Breaking the strings: the signatures of cosmic string loop fragmentation

Author(s)

Auclair, Pierre

Abstract

We study the impact of fragmentation on the cosmic string loop number density, using an approach inspired by the three-scale model and a Boltzmann equation.We build a new formulation designed to be more amenable to numerical resolution and present two complementary numerical methods to obtain the full loop distribution including the effect of fragmentation and gravitational radiation.We show that fragmentation generically predicts a decay of the loop number density on large scales and a deviation from a pure power-law.We expect fragmentation to be crucial for the calibration of loop distribution models.

Figures

The loop fragmentation function for a parent loop $\ell / t = 0.1$ and different assumptions for the small-scale behaviour $\sigma$.
Caption The loop fragmentation function for a parent loop $\ell / t = 0.1$ and different assumptions for the small-scale behaviour $\sigma$.
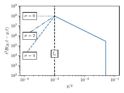
Schematic view of a loop fragmentation cascade. From an initial loop, we draw its lifetime $\Delta t$ randomly and fragment it into two children loops. The sizes of the children loops are also drawn randomly from the loop fragmentation function $\lff(y, \ell- y; \ell)$.
Caption Schematic view of a loop fragmentation cascade. From an initial loop, we draw its lifetime $\Delta t$ randomly and fragment it into two children loops. The sizes of the children loops are also drawn randomly from the loop fragmentation function $\lff(y, \ell- y; \ell)$.
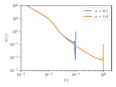
Comparison between the two numerical methods, the Unconnected Loop Model (ULM) in blue and the custom IDE solver in yellow, as we increase the number of fragmentation cascades. The parameters for this figure are $(C, \alpha, \chi, \xi_c, \sigma) = (1, 0.1, 0.2, 10^{-2}, 0)$ in radiation era.
Caption Comparison between the two numerical methods, the Unconnected Loop Model (ULM) in blue and the custom IDE solver in yellow, as we increase the number of fragmentation cascades. The parameters for this figure are $(C, \alpha, \chi, \xi_c, \sigma) = (1, 0.1, 0.2, 10^{-2}, 0)$ in radiation era.
 : Radiation era
Caption : Radiation era
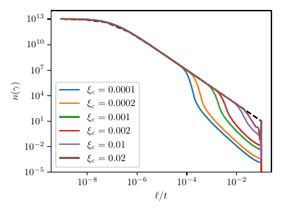
 : Matter era : Loop number density in scaling units $n(\gamma)$ for different values of the correlation length $\xi_c$ obtained with our IDE solver. The black dashed line corresponds to the one-scale model, assuming no fragmentation, i.e.\ $\lff = 0$. Parameters were set to $(C, \alpha, \chi, \Gamma G\mu, \sigma) = (1, 0.1, 0.2, 10^{-7}, 8)$.
Caption : Matter era : Loop number density in scaling units $n(\gamma)$ for different values of the correlation length $\xi_c$ obtained with our IDE solver. The black dashed line corresponds to the one-scale model, assuming no fragmentation, i.e.\ $\lff = 0$. Parameters were set to $(C, \alpha, \chi, \Gamma G\mu, \sigma) = (1, 0.1, 0.2, 10^{-7}, 8)$.
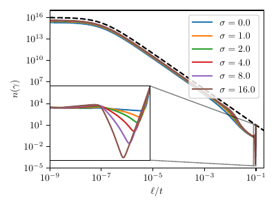
 : Radiation era
Caption : Radiation era
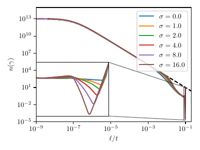
 : Matter era : Loop number density in scaling units for different values of the free parameter $\sigma$ encoding our uncertainties about the fragmentation model. The zoom-in region shows how the value of $\sigma$ can help smoothing the sudden drop in the region $]\alpha - \xi_c, \alpha[$ and therefore ease the numerical resolution. The black dashed line corresponds to the one-scale model, assuming no fragmentation, i.e.\ $\lff = 0$. The parameters were set to $(C, \alpha, \chi, \nu, \xi_c) = (1, 0.1, 1/2, 10^{-2})$.
Caption : Matter era : Loop number density in scaling units for different values of the free parameter $\sigma$ encoding our uncertainties about the fragmentation model. The zoom-in region shows how the value of $\sigma$ can help smoothing the sudden drop in the region $]\alpha - \xi_c, \alpha[$ and therefore ease the numerical resolution. The black dashed line corresponds to the one-scale model, assuming no fragmentation, i.e.\ $\lff = 0$. The parameters were set to $(C, \alpha, \chi, \nu, \xi_c) = (1, 0.1, 1/2, 10^{-2})$.
 : Radiation era
Caption : Radiation era
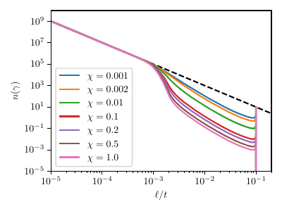
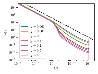
 : Matter era : Loop number density in scaling units for different values of the velocity $\chi$ encoding the strength of the fragmentation model. The black dashed line corresponds to the one-scale model, assuming no fragmentation, i.e.\ $\lff = 0$. The parameters were set to $(C, \alpha, \nu, \Gamma G\mu, \xi_c) = (1, 0.1, 1/2, 10^{-7}, 10^{-3})$.
Caption : Matter era : Loop number density in scaling units for different values of the velocity $\chi$ encoding the strength of the fragmentation model. The black dashed line corresponds to the one-scale model, assuming no fragmentation, i.e.\ $\lff = 0$. The parameters were set to $(C, \alpha, \nu, \Gamma G\mu, \xi_c) = (1, 0.1, 1/2, 10^{-7}, 10^{-3})$.
 : Radiation era
Caption : Radiation era
 : Matter era : Loop number density in scaling units $n(\gamma)$ obtained by moving the boundary condition, i.e.\ the position of the loop production scale $\alpha$. We rescaled the value of $C$ to keep $C \alpha$ constant. Parameters were set to $(\chi, \Gamma G\mu, \xi_c, \sigma) = (0.2, 10^{-7}, 10^{-2}, 8)$.
Caption : Matter era : Loop number density in scaling units $n(\gamma)$ obtained by moving the boundary condition, i.e.\ the position of the loop production scale $\alpha$. We rescaled the value of $C$ to keep $C \alpha$ constant. Parameters were set to $(\chi, \Gamma G\mu, \xi_c, \sigma) = (0.2, 10^{-7}, 10^{-2}, 8)$.
References
  • [4] , A. Vilenkin and E.P.S. Shellard, Cosmic Strings and Other Topological Defects, Cambridge University Press (2000).
  • [1] Holger Bech Nielsen, P. Olesen, J. C. Taylor, "Vortex Line Models for Dual Strings", Nucl.Phys.B,61,45-61, DOI: 10.1016/0550-3213(73)90350-7
  • [2] T. W. B. Kibble, "Topology of Cosmic Domains and Strings", J.Phys.A,9,1387-1398, DOI: 10.1088/0305-4470/9/8/029
  • [3] M. B. Hindmarsh, T. W. B. Kibble, "Cosmic strings", Rept.Prog.Phys.,58,477-562, DOI: 10.1088/0034-4885/58/5/001
  • [5] Tanmay Vachaspati, Levon Pogosian, Daniele Steer, "Cosmic Strings", Scholarpedia,10,31682, DOI: 10.4249/scholarpedia.31682
  • [6] David P. Bennett, Francois R. Bouchet, "Evidence for a Scaling Solution in Cosmic String Evolution", Phys.Rev.Lett.,60,257, DOI: 10.1103/PhysRevLett.60.257
  • [7] Edmund J. Copeland, T. W. B. Kibble, Daren Austin, "Scaling solutions in cosmic string networks", Phys.Rev.D,45,1000-1004, DOI: 10.1103/PhysRevD.45.R1000
  • [8] Christophe Ringeval, Mairi Sakellariadou, Francois Bouchet, "Cosmological evolution of cosmic string loops", JCAP,0702,023, DOI: 10.1088/1475-7516/2007/02/023
  • [9] R. Abbott, "Constraints on Cosmic Strings Using Data from the Third Advanced LIGO-Virgo Observing Run", Phys.Rev.Lett.,126,241102, DOI: 10.1103/PhysRevLett.126.241102
  • [10] Hippolyte Quelquejay Leclere, "Practical approaches to analyzing PTA data: Cosmic strings with six pulsars", Phys.Rev.D,108,123527, DOI: 10.1103/PhysRevD.108.123527
  • [11] J. Antoniadis, "The second data release from the European Pulsar Timing Array - IV. Implications for massive black holes, dark matter, and the early Universe", Astron.Astrophys.,685,A94, DOI: 10.1051/0004-6361/202347433
  • [12] Adeela Afzal, "The NANOGrav 15 yr Data Set: Search for Signals from New Physics", Astrophys.J.Lett.,951,L11, DOI: 10.3847/2041-8213/acdc91
  • [13] Pierre Auclair, "Cosmology with the Laser Interferometer Space Antenna", Living Rev.Rel.,26,5, DOI: 10.1007/s41114-023-00045-2
  • [14] Monica Colpi: LISA Definition Study Report, 2024, 2024 (arXiv:, arXiv: 2402.07571)
  • [15] Adrian Abac: The Science of the Einstein Telescope, 2025, 2025 (arXiv:, arXiv: 2503.12263)
  • [16] Joseph Polchinski, Jorge V. Rocha, "Cosmic string structure at the gravitational radiation scale", Phys.Rev.D,75,123503, DOI: 10.1103/PhysRevD.75.123503
  • [17] Daiju Matsunami, Levon Pogosian, Ayush Saurabh, Tanmay Vachaspati, "Decay of Cosmic String Loops Due to Particle Radiation", Phys.Rev.Lett.,122,201301, DOI: 10.1103/PhysRevLett.122.201301
  • [18] Pierre Auclair, Danièle A. Steer, Tanmay Vachaspati, "Particle emission and gravitational radiation from cosmic strings: observational constraints", Phys.Rev.D,101,083511, DOI: 10.1103/PhysRevD.101.083511
  • [19] Pierre Auclair, Konstantin Leyde, Danièle A. Steer, "A window for cosmic strings", JCAP,2304,005, DOI: 10.1088/1475-7516/2023/04/005
  • [20] Mark Hindmarsh, Joanes Lizarraga, Ander Urio, Jon Urrestilla, "Loop decay in Abelian-Higgs string networks", Phys.Rev.D,104,043519, DOI: 10.1103/PhysRevD.104.043519
  • [21] Jose J. Blanco-Pillado, Ken D. Olum, Jeremy M. Wachter, "Gravitational backreaction near cosmic string kinks and cusps", Phys.Rev.D,98,123507, DOI: 10.1103/PhysRevD.98.123507
  • [22] Jose J. Blanco-Pillado, Ken D. Olum, Jeremy M. Wachter, "Gravitational backreaction simulations of simple cosmic string loops", Phys.Rev.D,100,023535, DOI: 10.1103/PhysRevD.100.023535
  • [23] Jeremy M. Wachter, Ken D. Olum, Jose J. Blanco-Pillado, Vishnu R. Gade, Kirthivarsha Sivakumar: Numerical gravitational backreaction on cosmic string loops from simulation, 2024, 2024 (arXiv:, arXiv: 2411.10366)
  • [24] Larissa Lorenz, Christophe Ringeval, Mairi Sakellariadou, "Cosmic string loop distribution on all length scales and at any redshift", JCAP,1010,003, DOI: 10.1088/1475-7516/2010/10/003
  • [25] Joseph Polchinski, Jorge V. Rocha, "Analytic study of small scale structure on cosmic strings", Phys.Rev.D,74,083504, DOI: 10.1103/PhysRevD.74.083504
  • [26] Florian Dubath, Joseph Polchinski, Jorge V. Rocha, "Cosmic String Loops, Large and Small", Phys.Rev.D,77,123528, DOI: 10.1103/PhysRevD.77.123528
  • [27] Pierre Auclair, Christophe Ringeval, Mairi Sakellariadou, Daniele Steer, "Cosmic string loop production functions", JCAP,1906,015, DOI: 10.1088/1475-7516/2019/06/015
  • [28] Pierre G. Auclair, "Impact of the small-scale structure on the Stochastic Background of Gravitational Waves from cosmic strings", JCAP,2011,050, DOI: 10.1088/1475-7516/2020/11/050
  • [29] Jose J. Blanco-Pillado, Ken D. Olum, Benjamin Shlaer, "The number of cosmic string loops", Phys.Rev.D,89,023512, DOI: 10.1103/PhysRevD.89.023512
  • [30] Jose J. Blanco-Pillado, Ken D. Olum, "Stochastic gravitational wave background from smoothed cosmic string loops", Phys.Rev.D,96,104046, DOI: 10.1103/PhysRevD.96.104046
  • [31] Jose J. Blanco-Pillado, Ken D. Olum, Benjamin Shlaer, "A new parallel simulation technique", J.Comput.Phys.,231,98-108, DOI: 10.1016/j.jcp.2011.08.029
  • [32] Jose J. Blanco-Pillado, Ken D. Olum, Benjamin Shlaer, "Large parallel cosmic string simulations: New results on loop production", Phys.Rev.D,83,083514, DOI: 10.1103/PhysRevD.83.083514
  • [33] Jose J. Blanco-Pillado, Ken D. Olum, "Direct determination of cosmic string loop density from simulations", Phys.Rev.D,101,103018, DOI: 10.1103/PhysRevD.101.103018
  • [34] Jose J. Blanco-Pillado, Ken D. Olum, Jeremy M. Wachter, "Energy-conservation constraints on cosmic string loop production and distribution functions", Phys.Rev.D,100,123526, DOI: 10.1103/PhysRevD.100.123526
  • [35] Mark Hindmarsh, Joanes Lizarraga, Jon Urrestilla, David Daverio, "Scaling from gauge and scalar radiation in Abelian Higgs string networks", Phys.Rev.D,96,023525, DOI: 10.1103/PhysRevD.96.023525
  • [36] Mark Hindmarsh, Joanes Lizarraga, Jon Urrestilla, David Daverio, "Type I Abelian Higgs strings: evolution and Cosmic Microwave Background constraints", Phys.Rev.D,99,083522, DOI: 10.1103/PhysRevD.99.083522
  • [37] Daniel G. Figueroa, Mark Hindmarsh, Joanes Lizarraga, Jon Urrestilla, "Irreducible background of gravitational waves from a cosmic defect network: update and comparison of numerical techniques", Phys.Rev.D,102,103516, DOI: 10.1103/PhysRevD.102.103516
  • [38] Jorge Baeza-Ballesteros, Edmund J. Copeland, Daniel G. Figueroa, Joanes Lizarraga, "Particle and gravitational wave emission by local string loops: Lattice calculation", Phys.Rev.D,112,043540, DOI: 10.1103/ym9p-scmw
  • [39] Jose J. Blanco-Pillado, Daniel Jiménez-Aguilar, Joanes Lizarraga, Asier Lopez-Eiguren, "Nambu-Goto dynamics of field theory cosmic string loops", JCAP,2305,035, DOI: 10.1088/1475-7516/2023/05/035
  • [40] B. P. Abbott, "Constraints on cosmic strings using data from the first Advanced LIGO observing run", Phys.Rev.D,97,102002, DOI: 10.1103/PhysRevD.97.102002
  • [41] Pierre Auclair, "Probing the gravitational wave background from cosmic strings with LISA", JCAP,2004,034, DOI: 10.1088/1475-7516/2020/04/034
  • [42] Androniki Dimitriou, Daniel G. Figueroa, Peera Simakachorn, Bryan Zaldivar: Cosmic string gravitational wave backgrounds at LISA: I. Signal survey, template reconstruction, and model comparison, 2025, 2025 (arXiv:, arXiv: 2508.05395)
  • [43] A. G. Smith, Alexander Vilenkin, "Fragmentation of Cosmic String Loops", Phys.Rev.D,36,987, DOI: 10.1103/PhysRevD.36.987
  • [44] Maria Sakellariadou, Alexander Vilenkin, "Numerical Experiments With Cosmic Strings in Flat Space-time", Phys.Rev.D,37,885, DOI: 10.1103/PhysRevD.37.885
  • [45] R. J. Scherrer, W. H. Press, "COSMIC STRING LOOP FRAGMENTATION", Phys.Rev.D,39,371-378, DOI: 10.1103/PhysRevD.39.371
  • [46] Thomas York, "Fragmentation of Cosmic String Loops", Phys.Rev.D,40,277-281, DOI: 10.1103/PhysRevD.40.277
  • [47] Xavier A. Siemens, T. W. B. Kibble, "High harmonic configurations of cosmic strings: An Analysis of selfintersections", Nucl.Phys.B,438,307-319, DOI: 10.1016/0550-3213(94)00592-3
  • [48] Paul Casper, Bruce Allen, "Gravitational radiation from realistic cosmic string loops", Phys.Rev.D,52,4337-4348, DOI: 10.1103/PhysRevD.52.4337
  • [49] Craig J Copi, Tanmay Vachaspati, "Shape of Cosmic String Loops", Phys.Rev.D,83,023529, DOI: 10.1103/PhysRevD.83.023529
  • [50] Despoina Pazouli, Konstantinos Palapanidis, Anastasios Avgoustidis, Edmund J. Copeland, "Effect of high harmonic loops on gravitational wave bounds from cosmic strings", Phys.Rev.D,104,123505, DOI: 10.1103/PhysRevD.104.123505
  • [51] David P. Bennett, Francois R. Bouchet, "High resolution simulations of cosmic string evolution. 1. Network evolution", Phys.Rev.D,41,2408, DOI: 10.1103/PhysRevD.41.2408
  • [52] M. Sakellariadou, A. Vilenkin, "Cosmic-string evolution in flat space-time", Phys.Rev.D,42,349-353, DOI: 10.1103/PhysRevD.42.349
  • [53] David P. Bennett, "The evolution of cosmic strings", Phys.Rev.D,33,872, DOI: 10.1103/PhysRevD.33.872
  • [54] David P. Bennett, "Evolution of cosmic strings. 2.", Phys.Rev.D,34,3592, DOI: 10.1103/PhysRevD.34.3592
  • [55] E. J. Copeland, T. W. B. Kibble, "Kinks and small-scale structure on cosmic strings", Phys.Rev.D,80,123523, DOI: 10.1103/PhysRevD.80.123523
  • [56] Daniele A. Steer: Evolution of a network of cosmic string loops, pages 85-88 in: : 6th International Symposium on Particles, Strings and Cosmology, 1998, 1998
  • [57] Joao Magueijo, Havard Sandvik, Daniele A. Steer, "The Statistical physics of cosmological networks of string loops", Phys.Rev.D,60,103514, DOI: 10.1103/PhysRevD.60.103514
  • [58] Daren Austin, Edmund J. Copeland, T. W. B. Kibble, "Evolution of cosmic string configurations", Phys.Rev.D,48,5594-5627, DOI: 10.1103/PhysRevD.48.5594
  • [59] Edmund J. Copeland, T. W. B. Kibble, Daniele A. Steer, "The Evolution of a network of cosmic string loops", Phys.Rev.D,58,043508, DOI: 10.1103/PhysRevD.58.043508
  • [60] Tanmay Vachaspati, Alexander Vilenkin, "Gravitational Radiation from Cosmic Strings", Phys.Rev.D,31,3052, DOI: 10.1103/PhysRevD.31.3052
  • [61] Bruce Allen, E. P. S. Shellard, "Gravitational radiation from cosmic strings", Phys.Rev.D,45,1898-1912, DOI: 10.1103/PhysRevD.45.1898
  • [62] Joshua T Karpel, "IDESolver: a general purpose integro-differential equation solver", J.Open Source Softw.,3,542, DOI: 10.21105/joss.00542
  • [63] Lara Sousa, Pedro P. Avelino, Guilherme S. F. Guedes, "Full analytical approximation to the stochastic gravitational wave background generated by cosmic string networks", Phys.Rev.D,101,103508, DOI: 10.1103/PhysRevD.101.103508