016, 53 (2016), ISSN 1029-8479.
  • [14] A. Strominger and A. Zhiboedov, Journal of High Energy Physics 2016, 86 (2016), ISSN 1029-8479.
  • [15] D. A. Nichols, Physical Review D 98, 064032 (2018).
  • [16] E. E. Flanagan, A. M. Grant, A. I. Harte, and D. A. Nichols, Physical Review D 99, 084044 (2019).
  • [17] A. Ashtekar, T. De Lorenzo, and N. Khera, General Relativity and Gravitation 52, 107 (2020), ISSN 1572-9532.
  • [18] A. M. Grant and D. A. Nichols, Physical Review D 105, 024056 (2022).
  • [19] A. M. Grant and D. A. Nichols, Physical Review D 107, 064056 (2023).
  • [20] K. Mitman, M. Boyle, L. C. Stein, N. Deppe, L. E. Kidder, J. Moxon, H. P. Pfeiffer, M. A. Scheel, S. A. Teukolsky, W. Throwe, et al., Classical and Quantum Gravity 41, 223001 (2024), ISSN 0264-9381, 1361-6382, URL https://iopscience.iop.org/article/10.1088/ 1361-6382/ad83c2.
  • [21] K. Mitman, D. A. B. Iozzo, N. Khera, M. Boyle, T. De Lorenzo, N. Deppe, L. E. Kidder, J. Moxon, H. P. Pfeiffer, M. A. Scheel, et al., Physical Review D 103, 024031 (2021).
  • [22] L. Bieri and A. Polnarev, Classical and Quantum Gravity 41, 135012 (2024), ISSN 0264-9381.
  • [23] J. Zosso, L. Magaña Zertuche, S. Gasparotto, A. Cogez, H. Inchauspé, and M. Jacobs, (in prep) (2026).
  • [24] B. Abbott, Phys. Rev. D 93, 112004 (2016), [Addendum: Phys.Rev.D 97, 059901 (2018)], 1604.00439.
  • [24] B. Abbott, Phys. Rev. D 93, 112004 (2016), [Addendum: Phys.Rev.D 97, 059901 (2018)], 1604.00439.
  • [25] A. D. Johnson, S. J. Kapadia, A. Osborne, A. Hixon, and D. Kennefick, Physical Review D 99, 044045 (2019), ISSN 2470-0010, 2470-0029, URL https://link.aps. org/doi/10.1103/PhysRevD.99.044045.
  • [26] P. D. Lasky, E. Thrane, Y. Levin, J. Blackman, and Y. Chen, Physical Review Letters 117, 061102 (2016), ISSN 0031-9007, 1079-7114, URL https://link.aps. org/doi/10.1103/PhysRevLett.117.061102.
  • [27] S. Y. Cheung, P. D. Lasky, and E. Thrane, Classical and Quantum Gravity 41, 115010 (2024), ISSN 0264-9381.
  • [28] LIGO Scientific Collaboration, Virgo Collaboration, KAGRA Collaboration, R. Abbott, T. D. Abbott, F. Acernese, K. Ackley, C. Adams, N. Adhikari, R. X. Adhikari, et al., Physical Review X 13, 041039 (2023).
  • [29] M. Hübner, C. Talbot, P. D. Lasky, and E. Thrane, Phys. Rev. D 101, 023011 (2020), URL https://link.aps. org/doi/10.1103/PhysRevD.101.023011.
  • [30] M. Hübner, P. Lasky, and E. Thrane, Physical Review D 104 (2021), ISSN 2470-0029, URL http://dx.doi.org/ 10.1103/PhysRevD.104.023004.
  • [31] S. M. Tomson, B. Goncharov, and R. van Haasteren, arXiv (2025), 2510.04537.
  • [32] G. Agazie, Z. Arzoumanian, P. T. Baker, B. Bécsy, L. Blecha, H. Blumer, A. Brazier, P. R. Brook, S. BurkeSpolaor, R. Burnette, et al., The Astrophysical Journal 963, 61 (2024), ISSN 0004-637X.
  • [33] G. Agazie, A. Anumarlapudi, A. M. Archibald, Z. Arzoumanian, J. G. Baier, P. T. Baker, B. Bécsy, L. Blecha, A. Brazier, P. R. Brook, et al., The Astrophysical Journal Letters 978, L29 (2025), ISSN 2041-8205.
  • [34] H. Inchauspé, S. Gasparotto, D. Blas, L. Heisenberg, J. Zosso, and S. Tiwari, Physical Review D 111, 044044 (2025), ISSN 2470-0010, 2470-0029, URL https://link. aps.org/doi/10.1103/PhysRevD.111.044044.
  • [35] E. Barausse, I. Dvorkin, M. Tremmel, M. Volonteri, and M. Bonetti, The Astrophysical Journal 904, 16 (2020), ISSN 0004-637X.
  • [36] E. Barausse and A. Lapi, Massive Black-Hole Mergers (Springer, Singapore, 2021), p. 1–33, ISBN 978-98115-4702-7, URL https://link.springer.com/rwe/10. 1007/978-981-15-4702-7_18-1.
  • [37] R. A. Isaacson, Phys. Rev. 166, 1263 (1968).
  • [38] R. A. Isaacson, Phys. Rev. 166, 1272 (1968).
  • [39] C. W. Misner, K. S. Thorne, and J. A. Wheeler, Gravitation (W. H. Freeman, San Francisco, 1973), ISBN 9780-7167-0344-0, 978-0-691-17779-3.
  • [40] E. E. Flanagan and S. A. Hughes, New J. Phys. 7, 204 (2005), gr-qc/0501041.
  • [41] M. Maggiore, Gravitational Waves: Volume 1: Theory and Experiments (Oxford University Press, 2007), ISBN 9780198570745.
  • [42] J. Zosso, in 59th Rencontres de Moriond on Gravitation: Moriond 2025 Gravitation (2025), 2505.17603.
  • [43] A. Tolish and R. M. Wald, Phys. Rev. D 94, 044009 (2016), 1606.04894.
  • [44] L. Bieri, D. Garfinkle, and N. Yunes, Class. Quant. Grav. 34, 215002 (2017), 1706.02009.
  • [45] A. G. Wiseman and C. M. Will, Phys. Rev. D 44, R2945 (1991), URL https://link.aps.org/doi/10. 1103/PhysRevD.44.R2945.
  • [46] M. Favata, Phys. Rev. D 80, 024002 (2009), 0812.0069.
  • [47] C. Talbot, E. Thrane, P. D. Lasky, and F. Lin, Physical Review D 98 (2018), ISSN 2470-0029, URL http://dx. doi.org/10.1103/PhysRevD.98.064031.
  • [48] J. Yoo, K. Mitman, V. Varma, M. Boyle, S. E. Field, N. Deppe, F. Hébert, L. E. Kidder, J. Moxon, H. P. Pfeiffer, et al., Physical Review D 108 (2023), ISSN 2470-0029, URL http://dx.doi.org/10.1103/ PhysRevD.108.064027.
  • [49] S. E. Field, C. R. Galley, J. S. Hesthaven, J. Kaye, and M. Tiglio, Physical Review X 4 (2014), ISSN 2160-3308, URL http://dx.doi.org/10.1103/PhysRevX.4.031006.
  • [50] V. Varma, S. E. Field, M. A. Scheel, J. Blackman, L. E. Kidder, and H. P. Pfeiffer, Physical Review D 99 (2019), ISSN 2470-0029, URL http://dx.doi.org/10. 1103/PhysRevD.99.064045.
  • [51] L. Pompili, A. Buonanno, H. Estellés, M. Khalil, M. v. d. Meent, D. P. Mihaylov, S. Ossokine, M. Pürrer, A. Ramos-Buades, A. K. Mehta, et al., Physical Review D 108 (2023), ISSN 2470-0010, 2470-0029, arXiv:2303.18039 [gr-qc], URL http://arxiv.org/abs/ 2303.18039.
  • [52] D. P. Mihaylov, S. Ossokine, A. Buonanno, H. Estelles, L. Pompili, M. Pürrer, and A. Ramos-Buades, arXiv (2023), arXiv:2303.18203 [gr-qc], URL http://arxiv. org/abs/2303.18203.
  • [53] L. D. C. W. Group, Lisa rosetta stone: Conventions document (lisa-ddpc-seg-tn-007) (2025).
  • [54] P. Collaboration, P. A. R. Ade, N. Aghanim, M. Arnaud, M. Ashdown, J. Aumont, C. Baccigalupi, A. J. Banday, R. B. Barreiro, J. G. Bartlett, et al., Astronomy & Astrophysics 594, A13 (2016), ISSN 0004-6361, 1432-0746.
  • [55] Astropy Collaboration, T. P. Robitaille, E. J. Tollerud, P. Greenfield, M. Droettboom, E. Bray, T. Aldcroft, M. Davis, A. Ginsburg, A. M. Price-Whelan, et al., Astronomy and Astrophysics 558, A33 (2013), 1307.6212.
  • [56] Astropy Collaboration, A. M. Price-Whelan, B. M. Sipőcz, H. M. Günther, P. L. Lim, S. M. Crawford, S. Conseil, D. L. Shupe, M. W. Craig, N. Dencheva, et al., Astronomical Journal 156, 123 (2018), 1801.02634.
  • [57] Astropy Collaboration, A. M. Price-Whelan, P. L. Lim, N. Earl, N. Starkman, L. Bradley, D. L. Shupe, A. A. Patil, L. Corrales, C. E. Brasseur, et al., Astrophysical Journal 935, 167 (2022), 2206.14220.
  • [58] J.-B. Bayle, Q. Baghi, A. Renzini, and M. Le Jeune, Lisa gw response (2023), URL https://doi.org/10.5281/ zenodo.8321733.
  • [59] M. Staab, J.-B. Bayle, and O. Hartwig, Pytdi (2023), URL https://doi.org/10.5281/zenodo.8429119.
  • [60] J.-B. Bayle, A. Hees, M. Lilley, C. Le Poncin-Lafitte, W. Martens, and E. Joffre, Lisa orbits (2023), URL https://doi.org/10.5281/zenodo.7700361.
  • [61] C. Pitte, Lisaring (2026).
  • [62] D. J. A. McKechan, C. Robinson, and B. S. Sathyaprakash, Classical and Quantum Gravity 27, 084020 (2010), ISSN 0264-9381, 1361-6382, URL https://iopscience.iop.org/article/10.1088/ 0264-9381/27/8/084020.
  • [63] L. S. S. Team, Lisa science requirements document (2018), URL https://www.cosmos.esa.int/documents/ 678316/1700384/SciRD.pdf.
  • [64] J.-B. Bayle, O. Hartwig, and M. Staab, Lisa instrument (2024), URL https://zenodo.org/records/13809621.
  • [65] J.-B. Bayle and O. Hartwig, Physical Review D 107, 083019 (2023).
  • [66] E. Higson, W. Handley, M. Hobson, and A. Lasenby, Statistics and Computing 29, 891–913 (2019), ISSN 1573-1375.
  • [67] S. Koposov, J. Speagle, K. Barbary, G. Ashton, E. Bennett, J. Buchner, C. Scheffler, B. Cook, C. Talbot, J. Guillochon, et al., joshspeagle/dynesty: v2.1.4 (2024), URL https://zenodo.org/records/12537467.
  • [68] J. Skilling, arXiv 735, 395–405 (2004), aDS Bibcode: 2004AIPC..735..395S.
  • [69] J. Skilling, Bayesian Analysis 1, 833–859 (2006), ISSN 1936-0975, 1931-6690.
  • [70] J. S. Speagle, Monthly Notices of the Royal Astronomical Society 493, 3132–3158 (2020), ISSN 0035-8711, aDS Bibcode: 2020MNRAS.493.3132S.
  • [71] F. Feroz, M. P. Hobson, and M. Bridges, Monthly Notices of the Royal Astronomical Society 398, 1601–1614 (2009), ISSN 0035-8711, aDS Bibcode: 2009MNRAS.398.1601F.
  • [72] H. Jeffreys, The Theory of Probability (OUP Oxford, 1998), ISBN 9780191589676, google-Books-ID: vh9Act9rtzQC.
  • [73] G. Ashton et al., Astrophys. J. Suppl. 241, 27 (2019), 1811.02042.
  • [74] S. Sun, C. Shi, J.-d. Zhang, and J. Mei, Physical Review D 107, 044023 (2023), ISSN 2470-0010, 2470-0029.
  • [75] E. Thrane and C. Talbot, Publications of the Astronomical Society of Australia 36, e010 (2019), ISSN 1323-3580, 1448-6083, arXiv:1809.02293 [astro-ph].
  • [76] B. Goncharov, L. Donnay, and J. Harms, Physical Review Letters 132, 241401 (2024), ISSN 0031-9007, 10797114, arXiv:2310.10718 [gr-qc].
  • [77] R. E. Kass and A. E. Raftery, Journal of the American Statistical Association 90, 773–795 (1995), ISSN 01621459.
  • [78] S. Gasparotto, R. Vicente, D. Blas, A. C. Jenkins, and E. Barausse, Physical Review D 107 (2023), ISSN 2470-0029, URL http://dx.doi.org/10.1103/ PhysRevD.107.124033.
  • [79] Y. Xu, M. Rosselló-Sastre, S. Tiwari, M. Ebersold, E. Z. Hamilton, C. Garcı́a-Quirós, H. Estellés, and S. Husa, Physical Review D 109, 123034 (2024).
  • [80] S. Gasparotto, Ph.D. thesis, TDX, Barcelona, Autonoma U. (2025).
  • [81] M. Rosselló-Sastre, S. Husa, S. Bera, and Y. Xu, arXiv (2025), arXiv:2506.05859 [gr-qc], URL http://arxiv. org/abs/2506.05859.
  • [82] D. Garfinkle, S. Hollands, A. Ishibashi, A. Tolish, and R. M. Wald, Classical and Quantum Gravity 34, 145015 (2017), ISSN 0264-9381.
  • [83] S. Hollands, A. Ishibashi, and R. M. Wald, Classical and Quantum Gravity 34, 155005 (2017), ISSN 0264-9381.
  • [84] L. Heisenberg, N. Yunes, and J. Zosso, Physical Review D 108, 024010 (2023).
  • [85] L. Heisenberg, B. Rosatello, G. Xu, and J. Zosso, arXiv (2025), arXiv:2505.09544 [gr-qc], URL http://arxiv. org/abs/2505.09544.
  • [86] E. Barausse, K. Dey, M. Crisostomi, A. Panayada, S. Marsat, and S. Basak, Physical Review D 108, 103034 (2023), ISSN 2470-0010, 2470-0029.
  • [87] C. Pitte, Q. Baghi, S. Marsat, M. Besançon, and A. Petiteau, Phys. Rev. D 108, 044053 (2023), 2304.03142.
  • [88] S. Gasparotto, G. Franciolini, and V. Domcke, Phys. Rev. D 112, 103021 (2025), 2505.01356.
  • [89] L. O. McNeill, E. Thrane, and P. D. Lasky, Phys. Rev. Lett. 118, 181103 (2017), 1702.01759.