A window for cosmic strings

Author(s)

Auclair, Pierre, Leyde, Konstantin, Steer, Danièle A.

Abstract

Particle emission, in addition to gravitational radiation from cosmic string loops, affects the resulting loop distribution and hence the corresponding observational consequences of cosmic strings.Here we focus on two models in which loops of length ℓ are produced from the infinite string network with a given power-law.For both models we find that, due to particle production, the Stochastic Gravitational Wave Background (SGWB) is cut off outside the region of parameter space probed by any current or planned GW experiment.Therefore the present constraints from the LIGO-Virgo-Kagra (LVK) collaboration still hold.However for one of these models, if a fraction ≳𝒪(10$^{-3}$) of these particles cascades into γ-rays, and if the gravitational backreaction scale follows the Polchinski-Rocha model, then the string tension is tightly constrained from below by measurements of the Diffuse γ-Ray Background, and from above by the SGWB.With reasonable assumptions, the joint constraint on the string tension set by these two possible observables reduces the available parameter space of this cosmic string model to a narrow band. Future upgrades to LVK will either rule out this model or detect strings.

Figures

Schematic trajectories of non self-intersecting loops in the $(\tau,\ell)$ phase space (orange). The blue region corresponds to the production of loops, that is the green line is $\gbr t$, and the blue one is $\gamma_\infty t$. These delimit the $\Theta$-function shown in the loop production function of \cref{eq: def polchinski rocha production}. There are three distinct possibilities for the ordering of $\tstar$, $\tau_0$ and $\tbr$, which appear in the boundaries of \cref{eq: final result n}. This depends on whether the loop had length $\ell_0$ before (\textit{top left}), during (\textit{top right}) or after (\textit{bottom}) loop production.
Caption Schematic trajectories of non self-intersecting loops in the $(\tau,\ell)$ phase space (orange). The blue region corresponds to the production of loops, that is the green line is $\gbr t$, and the blue one is $\gamma_\infty t$. These delimit the $\Theta$-function shown in the loop production function of \cref{eq: def polchinski rocha production}. There are three distinct possibilities for the ordering of $\tstar$, $\tau_0$ and $\tbr$, which appear in the boundaries of \cref{eq: final result n}. This depends on whether the loop had length $\ell_0$ before (\textit{top left}), during (\textit{top right}) or after (\textit{bottom}) loop production.
Schematic trajectories of non self-intersecting loops in the $(\tau,\ell)$ phase space (orange). The blue region corresponds to the production of loops, that is the green line is $\gbr t$, and the blue one is $\gamma_\infty t$. These delimit the $\Theta$-function shown in the loop production function of \cref{eq: def polchinski rocha production}. There are three distinct possibilities for the ordering of $\tstar$, $\tau_0$ and $\tbr$, which appear in the boundaries of \cref{eq: final result n}. This depends on whether the loop had length $\ell_0$ before (\textit{top left}), during (\textit{top right}) or after (\textit{bottom}) loop production.
Caption Schematic trajectories of non self-intersecting loops in the $(\tau,\ell)$ phase space (orange). The blue region corresponds to the production of loops, that is the green line is $\gbr t$, and the blue one is $\gamma_\infty t$. These delimit the $\Theta$-function shown in the loop production function of \cref{eq: def polchinski rocha production}. There are three distinct possibilities for the ordering of $\tstar$, $\tau_0$ and $\tbr$, which appear in the boundaries of \cref{eq: final result n}. This depends on whether the loop had length $\ell_0$ before (\textit{top left}), during (\textit{top right}) or after (\textit{bottom}) loop production.
Schematic trajectories of non self-intersecting loops in the $(\tau,\ell)$ phase space (orange). The blue region corresponds to the production of loops, that is the green line is $\gbr t$, and the blue one is $\gamma_\infty t$. These delimit the $\Theta$-function shown in the loop production function of \cref{eq: def polchinski rocha production}. There are three distinct possibilities for the ordering of $\tstar$, $\tau_0$ and $\tbr$, which appear in the boundaries of \cref{eq: final result n}. This depends on whether the loop had length $\ell_0$ before (\textit{top left}), during (\textit{top right}) or after (\textit{bottom}) loop production.
Caption Schematic trajectories of non self-intersecting loops in the $(\tau,\ell)$ phase space (orange). The blue region corresponds to the production of loops, that is the green line is $\gbr t$, and the blue one is $\gamma_\infty t$. These delimit the $\Theta$-function shown in the loop production function of \cref{eq: def polchinski rocha production}. There are three distinct possibilities for the ordering of $\tstar$, $\tau_0$ and $\tbr$, which appear in the boundaries of \cref{eq: final result n}. This depends on whether the loop had length $\ell_0$ before (\textit{top left}), during (\textit{top right}) or after (\textit{bottom}) loop production.
Loop number density for model A with kinks (left panel) and with cusps (right panel) for $G\mu = 10^{-13}$. Solid colored lines show the density for redshifts, from top to bottom $z = 10^6, 10^7, 10^8, 10^9, 10^{10}, 10^{11}, 10^{12}, 10^{13}, 10^{14}$ and $ 10^{15}$. The dashed dark line shows the scaling distribution when one assumes that all the energy goes into gravitational waves.
Caption Loop number density for model A with kinks (left panel) and with cusps (right panel) for $G\mu = 10^{-13}$. Solid colored lines show the density for redshifts, from top to bottom $z = 10^6, 10^7, 10^8, 10^9, 10^{10}, 10^{11}, 10^{12}, 10^{13}, 10^{14}$ and $ 10^{15}$. The dashed dark line shows the scaling distribution when one assumes that all the energy goes into gravitational waves.
Loop number density for model A with kinks (left panel) and with cusps (right panel) for $G\mu = 10^{-13}$. Solid colored lines show the density for redshifts, from top to bottom $z = 10^6, 10^7, 10^8, 10^9, 10^{10}, 10^{11}, 10^{12}, 10^{13}, 10^{14}$ and $ 10^{15}$. The dashed dark line shows the scaling distribution when one assumes that all the energy goes into gravitational waves.
Caption Loop number density for model A with kinks (left panel) and with cusps (right panel) for $G\mu = 10^{-13}$. Solid colored lines show the density for redshifts, from top to bottom $z = 10^6, 10^7, 10^8, 10^9, 10^{10}, 10^{11}, 10^{12}, 10^{13}, 10^{14}$ and $ 10^{15}$. The dashed dark line shows the scaling distribution when one assumes that all the energy goes into gravitational waves.
Loop number density for model B with kinks (left panel) and with cusps (right panel) for $G\mu = 10^{-13}$. Solid colored lines show the density for redshifts, from top to bottom $z = 10^6, 10^7, 10^8, 10^9, 10^{10}, 10^{11}, 10^{12}, 10^{13}, 10^{14}$ and $ 10^{15}$. The dashed dark line shows the scaling distribution when one assumes that all the energy goes into gravitational waves.
Caption Loop number density for model B with kinks (left panel) and with cusps (right panel) for $G\mu = 10^{-13}$. Solid colored lines show the density for redshifts, from top to bottom $z = 10^6, 10^7, 10^8, 10^9, 10^{10}, 10^{11}, 10^{12}, 10^{13}, 10^{14}$ and $ 10^{15}$. The dashed dark line shows the scaling distribution when one assumes that all the energy goes into gravitational waves.
Loop number density for model B with kinks (left panel) and with cusps (right panel) for $G\mu = 10^{-13}$. Solid colored lines show the density for redshifts, from top to bottom $z = 10^6, 10^7, 10^8, 10^9, 10^{10}, 10^{11}, 10^{12}, 10^{13}, 10^{14}$ and $ 10^{15}$. The dashed dark line shows the scaling distribution when one assumes that all the energy goes into gravitational waves.
Caption Loop number density for model B with kinks (left panel) and with cusps (right panel) for $G\mu = 10^{-13}$. Solid colored lines show the density for redshifts, from top to bottom $z = 10^6, 10^7, 10^8, 10^9, 10^{10}, 10^{11}, 10^{12}, 10^{13}, 10^{14}$ and $ 10^{15}$. The dashed dark line shows the scaling distribution when one assumes that all the energy goes into gravitational waves.
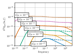
Stochastic background of gravitational waves for different $G\mu$. Top panel: Model A, lower panel: Model B. Solid line assume that cusps on the loops emit particles ($n = 1/2$). Dashed lines assume that all the emitted energy goes into gravitational waves.
Caption Stochastic background of gravitational waves for different $G\mu$. Top panel: Model A, lower panel: Model B. Solid line assume that cusps on the loops emit particles ($n = 1/2$). Dashed lines assume that all the emitted energy goes into gravitational waves.
Stochastic background of gravitational waves for different $G\mu$. Top panel: Model A, lower panel: Model B. Solid line assume that cusps on the loops emit particles ($n = 1/2$). Dashed lines assume that all the emitted energy goes into gravitational waves.
Caption Stochastic background of gravitational waves for different $G\mu$. Top panel: Model A, lower panel: Model B. Solid line assume that cusps on the loops emit particles ($n = 1/2$). Dashed lines assume that all the emitted energy goes into gravitational waves.
Diffuse $\gamma$-ray background in the presence of only cusps (blue) and only kinks (green) for $f_\mathrm{eff} = 1$ (solid lines) and $f_\mathrm{eff} = 10^{-3}$ (dashed lines). Left panel: Model A, right panel: Model B.
Caption Diffuse $\gamma$-ray background in the presence of only cusps (blue) and only kinks (green) for $f_\mathrm{eff} = 1$ (solid lines) and $f_\mathrm{eff} = 10^{-3}$ (dashed lines). Left panel: Model A, right panel: Model B.
Diffuse $\gamma$-ray background in the presence of only cusps (blue) and only kinks (green) for $f_\mathrm{eff} = 1$ (solid lines) and $f_\mathrm{eff} = 10^{-3}$ (dashed lines). Left panel: Model A, right panel: Model B.
Caption Diffuse $\gamma$-ray background in the presence of only cusps (blue) and only kinks (green) for $f_\mathrm{eff} = 1$ (solid lines) and $f_\mathrm{eff} = 10^{-3}$ (dashed lines). Left panel: Model A, right panel: Model B.
Left panel: One of the two cusps for a loop with $\alpha=3/4$ and an artificial width in the rest frame of the loop. The tip of the cusp goes at the speed of light in the direction of $\vb{\dot{X}}_0$. Right panel: a slice of the cusp along the plane parallel to $\vec{X}_0^{\prime\prime}$. The two branches of the cusp are separated by a distance $x_m$. The ellipses of the two branches are tilted with angle $\theta$.
Caption Left panel: One of the two cusps for a loop with $\alpha=3/4$ and an artificial width in the rest frame of the loop. The tip of the cusp goes at the speed of light in the direction of $\vb{\dot{X}}_0$. Right panel: a slice of the cusp along the plane parallel to $\vec{X}_0^{\prime\prime}$. The two branches of the cusp are separated by a distance $x_m$. The ellipses of the two branches are tilted with angle $\theta$.
Left panel: One of the two cusps for a loop with $\alpha=3/4$ and an artificial width in the rest frame of the loop. The tip of the cusp goes at the speed of light in the direction of $\vb{\dot{X}}_0$. Right panel: a slice of the cusp along the plane parallel to $\vec{X}_0^{\prime\prime}$. The two branches of the cusp are separated by a distance $x_m$. The ellipses of the two branches are tilted with angle $\theta$.
Caption Left panel: One of the two cusps for a loop with $\alpha=3/4$ and an artificial width in the rest frame of the loop. The tip of the cusp goes at the speed of light in the direction of $\vb{\dot{X}}_0$. Right panel: a slice of the cusp along the plane parallel to $\vec{X}_0^{\prime\prime}$. The two branches of the cusp are separated by a distance $x_m$. The ellipses of the two branches are tilted with angle $\theta$.
References
  • [1] T. W. B. Kibble, "Topology of Cosmic Domains and Strings", J.Phys.A,9,1387-1398, DOI: 10.1088/0305-4470/9/8/029
  • [2] M. B. Hindmarsh, T. W. B. Kibble, "Cosmic strings", Rept.Prog.Phys.,58,477-562, DOI: 10.1088/0034-4885/58/5/001
  • [3] , A. Vilenkin and E.S. Shellard, Cosmic Strings and Other Topological Defects, Cambridge University Press (2000).
  • [4] Tanmay Vachaspati, Levon Pogosian, Daniele Steer, "Cosmic Strings", Scholarpedia,10,31682, DOI: 10.4249/scholarpedia.31682
  • [5] Pierre Auclair, Danièle A. Steer, Tanmay Vachaspati, "Particle emission and gravitational radiation from cosmic strings: observational constraints", Phys.Rev.D,101,083511, DOI: 10.1103/PhysRevD.101.083511
  • [6] E. P. S. Shellard, "Cosmic String Interactions", Nucl.Phys.B,283,624-656, DOI: 10.1016/0550-3213(87)90290-2
  • [7] Richard A. Matzner, "Interaction of U(1) cosmic strings: Numerical intercommutation", Comput.Phys.,2,51-64, DOI: 10.1063/1.168306
  • [8] G. J. Verbiest, A. Achucarro, "High speed collision and reconnection of Abelian Higgs strings in the deep type-II regime", Phys.Rev.D,84,105036, DOI: 10.1103/PhysRevD.84.105036
  • [9] Tanmay Vachaspati, Alexander Vilenkin, "Gravitational Radiation from Cosmic Strings", Phys.Rev.D,31,3052, DOI: 10.1103/PhysRevD.31.3052
  • [10] C. J. Burden, "Gravitational Radiation From a Particular Class of Cosmic Strings", Phys.Lett.B,164,277-281, DOI: 10.1016/0370-2693(85)90326-0
  • [11] David Garfinkle, Tanmay Vachaspati, "Radiation From Kinky, Cuspless Cosmic Loops", Phys.Rev.D,36,2229, DOI: 10.1103/PhysRevD.36.2229
  • [12] Mark Hindmarsh, "Gravitational radiation from kinky infinite strings", Phys.Lett.B,251,28-33, DOI: 10.1016/0370-2693(90)90226-V
  • [13] Bruce Allen, E. P. S. Shellard, "Gravitational radiation from cosmic strings", Phys.Rev.D,45,1898-1912, DOI: 10.1103/PhysRevD.45.1898
  • [14] Thibault Damour, Alexander Vilenkin, "Gravitational wave bursts from cusps and kinks on cosmic strings", Phys.Rev.D,64,064008, DOI: 10.1103/PhysRevD.64.064008
  • [15] Xavier Siemens, Ken D. Olum, "Gravitational radiation and the small-scale structure of cosmic strings", Nucl.Phys.B,611,125-145, DOI: 10.1016/S0550-3213(01)00353-4
  • [16] Xavier Siemens, Jolien Creighton, Irit Maor, Saikat Ray Majumder, "Gravitational wave bursts from cosmic (super)strings: Quantitative analysis and constraints", Phys.Rev.D,73,105001, DOI: 10.1103/PhysRevD.73.105001
  • [17] Jose J. Blanco-Pillado, Ken D. Olum, "Stochastic gravitational wave background from smoothed cosmic string loops", Phys.Rev.D,96,104046, DOI: 10.1103/PhysRevD.96.104046
  • [18] Jose J. Blanco-Pillado, Ken D. Olum, Jeremy M. Wachter, "Gravitational backreaction simulations of simple cosmic string loops", Phys.Rev.D,100,023535, DOI: 10.1103/PhysRevD.100.023535
  • [19] Jose J. Blanco-Pillado, Ken D. Olum, Benjamin Shlaer, "The number of cosmic string loops", Phys.Rev.D,89,023512, DOI: 10.1103/PhysRevD.89.023512
  • [20] Pierre Auclair, "Probing the gravitational wave background from cosmic strings with LISA", JCAP,2004,034, DOI: 10.1088/1475-7516/2020/04/034
  • [21] R. Abbott, "Constraints on Cosmic Strings Using Data from the Third Advanced LIGO-Virgo Observing Run", Phys.Rev.Lett.,126,241102, DOI: 10.1103/PhysRevLett.126.241102
  • [22] Pierre Auclair, Patrick Peter, Christophe Ringeval, Danièle Steer, "Irreducible cosmic production of relic vortons", JCAP,2103,098, DOI: 10.1088/1475-7516/2021/03/098
  • [23] Joseph Polchinski, Jorge V. Rocha, "Analytic study of small scale structure on cosmic strings", Phys.Rev.D,74,083504, DOI: 10.1103/PhysRevD.74.083504
  • [24] Joseph Polchinski: Cosmic String Loops and Gravitational Radiation, pages 105-125 in: : 11th Marcel Grossmann Meeting on General Relativity, 2007, 2007
  • [25] Florian Dubath, Joseph Polchinski, Jorge V. Rocha, "Cosmic String Loops, Large and Small", Phys.Rev.D,77,123528, DOI: 10.1103/PhysRevD.77.123528
  • [26] E. J. Copeland, T. W. B. Kibble, "Kinks and small-scale structure on cosmic strings", Phys.Rev.D,80,123523, DOI: 10.1103/PhysRevD.80.123523
  • [27] Joseph Polchinski, Jorge V. Rocha, "Cosmic string structure at the gravitational radiation scale", Phys.Rev.D,75,123503, DOI: 10.1103/PhysRevD.75.123503
  • [28] Christophe Ringeval, Mairi Sakellariadou, Francois Bouchet, "Cosmological evolution of cosmic string loops", JCAP,0702,023, DOI: 10.1088/1475-7516/2007/02/023
  • [29] Larissa Lorenz, Christophe Ringeval, Mairi Sakellariadou, "Cosmic string loop distribution on all length scales and at any redshift", JCAP,1010,003, DOI: 10.1088/1475-7516/2010/10/003
  • [30] Pierre Auclair, Christophe Ringeval, Mairi Sakellariadou, Daniele Steer, "Cosmic string loop production functions", JCAP,1906,015, DOI: 10.1088/1475-7516/2019/06/015
  • [31] Pierre Auclair: , 2022, Cosmology with the Laser Interferometer Space AntennaLISA CosWG-22-03 ,2022
  • [32] Jose J. Blanco-Pillado, Ken D. Olum, Jeremy M. Wachter, "Energy-conservation constraints on cosmic string loop production and distribution functions", Phys.Rev.D,100,123526, DOI: 10.1103/PhysRevD.100.123526
  • [33] Graham Vincent, Nuno D. Antunes, Mark Hindmarsh, "Numerical simulations of string networks in the Abelian Higgs model", Phys.Rev.Lett.,80,2277-2280, DOI: 10.1103/PhysRevLett.80.2277
  • [34] Mark Hindmarsh, Stephanie Stuckey, Neil Bevis, "Abelian Higgs Cosmic Strings: Small Scale Structure and Loops", Phys.Rev.D,79,123504, DOI: 10.1103/PhysRevD.79.123504
  • [35] Joanes Lizarraga, Jon Urrestilla, David Daverio, Mark Hindmarsh, "New CMB constraints for Abelian Higgs cosmic strings", JCAP,1610,042, DOI: 10.1088/1475-7516/2016/10/042
  • [36] Mark Hindmarsh, Joanes Lizarraga, Jon Urrestilla, David Daverio, "Scaling from gauge and scalar radiation in Abelian Higgs string networks", Phys.Rev.D,96,023525, DOI: 10.1103/PhysRevD.96.023525
  • [37] Daiju Matsunami, Levon Pogosian, Ayush Saurabh, Tanmay Vachaspati, "Decay of Cosmic String Loops Due to Particle Radiation", Phys.Rev.Lett.,122,201301, DOI: 10.1103/PhysRevLett.122.201301
  • [38] Mark Hindmarsh, Joanes Lizarraga, Ander Urio, Jon Urrestilla, "Loop decay in Abelian-Higgs string networks", Phys.Rev.D,104,043519, DOI: 10.1103/PhysRevD.104.043519
  • [39] Patrick Peter, Christophe Ringeval, "A Boltzmann treatment for the vorton excess problem", JCAP,1305,005, DOI: 10.1088/1475-7516/2013/05/005
  • [40] J. J. Blanco-Pillado, Ken D. Olum, "Form of cosmic string cusps", Phys.Rev.D,59,063508, DOI: 10.1103/PhysRevD.59.063508
  • [41] Ken D. Olum, J. J. Blanco-Pillado, "Field theory simulation of Abelian Higgs cosmic string cusps", Phys.Rev.D,60,023503, DOI: 10.1103/PhysRevD.60.023503
  • [42] T. W. B. Kibble, Neil Turok, "Selfintersection of Cosmic Strings", Phys.Lett.B,116,141-143, DOI: 10.1016/0370-2693(82)90993-5
  • [43] Edmund J. Copeland, T. W. B. Kibble, Daniele A. Steer, "The Evolution of a network of cosmic string loops", Phys.Rev.D,58,043508, DOI: 10.1103/PhysRevD.58.043508
  • [44] Christophe Ringeval, "Cosmic strings and their induced non-Gaussianities in the cosmic microwave background", Adv.Astron.,2010,380507, DOI: 10.1155/2010/380507
  • [45] P. A. R. Ade, "Planck 2015 results. XIII. Cosmological parameters", Astron.Astrophys.,594,A13, DOI: 10.1051/0004-6361/201525830
  • [46] Pierre Binetruy, Alejandro Bohe, Chiara Caprini, Jean-Francois Dufaux, "Cosmological Backgrounds of Gravitational Waves and eLISA/NGO: Phase Transitions, Cosmic Strings and Other Sources", JCAP,1206,027, DOI: 10.1088/1475-7516/2012/06/027
  • [47] H. F. Santana Mota, Mark Hindmarsh, "Big-Bang Nucleosynthesis and Gamma-Ray Constraints on Cosmic Strings with a large Higgs condensate", Phys.Rev.D,91,043001, DOI: 10.1103/PhysRevD.91.043001
  • [48] A. A. Abdo, "The Spectrum of the Isotropic Diffuse Gamma-Ray Emission Derived From First-Year Fermi Large Area Telescope Data", Phys.Rev.Lett.,104,101101, DOI: 10.1103/PhysRevLett.104.101101
  • [49] David P. Bennett, "The evolution of cosmic strings", Phys.Rev.D,33,872, DOI: 10.1103/PhysRevD.33.872
  • [50] David P. Bennett, "Evolution of cosmic strings. 2.", Phys.Rev.D,34,3592, DOI: 10.1103/PhysRevD.34.3592
  • [51] David P. Bennett, Francois R. Bouchet, "Evidence for a Scaling Solution in Cosmic String Evolution", Phys.Rev.Lett.,60,257, DOI: 10.1103/PhysRevLett.60.257
  • [52] David P. Bennett, Francois R. Bouchet, "High resolution simulations of cosmic string evolution. 1. Network evolution", Phys.Rev.D,41,2408, DOI: 10.1103/PhysRevD.41.2408
  • [53] Bruce Allen, R. R. Caldwell, "Small scale structure on a cosmic string network", Phys.Rev.D,43,3173-3187, DOI: 10.1103/PhysRevD.43.3173
  • [54] Bruce Allen, E. P. S. Shellard, "Cosmic string evolution: a numerical simulation", Phys.Rev.Lett.,64,119-122, DOI: 10.1103/PhysRevLett.64.119
  • [55] Bruce Allen, R. R. Caldwell, "Kinky structure on strings", Phys.Rev.D,43,2457-R2460, DOI: 10.1103/PhysRevD.43.R2457