Excursion-set for Primordial Black Holes I: white noise and moving barrier

Author(s)

Auclair, Pierre, Blachier, Baptiste, Vennin, Vincent

Abstract

In the excursion-set formalism, the mass distribution of primordial black holes (PBHs) is derived from the first-passage time of a random walk describing the density contrast as the coarse-graining scale varies. We address two recent concerns that have been raised about this approach. First, it was argued that the random walks are subject to colored (i.e. correlated over time) noise, making the first-passage-time problem cumbersome. We show that this arises from an incorrect separation of drift and noise when sampling on the Hubble-crossing surface: if Fourier modes are uncorrelated, the noise is strictly white. Moreover, sampling along the Hubble-crossing surface precludes using the density dispersion as a time variable, explaining some pathologies. Sampling instead on a synchronous surface removes both issues. This requires solving a first-passage-time problem with a moving barrier, for which we provide an efficient numerical framework. Second, it was suggested that cloud-in-cloud (i.e. that large black holes may engulf smaller ones) is irrelevant for PBHs and that the excursion set is therefore not needed. While valid for widely separated scales, this statement fails for broad power spectra with enhanced continua of modes. We further show that Press-Schechter estimates neglecting boundary evolution can break down even without cloud-in-cloud effects. Our results establish the robustness and necessity of the excursion-set formalism in realistic PBH formation scenarios.

Figures

Schematic view of the two choices of sampling of the excursion-set. PBHs form when the value of the coarse-grained density contrast $\delta_R$ is above a certain constant threshold $\deltac$, at the time $t_*$ where the smoothing scale $R$ crosses in the Hubble radius $H^{-1}$ (black line). Different scales $R$ are thus associated to comoving wave numbers $k$ (blue lines) reentering the Hubble radius at different times. Since only super-Hubble Fourier modes contribute to $\delta_R$, $\delta_R(t_*)$ and $\delta_R(t_0)$ can be readily related, but working along fixed-time hypersurfaces (red vertical line) has two advantages: (i) it leads to Langevin processes with vanishing drift and (ii) it allows one to relabel $R$ by $S$, leading to Langevin processes with normalised white noises.
Caption Schematic view of the two choices of sampling of the excursion-set. PBHs form when the value of the coarse-grained density contrast $\delta_R$ is above a certain constant threshold $\deltac$, at the time $t_*$ where the smoothing scale $R$ crosses in the Hubble radius $H^{-1}$ (black line). Different scales $R$ are thus associated to comoving wave numbers $k$ (blue lines) reentering the Hubble radius at different times. Since only super-Hubble Fourier modes contribute to $\delta_R$, $\delta_R(t_*)$ and $\delta_R(t_0)$ can be readily related, but working along fixed-time hypersurfaces (red vertical line) has two advantages: (i) it leads to Langevin processes with vanishing drift and (ii) it allows one to relabel $R$ by $S$, leading to Langevin processes with normalised white noises.
Variance $S$ against coarse-graining scale $R$ computed for some of the benchmark scenarios listed in \cref{sec:Applications}, see \cref{tab:params}.
Caption Variance $S$ against coarse-graining scale $R$ computed for some of the benchmark scenarios listed in \cref{sec:Applications}, see \cref{tab:params}.
First-passage time obtained through solving the Volterra equation numerically against MonteCarlo simulation with $10^7$ trajectories and $1000$ time steps. The various models used are identified in \cref{tab:broad,tab:lognorm,tab:double} and will be discussed in \cref{sec:Applications}. Note that despite the relatively large number of trajectories, the noise in the MonteCarlo simulation is still large. This is because only a small subset of trajectories end up crossing the barrier. Of course, one could use importance sampling to obtain better convergence.
Caption First-passage time obtained through solving the Volterra equation numerically against MonteCarlo simulation with $10^7$ trajectories and $1000$ time steps. The various models used are identified in \cref{tab:broad,tab:lognorm,tab:double} and will be discussed in \cref{sec:Applications}. Note that despite the relatively large number of trajectories, the noise in the MonteCarlo simulation is still large. This is because only a small subset of trajectories end up crossing the barrier. Of course, one could use importance sampling to obtain better convergence.
 : Model A-N1
Caption : Model A-N1
 : Model B-N1 : Model C-1
Caption : Model B-N1 : Model C-1
 : Probability kernel computed through \cref{eq:proba_transition} for different benchmark models. The solid black line corresponds to the location of the time-dependent boundary $\deltac(S)$. : Caption not extracted
Caption : Probability kernel computed through \cref{eq:proba_transition} for different benchmark models. The solid black line corresponds to the location of the time-dependent boundary $\deltac(S)$. : Caption not extracted
 : Top-hat spectrum : Log-normal spectrum : Double log-normal spectrum, based on B-N1 : Narrow top-hat spectrum
Caption : Top-hat spectrum : Log-normal spectrum : Double log-normal spectrum, based on B-N1 : Narrow top-hat spectrum
 : Narrow log-normal spectrum : Wide top-hat spectrum
Caption : Narrow log-normal spectrum : Wide top-hat spectrum
 : Wide log-normal spectrum : Mass function for the top-hat power spectrum (left panels) and for the log normal power spectrum (right panels). The dashed-lines correspond to the Press-Schechter approach, ie\ where cloud-in-cloud is neglected (see main text).
Caption : Wide log-normal spectrum : Mass function for the top-hat power spectrum (left panels) and for the log normal power spectrum (right panels). The dashed-lines correspond to the Press-Schechter approach, ie\ where cloud-in-cloud is neglected (see main text).
 : Caption not extracted
Caption : Caption not extracted
Mass function of model B-N1 in linear scale, from both the excursion-set (solid) and the Press-Schechter approximation (dashed). Press-Schechter predicts that the mass function becomes negative in a certain mass range, whereas the excursion-set remains always positive.
Caption Mass function of model B-N1 in linear scale, from both the excursion-set (solid) and the Press-Schechter approximation (dashed). Press-Schechter predicts that the mass function becomes negative in a certain mass range, whereas the excursion-set remains always positive.
 : No additional peak
Caption : No additional peak
 : Small peak : Large peak
Caption : Small peak : Large peak
 : Schematic view for the effect of a second peak at large scales onto the PBH mass function. The grey region shows the typical spread of the Langevin trajectories. The inclusion of a second peak at large scales adds an initial period of diffusion of ``duration'' $S_{1}$, increasing from the leftmost to the rightmost panel. At first, the main effect of this initial period of diffusion is to spread initial conditions (blue ellipse), making barrier crossing more likely to occur during the second phase. As $S_{1}$ becomes larger, fewer trajectories survive this initial period of diffusion, hence first crossing during the second phase becomes less likely and the abundance of low-mass black holes is reduced. This explains the non-monotonic behavior in \cref{fig:mass_func_double}. : Caption not extracted
Caption : Schematic view for the effect of a second peak at large scales onto the PBH mass function. The grey region shows the typical spread of the Langevin trajectories. The inclusion of a second peak at large scales adds an initial period of diffusion of ``duration'' $S_{1}$, increasing from the leftmost to the rightmost panel. At first, the main effect of this initial period of diffusion is to spread initial conditions (blue ellipse), making barrier crossing more likely to occur during the second phase. As $S_{1}$ becomes larger, fewer trajectories survive this initial period of diffusion, hence first crossing during the second phase becomes less likely and the abundance of low-mass black holes is reduced. This explains the non-monotonic behavior in \cref{fig:mass_func_double}. : Caption not extracted
 : Mass function for double log-normal models.
Caption : Mass function for double log-normal models.
 : Probability~\eqref{eq:p2} to cross the barrier during the second stage in the piecewise model~\eqref{eq:piecewise:def}, with parameters to fit the peak of model B-N1, using $\delta_2 = 0.01$ and $S_{2} = 2 \times 10^{-5}$. We vary the height ($\delta_1$) and width ($S_{1}$) of the ``initial step''. : Effect of a second peak at large scales on the PBH mass distribution.
Caption : Probability~\eqref{eq:p2} to cross the barrier during the second stage in the piecewise model~\eqref{eq:piecewise:def}, with parameters to fit the peak of model B-N1, using $\delta_2 = 0.01$ and $S_{2} = 2 \times 10^{-5}$. We vary the height ($\delta_1$) and width ($S_{1}$) of the ``initial step''. : Effect of a second peak at large scales on the PBH mass distribution.
 : Impact of the reference time on the mass function.
Caption : Impact of the reference time on the mass function.
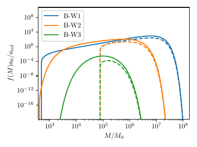
 : Impact of the IR cutoff on the mass function : Impact of the reference time and of the IR cutoff $k_\mathrm{min}$ on the mass function $\beta(M)$ for the benchmark model B-W1. Masses are expressed in units of the initial $M_0$. On the left panel, all the curves superimpose exactly.
Caption : Impact of the IR cutoff on the mass function : Impact of the reference time and of the IR cutoff $k_\mathrm{min}$ on the mass function $\beta(M)$ for the benchmark model B-W1. Masses are expressed in units of the initial $M_0$. On the left panel, all the curves superimpose exactly.
 : $\delta_{R,\mathrm{i}} = 0, S_{\mathrm{i}} = 0$
Caption : $\delta_{R,\mathrm{i}} = 0, S_{\mathrm{i}} = 0$
 : $\delta_{R,\mathrm{i}} = -0.005, S_{\mathrm{i}} = 0$ : $\delta_{R,\mathrm{i}} = 0, S_{\mathrm{i}} = 10^{-5}$
Caption : $\delta_{R,\mathrm{i}} = -0.005, S_{\mathrm{i}} = 0$ : $\delta_{R,\mathrm{i}} = 0, S_{\mathrm{i}} = 10^{-5}$
 : $\delta_{R,\mathrm{i}} = -0.005, S_{\mathrm{i}} = 10^{-5}$ : Convergence test for model B-N1 and an increasing number of points in the discretization of \cref{eq:Volterra}. We selected different starting points $(\delta_{R,\mathrm{i}}, S_{\mathrm{i}})$ for each panel.
Caption : $\delta_{R,\mathrm{i}} = -0.005, S_{\mathrm{i}} = 10^{-5}$ : Convergence test for model B-N1 and an increasing number of points in the discretization of \cref{eq:Volterra}. We selected different starting points $(\delta_{R,\mathrm{i}}, S_{\mathrm{i}})$ for each panel.
 : Caption not extracted
Caption : Caption not extracted
References
  • [1] B. J. Carr and S. W. Hawking, Mon. Not. Roy. Astron. Soc. 168, 399 (1974).
  • [2] B. J. Carr, Astrophys. J. 201, 1 (1975).
  • [3] G. F. Chapline, Nature 253, 251 (1975).
  • [4] P. Meszaros, Astron. Astrophys. 38, 5 (1975).
  • [5] N. Duechting, Phys. Rev. D 70, 064015 (2004), arXiv:astro-ph/0406260.
  • [6] M. Kawasaki, A. Kusenko, and T. T. Yanagida, Phys. Lett. B 711, 1 (2012), arXiv:1202.3848 [astro-ph.CO].
  • [7] T. Chiba and S. Yokoyama, PTEP 2017, 083E01 (2017), arXiv:1704.06573 [gr-qc].
  • [8] E. Bagui et al. (LISA Cosmology Working Group), Living Rev. Rel. 28, 1 (2025), arXiv:2310.19857 [astro-ph.CO].
  • [9] J. Antoniadis et al. (EPTA, InPTA), Astron. Astrophys. 685, A94 (2024), arXiv:2306.16227 [astro-ph.CO].
  • [10] A. Afzal et al. (NANOGrav collaboration), The Astrophysical Journal Letters 951, L11 (2023), 2306.16219.
  • [11] H. Niikura et al., Nature Astron. 3, 524 (2019), arXiv:1701.02151 [astro-ph.CO].
  • [12] H. Niikura, M. Takada, S. Yokoyama, T. Sumi, and S. Masaki, Phys. Rev. D 99, 083503 (2019), arXiv:1901.07120 [astro-ph.CO].
  • [13] S. Sugiyama, M. Takada, and A. Kusenko, Phys. Lett. B 840, 137891 (2023), arXiv:2108.03063 [hep-ph].
  • [14] A. Escrivà, F. Kuhnel, and Y. Tada, (2022), 10.1016/B978-0-32-395636-9.00012-8, arXiv:2211.05767 [astro-ph.CO].
  • [15] W. H. Press and P. Schechter, Astrophys. J. 187, 425 (1974).
  • [16] J. M. Bardeen, J. R. Bond, N. Kaiser, and A. S. Szalay, Astrophys. J. 304, 15 (1986).
  • [17] S. Young and M. Musso, JCAP 11, 022 (2020), arXiv:2001.06469 [astro-ph.CO].
  • [18] D. Inman and Y. Ali-Haı̈moud, Phys. Rev. D 100, 083528 (2019), arXiv:1907.08129 [astro-ph.CO].
  • [19] M. Tkachev, S. Pilipenko, and G. Yepes, Mon. Not. Roy. Astron. Soc. 499, 4854 (2020), arXiv:2009.07813 [astro-ph.CO].
  • [20] M. Trashorras, J. Garcı́a-Bellido, and S. Nesseris, Universe 7, 18 (2021), arXiv:2006.15018 [astro-ph.CO].
  • [21] J. A. Peacock and A. F. Heavens, Mon. Not. Roy. Astron. Soc. 243, 133 (1990).
  • [22] R. G. Bower, Mon. Not. Roy. Astron. Soc. 248, 332 (1991).
  • [23] J. R. Bond, S. Cole, G. Efstathiou, and N. Kaiser, Astrophys. J. 379, 440 (1991).
  • [24] M. Shibata and M. Sasaki, Phys. Rev. D 60, 084002 (1999), arXiv:gr-qc/9905064.
  • [25] I. Musco, Phys. Rev. D 100, 123524 (2019), arXiv:1809.02127 [gr-qc].
  • [26] A. Escrivà, C. Germani, and R. K. Sheth, Phys. Rev. D 101, 044022 (2020), arXiv:1907.13311 [gr-qc].
  • [27] A. Escrivà, Universe 8, 66 (2022), arXiv:2111.12693 [gr-qc].
  • [28] K. Jedamzik, Astrophys. J. 448, 1 (1995), arXiv:astro-ph/9408080.
  • [29] A. Kushwaha and T. Suyama, (2025), arXiv:2509.25871 [astro-ph.CO].
  • [30] P. Auclair and V. Vennin, JCAP 02, 038 (2021), arXiv:2011.05633.
  • [31] A. Moradinezhad Dizgah, G. Franciolini, and A. Riotto, JCAP 11, 001 (2019), arXiv:1906.08978 [astro-ph.CO].
  • [32] V. De Luca, G. Franciolini, and A. Riotto, Phys. Lett. B 807, 135550 (2020), arXiv:2001.04371 [astro-ph.CO].
  • [33] P. Auclair and B. Blachier, Phys. Rev. D 109, 123538 (2024), arXiv:2402.00600 [astro-ph.CO].
  • [34] G. L. Dizon, Phys. Rev. D 112, 123024 (2025), arXiv:2506.06648 [astro-ph.CO].
  • [35] H. Kameli and E. Erfani, (2025), arXiv:2508.01896 [astro-ph.CO].
  • [36] Y. Akrami et al. (Planck), Astron. Astrophys. 641, A9 (2020), arXiv:1905.05697 [astro-ph.CO].
  • [37] D. Saito and K. Tokeshi, (2025), arXiv:2512.22075 [astro-ph.CO].
  • [38] A. Paranjape, T. Y. Lam, and R. K. Sheth, Mon. Not. Roy. Astron. Soc. 420, 1429 (2012), arXiv:1105.1990 [astro-ph.CO].
  • [39] M. Musso and A. Paranjape, Mon. Not. Roy. Astron. Soc. 420, 369 (2012), arXiv:1108.0565 [astro-ph.CO].
  • [40] M. Musso and R. K. Sheth, Mon. Not. Roy. Astron. Soc. 438, 2683 (2014), arXiv:1306.0551 [astro-ph.CO].
  • [41] F. Nikakhtar, M. Ayromlou, S. Baghram, S. Rahvar, M. R. Rahimi Tabar, and R. K. Sheth, Mon. Not. Roy. Astron. Soc. 478, 5296 (2018), arXiv:1802.04207 [astro-ph.CO].
  • [42] S. Young, C. T. Byrnes, and M. Sasaki, JCAP 07, 045 (2014), arXiv:1405.7023 [gr-qc].
  • [43] C. Germani and I. Musco, Phys. Rev. Lett. 122, 141302 (2019), arXiv:1805.04087 [astro-ph.CO].
  • [44] I. Musco, V. De Luca, G. Franciolini, and A. Riotto, Phys. Rev. D 103, 063538 (2021), arXiv:2011.03014 [astro-ph.CO].
  • [45] M. Shimada, A. Escrivá, D. Saito, K. Uehara, and C.-M. Yoo, JCAP 02, 018 (2025), arXiv:2411.07648 [gr-qc].
  • [46] R. Inui, C. Joana, H. Motohashi, S. Pi, Y. Tada, and S. Yokoyama, JCAP 03, 021 (2025), arXiv:2411.07647 [astro-ph.CO].
  • [47] A. Escrivà, Phys. Dark Univ. 50, 102177 (2025), arXiv:2504.05813 [astro-ph.CO].
  • [48] A. Escrivà, Phys. Rev. D 112, 103527 (2025), arXiv:2504.05814 [astro-ph.CO].
  • [49] H. C. Tuckwell and F. Y. M. Wan, Journal of Applied Probability 21, 695–709 (1984).
  • [50] A. Buonocore, A. G. Nobile, and L. M. Ricciardi, Advances in Applied Probability 19, 784 (1987).
  • [51] J. Zhang and L. Hui, Astrophys. J. 641, 641 (2006), arXiv:astro-ph/0508384.
  • [52] A. Molini, P. Talkner, G. Katul, and A. Porporato, Physica A: Statistical Mechanics and its Applications 390, 1841 (2011).
  • [53] V. Giorno, A. G. Nobile, L. M. Ricciardi, and S. Sato, Advances in Applied Probability 21, 20 (1989).
  • [54] V. Strassen, Numerische mathematik 13, 354 (1969).
  • [55] W. H. Press, Numerical recipes 3rd edition: The art of scientific computing (Cambridge university press, 2007).
  • [56] J. Alman, R. Duan, V. V. Williams, Y. Xu, Z. Xu, and R. Zhou, “More asymmetry yields faster matrix multiplication,” in Proceedings of the 2025 Annual ACM-SIAM Symposium on Discrete Algorithms (SODA) (2025) pp. 2005–2039.
  • [57] M. W. Choptuik, Phys. Rev. Lett. 70, 9 (1993).
  • [58] J. C. Niemeyer and K. Jedamzik, Phys. Rev. Lett. 80, 5481 (1998), arXiv:astro-ph/9709072.
  • [59] I. Musco, J. C. Miller, and A. G. Polnarev, Class. Quant. Grav. 26, 235001 (2009), arXiv:0811.1452 [gr-qc].
  • [60] I. Musco and J. C. Miller, Class. Quant. Grav. 30, 145009 (2013), arXiv:1201.2379 [gr-qc].
  • [61] T. Harada, C.-M. Yoo, T. Nakama, and Y. Koga, Phys. Rev. D 91, 084057 (2015), arXiv:1503.03934 [gr-qc].
  • [62] J. Yokoyama, Phys. Rev. D 58, 107502 (1998), arXiv:gr-qc/9804041.
  • [63] A. M. Green and A. R. Liddle, Phys. Rev. D 60, 063509 (1999), arXiv:astro-ph/9901268.
  • [64] C. Germani and R. K. Sheth, Universe 9, 421 (2023), arXiv:2308.02971 [astro-ph.CO].
  • [65] S. Pi and J. Wang, JCAP 06, 018 (2023), arXiv:2209.14183 [astro-ph.CO].
  • [66] G. Domènech, G. Vargas, and T. Vargas, JCAP 03, 002 (2024), arXiv:2309.05750 [astro-ph.CO].
  • [67] M. Cielo, G. Mangano, O. Pisanti, and D. Wands, JCAP 04, 007 (2025), arXiv:2410.22154 [astro-ph.CO].
  • [68] V. Briaud, A. Karam, N. Koivunen, E. Tomberg, H. Veermäe, and V. Vennin, JCAP 05, 097 (2025), arXiv:2501.14681 [astro-ph.CO].
  • [69] R. Saito and J. Yokoyama, Prog. Theor. Phys. 123, 867 (2010), [Erratum: Prog.Theor.Phys. 126, 351–352 (2011)], arXiv:0912.5317 [astro-ph.CO].
  • [69] R. Saito and J. Yokoyama, Prog. Theor. Phys. 123, 867 (2010), [Erratum: Prog.Theor.Phys. 126, 351–352 (2011)], arXiv:0912.5317 [astro-ph.CO].
  • [70] S. Sugiyama, V. Takhistov, E. Vitagliano, A. Kusenko, M. Sasaki, and M. Takada, Phys. Lett. B 814, 136097 (2021), arXiv:2010.02189 [astro-ph.CO].
  • [71] V. De Luca, G. Franciolini, and A. Riotto, Phys. Rev. Lett. 126, 041303 (2021), arXiv:2009.08268 [astro-ph.CO].
  • [72] J. Fumagalli, J. Garriga, C. Germani, and R. K. Sheth, Phys. Rev. D 111, 123518 (2025), arXiv:2412.07709 [astro-ph.CO].
  • [73] S. Young, Int. J. Mod. Phys. D 29, 2030002 (2019), arXiv:1905.01230 [astro-ph.CO].
  • [74] S. Pi and M. Sasaki, JCAP 09, 037 (2020), arXiv:2005.12306 [gr-qc].
  • [75] S. Pi, M. Sasaki, V. Takhistov, and J. Wang, JCAP 09, 045 (2025), arXiv:2501.00295 [astro-ph.CO].
  • [76] D. B. Owen, Communications in Statistics - Simulation and Computation 9, 389 (1980).
  • [77] C. Pattison, V. Vennin, H. Assadullahi, and D. Wands, JCAP 10, 046 (2017), arXiv:1707.00537 [hep-th].
  • [78] G. Franciolini, A. Kehagias, S. Matarrese, and A. Riotto, JCAP 03, 016 (2018), arXiv:1801.09415 [astro-ph.CO].
  • [79] J. M. Ezquiaga, J. Garcı́a-Bellido, and V. Vennin, JCAP 03, 029 (2020), arXiv:1912.05399 [astro-ph.CO].
  • [80] K. Ando and V. Vennin, JCAP 04, 057 (2021), arXiv:2012.02031 [astro-ph.CO].
  • [81] D. G. Figueroa, S. Raatikainen, S. Rasanen, and E. Tomberg, Phys. Rev. Lett. 127, 101302 (2021), arXiv:2012.06551 [astro-ph.CO].
  • [82] Y. Tada and V. Vennin, JCAP 02, 021 (2022), arXiv:2111.15280 [astro-ph.CO].
  • [83] N. Kitajima, Y. Tada, S. Yokoyama, and C.-M. Yoo, JCAP 10, 053 (2021), arXiv:2109.00791 [astro-ph.CO].
  • [84] S. Hooshangi, M. H. Namjoo, and M. Noorbala, Phys. Lett. B 834, 137400 (2022), arXiv:2112.04520 [astro-ph.CO].
  • [85] M. Biagetti, V. De Luca, G. Franciolini, A. Kehagias, and A. Riotto, Phys. Lett. B 820, 136602 (2021), arXiv:2105.07810 [astro-ph.CO].
  • [86] A. D. Gow, H. Assadullahi, J. H. P. Jackson, K. Koyama, V. Vennin, and D. Wands, EPL 142, 49001 (2023), arXiv:2211.08348 [astro-ph.CO].
  • [87] S. Raatikainen, S. Räsänen, and E. Tomberg, Phys. Rev. Lett. 133, 121403 (2024), arXiv:2312.12911 [astro-ph.CO].
  • [88] H. Firouzjahi and A. Riotto, Phys. Rev. D 108, 123504 (2023), arXiv:2309.10536 [astro-ph.CO].
  • [89] C. Animali and V. Vennin, JCAP 08, 026 (2024), arXiv:2402.08642 [astro-ph.CO].
  • [90] V. Vennin and D. Wands, “Quantum Diffusion and Large Primordial Perturbations from Inflation,” (2025) arXiv:2402.12672 [astro-ph.CO].
  • [91] J. H. P. Jackson, H. Assadullahi, A. D. Gow, K. Koyama, V. Vennin, and D. Wands, JCAP 04, 073 (2025), arXiv:2410.13683 [astro-ph.CO].
  • [92] A. Ianniccari, A. J. Iovino, A. Kehagias, D. Perrone, and A. Riotto, Phys. Rev. D 109, 123549 (2024), arXiv:2402.11033 [astro-ph.CO].
  • [93] C. Animali, P. Auclair, B. Blachier, and V. Vennin, JCAP 05, 019 (2025), arXiv:2501.05371 [astro-ph.CO].
  • [94] P. Auclair, “FOREST: FOrtran Recursive Exploration of Stochastic Trees,” (2025).
  • [95] S. Choudhury, Int. J. Mod. Phys. D 34, 2544023 (2025), arXiv:2503.17635 [gr-qc].