The second data release from the European Pulsar Timing Array - IV. Implications for massive black holes, dark matter, and the early Universe

Author(s)

Antoniadis, J., Arumugam, P., Arumugam, S., Babak, S., Bagchi, M., Bak Nielsen, A.-S., Bassa, C.G., Bathula, A., Berthereau, A., Bonetti, M., Bortolas, E., Brook, P.R., Burgay, M., Caballero, R.N., Chalumeau, A., Champion, D.J., Chanlaridis, S., Chen, S., Cognard, I., Dandapat, S., Deb, D., Desai, S., Desvignes, G., Dhanda-Batra, N., Dwivedi, C., Falxa, M., Ferdman, R.D., Franchini, A., Gair, J.R., Goncharov, B., Gopakumar, I.A., Graikou, E., Grießmeier, J.-M., Gualandris, A., Guillemot, L., Guo, Y.J., Gupta, Y., Hisano, S., Hu, H., Iraci, F., Izquierdo-Villalba, D., Jang, J., Jawor, J., Janssen, G.H., Jessner, A., Joshi, B.C., Kareem, F., Karuppusamy, R., Keane, E.F., Keith, M.J., Kharbanda, D., Kikunaga, T., Kolhe, N., Kramer, M., Krishnakumar, M.A., Lackeos, K., Lee, K.J., Liu, K., Liu, Y., Lyne, A.G., McKee, J.W., Maan, Y., Main, R.A., Mickaliger, M.B., Nitu, I.C., Nobleson, K., Paladi, A.K., Parthasarathy, A., Perera, B.B. P., Perrodin, D., Petiteau, A., Porayko, N.K., Possenti, A., Prabu, T., Quelquejay Leclere, H., Rana, P., Samajdar, A., Sanidas, S.A., Sesana, A., Shaifullah, G., Singha, J., Speri, L., Spiewak, R., Srivastava, A., Stappers, B.W., Surnis, M., Susarla, S.C., Susobhanan, A., Takahashi, K., Tarafdar, P., Theureau, G., Tiburzi, C., van der Wateren, E., Vecchio, A., Venkatraman Krishnan, V., Verbiest, J.P. W., Wang, J., Wang, L., Wu, Z., Auclair, P., Barausse, E., Caprini, C., Crisostomi, M., Fastidio, F., Khizriev, T., Middleton, H., Neronov, A., Postnov, K., Roper Pol, A., Semikoz, D., Smarra, C., Steer, D. A., Truant, R.J., Valtolina, S.

Abstract

The European Pulsar Timing Array (EPTA) and Indian Pulsar Timing Array (InPTA) collaborations have measured a low-frequency common signal in the combination of their second and first data releases, respectively, with the correlation properties of a gravitational wave background (GWB). Such a signal may have its origin in a number of physical processes including a cosmic population of inspiralling supermassive black hole binaries (SMBHBs); inflation, phase transitions, cosmic strings, and tensor mode generation by the non-linear evolution of scalar perturbations in the early Universe; and oscillations of the Galactic potential in the presence of ultra-light dark matter (ULDM). At the current stage of emerging evidence, it is impossible to discriminate among the different origins. Therefore, for this paper, we consider each process separately, and investigated the implications of the signal under the hypothesis that it is generated by that specific process. We find that the signal is consistent with a cosmic population of inspiralling SMBHBs, and its relatively high amplitude can be used to place constraints on binary merger timescales and the SMBH-host galaxy scaling relations. If this origin is confirmed, this would be the first direct evidence that SMBHBs merge in nature, adding an important observational piece to the puzzle of structure formation and galaxy evolution. As for early Universe processes, the measurement would place tight constraints on the cosmic string tension and on the level of turbulence developed by first-order phase transitions. Other processes would require non-standard scenarios, such as a blue-tilted inflationary spectrum or an excess in the primordial spectrum of scalar perturbations at large wavenumbers. Finally, a ULDM origin of the detected signal is disfavoured, which leads to direct constraints on the abundance of ULDM in our Galaxy.Key words: black hole physics / gravitation / gravitational waves / methods: data analysis / pulsars: general / dark matter / early Universe⋆ The EPTA+InPTA DR2 data used to perform the analysis presented in this paper can be found at: https://zenodo.org/record/8091568 https://zenodo.org/record/8091568; https://gitlab.in2p3.fr/epta/epta-dr2⋆⋆ Corresponding authors: N. K. Porayko, nataliya.porayko@unimib.it; H. Quelquejay Leclere, quelquejay@apc.in2p3.fr; A. Sesana, alberto.sesana@unimib.it.

Figures

\footnotesize{Properties of the common correlated signal detected in \texttt{DR2new}. Left panel: free spectrum of the RMS induced by the excess correlated signal in each frequency resolution bin (with width defined by the inverse of the data span, $\Delta{f}=T^{-1}$). The straight line is the best power-law fit to the data. Right panel: joint posterior distribution in the $A-\gamma$ plane. \it{Note that we normalise $A$ to a pivotal frequency $f_0=10{\rm yr}^{-1}$.}}
Caption \footnotesize{Properties of the common correlated signal detected in \texttt{DR2new}. Left panel: free spectrum of the RMS induced by the excess correlated signal in each frequency resolution bin (with width defined by the inverse of the data span, $\Delta{f}=T^{-1}$). The straight line is the best power-law fit to the data. Right panel: joint posterior distribution in the $A-\gamma$ plane. \it{Note that we normalise $A$ to a pivotal frequency $f_0=10{\rm yr}^{-1}$.}}
\footnotesize{Properties of the common correlated signal detected in \texttt{DR2new}. Left panel: free spectrum of the RMS induced by the excess correlated signal in each frequency resolution bin (with width defined by the inverse of the data span, $\Delta{f}=T^{-1}$). The straight line is the best power-law fit to the data. Right panel: joint posterior distribution in the $A-\gamma$ plane. \it{Note that we normalise $A$ to a pivotal frequency $f_0=10{\rm yr}^{-1}$.}}
Caption \footnotesize{Properties of the common correlated signal detected in \texttt{DR2new}. Left panel: free spectrum of the RMS induced by the excess correlated signal in each frequency resolution bin (with width defined by the inverse of the data span, $\Delta{f}=T^{-1}$). The straight line is the best power-law fit to the data. Right panel: joint posterior distribution in the $A-\gamma$ plane. \it{Note that we normalise $A$ to a pivotal frequency $f_0=10{\rm yr}^{-1}$.}}
\footnotesize{GWB amplitude distributions predicted by the RSG15 models. The thin-dashed yellow line is for the full set of models in RSG15, whereas the thick-dashed orange line is for the subset considered here. The solid blue line is the distribution predicted by the 108 down-selected sample used in the analysis. The vertical line marks the median value of $A$ at $f_0=1{\rm yr}^{-1}$ reported in PaperIII when fixing $\gamma=13/3$ in the search. Note that the lower $x$-axis scale is for A at $f_0=1{\rm yr}^{-1}$, whereas the upper $x$-axis is for A at $f_0=10{\rm yr}^{-1}$ (the normalization used in this paper). Since $\alpha=-2/3$ for circular GW-driven binaries, there is a shift of 0.666 dex between the two.}
Caption \footnotesize{GWB amplitude distributions predicted by the RSG15 models. The thin-dashed yellow line is for the full set of models in RSG15, whereas the thick-dashed orange line is for the subset considered here. The solid blue line is the distribution predicted by the 108 down-selected sample used in the analysis. The vertical line marks the median value of $A$ at $f_0=1{\rm yr}^{-1}$ reported in PaperIII when fixing $\gamma=13/3$ in the search. Note that the lower $x$-axis scale is for A at $f_0=1{\rm yr}^{-1}$, whereas the upper $x$-axis is for A at $f_0=10{\rm yr}^{-1}$ (the normalization used in this paper). Since $\alpha=-2/3$ for circular GW-driven binaries, there is a shift of 0.666 dex between the two.}
\footnotesize{Free spectrum violin plot comparing measured (orange) and expected (green) signals. Overlaid to the violins are the 100 Monte Carlo realizations of one specific model; among those, the thick one represents an example of a SMBHB signal consistent with the excess power measured in the data at all frequencies.}
Caption \footnotesize{Free spectrum violin plot comparing measured (orange) and expected (green) signals. Overlaid to the violins are the 100 Monte Carlo realizations of one specific model; among those, the thick one represents an example of a SMBHB signal consistent with the excess power measured in the data at all frequencies.}
\footnotesize{Expected properties of CGWs as a function of frequency. Top panel: free spectrum violin plot comparing the measured signal (orange) to the power distribution of CGWs (green). Empty violins show the full GWB produced by the models for comparison. Bottom panel: the probability of detecting a CGW with S/N$>3$ as a function of frequency (green circles, left $y-$axis scale). The average S/N of CGWs is also shown as red crosses (right $y-$axis scale).}
Caption \footnotesize{Expected properties of CGWs as a function of frequency. Top panel: free spectrum violin plot comparing the measured signal (orange) to the power distribution of CGWs (green). Empty violins show the full GWB produced by the models for comparison. Bottom panel: the probability of detecting a CGW with S/N$>3$ as a function of frequency (green circles, left $y-$axis scale). The average S/N of CGWs is also shown as red crosses (right $y-$axis scale).}
\footnotesize{$A-\gamma$ distribution of the measured signal (orange) compared to model predictions (green). 1$\sigma$ and 2$\sigma$ contours are displayed. Shown are also the marginalised $A$ (left) and $\gamma$ (right) distributions, with their 1$\sigma$ credible intervals highlighted as shaded areas.}
Caption \footnotesize{$A-\gamma$ distribution of the measured signal (orange) compared to model predictions (green). 1$\sigma$ and 2$\sigma$ contours are displayed. Shown are also the marginalised $A$ (left) and $\gamma$ (right) distributions, with their 1$\sigma$ credible intervals highlighted as shaded areas.}
\footnotesize{ Marginalised posterior distributions for $\ndot$ using two SMBHB population models. The orange and green open histograms show marginalised posteriors for the agnostic and astrophysically-informed models, respectively. The filled-green histogram shows the prior for the astrophysically-informed model (the prior for the agnostic model is uniform in the range $[-20,3]$). The vertical dotted lines show the $5{\rm th}$ and $95{\rm th}$ percentiles of the posteriors. }
Caption \footnotesize{ Marginalised posterior distributions for $\ndot$ using two SMBHB population models. The orange and green open histograms show marginalised posteriors for the agnostic and astrophysically-informed models, respectively. The filled-green histogram shows the prior for the astrophysically-informed model (the prior for the agnostic model is uniform in the range $[-20,3]$). The vertical dotted lines show the $5{\rm th}$ and $95{\rm th}$ percentiles of the posteriors. }
\footnotesize{Posterior distribution of the chirp mass function of merging SMBHBs for both the agnostic (orange) and astrophysically informed (green) models. For both models, shaded areas are the central 50\% and 90\% credible regions and the dashed lines show the medias. The black-dotted lines show the central 99\% region for the astrophysical prior.}
Caption \footnotesize{Posterior distribution of the chirp mass function of merging SMBHBs for both the agnostic (orange) and astrophysically informed (green) models. For both models, shaded areas are the central 50\% and 90\% credible regions and the dashed lines show the medias. The black-dotted lines show the central 99\% region for the astrophysical prior.}
\footnotesize{ Posterior distribution of selected parameters for the astrophysically-informed model using nine frequency bins of the free spectrum for the inference. Parameters are described in Sec.~\ref{sec:smbhb_informed}.}
Caption \footnotesize{ Posterior distribution of selected parameters for the astrophysically-informed model using nine frequency bins of the free spectrum for the inference. Parameters are described in Sec.~\ref{sec:smbhb_informed}.}
\footnotesize{Predictions for the GWB characteristic strain amplitude at $f=1/10$yr from a range of SAMs published in the literature, assuming quasicircular orbits and no environmental interactions (i.e. $\gamma=13/3$), but different physical prescriptions for the delays (increasing from left to right) between galaxy mergers and black hole mergers. The ``no delays'', ``medium delays'' and ``long delays'' models correspond respectively to the classes of models \textit{(i), (ii)} and \textit{(iii)} defined in the text. The ranges account for the finite resolution of the models. The shaded area is the DR2new 95\% confidence bound. More details about the models are provided in the text.}
Caption \footnotesize{Predictions for the GWB characteristic strain amplitude at $f=1/10$yr from a range of SAMs published in the literature, assuming quasicircular orbits and no environmental interactions (i.e. $\gamma=13/3$), but different physical prescriptions for the delays (increasing from left to right) between galaxy mergers and black hole mergers. The ``no delays'', ``medium delays'' and ``long delays'' models correspond respectively to the classes of models \textit{(i), (ii)} and \textit{(iii)} defined in the text. The ranges account for the finite resolution of the models. The shaded area is the DR2new 95\% confidence bound. More details about the models are provided in the text.}
\footnotesize{Binned spectrum of the predicted GWB amplitude for models ``HS-nod-SN-high-accr (B+20)'' and ``HS-nod-noSN (B+20)''. The distribution of the predictions represents the scatter among different realizations of the SMBHB population (``cosmic variance''). Also shown are power-law fits to the predictions.}
Caption \footnotesize{Binned spectrum of the predicted GWB amplitude for models ``HS-nod-SN-high-accr (B+20)'' and ``HS-nod-noSN (B+20)''. The distribution of the predictions represents the scatter among different realizations of the SMBHB population (``cosmic variance''). Also shown are power-law fits to the predictions.}
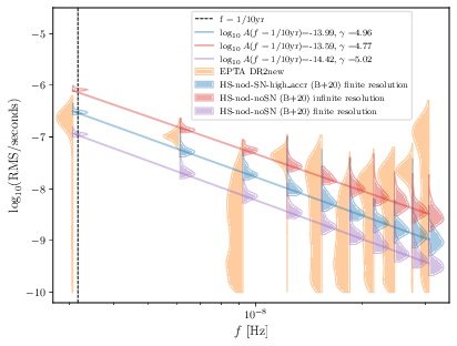
\footnotesize{Predictions for $A(f=1/10{\rm yr})$ in various SAMs, obtained by fitting the spectrum in the first 9 frequency bins with $\gamma=13/3$ for multiple realizations of the SMBHB population. The error bars represent the 95\% confidence interval for the predictions, and account for the scatter due to cosmic variance. For each model (except for the boosted accretion model HS-nod-SN-high-accr (B+20)), the higher prediction is the extrapolation to infinite SAM resolution, while the lower one is the finite-resolution prediction. The shaded area is the 95\% confidence interval for the measurement of $A(f=1/10{\rm yr})$, fixing $\gamma=13/3$. For HS-nod-SN-high-accr (B+20) we only show the result uncorrected for resolution.}
Caption \footnotesize{Predictions for $A(f=1/10{\rm yr})$ in various SAMs, obtained by fitting the spectrum in the first 9 frequency bins with $\gamma=13/3$ for multiple realizations of the SMBHB population. The error bars represent the 95\% confidence interval for the predictions, and account for the scatter due to cosmic variance. For each model (except for the boosted accretion model HS-nod-SN-high-accr (B+20)), the higher prediction is the extrapolation to infinite SAM resolution, while the lower one is the finite-resolution prediction. The shaded area is the 95\% confidence interval for the measurement of $A(f=1/10{\rm yr})$, fixing $\gamma=13/3$. For HS-nod-SN-high-accr (B+20) we only show the result uncorrected for resolution.}
\footnotesize{Predictions for the GWB characteristic strain amplitude at $f=10/$yr$^{-1}$ from a range of \texttt{L-Galaxies} semi-analytical model versions, assuming that $h_c(f)\,{\propto}\, f^{-2/3}$. The error bars are computed taking into account the cosmic variance. To this end, we divided the \texttt{Millennium} box into 125 sub-boxes and we compute the GWB in each one. The standard deviation provided by the 125 GWBs corresponds to the extension of our error bars.}
Caption \footnotesize{Predictions for the GWB characteristic strain amplitude at $f=10/$yr$^{-1}$ from a range of \texttt{L-Galaxies} semi-analytical model versions, assuming that $h_c(f)\,{\propto}\, f^{-2/3}$. The error bars are computed taking into account the cosmic variance. To this end, we divided the \texttt{Millennium} box into 125 sub-boxes and we compute the GWB in each one. The standard deviation provided by the 125 GWBs corresponds to the extension of our error bars.}
\footnotesize{Orbital parameters (distance between the SMBHs, semi-major axis and eccentricity) of a SMBHB formed in a representative $N$-body simulation of a galactic merger with parameters drawn from progenitors of likely PTA sources in the {\tt IllustrisTNG100-1} cosmological simulation. Mergers are selected from the merger trees of the 100 most massive galaxies at $z=0$, based on galaxy mass ratio (major mergers with mass ratio $1:4$ or higher) and redshift ($z\leq2$). The dashed lines indicate the critical separation $a_f$ and the corresponding eccentricity $e_f$ at the time in the evolution marking approximately the end of the SMBH inspiral due to DF and the beginning of the hardening phase. Dots represent $a$ and $e$ computed from the apoastron-periastron separation of the two SMBHs {\it before} pairing in a bound binary.}
Caption \footnotesize{Orbital parameters (distance between the SMBHs, semi-major axis and eccentricity) of a SMBHB formed in a representative $N$-body simulation of a galactic merger with parameters drawn from progenitors of likely PTA sources in the {\tt IllustrisTNG100-1} cosmological simulation. Mergers are selected from the merger trees of the 100 most massive galaxies at $z=0$, based on galaxy mass ratio (major mergers with mass ratio $1:4$ or higher) and redshift ($z\leq2$). The dashed lines indicate the critical separation $a_f$ and the corresponding eccentricity $e_f$ at the time in the evolution marking approximately the end of the SMBH inspiral due to DF and the beginning of the hardening phase. Dots represent $a$ and $e$ computed from the apoastron-periastron separation of the two SMBHs {\it before} pairing in a bound binary.}
\footnotesize{Posterior distributions of the recovered GWB from injections on synthetic data mimicking \texttt{DR2new}. Top panel: statistical offset in an ideal dataset. The square marks the injected value and the blue contours are 1$\sigma$ and 2$\sigma$ of the recovered posterior. Bottom panel: effect of high-frequency noise mismodeling on the recovery. The orange, blue and green contours are respectively obtained when EFAC$=0.8, 1, 1.2$ are used for the recovery (injected EFAC$=1$).}
Caption \footnotesize{Posterior distributions of the recovered GWB from injections on synthetic data mimicking \texttt{DR2new}. Top panel: statistical offset in an ideal dataset. The square marks the injected value and the blue contours are 1$\sigma$ and 2$\sigma$ of the recovered posterior. Bottom panel: effect of high-frequency noise mismodeling on the recovery. The orange, blue and green contours are respectively obtained when EFAC$=0.8, 1, 1.2$ are used for the recovery (injected EFAC$=1$).}
\footnotesize{Posterior distributions of the recovered GWB from injections on synthetic data mimicking \texttt{DR2new}. Top panel: statistical offset in an ideal dataset. The square marks the injected value and the blue contours are 1$\sigma$ and 2$\sigma$ of the recovered posterior. Bottom panel: effect of high-frequency noise mismodeling on the recovery. The orange, blue and green contours are respectively obtained when EFAC$=0.8, 1, 1.2$ are used for the recovery (injected EFAC$=1$).}
Caption \footnotesize{Posterior distributions of the recovered GWB from injections on synthetic data mimicking \texttt{DR2new}. Top panel: statistical offset in an ideal dataset. The square marks the injected value and the blue contours are 1$\sigma$ and 2$\sigma$ of the recovered posterior. Bottom panel: effect of high-frequency noise mismodeling on the recovery. The orange, blue and green contours are respectively obtained when EFAC$=0.8, 1, 1.2$ are used for the recovery (injected EFAC$=1$).}
\footnotesize{2D posteriors of the tensor-to-scalar ratio (in $\log_{10}$) and the fractional energy density spectral index $n_T$ in the PTA frequency range. The 68\% and 95\% credible regions are displayed. The black dashed line represents the tensor-to-scalar ratio upper bound found in \cite{2022PhRvD.105h3524T} assuming single-field slow-roll inflation.}
Caption \footnotesize{2D posteriors of the tensor-to-scalar ratio (in $\log_{10}$) and the fractional energy density spectral index $n_T$ in the PTA frequency range. The 68\% and 95\% credible regions are displayed. The black dashed line represents the tensor-to-scalar ratio upper bound found in \cite{2022PhRvD.105h3524T} assuming single-field slow-roll inflation.}
\footnotesize{Comparison of the string tension posteriors for the two string models (BOS and LRS) in case \textit{(i)}, $N_c=2$ and $N_k =0$ ($\Gamma = 57$). Solid lines assume only a cosmic string background, dashed lines assume both a population of GW-driven circular SMBHBs and cosmic strings.}
Caption \footnotesize{Comparison of the string tension posteriors for the two string models (BOS and LRS) in case \textit{(i)}, $N_c=2$ and $N_k =0$ ($\Gamma = 57$). Solid lines assume only a cosmic string background, dashed lines assume both a population of GW-driven circular SMBHBs and cosmic strings.}
\footnotesize{SGWB spectra (in terms of $\log_{10} h^2\Omega_{gw}$) for four different early Universe SGWB models considered in this paper. BOS/LRS correspond to a cosmic string background with $N_c=2$ and $N_k =0$ ($\Gamma = 57$), and $\logGmu = -10.1$/$-10.6$. The GWB from turbulence is plotted in solid line for $\lambda_* \mathcal{H}_* = 1$, $\Omega_*=0.3$, and $T_* = 140$ MeV.  The inflationary spectra is shown for $\log_{10} r = -13.1$ and $n_T = 2.4$ (maximum a posteriori value). Power spectrum of the 2nd-order GWB from the scalar curvature perturbations described by the powerlaw model with $A_\zeta^{\text{10yr}}=-2.9$ and $n_s=2.1$ is shown with brown puncture-dot line. The nine first Fourier bins posteriors of the common signal are represented by the grey violin areas.}
Caption \footnotesize{SGWB spectra (in terms of $\log_{10} h^2\Omega_{gw}$) for four different early Universe SGWB models considered in this paper. BOS/LRS correspond to a cosmic string background with $N_c=2$ and $N_k =0$ ($\Gamma = 57$), and $\logGmu = -10.1$/$-10.6$. The GWB from turbulence is plotted in solid line for $\lambda_* \mathcal{H}_* = 1$, $\Omega_*=0.3$, and $T_* = 140$ MeV. The inflationary spectra is shown for $\log_{10} r = -13.1$ and $n_T = 2.4$ (maximum a posteriori value). Power spectrum of the 2nd-order GWB from the scalar curvature perturbations described by the powerlaw model with $A_\zeta^{\text{10yr}}=-2.9$ and $n_s=2.1$ is shown with brown puncture-dot line. The nine first Fourier bins posteriors of the common signal are represented by the grey violin areas.}
\footnotesize{2D posteriors for the parameters of the background from turbulence around the QCD energy scale obtained using a free spectrum fit on \texttt{DR2new} data. The 68\% and 95\% credible regions are displayed.}
Caption \footnotesize{2D posteriors for the parameters of the background from turbulence around the QCD energy scale obtained using a free spectrum fit on \texttt{DR2new} data. The 68\% and 95\% credible regions are displayed.}
\footnotesize{Results for the monochromatic curvature perturbations described by Eq.~\ref{eq:monochromatic_sp}. Left panel: recovered slopes $\gamma$ of a simple power-law model as a function of characteristic scale $k^{*}$ of the injected GWB generated by the monochromatic curvature perturbations. The horizontal lines show the theoretical value of $\gamma$ from a population of circular, GW-driven SMBHBs (grey) and the one obtained in PaperIII (orange). Right panel: 1$\sigma$ and 2$\sigma$ contours of the posterior distributions on the amplitude $A_{\zeta}$ and characteristic scale of fluctuations $k^{*}$ for \texttt{DR2new} (orange colour). The posterior distribution is overlaid with the current constraints on the primordial power spectrum using Planck data (CMB). The grey colour depicts the 2-$\sigma$-confidence intervals. The purple shaded area represents the bounds from spectral distortions \citep{2012ApJ...758...76C}. For comparison in green we place the prediction of the primordial spectrum of scalar perturbations in the two-field model of inflation described in \cite{2020JCAP...08..001B} for a range of the model parameters. All three models result in PBH mass functions peaked at $\sim35$~$M_\sun$ with the brightest line corresponding to the dark matter fraction of PBHs of $\sim0.01$.}
Caption \footnotesize{Results for the monochromatic curvature perturbations described by Eq.~\ref{eq:monochromatic_sp}. Left panel: recovered slopes $\gamma$ of a simple power-law model as a function of characteristic scale $k^{*}$ of the injected GWB generated by the monochromatic curvature perturbations. The horizontal lines show the theoretical value of $\gamma$ from a population of circular, GW-driven SMBHBs (grey) and the one obtained in PaperIII (orange). Right panel: 1$\sigma$ and 2$\sigma$ contours of the posterior distributions on the amplitude $A_{\zeta}$ and characteristic scale of fluctuations $k^{*}$ for \texttt{DR2new} (orange colour). The posterior distribution is overlaid with the current constraints on the primordial power spectrum using Planck data (CMB). The grey colour depicts the 2-$\sigma$-confidence intervals. The purple shaded area represents the bounds from spectral distortions \citep{2012ApJ...758...76C}. For comparison in green we place the prediction of the primordial spectrum of scalar perturbations in the two-field model of inflation described in \cite{2020JCAP...08..001B} for a range of the model parameters. All three models result in PBH mass functions peaked at $\sim35$~$M_\sun$ with the brightest line corresponding to the dark matter fraction of PBHs of $\sim0.01$.}
\footnotesize{Results for the monochromatic curvature perturbations described by Eq.~\ref{eq:monochromatic_sp}. Left panel: recovered slopes $\gamma$ of a simple power-law model as a function of characteristic scale $k^{*}$ of the injected GWB generated by the monochromatic curvature perturbations. The horizontal lines show the theoretical value of $\gamma$ from a population of circular, GW-driven SMBHBs (grey) and the one obtained in PaperIII (orange). Right panel: 1$\sigma$ and 2$\sigma$ contours of the posterior distributions on the amplitude $A_{\zeta}$ and characteristic scale of fluctuations $k^{*}$ for \texttt{DR2new} (orange colour). The posterior distribution is overlaid with the current constraints on the primordial power spectrum using Planck data (CMB). The grey colour depicts the 2-$\sigma$-confidence intervals. The purple shaded area represents the bounds from spectral distortions \citep{2012ApJ...758...76C}. For comparison in green we place the prediction of the primordial spectrum of scalar perturbations in the two-field model of inflation described in \cite{2020JCAP...08..001B} for a range of the model parameters. All three models result in PBH mass functions peaked at $\sim35$~$M_\sun$ with the brightest line corresponding to the dark matter fraction of PBHs of $\sim0.01$.}
Caption \footnotesize{Results for the monochromatic curvature perturbations described by Eq.~\ref{eq:monochromatic_sp}. Left panel: recovered slopes $\gamma$ of a simple power-law model as a function of characteristic scale $k^{*}$ of the injected GWB generated by the monochromatic curvature perturbations. The horizontal lines show the theoretical value of $\gamma$ from a population of circular, GW-driven SMBHBs (grey) and the one obtained in PaperIII (orange). Right panel: 1$\sigma$ and 2$\sigma$ contours of the posterior distributions on the amplitude $A_{\zeta}$ and characteristic scale of fluctuations $k^{*}$ for \texttt{DR2new} (orange colour). The posterior distribution is overlaid with the current constraints on the primordial power spectrum using Planck data (CMB). The grey colour depicts the 2-$\sigma$-confidence intervals. The purple shaded area represents the bounds from spectral distortions \citep{2012ApJ...758...76C}. For comparison in green we place the prediction of the primordial spectrum of scalar perturbations in the two-field model of inflation described in \cite{2020JCAP...08..001B} for a range of the model parameters. All three models result in PBH mass functions peaked at $\sim35$~$M_\sun$ with the brightest line corresponding to the dark matter fraction of PBHs of $\sim0.01$.}
\footnotesize{Results for the power-law model of the curvature perturbations described by Eq.~\eqref{eq:powerlaw_sp}. Left panel: 1$\sigma$ and 2$\sigma$ contours of the posterior distributions on the amplitude $A_{\zeta}$ and the slope of the power spectrum $n_s$ obtained by the analysis of \texttt{DR2New}. Right panel: 1$\sigma$ and 2$\sigma$ contours of the power spectra inferred from the \texttt{DR2New} analysis by picking 1000 random samples from the posteriors overlaid with the current constraints on the primordial power spectrum using the latest Planck data. The grey colour depicts the 2$\sigma$-confidence intervals. The green lines and purple shaded areas are the same as in Fig.~\ref{fig:summ_cmb_delta}.}
Caption \footnotesize{Results for the power-law model of the curvature perturbations described by Eq.~\eqref{eq:powerlaw_sp}. Left panel: 1$\sigma$ and 2$\sigma$ contours of the posterior distributions on the amplitude $A_{\zeta}$ and the slope of the power spectrum $n_s$ obtained by the analysis of \texttt{DR2New}. Right panel: 1$\sigma$ and 2$\sigma$ contours of the power spectra inferred from the \texttt{DR2New} analysis by picking 1000 random samples from the posteriors overlaid with the current constraints on the primordial power spectrum using the latest Planck data. The grey colour depicts the 2$\sigma$-confidence intervals. The green lines and purple shaded areas are the same as in Fig.~\ref{fig:summ_cmb_delta}.}
\footnotesize{Results for the power-law model of the curvature perturbations described by Eq.~\eqref{eq:powerlaw_sp}. Left panel: 1$\sigma$ and 2$\sigma$ contours of the posterior distributions on the amplitude $A_{\zeta}$ and the slope of the power spectrum $n_s$ obtained by the analysis of \texttt{DR2New}. Right panel: 1$\sigma$ and 2$\sigma$ contours of the power spectra inferred from the \texttt{DR2New} analysis by picking 1000 random samples from the posteriors overlaid with the current constraints on the primordial power spectrum using the latest Planck data. The grey colour depicts the 2$\sigma$-confidence intervals. The green lines and purple shaded areas are the same as in Fig.~\ref{fig:summ_cmb_delta}.}
Caption \footnotesize{Results for the power-law model of the curvature perturbations described by Eq.~\eqref{eq:powerlaw_sp}. Left panel: 1$\sigma$ and 2$\sigma$ contours of the posterior distributions on the amplitude $A_{\zeta}$ and the slope of the power spectrum $n_s$ obtained by the analysis of \texttt{DR2New}. Right panel: 1$\sigma$ and 2$\sigma$ contours of the power spectra inferred from the \texttt{DR2New} analysis by picking 1000 random samples from the posteriors overlaid with the current constraints on the primordial power spectrum using the latest Planck data. The grey colour depicts the 2$\sigma$-confidence intervals. The green lines and purple shaded areas are the same as in Fig.~\ref{fig:summ_cmb_delta}.}
\footnotesize{Posterior probabilities for the ULDM amplitude $\Psi_c$ and mass $m_\phi$, from the correlated (top row) and uncorrelated (bottom row) analysis of the \texttt{DR2new} dataset. The pulsar correlated analysis is not shown, but displays the same features.}Posterior probabilities for  the ULDM amplitude $\Psi_c$ and mass $m_\phi$, from the correlated analysis of the \texttt{DR2new} dataset.
Caption \footnotesize{Posterior probabilities for the ULDM amplitude $\Psi_c$ and mass $m_\phi$, from the correlated (top row) and uncorrelated (bottom row) analysis of the \texttt{DR2new} dataset. The pulsar correlated analysis is not shown, but displays the same features.}Posterior probabilities for the ULDM amplitude $\Psi_c$ and mass $m_\phi$, from the correlated analysis of the \texttt{DR2new} dataset.
\footnotesize{Posterior probabilities for the ULDM amplitude $\Psi_c$ and mass $m_\phi$, from the correlated (top row) and uncorrelated (bottom row) analysis of the \texttt{DR2new} dataset. The pulsar correlated analysis is not shown, but displays the same features.}Posterior probabilities for  the ULDM amplitude $\Psi_c$ and mass $m_\phi$, from the correlated analysis of the \texttt{DR2new} dataset.
Caption \footnotesize{Posterior probabilities for the ULDM amplitude $\Psi_c$ and mass $m_\phi$, from the correlated (top row) and uncorrelated (bottom row) analysis of the \texttt{DR2new} dataset. The pulsar correlated analysis is not shown, but displays the same features.}Posterior probabilities for the ULDM amplitude $\Psi_c$ and mass $m_\phi$, from the correlated analysis of the \texttt{DR2new} dataset.
\footnotesize{Posterior probabilities for the ULDM amplitude $\Psi_c$ and mass $m_\phi$, from the correlated (top row) and uncorrelated (bottom row) analysis of the \texttt{DR2new} dataset. The pulsar correlated analysis is not shown, but displays the same features.}
Caption \footnotesize{Posterior probabilities for the ULDM amplitude $\Psi_c$ and mass $m_\phi$, from the correlated (top row) and uncorrelated (bottom row) analysis of the \texttt{DR2new} dataset. The pulsar correlated analysis is not shown, but displays the same features.}
\footnotesize{Posterior probabilities for the ULDM amplitude $\Psi_c$ and mass $m_\phi$, from the correlated (top row) and uncorrelated (bottom row) analysis of the \texttt{DR2new} dataset. The pulsar correlated analysis is not shown, but displays the same features.}Posterior probabilities for  the ULDM amplitude $\Psi_c$ and mass $m_\phi$, from the uncorrelated analysis of the \texttt{DR2new} dataset.
Caption \footnotesize{Posterior probabilities for the ULDM amplitude $\Psi_c$ and mass $m_\phi$, from the correlated (top row) and uncorrelated (bottom row) analysis of the \texttt{DR2new} dataset. The pulsar correlated analysis is not shown, but displays the same features.}Posterior probabilities for the ULDM amplitude $\Psi_c$ and mass $m_\phi$, from the uncorrelated analysis of the \texttt{DR2new} dataset.
Posterior probabilities for  the ULDM amplitude $\Psi_c$ and mass $m_\phi$, from the uncorrelated analysis of the \texttt{DR2new} dataset.
Caption Posterior probabilities for the ULDM amplitude $\Psi_c$ and mass $m_\phi$, from the uncorrelated analysis of the \texttt{DR2new} dataset.
\footnotesize{Constraints on $\Psi_c$ as a function of $m_\phi$ using the EPTA \texttt{DR2new} dataset from PaperIII. Previous analyses are shown for comparison, cf. \cite{Porayko_2014, Porayko_2018} for further details. The blue, orange and brown lines represent the 95\% Bayesian upper limit on $\Psi_c$ obtained from the EPTA \texttt{DR2new} dataset with the correlated, uncorrelated and pulsar correlated analysis, respectively. The purple line shows the expected ULDM abundance computed from Eq.~\eqref{eq:psi_c}.}
Caption \footnotesize{Constraints on $\Psi_c$ as a function of $m_\phi$ using the EPTA \texttt{DR2new} dataset from PaperIII. Previous analyses are shown for comparison, cf. \cite{Porayko_2014, Porayko_2018} for further details. The blue, orange and brown lines represent the 95\% Bayesian upper limit on $\Psi_c$ obtained from the EPTA \texttt{DR2new} dataset with the correlated, uncorrelated and pulsar correlated analysis, respectively. The purple line shows the expected ULDM abundance computed from Eq.~\eqref{eq:psi_c}.}
\footnotesize{Constraints on the ULDM density $\rho_{\phi}$ normalised to the DM background value $\rho_{\text{DM}} = 0.4 \text{GeV}/ \text{cm}^3$. The blue, orange and brown lines represent the 95\% Bayesian upper limit on $\rho_{\phi}$, obtained from the EPTA \texttt{DR2new} dataset with the correlated, uncorrelated and pulsar correlated analysis, respectively. The purple dotted line shows the fiducial local DM density value.}
Caption \footnotesize{Constraints on the ULDM density $\rho_{\phi}$ normalised to the DM background value $\rho_{\text{DM}} = 0.4 \text{GeV}/ \text{cm}^3$. The blue, orange and brown lines represent the 95\% Bayesian upper limit on $\rho_{\phi}$, obtained from the EPTA \texttt{DR2new} dataset with the correlated, uncorrelated and pulsar correlated analysis, respectively. The purple dotted line shows the fiducial local DM density value.}
Marginalised posterior distributions for all $18$ parameters of the astrophysically-informed model. The posterior and prior are shown in grey and green, respectively.
Caption Marginalised posterior distributions for all $18$ parameters of the astrophysically-informed model. The posterior and prior are shown in grey and green, respectively.
Marginalised posteriors for all five parameters of the agnostic SMBHB model.
Caption Marginalised posteriors for all five parameters of the agnostic SMBHB model.
Preliminary - (still running, this shows samples so far) Three versions of the astro-informed analysis showing the four parameters highlighted in M21. Left: using 3 frequency bins, middle: using 5 frequency bins, right: using 9 frequency bins.
Caption Preliminary - (still running, this shows samples so far) Three versions of the astro-informed analysis showing the four parameters highlighted in M21. Left: using 3 frequency bins, middle: using 5 frequency bins, right: using 9 frequency bins.
Preliminary - (still running, this shows samples so far) Three versions of the astro-informed analysis showing the four parameters highlighted in M21. Left: using 3 frequency bins, middle: using 5 frequency bins, right: using 9 frequency bins.
Caption Preliminary - (still running, this shows samples so far) Three versions of the astro-informed analysis showing the four parameters highlighted in M21. Left: using 3 frequency bins, middle: using 5 frequency bins, right: using 9 frequency bins.
Preliminary - (still running, this shows samples so far) Three versions of the astro-informed analysis showing the four parameters highlighted in M21. Left: using 3 frequency bins, middle: using 5 frequency bins, right: using 9 frequency bins.
Caption Preliminary - (still running, this shows samples so far) Three versions of the astro-informed analysis showing the four parameters highlighted in M21. Left: using 3 frequency bins, middle: using 5 frequency bins, right: using 9 frequency bins.
References
  • Abbott, L. F., & Wise, M. B. 1984, Nucl. Phys. B, 244, 541
  • Abbott, B. P., Abbott, R., Abbott, T. D., et al. 2016, Phys. Rev. Lett., 116, 061102
  • Abbott, B. P., Abbott, R., Abbott, T. D., et al. 2017, Phys. Rev. Lett., 118, 121101
  • Abbott, B. P., Abbott, R., Abbott, T. D., et al. 2018, Phys. Rev. D, 97, 102002
  • Abbott, R., Abbott, T. D., Abraham, S., et al. 2021, Phys. Rev. Lett., 126, 241102
  • Abbott, R., Abbott, T. D., Acernese, F., et al. 2023, Phys. Rev. X, 13, 011048
  • Allen, B. 1996, in Les Houches School of Physics: Astrophysical Sources of
  • Gravitational Radiation, 373
  • Allen, B., & Koranda, S. 1994, Phys. Rev. D, 50, 3713
  • Amaro-Seoane, P., Sesana, A., Hoffman, L., et al. 2010, MNRAS, 402, 2308
  • Ananda, K. N., Clarkson, C., & Wands, D. 2007, Phys. Rev. D, 75, 123518
  • Anber, M. M., & Sorbo, L. 2012, Phys. Rev. D, 85, 123537
  • Antonini, F., Barausse, E., & Silk, J. 2015, ApJ, 806, L8
  • Arcadi, G., Dutra, M., Ghosh, P., et al. 2018, Eur. Phys. J. C, 78, 203
  • Armengaud, E., Palanque-Delabrouille, N., Yèche, C., Marsh, D. J. E., & Baur, J. 2017, MNRAS, 471, 4606
  • Arvanitaki, A., Dimopoulos, S., Dubovsky, S., Kaloper, N., & March-Russell, J.
  • 2010, Phys. Rev. D, 81, 123530
  • Arzoumanian, Z., Brazier, A., Burke-Spolaor, S., et al. 2016, ApJ, 821, 13
  • Arzoumanian, Z., Baker, P. T., Blumer, H., et al. 2020, ApJ, 905, L34
  • Arzoumanian, Z., Baker, P. T., Blumer, H., et al. 2021, Phys. Rev. Lett., 127, 251302
  • Auclair, P. G. 2020, JCAP, 11, 050
  • Auclair, P., & Ringeval, C. 2022, Phys. Rev. D, 106, 063512
  • Auclair, P., Blanco-Pillado, J. J., Figueroa, D. G., et al. 2020, JCAP, 04, 034
  • Auclair, P., Caprini, C., Cutting, D., et al. 2022, JCAP, 09, 029
  • Auclair, P., Babak, S., Quelquejay Leclere, H., & Steer, D. A. 2023a, Phys. Rev.
  • D, 108, 043519
  • Auclair, P., Steer, D. A., & Vachaspati, T. 2023b, Phys. Rev. D, 108, 123540
  • Babak, S., & Sesana, A. 2012, Phys. Rev. D, 85, 044034
  • Barausse, E. 2012, MNRAS, 423, 2533
  • Barausse, E., Dvorkin, I., Tremmel, M., Volonteri, M., & Bonetti, M. 2020, ApJ, 904, 16
  • Barnaby, N., Moxon, J., Namba, R., et al. 2012, Phys. Rev. D, 86, 103508
  • Bartolo, N., Matarrese, S., Riotto, A., & Väihkönen, A. 2007, Phys. Rev. D, 76, 061302
  • Bartolo, N., Caprini, C., Domcke, V., et al. 2016, JCAP, 2016, 026
  • Bassa, C. G., Janssen, G. H., Karuppusamy, R., et al. 2016, MNRAS, 456, 2196
  • Baumann, D. 2022, Cosmology (Cambridge University Press)
  • Baumann, D., Steinhardt, P., Takahashi, K., & Ichiki, K. 2007, Phys. Rev. D, 76, 084019
  • Bécsy, B., Cornish, N. J., & Kelley, L. Z. 2022, ApJ, 941, 119
  • Bennett, C. L., Larson, D., Weiland, J. L., et al. 2013, ApJS, 208, 20
  • Biagetti, M., Fasiello, M., & Riotto, A. 2013, Phys. Rev. D, 88, 103518
  • Biagetti, M., Dimastrogiovanni, E., Fasiello, M., & Peloso, M. 2015, JCAP, 2015, 011
  • Biagetti, M., Franciolini, G., Kehagias, A., & Riotto, A. 2018, JCAP, 2018, 032
  • Bian, L., Shu, J., Wang, B., Yuan, Q., & Zong, J. 2022, Phys. Rev. D, 106, L101301
  • Blanco-Pillado, J. J., & Olum, K. D. 2017, Phys. Rev. D, 96, 104046
  • Blanco-Pillado, J. J., Olum, K. D., & Shlaer, B. 2014, Phys. Rev. D, 89, 023512
  • Blanco-Pillado, J. J., Olum, K. D., & Shlaer, B. 2015, Phys. Rev. D, 92, 063528
  • Blasi, S., Brdar, V., & Schmitz, K. 2021, Phys. Rev. Lett., 126, 041305
  • Bonetti, M., & Sesana, A. 2020, Phys. Rev. D, 102, 103023
  • Bonetti, M., Sesana, A., Barausse, E., & Haardt, F. 2018, MNRAS, 477, 2599
  • Bovy, J., & Tremaine, S. 2012, ApJ, 756, 89
  • Boylan-Kolchin, M., Springel, V., White, S. D. M., Jenkins, A., & Lemson, G.
  • 2009, MNRAS, 398, 1150
  • Boyle, L. A., & Buonanno, A. 2008, Phys. Rev. D, 78, 043531
  • Boyle, L. A., & Steinhardt, P. J. 2008, Phys. Rev. D, 77, 063504
  • Braglia, M., Hazra, D. K., Finelli, F., et al. 2020, JCAP, 2020, 001
  • Brandenburg, A., Enqvist, K., & Olesen, P. 1996, Phys. Rev. D, 54, 1291
  • Brandenburg, A., Clarke, E., He, Y., & Kahniashvili, T. 2021, Phys. Rev. D, 104, 043513
  • Brooks, A. M., Kuhlen, M., Zolotov, A., & Hooper, D. 2013, ApJ, 765, 22
  • Bugaev, E., & Klimai, P. 2011, Phys. Rev. D, 83, 083521
  • Byrnes, C. T., Cole, P. S., & Patil, S. P. 2019, JCAP, 2019, 028
  • Cai, Y.-F., Tong, X., Wang, D.-G., & Yan, S.-F. 2018, Phys. Rev. Lett., 121, 081306
  • Cao, G. 2023, Phys. Rev. D, 107, 014021
  • Capelo, P. R., Dotti, M., Volonteri, M., et al. 2017, MNRAS, 469, 4437
  • Caprini, C., & Durrer, R. 2006, Phys. Rev. D, 74, 063521
  • Caprini, C., & Figueroa, D. G. 2018, CQG, 35, 163001
  • Caprini, C., Durrer, R., & Servant, G. 2008, Phys. Rev. D, 77, 124015
  • Caprini, C., Durrer, R., & Servant, G. 2009, JCAP, 2009, 024
  • Carbone, C., & Matarrese, S. 2005, Phys. Rev. D, 71, 043508
  • Carr, B., Kühnel, F., & Sandstad, M. 2016, Phys. Rev. D, 94, 083504
  • Chan, T. K., Kereš, D., Oñorbe, J., et al. 2015, MNRAS, 454, 2981
  • Chen, S., Middleton, H., Sesana, A., Del Pozzo, W., & Vecchio, A. 2017a, MNRAS, 468, 404
  • Chen, S., Sesana, A., & Del Pozzo, W. 2017b, MNRAS, 470, 1738
  • Chen, S., Sesana, A., & Conselice, C. J. 2019, MNRAS, 488, 401
  • Chen, Z.-C., Yuan, C., & Huang, Q.-G. 2020, Phys. Rev. Lett., 124, 251101
  • Chen, S., Caballero, R. N., Guo, Y. J., et al. 2021, MNRAS, 508, 4970
  • Chen, Z.-C., Wu, Y.-M., & Huang, Q.-G. 2022, ApJ, 936, 20
  • Chluba, J., Erickcek, A. L., & Ben-Dayan, I. 2012, ApJ, 758, 76
  • Cook, J. L., & Sorbo, L. 2013a, JCAP, 2013, 047
  • Cook, J. L., & Sorbo, L. 2013b, JCAP, 11, 047
  • Cornish, N. J., & Sesana, A. 2013, CQG, 30, 224005
  • Cutting, D., Hindmarsh, M., & Weir, D. J. 2018, Phys. Rev. D, 97, 123513
  • Dalal, N., & Kravtsov, A. 2022, arXiv e-prints [arXiv:2203.05750]
  • Damour, T., & Vilenkin, A. 2000, Phys. Rev. Lett., 85, 3761
  • Damour, T., & Vilenkin, A. 2001, Phys. Rev. D, 64, 064008
  • Damour, T., & Vilenkin, A. 2005, Phys. Rev. D, 71, 063510
  • Dandoy, V., Domcke, V., & Rompineve, F. 2023, SciPost Phys. Core, 6, 060 de Salas, P. F. 2020, J. Phys. Conf. Ser., 1468, 012020 de Salas, P., Malhan, K., Freese, K., Hattori, K., & Valluri, M. 2019, JCAP, 2019, 037
  • Dandoy, V., Domcke, V., & Rompineve, F. 2023, SciPost Phys. Core, 6, 060 de Salas, P. F. 2020, J. Phys. Conf. Ser., 1468, 012020 de Salas, P., Malhan, K., Freese, K., Hattori, K., & Valluri, M. 2019, JCAP, 2019, 037
  • Dandoy, V., Domcke, V., & Rompineve, F. 2023, SciPost Phys. Core, 6, 060 de Salas, P. F. 2020, J. Phys. Conf. Ser., 1468, 012020 de Salas, P., Malhan, K., Freese, K., Hattori, K., & Valluri, M. 2019, JCAP, 2019, 037
  • Dehnen, W. 2014, Comput. Astrophys. Cosmol., 1, 1
  • Desvignes, G., Caballero, R. N., Lentati, L., et al. 2016, MNRAS, 458, 3341
  • Di, H., & Gong, Y. 2018, JCAP, 2018, 007
  • Dolgov, A. D., Grasso, D., & Nicolis, A. 2002, Phys. Rev. D, 66, 103505
  • D’Orazio, D. J., & Duffell, P. C. 2021, ApJ, 914, L21
  • Dvali, G., & Vilenkin, A. 2004, JCAP, 2004, 010
  • Ellis, J., & Lewicki, M. 2021, Phys. Rev. Lett., 126, 041304
  • Ellis, J. A., Vallisneri, M., Taylor, S. R., & Baker, P. T. 2020, https://doi. org/10.5281/zenodo.4059815
  • Enoki, M., & Nagashima, M. 2007, Prog. Theor. Phys., 117, 241
  • EPTA Collaboration (Antoniadis, J., et al.) 2023, A&A, 678, A48 (Paper I)
  • EPTA Collaboration & InPTA Collaboration (Antoniadis, J., et al.) 2023a, A&A, 678, A49 (Paper II)
  • EPTA Collaboration & InPTA Collaboration (Antoniadis, J., et al.) 2023b, A&A, 678, A50 (Paper III)
  • EPTA Collaboration & InPTA Collaboration (Antoniadis, J., et al.) 2023c, A&A, submitted (Paper V)
  • Escudero, M., Mena, O., Vincent, A. C., Wilkinson, R. J., & Bœhm, C. 2015, JCAP, 2015, 034
  • Espinosa, J. R., Racco, D., & Riotto, A. 2018, JCAP, 2018, 012
  • Fabbri, R., & Pollock, M. D. 1983, Phys. Lett. B, 125, 445
  • Farris, B. D., Duffell, P., MacFadyen, A. I., & Haiman, Z. 2014, ApJ, 783, 134
  • Flores, R. A., & Primack, J. R. 1994, ApJ, 427, L1
  • Foster, R. S., & Backer, D. C. 1990, ApJ, 361, 300
  • Fujita, T., Yokoyama, J., & Yokoyama, S. 2015, Prog. Theor. Exp. Phys., 2015, 043E01
  • Galloni, G., Bartolo, N., Matarrese, S., et al. 2023, JCAP, 2023, 062
  • Germani, C., & Prokopec, T. 2017, Phys. Dark Universe, 18, 6
  • Giarè, W., & Melchiorri, A. 2021, Phys. Lett. B, 815, 136137
  • Giarè, W., Forconi, M., Di Valentino, E., & Melchiorri, A. 2023, MNRAS, 520, 1757
  • Giovannini, M. 1998, Phys. Rev. D, 58, 083504
  • Gogoberidze, G., Kahniashvili, T., & Kosowsky, A. 2007, Phys. Rev. D, 76, 083002
  • Goncharov, B., Shannon, R. M., Reardon, D. J., et al. 2021, ApJS, 917, 8
  • Goncharov, B., Thrane, E., Shannon, R. M., et al. 2022, ApJ, 932, L22
  • Governato, F., Zolotov, A., Pontzen, A., et al. 2012, MNRAS, 422, 1231
  • Graham, A. W., & Scott, N. 2013, ApJ, 764, 151
  • Green, M. B., Schwarz, J. H., & Witten, E. 1988, Superstring Theory. Vol. 1:
  • Introduction, (Cambridge University Press)
  • Grishchuk, L. P. 1975, Sov. J. Exp. Theor. Phys., 40, 409
  • Gualandris, A., Khan, F. M., Bortolas, E., et al. 2022, MNRAS, 511, 4753
  • Hayashi, K., Ferreira, E. G. M., & Chan, H. Y. J. 2021, ApJS, 912, L3
  • Hellings, R. W., & Downs, G. S. 1983, ApJ, 265, L39
  • Henriques, B. M. B., White, S. D. M., Thomas, P. A., et al. 2015, MNRAS, 451, 2663
  • Hindmarsh, M. B., & Kibble, T. W. B. 1995, Rept. Prog. Phys., 58, 477
  • Hindmarsh, M., Huber, S. J., Rummukainen, K., & Weir, D. J. 2014, Phys. Rev.
  • Lett., 112, 041301
  • Hindmarsh, M., Huber, S. J., Rummukainen, K., & Weir, D. J. 2015, Phys. Rev.
  • D, 92, 123009
  • Hindmarsh, M., Huber, S. J., Rummukainen, K., & Weir, D. J. 2017, Phys. Rev.
  • D, 96, 103520
  • Hlozek, R., Grin, D., Marsh, D. J. E., & Ferreira, P. G. 2015, Phys. Rev. D, 91, 103512
  • Horndeski, G. W. 1974, Int. J. Theor. Phys., 10, 363
  • Huber, S. J., & Konstandin, T. 2008, JCAP, 2008, 022
  • Iršič, V., Viel, M., Haehnelt, M. G., Bolton, J. S., & Becker, G. D. 2017, Phys.
  • Rev. Lett., 119, 031302
  • Ivanov, P., Naselsky, P., & Novikov, I. 1994, Phys. Rev. D, 50, 7173
  • Izquierdo-Villalba, D., Sesana, A., Bonoli, S., & Colpi, M. 2022, MNRAS, 509, 3488
  • Izquierdo-Villalba, D., Sesana, A., Colpi, M., et al. 2024, A&A, in press https:
  • //doi.org/10.1051/0004-6361/202449293
  • Jaffe, A. H., & Backer, D. C. 2003, ApJ, 583, 616
  • Jeannerot, R., Rocher, J., & Sakellariadou, M. 2003, Phys. Rev. D, 68, 103514
  • Jinno, R., & Takimoto, M. 2017, Phys. Rev. D, 95, 024009
  • Jones, N. T., Stoica, H., & Tye, S. H. H. 2003, Phys. Lett. B, 563, 6
  • Joshi, B. C., Gopakumar, A., Pandian, A., et al. 2022, J. Astrophys. Astron., 43, 98
  • Kahniashvili, T., Brandenburg, A., Gogoberidze, G., Mandal, S., & Roper Pol, A. 2021, Phys. Rev. Res., 3, 013193
  • Kaiser, A. R., Pol, N. S., McLaughlin, M. A., et al. 2022, ApJ, 938, 115
  • Kamionkowski, M., Kosowsky, A., & Turner, M. S. 1994, Phys. Rev. D, 49, 2837
  • Kaplan, D. E., Mitridate, A., & Trickle, T. 2022, Phys. Rev. D, 106, 035032
  • Karukes, E. V., Salucci, P., & Gentile, G. 2015, A&A, 578, A13
  • Kelley, L. Z., Blecha, L., Hernquist, L., Sesana, A., & Taylor, S. R. 2017, MNRAS, 471, 4508
  • Kelley, L. Z., Blecha, L., Hernquist, L., Sesana, A., & Taylor, S. R. 2018, MNRAS, 477, 964
  • Khan, F. M., Preto, M., Berczik, P., et al. 2012, ApJ, 749, 147
  • Khan, F. M., Fiacconi, D., Mayer, L., Berczik, P., & Just, A. 2016, ApJ, 828, 73
  • Khmelnitsky, A., & Rubakov, V. 2014, JCAP, 2014, 019
  • Kibble, T. 1976, J. Phys. A, 9, 1387
  • Klein, A., Barausse, E., Sesana, A., et al. 2016, Phys. Rev. D, 93, 024003
  • Klypin, A., Kravtsov, A. V., Valenzuela, O., & Prada, F. 1999, ApJ, 522, 82
  • Kobayashi, T., Murgia, R., Simone, A. D., Iršič, V., & Viel, M. 2017. Phys. Rev.
  • D, 96, 123514
  • Kocsis, B., & Sesana, A. 2011, MNRAS, 411, 1467
  • Kohri, K., & Terada, T. 2018, Phys. Rev. D, 97, 123532
  • Kormendy, J., & Ho, L. C. 2013, ARA&A, 51, 511
  • Kosowsky, A. 1996, Ann. Phys., 246, 49
  • Kosowsky, A., & Turner, M. S. 1993, Phys. Rev. D, 47, 4372
  • Kosowsky, A., Turner, M. S., & Watkins, R. 1992, Phys. Rev. D, 45, 4514
  • Kosowsky, A., Mack, A., & Kahniashvili, T. 2002, Phys. Rev. D, 66, 024030
  • Koss, M. J., Blecha, L., Bernhard, P., et al. 2018, Nature, 563, 214
  • Kulier, A., Ostriker, J. P., Natarajan, P., Lackner, C. N., & Cen, R. 2015, ApJ, 799, 178
  • Lamb, W. G., Taylor, S. R., & van Haasteren, R. 2023, Phys. Rev. D, 108, 103019
  • Lasky, P. D., Mingarelli, C. M. F., Smith, T. L., et al. 2016, Phys. Rev. X, 6, 011035
  • Leclere, H. Q., Auclair, P., Babak, S., et al. 2023, Phys. Rev. D, 108, 123527
  • Lee, K. J. 2016, ASP Conf. Ser., 502, 19
  • Lentati, L., Taylor, S. R., Mingarelli, C. M. F., et al. 2015, MNRAS, 453, 2576
  • Lieu, R., Lackeos, K., & Zhang, B. 2022, CQG, 39, 075014
  • Lifshitz, E. M. 1946, Zhurnal Eksperimentalnoi i Teoreticheskoi Fiziki, 16, 587
  • Lorenz, L., Ringeval, C., & Sakellariadou, M. 2010, JCAP, 10, 003
  • Luzio, L. D., Giannotti, M., Nardi, E., & Visinelli, L. 2020, Phys. Rep., 870, 1
  • Maggiore, M. 2000, Phys. Rept., 331, 283
  • Manchester, R. N., Hobbs, G., Bailes, M., et al. 2013, PASA, 30, e017
  • Matarrese, S., Pantano, O., & Saez, D. 1993, Phys. Rev. D, 47, 1311
  • Matarrese, S., Mollerach, S., & Bruni, M. 1998, Phys. Rev. D, 58, 043504
  • McConnell, N. J., & Ma, C.-P. 2013, ApJ, 764, 184
  • McConnell, N. J., Ma, C.-P., Gebhardt, K., et al. 2011, Nature, 480, 215
  • McLaughlin, M. A. 2013, CQG, 30, 224008
  • McWilliams, S. T., Ostriker, J. P., & Pretorius, F. 2014, ApJ, 789, 156
  • Middeldorf-Wygas, M. M., Oldengott, I. M., Bödeker, D., & Schwarz, D. J. 2022, Phys. Rev. D, 105, 123533
  • Middleton, H., Del Pozzo, W., Farr, W. M., Sesana, A., & Vecchio, A. 2016, MNRAS, 455, L72
  • Middleton, H., Sesana, A., Chen, S., et al. 2021, MNRAS, 502, L99
  • Miles, M. T., Shannon, R. M., Bailes, M., et al. 2023, MNRAS, 519, 3976
  • Milosavljević, M., & Merritt, D. 2003, ApJ, 596, 860
  • Mingarelli, C. M. F., Lazio, T. J. W., Sesana, A., et al. 2017, Nat. Astron., 1, 886
  • Moore, B. 1994, Nature, 370, 629
  • Moore, C. J., & Vecchio, A. 2021, Nat. Astron., 5, 1268
  • Moore, B., Ghigna, S., Governato, F., et al. 1999, ApJ, 524, L19
  • Morganti, R. 2017, Front. Astron. Space Sci., 4
  • Motohashi, H., Mukohyama, S., & Oliosi, M. 2020, JCAP, 2020, 002
  • Nasim, I., Gualandris, A., Read, J., et al. 2020, MNRAS, 497, 739
  • Nasim, I. T., Gualandris, A., Read, J. I., et al. 2021, MNRAS, 502, 4794
  • Navarro, J. F., Eke, V. R., & Frenk, C. S. 1996, MNRAS, 283, L72
  • Noh, H., & Hwang, J.-C. 2004, Phys. Rev. D, 69, 104011
  • Nori, M., Murgia, R., Iršič, V., Baldi, M., & Viel, M. 2018, MNRAS, 482, 3227
  • Oñorbe, J., Boylan-Kolchin, M., Bullock, J. S., et al. 2015, MNRAS, 454, 2092
  • Perera, B. B. P., DeCesar, M. E., Demorest, P. B., et al. 2019, MNRAS, 490, 4666
  • Phinney, E. S. 2001, arXiv e-prints [arXiv:astro-ph/0108028]
  • Pillepich, A., Springel, V., Nelson, D., et al. 2018, MNRAS, 473, 4077
  • Planck Collaboration XVI. 2014, A&A, 571, A16
  • Planck Collaboration VI. 2020, A&A, 641, A6
  • Planck Collaboration X. 2020, A&A, 641, A10
  • Pol, N., Taylor, S. R., & Romano, J. D. 2022, ApJ, 940, 173
  • Porayko, N. K., & Postnov, K. A. 2014, Phys. Rev. D, 90, 062008
  • Porayko, N. K., Zhu, X., Levin, Y., et al. 2018, Phys. Rev. D, 98, 102002
  • Preto, M., Berentzen, I., Berczik, P., & Spurzem, R. 2011, ApJ, 732, L26
  • Quashnock, J. M., Loeb, A., & Spergel, D. N. 1989, ApJ, 344, L49
  • Quinlan, G. D. 1996, New A, 1, 35
  • Rajagopal, M., & Romani, R. W. 1995, ApJ, 446, 543
  • Ramani, H., Trickle, T., & Zurek, K. M. 2020, JCAP, 2020, 033
  • Ravi, V., Wyithe, J. S. B., Hobbs, G., et al. 2012, ApJ, 761, 84
  • Ravi, V., Wyithe, J. S. B., Shannon, R. M., Hobbs, G., & Manchester, R. N. 2014, MNRAS, 442, 56
  • Ravi, V., Wyithe, J. S. B., Shannon, R. M., & Hobbs, G. 2015, MNRAS, 447, 2772
  • Read, J. I. 2014, J. Phys. G: Nucl. Part. Phys., 41, 063101
  • Read, J. I., Agertz, O., & Collins, M. L. M. 2016, MNRAS, 459, 2573
  • Reardon, D. J., Zic, A., Shannon, R. M., et al. 2023, ApJ, 951, L6
  • Ringeval, C., & Suyama, T. 2017, JCAP, 12, 027
  • Roedig, C., & Sesana, A. 2012, J. Phys. Conf. Ser., 363, 012035
  • Roedig, C., Dotti, M., Sesana, A., Cuadra, J., & Colpi, M. 2011, MNRAS, 415, 3033
  • Rogers, K. K., & Peiris, H. V. 2021, Phys. Rev. Lett., 126, 071302
  • Roper Pol, A., Brandenburg, A., Kahniashvili, T., Kosowsky, A., & Mandal, S.
  • 2020a, Geophys. Astrophys. Fluid Dyn., 114, 130
  • Roper Pol, A., Mandal, S., Brandenburg, A., Kahniashvili, T., & Kosowsky, A.
  • 2020b, Phys. Rev. D, 102, 083512
  • Roper Pol, A., Caprini, C., Neronov, A., & Semikoz, D. 2022a, Phys. Rev. D, 105, 123502
  • Roper Pol, A., Mandal, S., Brandenburg, A., & Kahniashvili, T. 2022b, JCAP, 04, 019
  • Rosado, P. A., & Sesana, A. 2014, MNRAS, 439, 3986
  • Rosado, P. A., Sesana, A., & Gair, J. 2015, MNRAS, 451, 2417
  • Rubakov, V. A., Sazhin, M. V., & Veryaskin, A. V. 1982, Phys. Lett. B, 115, 189
  • Rubin, V. C., Ford, W., & Kent, J. 1970, ApJ, 159, 379
  • Rubin, V. C., Ford, W. K.Jr, & Thonnard, N. 1980, ApJ, 238, 471
  • Sachs, R. K., & Wolfe, A. M. 1967, ApJ, 147, 73
  • Saikawa, K., & Shirai, S. 2018, JCAP, 2018, 035
  • Saito, R., & Yokoyama, J. 2009, Phys. Rev. Lett., 102, 161101
  • Sanidas, S. A., Battye, R. A., & Stappers, B. W. 2012, Phys. Rev. D, 85, 122003
  • Sasaki, M., Suyama, T., Tanaka, T., & Yokoyama, S. 2018, CQG, 35, 063001
  • Schechter, P. 1976, ApJ, 203, 297
  • Schive, H.-Y., Liao, M.-H., Woo, T.-P., et al. 2014, Phys. Rev. Lett., 113, 261302
  • Schwarz, D. J., & Stuke, M. 2009, JCAP, 2009, 025
  • Sesana, A. 2010, ApJ, 719, 851
  • Sesana, A. 2013a, CQG, 30, 224014
  • Sesana, A. 2013b, MNRAS, 433, L1
  • Sesana, A. 2015, Astrophys. Space Sci. Proc., 40, 147
  • Sesana, A., Haardt, F., Madau, P., & Volonteri, M. 2004, ApJ, 611, 623
  • Sesana, A., Vecchio, A., & Colacino, C. N. 2008, MNRAS, 390, 192
  • Sesana, A., Vecchio, A., & Volonteri, M. 2009, MNRAS, 394, 2255
  • Sesana, A., Barausse, E., Dotti, M., & Rossi, E. M. 2014, ApJ, 794, 104
  • Siemens, X., Mandic, V., & Creighton, J. 2007, Phys. Rev. Lett., 98, 111101
  • Simon, J. 2023, ApJ, 949, L24
  • Sivertsson, S., Silverwood, H., Read, J. I., Bertone, G., & Steger, P. 2018, MNRAS, 478, 1677
  • Siwek, M. S., Kelley, L. Z., & Hernquist, L. 2020, MNRAS, 498, 537
  • Smarra, C., Goncharov, B., Barausse, E., & EPTA and InPTA 2023, Phys. Rev.
  • Lett., 131, 171001
  • Sorbo, L. 2011a, JCAP, 2011, 003
  • Sorbo, L. 2011b, JCAP, 06, 003
  • Sotiriou, T. P., & Faraoni, V. 2010, Rev. Mod. Phys., 82, 451
  • Springel, V., White, S. D. M., Jenkins, A., et al. 2005, Nature, 435, 629
  • Starobinskii, A. A. 1985, Soviet. Astron. Lett., 11, 133
  • Svrcek, P., & Witten, E. 2006, J. High Energy Phys., 2006, 051
  • Taylor, S. R., & Gair, J. R. 2013, Phys. Rev. D, 88, 084001
  • Taylor, S. R., van Haasteren, R., & Sesana, A. 2020, Phys. Rev. D, 102, 084039
  • The Nanograv Collaboration (Agazie, G., et al.) 2023, ApJ, 951, L8
  • Tiburzi, C., Hobbs, G., Kerr, M., et al. 2016, MNRAS, 455, 4339
  • Tomita, K. 1967, Prog. Theor. Phys., 37, 831
  • Tristram, M., Banday, A. J., Górski, K. M., et al. 2022, Phys. Rev. D, 105, 083524
  • Vachaspati, T., & Vilenkin, A. 1985, Phys. Rev. D, 31, 3052
  • Vallisneri, M. 2020, Astrophysics Source Code Library [record ascl:2002.017]
  • Valtolina, S., Shaifullah, G., Samajdar, A., et al. 2024, A&A, 683, A201
  • Vaskonen, V., & Veermäe, H. 2021, Phys. Rev. Lett., 126, 051303
  • Verbiest, J. P. W., Lentati, L., Hobbs, G., et al. 2016, MNRAS, 458, 1267
  • Vilenkin, A., & Shellard, E. P. S. 2000, Cosmic Strings and Other Topological
  • Defects (Cambridge, UK: Cambridge University Press)
  • Vovchenko, V., Brandt, B. B., Cuteri, F., et al. 2021, Phys. Rev. Lett., 126, 012701
  • Witten, E. 1984, Phys. Rev. D, 30, 272
  • Wygas, M. M., Oldengott, I. M., Bödeker, D., & Schwarz, D. J. 2018, Phys. Rev.
  • Lett., 121, 201302
  • Wyithe, J. S. B., & Loeb, A. 2003, ApJ, 590, 691
  • Xu, H., Chen, S., Guo, Y., et al. 2023, Res. Astron. Astrophys., 23, 075024
  • Xue, X., Bian, L., Shu, J., et al. 2021, Phys. Rev. Lett., 127, 251303
  • Yi, Z., & Fei, Q. 2023, Eur. Phys. J. C, 83, 82
  • Zhang, J., Liu, H., & Chu, M.-C. 2019, Front. Astron. Space Sci., 5
  • Zhao, Z.-C., & Wang, S. 2023, Universe, 9, 157
  • 1
  • Institute of Astrophysics, FORTH, N. Plastira 100, 70013 Heraklion, Greece
  • 2
  • Max-Planck-Institut für Radioastronomie, Auf dem Hügel 69, 53121 Bonn, Germany
  • 3
  • Department of Physics, Indian Institute of Technology Roorkee, Roorkee 247667, India
  • 4
  • Department of Electrical Engineering, IIT Hyderabad, Kandi Telangana 502284, India
  • 5
  • Cosmology, Universe and Relativity at Louvain (CURL), Institute of Mathematics and Physics, University of Louvain, 2 Chemin du
  • Cyclotron, 1348 Louvain-la-Neuve, Belgium
  • 6
  • Université Paris Cité, CNRS, Astroparticule et Cosmologie, 75013
  • Paris, France
  • 7
  • The Institute of Mathematical Sciences, C. I. T. Campus, Taramani, Chennai 600113, India
  • 8
  • Homi Bhabha National Institute, Training School Complex, Anushakti Nagar, Mumbai 400094, India
  • 9
  • Fakultät für Physik, Universität Bielefeld, Postfach 100131, 33501
  • Bielefeld, Germany
  • 10
  • Scuola Internazionale Superiore di Studi Avanzati, Via Bonomea
  • 265, 34136 Trieste, Italy and INFN Sezione di Trieste
  • 11
  • ASTRON, Netherlands Institute for Radio Astronomy, Oude
  • Hoogeveensedijk 4, 7991 PD Dwingeloo, The Netherlands
  • 12
  • Department of Physical Sciences, Indian Institute of Science Education and Research, Mohali, Punjab 140306, India
  • 13
  • Laboratoire de Physique et Chimie de l’Environnement et de l’Espace, Université d’Orléans/CNRS, 45071 Orléans Cedex 02, France
  • 14
  • Observatoire Radioastronomique de Nançay, Observatoire de Paris, Université PSL, Université d’Orléans, CNRS, 18330 Nançay, France
  • 15
  • Dipartimento di Fisica “G. Occhialini”, Università degli Studi di
  • Milano-Bicocca, Piazza della Scienza 3, 20126 Milano, Italy
  • 16
  • INFN, Sezione di Milano-Bicocca, Piazza della Scienza 3, 20126
  • Milano, Italy
  • 17
  • INAF – Osservatorio Astronomico di Brera, via Brera 20, 20121
  • 18
  • Institute for Gravitational Wave Astronomy and School of Physics and Astronomy, University of Birmingham, Edgbaston, Birmingham B15 2TT, UK
  • 19
  • INAF – Osservatorio Astronomico di Cagliari, via della Scienza 5, 09047 Selargius, (CA), Italy
  • 20
  • Hellenic Open University, School of Science and Technology, 26335
  • Patras, Greece
  • 21
  • Université de Genève, Département de Physique Théorique and
  • Centre for Astroparticle Physics, 24 quai Ernest-Ansermet, 1211
  • Genève 4, Switzerland
  • 22
  • CERN, Theoretical Physics Department, 1 Esplanade des Particules, 1211 Genéve 23, Switzerland
  • 23
  • Kavli Institute for Astronomy and Astrophysics, Peking University, Beijing 100871, PR China
  • 24
  • Department of Astronomy and Astrophysics, Tata Institute of Fundamental Research, Homi Bhabha Road, Navy Nagar, Colaba, Mumbai 400005, India
  • 25
  • Department of Physics, IIT Hyderabad, Kandi, Telangana 502284, India
  • 26
  • Department of Physics and Astrophysics, University of Delhi, Delhi
  • 110007, India
  • 27
  • Department of Earth and Space Sciences, Indian Institute of Space
  • Science and Technology, Valiamala, Thiruvananthapuram, Kerala
  • 695547, India
  • 28
  • School of Mathematics and Physics, Faculty of Engineering and
  • Physical Science, University of Surrey, Guildford GU2 7XH, UK
  • 29
  • School of Physics, Faculty of Science, University of East Anglia, Norwich NR4 7TJ, UK
  • 30
  • Sternberg Astronomical Institute, Moscow State University, Universitetsky pr., 13, Moscow 119234, Russia
  • 31
  • Max Planck Institute for Gravitational Physics (Albert Einstein
  • Institute), Am Muühlenberg 1, 14476 Potsdam, Germany
  • 32
  • Gran Sasso Science Institute (GSSI), 67100 L’Aquila, Italy
  • 33
  • INFN, Laboratori Nazionali del Gran Sasso, 67100 Assergi, Italy
  • 34
  • National Centre for Radio Astrophysics, Pune University Campus, Pune 411007, India
  • 35
  • Kumamoto University, Graduate School of Science and Technology, Kumamoto 860-8555, Japan
  • 36
  • Università di Cagliari, Dipartimento di Fisica, S.P. MonserratoSestu Km 0,700, 09042 Monserrato, (CA), Italy
  • 37
  • Department of Astrophysics/IMAPP, Radboud University
  • Nijmegen, PO Box 9010, 6500 GL Nijmegen, The Netherlands
  • 38
  • Department of Physical Sciences,Indian Institute of Science Education and Research Kolkata, Mohanpur 741246, India
  • 39
  • Center of Excellence in Space Sciences India, Indian Institute of
  • Science Education and Research Kolkata, Kolkata 741246, India
  • 40
  • School of Physics, Trinity College Dublin, College Green, Dublin 2
  • D02 PN40, Ireland
  • 41
  • Jodrell Bank Centre for Astrophysics, Department of Physics and
  • Astronomy, University of Manchester, Manchester M13 9PL, UK
  • 42
  • Department of Physics, St. Xavier’s College (Autonomous), Mumbai 400001, India
  • 43
  • National Astronomical Observatories, Chinese Academy of Sciences, Beijing 100101, PR China
  • 44
  • E.A. Milne Centre for Astrophysics, University of Hull, Cottingham
  • Road, Kingston-upon-Hull HU6 7RX, UK
  • 45
  • Centre of Excellence for Data Science, Artificial Intelligence and Modelling (DAIM), University of Hull, Cottingham Road, Kingston-upon-Hull HU6 7RX, UK
  • 46
  • Laboratory of Astrophysics, École Polytechnique Fédérale de Lausanne, 1015 Lausanne, Switzerland
  • 47
  • Department of Physics, BITS Pilani Hyderabad Campus, Hyderabad
  • 500078, Telangana, India
  • 48
  • Joint Astronomy Programme, Indian Institute of Science, Bengaluru, Karnataka 560012, India
  • 49
  • Arecibo Observatory, HC3 Box 53995, Arecibo, PR 00612, USA
  • 50
  • IRFU, CEA, Université Paris-Saclay, 91191 Gif-sur-Yvette, France
  • 51
  • Raman Research Institute India, Bengaluru, Karnataka 560080, India
  • 52
  • Institut für Physik und Astronomie, Universität Potsdam, Haus 28, Karl-Liebknecht-Str. 24/25, 14476 Potsdam, Germany
  • 53
  • Kazan Federal University, 18 Kremlyovskaya, 420008 Kazan, Russia
  • 54
  • Department of Physics, IISER Bhopal, Bhopal Bypass Road, Bhauri, Bhopal 462066, Madhya Pradesh, India
  • 55
  • Ollscoil na Gaillimhe – University of Galway, University Road, Galway H91 TK33, Ireland
  • 56
  • Center for Gravitation, Cosmology, and Astrophysics, University of
  • Wisconsin-Milwaukee, Milwaukee, WI 53211, USA
  • 57
  • Division of Natural Science, Faculty of Advanced Science and Technology, Kumamoto University, 2-39-1 Kurokami, Kumamoto 8608555, Japan
  • 58
  • International Research Organization for Advanced Science and
  • Technology, Kumamoto University, 2-39-1 Kurokami, Kumamoto
  • 860-8555, Japan
  • 59
  • Laboratoire Univers et Théories LUTh, Observatoire de Paris, Université PSL, CNRS, Université de Paris, 92190 Meudon, France
  • 60
  • Institute), Leibniz Universität Hannover, Callinstrasse 38, 30167
  • Hannover, Germany
  • 61
  • Florida Space Institute, University of Central Florida, 12354
  • Research Parkway, Partnership 1 Building, Suite 214, Orlando
  • 32826-0650, FL, USA
  • 62
  • Ruhr University Bochum, Faculty of Physics and Astronomy, Astronomical Institute (AIRUB), 44780 Bochum, Germany
  • 63
  • Advanced Institute of Natural Sciences, Beijing Normal University, Zhuhai 519087, PR China
  • 64
  • Department of Astronomy, School of Physics, Peking University, Beijing 100871, PR China
  • Appendix A: Supermassive black hole binaries - full corner plots
  • Figs. A.1 and A.2 show the full posterior results for the astrophysically-informed and agnostic mode, respectively. Individual parameters are listed in the main text.
  • Fig. A.1. Marginalised posterior distributions for all 18 parameters of the astrophysically-informed model. The posterior and prior are shown in grey and green, respectively.
  • 0
  • 6 z
  • 4 z
  • .
  • 0 log10 n0
  • Mpc3Gyr
  • 4 log
  • *
  • M
  • 4 z0
  • 4 log10