Towards Claiming a Detection of Gravitational Memory

Author(s)

Zosso, Jann, Magaña Zertuche, Lorena, Gasparotto, Silvia, Cogez, Adrien, Inchauspé, Henri, Jacobs, Milo

Abstract

Gravitational memory is a zero-frequency effect associated with a permanent change in the asymptotic spacetime metric induced by radiation. While its universal manifestation is a net change of proper distances, gravitational-wave detectors are intrinsically insensitive to the final offset and can only probe the associated transition. A central challenge for any claim of detection therefore lies in defining a physically meaningful and operationally robust model of this time-dependent signal, which is uniquely attributable to gravitational memory and distinguishable from purely oscillatory radiation. In this work, we propose a general solution to this challenge. Building on a self-contained review of the theory of gravitational memory, we discuss a theoretical framework for defining and modeling a gravitational memory rise, in particular applicable to compact binary coalescences. Specializing to space-based detectors, we analyze the response of LISA to gravitational radiation including a memory contribution, with particular emphasis on mergers of supermassive black hole binaries, which offer the most promising prospects for a first single-event detection. The framework developed here provides the theoretical foundation for statistically well-defined hypothesis testing between memory-free and memory-full radiation and quantitative assessments of detection prospects. As such, these results establish a principled pathway toward a future observational claim of gravitational memory.

Figures

Penrose diagram of a conformally compactified asymptotically flat spacetime in asymptotic light-cone coordinates $\{u,r,\theta,\phi\}$, with $u=t-r$ and where time $t$ flows vertically. A localized source emits null radiation (yellow) toward future null infinity $\scri^+$, defined as the $r\to\infty$ limit at fixed retarded time $u$. The angular coordinates are not shown, but the asymptotic two-spheres at retarded times $u_0$ and $u$ are depicted schematically as blue circles. The BMS balance laws state that the supermomentum flux reaching $\scri^+$ between $S^2_{u_0}$ and $S^2_u$ is exactly balanced by the change in supermomentum charge between these two times. [Figure adapted from~\cite{DAmbrosio:2022clk,Zosso:2024xgy}.]
Caption Penrose diagram of a conformally compactified asymptotically flat spacetime in asymptotic light-cone coordinates $\{u,r,\theta,\phi\}$, with $u=t-r$ and where time $t$ flows vertically. A localized source emits null radiation (yellow) toward future null infinity $\scri^+$, defined as the $r\to\infty$ limit at fixed retarded time $u$. The angular coordinates are not shown, but the asymptotic two-spheres at retarded times $u_0$ and $u$ are depicted schematically as blue circles. The BMS balance laws state that the supermomentum flux reaching $\scri^+$ between $S^2_{u_0}$ and $S^2_u$ is exactly balanced by the change in supermomentum charge between these two times. [Figure adapted from~\cite{DAmbrosio:2022clk,Zosso:2024xgy}.]
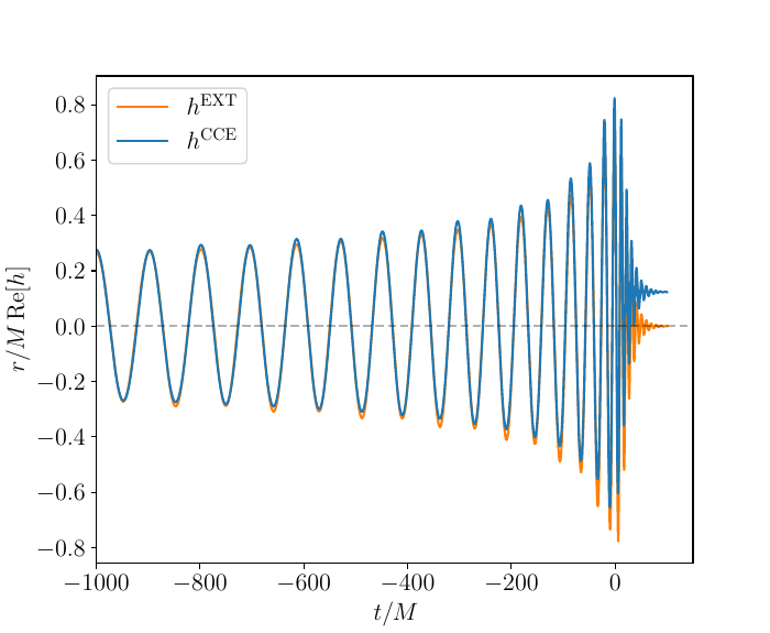
Illustration of type $(a)$ and type $(b)$ waveform models. The type $a$ waveform (orange) includes no memory and is based off the extrapolation method (EXT) while the CCE waveform (blue) is type $b$ and includes memory.
Caption Illustration of type $(a)$ and type $(b)$ waveform models. The type $a$ waveform (orange) includes no memory and is based off the extrapolation method (EXT) while the CCE waveform (blue) is type $b$ and includes memory.
\textit{Top panel:} We show the full CCE waveform strain (blue, waveform type $b$), the $(2,0)$ mode of the extrapolated surrogate model (green, waveform type $a$), and the memory content (red) of the $(2,0)$ mode as calculated from the extrapolated waveform through Eq.~\eqref{eq:memorymodes20}. \textit{Bottom panel:} A close-up around the merger (orange dashed line) of the $(2,0)$ mode used to compare the CCE (purple, waveform type $b$), EXT (green, waveform type $a$), and memory calculation (dashed red). \textit{Parameters:} $Q=1.5$, $\chi = 0.6$.
Caption \textit{Top panel:} We show the full CCE waveform strain (blue, waveform type $b$), the $(2,0)$ mode of the extrapolated surrogate model (green, waveform type $a$), and the memory content (red) of the $(2,0)$ mode as calculated from the extrapolated waveform through Eq.~\eqref{eq:memorymodes20}. \textit{Bottom panel:} A close-up around the merger (orange dashed line) of the $(2,0)$ mode used to compare the CCE (purple, waveform type $b$), EXT (green, waveform type $a$), and memory calculation (dashed red). \textit{Parameters:} $Q=1.5$, $\chi = 0.6$.
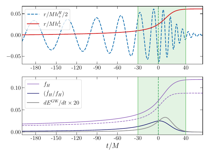
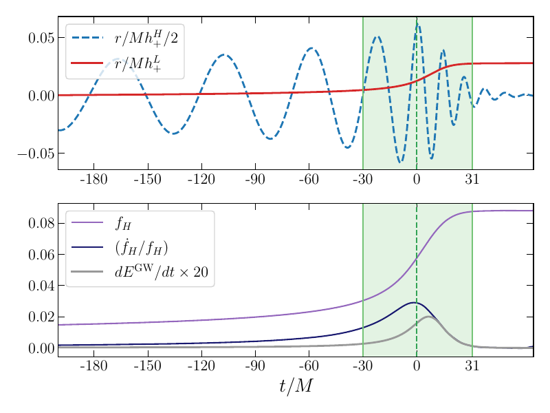
\textit{Top:} Dominant oscillatory waveform and memory for an equal-mass, nonspinning binary (edge-on). The green band marks the interval $t \in [-30M,\,30M]$, during which approximately $66\%$ of the total radiated energy is emitted. \textit{Bottom:} Instantaneous gravitational-wave frequency $f_{\rm GW}$ of the dominant $(2,2)$ mode, together with the characteristic memory-growth timescale $\dot{f}_{\rm H}/f_{\rm H}$, and the corresponding energy flux $dE^{\rm GW}/dt$.
Caption \textit{Top:} Dominant oscillatory waveform and memory for an equal-mass, nonspinning binary (edge-on). The green band marks the interval $t \in [-30M,\,30M]$, during which approximately $66\%$ of the total radiated energy is emitted. \textit{Bottom:} Instantaneous gravitational-wave frequency $f_{\rm GW}$ of the dominant $(2,2)$ mode, together with the characteristic memory-growth timescale $\dot{f}_{\rm H}/f_{\rm H}$, and the corresponding energy flux $dE^{\rm GW}/dt$.
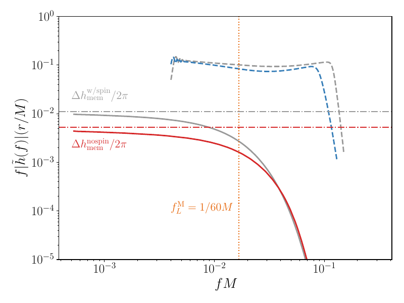
Characteristic strain in frequency space of the memory (solid) and of the dominant GW signal (dashed) the system in Fig.~\ref{fig:memwith freq} with zero spin (blue) and with spin $\chi=0.8$ (grey). The signal of the oscillatory GWs follows the typical shape of an IMR event, with a powerlaw increase in frequency during inspiral of $|\tilde h|\sim f^{-7/6}$, followed by a merger feature that ends in a sharp, damped ringdown at the highest frequencies. The memory signal on the other hand approaches a constant value $\Delta h_{\rm mem}/(2\pi)$ (dot-dashed) at low frequencies and decays at frequencies higher than $\sim f_L^{\rm M}$, as explained in the main text.
Caption Characteristic strain in frequency space of the memory (solid) and of the dominant GW signal (dashed) the system in Fig.~\ref{fig:memwith freq} with zero spin (blue) and with spin $\chi=0.8$ (grey). The signal of the oscillatory GWs follows the typical shape of an IMR event, with a powerlaw increase in frequency during inspiral of $|\tilde h|\sim f^{-7/6}$, followed by a merger feature that ends in a sharp, damped ringdown at the highest frequencies. The memory signal on the other hand approaches a constant value $\Delta h_{\rm mem}/(2\pi)$ (dot-dashed) at low frequencies and decays at frequencies higher than $\sim f_L^{\rm M}$, as explained in the main text.
Spectrogram of a radiation signal composed of the dominant $(2,2)$ oscillatory mode and the $(2,0)$ nonlinear memory contribution, generated by an aligned-spin MBHB system. Two distinct power blobs are distinguishable: one exhibiting the typical chirp-like behavior of the oscillatory $(2,2)$ mode, spread in time but narrow in frequency; the second, the memory piece, well localized at merger time, but spread in frequency with the expected $1/f$ behavior and high-frequency damping. This plot was made using the waveform model $(a)$ with Eq.~\eqref{eq:memorymodes20} for its memory. \textit{Parameters:} $M=5\times10^5 M_\odot$, $Q=1$, $\chi = 0.95$, $\theta=\tfrac{\pi}{2}$. [The spectrogram is computed from \texttt{scipy.signal.spectrogram}, based on a short-time Fourier transform, and was optimized for visualization of the scale separations (e.g. time-frequency settings, colorbar saturation). It is using $N=5$ Hanning windows with $95 \%$ overlap, hence tolerating high correlations between pixels and tending to broaden the time localization of the signals power; see also~\cite{Inchauspe:2024ibs}]
Caption Spectrogram of a radiation signal composed of the dominant $(2,2)$ oscillatory mode and the $(2,0)$ nonlinear memory contribution, generated by an aligned-spin MBHB system. Two distinct power blobs are distinguishable: one exhibiting the typical chirp-like behavior of the oscillatory $(2,2)$ mode, spread in time but narrow in frequency; the second, the memory piece, well localized at merger time, but spread in frequency with the expected $1/f$ behavior and high-frequency damping. This plot was made using the waveform model $(a)$ with Eq.~\eqref{eq:memorymodes20} for its memory. \textit{Parameters:} $M=5\times10^5 M_\odot$, $Q=1$, $\chi = 0.95$, $\theta=\tfrac{\pi}{2}$. [The spectrogram is computed from \texttt{scipy.signal.spectrogram}, based on a short-time Fourier transform, and was optimized for visualization of the scale separations (e.g. time-frequency settings, colorbar saturation). It is using $N=5$ Hanning windows with $95 \%$ overlap, hence tolerating high correlations between pixels and tending to broaden the time localization of the signals power; see also~\cite{Inchauspe:2024ibs}]
As in Fig.~\ref{fig:memwith freq}, but for a system with aligned spins $\chi=0.8$. For reference, we show the instantaneous frequency evolution for the zero spin case in a dashed line.
Caption As in Fig.~\ref{fig:memwith freq}, but for a system with aligned spins $\chi=0.8$. For reference, we show the instantaneous frequency evolution for the zero spin case in a dashed line.
Time domain TDI-A channel obtained, after the response of the links to the radiation signals in Fig.~\ref{fig:WaveformWithMem}. The total waveform is shown in blue together with the $(2,0)$ SWSH mode split into the pure memory component $h^L_{20}$ in red and the purely oscillatory part $h^\text{EXT}_{20}$ in green. The TDI-A time domain channel shows that the memory component is suppressed by the LISA response and TDI post-treatment compared to the oscillatory signals. The parameters are the same as in Fig.~\ref{fig:WaveformWithMem} $Q=1.5$, $\chi=0.6$, with additional physical parameters adapted to the LISA scale $M_z = 10^6 M_\odot$, $d_l = 10^4 \text{Mpc}$, $\theta = \pi/2$, $\psi=0$, and sky coordinates $\alpha = 0.74$ (right ascension), $\delta = 0.29$ (declination) as defined for instance in~\cite{Cogez:2025memoryLISA,LISA_RosettaStone}.
Caption Time domain TDI-A channel obtained, after the response of the links to the radiation signals in Fig.~\ref{fig:WaveformWithMem}. The total waveform is shown in blue together with the $(2,0)$ SWSH mode split into the pure memory component $h^L_{20}$ in red and the purely oscillatory part $h^\text{EXT}_{20}$ in green. The TDI-A time domain channel shows that the memory component is suppressed by the LISA response and TDI post-treatment compared to the oscillatory signals. The parameters are the same as in Fig.~\ref{fig:WaveformWithMem} $Q=1.5$, $\chi=0.6$, with additional physical parameters adapted to the LISA scale $M_z = 10^6 M_\odot$, $d_l = 10^4 \text{Mpc}$, $\theta = \pi/2$, $\psi=0$, and sky coordinates $\alpha = 0.74$ (right ascension), $\delta = 0.29$ (declination) as defined for instance in~\cite{Cogez:2025memoryLISA,LISA_RosettaStone}.
Frequency domain TDI-A channel obtained, after the response of the links, from Fig.~\ref{fig:WaveformWithMem}. The (2,2)+mem waveform is in blue and the memory component alone in red. The analytical PSD of the Science Requirements Document (SciRD)~\cite{LISA_SciRD} noise model was added in green, as a reference. This highlight the possible visibility of the memory component, here in the mHz region. The parameters are the same as in Fig.~\ref{fig:Comparing20Components}.
Caption Frequency domain TDI-A channel obtained, after the response of the links, from Fig.~\ref{fig:WaveformWithMem}. The (2,2)+mem waveform is in blue and the memory component alone in red. The analytical PSD of the Science Requirements Document (SciRD)~\cite{LISA_SciRD} noise model was added in green, as a reference. This highlight the possible visibility of the memory component, here in the mHz region. The parameters are the same as in Fig.~\ref{fig:Comparing20Components}.
\small Memory SNR waterfall of the total binary  redshifted mass against the mass ratio for three different ``memory models'', showcasing the importance of a well-defined signal of the memory rise. \textit{Left:} Memory defined as in Eq.~\eqref{eq:memorymodes}, where the spacetime averaging selects out the $(2,0)$ mode. \textit{Middle:} Memory defined as the full $(2,0)$ mode within the waveform model $(b)$, including the oscillatory feature associated to the ringdown. \textit{Right:} Memory defined as Eq.~\eqref{eq:memorymodes}, including $m\neq0$ modes, without any averaging over high-frequency scales [Fig.~\ref{fig:MultiModeMemory}], which corresponds to a memory model defined as the null part of the BMS balance laws. \textit{Parameters:}  $\chi=0.4$, $\iota = \pi/3$, $d_l = 10^4 \textrm{Mpc}$, $\varphi_{ref} = 1$, $\psi = 0$, $\alpha = 0.74$, $\delta = 0.29$.
Caption \small Memory SNR waterfall of the total binary redshifted mass against the mass ratio for three different ``memory models'', showcasing the importance of a well-defined signal of the memory rise. \textit{Left:} Memory defined as in Eq.~\eqref{eq:memorymodes}, where the spacetime averaging selects out the $(2,0)$ mode. \textit{Middle:} Memory defined as the full $(2,0)$ mode within the waveform model $(b)$, including the oscillatory feature associated to the ringdown. \textit{Right:} Memory defined as Eq.~\eqref{eq:memorymodes}, including $m\neq0$ modes, without any averaging over high-frequency scales [Fig.~\ref{fig:MultiModeMemory}], which corresponds to a memory model defined as the null part of the BMS balance laws. \textit{Parameters:} $\chi=0.4$, $\iota = \pi/3$, $d_l = 10^4 \textrm{Mpc}$, $\varphi_{ref} = 1$, $\psi = 0$, $\alpha = 0.74$, $\delta = 0.29$.
Example of the LISA frequency domain response for an out-of-band merger source. The inspiral at $t\simeq 1.10\,\mathrm{h}$ before merger (blue) and the memory signal (red) are shown. The SNR is $197$ in total, and $31$ for the memory alone. \textit{Parameters:} $\chi=0.7$, $\theta=\pi/2$, $d_l=10^2\,\mathrm{Mpc}$, $\varphi_{\rm ref}=0$, $\psi=0$, $\alpha=0.74$, $\delta=0.29$ and $M_z=10^4 M_\odot$.
Caption Example of the LISA frequency domain response for an out-of-band merger source. The inspiral at $t\simeq 1.10\,\mathrm{h}$ before merger (blue) and the memory signal (red) are shown. The SNR is $197$ in total, and $31$ for the memory alone. \textit{Parameters:} $\chi=0.7$, $\theta=\pi/2$, $d_l=10^2\,\mathrm{Mpc}$, $\varphi_{\rm ref}=0$, $\psi=0$, $\alpha=0.74$, $\delta=0.29$ and $M_z=10^4 M_\odot$.
Mean and dispersion values of $\Delta \log_{10}\mathcal{L} \approx \log_{10}\mathcal{B}$ for various parameters sets. The black dotted line shows the fitted power law linking $\SNRmem$ and $\log_{10}\mathcal{B}$, and the red dashed line correspond to the $\log_{10}\mathcal{B} = 2$ threshold. Different total redshifted mass $M_z$ parameters are distinguished by different colors (blue for $M_z=10^5 M_\odot$, orange for $M_z=10^6 M_\odot$, and green for $M_z=10^7 M_\odot$), both for computed points and the estimated dispersion, represented as colored areas. The dot points are computed using waveform model $(b)$ and are used to perform the fit. The red star points correspond to additional runs computed using {\tt SEOBNRv5HM}~\cite{pySEOBNR, SEOBNRv5HM} waveform, which includes higher modes, and are used to test the model.
Caption Mean and dispersion values of $\Delta \log_{10}\mathcal{L} \approx \log_{10}\mathcal{B}$ for various parameters sets. The black dotted line shows the fitted power law linking $\SNRmem$ and $\log_{10}\mathcal{B}$, and the red dashed line correspond to the $\log_{10}\mathcal{B} = 2$ threshold. Different total redshifted mass $M_z$ parameters are distinguished by different colors (blue for $M_z=10^5 M_\odot$, orange for $M_z=10^6 M_\odot$, and green for $M_z=10^7 M_\odot$), both for computed points and the estimated dispersion, represented as colored areas. The dot points are computed using waveform model $(b)$ and are used to perform the fit. The red star points correspond to additional runs computed using {\tt SEOBNRv5HM}~\cite{pySEOBNR, SEOBNRv5HM} waveform, which includes higher modes, and are used to test the model.
Memory waterfall plot with stars corresponding to the computed $\log_{10}$Bayes factor. The color of the stars corresponds to the Jeffreys scale~\cite{Jeffreys_1998}, indicated by the colorbar under the figure. The light gray dashed line represents the ISO-SNR contour $\SNRmem = 3$. This plot used the waveform model $(b)$, including only the (2,2)-mode. \textit{Parameters:} $Q=1$, $\chi=0.4$, $\theta = \pi/3$, $\psi = 0$, $\alpha = 0.74$, $\delta = 0.29$.
Caption Memory waterfall plot with stars corresponding to the computed $\log_{10}$Bayes factor. The color of the stars corresponds to the Jeffreys scale~\cite{Jeffreys_1998}, indicated by the colorbar under the figure. The light gray dashed line represents the ISO-SNR contour $\SNRmem = 3$. This plot used the waveform model $(b)$, including only the (2,2)-mode. \textit{Parameters:} $Q=1$, $\chi=0.4$, $\theta = \pi/3$, $\psi = 0$, $\alpha = 0.74$, $\delta = 0.29$.
Conversion of the Fig.\ref{fig:MemoryWaterfallPlotWithBF} SNR waterfall plot into a detectability plot. The main colorbar (on the right) provides information on how likely we are to detect memory for a given set of parameters. The black line shows the $\SNRmem = 3$ threshold. We kept stars from the previous Bayes factor computations to compare with the prediction, using the same colorbar as in Fig.~\ref{fig:MemoryWaterfallPlotWithBF}.
Caption Conversion of the Fig.\ref{fig:MemoryWaterfallPlotWithBF} SNR waterfall plot into a detectability plot. The main colorbar (on the right) provides information on how likely we are to detect memory for a given set of parameters. The black line shows the $\SNRmem = 3$ threshold. We kept stars from the previous Bayes factor computations to compare with the prediction, using the same colorbar as in Fig.~\ref{fig:MemoryWaterfallPlotWithBF}.
Probability of having an iteration with $\SNRmem$ greater than a given value (x-axis). Each color correspond to a population model in Ref.~\cite{Barausse_2020, Barausse_Lapi_2021}. Solid lines corresponds to 4-years iterations and dotted lines to 10-years. The red area covers the region where we are under the threshold $\SNRmem^{\textrm{thresh}} = 3$. The gray dashed line shows the value $\SNRmem = 5$ over which memory should be always detected. The $\SNRmem$ computed here include higher mode contribution.
Caption Probability of having an iteration with $\SNRmem$ greater than a given value (x-axis). Each color correspond to a population model in Ref.~\cite{Barausse_2020, Barausse_Lapi_2021}. Solid lines corresponds to 4-years iterations and dotted lines to 10-years. The red area covers the region where we are under the threshold $\SNRmem^{\textrm{thresh}} = 3$. The gray dashed line shows the value $\SNRmem = 5$ over which memory should be always detected. The $\SNRmem$ computed here include higher mode contribution.
Output of SWSH modes $h_{\ell m}$ of the memory formula Eq.~\eqref{eq:memorymodes} (or equivalently Eq.~\eqref{eq:memory-pre-3j}) without averaging over high-frequency scales for a particular BBH merger. \textit{Parameters: $Q=6$, $\chi = 0.4$}
Caption Output of SWSH modes $h_{\ell m}$ of the memory formula Eq.~\eqref{eq:memorymodes} (or equivalently Eq.~\eqref{eq:memory-pre-3j}) without averaging over high-frequency scales for a particular BBH merger. \textit{Parameters: $Q=6$, $\chi = 0.4$}
References
  • [1] Y. B. Zel’dovich and A. G. Polnarev, “Radiation of gravitational waves by a cluster of superdense stars,” Sov. Astron. 18 (1974) 17.
  • [2] M. Turner, “Gravitational radiation from point-masses in unbound orbits: Newtonian results,” Astrophysical Journal 216 (1977) 610–619.
  • [3] V. B. Braginsky and L. P. Grishchuk, “Kinematic Resonance and Memory Effect in Free Mass Gravitational Antennas,” Sov. Phys. JETP 62 (1985) 427–430.
  • [4] V. Braginsky and K. Thorne, “Gravitational-wave bursts with memory and experimental prospects,” Nature 327 (1987) 123–125.
  • [5] D. Christodoulou, “Nonlinear nature of gravitation and gravitational wave experiments,” Phys. Rev. Lett. 67 (1991) 1486–1489.
  • [6] M. Ludvigsen, “Geodesic deviation at null infinity and the physical effects of very long wave gravitational radiation,” General Relativity and Gravitation 21 (1989) 1205–1212.
  • [7] L. Blanchet and T. Damour, “Hereditary effects in gravitational radiation,” Phys. Rev. D 46 (1992) 4304–4319.
  • [8] K. S. Thorne, “Gravitational-wave bursts with memory: The Christodoulou effect,” Phys. Rev. D 45 no. 2, (1992) 520–524.
  • [9] A. G. Wiseman and C. M. Will, “Christodoulou’s nonlinear gravitational-wave memory: Evaluation in the quadrupole approximation,” Phys. Rev. D 44 (Nov, 1991) R2945–R2949.
  • [10] M. Favata, “Post-Newtonian corrections to the gravitational-wave memory for quasi-circular, inspiralling compact binaries,” Phys. Rev. D 80 (2009) 024002, arXiv:0812.0069 [gr-qc].
  • [11] M. Favata, “Nonlinear gravitational-wave memory from binary black hole mergers,” Astrophys. J. Lett. 696 (2009) L159–L162, arXiv:0902.3660 [astro-ph.SR].
  • [12] M. Favata, “The gravitational-wave memory effect,” Class. Quant. Grav. 27 (2010) 084036, arXiv:1003.3486 [gr-qc].
  • [13] G. Barnich and C. Troessaert, “Symmetries of asymptotically flat 4 dimensional spacetimes at null infinity revisited,” Phys. Rev. Lett. 105 (2010) 111103, arXiv:0909.2617 [gr-qc].
  • [14] L. Bieri and D. Garfinkle, “Perturbative and gauge invariant treatment of gravitational wave memory,” Phys. Rev. D 89 no. 8, (2014) 084039, arXiv:1312.6871 [gr-qc].
  • [15] S. Pasterski, A. Strominger, and A. Zhiboedov, “New Gravitational Memories,” JHEP 12 (2016) 053, arXiv:1502.06120 [hep-th].
  • [16] D. A. Nichols, “Spin memory effect for compact binaries in the post-Newtonian approximation,” Phys. Rev. D 95 no. 8, (2017) 084048, arXiv:1702.03300 [gr-qc].
  • [17] D. Garfinkle, “Gravitational wave memory and the wave equation,” Class. Quant. Grav. 39 no. 13, (2022) 135010, arXiv:2201.05543 [gr-qc].
  • [18] J. Zosso, Probing Gravity - Fundamental Aspects of Metric Theories and their Implications for Tests of General Relativity. PhD thesis, Zurich, ETH, 2024. arXiv:2412.06043 [gr-qc].
  • [19] S. Weinberg, “Infrared Photons and Gravitons,” Phys. Rev. 140 (Oct, 1965) B516–B524.
  • [20] H. Bondi, M. G. J. van der Burg, and A. W. K. Metzner, “Gravitational waves in general relativity. 7. Waves from axisymmetric isolated systems,” Proc. Roy. Soc. Lond. A 269 (1962) 21–52.
  • [21] R. K. Sachs, “Gravitational waves in general relativity. 8. Waves in asymptotically flat space-times,” Proc. Roy. Soc. Lond. A 270 (1962) 103–126.
  • [22] J. Frauendiener, “Note on the memory effect,” Class. Quant. Grav. 9 (06, 1992) 1639–1641.
  • [23] A. Ashtekar, “Geometry and physics of null infinity,” Surveys Diff. Geom. 20 no. 1, (2015) 99–122, arXiv:1409.1800 [gr-qc].
  • [24] G. Compère, R. Oliveri, and A. Seraj, “The Poincaré and BMS flux-balance laws with application to binary systems,” JHEP 10 (2020) 116, arXiv:1912.03164 [gr-qc].
  • [25] F. D’Ambrosio, S. D. B. Fell, L. Heisenberg, D. Maibach, S. Zentarra, and J. Zosso, “Gravitational Waves in Full, Non-Linear General Relativity,” arXiv:2201.11634 [gr-qc].
  • [26] B. Goncharov, L. Donnay, and J. Harms, “Inferring Fundamental Spacetime Symmetries with Gravitational-Wave Memory: From LISA to the Einstein Telescope,” Phys. Rev. Lett. 132 no. 24, (2024) 241401, arXiv:2310.10718 [gr-qc].
  • [27] K. Mitman et al., “A review of gravitational memory and BMS frame fixing in numerical relativity,” Class. Quant. Grav. 41 no. 22, (2024) 223001, arXiv:2405.08868 [gr-qc].
  • [28] V. De Luca, J. Khoury, and S. S. C. Wong, “Gravitational memory and soft theorems: The local perspective,” Phys. Rev. D 112 no. 2, (2025) L021502, arXiv:2412.01910 [gr-qc].
  • [29] A. Strominger and A. Zhiboedov, “Gravitational Memory, BMS Supertranslations and Soft Theorems,” JHEP 01 (2016) 086, arXiv:1411.5745 [hep-th].
  • [30] A. Strominger, “Lectures on the Infrared Structure of Gravity and Gauge Theory,” arXiv:1703.05448 [hep-th].
  • [31] L. Bieri and D. Garfinkle, “An electromagnetic analogue of gravitational wave memory,” Class. Quant. Grav. 30 (2013) 195009, arXiv:1307.5098 [gr-qc].
  • [32] T. He, P. Mitra, A. P. Porfyriadis, and A. Strominger, “New Symmetries of Massless QED,” JHEP 10 (2014) 112, arXiv:1407.3789 [hep-th].
  • [33] M. Campiglia and A. Laddha, “Asymptotic symmetries of QED and Weinberg’s soft photon theorem,” JHEP 07 (2015) 115, arXiv:1505.05346 [hep-th].
  • [34] S. Pasterski, “Asymptotic Symmetries and Electromagnetic Memory,” JHEP 09 (2017) 154, arXiv:1505.00716 [hep-th].
  • [35] D. Kapec, M. Pate, and A. Strominger, “New Symmetries of QED,” Adv. Theor. Math. Phys. 21 (2017) 1769–1785, arXiv:1506.02906 [hep-th].
  • [36] J. Zosso, “Enhancement of Electromagnetic Memory Effects,” Phys. Rev. Lett. 135 no. 20, (2025) 201602, arXiv:2507.09555 [gr-qc].
  • [37] A. M. Grant and D. A. Nichols, “Outlook for detecting the gravitational-wave displacement and spin memory effects with current and future gravitational-wave detectors,” Phys. Rev. D 107 no. 6, (2023) 064056, arXiv:2210.16266 [gr-qc]. [Erratum: Phys.Rev.D 108, 029901 (2023)].
  • [37] A. M. Grant and D. A. Nichols, “Outlook for detecting the gravitational-wave displacement and spin memory effects with current and future gravitational-wave detectors,” Phys. Rev. D 107 no. 6, (2023) 064056, arXiv:2210.16266 [gr-qc]. [Erratum: Phys.Rev.D 108, 029901 (2023)].
  • [38] P. D. Lasky, E. Thrane, Y. Levin, J. Blackman, and Y. Chen, “Detecting gravitational-wave memory with LIGO: implications of GW150914,” Phys. Rev. Lett. 117 no. 6, (2016) 061102, arXiv:1605.01415 [astro-ph.HE].
  • [39] L. O. McNeill, E. Thrane, and P. D. Lasky, “Detecting Gravitational Wave Memory without Parent Signals,” Phys. Rev. Lett. 118 no. 18, (2017) 181103, arXiv:1702.01759 [astro-ph.IM].
  • [40] A. D. Johnson, S. J. Kapadia, A. Osborne, A. Hixon, and D. Kennefick, “Prospects of detecting the nonlinear gravitational wave memory,” Phys. Rev. D 99 no. 4, (2019) 044045, arXiv:1810.09563 [gr-qc].
  • [41] H. Yang and D. Martynov, “Testing Gravitational Memory Generation with Compact Binary Mergers,” Phys. Rev. Lett. 121 no. 7, (2018) 071102, arXiv:1803.02429 [gr-qc].
  • [42] M. Hübner, C. Talbot, P. D. Lasky, and E. Thrane, “Measuring gravitational-wave memory in the first LIGO/Virgo gravitational-wave transient catalog,” Phys. Rev. D 101 no. 2, (2020) 023011, arXiv:1911.12496 [astro-ph.HE].
  • [43] K. Islo, J. Simon, S. Burke-Spolaor, and X. Siemens, “Prospects for Memory Detection with Low-Frequency Gravitational Wave Detectors,” arXiv:1906.11936 [astro-ph.HE].
  • [44] NANOGrav Collaboration, K. Aggarwal et al., “The NANOGrav 11 yr Data Set: Limits on Gravitational Wave Memory,” Astrophys. J. 889 (2020) 38, arXiv:1911.08488 [astro-ph.HE].
  • [45] L. M. Burko and G. Khanna, “Climbing up the memory staircase: Equatorial zoom-whirl orbits,” Phys. Rev. D 102 no. 8, (2020) 084035, arXiv:2007.12545 [gr-qc].
  • [46] O. M. Boersma, D. A. Nichols, and P. Schmidt, “Forecasts for detecting the gravitational-wave memory effect with Advanced LIGO and Virgo,” Phys. Rev. D 101 no. 8, (2020) 083026, arXiv:2002.01821 [astro-ph.HE].
  • [47] T. Islam, S. E. Field, G. Khanna, and N. Warburton, “Survey of gravitational wave memory in intermediate mass ratio binaries,” arXiv:2109.00754 [gr-qc].
  • [48] M. Hübner, P. Lasky, and E. Thrane, “Memory remains undetected: Updates from the second LIGO/Virgo gravitational-wave transient catalog,” Phys. Rev. D 104 no. 2, (2021) 023004, arXiv:2105.02879 [gr-qc].
  • [49] S. Sun, C. Shi, J.-d. Zhang, and J. Mei, “Detecting the gravitational wave memory effect with TianQin,” Phys. Rev. D 107 no. 4, (2023) 044023, arXiv:2207.13009 [gr-qc].
  • [50] S. Gasparotto, R. Vicente, D. Blas, A. C. Jenkins, and E. Barausse, “Can gravitational-wave memory help constrain binary black-hole parameters? A LISA case study,” Phys. Rev. D 107 no. 12, (2023) 124033, arXiv:2301.13228 [gr-qc].
  • [51] S. Ghosh, A. Weaver, J. Sanjuan, P. Fulda, and G. Mueller, “Detection of the gravitational memory effect in LISA using triggers from ground-based detectors,” Phys. Rev. D 107 no. 8, (2023) 084051, arXiv:2302.04396 [gr-qc].
  • [52] NANOGrav Collaboration, G. Agazie et al., “The NANOGrav 12.5 yr Data Set: Search for Gravitational Wave Memory,” Astrophys. J. 963 no. 1, (2024) 61, arXiv:2307.13797 [gr-qc].
  • [53] S. Y. Cheung, P. D. Lasky, and E. Thrane, “Does spacetime have memories? Searching for gravitational-wave memory in the third LIGO-Virgo-KAGRA gravitational-wave transient catalogue,” Class. Quant. Grav. 41 no. 11, (2024) 115010, arXiv:2404.11919 [gr-qc].
  • [54] S. Hou, Z.-C. Zhao, Z. Cao, and Z.-H. Zhu, “Space-Borne Interferometers to Detect Thousands of Memory Signals Emitted by Stellar-Mass Binary Black Holes,” Chin. Phys. Lett. 42 no. 10, (2025) 101101, arXiv:2411.18053 [gr-qc].
  • [55] H. Inchauspé, S. Gasparotto, D. Blas, L. Heisenberg, J. Zosso, and S. Tiwari, “Measuring gravitational wave memory with LISA,” Phys. Rev. D 111 no. 4, (2025) 044044, arXiv:2406.09228 [gr-qc].
  • [56] G. Agazie et al., “The NANOGrav 15 yr Data Set: Search for Gravitational-wave Memory,” Astrophys. J. 987 no. 1, (2025) 5, arXiv:2502.18599 [gr-qc].
  • [57] P. Amaro-Seoane et al., “Laser Interferometer Space Antenna,” arXiv:1702.00786 [astro-ph.IM].
  • [58] LISA Collaboration, M. Colpi et al., “LISA Definition Study Report,” arXiv:2402.07571 [astro-ph.CO].
  • [59] L. D. C. W. Group, “LISA Rosetta Stone: Conventions document (LISA-DDPC-SEG-TN-007),” 2025.
  • [60] E. Barausse, I. Dvorkin, M. Tremmel, M. Volonteri, and M. Bonetti, “Massive Black Hole Merger Rates: The Effect of Kiloparsec Separation Wandering and Supernova Feedback,” The Astrophysical Journal 904 no. 1, (Nov., 2020) 16.
  • [61] E. Barausse and A. Lapi, Massive Black-Hole Mergers, p. 1–33. Springer, Singapore, 2021. https://link.springer.com/rwe/10.1007/ 978-981-15-4702-7_18-1.
  • [62] LIGO Scientific Collaboration, J. Aasi et al., “Advanced LIGO,” Class. Quant. Grav. 32 (2015) 074001, arXiv:1411.4547 [gr-qc].
  • [63] VIRGO Collaboration, F. Acernese et al., “Advanced Virgo: a second-generation interferometric gravitational wave detector,” Class. Quant. Grav. 32 no. 2, (2015) 024001, arXiv:1408.3978 [gr-qc].
  • [64] KAGRA Collaboration, T. Akutsu et al., “Overview of KAGRA: Detector design and construction history,” PTEP 2021 no. 5, (2021) 05A101, arXiv:2005.05574 [physics.ins-det].
  • [65] D. Reitze et al., “Cosmic Explorer: The U.S. Contribution to Gravitational-Wave Astronomy beyond LIGO,” Bull. Am. Astron. Soc. 51 no. 7, (2019) 035, arXiv:1907.04833 [astro-ph.IM].
  • [66] ET Collaboration, A. Abac et al., “The Science of the Einstein Telescope,” arXiv:2503.12263 [gr-qc].
  • [67] NANOGrav Collaboration, G. Agazie et al., “The NANOGrav 15 yr Data Set: Evidence for a Gravitational-wave Background,” Astrophys. J. Lett. 951 no. 1, (2023) L8, arXiv:2306.16213 [astro-ph.HE].
  • [68] EPTA, InPTA: Collaboration, J. Antoniadis et al., “The second data release from the European Pulsar Timing Array - III. Search for gravitational wave signals,” Astron. Astrophys. 678 (2023) A50, arXiv:2306.16214 [astro-ph.HE].
  • [69] R. A. Isaacson, “Gravitational Radiation in the Limit of High Frequency. I. The Linear Approximation and Geometrical Optics,” Phys. Rev. 166 (Feb, 1968) 1263–1271.
  • [70] R. A. Isaacson, “Gravitational Radiation in the Limit of High Frequency. II. Nonlinear Terms and the Effective Stress Tensor,” Phys. Rev. 166 (Feb, 1968) 1272–1280.
  • [71] L. Heisenberg, N. Yunes, and J. Zosso, “Gravitational wave memory beyond general relativity,” Phys. Rev. D 108 no. 2, (2023) 024010, arXiv:2303.02021 [gr-qc].
  • [72] J. Zosso, “Continuing Isaacson’s Legacy: A general metric theory perspective on gravitational memory and the non-linearity of gravity,” in 59th Rencontres de Moriond on Gravitation: Moriond 2025 Gravitation. 5, 2025. arXiv:2505.17603 [gr-qc].
  • [73] Cogez, Adrien and Gasparotto, Silvia and Zosso, Jann and Inchauspé, Henri and Pitte, Chantal and Magaña Zertuche, Lorena and Petiteau, Antoine and Besancon, Marc, “Detectability of Gravitational-Wave Memory with LISA: A Bayesian Approach,” (in prep) (2026) .
  • [74] C. W. Misner, K. S. Thorne, and J. A. Wheeler, Gravitation. W. H. Freeman, San Francisco, 1973.
  • [75] K. S. Thorne, “Multipole Expansions of Gravitational Radiation,” Rev. Mod. Phys. 52 (1980) 299–339.
  • [76] S. Weinberg, Gravitation and Cosmology: Principles and Applications of the General Theory of Relativity. Wiley, 1972.
  • [77] R. M. Wald, General Relativity. Chicago Univ. Pr., Chicago, USA, 1984.
  • [78] E. E. Flanagan and S. A. Hughes, “The Basics of gravitational wave theory,” New J. Phys. 7 (2005) 204, arXiv:gr-qc/0501041.
  • [79] S. M. Carroll, Spacetime and Geometry: An Introduction to General Relativity. Cambridge University Press, 2019.
  • [80] M. Maggiore, Gravitational Waves: Volume 1: Theory and Experiments. Oxford University Press, 10, 2007.
  • [81] E. T. Newman, R. Penrose, and H. Bondi, “New conservation laws for zero rest-mass fields in asymptotically flat space-time,” Proc. R. Soc. Lond. A 305 no. 1481, (1968) 175–204.
  • [82] R. P. Geroch and J. Winicour, “Linkages in general relativity,” J. Math. Phys. 22 (1981) 803–812.
  • [83] A. Ashtekar and M. Streubel, “Symplectic Geometry of Radiative Modes and Conserved Quantities at Null Infinity,” Proceedings of the Royal Society of London. Series A, Mathematical and Physical Sciences 376 no. 1767, (1981) 585–607.
  • [84] A. Ashtekar and A. Magnon-Ashtekar, “On the symplectic structure of general relativity,” Commun. Math. Phys. 86 (1982) 55–68.
  • [85] R. M. Wald and A. Zoupas, “A General definition of ’conserved quantities’ in general relativity and other theories of gravity,” Phys. Rev. D 61 (2000) 084027, arXiv:gr-qc/9911095.
  • [86] É. É. Flanagan and D. A. Nichols, “Conserved charges of the extended Bondi-Metzner-Sachs algebra,” Phys. Rev. D 95 no. 4, (2017) 044002, arXiv:1510.03386 [hep-th]. [Erratum: Phys.Rev.D 108, 069902 (2023)].
  • [86] É. É. Flanagan and D. A. Nichols, “Conserved charges of the extended Bondi-Metzner-Sachs algebra,” Phys. Rev. D 95 no. 4, (2017) 044002, arXiv:1510.03386 [hep-th]. [Erratum: Phys.Rev.D 108, 069902 (2023)].
  • [87] A. Ashtekar, T. De Lorenzo, and N. Khera, “Compact binary coalescences: Constraints on waveforms,” Gen. Rel. Grav. 52 no. 11, (2020) 107, arXiv:1906.00913 [gr-qc].
  • [88] K. Mitman et al., “Adding gravitational memory to waveform catalogs using BMS balance laws,” Phys. Rev. D 103 no. 2, (2021) 024031, arXiv:2011.01309 [gr-qc].
  • [89] R. Penrose, “Asymptotic properties of fields and space-times,” Phys. Rev. Lett. 10 (1963) 66–68.
  • [90] R. Geroch, “Asymptotic Structure of Space-Time,” in Symposium on Asymptotic Structure of Space-Time, F. P. Esposito and L. Witten, eds. Springer New York, NY, 1977.
  • [91] L. A. Gómez López and G. D. Quiroga, “Asymptotic structure of spacetime and the Newman-Penrose formalism: a brief review,” Rev. Mex. Fis. 63 no. 3, (2017) 275, arXiv:1711.11381 [gr-qc].
  • [92] R. Arnowitt, S. Deser, and C. W. Misner, “Dynamical Structure and Definition of Energy in General Relativity,” Phys. Rev. 116 (Dec, 1959) 1322–1330.
  • [93] R. L. Arnowitt, S. Deser, and C. W. Misner, “The Dynamics of general relativity,” Gen. Rel. Grav. 40 (2008) 1997–2027, arXiv:gr-qc/0405109.
  • [94] F. D’Ambrosio, F. Gozzini, L. Heisenberg, H. Inchauspé, D. Maibach, and J. Zosso, “Testing gravitational waveforms in full General Relativity,” arXiv:2402.19397 [gr-qc].
  • [95] R. Epstein, “The generation of gravitational radiation by escaping supernova neutrinos,” Astrophysical Journal 223 (1978) 1037–1045.
  • [96] A. Burrows and J. Hayes, “Pulsar recoil and gravitational radiation due to asymmetrical stellar collapse and explosion,” Phys. Rev. Lett. 76 (1996) 352–355, arXiv:astro-ph/9511106.
  • [97] C. Ott, “The Gravitational Wave Signature of Core-Collapse Supernovae,” Class. Quant. Grav. 26 (2009) 063001, arXiv:0809.0695 [astro-ph].
  • [98] J. W. Murphy, C. D. Ott, and A. Burrows, “A Model for Gravitational Wave Emission from Neutrino-Driven Core-Collapse Supernovae,” The Astrophysical Journal 707 (2009) 1173–1190, arXiv:0907.4762 [astro-ph].
  • [99] N. Sago, K. Ioka, T. Nakamura, and R. Yamazaki, “Gravitational wave memory of gamma-ray burst jets,” Phys. Rev. D 70 (2004) 104012, arXiv:gr-qc/0405067.
  • [100] D. Merritt, M. Milosavljevic, M. Favata, S. A. Hughes, and D. E. Holz, “Consequences of gravitational radiation recoil,” Astrophys. J. Lett. 607 (2004) L9–L12, arXiv:astro-ph/0402057.
  • [101] J. A. Gonzalez, U. Sperhake, B. Bruegmann, M. Hannam, and S. Husa, “Total recoil: The Maximum kick from nonspinning black-hole binary inspiral,” Phys. Rev. Lett. 98 (2007) 091101, arXiv:gr-qc/0610154.
  • [102] M. Favata, “Gravitational-wave memory revisited: memory from the merger and recoil of binary black holes,” J. Phys. Conf. Ser. 154 (2009) 012043, arXiv:0811.3451 [astro-ph].
  • [103] S. Komossa, “Recoiling black holes: electromagnetic signatures, candidates, and astrophysical implications,” Adv. Astron. 2012 (2012) 364973, arXiv:1202.1977 [astro-ph.CO].
  • [104] A. Borchers and F. Ohme, “Inconsistent black hole kick estimates from gravitational-wave models,” Class. Quant. Grav. 40 no. 9, (2023) 095008, arXiv:2207.13531 [gr-qc].
  • [105] R. Zalaletdinov, “Space-time averages of classical physical fields,” arXiv:gr-qc/0411004.
  • [106] L. C. Stein and N. Yunes, “Effective Gravitational Wave Stress-energy Tensor in Alternative Theories of Gravity,” Phys. Rev. D 83 (2011) 064038, arXiv:1012.3144 [gr-qc].
  • [107] M. Favata, “The Gravitational-wave memory from eccentric binaries,” Phys. Rev. D 84 (2011) 124013, arXiv:1108.3121 [gr-qc].
  • [108] L. Heisenberg, G. Xu, and J. Zosso, “Unifying ordinary and null memory,” JCAP 05 (2024) 119, arXiv:2401.05936 [gr-qc].
  • [109] J. D. Jackson, Classical Electrodynamics. Wiley, 1998.
  • [110] J. N. Goldberg, A. J. MacFarlane, E. T. Newman, F. Rohrlich, and E. C. G. Sudarshan, “Spin-s spherical harmonics and ð,” J. Math. Phys. 8 (1967) 2155.
  • [111] E. T. Newman and R. Penrose, “Note on the Bondi-Metzner-Sachs group,” J. Math. Phys. 7 (1966) 863–870.
  • [112] C. Talbot, E. Thrane, P. D. Lasky, and F. Lin, “Gravitational-wave memory: waveforms and phenomenology,” Phys. Rev. D 98 no. 6, (2018) 064031, arXiv:1807.00990 [astro-ph.HE].
  • [113] E. K. Porter and A. Sesana, “Eccentric Massive Black Hole Binaries in LISA I : The Detection Capabilities of Circular Templates,” arXiv:1005.5296 [gr-qc].
  • [114] M. Coleman Miller and J. H. Krolik, “Alignment of supermassive black hole binary orbits and spins,” Astrophys. J. 774 (2013) 43, arXiv:1307.6569 [astro-ph.HE].
  • [115] M. Boyle, L. E. Kidder, S. Ossokine, and H. P. Pfeiffer, “Gravitational-wave modes from precessing black-hole binaries,” arXiv:1409.4431 [gr-qc].
  • [116] J. Calderón Bustillo, A. Bohé, S. Husa, A. M. Sintes, M. Hannam, and M. Pürrer, “Comparison of subdominant gravitational wave harmonics between post-Newtonian and numerical relativity calculations and construction of multi-mode hybrids,” arXiv:1501.00918 [gr-qc].
  • [117] V. Varma, S. E. Field, M. A. Scheel, J. Blackman, L. E. Kidder, and H. P. Pfeiffer, “Surrogate model of hybridized numerical relativity binary black hole waveforms,” Phys. Rev. D 99 no. 6, (2019) 064045, arXiv:1812.07865 [gr-qc].
  • [118] K. Barkett, Y. Chen, M. A. Scheel, and V. Varma, “Gravitational waveforms of binary neutron star inspirals using post-Newtonian tidal splicing,” Phys. Rev. D 102 no. 2, (2020) 024031, arXiv:1911.10440 [gr-qc].
  • [119] J. Yoo et al., “Numerical relativity surrogate model with memory effects and post-Newtonian hybridization,” Phys. Rev. D 108 no. 6, (2023) 064027, arXiv:2306.03148 [gr-qc].
  • [120] E. Newman and R. Penrose, “An Approach to gravitational radiation by a method of spin coefficients,” J. Math. Phys. 3 (1962) 566–578.
  • [121] E. Berti, V. Cardoso, J. A. Gonzalez, U. Sperhake, M. Hannam, S. Husa, and B. Bruegmann, “Inspiral, merger and ringdown of unequal mass black hole binaries: A Multipolar analysis,” Phys. Rev. D 76 (2007) 064034, arXiv:gr-qc/0703053.
  • [122] K. Mitman, J. Moxon, M. A. Scheel, S. A. Teukolsky, M. Boyle, N. Deppe, L. E. Kidder, and W. Throwe, “Computation of displacement and spin gravitational memory in numerical relativity,” Phys. Rev. D 102 no. 10, (2020) 104007, arXiv:2007.11562 [gr-qc].
  • [123] D. Pollney and C. Reisswig, “Gravitational memory in binary black hole mergers,” Astrophys. J. Lett. 732 (2011) L13, arXiv:1004.4209 [gr-qc].
  • [124] C. Reisswig, N. T. Bishop, D. Pollney, and B. Szilagyi, “Characteristic extraction in numerical relativity: binary black hole merger waveforms at null infinity,” Class. Quant. Grav. 27 (2010) 075014, arXiv:0912.1285 [gr-qc].
  • [125] M. C. Babiuc, B. Szilagyi, J. Winicour, and Y. Zlochower, “A Characteristic Extraction Tool for Gravitational Waveforms,” Phys. Rev. D 84 (2011) 044057, arXiv:1011.4223 [gr-qc].
  • [126] C. J. Handmer and B. Szilagyi, “Spectral Characteristic Evolution: A New Algorithm for Gravitational Wave Propagation,” Class. Quant. Grav. 32 no. 2, (2015) 025008, arXiv:1406.7029 [gr-qc].
  • [127] C. J. Handmer, B. Szilágyi, and J. Winicour, “Gauge Invariant Spectral Cauchy Characteristic Extraction,” Class. Quant. Grav. 32 no. 23, (2015) 235018, arXiv:1502.06987 [gr-qc].
  • [128] C. J. Handmer, B. Szilágyi, and J. Winicour, “Spectral Cauchy Characteristic Extraction of strain, news and gravitational radiation flux,” Class. Quant. Grav. 33 no. 22, (2016) 225007, arXiv:1605.04332 [gr-qc].
  • [129] N. T. Bishop, R. Gomez, L. Lehner, and J. Winicour, “Cauchy-characteristic extraction in numerical relativity,” Phys. Rev. D 54 (1996) 6153–6165, arXiv:gr-qc/9705033.
  • [130] L. Magaña Zertuche et al., “High-precision ringdown surrogate model for nonprecessing binary black holes,” Phys. Rev. D 112 no. 2, (2025) 024077, arXiv:2408.05300 [gr-qc].
  • [131] M. Rosselló-Sastre, S. Husa, and S. Bera, “Waveform model for the missing quadrupole mode from black hole coalescence: Memory effect and ringdown of the (ℓ=2,m=0) spherical harmonic,” Phys. Rev. D 110 no. 8, (2024) 084074, arXiv:2405.17302 [gr-qc].
  • [132] M. Rosselló-Sastre and S. Husa, “Waveform model for the (ℓ = 2, m = 0) spherical harmonic and the displacement memory contribution from precessing binary black holes,” arXiv:2506.08888 [gr-qc].
  • [133] E. Grilli, A. Placidi, S. Albanesi, G. Grignani, and M. Orselli, “Direct current memory effects in effective-one-body waveform models,” Phys. Rev. D 111 no. 4, (2025) 044045, arXiv:2410.05386 [gr-qc].
  • [134] S. Albanesi, “Real modes and null memory contributions in effective-one-body models,” Phys. Rev. D 111 no. 12, (2025) L121501, arXiv:2411.04024 [gr-qc].
  • [135] A. Buonanno, G. B. Cook, and F. Pretorius, “Inspiral, merger and ring-down of equal-mass black-hole binaries,” Phys. Rev. D 75 (2007) 124018, arXiv:gr-qc/0610122.
  • [136] S. Bhagwat, M. Okounkova, S. W. Ballmer, D. A. Brown, M. Giesler, M. A. Scheel, and S. A. Teukolsky, “On choosing the start time of binary black hole ringdowns,” Phys. Rev. D 97 no. 10, (2018) 104065, arXiv:1711.00926 [gr-qc].
  • [137] M. Mukhopadhyay, C. Cardona, and C. Lunardini, “The neutrino gravitational memory from a core collapse supernova: phenomenology and physics potential,” JCAP 07 (2021) 055, arXiv:2105.05862 [astro-ph.HE].
  • [138] C. Reisswig, S. Husa, L. Rezzolla, E. N. Dorband, D. Pollney, and J. Seiler, “Gravitational-wave detectability of equal-mass black-hole binaries with aligned spins,” Phys. Rev. D 80 (2009) 124026, arXiv:0907.0462 [gr-qc].
  • [139] E. Barausse, V. Morozova, and L. Rezzolla, “On the mass radiated by coalescing black-hole binaries,” Astrophys. J. 758 (2012) 63, arXiv:1206.3803 [gr-qc]. [Erratum: Astrophys.J. 786, 76 (2014)].
  • [139] E. Barausse, V. Morozova, and L. Rezzolla, “On the mass radiated by coalescing black-hole binaries,” Astrophys. J. 758 (2012) 63, arXiv:1206.3803 [gr-qc]. [Erratum: Astrophys.J. 786, 76 (2014)].
  • [140] S. Weinberg, Cosmology. Oxford University Press, 2008.
  • [141] S. Dodelson and F. Schmidt, Modern Cosmology. Elsevier Science, 2020.
  • [142] K. Thorne, The theory of gravitational radiation: an introductory review. North-Holland., Dec., 2024.
  • [143] A. Tolish and R. M. Wald, “Cosmological memory effect,” Phys. Rev. D 94 no. 4, (2016) 044009, arXiv:1606.04894 [gr-qc].
  • [144] L. Bieri, D. Garfinkle, and N. Yunes, “Gravitational wave memory in ΛCDM cosmology,” Class. Quant. Grav. 34 no. 21, (2017) 215002, arXiv:1706.02009 [gr-qc].
  • [145] LIGO Scientific, VIRGO, KAGRA Collaboration, R. Abbott et al., “GWTC-3: Compact Binary Coalescences Observed by LIGO and Virgo During the Second Part of the Third Observing Run,” arXiv:2111.03606 [gr-qc].
  • [146] M. Maggiore et al., “Science Case for the Einstein Telescope,” JCAP 03 (2020) 050, arXiv:1912.02622 [astro-ph.CO].
  • [147] D. J. Reardon et al., “Search for an Isotropic Gravitational-wave Background with the Parkes Pulsar Timing Array,” Astrophys. J. Lett. 951 no. 1, (2023) L6, arXiv:2306.16215 [astro-ph.HE].
  • [148] F. B. Estabrook and H. D. Wahlquist, “Response of Doppler spacecraft tracking to gravitational radiation,” Gen. Rel. Grav. 6 no. 5, (1975) 439–447.
  • [149] W. L. Burke, “Large-Scale Random Gravitational Waves,” Astrophys. J. 196 (1975) 329–334.
  • [150] M. Tinto and M. E. d. S. Alves, “LISA sensitivities to gravitational waves from relativistic metric theories of gravity,” Physical Review D 82 no. 12, (Dec., 2010) . http://dx.doi.org/10.1103/PhysRevD.82.122003.
  • [151] M. Vallisneri, “Geometric time delay interferometry,” Phys. Rev. D 72 (2005) 042003, arXiv:gr-qc/0504145. [Erratum: Phys.Rev.D 76, 109903 (2007)].
  • [151] M. Vallisneri, “Geometric time delay interferometry,” Phys. Rev. D 72 (2005) 042003, arXiv:gr-qc/0504145. [Erratum: Phys.Rev.D 76, 109903 (2007)].
  • [152] J.-B. Bayle and O. Hartwig, “Unified model for the LISA measurements and instrument simulations,” Physical Review D 107 no. 8, (Apr., 2023) 083019. https: //link.aps.org/doi/10.1103/PhysRevD.107.083019. Publisher: American Physical Society.
  • [153] S. Babak, A. Petiteau, and M. Hewitson, “LISA Sensitivity and SNR Calculations,” arXiv:2108.01167 [astro-ph.IM].
  • [154] L. S. S. Team, “LISA Science Requirements Document,” 2018. https://www.cosmos.esa.int/ documents/678316/1700384/SciRD.pdf.
  • [155] S. Tiwari, M. Ebersold, and E. Z. Hamilton, “Leveraging gravitational-wave memory to distinguish neutron star-black hole binaries from black hole binaries,” Phys. Rev. D 104 no. 12, (2021) 123024, arXiv:2110.11171 [gr-qc].
  • [156] M. Rosselló-Sastre, S. Husa, S. Bera, and Y. Xu, “Impact of the (ℓ=2, m=0) spherical harmonic mode with memory on parameter estimation for ground-based detectors,” Phys. Rev. D 112 no. 8, (2025) 084021, arXiv:2506.05859 [gr-qc].
  • [157] S. Gasparotto, G. Franciolini, and V. Domcke, “Gravitational wave memory of primordial black hole mergers,” Phys. Rev. D 112 no. 10, (2025) 103021, arXiv:2505.01356 [astro-ph.CO].
  • [158] S. Gasparotto Gasparotto, Ultralight Fields and Gravitational Wave Memory: Probing Dark Matter and Testing General Relativity with Cosmological and Gravitational Wave Observations. PhD thesis, TDX, Barcelona, Autonoma U., 2025.
  • [159] E. Higson, W. Handley, M. Hobson, and A. Lasenby, “Dynamic nested sampling: an improved algorithm for parameter estimation and evidence calculation,” Statistics and Computing 29 no. 5, (Sept., 2019) 891–913.
  • [160] S. Koposov, J. Speagle, K. Barbary, G. Ashton, E. Bennett, J. Buchner, C. Scheffler, B. Cook, C. Talbot, J. Guillochon, P. Cubillos, A. A. Ramos, M. Dartiailh, Ilya, E. Tollerud, D. Lang, B. Johnson, jtmendel, E. Higson, T. Vandal, T. Daylan, R. Angus, patelR, P. Cargile, P. Sheehan, M. Pitkin, M. Kirk, J. Leja, joezuntz, and D. Goldstein, “joshspeagle/dynesty: v2.1.4,” June, 2024. https://zenodo.org/records/12537467.
  • [161] F. Feroz, M. P. Hobson, and M. Bridges, “MULTINEST: an efficient and robust Bayesian inference tool for cosmology and particle physics,” Monthly Notices of the Royal Astronomical Society 398 (Oct., 2009) 1601–1614. ADS Bibcode: 2009MNRAS.398.1601F.
  • [162] J. Skilling, “Nested Sampling,”. ADS Bibcode: 2004AIPC..735..395S.
  • [163] J. Skilling, “Nested sampling for general Bayesian computation,” Bayesian Analysis 1 no. 4, (Dec., 2006) 833–859.
  • [164] J. S. Speagle, “DYNESTY: a dynamic nested sampling package for estimating Bayesian posteriors and evidences,” Monthly Notices of the Royal Astronomical Society 493 (Apr., 2020) 3132–3158. ADS Bibcode: 2020MNRAS.493.3132S.
  • [165] H. Jeffreys, The Theory of Probability. OUP Oxford, Aug., 1998. Google-Books-ID: vh9Act9rtzQC.
  • [166] D. P. Mihaylov, S. Ossokine, A. Buonanno, H. Estelles, L. Pompili, M. Pürrer, and A. Ramos-Buades, “pySEOBNR: a software package for the next generation of effective-one-body multipolar waveform models,”. http://arxiv.org/abs/2303.18203. arXiv:2303.18203 [gr-qc].
  • [167] L. Pompili, A. Buonanno, H. Estellés, M. Khalil, M. v. d. Meent, D. P. Mihaylov, S. Ossokine, M. Pürrer, A. Ramos-Buades, A. K. Mehta, R. Cotesta, S. Marsat, M. Boyle, L. E. Kidder, H. P. Pfeiffer, M. A. Scheel, H. R. Rüter, N. Vu, R. Dudi, S. Ma, K. Mitman, D. Melchor, S. Thomas, and J. Sanchez, “Laying the foundation of the effective-one-body waveform models SEOBNRv5: improved accuracy and efficiency for spinning non-precessing binary black holes,” Physical Review D 108 no. 12, (Dec., 2023) . http://arxiv.org/abs/2303.18039. arXiv:2303.18039 [gr-qc].
  • [168] L. Heisenberg, B. Rosatello, G. Xu, and J. Zosso, “Constraining superluminal Einstein-Æther gravity through gravitational memory,” Phys. Rev. D 112 no. 2, (2025) 024052, arXiv:2505.09544 [gr-qc].
  • [169] L. Heisenberg, B. Rosatello, G. Xu, and J. Zosso, “Gravitational memory in generalized Proca gravity,” Phys. Rev. D 112 no. 10, (2025) 104073, arXiv:2508.20545 [gr-qc].
  • [170] Q. Alnasheet, V. Cardoso, F. Duque, and R. Panosso Macedo, “Gravitational-wave tails and memory effect for mergers in astrophysical environments,” Phys. Rev. D 112 no. 4, (2025) 044066, arXiv:2508.20238 [gr-qc].
  • [171] M. Lagos and L. Hui, “Generation and propagation of nonlinear quasinormal modes of a Schwarzschild black hole,” Phys. Rev. D 107 no. 4, (2023) 044040, arXiv:2208.07379 [gr-qc].
  • [172] M. H.-Y. Cheung et al., “Nonlinear Effects in Black Hole Ringdown,” Phys. Rev. Lett. 130 no. 8, (2023) 081401, arXiv:2208.07374 [gr-qc].
  • [173] P. Schmidt, M. Hannam, S. Husa, and P. Ajith, “Tracking the precession of compact binaries from their gravitational-wave signal,” Phys. Rev. D 84 (2011) 024046, arXiv:1012.2879 [gr-qc].
  • [174] S. Khan, K. Chatziioannou, M. Hannam, and F. Ohme, “Phenomenological model for the gravitational-wave signal from precessing binary black holes with two-spin effects,” Phys. Rev. D 100 no. 2, (2019) 024059, arXiv:1809.10113 [gr-qc].
  • [175] H. Yu, J. Roulet, T. Venumadhav, B. Zackay, and M. Zaldarriaga, “Accurate and efficient waveform model for precessing binary black holes,” Phys. Rev. D 108 no. 6, (2023) 064059, arXiv:2306.08774 [gr-qc].
  • [176] E. Hamilton et al., “Catalog of precessing black-hole-binary numerical-relativity simulations,” Phys. Rev. D 109 no. 4, (2024) 044032, arXiv:2303.05419 [gr-qc].
  • [177] J. E. Thompson, E. Hamilton, L. London, S. Ghosh, P. Kolitsidou, C. Hoy, and M. Hannam, “PhenomXO4a: a phenomenological gravitational-wave model for precessing black-hole binaries with higher multipoles and asymmetries,” Phys. Rev. D 109 no. 6, (2024) 063012, arXiv:2312.10025 [gr-qc].
  • [178] J. N. Arredondo, A. Klein, and N. Yunes, “Efficient gravitational-wave model for fully-precessing and moderately eccentric, compact binary inspirals,” Phys. Rev. D 110 no. 4, (2024) 044044, arXiv:2402.06804 [gr-qc].
  • [179] E. Hamilton et al., “PhenomXPNR: An improved gravitational wave model linking precessing inspirals and NR-calibrated merger-ringdown,” arXiv:2507.02604 [gr-qc].
  • [180] A. Gupta et al., “Possible causes of false general relativity violations in gravitational wave observations,” arXiv:2405.02197 [gr-qc].
  • [181] S.-S. Li, S. Mao, Y. Zhao, and Y. Lu, “Gravitational lensing of gravitational waves: A statistical perspective,” Mon. Not. Roy. Astron. Soc. 476 no. 2, (2018) 2220–2229, arXiv:1802.05089 [astro-ph.CO].
  • [182] M. Grespan and M. Biesiada, “Strong Gravitational Lensing of Gravitational Waves: A Review,” Universe 9 no. 5, (2023) 200.
  • [183] O. A. Hannuksela, “Gravitational-wave lensing detection,” Phil. Trans. Roy. Soc. Lond. A 383 no. 2295, (2025) 20240129.
  • [184] S. Goyal, H. Villarrubia-Rojo, and M. Zumalacarregui, “Across the Universe: GW231123 as a magnified and diffracted black hole merger,” arXiv:2512.17631 [astro-ph.GA].
  • [185] D. Keitel, “False positives for gravitational lensing: the gravitational-wave perspective,” Phil. Trans. Roy. Soc. Lond. A 383 no. 2295, (2025) 20240128, arXiv:2407.12974 [gr-qc].
  • [186] LIGO Scientific, VIRGO, KAGRA Collaboration, “GWTC-4.0: Searches for Gravitational-Wave Lensing Signatures,” arXiv:2512.16347 [gr-qc].
  • [187] J. C. L. Chan, J. M. Ezquiaga, R. K. L. Lo, J. Bowman, L. Magaña Zertuche, and L. Vujeva, “Discovering gravitational waveform distortions from lensing: a deep dive into GW231123,” arXiv:2512.16916 [astro-ph.CO].
  • [188] N. J. Cornish and T. B. Littenberg, “BayesWave: Bayesian Inference for Gravitational Wave Bursts and Instrument Glitches,” Class. Quant. Grav. 32 no. 13, (2015) 135012, arXiv:1410.3835 [gr-qc].
  • [189] N. J. Cornish, T. B. Littenberg, B. Bécsy, K. Chatziioannou, J. A. Clark, S. Ghonge, and M. Millhouse, “BayesWave analysis pipeline in the era of gravitational wave observations,” Phys. Rev. D 103 no. 4, (2021) 044006, arXiv:2011.09494 [gr-qc].
  • [190] T. Robson and N. J. Cornish, “Detecting Gravitational Wave Bursts with LISA in the presence of Instrumental Glitches,” Phys. Rev. D 99 no. 2, (2019) 024019, arXiv:1811.04490 [gr-qc].
  • [191] T. Gupta and N. J. Cornish, “Bayesian power spectral estimation of gravitational wave detector noise revisited,” Phys. Rev. D 109 no. 6, (2024) 064040, arXiv:2312.11808 [gr-qc].
  • [192] M. Ebersold and S. Tiwari, “Search for nonlinear memory from subsolar mass compact binary mergers,” Phys. Rev. D 101 no. 10, (2020) 104041, arXiv:2005.03306 [gr-qc].
  • [193] M. Drago et al., “Coherent WaveBurst, a pipeline for unmodeled gravitational-wave data analysis,” arXiv:2006.12604 [gr-qc].
  • [194] T. Robson and N. Cornish, “Impact of galactic foreground characterization on a global analysis for the LISA gravitational wave observatory,” Class. Quant. Grav. 34 no. 24, (2017) 244002, arXiv:1705.09421 [gr-qc].
  • [195] T. B. Littenberg and N. J. Cornish, “Prototype global analysis of LISA data with multiple source types,” Phys. Rev. D 107 no. 6, (2023) 063004, arXiv:2301.03673 [gr-qc].
  • [196] M. L. Katz, N. Karnesis, N. Korsakova, J. R. Gair, and N. Stergioulas, “Efficient GPU-accelerated multisource global fit pipeline for LISA data analysis,” Phys. Rev. D 111 no. 2, (2025) 024060, arXiv:2405.04690 [gr-qc].
  • [197] S. H. Strub, L. Ferraioli, C. Schmelzbach, S. C. Stähler, and D. Giardini, “Global analysis of LISA data with Galactic binaries and massive black hole binaries,” Phys. Rev. D 110 no. 2, (2024) 024005, arXiv:2403.15318 [gr-qc].
  • [198] A. D. Johnson, J. Roulet, K. Chatziioannou, M. Vallisneri, C. G. Trejo, and K. A. Gersbach, “From the LISA global fit to a catalog of Galactic binaries,” Phys. Rev. D 112 no. 2, (2025) 024045, arXiv:2502.14818 [gr-qc].
  • [199] D. R. Brill and J. B. Hartle, “Method of the Self-Consistent Field in General Relativity and its Application to the Gravitational Geon,” Phys. Rev. 135 (1964) B271–B278.
  • [200] M. A. Biot, “General Theorems on the Equivalence of Group Velocity and Energy Transport,” Phys. Rev. 105 (Feb, 1957) 1129–1137.
  • [201] M. Ebersold, Y. Boetzel, G. Faye, C. K. Mishra, B. R. Iyer, and P. Jetzer, “Gravitational-wave amplitudes for compact binaries in eccentric orbits at the third post-Newtonian order: Memory contributions,” Phys. Rev. D 100 no. 8, (2019) 084043, arXiv:1906.06263 [gr-qc].
  • [202] Q. Henry and M. Khalil, “Spin effects in gravitational waveforms and fluxes for binaries on eccentric orbits to the third post-Newtonian order,” Phys. Rev. D 108 no. 10, (2023) 104016, arXiv:2308.13606 [gr-qc].
  • [203] K. Cunningham, C. Kavanagh, A. Pound, D. Trestini, N. Warburton, and J. Neef, “Gravitational memory: new results from post-Newtonian and self-force theory,” Class. Quant. Grav. 42 no. 13, (2025) 135009, arXiv:2410.23950 [gr-qc]. [Addendum: Class.Quant.Grav. 42, 199401 (2025)].
  • [203] K. Cunningham, C. Kavanagh, A. Pound, D. Trestini, N. Warburton, and J. Neef, “Gravitational memory: new results from post-Newtonian and self-force theory,” Class. Quant. Grav. 42 no. 13, (2025) 135009, arXiv:2410.23950 [gr-qc]. [Addendum: Class.Quant.Grav. 42, 199401 (2025)].
  • [204] L. Blanchet, G. Compère, G. Faye, R. Oliveri, and A. Seraj, “Multipole expansion of gravitational waves: memory effects and Bondi aspects,” arXiv:2303.07732 [gr-qc].