The Science of the Einstein Telescope

Author(s)

Abac, Adrian, Abramo, Raul, Albanesi, Simone, Albertini, Angelica, Agapito, Alessandro, Agathos, Michalis, Albertus, Conrado, Andersson, Nils, Andrade, Tomás, Andreoni, Igor, Angeloni, Federico, Antonelli, Marco, Antoniadis, John, Antonini, Fabio, Sedda, Manuel Arca, Artale, M. Celeste, Ascenzi, Stefano, Auclair, Pierre, Bachetti, Matteo, Badger, Charles, Banerjee, Biswajit, Barba-González, David, Barta, Dániel, Bartolo, Nicola, Bauswein, Andreas, Begnoni, Andrea, Beirnaert, Freija, Bejger, Michal, Belgacem, Enis, Bellomo, Nicola, Bernard, Laura, Bernardini, Maria Grazia, Bernuzzi, Sebastiano, Berry, Christopher P.L., Berti, Emanuele, Bertone, Gianfranco, Bettoni, Dario, Bezares, Miguel, Bhagwat, Swetha, Bisero, Sofia, Bizouard, Marie Anne, Blanco-Pillado, Jose J., Blasi, Simone, Bonino, Alice, Borghese, Alice, Borghi, Nicola, Borhanian, Ssohrab, Bortolas, Elisa, Botticella, Maria Teresa, Branchesi, Marica, Breschi, Matteo, Brito, Richard, Brocato, Enzo, Broekgaarden, Floor S., Bulik, Tomasz, Buonanno, Alessandra, Burgio, Fiorella, Burrows, Adam, Calcagni, Gianluca, Canevarolo, Sofia, Cappellaro, Enrico, Capurri, Giulia, Carbone, Carmelita, Casadio, Roberto, Cayuso, Ramiro, Cerdá-Durán, Pablo, Char, Prasanta, Chaty, Sylvain, Chiarusi, Tommaso, Chruslinska, Martyna, Cireddu, Francesco, Cole, Philippa, Colombo, Alberto, Colpi, Monica, Compère, Geoffrey, Contaldi, Carlo, Corman, Maxence, Crescimbeni, Francesco, Cristallo, Sergio, Cuoco, Elena, Cusin, Giulia, Dal Canton, Tito, Dálya, Gergely, D'Avanzo, Paolo, Davari, Nazanin, De Luca, Valerio, De Renzis, Viola, Della Valle, Massimo, Del Pozzo, Walter, De Santi, Federico, De Santis, Alessio Ludovico, Dietrich, Tim, Dimastrogiovanni, Ema, Domenech, Guillem, Doneva, Daniela, Drago, Marco, Dupletsa, Ulyana, Duval, Hannah, Dvorkin, Irina, Elias-Rosa, Nancy, Fairhurst, Stephen, Fantina, Anthea F., Fasiello, Matteo, Fays, Maxime, Fender, Rob, Fischer, Tobias, Foucart, François, Fragos, Tassos, Foffa, Stefano, Franciolini, Gabriele, Fumagalli, Jacopo, Gair, Jonathan, Gamba, Rossella, Garcia-Bellido, Juan, García-Quirós, Cecilio, Gergely, László Árpád, Ghirlanda, Giancarlo, Ghosh, Archisman, Giacomazzo, Bruno, Gittins, Fabian, Giudice, Ines Francesca, Goncharov, Boris, Gonzalez, Alejandra, Goriély, Stéphane, Graziani, Luca, Greco, Giuseppe, Gualtieri, Leonardo, Guidi, Gianluca Maria, Gupta, Ish, Haney, Maria, Hannam, Mark, Harms, Jan, Harutyunyan, Arus, Haskell, Brynmor, Haungs, Andreas, Hazra, Nandini, Hemming, Gary, Heng, Ik Siong, Hinderer, Tanja, van der Horst, Alexander, Hu, Qian, Husa, Sascha, Iacovelli, Francesco, Illuminati, Giulia, Inguglia, Gianluca, Villalba, David Izquierdo, Janquart, Justin, Janssens, Kamiel, Jenkins, Alexander C., Jones, Ian, Kacskovics, Balázs, Klessen, Ralf S., Kokkotas, Kostas, Kuan, Hao-Jui, Kumar, Sumit, Kuroyanagi, Sachiko, Laghi, Danny, Lamberts, Astrid, Lambiase, Gaetano, Larrouturou, François, Leaci, Paola, Lenzi, Michele, Levan, Andrew, Li, T.G.F., Li, Yufeng, Liang, Dicong, Limongi, Marco, Liu, Boyuan, Llanes-Estrada, Felipe J., Loffredo, Eleonora, Long, Oliver, Lope-Oter, Eva, Lukes-Gerakopoulos, Georgios, Maggio, Elisa, Maggiore, Michele, Mancarella, Michele, Mapelli, Michela, Marchant, Pablo, Margiotta, Annarita, Mariotti, Alberto, Marriott-Best, Alisha, Marsat, Sylvain, Martínez-Pinedo, Gabriel, Maselli, Andrea, Mastrogiovanni, Simone, Matos, Isabela, Melandri, Andrea, Mendes, Raissa F.P., de Souza, Josiel Mendonça Soares, Mentasti, Giorgio, Mezcua, Mar, Mösta, Philipp, Mondal, Chiranjib, Moresco, Michele, Mukherjee, Tista, Muttoni, Niccolò, Nagar, Alessandro, Narola, Harsh, Nava, Lara, Navarro Moreno, Pablo, Nelemans, Gijs, Nielsen, Alex B., Nissanke, Samaya, Obergaulinger, Martin, Oertel, Micaela, Oganesyan, Gor, Onori, Francesca, Pacilio, Costantino, Pagliaroli, Giulia, Palomba, Cristiano, Pang, Peter T.H., Pani, Paolo, Papalini, Lucia, Patricelli, Barbara, Patruno, Alessandro, Pedrotti, Alessandro, Perego, Albino, Pérez-García, Maria Angeles, Périgois, Carole, Perna, Gabriele, Péroux, Celine, Perret, J., Perrodin, Delphine, Pesci, Alessandro, Pfeiffer, Harald P., Piccinni, Ornella Juliana, Pieroni, Mauro, Piranomonte, Silvia, Pompili, Lorenzo, Porter, E.K., Porto, Rafael A., Pound, Adam, Powell, Jade, Puech, Mathieu, Pratten, Geraint, Puecher, Anna, Pujolas, Oriol, Quartin, Miguel, Raduta, Adriana R., Ramos-Buades, Antoni, Rase, Aäron, Razzano, Massimiliano, Rea, Nanda, Regimbau, Tania, Renzini, Arianna, Rettegno, Piero, Ricciardone, Angelo, Riotto, Antonio, Romero-Rodriguez, Alba, Ronchini, Samuele, Rosinska, Dorota, Rossi, Andrea, Roy, Soumen, Rubiera-Garcia, Diego, Rubio, J., Ruiz-Lapuente, Pilar, Sagun, Violetta, Sakellariadou, Mairi, Salafia, Om Sharan, Samajdar, Anuradha, Sanchis-Gual, Nicolas, Sanna, Andrea, Santoliquido, Filippo, Sathyaprakash, Bangalore, Schmidt, Patricia, Schmidt, Stefano, Schneider, Fabian R.N., Schneider, Raffaella, Sedrakian, Armen, Servant, Géraldine, Sevrin, Alexander, Shao, Lijing, Silva, Hector O., Simakachorn, Peera, Smartt, Stephen, Sotiriou, Thomas P., Spera, Mario, Stamerra, Antonio, Steer, Danièle A., Steinhoff, Jan, Stergioulas, Nikolaos, Sturani, Riccardo, Suárez, Duvier, Suresh, Jishnu, Swain, Shaun, Tagliazucchi, Matteo, Tamanini, Nicola, Tasinato, Gianmassimo, Tauris, Thomas M., Tissino, Jacopo, Tomaselli, Giovanni Maria, Toonen, Silvia, Torres-Forné, Alejandro, Turski, Cezary, Ugolini, Cristiano, Vagenas, Elias C., Valbusa Dall Armi, Lorenzo, Valenti, Elena, Valiante, Rosa, Van Den Broeck, Chris, van de Meent, Maarten, van Son, Lieke A.C., Vanvlasselaer, Miguel, Vaglio, Massimo, Varma, Vijay, Veitch, John, Vaskonen, Ville, Vergani, Susanna D., Wils, Milan, Witek, Helvi, Wong, Isaac C.F., Yazadjiev, Stoytcho, Yim, Garvin, Acernese, Fausto, Ahn, Hojae, Allocca, Annalisa, Amato, Alex, Andrés-Carcasona, Marc, Avallone, Guerino, Bachlechner, Markus, Baer, Patrick, Bagnasco, Stefano, Balbi, Gabriele, Barone, Fabrizio, Benedetti, Eugenio, Benning, Charlotte, Bini, Simone, Blázquez Salcedo, José Luis, Bozza, Valerio, Bruno, Matteo, Butz, Timo, Califano, Matteo, Calloni, Enrico, Carapella, Giovanni, Cardini, Alessandro, Subrahmanya, Shreevathsa Chalathadka, Chiadini, Francesco, Chiummo, Antonino, Cianetti, Spina, Ciani, Giacomo, Coccia, Eugenio, Contu, Andrea, Cornelissen, Robin, Cozzumbo, Andrea, Croney, Lewis, Crosta, Mariateresa, D'Agostino, Rocco, Danilishin, Stefan, D'Antonio, Sabrina, De Bolle, Jorden, Degallaix, Jérôme, De Laurentis, Mariafelicia, della Monica, Riccardo, De Marco, Francesco, de Martino, Ivan, De Rosa, Rosario, De Salvo, Riccardo, De Simone, Roberta, Detavernier, Christophe, Diaferia, Giovanni, Di Cesare, Martina, Di Fiore, Luciano, Di Giovanni, Matteo, Di Pace, Sibilla, Docherty, Jennifer, D'Urso, Domenico, Mecherfi, Oussama El, Errico, Luciano, Fabrizi, Federica, Fafone, Viviana, Fanti, Viviana, Fittipaldi, Rosalba, Fiumara, Vincenzo, Freise, Andreas, Funk, Stefan, Gaedtke, Mika, Garufi, Fabio, Gerberding, Oliver, Giangrandi, Edoardo, Giunchi, Carlo, Graham, Victoria, Granata, Massimo, Granata, Veronica, Green, Anna, Haughian, Karen, Heisenberg, Lavinia, Hennig, Margot, Hild, Stefan, Hoang, Van Long, Holland, Nathan, Iannone, Gerardo, Isleif, Katharina-Sophie, Joppe, Robert, Kim, Chang-Hee, Kim, Chunglee, Kim, Kyungmin, Korb, Erika, Korobko, Mikhail, Kranzhoff, Luise, Kuhlbusch, Tim, Lacaille, Gregoire, Lartaux-Vollard, Angélique, Lavezzi, Lia, Laycock, Paul, Lee, Sumi, Lee, Sumin, Lee, Sungho, Losurdo, Giovanni, Lucchesi, Leonardo, Lück, Harald, Macquet, Adrian, Majorana, Ettore, Mangano, Valentina, Martelli, Filippo, Martin, Iain, Martinez, Mario, Masoni, Alberto, Massaro, Luca, Melini, Daniele, Mercurio, Amata, Mereni, Lorenzo, Miller, Andrew L., Mirasola, Lorenzo, Mitchell, Alexandra, Molinari, Irene, Montani, Matteo, Mow-Lowry, Conor, Murgia, Riccardo, Murray, Peter Gordon, Muscas, Giuseppe, Naticchioni, Luca, Nela, Ardiana, Nery, Marina, Niggemann, Tom, Nippe, Niklas, Novak, Jerome, Numic, Armin, Olivieri, Marco, Orsini, Marco, Park, June Gyu, Pascucci, Daniela, Perreca, Antonio, Piergiovanni, Francesco, Pierro, Vincenzo, Pinard, Laurent, Pinto, Innocenzo, Punturo, Michele, Puppo, Paola, Quochi, Francesco, Rading, Reinhardt Omondi, Rapagnani, Piero, Ricci, Marco, Rodrigues, Davi, Romano, Rocco, Rozza, Davide, Saffarieh, Pooya, Santucci, Federica, Schramm, Steven, Schwab, Benjamin, Sequino, Valeria, Neto, Liam Shelling, Silenzi, Laura, Sintes, Alicia M., Sopuerta, Carlos F., Spencer, Andrew, Stahl, Achim, Steinlechner, Jessica, Steinlechner, Sebastian, Szabó, Róbert, Thümmler, Thomas, Tofani, Emanuele, Torniamenti, Stefano, Travaglini, Riccardo, Trozzo, Lucia, Vaccaro, M. Paola, Valentini, Michele, Ván, Peter, van Dongen, Jesse, van Heijningen, Joris, van Ranst, Zeb, Vardaro, Marco, Verdier, Patrice, Vernieri, Daniele, Wagner, Nico, Woehler, Janis, Wolf, Joachim, Zavattini, Guido, Zink, Adrian, Zmija, Andreas

Abstract

Einstein Telescope (ET) is the European project for a gravitational-wave (GW) observatory of third-generation. In this paper we present a comprehensive discussion of its science objectives, providing state-of-the-art predictions for the capabilities of ET in both geometries currently under consideration, a single-site triangular configuration or two L-shaped detectors. We discuss the impact that ET will have on domains as broad and diverse as fundamental physics, cosmology, early Universe, astrophysics of compact objects, physics of matter in extreme conditions, and dynamics of stellar collapse. We discuss how the study of extreme astrophysical events will be enhanced by multi-messenger observations. We highlight the ET synergies with ground-based and space-borne GW observatories, including multi-band investigations of the same sources, improved parameter estimation, and complementary information on astrophysical or cosmological mechanisms obtained combining observations from different frequency bands. We present advancements in waveform modeling dedicated to third-generation observatories, along with open tools developed within the ET Collaboration for assessing the scientific potentials of different detector configurations. We finally discuss the data analysis challenges posed by third-generation observatories, which will enable access to large populations of sources and provide unprecedented precision.

Figures

90\% upper bounds on the beyond-GR parameters $\delta\hat{\varphi}_n$ and $\delta\hat{\varphi}^{(l)}_n$ in the inspiral phase of GW150914, from $-1{\rm PN}$ to 3.5PN order. Red triangles represent bounds from Advanced LIGO observations~\cite{LIGOScientific:2019fpa}, while blue triangles show bounds from simulated GW150914-like signals injected into synthetic noise for a single triangular ET.
Caption 90\% upper bounds on the beyond-GR parameters $\delta\hat{\varphi}_n$ and $\delta\hat{\varphi}^{(l)}_n$ in the inspiral phase of GW150914, from $-1{\rm PN}$ to 3.5PN order. Red triangles represent bounds from Advanced LIGO observations~\cite{LIGOScientific:2019fpa}, while blue triangles show bounds from simulated GW150914-like signals injected into synthetic noise for a single triangular ET.
An illustration of strongly lensed GWs used to disentangle polarization states with a single triangular ET. Apart from the tensor polarizations we consider the two vector polarizations, $x$ and $y$, and the longitudinal scalar polarization $l$. Posteriors are shown for the amplitudes of the vector polarizations relative to the $+$ and $\times$ amplitudes, which are denoted $A_x$ and $A_y$, and similarly for the scalar polarization, where the relative amplitude is denoted $A_l$. Green indicates lensing, blue unlensed; solid lines show true values. Without lensing, posteriors are uninformative, while lensing enables individual polarization studies.
Caption An illustration of strongly lensed GWs used to disentangle polarization states with a single triangular ET. Apart from the tensor polarizations we consider the two vector polarizations, $x$ and $y$, and the longitudinal scalar polarization $l$. Posteriors are shown for the amplitudes of the vector polarizations relative to the $+$ and $\times$ amplitudes, which are denoted $A_x$ and $A_y$, and similarly for the scalar polarization, where the relative amplitude is denoted $A_l$. Green indicates lensing, blue unlensed; solid lines show true values. Without lensing, posteriors are uninformative, while lensing enables individual polarization studies.
90\% confidence interval for the graviton mass, $A_0 = m_g^2$, as a function of luminosity distance for three GW injection sets. Triangles represent analyses with HLV, crosses and circles with a triangular ET; for the circles, luminosity distance was increased to match SNRs of LVK. The results demonstrate that ET improves bounds on $A_0$ both due to increased SNR for close-by events, and its ability to access events at larger distances despite their lower SNR.
Caption 90\% confidence interval for the graviton mass, $A_0 = m_g^2$, as a function of luminosity distance for three GW injection sets. Triangles represent analyses with HLV, crosses and circles with a triangular ET; for the circles, luminosity distance was increased to match SNRs of LVK. The results demonstrate that ET improves bounds on $A_0$ both due to increased SNR for close-by events, and its ability to access events at larger distances despite their lower SNR.
 : Displacement memory detection
Caption : Displacement memory detection
 : Spin memory detection
Caption : Spin memory detection
 : Parameter estimation
Caption : Parameter estimation
GWs from the coalescence of equal-mass NSs in a scalar-tensor theory compared to GR. Upper panel: Plus polarization along the axis perpendicular to the orbital plane. Lower panel: GW frequency vs.\ retarded time. Simulations assume a binary total mass $m = 2.7M_\odot$ and the AH4 EoS, with $B$ denoting the scalar-Ricci coupling strength. Credits~\cite{Shibata:2013pra}.
Caption GWs from the coalescence of equal-mass NSs in a scalar-tensor theory compared to GR. Upper panel: Plus polarization along the axis perpendicular to the orbital plane. Lower panel: GW frequency vs.\ retarded time. Simulations assume a binary total mass $m = 2.7M_\odot$ and the AH4 EoS, with $B$ denoting the scalar-Ricci coupling strength. Credits~\cite{Shibata:2013pra}.
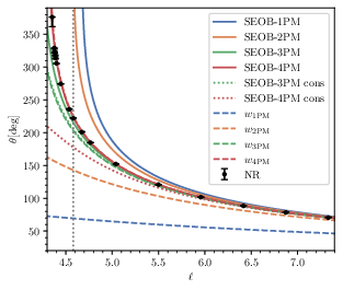
Comparison of the scattering angle in various PM approximations vs numerical simulations. See~\cite{Buonanno:2024vkx} for details.
Caption Comparison of the scattering angle in various PM approximations vs numerical simulations. See~\cite{Buonanno:2024vkx} for details.
68\% constraints on $\delta k_s$, quantifying deviations from the Kerr quadrupole moment, as a function of binary total mass ($d_L=400\,{\rm Mpc}$). We assume mass ratio $q=3$, aligned spins $\chi_1=0.9$ and $\chi_2=0.8$, and inclination $\iota=\pi/3$. Blue/green triangles represent LIGO O5 and ET constraints (Fisher analysis); empty squares show Bayesian inference results. We show results for both a $10-{\rm km}$ triangular configuration and a $15-{\rm km}$ 2L configuration of the ET observatory.
Caption 68\% constraints on $\delta k_s$, quantifying deviations from the Kerr quadrupole moment, as a function of binary total mass ($d_L=400\,{\rm Mpc}$). We assume mass ratio $q=3$, aligned spins $\chi_1=0.9$ and $\chi_2=0.8$, and inclination $\iota=\pi/3$. Blue/green triangles represent LIGO O5 and ET constraints (Fisher analysis); empty squares show Bayesian inference results. We show results for both a $10-{\rm km}$ triangular configuration and a $15-{\rm km}$ 2L configuration of the ET observatory.
Same as in figure~\ref{fig:quadrupole_ETvsO5} but for the tidal deformability parameter $\Lambda$ as a function of the total mass of the binary ($d_L=400\,{\rm Mpc}$). In this case we assume mass ratio $q=3$, zero spins, and inclination $\iota=\pi/3$. We show results for both a $10-{\rm km}$ triangular configuration and a $15-{\rm km}$ 2L configuration of the ET observatory.
Caption Same as in figure~\ref{fig:quadrupole_ETvsO5} but for the tidal deformability parameter $\Lambda$ as a function of the total mass of the binary ($d_L=400\,{\rm Mpc}$). In this case we assume mass ratio $q=3$, zero spins, and inclination $\iota=\pi/3$. We show results for both a $10-{\rm km}$ triangular configuration and a $15-{\rm km}$ 2L configuration of the ET observatory.
Posterior distributions for the effective spin parameter $\chi_{\rm eff} = (m_1\chi_1 + m_2\chi_2)/(m_1 + m_2)$ and $M_B\equiv \sqrt{\lambda}/\mu^2$, with $(\mu,\lambda)$ the boson's mass and self-interaction coupling, from a mock boson-star binary signal with ET (left) and LVK O4 (right) at $d_L=400\,{\rm Mpc}$. The binary has chirp mass $\mathcal{M}=8M_\odot$, mass ratio $q=0.6$, and component (aligned) spins $(\chi_1,\chi_2)=(0.2,0.1)$. The inspiral cutoff frequency is fixed at the Roche frequency $f_{\text{RO}}=120\,{\rm Hz}$, corresponding to the binary tidal disruption.
Caption Posterior distributions for the effective spin parameter $\chi_{\rm eff} = (m_1\chi_1 + m_2\chi_2)/(m_1 + m_2)$ and $M_B\equiv \sqrt{\lambda}/\mu^2$, with $(\mu,\lambda)$ the boson's mass and self-interaction coupling, from a mock boson-star binary signal with ET (left) and LVK O4 (right) at $d_L=400\,{\rm Mpc}$. The binary has chirp mass $\mathcal{M}=8M_\odot$, mass ratio $q=0.6$, and component (aligned) spins $(\chi_1,\chi_2)=(0.2,0.1)$. The inspiral cutoff frequency is fixed at the Roche frequency $f_{\text{RO}}=120\,{\rm Hz}$, corresponding to the binary tidal disruption.
Posterior distributions for the effective spin parameter $\chi_{\rm eff} = (m_1\chi_1 + m_2\chi_2)/(m_1 + m_2)$ and $M_B\equiv \sqrt{\lambda}/\mu^2$, with $(\mu,\lambda)$ the boson's mass and self-interaction coupling, from a mock boson-star binary signal with ET (left) and LVK O4 (right) at $d_L=400\,{\rm Mpc}$. The binary has chirp mass $\mathcal{M}=8M_\odot$, mass ratio $q=0.6$, and component (aligned) spins $(\chi_1,\chi_2)=(0.2,0.1)$. The inspiral cutoff frequency is fixed at the Roche frequency $f_{\text{RO}}=120\,{\rm Hz}$, corresponding to the binary tidal disruption.
Caption Posterior distributions for the effective spin parameter $\chi_{\rm eff} = (m_1\chi_1 + m_2\chi_2)/(m_1 + m_2)$ and $M_B\equiv \sqrt{\lambda}/\mu^2$, with $(\mu,\lambda)$ the boson's mass and self-interaction coupling, from a mock boson-star binary signal with ET (left) and LVK O4 (right) at $d_L=400\,{\rm Mpc}$. The binary has chirp mass $\mathcal{M}=8M_\odot$, mass ratio $q=0.6$, and component (aligned) spins $(\chi_1,\chi_2)=(0.2,0.1)$. The inspiral cutoff frequency is fixed at the Roche frequency $f_{\text{RO}}=120\,{\rm Hz}$, corresponding to the binary tidal disruption.
Left: Inverse cumulative distribution of ringdown SNRs $\rho_{\rm RD}$ for different detector configurations. The shaded band corresponds to signals with $\rho_{\rm RD}<12$. From ref.~\cite{Bhagwat:2023jwv}. Right: Forecasts for measuring the amplitude and phase of a secondary ($lmn=330$) ringdown mode in a GW190521-like event detected by ET, compared with current uncertainties and with the GR prediction. Extended from~\cite{Forteza:2022tgq}.
Caption Left: Inverse cumulative distribution of ringdown SNRs $\rho_{\rm RD}$ for different detector configurations. The shaded band corresponds to signals with $\rho_{\rm RD}<12$. From ref.~\cite{Bhagwat:2023jwv}. Right: Forecasts for measuring the amplitude and phase of a secondary ($lmn=330$) ringdown mode in a GW190521-like event detected by ET, compared with current uncertainties and with the GR prediction. Extended from~\cite{Forteza:2022tgq}.
Left: Inverse cumulative distribution of ringdown SNRs $\rho_{\rm RD}$ for different detector configurations. The shaded band corresponds to signals with $\rho_{\rm RD}<12$. From ref.~\cite{Bhagwat:2023jwv}. Right: Forecasts for measuring the amplitude and phase of a secondary ($lmn=330$) ringdown mode in a GW190521-like event detected by ET, compared with current uncertainties and with the GR prediction. Extended from~\cite{Forteza:2022tgq}.
Caption Left: Inverse cumulative distribution of ringdown SNRs $\rho_{\rm RD}$ for different detector configurations. The shaded band corresponds to signals with $\rho_{\rm RD}<12$. From ref.~\cite{Bhagwat:2023jwv}. Right: Forecasts for measuring the amplitude and phase of a secondary ($lmn=330$) ringdown mode in a GW190521-like event detected by ET, compared with current uncertainties and with the GR prediction. Extended from~\cite{Forteza:2022tgq}.
BH spectroscopy with a GW150915-like event using LVKI or ET. \textit{Left:} bounds on the frequencies $f_{lmn}$ and damping times $\tau_{lmn}$. \textit{Right:} bounds on the excitation amplitudes $\mathcal{A}_{lmn}$~\cite{Gossan:2011ha,Kamaretsos:2012bs} and phases $\phi_{lmn}$.
Caption BH spectroscopy with a GW150915-like event using LVKI or ET. \textit{Left:} bounds on the frequencies $f_{lmn}$ and damping times $\tau_{lmn}$. \textit{Right:} bounds on the excitation amplitudes $\mathcal{A}_{lmn}$~\cite{Gossan:2011ha,Kamaretsos:2012bs} and phases $\phi_{lmn}$.
BH spectroscopy with a GW150915-like event using LVKI or ET. \textit{Left:} bounds on the frequencies $f_{lmn}$ and damping times $\tau_{lmn}$. \textit{Right:} bounds on the excitation amplitudes $\mathcal{A}_{lmn}$~\cite{Gossan:2011ha,Kamaretsos:2012bs} and phases $\phi_{lmn}$.
Caption BH spectroscopy with a GW150915-like event using LVKI or ET. \textit{Left:} bounds on the frequencies $f_{lmn}$ and damping times $\tau_{lmn}$. \textit{Right:} bounds on the excitation amplitudes $\mathcal{A}_{lmn}$~\cite{Gossan:2011ha,Kamaretsos:2012bs} and phases $\phi_{lmn}$.
Posteriors of the final mass, spin, and amplitudes/phases of the 220 and 330 modes, and of the 330 GR deviations ($\delta f_{330}$ and $\delta \tau_{330}$) for a GW150914-like remnant, detected with ET in the standard 10-km triangular configuration. Here, $A_R$ is the relative mode amplitude. The 2D distributions show 68\% and 90\% credible levels, while the dashed lines in the 1D distributions mark the 90\% credible intervals. Black lines indicate the injected values.
Caption Posteriors of the final mass, spin, and amplitudes/phases of the 220 and 330 modes, and of the 330 GR deviations ($\delta f_{330}$ and $\delta \tau_{330}$) for a GW150914-like remnant, detected with ET in the standard 10-km triangular configuration. Here, $A_R$ is the relative mode amplitude. The 2D distributions show 68\% and 90\% credible levels, while the dashed lines in the 1D distributions mark the 90\% credible intervals. Black lines indicate the injected values.
Fractional percentage errors on the reflectivity of compact objects for a GW150914-like event~\cite{Branchesi:2023mws}.
Caption Fractional percentage errors on the reflectivity of compact objects for a GW150914-like event~\cite{Branchesi:2023mws}.
Mass-radius diagram (left) and dimensionless tidal deformability (${\Lambda}$) and mass diagram (right) of a NS with a DM core. Stars containing fermionic DM (green lines) are labeled by the particle mass $\mu$ (in GeV). The ones with bosonic DM (red lines) are labeled by $\rho_0 \hbar^3$ (in $10^{-4}\,{\rm GeV}^4$). Reproduced from~\cite{Leung:2022wcf} with license from the American Physical Society.
Caption Mass-radius diagram (left) and dimensionless tidal deformability (${\Lambda}$) and mass diagram (right) of a NS with a DM core. Stars containing fermionic DM (green lines) are labeled by the particle mass $\mu$ (in GeV). The ones with bosonic DM (red lines) are labeled by $\rho_0 \hbar^3$ (in $10^{-4}\,{\rm GeV}^4$). Reproduced from~\cite{Leung:2022wcf} with license from the American Physical Society.
Mass-radius diagram (left) and dimensionless tidal deformability (${\Lambda}$) and mass diagram (right) of a NS with a DM core. Stars containing fermionic DM (green lines) are labeled by the particle mass $\mu$ (in GeV). The ones with bosonic DM (red lines) are labeled by $\rho_0 \hbar^3$ (in $10^{-4}\,{\rm GeV}^4$). Reproduced from~\cite{Leung:2022wcf} with license from the American Physical Society.
Caption Mass-radius diagram (left) and dimensionless tidal deformability (${\Lambda}$) and mass diagram (right) of a NS with a DM core. Stars containing fermionic DM (green lines) are labeled by the particle mass $\mu$ (in GeV). The ones with bosonic DM (red lines) are labeled by $\rho_0 \hbar^3$ (in $10^{-4}\,{\rm GeV}^4$). Reproduced from~\cite{Leung:2022wcf} with license from the American Physical Society.
Predicted constraint on dark photon/baryon $U(1)_B$ coupling from ET-D (blue continuous), compared to LIGO O3 upper limit (black continuous) and current MICROSCOPE (dotted)~\cite{Berge:2017ovy} and E\"ot-Wash torsion balance experiment~\cite{Schlamminger:2007ht} (dashed) limits. Adapted from~\cite{LIGOScientific:2021ffg}.
Caption Predicted constraint on dark photon/baryon $U(1)_B$ coupling from ET-D (blue continuous), compared to LIGO O3 upper limit (black continuous) and current MICROSCOPE (dotted)~\cite{Berge:2017ovy} and E\"ot-Wash torsion balance experiment~\cite{Schlamminger:2007ht} (dashed) limits. Adapted from~\cite{LIGOScientific:2021ffg}.
Maximum detectable luminosity distances for optimal scalar clouds around BHs with initial mass $M_i$ and dimensionless spin parameter $\chi_i$ for ET, assuming one year of observation and ET in the triangle configuration (results for the 2L configuration are almost indistinguishable). White contour lines indicate the values of the corresponding boson rest-energy in units of ${\rm eV}$. The dotted white lines highlight the mass and spin of a GW150914-like merger remnant. Adapted from ref.~\cite{Isi:2018pzk} and obtained using the python package gwaxion~\cite{gwaxion}. We are indebted to Max Isi for providing the code.
Caption Maximum detectable luminosity distances for optimal scalar clouds around BHs with initial mass $M_i$ and dimensionless spin parameter $\chi_i$ for ET, assuming one year of observation and ET in the triangle configuration (results for the 2L configuration are almost indistinguishable). White contour lines indicate the values of the corresponding boson rest-energy in units of ${\rm eV}$. The dotted white lines highlight the mass and spin of a GW150914-like merger remnant. Adapted from ref.~\cite{Isi:2018pzk} and obtained using the python package gwaxion~\cite{gwaxion}. We are indebted to Max Isi for providing the code.
ET exclusion regions for scalar boson clouds assuming a BH distance of 15 kpc, an initial spin $\chi_i=0.6$ and three different BH ages of $10^4,~10^7$ and $10^9$ years.
Caption ET exclusion regions for scalar boson clouds assuming a BH distance of 15 kpc, an initial spin $\chi_i=0.6$ and three different BH ages of $10^4,~10^7$ and $10^9$ years.
Resonance frequency of the (main) Bohr transition [see \eq{bohr_resonances}], as a function of the BH mass, $M_{\rm BH}$, and~$\alpha$. See ref.~\cite{Baumann:2019ztm}.
Caption Resonance frequency of the (main) Bohr transition [see \eq{bohr_resonances}], as a function of the BH mass, $M_{\rm BH}$, and~$\alpha$. See ref.~\cite{Baumann:2019ztm}.
Left panel: relative percentage error on the scalar field mass $m_b$ for a BH binary system with mass ratio $m_2/m_1 = 1/2$, detected by ET at $d_L = 1 \, {\rm Gpc}$. Bars show the values of the innermost stable compact orbit (ISCO) and Roche frequencies. We fix the scalar cloud mass to the upper bound $M_\text{\tiny cloud} = 0.1 m_i$ for both objects ($i=1,2$).  Right panel: maximum luminosity distance for which the scalar field mass can be constrained by ET with a relative percentage accuracy of $10\%$ (magenta) and $50\%$ (yellow), assuming $\alpha_1=0.2$. See ref.~\cite{DeLuca:2022xlz}.
Caption Left panel: relative percentage error on the scalar field mass $m_b$ for a BH binary system with mass ratio $m_2/m_1 = 1/2$, detected by ET at $d_L = 1 \, {\rm Gpc}$. Bars show the values of the innermost stable compact orbit (ISCO) and Roche frequencies. We fix the scalar cloud mass to the upper bound $M_\text{\tiny cloud} = 0.1 m_i$ for both objects ($i=1,2$). Right panel: maximum luminosity distance for which the scalar field mass can be constrained by ET with a relative percentage accuracy of $10\%$ (magenta) and $50\%$ (yellow), assuming $\alpha_1=0.2$. See ref.~\cite{DeLuca:2022xlz}.
Left panel: relative percentage error on the scalar field mass $m_b$ for a BH binary system with mass ratio $m_2/m_1 = 1/2$, detected by ET at $d_L = 1 \, {\rm Gpc}$. Bars show the values of the innermost stable compact orbit (ISCO) and Roche frequencies. We fix the scalar cloud mass to the upper bound $M_\text{\tiny cloud} = 0.1 m_i$ for both objects ($i=1,2$).  Right panel: maximum luminosity distance for which the scalar field mass can be constrained by ET with a relative percentage accuracy of $10\%$ (magenta) and $50\%$ (yellow), assuming $\alpha_1=0.2$. See ref.~\cite{DeLuca:2022xlz}.
Caption Left panel: relative percentage error on the scalar field mass $m_b$ for a BH binary system with mass ratio $m_2/m_1 = 1/2$, detected by ET at $d_L = 1 \, {\rm Gpc}$. Bars show the values of the innermost stable compact orbit (ISCO) and Roche frequencies. We fix the scalar cloud mass to the upper bound $M_\text{\tiny cloud} = 0.1 m_i$ for both objects ($i=1,2$). Right panel: maximum luminosity distance for which the scalar field mass can be constrained by ET with a relative percentage accuracy of $10\%$ (magenta) and $50\%$ (yellow), assuming $\alpha_1=0.2$. See ref.~\cite{DeLuca:2022xlz}.
Left: plot of the cumulative SNR of the anisotropies as a function of the SNR of the monopole for ET (triangular) + CE ($40\, \rm km$) for five years of observation. The dashed lines represent the LVK upper bounds on the amplitude of the monopole for the three mechanisms considered (inflation, PT and SIGW). Right: plot of the monopole of the intensity (solid blue), circular polarization (solid orange) of the AGWB, and of the PLS of the intensity and circular polarization (dashed blue and orange respectively) for ET+CE in one year of observation.
Caption Left: plot of the cumulative SNR of the anisotropies as a function of the SNR of the monopole for ET (triangular) + CE ($40\, \rm km$) for five years of observation. The dashed lines represent the LVK upper bounds on the amplitude of the monopole for the three mechanisms considered (inflation, PT and SIGW). Right: plot of the monopole of the intensity (solid blue), circular polarization (solid orange) of the AGWB, and of the PLS of the intensity and circular polarization (dashed blue and orange respectively) for ET+CE in one year of observation.
Left: plot of the cumulative SNR of the anisotropies as a function of the SNR of the monopole for ET (triangular) + CE ($40\, \rm km$) for five years of observation. The dashed lines represent the LVK upper bounds on the amplitude of the monopole for the three mechanisms considered (inflation, PT and SIGW). Right: plot of the monopole of the intensity (solid blue), circular polarization (solid orange) of the AGWB, and of the PLS of the intensity and circular polarization (dashed blue and orange respectively) for ET+CE in one year of observation.
Caption Left: plot of the cumulative SNR of the anisotropies as a function of the SNR of the monopole for ET (triangular) + CE ($40\, \rm km$) for five years of observation. The dashed lines represent the LVK upper bounds on the amplitude of the monopole for the three mechanisms considered (inflation, PT and SIGW). Right: plot of the monopole of the intensity (solid blue), circular polarization (solid orange) of the AGWB, and of the PLS of the intensity and circular polarization (dashed blue and orange respectively) for ET+CE in one year of observation.
Left: plot of the intrinsic, shot noise and kinetic contributions to the dipole of the AGWB as a function of the frequency. Right: plot of the SNR of the kinetic dipole of the AGWB, obtained with the multi-frequency analysis of the anisotropies, and of the intrinsic and kinetic anisotropies of the AGWB, in cross-correlation with the galaxy survey SKAO2, as a function of the amplitude of the monopole of the AGWB. Here a network with the triangular ET configuration plus CE with the two interferometers (of 20km and 40km) placed in Hanford and Livingston for 5 yrs has been considered.
Caption Left: plot of the intrinsic, shot noise and kinetic contributions to the dipole of the AGWB as a function of the frequency. Right: plot of the SNR of the kinetic dipole of the AGWB, obtained with the multi-frequency analysis of the anisotropies, and of the intrinsic and kinetic anisotropies of the AGWB, in cross-correlation with the galaxy survey SKAO2, as a function of the amplitude of the monopole of the AGWB. Here a network with the triangular ET configuration plus CE with the two interferometers (of 20km and 40km) placed in Hanford and Livingston for 5 yrs has been considered.
Left: plot of the intrinsic, shot noise and kinetic contributions to the dipole of the AGWB as a function of the frequency. Right: plot of the SNR of the kinetic dipole of the AGWB, obtained with the multi-frequency analysis of the anisotropies, and of the intrinsic and kinetic anisotropies of the AGWB, in cross-correlation with the galaxy survey SKAO2, as a function of the amplitude of the monopole of the AGWB. Here a network with the triangular ET configuration plus CE with the two interferometers (of 20km and 40km) placed in Hanford and Livingston for 5 yrs has been considered.
Caption Left: plot of the intrinsic, shot noise and kinetic contributions to the dipole of the AGWB as a function of the frequency. Right: plot of the SNR of the kinetic dipole of the AGWB, obtained with the multi-frequency analysis of the anisotropies, and of the intrinsic and kinetic anisotropies of the AGWB, in cross-correlation with the galaxy survey SKAO2, as a function of the amplitude of the monopole of the AGWB. Here a network with the triangular ET configuration plus CE with the two interferometers (of 20km and 40km) placed in Hanford and Livingston for 5 yrs has been considered.
Standard and parity-violating overlap reduction functions plotted over ground-based detector frequency range. When assuming a triangular configuration for ET,  we plot the result for a pair of ET detectors (out of the three composing the triangle), and for  one ET detector  (out of the three composing the triangle)  and a Cosmic Explorer (CE), with CE taken  either in the current Hanford site or in the current Livingston sites. When assuming the 2L configuration for ET,  we plot the result for this pair of L-shaped detectors. The triangular ET design is assumed in Virgo location. We denote the triangular pairing with $i$, $j$ as all pairings produce the same overlap reduction functions.
Caption Standard and parity-violating overlap reduction functions plotted over ground-based detector frequency range. When assuming a triangular configuration for ET, we plot the result for a pair of ET detectors (out of the three composing the triangle), and for one ET detector (out of the three composing the triangle) and a Cosmic Explorer (CE), with CE taken either in the current Hanford site or in the current Livingston sites. When assuming the 2L configuration for ET, we plot the result for this pair of L-shaped detectors. The triangular ET design is assumed in Virgo location. We denote the triangular pairing with $i$, $j$ as all pairings produce the same overlap reduction functions.
The projected impact from correlated NN from body-waves on the search for an isotropic GWB. We present budget based on observed seimic correlations from four different seismic sites. Note that many parameters, such as depth, horizontal separation, etc., vary for the different sites; see~\cite{Janssens:2024jln} for an in-depth discussion. Figure  from \cite{Janssens:2024jln}.
Caption The projected impact from correlated NN from body-waves on the search for an isotropic GWB. We present budget based on observed seimic correlations from four different seismic sites. Note that many parameters, such as depth, horizontal separation, etc., vary for the different sites; see~\cite{Janssens:2024jln} for an in-depth discussion. Figure from \cite{Janssens:2024jln}.
Corner plot of the posterior distributions for the log-amplitude and tilt of the GWB, $\{ \log_{10}A_{\rm GW}, n_{\rm GW}\}$ for the correlation coefficient and tilt of the noise, $\{r, n_{\rm noise} \}$, when the injected signal has $\log_{10}A_{\rm GW}=-9$ and $n_{\rm GW}=2/3$, while the injected noise has $r^{\rm inj}=0.2$, $n_{\rm noise}=-8$. The shaded areas represent the 1-, 2-, and 3-$\sigma$ credible regions. The orange lines indicate the injected values for the four parameters. Figure from \cite{Caporali:2025mum}.
Caption Corner plot of the posterior distributions for the log-amplitude and tilt of the GWB, $\{ \log_{10}A_{\rm GW}, n_{\rm GW}\}$ for the correlation coefficient and tilt of the noise, $\{r, n_{\rm noise} \}$, when the injected signal has $\log_{10}A_{\rm GW}=-9$ and $n_{\rm GW}=2/3$, while the injected noise has $r^{\rm inj}=0.2$, $n_{\rm noise}=-8$. The shaded areas represent the 1-, 2-, and 3-$\sigma$ credible regions. The orange lines indicate the injected values for the four parameters. Figure from \cite{Caporali:2025mum}.
As in figure~\ref{fig:corner_triangular} when the injected signal has $\log_{10}A_{\rm GW}=-11$ and $n_{\rm GW}=0$, while the injected noise has $r^{\rm inj}=0.2$, $n_{\rm noise}=-8$.
Caption As in figure~\ref{fig:corner_triangular} when the injected signal has $\log_{10}A_{\rm GW}=-11$ and $n_{\rm GW}=0$, while the injected noise has $r^{\rm inj}=0.2$, $n_{\rm noise}=-8$.
Spectrum of the single-field slow-roll inflation as a function of frequency, together with the PLS of LISA and ET in two different configurations. The solid, dashed, dot-dashed standard inflation curves are computed by adopting $r(k_{\star}) = 0.1$, $r(k_{\star}) = 0.01$ and $r(k_{\star}) = 0.001$, respectively.
Caption Spectrum of the single-field slow-roll inflation as a function of frequency, together with the PLS of LISA and ET in two different configurations. The solid, dashed, dot-dashed standard inflation curves are computed by adopting $r(k_{\star}) = 0.1$, $r(k_{\star}) = 0.01$ and $r(k_{\star}) = 0.001$, respectively.
The GW density $\Omega_{\rm GW}$ obtained in the case of a spectator axion superimposed with the sensitivity curves of GW detectors, including ET. The blue (red) dashed line corresponds to the strongly (weakly) amplified polarization. The continuous black line gives the total signal.
Caption The GW density $\Omega_{\rm GW}$ obtained in the case of a spectator axion superimposed with the sensitivity curves of GW detectors, including ET. The blue (red) dashed line corresponds to the strongly (weakly) amplified polarization. The continuous black line gives the total signal.
Backreaction and SNR prospects as a function of the gauge coupling constant $g$ and the velocity parameter $\xi(f) = \xi_{\rm{const}}$ for two values of the coupling constant, $\lambda /f = 30/M_{\rm Pl}$. The Hubble rate on the CMB scale is assumed to be $H_{\rm{CMB}} = 2.1 \times 10^{-5}$ $M_{\rm Pl}$. The brown and red lines are the SNR contours calculated assuming 1 year of observation with the design LVK and ET + 2 CE network sensitivities, respectively. The blue and green bands represent $|\kappa -1|\leq 0.25$ and $0.1$, where we expect that the PBH overproduction bound could be relaxed in the strong backreaction regime. The light purple region represents the slow-roll parameter satisfying $\epsilon_H \leq 1$, where inflation is still ongoing. Yellow and orange regions correspond to the parameter space where the primordial curvature spectrum stays below the PBH upper limit assuming Gaussian ($\mathcal{P}_{\mathcal{R}} \leq 10^{-2}$) and $\chi^2$ ($\mathcal{P}_{\mathcal{R}} \leq 10^{-4}$) statistics. Additionally, we shade the Abelian regime in magenta (below the black dotted line) and the strong backreaction regime in gray (upper region of the $|\kappa -1|$ band), in both of which the estimation of the SNR is not reliable.
Caption Backreaction and SNR prospects as a function of the gauge coupling constant $g$ and the velocity parameter $\xi(f) = \xi_{\rm{const}}$ for two values of the coupling constant, $\lambda /f = 30/M_{\rm Pl}$. The Hubble rate on the CMB scale is assumed to be $H_{\rm{CMB}} = 2.1 \times 10^{-5}$ $M_{\rm Pl}$. The brown and red lines are the SNR contours calculated assuming 1 year of observation with the design LVK and ET + 2 CE network sensitivities, respectively. The blue and green bands represent $|\kappa -1|\leq 0.25$ and $0.1$, where we expect that the PBH overproduction bound could be relaxed in the strong backreaction regime. The light purple region represents the slow-roll parameter satisfying $\epsilon_H \leq 1$, where inflation is still ongoing. Yellow and orange regions correspond to the parameter space where the primordial curvature spectrum stays below the PBH upper limit assuming Gaussian ($\mathcal{P}_{\mathcal{R}} \leq 10^{-2}$) and $\chi^2$ ($\mathcal{P}_{\mathcal{R}} \leq 10^{-4}$) statistics. Additionally, we shade the Abelian regime in magenta (below the black dotted line) and the strong backreaction regime in gray (upper region of the $|\kappa -1|$ band), in both of which the estimation of the SNR is not reliable.
Posterior distributions from Bayesian inference assuming a piecewise, toy model potential, with inflaton velocity $\xi_{\rm CMB}$ before pivot frequency $f_0$, and velocity $\xi_0$ after. This search is done assuming $\chi^2$ statistics. The shaded regions correspond to the $95 \%$ CL. The different colors used are: blue for ET and orange for a network consisting of ET+2CE. The red cross and line correspond to the injected values.
Caption Posterior distributions from Bayesian inference assuming a piecewise, toy model potential, with inflaton velocity $\xi_{\rm CMB}$ before pivot frequency $f_0$, and velocity $\xi_0$ after. This search is done assuming $\chi^2$ statistics. The shaded regions correspond to the $95 \%$ CL. The different colors used are: blue for ET and orange for a network consisting of ET+2CE. The red cross and line correspond to the injected values.
GWB predicted by pre-big-bang cosmology, compared with the PLS of the considered ET configurations. Here we assume an observation time of one year and $\text{SNR} = 1$. The shaded green area is the range of the GWB allowed by a set of consistency conditions on the parameter space of the model \cite{Ben-Dayan:2024aec}. The GWB spectral shape is computed assuming $z_s=5\times 10^6$, $z_d=10^3$, $z_\sigma=2.2$ (``PBB 1'' curve, broken power law within the ET sensitivity window) and $z_s=10^8$, $z_d=10^3$, $z_\sigma=2.2$ (``PBB 2'' curve, almost flat plateau within the ET sensitivity window). Here $z_s=\eta_s/\eta_1$, $z_d=\eta_d/\eta_1$ and $z_\sigma=\eta_\sigma/\eta_1$ are ratios of conformal-time scales marking four different regimes: de Sitter evolution for $-\eta_s<\eta<-\eta_1$, radiation domination for $-\eta_1<\eta<\eta_\sigma$, matter domination for $\eta_\sigma<\eta<\eta_d$ and another radiation-domination phase for $\eta>\eta_d$.
Caption GWB predicted by pre-big-bang cosmology, compared with the PLS of the considered ET configurations. Here we assume an observation time of one year and $\text{SNR} = 1$. The shaded green area is the range of the GWB allowed by a set of consistency conditions on the parameter space of the model \cite{Ben-Dayan:2024aec}. The GWB spectral shape is computed assuming $z_s=5\times 10^6$, $z_d=10^3$, $z_\sigma=2.2$ (``PBB 1'' curve, broken power law within the ET sensitivity window) and $z_s=10^8$, $z_d=10^3$, $z_\sigma=2.2$ (``PBB 2'' curve, almost flat plateau within the ET sensitivity window). Here $z_s=\eta_s/\eta_1$, $z_d=\eta_d/\eta_1$ and $z_\sigma=\eta_\sigma/\eta_1$ are ratios of conformal-time scales marking four different regimes: de Sitter evolution for $-\eta_s<\eta<-\eta_1$, radiation domination for $-\eta_1<\eta<\eta_\sigma$, matter domination for $\eta_\sigma<\eta<\eta_d$ and another radiation-domination phase for $\eta>\eta_d$.
GW spectra from sound waves produced by first-order FOPTs at temperature $T_{\rm reh}$ \cite{Caprini:2019egz}, with the wall velocity that gives the maximal energy transfer to sound waves~\cite{Espinosa:2010hh, Gouttenoire:2022gwi}. The black curves are the power-law integrated sensitivities of ET assuming a triangular xylophone configuration with 10km arms and the 1 and 10 years observation time with ${\rm SNR}=1$.
Caption GW spectra from sound waves produced by first-order FOPTs at temperature $T_{\rm reh}$ \cite{Caprini:2019egz}, with the wall velocity that gives the maximal energy transfer to sound waves~\cite{Espinosa:2010hh, Gouttenoire:2022gwi}. The black curves are the power-law integrated sensitivities of ET assuming a triangular xylophone configuration with 10km arms and the 1 and 10 years observation time with ${\rm SNR}=1$.
Regions of FOPT parameter spaces that can be probed by ET assuming triangular xylophone configuration with 10km arms for two values of $\beta/H$ (left) and $T_{\rm reh}$ (right), assuming GW from sound waves \cite{Caprini:2019egz} shown in figure~\ref{fig:pt_spectrum}. The darker regions can be probed with ET at SNR $\geq 1$ and 1 year of observation time, while the lighter regions require 10 years.
Caption Regions of FOPT parameter spaces that can be probed by ET assuming triangular xylophone configuration with 10km arms for two values of $\beta/H$ (left) and $T_{\rm reh}$ (right), assuming GW from sound waves \cite{Caprini:2019egz} shown in figure~\ref{fig:pt_spectrum}. The darker regions can be probed with ET at SNR $\geq 1$ and 1 year of observation time, while the lighter regions require 10 years.
Regions of FOPT parameter spaces that can be probed by ET assuming triangular xylophone configuration with 10km arms for two values of $\beta/H$ (left) and $T_{\rm reh}$ (right), assuming GW from sound waves \cite{Caprini:2019egz} shown in figure~\ref{fig:pt_spectrum}. The darker regions can be probed with ET at SNR $\geq 1$ and 1 year of observation time, while the lighter regions require 10 years.
Caption Regions of FOPT parameter spaces that can be probed by ET assuming triangular xylophone configuration with 10km arms for two values of $\beta/H$ (left) and $T_{\rm reh}$ (right), assuming GW from sound waves \cite{Caprini:2019egz} shown in figure~\ref{fig:pt_spectrum}. The darker regions can be probed with ET at SNR $\geq 1$ and 1 year of observation time, while the lighter regions require 10 years.
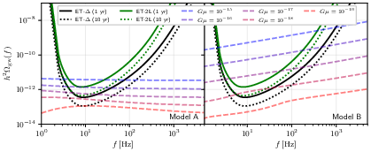
Forecast power-law-integrated GWB sensitivity of ET, compared with signals from local Nambu-Goto strings of various tensions $G\mu$. We consider both the triangular configuration for ET with 10~km arms, and the 2L configuration with 15~km arms, misaligned as in \cite{Branchesi:2023mws}; the solid black curves corresponds to one year of observations, while the dotted black curve corresponds to 10 years. The left and right panels show the predictions for models A~\cite{Blanco-Pillado:2013qja} and B~\cite{Lorenz:2010sm} of the loop network, respectively. Both models predict that, in the triangle configuration, ET will be sensitive to $G\mu\gtrsim10^{-18}$ after one year of observations with SNR $\geq 1$.
Caption Forecast power-law-integrated GWB sensitivity of ET, compared with signals from local Nambu-Goto strings of various tensions $G\mu$. We consider both the triangular configuration for ET with 10~km arms, and the 2L configuration with 15~km arms, misaligned as in \cite{Branchesi:2023mws}; the solid black curves corresponds to one year of observations, while the dotted black curve corresponds to 10 years. The left and right panels show the predictions for models A~\cite{Blanco-Pillado:2013qja} and B~\cite{Lorenz:2010sm} of the loop network, respectively. Both models predict that, in the triangle configuration, ET will be sensitive to $G\mu\gtrsim10^{-18}$ after one year of observations with SNR $\geq 1$.
Spectra of GWB from global strings formed at energy scale $\eta$ are shown in solid colored lines. The black lines are the same ET-triangle sensitivity curves as shown in figure~\ref{fig:cs_stochastic_forecasts}. We used the  semi-analytic calculation in~\cite{Gouttenoire:2019kij}; see also~\cite{Chang:2019mza,Chang:2021afa}.
Caption Spectra of GWB from global strings formed at energy scale $\eta$ are shown in solid colored lines. The black lines are the same ET-triangle sensitivity curves as shown in figure~\ref{fig:cs_stochastic_forecasts}. We used the semi-analytic calculation in~\cite{Gouttenoire:2019kij}; see also~\cite{Chang:2019mza,Chang:2021afa}.
Expected rate of detected bursts in Einstein Telescope as a function of the string tension for models A and B. In case ET does not detect bursts from cosmic string cusps, the orange hatched region is excluded after 4 years of observations and the blue hatched region is excluded after 8 years.
Caption Expected rate of detected bursts in Einstein Telescope as a function of the string tension for models A and B. In case ET does not detect bursts from cosmic string cusps, the orange hatched region is excluded after 4 years of observations and the blue hatched region is excluded after 8 years.
Left: $(\alpha_\text{ann}, T_\text{ann})$ parameter space which can be probed by ET, assuming a triangular xylophone configuration with 10km arms (orange), a 2L misaligned configuration with 15km arms (blue), both for an observation time of $T = 1$ year and $\text{SNR} = 1$. For comparison, we show the sensitivity region of LVK A+ (purple) with $T = 1$ year and $\text{SNR} = 1$. Contours of $h^2 \Omega_\text{peak}$ and $f_\text{peak}$ are shown by black and brown dashed lines respectively. Right: bias vs. tension parameter space with similar sensitivity regions as on the left plot. Brown dashed lines indicate the size of the bias. The gray region corresponds to a forbidden DW dominated Universe, for which $\alpha_\text{ann} \geq 1$.
Caption Left: $(\alpha_\text{ann}, T_\text{ann})$ parameter space which can be probed by ET, assuming a triangular xylophone configuration with 10km arms (orange), a 2L misaligned configuration with 15km arms (blue), both for an observation time of $T = 1$ year and $\text{SNR} = 1$. For comparison, we show the sensitivity region of LVK A+ (purple) with $T = 1$ year and $\text{SNR} = 1$. Contours of $h^2 \Omega_\text{peak}$ and $f_\text{peak}$ are shown by black and brown dashed lines respectively. Right: bias vs. tension parameter space with similar sensitivity regions as on the left plot. Brown dashed lines indicate the size of the bias. The gray region corresponds to a forbidden DW dominated Universe, for which $\alpha_\text{ann} \geq 1$.
Left: $(\alpha_\text{ann}, T_\text{ann})$ parameter space which can be probed by ET, assuming a triangular xylophone configuration with 10km arms (orange), a 2L misaligned configuration with 15km arms (blue), both for an observation time of $T = 1$ year and $\text{SNR} = 1$. For comparison, we show the sensitivity region of LVK A+ (purple) with $T = 1$ year and $\text{SNR} = 1$. Contours of $h^2 \Omega_\text{peak}$ and $f_\text{peak}$ are shown by black and brown dashed lines respectively. Right: bias vs. tension parameter space with similar sensitivity regions as on the left plot. Brown dashed lines indicate the size of the bias. The gray region corresponds to a forbidden DW dominated Universe, for which $\alpha_\text{ann} \geq 1$.
Caption Left: $(\alpha_\text{ann}, T_\text{ann})$ parameter space which can be probed by ET, assuming a triangular xylophone configuration with 10km arms (orange), a 2L misaligned configuration with 15km arms (blue), both for an observation time of $T = 1$ year and $\text{SNR} = 1$. For comparison, we show the sensitivity region of LVK A+ (purple) with $T = 1$ year and $\text{SNR} = 1$. Contours of $h^2 \Omega_\text{peak}$ and $f_\text{peak}$ are shown by black and brown dashed lines respectively. Right: bias vs. tension parameter space with similar sensitivity regions as on the left plot. Brown dashed lines indicate the size of the bias. The gray region corresponds to a forbidden DW dominated Universe, for which $\alpha_\text{ann} \geq 1$.
Upper bound on the amplitude of the curvature power spectrum at small scales $A$ as a function of the wavenumber $k_*$ in case of null detection of a SIGW. The green and blue regions at the top show, respectively, the exclusions from PBH constraints and from BBN/CMB constraint on the number of relativistic degrees of freedom. In red the bound from LVK is shown for comparison.
Caption Upper bound on the amplitude of the curvature power spectrum at small scales $A$ as a function of the wavenumber $k_*$ in case of null detection of a SIGW. The green and blue regions at the top show, respectively, the exclusions from PBH constraints and from BBN/CMB constraint on the number of relativistic degrees of freedom. In red the bound from LVK is shown for comparison.
Lower bound on the inverse time duration of the phase transition $\beta/H_*$ as a function of the temperature $T_{\rm reh}$ right after the phase transition in case of null detection of a SIGW. The green and blue regions at the bottom show the exclusions from PBH constraints and from BBN/CMB constraint on the number of relativistic degrees of freedom.
Caption Lower bound on the inverse time duration of the phase transition $\beta/H_*$ as a function of the temperature $T_{\rm reh}$ right after the phase transition in case of null detection of a SIGW. The green and blue regions at the bottom show the exclusions from PBH constraints and from BBN/CMB constraint on the number of relativistic degrees of freedom.
Constraints from PBH overproduction as a function of temperature $T_\text{GW}$ and DW abundance at the peak of GW emission (adapted from \cite{Ferreira:2024eru}). Superimposed, the detectable  regions with ET and LKV design as well as the exclusion from LVK O3 data. The shaded region above the solid line is excluded from the PBHs formed at $t_\text{PBH}$ or later. The dash-dotted and dotted lines refer to sub-Hubble PBHs, for representative values of $\alpha_c$, giving a reasonable sense of current systematic uncertainties. The vertical dashed lines indicate the asteroid mass range (assuming $\alpha_c=1$).
Caption Constraints from PBH overproduction as a function of temperature $T_\text{GW}$ and DW abundance at the peak of GW emission (adapted from \cite{Ferreira:2024eru}). Superimposed, the detectable regions with ET and LKV design as well as the exclusion from LVK O3 data. The shaded region above the solid line is excluded from the PBHs formed at $t_\text{PBH}$ or later. The dash-dotted and dotted lines refer to sub-Hubble PBHs, for representative values of $\alpha_c$, giving a reasonable sense of current systematic uncertainties. The vertical dashed lines indicate the asteroid mass range (assuming $\alpha_c=1$).
$h^2\Omega_\text{GW}(f)$ for the amplification of vacuum fluctuations in standard single-field slow-roll inflation. The gray dashed lines corresponds to the result in GR+$\Lambda$CDM, assuming a tensor-to-scalar ratio $r=0.07$ and a scale-invariant primordial tensor spectrum, $n_T=0$. The colored lines show the result obtained with the modified cosmological discussed in the text, for fixed $f_{*}\simeq 2.5\times10^{-6}$~Hz, and $A_*=1$ (blue dashed lines), $A_*=10$ (green dot-dashed lines), $A_*=100$ (red dotted lines), and $\nu=0$ (left panels), $\nu=1$ (right panels). The colored regions refer to the BBN constraint and the projected sensitivities of various GW observatories.
Caption $h^2\Omega_\text{GW}(f)$ for the amplification of vacuum fluctuations in standard single-field slow-roll inflation. The gray dashed lines corresponds to the result in GR+$\Lambda$CDM, assuming a tensor-to-scalar ratio $r=0.07$ and a scale-invariant primordial tensor spectrum, $n_T=0$. The colored lines show the result obtained with the modified cosmological discussed in the text, for fixed $f_{*}\simeq 2.5\times10^{-6}$~Hz, and $A_*=1$ (blue dashed lines), $A_*=10$ (green dot-dashed lines), $A_*=100$ (red dotted lines), and $\nu=0$ (left panels), $\nu=1$ (right panels). The colored regions refer to the BBN constraint and the projected sensitivities of various GW observatories.
$h^2\Omega_\text{GW}(f)$ for the amplification of vacuum fluctuations in standard single-field slow-roll inflation. The gray dashed lines corresponds to the result in GR+$\Lambda$CDM, assuming a tensor-to-scalar ratio $r=0.07$ and a scale-invariant primordial tensor spectrum, $n_T=0$. The colored lines show the result obtained with the modified cosmological discussed in the text, for fixed $f_{*}\simeq 2.5\times10^{-6}$~Hz, and $A_*=1$ (blue dashed lines), $A_*=10$ (green dot-dashed lines), $A_*=100$ (red dotted lines), and $\nu=0$ (left panels), $\nu=1$ (right panels). The colored regions refer to the BBN constraint and the projected sensitivities of various GW observatories.
Caption $h^2\Omega_\text{GW}(f)$ for the amplification of vacuum fluctuations in standard single-field slow-roll inflation. The gray dashed lines corresponds to the result in GR+$\Lambda$CDM, assuming a tensor-to-scalar ratio $r=0.07$ and a scale-invariant primordial tensor spectrum, $n_T=0$. The colored lines show the result obtained with the modified cosmological discussed in the text, for fixed $f_{*}\simeq 2.5\times10^{-6}$~Hz, and $A_*=1$ (blue dashed lines), $A_*=10$ (green dot-dashed lines), $A_*=100$ (red dotted lines), and $\nu=0$ (left panels), $\nu=1$ (right panels). The colored regions refer to the BBN constraint and the projected sensitivities of various GW observatories.
(left) Inflationary spectra induced by the intermediate matter-kination era are shown as colored lines, while the prediction from standard $\Lambda$CDM cosmology is the black line. Following the period of matter domination, the intermediate kination era starts at energy scale $E_{\rm KD}$ and lasts for $N_{\rm KD}$ e-folds of the scale-factor expansion. We assume the scale invariant tensor perturbation with inflationary energy scale $E_{\rm inf} \simeq 1.6 \times 10^{16}$ GeV. The sensitivity curves of ET assume respectively 1 and 10 years of observation with SNR $=1$, and the LISA sensitivity comes from \cite{Flauger:2020qyi}. (right) Effect of an intermediate matter era---lasting for $N_{\rm MD}$ efolds and ending at temperature $T_{\rm dec}$---on the prediction for $h^2\Omega_{\rm GW}(f) $ from local cosmic strings, shown by the blue lines \cite{Gouttenoire:2019kij,Gouttenoire:2019rtn,Ghoshal:2023sfa}.
Caption (left) Inflationary spectra induced by the intermediate matter-kination era are shown as colored lines, while the prediction from standard $\Lambda$CDM cosmology is the black line. Following the period of matter domination, the intermediate kination era starts at energy scale $E_{\rm KD}$ and lasts for $N_{\rm KD}$ e-folds of the scale-factor expansion. We assume the scale invariant tensor perturbation with inflationary energy scale $E_{\rm inf} \simeq 1.6 \times 10^{16}$ GeV. The sensitivity curves of ET assume respectively 1 and 10 years of observation with SNR $=1$, and the LISA sensitivity comes from \cite{Flauger:2020qyi}. (right) Effect of an intermediate matter era---lasting for $N_{\rm MD}$ efolds and ending at temperature $T_{\rm dec}$---on the prediction for $h^2\Omega_{\rm GW}(f) $ from local cosmic strings, shown by the blue lines \cite{Gouttenoire:2019kij,Gouttenoire:2019rtn,Ghoshal:2023sfa}.
(left) Inflationary spectra induced by the intermediate matter-kination era are shown as colored lines, while the prediction from standard $\Lambda$CDM cosmology is the black line. Following the period of matter domination, the intermediate kination era starts at energy scale $E_{\rm KD}$ and lasts for $N_{\rm KD}$ e-folds of the scale-factor expansion. We assume the scale invariant tensor perturbation with inflationary energy scale $E_{\rm inf} \simeq 1.6 \times 10^{16}$ GeV. The sensitivity curves of ET assume respectively 1 and 10 years of observation with SNR $=1$, and the LISA sensitivity comes from \cite{Flauger:2020qyi}. (right) Effect of an intermediate matter era---lasting for $N_{\rm MD}$ efolds and ending at temperature $T_{\rm dec}$---on the prediction for $h^2\Omega_{\rm GW}(f) $ from local cosmic strings, shown by the blue lines \cite{Gouttenoire:2019kij,Gouttenoire:2019rtn,Ghoshal:2023sfa}.
Caption (left) Inflationary spectra induced by the intermediate matter-kination era are shown as colored lines, while the prediction from standard $\Lambda$CDM cosmology is the black line. Following the period of matter domination, the intermediate kination era starts at energy scale $E_{\rm KD}$ and lasts for $N_{\rm KD}$ e-folds of the scale-factor expansion. We assume the scale invariant tensor perturbation with inflationary energy scale $E_{\rm inf} \simeq 1.6 \times 10^{16}$ GeV. The sensitivity curves of ET assume respectively 1 and 10 years of observation with SNR $=1$, and the LISA sensitivity comes from \cite{Flauger:2020qyi}. (right) Effect of an intermediate matter era---lasting for $N_{\rm MD}$ efolds and ending at temperature $T_{\rm dec}$---on the prediction for $h^2\Omega_{\rm GW}(f) $ from local cosmic strings, shown by the blue lines \cite{Gouttenoire:2019kij,Gouttenoire:2019rtn,Ghoshal:2023sfa}.
The ($f_{\rm RD}, f_{\rm SD}$) parameter regions accessible by ET are shown. The colored regions represent the detectable parameter spaces for three different values of $w$: red for $w=0.6$, orange for $w=0.8$, and yellow for $w=1.0$ (corresponding to kination). The gray regions indicate the parameter space excluded by indirect limits from BBN and CMB, with the darkest gray for $w=0.6$ and the lightest gray for $w=1$. We again assume the scale invariant tensor perturbation with inflationary energy scale $E_{\rm inf} \simeq 1.6 \times 10^{16}$ GeV. The parameter $f_{\rm MD}$ is chosen as a function of $f_{\rm RD}$, $f_{\rm SD}$ and $w$, as described in the text, and we denote the parameter region where $f_{\rm MD} > f_{\rm MD,max}$ with blue lines (dashed for $w=1$, dotted for $w=0.8$ and thick for $w=0.6$). The sensitivity curve of ET assumes 1 year of observation with SNR $=1$. The green area on the left is excluded, since there $f_{\rm RD}< f_{\rm BBN}$, which is not allowed.
Caption The ($f_{\rm RD}, f_{\rm SD}$) parameter regions accessible by ET are shown. The colored regions represent the detectable parameter spaces for three different values of $w$: red for $w=0.6$, orange for $w=0.8$, and yellow for $w=1.0$ (corresponding to kination). The gray regions indicate the parameter space excluded by indirect limits from BBN and CMB, with the darkest gray for $w=0.6$ and the lightest gray for $w=1$. We again assume the scale invariant tensor perturbation with inflationary energy scale $E_{\rm inf} \simeq 1.6 \times 10^{16}$ GeV. The parameter $f_{\rm MD}$ is chosen as a function of $f_{\rm RD}$, $f_{\rm SD}$ and $w$, as described in the text, and we denote the parameter region where $f_{\rm MD} > f_{\rm MD,max}$ with blue lines (dashed for $w=1$, dotted for $w=0.8$ and thick for $w=0.6$). The sensitivity curve of ET assumes 1 year of observation with SNR $=1$. The green area on the left is excluded, since there $f_{\rm RD}< f_{\rm BBN}$, which is not allowed.
Dependence of the expected relative errors $\sigma$ for $l_{\rm max}=2$ (left) and $l_{\rm max}=3$ (right) harmonics. The oscillation amplitude $A_2$ and $A_3$ vary, while the other parameters are fixed as follows. For $l_{\rm max}=2$: $\Omega_0=10^{-11}$, $n_{\rm t}=0$, $\omega=10$, $A_1=0.1$, $\Phi_1=0$. For $l_{\rm max}=3$: $A_2=0.1$, $\Phi_2=0$ and $\Phi_3=0$. The black, orange and purple curves correspond to the oscillation parameters (oscillation amplitude $A_l$ and phase $\Phi_l$) for $l=1$, $l=2$, and $l=3$, respectively. From~\cite{Calcagni:2023vxg}.
Caption Dependence of the expected relative errors $\sigma$ for $l_{\rm max}=2$ (left) and $l_{\rm max}=3$ (right) harmonics. The oscillation amplitude $A_2$ and $A_3$ vary, while the other parameters are fixed as follows. For $l_{\rm max}=2$: $\Omega_0=10^{-11}$, $n_{\rm t}=0$, $\omega=10$, $A_1=0.1$, $\Phi_1=0$. For $l_{\rm max}=3$: $A_2=0.1$, $\Phi_2=0$ and $\Phi_3=0$. The black, orange and purple curves correspond to the oscillation parameters (oscillation amplitude $A_l$ and phase $\Phi_l$) for $l=1$, $l=2$, and $l=3$, respectively. From~\cite{Calcagni:2023vxg}.
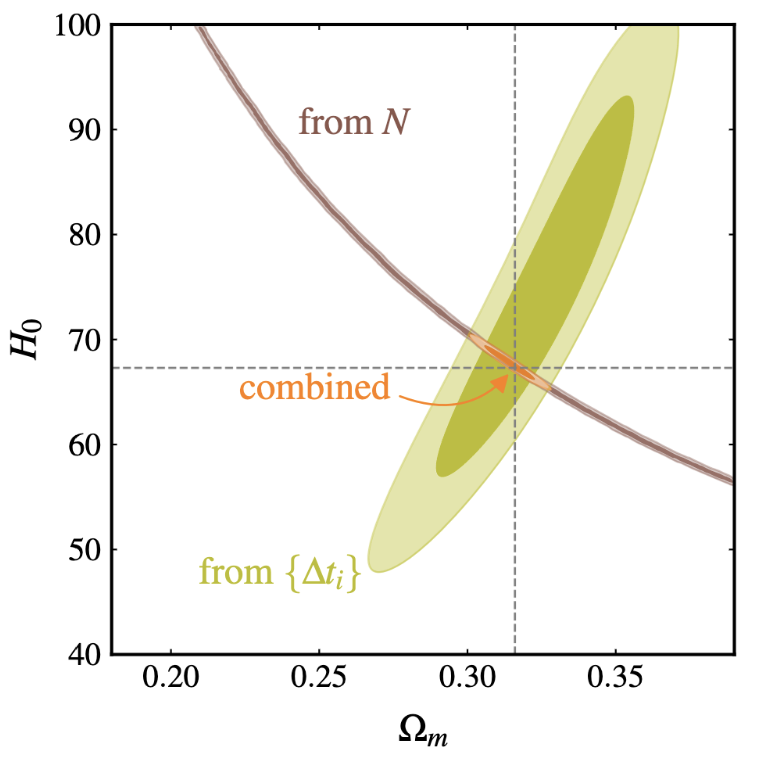
Results of the joint inference on the cosmological parameters $H_0$, $\Omega_{\rm m,0}$, employing GW+KN events detected in one year of observations by the $10$ km triangular (left panel) or the   2L-15km-$45^{\circ}$ (right panel) ET configurations,  with the EM counterpart detected by the Vera Rubin Observatory. Vertical dashed lines represent the $68\%$ CI of each distribution, while the black solid lines label the fiducial values.
Caption Results of the joint inference on the cosmological parameters $H_0$, $\Omega_{\rm m,0}$, employing GW+KN events detected in one year of observations by the $10$ km triangular (left panel) or the 2L-15km-$45^{\circ}$ (right panel) ET configurations, with the EM counterpart detected by the Vera Rubin Observatory. Vertical dashed lines represent the $68\%$ CI of each distribution, while the black solid lines label the fiducial values.
Results of the joint inference on the cosmological parameters $H_0$, $\Omega_{\rm m,0}$, employing GW+KN events detected in one year of observations by the $10$ km triangular (left panel) or the   2L-15km-$45^{\circ}$ (right panel) ET configurations,  with the EM counterpart detected by the Vera Rubin Observatory. Vertical dashed lines represent the $68\%$ CI of each distribution, while the black solid lines label the fiducial values.
Caption Results of the joint inference on the cosmological parameters $H_0$, $\Omega_{\rm m,0}$, employing GW+KN events detected in one year of observations by the $10$ km triangular (left panel) or the 2L-15km-$45^{\circ}$ (right panel) ET configurations, with the EM counterpart detected by the Vera Rubin Observatory. Vertical dashed lines represent the $68\%$ CI of each distribution, while the black solid lines label the fiducial values.
Results of the joint inference on the cosmological parameters $H_0$, $\Omega_{\rm m,0}$ employing GW+GRB events detected in $5$ years of observations by the $10$ km triangular (left panel) or the   2L-15km-$45^{\circ}$ (right panel) ET configurations,  with the EM counterpart detected by THESEUS. Vertical dashed lines represent the $68\%$ CI of each distribution, while the black solid lines label the fiducial values.
Caption Results of the joint inference on the cosmological parameters $H_0$, $\Omega_{\rm m,0}$ employing GW+GRB events detected in $5$ years of observations by the $10$ km triangular (left panel) or the 2L-15km-$45^{\circ}$ (right panel) ET configurations, with the EM counterpart detected by THESEUS. Vertical dashed lines represent the $68\%$ CI of each distribution, while the black solid lines label the fiducial values.
Results of the joint inference on the cosmological parameters $H_0$, $\Omega_{\rm m,0}$ employing GW+GRB events detected in $5$ years of observations by the $10$ km triangular (left panel) or the   2L-15km-$45^{\circ}$ (right panel) ET configurations,  with the EM counterpart detected by THESEUS. Vertical dashed lines represent the $68\%$ CI of each distribution, while the black solid lines label the fiducial values.
Caption Results of the joint inference on the cosmological parameters $H_0$, $\Omega_{\rm m,0}$ employing GW+GRB events detected in $5$ years of observations by the $10$ km triangular (left panel) or the 2L-15km-$45^{\circ}$ (right panel) ET configurations, with the EM counterpart detected by THESEUS. Vertical dashed lines represent the $68\%$ CI of each distribution, while the black solid lines label the fiducial values.
Left panel: Posterior joint distribution on $H_0$ and $\Omega_{\rm m,0}$ obtained by employing BBHs as dark sirens and cross correlating the loudest GW event localization volumes with a  galaxy catalog. The contours, which refer the $68\%$ and $90\%$ confidence level, are shown for two networks of 3G detectors assuming one year of continuous observations. Here ET is in a $10$ km-triangular configuration and CE1 and CE2 correspond to $40$ km  and $20$ km Cosmic Explorer, respectively. Figure  from \cite{Muttoni:2023prw}. Right panel: Dependence of the accuracy on $H_0$ on the GW event localization volume with a photometric (\texttt{photo-z}) or spectroscopic (\texttt{spec-z}) galaxy catalog.
Caption Left panel: Posterior joint distribution on $H_0$ and $\Omega_{\rm m,0}$ obtained by employing BBHs as dark sirens and cross correlating the loudest GW event localization volumes with a galaxy catalog. The contours, which refer the $68\%$ and $90\%$ confidence level, are shown for two networks of 3G detectors assuming one year of continuous observations. Here ET is in a $10$ km-triangular configuration and CE1 and CE2 correspond to $40$ km and $20$ km Cosmic Explorer, respectively. Figure from \cite{Muttoni:2023prw}. Right panel: Dependence of the accuracy on $H_0$ on the GW event localization volume with a photometric (\texttt{photo-z}) or spectroscopic (\texttt{spec-z}) galaxy catalog.
Left panel: Posterior joint distribution on $H_0$ and $\Omega_{\rm m,0}$ obtained by employing BBHs as dark sirens and cross correlating the loudest GW event localization volumes with a  galaxy catalog. The contours, which refer the $68\%$ and $90\%$ confidence level, are shown for two networks of 3G detectors assuming one year of continuous observations. Here ET is in a $10$ km-triangular configuration and CE1 and CE2 correspond to $40$ km  and $20$ km Cosmic Explorer, respectively. Figure  from \cite{Muttoni:2023prw}. Right panel: Dependence of the accuracy on $H_0$ on the GW event localization volume with a photometric (\texttt{photo-z}) or spectroscopic (\texttt{spec-z}) galaxy catalog.
Caption Left panel: Posterior joint distribution on $H_0$ and $\Omega_{\rm m,0}$ obtained by employing BBHs as dark sirens and cross correlating the loudest GW event localization volumes with a galaxy catalog. The contours, which refer the $68\%$ and $90\%$ confidence level, are shown for two networks of 3G detectors assuming one year of continuous observations. Here ET is in a $10$ km-triangular configuration and CE1 and CE2 correspond to $40$ km and $20$ km Cosmic Explorer, respectively. Figure from \cite{Muttoni:2023prw}. Right panel: Dependence of the accuracy on $H_0$ on the GW event localization volume with a photometric (\texttt{photo-z}) or spectroscopic (\texttt{spec-z}) galaxy catalog.
Localization capabilities for BBHs of ET  in its triangular (left panel) and 2L-15km-$45^{\circ}$  (right panel) configurations. The color scale denotes the number of galaxies expected in the $90\%$ localization volume. Events marked with black dots are localized to one galaxy only.
Caption Localization capabilities for BBHs of ET in its triangular (left panel) and 2L-15km-$45^{\circ}$ (right panel) configurations. The color scale denotes the number of galaxies expected in the $90\%$ localization volume. Events marked with black dots are localized to one galaxy only.
Localization capabilities for BBHs of ET  in its triangular (left panel) and 2L-15km-$45^{\circ}$  (right panel) configurations. The color scale denotes the number of galaxies expected in the $90\%$ localization volume. Events marked with black dots are localized to one galaxy only.
Caption Localization capabilities for BBHs of ET in its triangular (left panel) and 2L-15km-$45^{\circ}$ (right panel) configurations. The color scale denotes the number of galaxies expected in the $90\%$ localization volume. Events marked with black dots are localized to one galaxy only.
Number of galaxies inside the localization volume of ET golden BBH events ($\Delta\Omega<2\,\mathrm{deg^2}$) for the triangular (left) and 2L (right) configuration. The color bar represents the 90\% sky localization area. The black line and shaded region indicate the 16th and 84th percentiles, respectively.
Caption Number of galaxies inside the localization volume of ET golden BBH events ($\Delta\Omega<2\,\mathrm{deg^2}$) for the triangular (left) and 2L (right) configuration. The color bar represents the 90\% sky localization area. The black line and shaded region indicate the 16th and 84th percentiles, respectively.
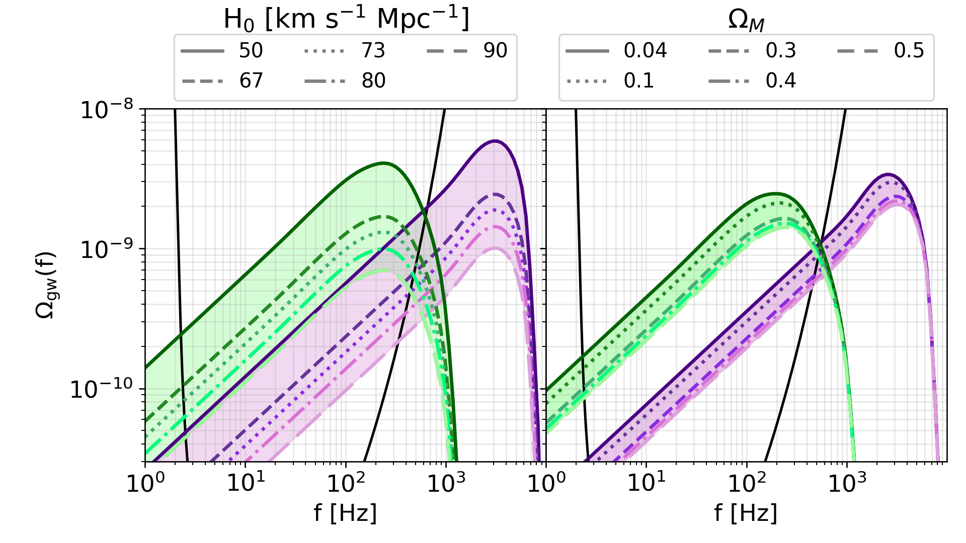
Effect of varying the value of $H_{0}$ and $\Omega_{M}$ on the energy density of the stochastic background from BBHs (green) and BNSs (purple). The astrophysics is fixed to the models described in \cite{Capurri:2021zli,Boco:2020pgp}. The black curve is the PLS of ET for the triangular 10 km configuration \cite{Branchesi:2023mws}.
Caption Effect of varying the value of $H_{0}$ and $\Omega_{M}$ on the energy density of the stochastic background from BBHs (green) and BNSs (purple). The astrophysics is fixed to the models described in \cite{Capurri:2021zli,Boco:2020pgp}. The black curve is the PLS of ET for the triangular 10 km configuration \cite{Branchesi:2023mws}.
The functions $\delta(z)$ (left panel) and $\dgw(z)/\dem(z)$ (right panel), for the non-local gravity model proposed in \cite{Maggiore:2013mea}, for different values of a free parameter of the theory. From ref.~\cite{Belgacem:2020pdz}.
Caption The functions $\delta(z)$ (left panel) and $\dgw(z)/\dem(z)$ (right panel), for the non-local gravity model proposed in \cite{Maggiore:2013mea}, for different values of a free parameter of the theory. From ref.~\cite{Belgacem:2020pdz}.
The functions $\delta(z)$ (left panel) and $\dgw(z)/\dem(z)$ (right panel), for the non-local gravity model proposed in \cite{Maggiore:2013mea}, for different values of a free parameter of the theory. From ref.~\cite{Belgacem:2020pdz}.
Caption The functions $\delta(z)$ (left panel) and $\dgw(z)/\dem(z)$ (right panel), for the non-local gravity model proposed in \cite{Maggiore:2013mea}, for different values of a free parameter of the theory. From ref.~\cite{Belgacem:2020pdz}.
Results of the joint inference on the cosmological parameters $H_0$, $\Omega_{\rm m,0}$, $w_0$, $w_a$, $\Xi_0$ and $n$ employing GW+KN events detected in one year of observations by the $10$ km triangular (left panel) and the 2L-15km-$45^{\circ}$  (right panel) ET configurations, together with the Vera Rubin Observatory. Vertical dashed lines represent the $68\%$ CI of each distribution, while the black solid lines label the fiducial values.
Caption Results of the joint inference on the cosmological parameters $H_0$, $\Omega_{\rm m,0}$, $w_0$, $w_a$, $\Xi_0$ and $n$ employing GW+KN events detected in one year of observations by the $10$ km triangular (left panel) and the 2L-15km-$45^{\circ}$ (right panel) ET configurations, together with the Vera Rubin Observatory. Vertical dashed lines represent the $68\%$ CI of each distribution, while the black solid lines label the fiducial values.
Results of the joint inference on the cosmological parameters $H_0$, $\Omega_{\rm m,0}$, $w_0$, $w_a$, $\Xi_0$ and $n$ employing GW+KN events detected in one year of observations by the $10$ km triangular (left panel) and the 2L-15km-$45^{\circ}$  (right panel) ET configurations, together with the Vera Rubin Observatory. Vertical dashed lines represent the $68\%$ CI of each distribution, while the black solid lines label the fiducial values.
Caption Results of the joint inference on the cosmological parameters $H_0$, $\Omega_{\rm m,0}$, $w_0$, $w_a$, $\Xi_0$ and $n$ employing GW+KN events detected in one year of observations by the $10$ km triangular (left panel) and the 2L-15km-$45^{\circ}$ (right panel) ET configurations, together with the Vera Rubin Observatory. Vertical dashed lines represent the $68\%$ CI of each distribution, while the black solid lines label the fiducial values.
Results of the joint inference on the cosmological parameters $H_0$, $\Omega_{\rm m,0}$, $w_0$, $w_a$, $\Xi_0$ and $n$ employing GW+GRB events detected in $5$ years of observations by the $10$ km triangular (left panel) and the 2L-15km-$45^{\circ}$  (right panel) ET configurations, together with  THESEUS. Vertical dashed lines represent the $68\%$ CI of each distribution, while the black solid lines label the fiducial values.
Caption Results of the joint inference on the cosmological parameters $H_0$, $\Omega_{\rm m,0}$, $w_0$, $w_a$, $\Xi_0$ and $n$ employing GW+GRB events detected in $5$ years of observations by the $10$ km triangular (left panel) and the 2L-15km-$45^{\circ}$ (right panel) ET configurations, together with THESEUS. Vertical dashed lines represent the $68\%$ CI of each distribution, while the black solid lines label the fiducial values.
Results of the joint inference on the cosmological parameters $H_0$, $\Omega_{\rm m,0}$, $w_0$, $w_a$, $\Xi_0$ and $n$ employing GW+GRB events detected in $5$ years of observations by the $10$ km triangular (left panel) and the 2L-15km-$45^{\circ}$  (right panel) ET configurations, together with  THESEUS. Vertical dashed lines represent the $68\%$ CI of each distribution, while the black solid lines label the fiducial values.
Caption Results of the joint inference on the cosmological parameters $H_0$, $\Omega_{\rm m,0}$, $w_0$, $w_a$, $\Xi_0$ and $n$ employing GW+GRB events detected in $5$ years of observations by the $10$ km triangular (left panel) and the 2L-15km-$45^{\circ}$ (right panel) ET configurations, together with THESEUS. Vertical dashed lines represent the $68\%$ CI of each distribution, while the black solid lines label the fiducial values.
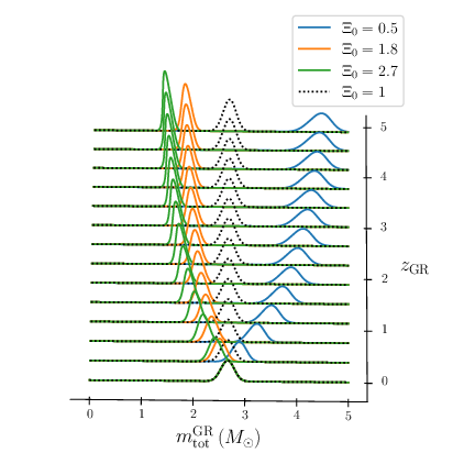
Left: the redshift $z_{\rm true}$ of a source, as a function of the value $z_{\rm GR}$ that would be incorrectly inferred using GR if Nature is described by a modified gravity theory with $\Xi_0\neq 1$, for different values of $\Xi_0$. Right: the effect on the distribution of the total mass of the binary from a `wrong' reconstruction using GR, assuming that the true distribution of the  source-frame total mass of the binary is a (redshift-independent) Gaussian, with mean $2.66 \Msun$ and standard deviation $0.13 \Msun$. Adapted from \cite{Finke:2021eio}.
Caption Left: the redshift $z_{\rm true}$ of a source, as a function of the value $z_{\rm GR}$ that would be incorrectly inferred using GR if Nature is described by a modified gravity theory with $\Xi_0\neq 1$, for different values of $\Xi_0$. Right: the effect on the distribution of the total mass of the binary from a `wrong' reconstruction using GR, assuming that the true distribution of the source-frame total mass of the binary is a (redshift-independent) Gaussian, with mean $2.66 \Msun$ and standard deviation $0.13 \Msun$. Adapted from \cite{Finke:2021eio}.
Left: the redshift $z_{\rm true}$ of a source, as a function of the value $z_{\rm GR}$ that would be incorrectly inferred using GR if Nature is described by a modified gravity theory with $\Xi_0\neq 1$, for different values of $\Xi_0$. Right: the effect on the distribution of the total mass of the binary from a `wrong' reconstruction using GR, assuming that the true distribution of the  source-frame total mass of the binary is a (redshift-independent) Gaussian, with mean $2.66 \Msun$ and standard deviation $0.13 \Msun$. Adapted from \cite{Finke:2021eio}.
Caption Left: the redshift $z_{\rm true}$ of a source, as a function of the value $z_{\rm GR}$ that would be incorrectly inferred using GR if Nature is described by a modified gravity theory with $\Xi_0\neq 1$, for different values of $\Xi_0$. Right: the effect on the distribution of the total mass of the binary from a `wrong' reconstruction using GR, assuming that the true distribution of the source-frame total mass of the binary is a (redshift-independent) Gaussian, with mean $2.66 \Msun$ and standard deviation $0.13 \Msun$. Adapted from \cite{Finke:2021eio}.
Constraints obtained from the statistical method relying on lensed BBH events to constrain the cosmological parameters presented in~\cite{Jana:2022shb}. Left: $H_0$ vs. $\Omega_m$. Right: $w_0$ vs. $\Omega_m$. These results are obtained for a ten year observation period, assuming that a generic network of 3G detectors will have a nominal BBH detection rate of $5\times 10^5\, \mathrm{yr}^{-1}$ upto a typical redshift of $z_\text{max}\sim15$ (exact value dependent on the cosmology and population models), and that their time of arrivals will be measured precisely. The bounds obtained are competitive with other studies, and the BBH signals originate from further away, potentially carrying information from earlier periods in the Universe. Figures adapted from~\cite{Jana:2022shb}.
Caption Constraints obtained from the statistical method relying on lensed BBH events to constrain the cosmological parameters presented in~\cite{Jana:2022shb}. Left: $H_0$ vs. $\Omega_m$. Right: $w_0$ vs. $\Omega_m$. These results are obtained for a ten year observation period, assuming that a generic network of 3G detectors will have a nominal BBH detection rate of $5\times 10^5\, \mathrm{yr}^{-1}$ upto a typical redshift of $z_\text{max}\sim15$ (exact value dependent on the cosmology and population models), and that their time of arrivals will be measured precisely. The bounds obtained are competitive with other studies, and the BBH signals originate from further away, potentially carrying information from earlier periods in the Universe. Figures adapted from~\cite{Jana:2022shb}.
Constraints obtained from the statistical method relying on lensed BBH events to constrain the cosmological parameters presented in~\cite{Jana:2022shb}. Left: $H_0$ vs. $\Omega_m$. Right: $w_0$ vs. $\Omega_m$. These results are obtained for a ten year observation period, assuming that a generic network of 3G detectors will have a nominal BBH detection rate of $5\times 10^5\, \mathrm{yr}^{-1}$ upto a typical redshift of $z_\text{max}\sim15$ (exact value dependent on the cosmology and population models), and that their time of arrivals will be measured precisely. The bounds obtained are competitive with other studies, and the BBH signals originate from further away, potentially carrying information from earlier periods in the Universe. Figures adapted from~\cite{Jana:2022shb}.
Caption Constraints obtained from the statistical method relying on lensed BBH events to constrain the cosmological parameters presented in~\cite{Jana:2022shb}. Left: $H_0$ vs. $\Omega_m$. Right: $w_0$ vs. $\Omega_m$. These results are obtained for a ten year observation period, assuming that a generic network of 3G detectors will have a nominal BBH detection rate of $5\times 10^5\, \mathrm{yr}^{-1}$ upto a typical redshift of $z_\text{max}\sim15$ (exact value dependent on the cosmology and population models), and that their time of arrivals will be measured precisely. The bounds obtained are competitive with other studies, and the BBH signals originate from further away, potentially carrying information from earlier periods in the Universe. Figures adapted from~\cite{Jana:2022shb}.
Marginalised constraints combining ET KN and galaxies for $z\le0.5$, separated according to the method used. Purple: only DESI BGS galaxies; Red: DESI+KN velocities ($3\times 2$pt); Green: DESI+KN in the full $6\times 2$pt; Orange: KN distances only; Blue: $6\times 2$pt + distances; Brown: CMB. Figure from~\cite{Alfradique:2022tox}.
Caption Marginalised constraints combining ET KN and galaxies for $z\le0.5$, separated according to the method used. Purple: only DESI BGS galaxies; Red: DESI+KN velocities ($3\times 2$pt); Green: DESI+KN in the full $6\times 2$pt; Orange: KN distances only; Blue: $6\times 2$pt + distances; Brown: CMB. Figure from~\cite{Alfradique:2022tox}.
Left: constraints in the $H_0 - \Omega_{\rm m}$ plane from the tomographic angular auto- and cross-correlation of resolved BBHs with a Euclid--like photometric galaxy catalog, for ET in the 2L configuration in combination with two CE detectors. Different lines correspond to fixing other cosmological parameters (baryon density $\Omega_b$, amplitude $A_s$ and spectral index $n_s$ of the primordial power spectrum), representing the case where prior knowledge is assumed on those, while still marginalising over the tracers' bias. The case of a triangular ET is not displayed since almost indistinguishable. Right: relative errors (in $\%$) on $H_0,\ \Omega_{\rm m}$ for the 2L and triangular configurations of ET. Results from~\cite{Pedrotti:2024XXX}.
Caption Left: constraints in the $H_0 - \Omega_{\rm m}$ plane from the tomographic angular auto- and cross-correlation of resolved BBHs with a Euclid--like photometric galaxy catalog, for ET in the 2L configuration in combination with two CE detectors. Different lines correspond to fixing other cosmological parameters (baryon density $\Omega_b$, amplitude $A_s$ and spectral index $n_s$ of the primordial power spectrum), representing the case where prior knowledge is assumed on those, while still marginalising over the tracers' bias. The case of a triangular ET is not displayed since almost indistinguishable. Right: relative errors (in $\%$) on $H_0,\ \Omega_{\rm m}$ for the 2L and triangular configurations of ET. Results from~\cite{Pedrotti:2024XXX}.
The cross-correlation between the harmonic modes of galaxies ($g$) at $z$ and BBHs ($b$) at $D_L$ leads to a cross-angular power spectrum $C^{gb}_\ell(z,D_L)$. We show the average cross-spectrum for 1000 light-cone simulations of galaxies and BBHs, for $\ell=100$ ($\sim 2^\circ$). When a shell in $z$ coincides with a shell in $D_L$, the correlation between the galaxy and BBH maps is maximal. The red, blue and black lines correspond to the Hubble diagrams $D_L(z)$ of three different cosmologies -- in the fiducial model $H_0=70.0\,\, {\rm km}\, {\rm s}^{-1}\, {\rm Mpc}^{-1}$ and $\Omega_m=0.3$. Figure taken from \cite{Ferri:2024amc}.
Caption The cross-correlation between the harmonic modes of galaxies ($g$) at $z$ and BBHs ($b$) at $D_L$ leads to a cross-angular power spectrum $C^{gb}_\ell(z,D_L)$. We show the average cross-spectrum for 1000 light-cone simulations of galaxies and BBHs, for $\ell=100$ ($\sim 2^\circ$). When a shell in $z$ coincides with a shell in $D_L$, the correlation between the galaxy and BBH maps is maximal. The red, blue and black lines correspond to the Hubble diagrams $D_L(z)$ of three different cosmologies -- in the fiducial model $H_0=70.0\,\, {\rm km}\, {\rm s}^{-1}\, {\rm Mpc}^{-1}$ and $\Omega_m=0.3$. Figure taken from \cite{Ferri:2024amc}.
Evolutionary pathways to form a GW source for isolated binary evolution. Left: the common-envelope channel and the stable mass transfer channel. Stage 1) Zero-Age-Main-Sequence (ZAMS) 2) First phase of mass transfer 3) Formation of BH or NS 4) Second phase of mass transfer 5) Formation of double compact object 6) GW merger. Right: chemically homogeneous evolution. Stage 1) ZAMS 2) Formation of binary BH 3) GW merger.
Caption Evolutionary pathways to form a GW source for isolated binary evolution. Left: the common-envelope channel and the stable mass transfer channel. Stage 1) Zero-Age-Main-Sequence (ZAMS) 2) First phase of mass transfer 3) Formation of BH or NS 4) Second phase of mass transfer 5) Formation of double compact object 6) GW merger. Right: chemically homogeneous evolution. Stage 1) ZAMS 2) Formation of binary BH 3) GW merger.
Evolutionary pathways to form a GW source for isolated binary evolution. Left: the common-envelope channel and the stable mass transfer channel. Stage 1) Zero-Age-Main-Sequence (ZAMS) 2) First phase of mass transfer 3) Formation of BH or NS 4) Second phase of mass transfer 5) Formation of double compact object 6) GW merger. Right: chemically homogeneous evolution. Stage 1) ZAMS 2) Formation of binary BH 3) GW merger.
Caption Evolutionary pathways to form a GW source for isolated binary evolution. Left: the common-envelope channel and the stable mass transfer channel. Stage 1) Zero-Age-Main-Sequence (ZAMS) 2) First phase of mass transfer 3) Formation of BH or NS 4) Second phase of mass transfer 5) Formation of double compact object 6) GW merger. Right: chemically homogeneous evolution. Stage 1) ZAMS 2) Formation of binary BH 3) GW merger.
Evolutionary pathway to form GW sources  a) according to the non-interacting triple channel, b) in an interacting triple with a stellar merger in the inner binary. On the left: Stage 1) ZAMS 2) Formation of triple BH 3) ZLK cycles and orbital dissipation 4) GW merger. On the right: Stage 1) ZAMS 2) Stellar merger in the inner binary 3) Formation of binary with a rejuvenated star 4) Various phases of mass transfer 5) Formation of binary BH 6) GW merger.
Caption Evolutionary pathway to form GW sources a) according to the non-interacting triple channel, b) in an interacting triple with a stellar merger in the inner binary. On the left: Stage 1) ZAMS 2) Formation of triple BH 3) ZLK cycles and orbital dissipation 4) GW merger. On the right: Stage 1) ZAMS 2) Stellar merger in the inner binary 3) Formation of binary with a rejuvenated star 4) Various phases of mass transfer 5) Formation of binary BH 6) GW merger.
Left panel: Fraction of BBHs that merge inside the cluster for different assumptions about the binary semimajor axis sampling: assuming a Gaussian distribution peaked around the hard binary separation with $\sigma_a=0.1$ (purple straight line), or with $\sigma_a=0.3$ (blue dashed line), or following the assumption of \cite{Samsing:2017xmd}, i.e. that $a$ is distributed between $0.1-0.2$ AU according to a flat distribution. Shaded areas encompass the Poissonian error associated with the samples. The points represent data from self-consistent $N$-body and Monte Carlo simulations of star clusters. Right panel: distribution of merger generation for different cluster types. All models are performed with the \textsc{B-Pop} population synthesis tool \cite{Sedda:2021vjh}.
Caption Left panel: Fraction of BBHs that merge inside the cluster for different assumptions about the binary semimajor axis sampling: assuming a Gaussian distribution peaked around the hard binary separation with $\sigma_a=0.1$ (purple straight line), or with $\sigma_a=0.3$ (blue dashed line), or following the assumption of \cite{Samsing:2017xmd}, i.e. that $a$ is distributed between $0.1-0.2$ AU according to a flat distribution. Shaded areas encompass the Poissonian error associated with the samples. The points represent data from self-consistent $N$-body and Monte Carlo simulations of star clusters. Right panel: distribution of merger generation for different cluster types. All models are performed with the \textsc{B-Pop} population synthesis tool \cite{Sedda:2021vjh}.
Left panel: Fraction of BBHs that merge inside the cluster for different assumptions about the binary semimajor axis sampling: assuming a Gaussian distribution peaked around the hard binary separation with $\sigma_a=0.1$ (purple straight line), or with $\sigma_a=0.3$ (blue dashed line), or following the assumption of \cite{Samsing:2017xmd}, i.e. that $a$ is distributed between $0.1-0.2$ AU according to a flat distribution. Shaded areas encompass the Poissonian error associated with the samples. The points represent data from self-consistent $N$-body and Monte Carlo simulations of star clusters. Right panel: distribution of merger generation for different cluster types. All models are performed with the \textsc{B-Pop} population synthesis tool \cite{Sedda:2021vjh}.
Caption Left panel: Fraction of BBHs that merge inside the cluster for different assumptions about the binary semimajor axis sampling: assuming a Gaussian distribution peaked around the hard binary separation with $\sigma_a=0.1$ (purple straight line), or with $\sigma_a=0.3$ (blue dashed line), or following the assumption of \cite{Samsing:2017xmd}, i.e. that $a$ is distributed between $0.1-0.2$ AU according to a flat distribution. Shaded areas encompass the Poissonian error associated with the samples. The points represent data from self-consistent $N$-body and Monte Carlo simulations of star clusters. Right panel: distribution of merger generation for different cluster types. All models are performed with the \textsc{B-Pop} population synthesis tool \cite{Sedda:2021vjh}.
\footnotesize{ The key ingredients of compact binary coalescence rates. \underline{Top:} star formation rate density (gray - total, blue - at metallicity lower than in the Small Magellanic Cloud) as a function of redshift/lookback time, spanned by observation-based $f_{\rm SFR}(Z,t)$ models from \cite{10.1093/mnras/stz2057,10.1093/mnras/stab2690}. Solid and dashed black lines show variation in the evolution of the low-metallicity Star Formation History (SFH) due to the uncertain high redshift evolution in the number density of low-mass galaxies (n$_{\rm lowM, gal}$). The arrowheads indicate the predicted range of redshifts for the peak of the star formation history in various types of environments and peak of the AGN luminosity density. \underline{Middle:} $\eta_{\rm form}$ and delay-time distribution (DTD) illustrative of merging BBH (black), BHNS (turquoise) and BNS (brown) formed in isolated binary evolution channel. Thick lines: simplified main trends found in the literature. Thin lines: $\eta_{\rm form}$ and DTD for example binary population synthesis model variations from \cite{Broekgaarden:2021efa} (left) and \cite{Boesky:2024msm} (right, normalised to the same value at peak) showing a diversity of shapes. \underline{Bottom left:} literature compilation of the local BBH $R_{\rm{merger}}$ from \cite{Mandel:2021smh}. \underline{Bottom right:} BBH $R_{\rm{merger}}$ redshift evolution examples normalised to the same local rate. Black dashed/solid lines - calculated using $f_{\rm SFR}(Z,t)$ variations corresponding to those shown as black dashed/solid lines in the top panel and the $\eta_{\rm form}$ and DTD shown as black lines in the middle panel. Purple line - example BBH $R_{\rm{merger}}$ for globular cluster channel from \cite{Ng:2020qpk}. }
Caption \footnotesize{ The key ingredients of compact binary coalescence rates. \underline{Top:} star formation rate density (gray - total, blue - at metallicity lower than in the Small Magellanic Cloud) as a function of redshift/lookback time, spanned by observation-based $f_{\rm SFR}(Z,t)$ models from \cite{10.1093/mnras/stz2057,10.1093/mnras/stab2690}. Solid and dashed black lines show variation in the evolution of the low-metallicity Star Formation History (SFH) due to the uncertain high redshift evolution in the number density of low-mass galaxies (n$_{\rm lowM, gal}$). The arrowheads indicate the predicted range of redshifts for the peak of the star formation history in various types of environments and peak of the AGN luminosity density. \underline{Middle:} $\eta_{\rm form}$ and delay-time distribution (DTD) illustrative of merging BBH (black), BHNS (turquoise) and BNS (brown) formed in isolated binary evolution channel. Thick lines: simplified main trends found in the literature. Thin lines: $\eta_{\rm form}$ and DTD for example binary population synthesis model variations from \cite{Broekgaarden:2021efa} (left) and \cite{Boesky:2024msm} (right, normalised to the same value at peak) showing a diversity of shapes. \underline{Bottom left:} literature compilation of the local BBH $R_{\rm{merger}}$ from \cite{Mandel:2021smh}. \underline{Bottom right:} BBH $R_{\rm{merger}}$ redshift evolution examples normalised to the same local rate. Black dashed/solid lines - calculated using $f_{\rm SFR}(Z,t)$ variations corresponding to those shown as black dashed/solid lines in the top panel and the $\eta_{\rm form}$ and DTD shown as black lines in the middle panel. Purple line - example BBH $R_{\rm{merger}}$ for globular cluster channel from \cite{Ng:2020qpk}. }
Time to detect $100$ merging binary BHs in bins of size $\Delta z=0.2$ in redshift and $\Delta \log m_1=0.1$ in primary mass, indicative of the number of measurements required to provide a constraint on the rate with an error of $10\%$ in each bin. The distribution of masses is taken to be the \textsc{Power Law+Peak} parametric model derived from GWTC-3~\cite{KAGRA:2021duu} using the median values for all parameters (which include a localized Gaussian peak at $34\Msun$), and increasing the upper cut on BH mass to $m_\mathrm{max}=250 \Msun$. This figure assumes the  sensitivity curves adopted in \cite{Branchesi:2023mws} for a 2L configuration with 15 km arm-length.
Caption Time to detect $100$ merging binary BHs in bins of size $\Delta z=0.2$ in redshift and $\Delta \log m_1=0.1$ in primary mass, indicative of the number of measurements required to provide a constraint on the rate with an error of $10\%$ in each bin. The distribution of masses is taken to be the \textsc{Power Law+Peak} parametric model derived from GWTC-3~\cite{KAGRA:2021duu} using the median values for all parameters (which include a localized Gaussian peak at $34\Msun$), and increasing the upper cut on BH mass to $m_\mathrm{max}=250 \Msun$. This figure assumes the sensitivity curves adopted in \cite{Branchesi:2023mws} for a 2L configuration with 15 km arm-length.
table
Caption table
NS mass measurements in binary pulsar systems, sorted by increasing mass. Names followed by (C) indicate companions to radio pulsars that are consistent with being NSs. The names in blue show systems in which the companion could also be a massive WD. The error bars indicate the 68\% confidence intervals. The histogram on the right is based on the median of the mass PDFs. Figure reproduced from V. V. Krishnan and P. Freire; for up-to-date versions, see \url{https://www3.mpifr-bonn.mpg.de/staff/pfreire/NS_masses.html}.
Caption NS mass measurements in binary pulsar systems, sorted by increasing mass. Names followed by (C) indicate companions to radio pulsars that are consistent with being NSs. The names in blue show systems in which the companion could also be a massive WD. The error bars indicate the 68\% confidence intervals. The histogram on the right is based on the median of the mass PDFs. Figure reproduced from V. V. Krishnan and P. Freire; for up-to-date versions, see \url{https://www3.mpifr-bonn.mpg.de/staff/pfreire/NS_masses.html}.
Cumulative distributions of BH measured from BBHs (yellow), low-mass X-ray binaries (blue) and high-mass X-ray binaries (magenta). The distribution of prior CDFs is shown by the unfilled black bands~\cite{Fishbach:2021xqi}.
Caption Cumulative distributions of BH measured from BBHs (yellow), low-mass X-ray binaries (blue) and high-mass X-ray binaries (magenta). The distribution of prior CDFs is shown by the unfilled black bands~\cite{Fishbach:2021xqi}.
Distribution of spin periods of 485 radio MSPs with $P<10\;{\rm ms}$. Despite intense searches, no sub-ms MSP has been discovered thus far. ET may reveal such a sub-ms MSP in a GW merger -- see text. After~\cite{Tauris:2023sxf}.
Caption Distribution of spin periods of 485 radio MSPs with $P<10\;{\rm ms}$. Despite intense searches, no sub-ms MSP has been discovered thus far. ET may reveal such a sub-ms MSP in a GW merger -- see text. After~\cite{Tauris:2023sxf}.
A flowchart to test the primordial nature of a binary. Green and red refer to the condition in the box being met or violated, respectively. Adapted from ref.~\cite{Franciolini:2021xbq}. The asterisks indicate that the condition is evaluated in the scenario where PBHs are formed in a radiation-dominated Universe, and a model-dependent alternative is possible.
Caption A flowchart to test the primordial nature of a binary. Green and red refer to the condition in the box being met or violated, respectively. Adapted from ref.~\cite{Franciolini:2021xbq}. The asterisks indicate that the condition is evaluated in the scenario where PBHs are formed in a radiation-dominated Universe, and a model-dependent alternative is possible.
Redshift posteriors for sources with $(M_{\rm total}, z, q)=(40 \Msun,30,1)$ at $\hat{\iota}=0^{\circ}, 30^{\circ}, 60^{\circ}$ and $90^{\circ}$, obtained with a waveform with (blue) and without (red) higher-order modes and for a detector network composed of two CE and one ET (see ref.~\cite{Ng:2022vbz} for more details on the assumed detector network). The solid horizontal lines show the 95\% credible intervals, whereas the dashed lines mark the injected value $z=30$. The top axis shows the optimal SNR of the two waveforms. From ref.~\cite{Ng:2022vbz}.
Caption Redshift posteriors for sources with $(M_{\rm total}, z, q)=(40 \Msun,30,1)$ at $\hat{\iota}=0^{\circ}, 30^{\circ}, 60^{\circ}$ and $90^{\circ}$, obtained with a waveform with (blue) and without (red) higher-order modes and for a detector network composed of two CE and one ET (see ref.~\cite{Ng:2022vbz} for more details on the assumed detector network). The solid horizontal lines show the 95\% credible intervals, whereas the dashed lines mark the injected value $z=30$. The top axis shows the optimal SNR of the two waveforms. From ref.~\cite{Ng:2022vbz}.
Left panel: Reconstructed merger rate at $z>10$ assuming ET+CE and two populations of events: astrophysical (Pop~III) and primordial. We consider the most conservative scenario in which both populations have the same mass function, we neglect PBH accretion, and we adopt an optimistic Pop~III merger rate~\cite{Belczynski:2016ieo}. Right panel: a null observation for a primordial population with ET+CE can be translated into an upper bound on the PBH abundance. Taken from ref.~\cite{Ng:2022agi}.
Caption Left panel: Reconstructed merger rate at $z>10$ assuming ET+CE and two populations of events: astrophysical (Pop~III) and primordial. We consider the most conservative scenario in which both populations have the same mass function, we neglect PBH accretion, and we adopt an optimistic Pop~III merger rate~\cite{Belczynski:2016ieo}. Right panel: a null observation for a primordial population with ET+CE can be translated into an upper bound on the PBH abundance. Taken from ref.~\cite{Ng:2022agi}.
Left panel: Reconstructed merger rate at $z>10$ assuming ET+CE and two populations of events: astrophysical (Pop~III) and primordial. We consider the most conservative scenario in which both populations have the same mass function, we neglect PBH accretion, and we adopt an optimistic Pop~III merger rate~\cite{Belczynski:2016ieo}. Right panel: a null observation for a primordial population with ET+CE can be translated into an upper bound on the PBH abundance. Taken from ref.~\cite{Ng:2022agi}.
Caption Left panel: Reconstructed merger rate at $z>10$ assuming ET+CE and two populations of events: astrophysical (Pop~III) and primordial. We consider the most conservative scenario in which both populations have the same mass function, we neglect PBH accretion, and we adopt an optimistic Pop~III merger rate~\cite{Belczynski:2016ieo}. Right panel: a null observation for a primordial population with ET+CE can be translated into an upper bound on the PBH abundance. Taken from ref.~\cite{Ng:2022agi}.
Posterior distribution of the masses $(m_1,m_2)$ and the tidal deformability $\tilde{\Lambda}$ parameter for LVK O5 (left) and ET+2CE (right) (see ref.~\cite{Crescimbeni:2024cwh} for more details on the assumed detector network). The red lines represent the injected values of a typical subsolar event. In ET+2CE case, the upper bounds on $\tilde{\Lambda}$ would exclude neutron stars or more exotic alternatives \cite{Cardoso:2019rvt}. Taken from ref.~\cite{Crescimbeni:2024cwh}.
Caption Posterior distribution of the masses $(m_1,m_2)$ and the tidal deformability $\tilde{\Lambda}$ parameter for LVK O5 (left) and ET+2CE (right) (see ref.~\cite{Crescimbeni:2024cwh} for more details on the assumed detector network). The red lines represent the injected values of a typical subsolar event. In ET+2CE case, the upper bounds on $\tilde{\Lambda}$ would exclude neutron stars or more exotic alternatives \cite{Cardoso:2019rvt}. Taken from ref.~\cite{Crescimbeni:2024cwh}.
Posterior distribution of the masses $(m_1,m_2)$ and the tidal deformability $\tilde{\Lambda}$ parameter for LVK O5 (left) and ET+2CE (right) (see ref.~\cite{Crescimbeni:2024cwh} for more details on the assumed detector network). The red lines represent the injected values of a typical subsolar event. In ET+2CE case, the upper bounds on $\tilde{\Lambda}$ would exclude neutron stars or more exotic alternatives \cite{Cardoso:2019rvt}. Taken from ref.~\cite{Crescimbeni:2024cwh}.
Caption Posterior distribution of the masses $(m_1,m_2)$ and the tidal deformability $\tilde{\Lambda}$ parameter for LVK O5 (left) and ET+2CE (right) (see ref.~\cite{Crescimbeni:2024cwh} for more details on the assumed detector network). The red lines represent the injected values of a typical subsolar event. In ET+2CE case, the upper bounds on $\tilde{\Lambda}$ would exclude neutron stars or more exotic alternatives \cite{Cardoso:2019rvt}. Taken from ref.~\cite{Crescimbeni:2024cwh}.
Left panel: posterior predictive distribution for events within the NS range based on the LVK GWTC-3 catalog \cite{Franciolini:2022tfm}. Right panel: Distribution of $\chi_\text{\rm eff}$ expected for PBH binaries as a function of the total mass $M$ depending on the accretion efficiency (see \cite{DeLuca:2020bjf,DeLuca:2023bcr} for more details). We stress that this prediction applies to PBHs born in a radiation-dominated Universe or to alternative formation scenarios for which the natal spin is negligible, and therefore represents a weaker test of the primordial nature of the binary.
Caption Left panel: posterior predictive distribution for events within the NS range based on the LVK GWTC-3 catalog \cite{Franciolini:2022tfm}. Right panel: Distribution of $\chi_\text{\rm eff}$ expected for PBH binaries as a function of the total mass $M$ depending on the accretion efficiency (see \cite{DeLuca:2020bjf,DeLuca:2023bcr} for more details). We stress that this prediction applies to PBHs born in a radiation-dominated Universe or to alternative formation scenarios for which the natal spin is negligible, and therefore represents a weaker test of the primordial nature of the binary.
Left panel: posterior predictive distribution for events within the NS range based on the LVK GWTC-3 catalog \cite{Franciolini:2022tfm}. Right panel: Distribution of $\chi_\text{\rm eff}$ expected for PBH binaries as a function of the total mass $M$ depending on the accretion efficiency (see \cite{DeLuca:2020bjf,DeLuca:2023bcr} for more details). We stress that this prediction applies to PBHs born in a radiation-dominated Universe or to alternative formation scenarios for which the natal spin is negligible, and therefore represents a weaker test of the primordial nature of the binary.
Caption Left panel: posterior predictive distribution for events within the NS range based on the LVK GWTC-3 catalog \cite{Franciolini:2022tfm}. Right panel: Distribution of $\chi_\text{\rm eff}$ expected for PBH binaries as a function of the total mass $M$ depending on the accretion efficiency (see \cite{DeLuca:2020bjf,DeLuca:2023bcr} for more details). We stress that this prediction applies to PBHs born in a radiation-dominated Universe or to alternative formation scenarios for which the natal spin is negligible, and therefore represents a weaker test of the primordial nature of the binary.
Redshift evolution of the critical halo mass threshold above which Pop~III star formation can happen (left axis) and the BH mass range in BBH mergers detectable by ET (right axis). We show $M_{\rm h, crit}$ for efficient $\rm H_{2}$- and H-cooling from \cite{Trenti:2009cj} with the thin solid and dash-dot-dotted curves. We plot $M_{\rm h, crit}$ regulated by Lyman-Werner (LW) radiation and baryon-DM streaming motion in four cases based on \cite{Schauer:2020gvx} (see also \cite{Nebrin:2023yzm}), adopting different models for the LW background intensity $J_{21}$ (in the unit of $10^{-21}\ \rm erg\ s^{-1}\ cm^{-2}\ sr^{-1}$) and streaming velocities $v_{\rm bc}$ (in the unit of the cosmic root-mean-squared velocity). The thin dashed, dotted, and long-dashed curves show the results for $v_{\rm bc}=0$, 1, and 2, respectively, under the model of $J_{21}$ from \cite{Greif:2006nr,Hartwig:2022lon}, while $J_{21}$ is boosted by a factor 10 under $v_{\rm bc}=0$ for the dash-dotted curve. We also show the halo masses corresponding to 3- and 4-$\sigma$ density peaks for the standard $\Lambda$CDM model and a fuzzy DM (FDM) model given a boson particle mass of $m_{\rm a}c^{2}=5\times 10^{-21}\ \rm eV$ with the thick solid and dotted curves. For the right axis, the inner, intermediate, and outer shaded regions show the BH mass ranges in which more than 90\%, 50\%, and 10\% of \textit{equal-mass} BBH mergers can be detected at $\rm SNR > 9$ by ET.
Caption Redshift evolution of the critical halo mass threshold above which Pop~III star formation can happen (left axis) and the BH mass range in BBH mergers detectable by ET (right axis). We show $M_{\rm h, crit}$ for efficient $\rm H_{2}$- and H-cooling from \cite{Trenti:2009cj} with the thin solid and dash-dot-dotted curves. We plot $M_{\rm h, crit}$ regulated by Lyman-Werner (LW) radiation and baryon-DM streaming motion in four cases based on \cite{Schauer:2020gvx} (see also \cite{Nebrin:2023yzm}), adopting different models for the LW background intensity $J_{21}$ (in the unit of $10^{-21}\ \rm erg\ s^{-1}\ cm^{-2}\ sr^{-1}$) and streaming velocities $v_{\rm bc}$ (in the unit of the cosmic root-mean-squared velocity). The thin dashed, dotted, and long-dashed curves show the results for $v_{\rm bc}=0$, 1, and 2, respectively, under the model of $J_{21}$ from \cite{Greif:2006nr,Hartwig:2022lon}, while $J_{21}$ is boosted by a factor 10 under $v_{\rm bc}=0$ for the dash-dotted curve. We also show the halo masses corresponding to 3- and 4-$\sigma$ density peaks for the standard $\Lambda$CDM model and a fuzzy DM (FDM) model given a boson particle mass of $m_{\rm a}c^{2}=5\times 10^{-21}\ \rm eV$ with the thick solid and dotted curves. For the right axis, the inner, intermediate, and outer shaded regions show the BH mass ranges in which more than 90\%, 50\%, and 10\% of \textit{equal-mass} BBH mergers can be detected at $\rm SNR > 9$ by ET.
Illustrative examples of the Pop III stellar IMF predicted by three high-resolution models without stellar feedback \cite{Prole:2021nym, Wollenberg2020, Stacy:2012iz} and three simulations with radiative feedback included \cite{Jaura:2022sny, Hirano:2013lba, Hirano:2015wxa}. This figure is adapted from figure~6 in \cite{Klessen2023}.
Caption Illustrative examples of the Pop III stellar IMF predicted by three high-resolution models without stellar feedback \cite{Prole:2021nym, Wollenberg2020, Stacy:2012iz} and three simulations with radiative feedback included \cite{Jaura:2022sny, Hirano:2013lba, Hirano:2015wxa}. This figure is adapted from figure~6 in \cite{Klessen2023}.
Detection rates of Pop~III BBH mergers from isolated binary stellar evolution by ET with $\rm SNR>9$ for different models of the initial statistics of Pop~III stellar binaries ($x$ axis) and cosmic star formation histories of Pop~III stars (denoted by different markers) adapted from Fig.~4 in \cite{Santoliquido:2023wzn}. The rates predicted by other studies for isolated mergers and dynamical mergers in dense star clusters are within the range shown here.
Caption Detection rates of Pop~III BBH mergers from isolated binary stellar evolution by ET with $\rm SNR>9$ for different models of the initial statistics of Pop~III stellar binaries ($x$ axis) and cosmic star formation histories of Pop~III stars (denoted by different markers) adapted from Fig.~4 in \cite{Santoliquido:2023wzn}. The rates predicted by other studies for isolated mergers and dynamical mergers in dense star clusters are within the range shown here.
Stellar mergers leading to the formation of an IMBH in one of the \textsc{Dragon-II} numerical simulations \citep{ArcaSedda:2023mlv}.
Caption Stellar mergers leading to the formation of an IMBH in one of the \textsc{Dragon-II} numerical simulations \citep{ArcaSedda:2023mlv}.
Horizon redshift for IMBH-BH mergers assuming a companion mass of $30 \Msun$ (left panel) and $100 \Msun$ (right panel). From brighter to darker colours, contours encompass regions with an SNR $> 1,~5,~10,~15,~25,~50,~100,~500,~1,000$, respectively. Calculations are performed through the \textsc{GWFish} package \citep{Dupletsa:2022scg}, assuming a PhenomD waveform approximant.
Caption Horizon redshift for IMBH-BH mergers assuming a companion mass of $30 \Msun$ (left panel) and $100 \Msun$ (right panel). From brighter to darker colours, contours encompass regions with an SNR $> 1,~5,~10,~15,~25,~50,~100,~500,~1,000$, respectively. Calculations are performed through the \textsc{GWFish} package \citep{Dupletsa:2022scg}, assuming a PhenomD waveform approximant.
Horizon redshift for IMBH-BH mergers assuming a companion mass of $30 \Msun$ (left panel) and $100 \Msun$ (right panel). From brighter to darker colours, contours encompass regions with an SNR $> 1,~5,~10,~15,~25,~50,~100,~500,~1,000$, respectively. Calculations are performed through the \textsc{GWFish} package \citep{Dupletsa:2022scg}, assuming a PhenomD waveform approximant.
Caption Horizon redshift for IMBH-BH mergers assuming a companion mass of $30 \Msun$ (left panel) and $100 \Msun$ (right panel). From brighter to darker colours, contours encompass regions with an SNR $> 1,~5,~10,~15,~25,~50,~100,~500,~1,000$, respectively. Calculations are performed through the \textsc{GWFish} package \citep{Dupletsa:2022scg}, assuming a PhenomD waveform approximant.
Horizon redshift for IMBH-BH mergers assuming a companion mass of $30 \Msun$ (solid line) and $100 \Msun$ (dashed line) for a fixed SNR$=15$ and comparing a 15km 2L ET configuration with $45\deg$ inclination (black) and a 10km triangle ET configuration (red and blue for the 30 and 100 M$_\odot$ companion, respectively). The sensitivity curves come from \cite{Branchesi:2023mws}. We used the \textsc{GWFish} package \citep{Dupletsa:2022scg}, assuming a PhenomD waveform approximant, i.e. the same as Fig.~\ref{fig:horimri}.
Caption Horizon redshift for IMBH-BH mergers assuming a companion mass of $30 \Msun$ (solid line) and $100 \Msun$ (dashed line) for a fixed SNR$=15$ and comparing a 15km 2L ET configuration with $45\deg$ inclination (black) and a 10km triangle ET configuration (red and blue for the 30 and 100 M$_\odot$ companion, respectively). The sensitivity curves come from \cite{Branchesi:2023mws}. We used the \textsc{GWFish} package \citep{Dupletsa:2022scg}, assuming a PhenomD waveform approximant, i.e. the same as Fig.~\ref{fig:horimri}.
Characteristic strain amplitude and frequency for IMBH-IMBH binaries with different masses, assuming a luminosity distance $d_L = 1$ Gpc. The signal is overlaid to the sensitivity curves of various detectors at low-frequency (LISA), mid-range (DECIGO), and high-frequency (ET, CE, AVirgo, and ALIGO).
Caption Characteristic strain amplitude and frequency for IMBH-IMBH binaries with different masses, assuming a luminosity distance $d_L = 1$ Gpc. The signal is overlaid to the sensitivity curves of various detectors at low-frequency (LISA), mid-range (DECIGO), and high-frequency (ET, CE, AVirgo, and ALIGO).
The joint accuracy on luminosity distance $(\Delta d_L/d_L)$ and angular resolution $(\Delta \Omega_{90\%})$ for BNS (left) and BBH (right). Green shows results from the triangular ET detector (10-km arms) with both high- and low-frequency instruments (HFLF). Light blue indicates forecasts for LVKI O5, the most advanced 2G detector network (LIGO Hanford, LIGO Livingston, Virgo, KAGRA, and LIGO India) \citep{KAGRA:2013rdx}. The dashed red line represents a 10 deg$^2$ sky localization error. Adapted from \citep{Branchesi:2023mws}.
Caption The joint accuracy on luminosity distance $(\Delta d_L/d_L)$ and angular resolution $(\Delta \Omega_{90\%})$ for BNS (left) and BBH (right). Green shows results from the triangular ET detector (10-km arms) with both high- and low-frequency instruments (HFLF). Light blue indicates forecasts for LVKI O5, the most advanced 2G detector network (LIGO Hanford, LIGO Livingston, Virgo, KAGRA, and LIGO India) \citep{KAGRA:2013rdx}. The dashed red line represents a 10 deg$^2$ sky localization error. Adapted from \citep{Branchesi:2023mws}.
Background energy density spectrum for BBHs assuming four evolution channels, isolated (Field), Young Star Cluster (YSC), Globular Cluster (GC) and Nuclear Star Cluster (NSC). Uncertainties, depicted by the shaded areas, are derived from the merger rates given in table~2 of \cite{Mapelli:2021gyv}. The black dashed curve shows the sensitivity of ET for the triangular configuration.
Caption Background energy density spectrum for BBHs assuming four evolution channels, isolated (Field), Young Star Cluster (YSC), Globular Cluster (GC) and Nuclear Star Cluster (NSC). Uncertainties, depicted by the shaded areas, are derived from the merger rates given in table~2 of \cite{Mapelli:2021gyv}. The black dashed curve shows the sensitivity of ET for the triangular configuration.
Background energy density spectra for BBHs born from Pop.~III stars. Fiducial, Optimistic and Pessimistic models are the LOG\_H22, LAR\_H22 and LAR\_J19 respectively populations models from \cite{Santoliquido:2023wzn}. The residuals correspond to $\rho_{\rm thrs.} > 20$, and the grey lines correspond to the background from Pop.~I/II channels (see section~\ref{subsec:BBHchannel}).
Caption Background energy density spectra for BBHs born from Pop.~III stars. Fiducial, Optimistic and Pessimistic models are the LOG\_H22, LAR\_H22 and LAR\_J19 respectively populations models from \cite{Santoliquido:2023wzn}. The residuals correspond to $\rho_{\rm thrs.} > 20$, and the grey lines correspond to the background from Pop.~I/II channels (see section~\ref{subsec:BBHchannel}).
{\it Left panel:} Merger rate evolution for representative astrophysical models and the PBH channel. As for the astrophysical models, CE, SMT, and GC refer to common envelope mass transfer, stable mass transfer, and globular clusters, respectively. The normalization comes from the Bayesian inference on the GWTC-2 catalog in ref.~\cite{Bavera:2020uch}. The blue band reports the local merger rate bound from LVK while the dashed gray band the star formation rate (SFR). {\it Right panel:} Total SGWB (black line) coming from the various channels shown in the left panel, while we report with colored lines their contributions. We do not show the residual SGWB. Figures adapted from ref.~\cite{Bavera:2021wmw}.
Caption {\it Left panel:} Merger rate evolution for representative astrophysical models and the PBH channel. As for the astrophysical models, CE, SMT, and GC refer to common envelope mass transfer, stable mass transfer, and globular clusters, respectively. The normalization comes from the Bayesian inference on the GWTC-2 catalog in ref.~\cite{Bavera:2020uch}. The blue band reports the local merger rate bound from LVK while the dashed gray band the star formation rate (SFR). {\it Right panel:} Total SGWB (black line) coming from the various channels shown in the left panel, while we report with colored lines their contributions. We do not show the residual SGWB. Figures adapted from ref.~\cite{Bavera:2021wmw}.
{\it Left panel:} Merger rate evolution for representative astrophysical models and the PBH channel. As for the astrophysical models, CE, SMT, and GC refer to common envelope mass transfer, stable mass transfer, and globular clusters, respectively. The normalization comes from the Bayesian inference on the GWTC-2 catalog in ref.~\cite{Bavera:2020uch}. The blue band reports the local merger rate bound from LVK while the dashed gray band the star formation rate (SFR). {\it Right panel:} Total SGWB (black line) coming from the various channels shown in the left panel, while we report with colored lines their contributions. We do not show the residual SGWB. Figures adapted from ref.~\cite{Bavera:2021wmw}.
Caption {\it Left panel:} Merger rate evolution for representative astrophysical models and the PBH channel. As for the astrophysical models, CE, SMT, and GC refer to common envelope mass transfer, stable mass transfer, and globular clusters, respectively. The normalization comes from the Bayesian inference on the GWTC-2 catalog in ref.~\cite{Bavera:2020uch}. The blue band reports the local merger rate bound from LVK while the dashed gray band the star formation rate (SFR). {\it Right panel:} Total SGWB (black line) coming from the various channels shown in the left panel, while we report with colored lines their contributions. We do not show the residual SGWB. Figures adapted from ref.~\cite{Bavera:2021wmw}.
The promise of multi-messenger astrophysics. While much astronomy to date has been undertaken in the electromagnetic bands, in particular in optical light, many extreme systems in the Universe emit light across the electromagnetic spectrum and also produce additional messengers in the form of cosmic rays, neutrinos, or gravitational waves. Understanding the details of these systems and the insight they offer into central questions in astronomy, cosmology, and fundamental physics is something that can be done via multi-messenger observations.
Caption The promise of multi-messenger astrophysics. While much astronomy to date has been undertaken in the electromagnetic bands, in particular in optical light, many extreme systems in the Universe emit light across the electromagnetic spectrum and also produce additional messengers in the form of cosmic rays, neutrinos, or gravitational waves. Understanding the details of these systems and the insight they offer into central questions in astronomy, cosmology, and fundamental physics is something that can be done via multi-messenger observations.
The physical process ongoing in the merger of a binary system of neutron stars (or a neutron star and a black hole), their multi-messenger observational signals and the scientific insight enabled from them (updated from an original concept by \cite{Metzger:2016pju}). Gravitational wave observations provide robust measurement of the component masses, and constraints on their sizes and spins. Many possible electromagnetic signals are also possible, including the detection of associated GRBs, cocoon emission, and kilonova signatures.
Caption The physical process ongoing in the merger of a binary system of neutron stars (or a neutron star and a black hole), their multi-messenger observational signals and the scientific insight enabled from them (updated from an original concept by \cite{Metzger:2016pju}). Gravitational wave observations provide robust measurement of the component masses, and constraints on their sizes and spins. Many possible electromagnetic signals are also possible, including the detection of associated GRBs, cocoon emission, and kilonova signatures.
The spectroscopic evolution of kilonovae. The upper (colored) lines show the X-shooter spectral sequence for AT2017gfo \cite{Pian:2017gtc,Smartt:2017fuw}, demonstrating the early blue emission with the subsequent transition to a much redder spectrum. The lower (grey/black) lines show much later time spectra of the kilonova in GRB 230307A (AT 2023vfi) obtained with {\em JWST} \cite{JWST:2023jqa}. The spectra contain numerous spectra features both early in absorption and later in emission, and these have been linked to several different $r$-process elements.
Caption The spectroscopic evolution of kilonovae. The upper (colored) lines show the X-shooter spectral sequence for AT2017gfo \cite{Pian:2017gtc,Smartt:2017fuw}, demonstrating the early blue emission with the subsequent transition to a much redder spectrum. The lower (grey/black) lines show much later time spectra of the kilonova in GRB 230307A (AT 2023vfi) obtained with {\em JWST} \cite{JWST:2023jqa}. The spectra contain numerous spectra features both early in absorption and later in emission, and these have been linked to several different $r$-process elements.
Representation of two of our reference multi-messenger synthetic populations in a geocentric Universe. Compact binaries in the synthetic populations of C22 and C23 that are detected by ET-$\Delta$ are represented by yellow (BNS -- left semicircle) and orange (BHNS -- right semicircle) dots. The distance of each dot from the Earth (blue circle) is proportional to the redshift of the corresponding compact binary. If the simulated merger produces a relativistic jet whose prompt ($>4$ ph cm$^{-2}$ s$^{-1}$) or afterglow emission ($>0.01$ mJy, radio band) is detectable, a cyan jet is plotted centered on the dot, with its axis inclined by the actual viewing angle with respect to the line of sight to the Earth. If a kilonova is also produced, and if it is detectable ($<26$ mag, $g$ band), then a red butterfly shape is also plotted. The total number of binaries is representative of one year of ET operation.
Caption Representation of two of our reference multi-messenger synthetic populations in a geocentric Universe. Compact binaries in the synthetic populations of C22 and C23 that are detected by ET-$\Delta$ are represented by yellow (BNS -- left semicircle) and orange (BHNS -- right semicircle) dots. The distance of each dot from the Earth (blue circle) is proportional to the redshift of the corresponding compact binary. If the simulated merger produces a relativistic jet whose prompt ($>4$ ph cm$^{-2}$ s$^{-1}$) or afterglow emission ($>0.01$ mJy, radio band) is detectable, a cyan jet is plotted centered on the dot, with its axis inclined by the actual viewing angle with respect to the line of sight to the Earth. If a kilonova is also produced, and if it is detectable ($<26$ mag, $g$ band), then a red butterfly shape is also plotted. The total number of binaries is representative of one year of ET operation.
Schematic representation of BNS and BHNS mergers and their multi-messenger emissions.
Caption Schematic representation of BNS and BHNS mergers and their multi-messenger emissions.
Distribution of ET optical KNe as a function of time assuming the BNS population from L24 (red, first row) and C22 (blue, central row), and the BHNS population from C23 (green, last row). The left column assumes the ET-$\Delta$ configuration, the right column is the 2L configuration. The plots represent the apparent AB magnitude versus post-merger time (days) for our simulated KN light curves in the $g$ (484 nm) band, restricting to ET GW-detectable sources with $\Delta\Omega_{{\rm 90}\%}<100\,\mathrm{deg}^2$. The shaded regions contain $50\%$, $90\%$, and $99\%$ of the KN light curves.
Caption Distribution of ET optical KNe as a function of time assuming the BNS population from L24 (red, first row) and C22 (blue, central row), and the BHNS population from C23 (green, last row). The left column assumes the ET-$\Delta$ configuration, the right column is the 2L configuration. The plots represent the apparent AB magnitude versus post-merger time (days) for our simulated KN light curves in the $g$ (484 nm) band, restricting to ET GW-detectable sources with $\Delta\Omega_{{\rm 90}\%}<100\,\mathrm{deg}^2$. The shaded regions contain $50\%$, $90\%$, and $99\%$ of the KN light curves.
Detection rate as a function of detection limit threshold for the KN BNS population presented in L24 and C22 (upper panels, red and blue, respectively) and for the BHNS population from C23 (lower panels, green). The left column assumes the ET-$\Delta$ configuration, and the right column is the 2L configuration. The lines indicate the KN+GW ($g$ band) detectable binaries, assuming all the BNSs (solid line from C22 upper panels and C23 lower panels), the ones with $\Delta\Omega_{{\rm 90}\%}<100\,\mathrm{deg}^2$ (dashed lines) and the ones with $\Delta\Omega_{{\rm 90}\%}<40\,\mathrm{deg}^2$ (dotted lines). The shaded region indicates the uncertainty due to the local merger rate.
Caption Detection rate as a function of detection limit threshold for the KN BNS population presented in L24 and C22 (upper panels, red and blue, respectively) and for the BHNS population from C23 (lower panels, green). The left column assumes the ET-$\Delta$ configuration, and the right column is the 2L configuration. The lines indicate the KN+GW ($g$ band) detectable binaries, assuming all the BNSs (solid line from C22 upper panels and C23 lower panels), the ones with $\Delta\Omega_{{\rm 90}\%}<100\,\mathrm{deg}^2$ (dashed lines) and the ones with $\Delta\Omega_{{\rm 90}\%}<40\,\mathrm{deg}^2$ (dotted lines). The shaded region indicates the uncertainty due to the local merger rate.
Observed spectral energy distribution peak photon energy $E_\mathrm{p,obs}$ vs photon flux for the GRB prompt BNS population presented in R22 (first row) and C22 (central row), and for the BHNS population from C23 (last row). The colored-filled regions contain 50\%, 90\%, and 99\% of the binaries, both GRB Prompt and ET detectable. The black lines contain 50\%, 90\%, and 99\% (solid, dashed, and dotted, respectively) of the ET-detectable binaries.
Caption Observed spectral energy distribution peak photon energy $E_\mathrm{p,obs}$ vs photon flux for the GRB prompt BNS population presented in R22 (first row) and C22 (central row), and for the BHNS population from C23 (last row). The colored-filled regions contain 50\%, 90\%, and 99\% of the binaries, both GRB Prompt and ET detectable. The black lines contain 50\%, 90\%, and 99\% (solid, dashed, and dotted, respectively) of the ET-detectable binaries.
Detection rate as a function of detection limit threshold for the GRB prompt BNS population presented in R22 and C22 (upper panels, red and orange, respectively) and for the BHNS population from C23 (lower panel). The left column assumes the ET delta configuration, and the right column assumes the 2L configuration. The lines indicate the GRB prompt+GW detectable binaries, assuming all the BNSs (solid lines), the ones with $\Delta\Omega_{{\rm 90}\%}<100\,\mathrm{deg}^2$ (dashed lines) and the ones with $\Delta\Omega_{{\rm 90}\%}<10\,\mathrm{deg}^2$ (dotted lines). The shaded region indicates the uncertainty at $90\%$ credible level. For C22 and C23, it indicates the uncertainty due to the local merger rate.
Caption Detection rate as a function of detection limit threshold for the GRB prompt BNS population presented in R22 and C22 (upper panels, red and orange, respectively) and for the BHNS population from C23 (lower panel). The left column assumes the ET delta configuration, and the right column assumes the 2L configuration. The lines indicate the GRB prompt+GW detectable binaries, assuming all the BNSs (solid lines), the ones with $\Delta\Omega_{{\rm 90}\%}<100\,\mathrm{deg}^2$ (dashed lines) and the ones with $\Delta\Omega_{{\rm 90}\%}<10\,\mathrm{deg}^2$ (dotted lines). The shaded region indicates the uncertainty at $90\%$ credible level. For C22 and C23, it indicates the uncertainty due to the local merger rate.
Afterglow lightcurves in Radio (red), Optical (green) and X-ray (blue), for the delta (left) and 2L (right) configurations, assuming the BNS population from R22 (first row) and from C22 (central row), and the BHNS population from C23 (last row). The dashed and solid lines are the 50$\%$ and 90$\%$ containment regions of the afterglow peaks, in the respective bands. The grey lines in the background are randomly sampled optical light curves.
Caption Afterglow lightcurves in Radio (red), Optical (green) and X-ray (blue), for the delta (left) and 2L (right) configurations, assuming the BNS population from R22 (first row) and from C22 (central row), and the BHNS population from C23 (last row). The dashed and solid lines are the 50$\%$ and 90$\%$ containment regions of the afterglow peaks, in the respective bands. The grey lines in the background are randomly sampled optical light curves.
Detection rate as a function of detection limit threshold for the GRB afterglow BNS population presented in R22 (first row) and C22 (central row), and for the BHNS population from C23 (last row). The left column assumes the ET delta configuration, the right column the 2L configuration. The lines indicate the GRB afterglow+GW detectable binaries in the radio (red), optical (green) and X (blue) bands, assuming all the BNSs (solid line), the ones with $\Delta\Omega_{{\rm 90}\%}<100\,\mathrm{deg}^2$ (dashed lines) and the ones with $\Delta\Omega_{{\rm 90}\%}<10\,\mathrm{deg}^2$ (dotted lines). The shaded region indicates the uncertainty at $90\%$ credible level. For C22 and C23, it indicates the uncertainty due to the local merger rate.
Caption Detection rate as a function of detection limit threshold for the GRB afterglow BNS population presented in R22 (first row) and C22 (central row), and for the BHNS population from C23 (last row). The left column assumes the ET delta configuration, the right column the 2L configuration. The lines indicate the GRB afterglow+GW detectable binaries in the radio (red), optical (green) and X (blue) bands, assuming all the BNSs (solid line), the ones with $\Delta\Omega_{{\rm 90}\%}<100\,\mathrm{deg}^2$ (dashed lines) and the ones with $\Delta\Omega_{{\rm 90}\%}<10\,\mathrm{deg}^2$ (dotted lines). The shaded region indicates the uncertainty at $90\%$ credible level. For C22 and C23, it indicates the uncertainty due to the local merger rate.
Distribution in redshift of the sky localizations of BNS events (upper panel) and BHNS events (lower panel) that can power and EM counterpart, for the delta (left) and 2L (right) configurations. The line indicates the median value, the colored bands are the 50$\%$, 90$\%$ and 99$\%$ credible regions.
Caption Distribution in redshift of the sky localizations of BNS events (upper panel) and BHNS events (lower panel) that can power and EM counterpart, for the delta (left) and 2L (right) configurations. The line indicates the median value, the colored bands are the 50$\%$, 90$\%$ and 99$\%$ credible regions.
Detection rates as a function of the detection limit threshold for the KN BNS population from C22 (left panel) and the BHNS population from C23 (right panel). The different colors represent various ET configurations and detector networks: blue (or green) for ET-$\Delta$, red for ET2L, gray for ET-$\Delta$+2CE, and black for ET2L+2CE. The lines correspond to KN+GW ($g$-band) detectable binaries: solid lines indicate all BNSs (or BHNSs), dashed lines represent events with $\Delta\Omega_{{\rm 90}\%}<100\mathrm{deg}^2$, and dotted lines represent events with $\Delta\Omega_{{\rm 90}\%}<40\mathrm{deg}^2$. The shaded region illustrates the uncertainty arising from the local merger rate.
Caption Detection rates as a function of the detection limit threshold for the KN BNS population from C22 (left panel) and the BHNS population from C23 (right panel). The different colors represent various ET configurations and detector networks: blue (or green) for ET-$\Delta$, red for ET2L, gray for ET-$\Delta$+2CE, and black for ET2L+2CE. The lines correspond to KN+GW ($g$-band) detectable binaries: solid lines indicate all BNSs (or BHNSs), dashed lines represent events with $\Delta\Omega_{{\rm 90}\%}<100\mathrm{deg}^2$, and dotted lines represent events with $\Delta\Omega_{{\rm 90}\%}<40\mathrm{deg}^2$. The shaded region illustrates the uncertainty arising from the local merger rate.
Example of redshift distribution of simulated KNe detected by Vera Rubin and WST, associated with BNS detected by ET in the 2L (top panels) and 2L + CE(40 km) (bottom panel) configurations, and having error regions of $<40$\,deg$^2$ (top left and bottom panles), and $<100$\,deg$^2$ (top right panel). The background distribution in white corresponds to the parent BNS+KN population. The green colored distribution corresponds to the KNe that are detectable with WST IFS (SNR $> 3$). KNe detectable with Vera Rubin are shown in grey. Black points refer to the y-axis scale on the right-hand side and show the fraction of detectable KN with WST with respect to those that are detectable with Vera Rubin. From Bisero et al., in preparation.
Caption Example of redshift distribution of simulated KNe detected by Vera Rubin and WST, associated with BNS detected by ET in the 2L (top panels) and 2L + CE(40 km) (bottom panel) configurations, and having error regions of $<40$\,deg$^2$ (top left and bottom panles), and $<100$\,deg$^2$ (top right panel). The background distribution in white corresponds to the parent BNS+KN population. The green colored distribution corresponds to the KNe that are detectable with WST IFS (SNR $> 3$). KNe detectable with Vera Rubin are shown in grey. Black points refer to the y-axis scale on the right-hand side and show the fraction of detectable KN with WST with respect to those that are detectable with Vera Rubin. From Bisero et al., in preparation.
Example of redshift distribution of simulated KNe detected by Vera Rubin and WST, associated with BNS detected by ET in the 2L (top panels) and 2L + CE(40 km) (bottom panel) configurations, and having error regions of $<40$\,deg$^2$ (top left and bottom panles), and $<100$\,deg$^2$ (top right panel). The background distribution in white corresponds to the parent BNS+KN population. The green colored distribution corresponds to the KNe that are detectable with WST IFS (SNR $> 3$). KNe detectable with Vera Rubin are shown in grey. Black points refer to the y-axis scale on the right-hand side and show the fraction of detectable KN with WST with respect to those that are detectable with Vera Rubin. From Bisero et al., in preparation.
Caption Example of redshift distribution of simulated KNe detected by Vera Rubin and WST, associated with BNS detected by ET in the 2L (top panels) and 2L + CE(40 km) (bottom panel) configurations, and having error regions of $<40$\,deg$^2$ (top left and bottom panles), and $<100$\,deg$^2$ (top right panel). The background distribution in white corresponds to the parent BNS+KN population. The green colored distribution corresponds to the KNe that are detectable with WST IFS (SNR $> 3$). KNe detectable with Vera Rubin are shown in grey. Black points refer to the y-axis scale on the right-hand side and show the fraction of detectable KN with WST with respect to those that are detectable with Vera Rubin. From Bisero et al., in preparation.
Example of redshift distribution of simulated KNe detected by Vera Rubin and WST, associated with BNS detected by ET in the 2L (top panels) and 2L + CE(40 km) (bottom panel) configurations, and having error regions of $<40$\,deg$^2$ (top left and bottom panles), and $<100$\,deg$^2$ (top right panel). The background distribution in white corresponds to the parent BNS+KN population. The green colored distribution corresponds to the KNe that are detectable with WST IFS (SNR $> 3$). KNe detectable with Vera Rubin are shown in grey. Black points refer to the y-axis scale on the right-hand side and show the fraction of detectable KN with WST with respect to those that are detectable with Vera Rubin. From Bisero et al., in preparation.
Caption Example of redshift distribution of simulated KNe detected by Vera Rubin and WST, associated with BNS detected by ET in the 2L (top panels) and 2L + CE(40 km) (bottom panel) configurations, and having error regions of $<40$\,deg$^2$ (top left and bottom panles), and $<100$\,deg$^2$ (top right panel). The background distribution in white corresponds to the parent BNS+KN population. The green colored distribution corresponds to the KNe that are detectable with WST IFS (SNR $> 3$). KNe detectable with Vera Rubin are shown in grey. Black points refer to the y-axis scale on the right-hand side and show the fraction of detectable KN with WST with respect to those that are detectable with Vera Rubin. From Bisero et al., in preparation.
Redshift distribution of the sky-localization uncertainty (given as 90\% credible region) for ET and ET+CE configurations. The panels show the BNS detections and the corresponding sky-localizations as a function of the redshift 15, 5, and 1 minute(s) before the merger. The blue histogram represents all detected sources, while the other colors indicate sources with sky localizations more precise than 10$^3$\,deg$^2$ (orange), 10$^2$\,deg$^2$ (green), and 10\,deg$^2$ (red). Adapted from \cite{Banerjee:2023}.
Caption Redshift distribution of the sky-localization uncertainty (given as 90\% credible region) for ET and ET+CE configurations. The panels show the BNS detections and the corresponding sky-localizations as a function of the redshift 15, 5, and 1 minute(s) before the merger. The blue histogram represents all detected sources, while the other colors indicate sources with sky localizations more precise than 10$^3$\,deg$^2$ (orange), 10$^2$\,deg$^2$ (green), and 10\,deg$^2$ (red). Adapted from \cite{Banerjee:2023}.
Redshift distribution of the sky-localization uncertainty (given as 90\% credible region) for ET and ET+CE configurations. The panels show the BNS detections and the corresponding sky-localizations as a function of the redshift 15, 5, and 1 minute(s) before the merger. The blue histogram represents all detected sources, while the other colors indicate sources with sky localizations more precise than 10$^3$\,deg$^2$ (orange), 10$^2$\,deg$^2$ (green), and 10\,deg$^2$ (red). Adapted from \cite{Banerjee:2023}.
Caption Redshift distribution of the sky-localization uncertainty (given as 90\% credible region) for ET and ET+CE configurations. The panels show the BNS detections and the corresponding sky-localizations as a function of the redshift 15, 5, and 1 minute(s) before the merger. The blue histogram represents all detected sources, while the other colors indicate sources with sky localizations more precise than 10$^3$\,deg$^2$ (orange), 10$^2$\,deg$^2$ (green), and 10\,deg$^2$ (red). Adapted from \cite{Banerjee:2023}.
Redshift distribution of the sky-localization uncertainty (given as 90\% credible region) for ET and ET+CE configurations. The panels show the BNS detections and the corresponding sky-localizations as a function of the redshift 15, 5, and 1 minute(s) before the merger. The blue histogram represents all detected sources, while the other colors indicate sources with sky localizations more precise than 10$^3$\,deg$^2$ (orange), 10$^2$\,deg$^2$ (green), and 10\,deg$^2$ (red). Adapted from \cite{Banerjee:2023}.
Caption Redshift distribution of the sky-localization uncertainty (given as 90\% credible region) for ET and ET+CE configurations. The panels show the BNS detections and the corresponding sky-localizations as a function of the redshift 15, 5, and 1 minute(s) before the merger. The blue histogram represents all detected sources, while the other colors indicate sources with sky localizations more precise than 10$^3$\,deg$^2$ (orange), 10$^2$\,deg$^2$ (green), and 10\,deg$^2$ (red). Adapted from \cite{Banerjee:2023}.
Redshift distribution of the sky-localization uncertainty (given as 90\% credible region) for ET and ET+CE configurations. The panels show the BNS detections and the corresponding sky-localizations as a function of the redshift 15, 5, and 1 minute(s) before the merger. The blue histogram represents all detected sources, while the other colors indicate sources with sky localizations more precise than 10$^3$\,deg$^2$ (orange), 10$^2$\,deg$^2$ (green), and 10\,deg$^2$ (red). Adapted from \cite{Banerjee:2023}.
Caption Redshift distribution of the sky-localization uncertainty (given as 90\% credible region) for ET and ET+CE configurations. The panels show the BNS detections and the corresponding sky-localizations as a function of the redshift 15, 5, and 1 minute(s) before the merger. The blue histogram represents all detected sources, while the other colors indicate sources with sky localizations more precise than 10$^3$\,deg$^2$ (orange), 10$^2$\,deg$^2$ (green), and 10\,deg$^2$ (red). Adapted from \cite{Banerjee:2023}.
Redshift distribution of the sky-localization uncertainty (given as 90\% credible region) for ET and ET+CE configurations. The panels show the BNS detections and the corresponding sky-localizations as a function of the redshift 15, 5, and 1 minute(s) before the merger. The blue histogram represents all detected sources, while the other colors indicate sources with sky localizations more precise than 10$^3$\,deg$^2$ (orange), 10$^2$\,deg$^2$ (green), and 10\,deg$^2$ (red). Adapted from \cite{Banerjee:2023}.
Caption Redshift distribution of the sky-localization uncertainty (given as 90\% credible region) for ET and ET+CE configurations. The panels show the BNS detections and the corresponding sky-localizations as a function of the redshift 15, 5, and 1 minute(s) before the merger. The blue histogram represents all detected sources, while the other colors indicate sources with sky localizations more precise than 10$^3$\,deg$^2$ (orange), 10$^2$\,deg$^2$ (green), and 10\,deg$^2$ (red). Adapted from \cite{Banerjee:2023}.
Redshift distribution of the sky-localization uncertainty (given as 90\% credible region) for ET and ET+CE configurations. The panels show the BNS detections and the corresponding sky-localizations as a function of the redshift 15, 5, and 1 minute(s) before the merger. The blue histogram represents all detected sources, while the other colors indicate sources with sky localizations more precise than 10$^3$\,deg$^2$ (orange), 10$^2$\,deg$^2$ (green), and 10\,deg$^2$ (red). Adapted from \cite{Banerjee:2023}.
Caption Redshift distribution of the sky-localization uncertainty (given as 90\% credible region) for ET and ET+CE configurations. The panels show the BNS detections and the corresponding sky-localizations as a function of the redshift 15, 5, and 1 minute(s) before the merger. The blue histogram represents all detected sources, while the other colors indicate sources with sky localizations more precise than 10$^3$\,deg$^2$ (orange), 10$^2$\,deg$^2$ (green), and 10\,deg$^2$ (red). Adapted from \cite{Banerjee:2023}.
Characteristics of  most advanced EM facilities expected to be available by the late 2030s.  Also available as an Excel table at \url{https://apps.et-gw.eu/tds/ql/?c=17760}. Asterisk indicates facilities and missions that are still in the project phase and have not yet been approved or adopted.
Caption Characteristics of most advanced EM facilities expected to be available by the late 2030s. Also available as an Excel table at \url{https://apps.et-gw.eu/tds/ql/?c=17760}. Asterisk indicates facilities and missions that are still in the project phase and have not yet been approved or adopted.
Characteristics of  most advanced EM facilities expected to be available by the late 2030s.  Also available as an Excel table at \url{https://apps.et-gw.eu/tds/ql/?c=17760}. Asterisk indicates facilities and missions that are still in the project phase and have not yet been approved or adopted.
Caption Characteristics of most advanced EM facilities expected to be available by the late 2030s. Also available as an Excel table at \url{https://apps.et-gw.eu/tds/ql/?c=17760}. Asterisk indicates facilities and missions that are still in the project phase and have not yet been approved or adopted.
Requirements to detect and study the EM counterparts of BNS and BHNS detected by ET, for EM facilities working in different ranges of the EM spectrum, for on-axis GRB. Also available as an Excel table at \url{https://apps.et-gw.eu/tds/ql/?c=17771}.
Caption Requirements to detect and study the EM counterparts of BNS and BHNS detected by ET, for EM facilities working in different ranges of the EM spectrum, for on-axis GRB. Also available as an Excel table at \url{https://apps.et-gw.eu/tds/ql/?c=17771}.
Requirements to detect and study the EM counterparts of BNS and BHNS detected by ET, for EM facilities working in different ranges of the EM spectrum, for  off-axis afterglow. Also available as an Excel table at \url{https://apps.et-gw.eu/tds/ql/?c=17771}.
Caption Requirements to detect and study the EM counterparts of BNS and BHNS detected by ET, for EM facilities working in different ranges of the EM spectrum, for off-axis afterglow. Also available as an Excel table at \url{https://apps.et-gw.eu/tds/ql/?c=17771}.
Requirements to detect and study the EM counterparts of BNS and BHNS detected by ET, for EM facilities working in different ranges of the EM spectrum, for  KN. Also available as an Excel table at \url{https://apps.et-gw.eu/tds/ql/?c=17771}.
Caption Requirements to detect and study the EM counterparts of BNS and BHNS detected by ET, for EM facilities working in different ranges of the EM spectrum, for KN. Also available as an Excel table at \url{https://apps.et-gw.eu/tds/ql/?c=17771}.
The GW landscape --- a schematic representation of synergistic sources in the GW frequency-amplitude plane. The figure shows the sensitivities for ET and CE (including the current LVK detectors) at higher frequencies, and for LISA, Taiji, Tian Qin, DECIGO and LGWA at lower frequencies (sensitivities for the latter are from \cite{Colpi:2024xhw, Ajith:2024mie, Wang:2020vkg, Seto:2001qf, Kawamura:2020pcg, Li:2023umb}). Tracks (left to right) represent: an equal mass black hole binary merger (labelled SMBH) of $10^6\,\Msun$ at $z\sim 6;$ an equal-mass intermediate mass black hole merger (IMBHB) of $ 10^5 \Msun$ at $z=1.5$; a multi-band source hosting an inspiralling equal-mass stellar black hole binary (BBH) of $ 60\Msun$ at $z\sim 0.1$ merging in the ET bandwidth; an intermediate mass ratio inspiral (IMRI) hosting a stellar black of $30\,\Msun$ orbiting around a black hole of $5\times 10^3\,\Msun$ at $z=1$. The ``BBH@z=10" track denote mergers at $z=10$ of equal-mass black hole binaries forming in metal poor early galaxies, with a total mass, from bottom to top, of $20,~60,~100\, \Msun$. Squares, pentagons and diamonds refer to Galactic compact binaries detected by LISA, millions to billions of years away from merging. DLS indicates a dual line system. Each section of this chapter presents each of these sources and their scientific opportunities in detail.
Caption The GW landscape --- a schematic representation of synergistic sources in the GW frequency-amplitude plane. The figure shows the sensitivities for ET and CE (including the current LVK detectors) at higher frequencies, and for LISA, Taiji, Tian Qin, DECIGO and LGWA at lower frequencies (sensitivities for the latter are from \cite{Colpi:2024xhw, Ajith:2024mie, Wang:2020vkg, Seto:2001qf, Kawamura:2020pcg, Li:2023umb}). Tracks (left to right) represent: an equal mass black hole binary merger (labelled SMBH) of $10^6\,\Msun$ at $z\sim 6;$ an equal-mass intermediate mass black hole merger (IMBHB) of $ 10^5 \Msun$ at $z=1.5$; a multi-band source hosting an inspiralling equal-mass stellar black hole binary (BBH) of $ 60\Msun$ at $z\sim 0.1$ merging in the ET bandwidth; an intermediate mass ratio inspiral (IMRI) hosting a stellar black of $30\,\Msun$ orbiting around a black hole of $5\times 10^3\,\Msun$ at $z=1$. The ``BBH@z=10" track denote mergers at $z=10$ of equal-mass black hole binaries forming in metal poor early galaxies, with a total mass, from bottom to top, of $20,~60,~100\, \Msun$. Squares, pentagons and diamonds refer to Galactic compact binaries detected by LISA, millions to billions of years away from merging. DLS indicates a dual line system. Each section of this chapter presents each of these sources and their scientific opportunities in detail.
Detector horizons for the two baseline configurations of ET, alone and in conjunction with a network of two CE as described in the legend. The shaded bands, reported only for the combinations with CE, denote the range within which $50\%$ of the sources are detected, when averaging over sky location. Known classes of target sources are reported for illustration: stellar-mass black holes (SOBBH) and double neutron star systems  (catalogs from ~\cite{Branchesi:2023mws}), neutron star-black hole binaries (catalogs from \cite{Iacovelli:2022bbs} based on~\cite{Broekgaarden:2021iew,Giacobbo:2018etu,Zhu:2020ffa}), Population III stars~\cite{Costa:2023xsz,Santoliquido:2023wzn}, and intermediate mass black holes (IMBH) \cite{Colpi:2024xhw}. The orange band is representative of a population of high--redshift primordial black holes (PBHs) ~\cite{Franciolini:2021tla,Ng:2022agi}. Triangles show the events detected by the LVK collaboration~\cite{KAGRA:2021vkt}.
Caption Detector horizons for the two baseline configurations of ET, alone and in conjunction with a network of two CE as described in the legend. The shaded bands, reported only for the combinations with CE, denote the range within which $50\%$ of the sources are detected, when averaging over sky location. Known classes of target sources are reported for illustration: stellar-mass black holes (SOBBH) and double neutron star systems (catalogs from ~\cite{Branchesi:2023mws}), neutron star-black hole binaries (catalogs from \cite{Iacovelli:2022bbs} based on~\cite{Broekgaarden:2021iew,Giacobbo:2018etu,Zhu:2020ffa}), Population III stars~\cite{Costa:2023xsz,Santoliquido:2023wzn}, and intermediate mass black holes (IMBH) \cite{Colpi:2024xhw}. The orange band is representative of a population of high--redshift primordial black holes (PBHs) ~\cite{Franciolini:2021tla,Ng:2022agi}. Triangles show the events detected by the LVK collaboration~\cite{KAGRA:2021vkt}.
\small Comparison of SNR and parameter estimation error for the chirp mass, angular localization and luminosity distance for BBHs. We show the results for ET alone, for ET +1CE and for ET+2CE and, in all cases, for ET we consider both the triangle 10~km and the  2L-$45^{\circ}$ configurations. The results are obtained with the \texttt{GWfast} code~\cite{Iacovelli:2022mbg}; technical details as in \cite{Branchesi:2023mws}.
Caption \small Comparison of SNR and parameter estimation error for the chirp mass, angular localization and luminosity distance for BBHs. We show the results for ET alone, for ET +1CE and for ET+2CE and, in all cases, for ET we consider both the triangle 10~km and the 2L-$45^{\circ}$ configurations. The results are obtained with the \texttt{GWfast} code~\cite{Iacovelli:2022mbg}; technical details as in \cite{Branchesi:2023mws}.
\small As in figure~\ref{fig:cumul_SNR-Mc-Om-dL_BBH_allconf_ETCE}, for BNS.
Caption \small As in figure~\ref{fig:cumul_SNR-Mc-Om-dL_BBH_allconf_ETCE}, for BNS.
The cumulative number of GW detections (vertical axis) for which it will be possible to constrain NS radii below a specified threshold (horizontal axis) is shown. The lines represent different GW detector configurations: HLET, 20LA, and 40LA indicate networks with one next-generation detector, while 4020A, 20LET, and 40LET represent networks with two next-generation observatories. Figure reproduced from \cite{Gupta:2023lga}.
Caption The cumulative number of GW detections (vertical axis) for which it will be possible to constrain NS radii below a specified threshold (horizontal axis) is shown. The lines represent different GW detector configurations: HLET, 20LA, and 40LA indicate networks with one next-generation detector, while 4020A, 20LET, and 40LET represent networks with two next-generation observatories. Figure reproduced from \cite{Gupta:2023lga}.
Posterior probability density for $\tilde{\Lambda}$ (see \eq{deftildeLambdadiv6} for definition) for sources at 68 Mpc observed by the ET+CE network, recovered with three different models NO-PM (without post-merger phase), QU-PM (with post-merger phase and employing quasi-universal relation), and Free-PM (with post-merger phase and its parameters freed from that of the inspiral phase), in blue, orange, and green, respectively. The black dashed lines correspond to the injected values. Figure from \cite{Puecher:2022oiz}.
Caption Posterior probability density for $\tilde{\Lambda}$ (see \eq{deftildeLambdadiv6} for definition) for sources at 68 Mpc observed by the ET+CE network, recovered with three different models NO-PM (without post-merger phase), QU-PM (with post-merger phase and employing quasi-universal relation), and Free-PM (with post-merger phase and its parameters freed from that of the inspiral phase), in blue, orange, and green, respectively. The black dashed lines correspond to the injected values. Figure from \cite{Puecher:2022oiz}.
Posterior probability density for $c_1$, one of the post-merger phase Lorentzian parameter for different detector networks. The dashed vertical line indicates the injected value. Figure  from ~\cite{Puecher:2022oiz}.
Caption Posterior probability density for $c_1$, one of the post-merger phase Lorentzian parameter for different detector networks. The dashed vertical line indicates the injected value. Figure from ~\cite{Puecher:2022oiz}.
Localization capabilities for BBH (left panels) and BNS (right panels) of ET in its triangular and 2L configurations (first and second rows respectively), in a network with two CE. The color scale denotes the number of galaxies expected in the $90\%$ localization volume. Events marked with black dots are localized to one galaxy only.
Caption Localization capabilities for BBH (left panels) and BNS (right panels) of ET in its triangular and 2L configurations (first and second rows respectively), in a network with two CE. The color scale denotes the number of galaxies expected in the $90\%$ localization volume. Events marked with black dots are localized to one galaxy only.
Localization capabilities for BBH (left panels) and BNS (right panels) of ET in its triangular and 2L configurations (first and second rows respectively), in a network with two CE. The color scale denotes the number of galaxies expected in the $90\%$ localization volume. Events marked with black dots are localized to one galaxy only.
Caption Localization capabilities for BBH (left panels) and BNS (right panels) of ET in its triangular and 2L configurations (first and second rows respectively), in a network with two CE. The color scale denotes the number of galaxies expected in the $90\%$ localization volume. Events marked with black dots are localized to one galaxy only.
\small {{\bf Upper left panel}: Tracks of BH growth, for different initial {\it seed} masses assuming uninterrupted accretion at the Eddington rate and at rates twice above this limit. The different colored symbols labeled in the figure refer to $z>6$ observations of quasars by ALMA (green squares \cite{Neeleman:2019knu}) and JWST (red diamonds ~\cite{2024ApJ...966..176Y, 2024ApJ...964...90S, 2023ApJ...959...39H, Maiolino:2023bpi, 2023Natur.621...51D}), including the $z\sim 10$ massive black holes in UHZ$1$ (magenta circle \cite{Bogdan:2023ilu}), GHZ$9$ (black cross \cite{Kovacs:2024zfh}) and the candidate super-Eddington accreting black hole in GN$-$z$11$ (violet hexagon \cite{Maiolino:2023zdu}). Light seeds can explain these quasars if they accrete at a super-Eddington rate. Heavy seeds, forming at lower redshifts, do not necessarily need sustained super-Eddington accretion. There is a debate whether sustained accretion above the Eddington limit is likely in high-redshift galaxies~\cite{Pezzulli:2017ikf, 2019MNRAS.486.3892R, Trinca:2022txs, Massonneau:2022uwg, Lupi:2023oji, Greene:2024phl}. The black, blue and red tracks refer to state-of-the-art high-resolution cosmological zoom-in simulations~\cite{Lupi:2023oji, Lupi:2019jgo} where a $10^5\Msun$ black hole was implanted at $z=10$ and let evolve including accretion and feedback. {\bf Upper right panel}: Cartoon sketching the mass spectrum of black holes and the different formation paths. Arrows and labels indicate selected quasars, the Milky Way black hole, Sgr A$^*,$~\cite{Genzel:2010zy, EventHorizonTelescope:2022wkp} M$87$~\cite{EventHorizonTelescope:2019pgp}, and the post-merger mass of GW$150914$ and GW$190521$, the first and the most massive coalescence events detected to date by LVK, respectively~\cite{LIGOScientific:2016wkq, LIGOScientific:2020iuh}. Shown are the windows of exploration of ET and LISA. {\bf Lower left panel}: BH mass spectrum at $z=4$ from \cite{Trinca:2022txs} as inferred from a suite of semi-analytical models and numerical simulations to show the still large theoretical uncertainties in predicting BH evolution. Data points show the distribution of light (magenta) and heavy (red, orange) BH seeds, with the best fit for the distribution of heavy seeds in red and violet dotted lines, and the results from large-scale cosmological simulations: Illustris (dark green, cyan, and blue \cite{Sijacki:2014yfa, weinberger2017}), SIMBA (olive \cite{Dave:2019yyq}), and EAGLE (light green \cite{McAlpine:2018dua}). The observational constraints by \cite{Merloni:2008hx} and \cite{Shankar:2007zg} are shown in the grey shaded area and black dashed-dotted lines. {\bf Lower right panel}: evolution of the BH mass function from the semi-analytical model L-Galaxies \cite{Izquierdo-Villalba:2023ypb}. The figure shows how the intermediate-mass range is being progressively filled due to the growth of light seeds from population III relics (Courtesy of Izquierdo Villalba). }
Caption \small {{\bf Upper left panel}: Tracks of BH growth, for different initial {\it seed} masses assuming uninterrupted accretion at the Eddington rate and at rates twice above this limit. The different colored symbols labeled in the figure refer to $z>6$ observations of quasars by ALMA (green squares \cite{Neeleman:2019knu}) and JWST (red diamonds ~\cite{2024ApJ...966..176Y, 2024ApJ...964...90S, 2023ApJ...959...39H, Maiolino:2023bpi, 2023Natur.621...51D}), including the $z\sim 10$ massive black holes in UHZ$1$ (magenta circle \cite{Bogdan:2023ilu}), GHZ$9$ (black cross \cite{Kovacs:2024zfh}) and the candidate super-Eddington accreting black hole in GN$-$z$11$ (violet hexagon \cite{Maiolino:2023zdu}). Light seeds can explain these quasars if they accrete at a super-Eddington rate. Heavy seeds, forming at lower redshifts, do not necessarily need sustained super-Eddington accretion. There is a debate whether sustained accretion above the Eddington limit is likely in high-redshift galaxies~\cite{Pezzulli:2017ikf, 2019MNRAS.486.3892R, Trinca:2022txs, Massonneau:2022uwg, Lupi:2023oji, Greene:2024phl}. The black, blue and red tracks refer to state-of-the-art high-resolution cosmological zoom-in simulations~\cite{Lupi:2023oji, Lupi:2019jgo} where a $10^5\Msun$ black hole was implanted at $z=10$ and let evolve including accretion and feedback. {\bf Upper right panel}: Cartoon sketching the mass spectrum of black holes and the different formation paths. Arrows and labels indicate selected quasars, the Milky Way black hole, Sgr A$^*,$~\cite{Genzel:2010zy, EventHorizonTelescope:2022wkp} M$87$~\cite{EventHorizonTelescope:2019pgp}, and the post-merger mass of GW$150914$ and GW$190521$, the first and the most massive coalescence events detected to date by LVK, respectively~\cite{LIGOScientific:2016wkq, LIGOScientific:2020iuh}. Shown are the windows of exploration of ET and LISA. {\bf Lower left panel}: BH mass spectrum at $z=4$ from \cite{Trinca:2022txs} as inferred from a suite of semi-analytical models and numerical simulations to show the still large theoretical uncertainties in predicting BH evolution. Data points show the distribution of light (magenta) and heavy (red, orange) BH seeds, with the best fit for the distribution of heavy seeds in red and violet dotted lines, and the results from large-scale cosmological simulations: Illustris (dark green, cyan, and blue \cite{Sijacki:2014yfa, weinberger2017}), SIMBA (olive \cite{Dave:2019yyq}), and EAGLE (light green \cite{McAlpine:2018dua}). The observational constraints by \cite{Merloni:2008hx} and \cite{Shankar:2007zg} are shown in the grey shaded area and black dashed-dotted lines. {\bf Lower right panel}: evolution of the BH mass function from the semi-analytical model L-Galaxies \cite{Izquierdo-Villalba:2023ypb}. The figure shows how the intermediate-mass range is being progressively filled due to the growth of light seeds from population III relics (Courtesy of Izquierdo Villalba). }
The ET and LISA cosmic horizons. The figure shows contour lines of constant signal-to-noise ratio (SNR) in the plane redshift versus total mass of the black hole binaries, as measured in the source frame. Binaries have all mass ratio 0.5. Yellow dots denote loci of BH mergers extracted from the semi-analytical model of \cite{Valiante:2020zhj}, which tracks the evolution of light and heavy seeds forming in merging halos. Light seeds form at $z\sim 20-30$ as relics of population III stars in molecular cooling dark matter halos of $10^6\,\Msun$.  Heavy seeds form later ($z\sim 10-20$) in atomic cooling halos of $10^8\,\Msun$ under contrived conditions (see the review by \cite{Inayoshi:2019fun} and references therein). The bulk of the merging black holes in LISA come from the growing light seed population that ET can detect when seeds form in binaries. Red dots and blue triangles denote the quasars observed at $4 < z < 11$, from JWST \cite{2024ApJ...966..176Y, 2024ApJ...964...90S, 2023ApJ...959...39H, Maiolino:2023bpi, 2023Natur.621...51D} and ALMA\cite{Neeleman:2019knu}, respectively. Green contour lines depicting the vast population of AGN are from \cite{Shen:2010aa}.
Caption The ET and LISA cosmic horizons. The figure shows contour lines of constant signal-to-noise ratio (SNR) in the plane redshift versus total mass of the black hole binaries, as measured in the source frame. Binaries have all mass ratio 0.5. Yellow dots denote loci of BH mergers extracted from the semi-analytical model of \cite{Valiante:2020zhj}, which tracks the evolution of light and heavy seeds forming in merging halos. Light seeds form at $z\sim 20-30$ as relics of population III stars in molecular cooling dark matter halos of $10^6\,\Msun$. Heavy seeds form later ($z\sim 10-20$) in atomic cooling halos of $10^8\,\Msun$ under contrived conditions (see the review by \cite{Inayoshi:2019fun} and references therein). The bulk of the merging black holes in LISA come from the growing light seed population that ET can detect when seeds form in binaries. Red dots and blue triangles denote the quasars observed at $4 < z < 11$, from JWST \cite{2024ApJ...966..176Y, 2024ApJ...964...90S, 2023ApJ...959...39H, Maiolino:2023bpi, 2023Natur.621...51D} and ALMA\cite{Neeleman:2019knu}, respectively. Green contour lines depicting the vast population of AGN are from \cite{Shen:2010aa}.
\small {\bf Left panel}: horizon redshift for IMRIs involving a stellar BH of $30\Msun$ as a function of the mass of the more massive primary $m_{\rm IMBH}$. Detection is set at SNR=15 using the \textsc{GWFish} tool \cite{Dupletsa:2022scg} for ET (green straight curve), LGWA (blue dashed curve), and LISA (purple dotted curve). {\bf Right panel}: cumulative mass distribution of IMRI detection versus the IMBH mass. These systems are dynamically formed in young, globular, and nuclear clusters and their overall population is shown by the filled grey histogram.  The detectable  sub-population of IMRIs are shown for ET, LGWA and LISA (as in the legend). Models are obtained from combined population synthesis simulations performed with the \textsc{BPop} code \cite{Sedda:2021vjh} and parameter estimation performed with \textsc{GWFish}. Adapted from Arca Sedda (in prep).
Caption \small {\bf Left panel}: horizon redshift for IMRIs involving a stellar BH of $30\Msun$ as a function of the mass of the more massive primary $m_{\rm IMBH}$. Detection is set at SNR=15 using the \textsc{GWFish} tool \cite{Dupletsa:2022scg} for ET (green straight curve), LGWA (blue dashed curve), and LISA (purple dotted curve). {\bf Right panel}: cumulative mass distribution of IMRI detection versus the IMBH mass. These systems are dynamically formed in young, globular, and nuclear clusters and their overall population is shown by the filled grey histogram. The detectable sub-population of IMRIs are shown for ET, LGWA and LISA (as in the legend). Models are obtained from combined population synthesis simulations performed with the \textsc{BPop} code \cite{Sedda:2021vjh} and parameter estimation performed with \textsc{GWFish}. Adapted from Arca Sedda (in prep).
\small {\bf Left panel}: horizon redshift for IMRIs involving a stellar BH of $30\Msun$ as a function of the mass of the more massive primary $m_{\rm IMBH}$. Detection is set at SNR=15 using the \textsc{GWFish} tool \cite{Dupletsa:2022scg} for ET (green straight curve), LGWA (blue dashed curve), and LISA (purple dotted curve). {\bf Right panel}: cumulative mass distribution of IMRI detection versus the IMBH mass. These systems are dynamically formed in young, globular, and nuclear clusters and their overall population is shown by the filled grey histogram.  The detectable  sub-population of IMRIs are shown for ET, LGWA and LISA (as in the legend). Models are obtained from combined population synthesis simulations performed with the \textsc{BPop} code \cite{Sedda:2021vjh} and parameter estimation performed with \textsc{GWFish}. Adapted from Arca Sedda (in prep).
Caption \small {\bf Left panel}: horizon redshift for IMRIs involving a stellar BH of $30\Msun$ as a function of the mass of the more massive primary $m_{\rm IMBH}$. Detection is set at SNR=15 using the \textsc{GWFish} tool \cite{Dupletsa:2022scg} for ET (green straight curve), LGWA (blue dashed curve), and LISA (purple dotted curve). {\bf Right panel}: cumulative mass distribution of IMRI detection versus the IMBH mass. These systems are dynamically formed in young, globular, and nuclear clusters and their overall population is shown by the filled grey histogram. The detectable sub-population of IMRIs are shown for ET, LGWA and LISA (as in the legend). Models are obtained from combined population synthesis simulations performed with the \textsc{BPop} code \cite{Sedda:2021vjh} and parameter estimation performed with \textsc{GWFish}. Adapted from Arca Sedda (in prep).
\small  {\bf Left panel:} Examples of SGWB from phase transitions (PT). {\bf Middle panel:} Examples of SGWB from cosmic strings (CS). {\bf Right panel:} Examples of SGWB from cosmic inflation. Besides LISA and ET sensitivity curves (PSD) and the corresponding PLS (see \eq{eq: PLS def} and section~\ref{sec:div9_PLSdefinition} for definitions), in blue and green lines are represented the benchmark scenarios discussed in each of the aforementioned sections.
Caption \small {\bf Left panel:} Examples of SGWB from phase transitions (PT). {\bf Middle panel:} Examples of SGWB from cosmic strings (CS). {\bf Right panel:} Examples of SGWB from cosmic inflation. Besides LISA and ET sensitivity curves (PSD) and the corresponding PLS (see \eq{eq: PLS def} and section~\ref{sec:div9_PLSdefinition} for definitions), in blue and green lines are represented the benchmark scenarios discussed in each of the aforementioned sections.
\small  {\bf Left panel:} Examples of SGWB from phase transitions (PT). {\bf Middle panel:} Examples of SGWB from cosmic strings (CS). {\bf Right panel:} Examples of SGWB from cosmic inflation. Besides LISA and ET sensitivity curves (PSD) and the corresponding PLS (see \eq{eq: PLS def} and section~\ref{sec:div9_PLSdefinition} for definitions), in blue and green lines are represented the benchmark scenarios discussed in each of the aforementioned sections.
Caption \small {\bf Left panel:} Examples of SGWB from phase transitions (PT). {\bf Middle panel:} Examples of SGWB from cosmic strings (CS). {\bf Right panel:} Examples of SGWB from cosmic inflation. Besides LISA and ET sensitivity curves (PSD) and the corresponding PLS (see \eq{eq: PLS def} and section~\ref{sec:div9_PLSdefinition} for definitions), in blue and green lines are represented the benchmark scenarios discussed in each of the aforementioned sections.
\small  {\bf Left panel:} Examples of SGWB from phase transitions (PT). {\bf Middle panel:} Examples of SGWB from cosmic strings (CS). {\bf Right panel:} Examples of SGWB from cosmic inflation. Besides LISA and ET sensitivity curves (PSD) and the corresponding PLS (see \eq{eq: PLS def} and section~\ref{sec:div9_PLSdefinition} for definitions), in blue and green lines are represented the benchmark scenarios discussed in each of the aforementioned sections.
Caption \small {\bf Left panel:} Examples of SGWB from phase transitions (PT). {\bf Middle panel:} Examples of SGWB from cosmic strings (CS). {\bf Right panel:} Examples of SGWB from cosmic inflation. Besides LISA and ET sensitivity curves (PSD) and the corresponding PLS (see \eq{eq: PLS def} and section~\ref{sec:div9_PLSdefinition} for definitions), in blue and green lines are represented the benchmark scenarios discussed in each of the aforementioned sections.
First and second column: Fisher forecasts for the phase transition and cosmic string scenarios. Third column: Fisher forecasts for the inflation benchmark scenarios. See Table \ref{tab:PT}.
Caption First and second column: Fisher forecasts for the phase transition and cosmic string scenarios. Third column: Fisher forecasts for the inflation benchmark scenarios. See Table \ref{tab:PT}.
First and second column: Fisher forecasts for the phase transition and cosmic string scenarios. Third column: Fisher forecasts for the inflation benchmark scenarios. See Table \ref{tab:PT}.
Caption First and second column: Fisher forecasts for the phase transition and cosmic string scenarios. Third column: Fisher forecasts for the inflation benchmark scenarios. See Table \ref{tab:PT}.
First and second column: Fisher forecasts for the phase transition and cosmic string scenarios. Third column: Fisher forecasts for the inflation benchmark scenarios. See Table \ref{tab:PT}.
Caption First and second column: Fisher forecasts for the phase transition and cosmic string scenarios. Third column: Fisher forecasts for the inflation benchmark scenarios. See Table \ref{tab:PT}.
First and second column: Fisher forecasts for the phase transition and cosmic string scenarios. Third column: Fisher forecasts for the inflation benchmark scenarios. See Table \ref{tab:PT}.
Caption First and second column: Fisher forecasts for the phase transition and cosmic string scenarios. Third column: Fisher forecasts for the inflation benchmark scenarios. See Table \ref{tab:PT}.
First and second column: Fisher forecasts for the phase transition and cosmic string scenarios. Third column: Fisher forecasts for the inflation benchmark scenarios. See Table \ref{tab:PT}.
Caption First and second column: Fisher forecasts for the phase transition and cosmic string scenarios. Third column: Fisher forecasts for the inflation benchmark scenarios. See Table \ref{tab:PT}.
Conjectured structure of a cold, mature neutron star. In the interior, matter ranges over nearly an order of magnitude in density and encompasses a variety of different phases and physical properties. Figure adapted from ref.~\cite{Maggiore:2019uih}.
Caption Conjectured structure of a cold, mature neutron star. In the interior, matter ranges over nearly an order of magnitude in density and encompasses a variety of different phases and physical properties. Figure adapted from ref.~\cite{Maggiore:2019uih}.
Depending on the thermodynamic conditions, matter can exist in different forms, like nuclei, gas of nuclear clusters, gas of hadrons, and strongly-coupled quark-gluon plasma states. The temperature-density-isospin asymmetry diagram illustrates the different thermodynamic conditions spanned in NSs, BNS mergers, CCSN, PNSs, as well as in nuclei and the early universe. The regimes that can be explored in different terrestrial facilities are also indicated. Figure adapted from \cite{GSIphasediagram}.
Caption Depending on the thermodynamic conditions, matter can exist in different forms, like nuclei, gas of nuclear clusters, gas of hadrons, and strongly-coupled quark-gluon plasma states. The temperature-density-isospin asymmetry diagram illustrates the different thermodynamic conditions spanned in NSs, BNS mergers, CCSN, PNSs, as well as in nuclei and the early universe. The regimes that can be explored in different terrestrial facilities are also indicated. Figure adapted from \cite{GSIphasediagram}.
Pressure versus baryon number density for different EOS models taken from the CompOSE database~\cite{CompOSECoreTeam:2022ddl}. Left panel: different unified nucleonic EOSs in the crust-core density regime (changes of slope indicate the transition from the outer to the inner crust and from the crust to the core); right panel: different EOS models (nucleonic, with admixtures of hyperons and $\Delta$s, and with a phase transition to quark matter) in the high-density regime in the core.
Caption Pressure versus baryon number density for different EOS models taken from the CompOSE database~\cite{CompOSECoreTeam:2022ddl}. Left panel: different unified nucleonic EOSs in the crust-core density regime (changes of slope indicate the transition from the outer to the inner crust and from the crust to the core); right panel: different EOS models (nucleonic, with admixtures of hyperons and $\Delta$s, and with a phase transition to quark matter) in the high-density regime in the core.
Left: $\tilde{\Lambda}$ posteriors recovered from the simulated signals for three different sources, whose parameters are reported on top of each panel, for three ET configurations; the horizontal red line indicates the injected value. Right - top panel: width of the $90\%$ confidence interval of the $\mathcal{M}_c$ and $\tilde{\Lambda}$ posteriors obtained for the source in the middle on the left-hand side panels, when performing the analysis with different starting frequencies $f_{\rm low}$; the different markers and colors correspond to two different detector configurations. Right - bottom panel: $\tilde{\Lambda}$ posteriors recovered for the source on the bottom panel on the left-hand side, with the red line showing the injected value; th different colors correspond to the different ET geometries, with the lighter shade representing a 10~km arm-length configuration, and the darker ones a 15~km arm-length one.
Caption Left: $\tilde{\Lambda}$ posteriors recovered from the simulated signals for three different sources, whose parameters are reported on top of each panel, for three ET configurations; the horizontal red line indicates the injected value. Right - top panel: width of the $90\%$ confidence interval of the $\mathcal{M}_c$ and $\tilde{\Lambda}$ posteriors obtained for the source in the middle on the left-hand side panels, when performing the analysis with different starting frequencies $f_{\rm low}$; the different markers and colors correspond to two different detector configurations. Right - bottom panel: $\tilde{\Lambda}$ posteriors recovered for the source on the bottom panel on the left-hand side, with the red line showing the injected value; th different colors correspond to the different ET geometries, with the lighter shade representing a 10~km arm-length configuration, and the darker ones a 15~km arm-length one.
Difference between the width of the $90\%$ confidence interval obtained with a triangular, 10~km arm-length detector and a configuration including two L-shaped interferometers with 15~km arm-length, for the posterior recovered for $\tilde{\Lambda}$ (top panel) and $\mathcal{M}_c$ (bottom panel), over a catalog of simulated signals for 100 different sources. The red line marks zero, meaning that points above (below) the line show a wider posterior for the $\Delta$ (2L) configuration.
Caption Difference between the width of the $90\%$ confidence interval obtained with a triangular, 10~km arm-length detector and a configuration including two L-shaped interferometers with 15~km arm-length, for the posterior recovered for $\tilde{\Lambda}$ (top panel) and $\mathcal{M}_c$ (bottom panel), over a catalog of simulated signals for 100 different sources. The red line marks zero, meaning that points above (below) the line show a wider posterior for the $\Delta$ (2L) configuration.
Left panel: Increased precision obtained from multiple ET detections of the tidal deformability for a 1.4$M_{\odot}$ and 2.0$M_{\odot}$ NS using a nucleonic meta-modeling technique (violin shapes); for comparison the prediction of two selected EoSs is shown with horizontal lines. Right panel: Reduction in the uncertainty on the tidal deformability with increasing number of detection. Figures adapted from ref.~\cite{Iacovelli:2023nbv} (left) and ref.~\cite{Landry:2022rxu} (right panel).
Caption Left panel: Increased precision obtained from multiple ET detections of the tidal deformability for a 1.4$M_{\odot}$ and 2.0$M_{\odot}$ NS using a nucleonic meta-modeling technique (violin shapes); for comparison the prediction of two selected EoSs is shown with horizontal lines. Right panel: Reduction in the uncertainty on the tidal deformability with increasing number of detection. Figures adapted from ref.~\cite{Iacovelli:2023nbv} (left) and ref.~\cite{Landry:2022rxu} (right panel).
Smallest detectable ellipticity for a search for CWs from known pulsars using a network of two L-shaped ET detectors, with 15 km arms (top plot) or a single triangular detector (bottom plot), with 10 km arms. In both cases, an observation time of three years, with duty cycle 85$\%$, has been considered. The horizontal dashed line roughly indicates NS theoretically predicted maximum ellipticity, see discussion in the main text. The horizontal dashed-dot line indicates a suggested possible minimum ellipticity of observed millisecond pulsars \cite{Woan:2018tey}. For comparison, the three circles indicates upper limits obtained in O3 LIGO-Virgo run for pulsars Vela ($f\simeq 22.38$ Hz), Crab ($f\simeq 59.89$ Hz) and J0711-6830 ($f\simeq 364.23$ Hz).
Caption Smallest detectable ellipticity for a search for CWs from known pulsars using a network of two L-shaped ET detectors, with 15 km arms (top plot) or a single triangular detector (bottom plot), with 10 km arms. In both cases, an observation time of three years, with duty cycle 85$\%$, has been considered. The horizontal dashed line roughly indicates NS theoretically predicted maximum ellipticity, see discussion in the main text. The horizontal dashed-dot line indicates a suggested possible minimum ellipticity of observed millisecond pulsars \cite{Woan:2018tey}. For comparison, the three circles indicates upper limits obtained in O3 LIGO-Virgo run for pulsars Vela ($f\simeq 22.38$ Hz), Crab ($f\simeq 59.89$ Hz) and J0711-6830 ($f\simeq 364.23$ Hz).
Smallest detectable ellipticity for a search for CWs from known pulsars using a network of two L-shaped ET detectors, with 15 km arms (top plot) or a single triangular detector (bottom plot), with 10 km arms. In both cases, an observation time of three years, with duty cycle 85$\%$, has been considered. The horizontal dashed line roughly indicates NS theoretically predicted maximum ellipticity, see discussion in the main text. The horizontal dashed-dot line indicates a suggested possible minimum ellipticity of observed millisecond pulsars \cite{Woan:2018tey}. For comparison, the three circles indicates upper limits obtained in O3 LIGO-Virgo run for pulsars Vela ($f\simeq 22.38$ Hz), Crab ($f\simeq 59.89$ Hz) and J0711-6830 ($f\simeq 364.23$ Hz).
Caption Smallest detectable ellipticity for a search for CWs from known pulsars using a network of two L-shaped ET detectors, with 15 km arms (top plot) or a single triangular detector (bottom plot), with 10 km arms. In both cases, an observation time of three years, with duty cycle 85$\%$, has been considered. The horizontal dashed line roughly indicates NS theoretically predicted maximum ellipticity, see discussion in the main text. The horizontal dashed-dot line indicates a suggested possible minimum ellipticity of observed millisecond pulsars \cite{Woan:2018tey}. For comparison, the three circles indicates upper limits obtained in O3 LIGO-Virgo run for pulsars Vela ($f\simeq 22.38$ Hz), Crab ($f\simeq 59.89$ Hz) and J0711-6830 ($f\simeq 364.23$ Hz).
Constraints on the \textit{r}-mode amplitude $\alpha$ using a network of two L-shaped ET detectors, with 15 km arms (left plot) and the triangle configuration, with 10 km arms (right plot), over three years, assuming in both cases a detector duty cycle of $85\%$. The considered parameter space corresponds to that of pulsar J0537-6910. The two colored bands corresponds to a range of EOS, from a stiff causally limited EOS with crust \cite{Haskell:2018nlh} to a soft WFF1 EOS \cite{Idrisy:2014qca}, assuming a distance $d=49.6$ kpc (green band), which is the distance of pulsar J0537-6910, and a hypothetical source emitting at the same frequency and with distance $d=2$ Mpc (red band). The two dashed lines define the spin-down limit for the same range of EOS.
Caption Constraints on the \textit{r}-mode amplitude $\alpha$ using a network of two L-shaped ET detectors, with 15 km arms (left plot) and the triangle configuration, with 10 km arms (right plot), over three years, assuming in both cases a detector duty cycle of $85\%$. The considered parameter space corresponds to that of pulsar J0537-6910. The two colored bands corresponds to a range of EOS, from a stiff causally limited EOS with crust \cite{Haskell:2018nlh} to a soft WFF1 EOS \cite{Idrisy:2014qca}, assuming a distance $d=49.6$ kpc (green band), which is the distance of pulsar J0537-6910, and a hypothetical source emitting at the same frequency and with distance $d=2$ Mpc (red band). The two dashed lines define the spin-down limit for the same range of EOS.
Constraints on the \textit{r}-mode amplitude $\alpha$ using a network of two L-shaped ET detectors, with 15 km arms (left plot) and the triangle configuration, with 10 km arms (right plot), over three years, assuming in both cases a detector duty cycle of $85\%$. The considered parameter space corresponds to that of pulsar J0537-6910. The two colored bands corresponds to a range of EOS, from a stiff causally limited EOS with crust \cite{Haskell:2018nlh} to a soft WFF1 EOS \cite{Idrisy:2014qca}, assuming a distance $d=49.6$ kpc (green band), which is the distance of pulsar J0537-6910, and a hypothetical source emitting at the same frequency and with distance $d=2$ Mpc (red band). The two dashed lines define the spin-down limit for the same range of EOS.
Caption Constraints on the \textit{r}-mode amplitude $\alpha$ using a network of two L-shaped ET detectors, with 15 km arms (left plot) and the triangle configuration, with 10 km arms (right plot), over three years, assuming in both cases a detector duty cycle of $85\%$. The considered parameter space corresponds to that of pulsar J0537-6910. The two colored bands corresponds to a range of EOS, from a stiff causally limited EOS with crust \cite{Haskell:2018nlh} to a soft WFF1 EOS \cite{Idrisy:2014qca}, assuming a distance $d=49.6$ kpc (green band), which is the distance of pulsar J0537-6910, and a hypothetical source emitting at the same frequency and with distance $d=2$ Mpc (red band). The two dashed lines define the spin-down limit for the same range of EOS.
Left panel: Orientation-averaged spectra of the GW signal for different EOSs and the Adv LIGO (red dashed) and ET (black dashed) sensitivity curves. The inset shows the GW amplitude of the $+$ polarization at a distance of 20~Mpc for one of the EOSs. Figure from ref.~\cite{Bauswein:2011tp}. Right panel: Peak frequency of the postmerger GW emission as a function of tidal deformability $\Lambda$ for a $1.35 M_\odot - 1.35 M_\odot$ NS-NS merger. Black symbols are for purely hadronic EOSs, while green symbols are for EOSs which include a phase transition to quark matter; characterized by a density jump $\Delta n$ given $\rm fm^{-3}$. The solid curve shows a fit for the purely hadronic EOSs. Figure taken from ref.~\cite{Bauswein:2018bma}.
Caption Left panel: Orientation-averaged spectra of the GW signal for different EOSs and the Adv LIGO (red dashed) and ET (black dashed) sensitivity curves. The inset shows the GW amplitude of the $+$ polarization at a distance of 20~Mpc for one of the EOSs. Figure from ref.~\cite{Bauswein:2011tp}. Right panel: Peak frequency of the postmerger GW emission as a function of tidal deformability $\Lambda$ for a $1.35 M_\odot - 1.35 M_\odot$ NS-NS merger. Black symbols are for purely hadronic EOSs, while green symbols are for EOSs which include a phase transition to quark matter; characterized by a density jump $\Delta n$ given $\rm fm^{-3}$. The solid curve shows a fit for the purely hadronic EOSs. Figure taken from ref.~\cite{Bauswein:2018bma}.
Left panel: Orientation-averaged spectra of the GW signal for different EOSs and the Adv LIGO (red dashed) and ET (black dashed) sensitivity curves. The inset shows the GW amplitude of the $+$ polarization at a distance of 20~Mpc for one of the EOSs. Figure from ref.~\cite{Bauswein:2011tp}. Right panel: Peak frequency of the postmerger GW emission as a function of tidal deformability $\Lambda$ for a $1.35 M_\odot - 1.35 M_\odot$ NS-NS merger. Black symbols are for purely hadronic EOSs, while green symbols are for EOSs which include a phase transition to quark matter; characterized by a density jump $\Delta n$ given $\rm fm^{-3}$. The solid curve shows a fit for the purely hadronic EOSs. Figure taken from ref.~\cite{Bauswein:2018bma}.
Caption Left panel: Orientation-averaged spectra of the GW signal for different EOSs and the Adv LIGO (red dashed) and ET (black dashed) sensitivity curves. The inset shows the GW amplitude of the $+$ polarization at a distance of 20~Mpc for one of the EOSs. Figure from ref.~\cite{Bauswein:2011tp}. Right panel: Peak frequency of the postmerger GW emission as a function of tidal deformability $\Lambda$ for a $1.35 M_\odot - 1.35 M_\odot$ NS-NS merger. Black symbols are for purely hadronic EOSs, while green symbols are for EOSs which include a phase transition to quark matter; characterized by a density jump $\Delta n$ given $\rm fm^{-3}$. The solid curve shows a fit for the purely hadronic EOSs. Figure taken from ref.~\cite{Bauswein:2018bma}.
Empirical relation (black line) for the maximum central density $\rho^{\text{TOV}}_{\text{max}}$ of a non-rotating NS as function of the postmerger peak frequency $f_{2}$ and the Keplerian radius $R_{f_{2}}$. The colored markers show the data extracted from 289 numerical-relativity simulations with 14 EOSs, whereas the shadowed area indicates the $90\%$ credibility region of the fit. Figure is adapted from ref. \cite{Breschi:2021xrx}.
Caption Empirical relation (black line) for the maximum central density $\rho^{\text{TOV}}_{\text{max}}$ of a non-rotating NS as function of the postmerger peak frequency $f_{2}$ and the Keplerian radius $R_{f_{2}}$. The colored markers show the data extracted from 289 numerical-relativity simulations with 14 EOSs, whereas the shadowed area indicates the $90\%$ credibility region of the fit. Figure is adapted from ref. \cite{Breschi:2021xrx}.
Threshold binary mass for prompt collapse as a function of mass ratio for different neutron star radii. Solid curves assume a fixed maximum mass of $M_{\text{max}} = 2 M_{\odot}$ but different NS radii. Blue curves show $M_{\text{thres}}(q)$ for a	fixed radius $R_{1.6} = 13$ km but with $M_{\text{max}}$ being $2.0 M_{\odot}$ (solid), $2.1 M_{\odot}$ (dashed) and $2.2 M_{\odot}$ (dotted). Figure adapted from ref. \cite{Bauswein:2020xlt}.
Caption Threshold binary mass for prompt collapse as a function of mass ratio for different neutron star radii. Solid curves assume a fixed maximum mass of $M_{\text{max}} = 2 M_{\odot}$ but different NS radii. Blue curves show $M_{\text{thres}}(q)$ for a fixed radius $R_{1.6} = 13$ km but with $M_{\text{max}}$ being $2.0 M_{\odot}$ (solid), $2.1 M_{\odot}$ (dashed) and $2.2 M_{\odot}$ (dotted). Figure adapted from ref. \cite{Bauswein:2020xlt}.
Time-frequency map of the GW signal of a three-dimensional model of the collapse of a star with $20 \, M_\odot$ showing a PNS oscillation mode whose frequency rises continuously from the time of core bounce ($t = 0$). Figure taken from \cite{Bruel:2023iye}.
Caption Time-frequency map of the GW signal of a three-dimensional model of the collapse of a star with $20 \, M_\odot$ showing a PNS oscillation mode whose frequency rises continuously from the time of core bounce ($t = 0$). Figure taken from \cite{Bruel:2023iye}.
Post-bounce evolution of the gravitational waveform $A_+$ (top panels) and the corresponding spectrogram (bottom panels) for two representative models, neutrino-driven supernova explosion of a 11.2~M$_\odot$ progenitor model (S11.2) and 50~M$_\odot$ model (S50), the latter featuring a QCD phase transition and associated supernova explosion onset at around 376~ms post bounce, which is accompanied by a sudden rise of the GW amplitude. For S50, a magnified view of the gravitational waveform is shown in the inlay of the top panel with respect to the second bounce time, $t_{\rm p2b}$. Figure taken from ref. \cite{Kuroda22}.
Caption Post-bounce evolution of the gravitational waveform $A_+$ (top panels) and the corresponding spectrogram (bottom panels) for two representative models, neutrino-driven supernova explosion of a 11.2~M$_\odot$ progenitor model (S11.2) and 50~M$_\odot$ model (S50), the latter featuring a QCD phase transition and associated supernova explosion onset at around 376~ms post bounce, which is accompanied by a sudden rise of the GW amplitude. For S50, a magnified view of the gravitational waveform is shown in the inlay of the top panel with respect to the second bounce time, $t_{\rm p2b}$. Figure taken from ref. \cite{Kuroda22}.
Post-bounce evolution of the gravitational waveform $A_+$ (top panels) and the corresponding spectrogram (bottom panels) for two representative models, neutrino-driven supernova explosion of a 11.2~M$_\odot$ progenitor model (S11.2) and 50~M$_\odot$ model (S50), the latter featuring a QCD phase transition and associated supernova explosion onset at around 376~ms post bounce, which is accompanied by a sudden rise of the GW amplitude. For S50, a magnified view of the gravitational waveform is shown in the inlay of the top panel with respect to the second bounce time, $t_{\rm p2b}$. Figure taken from ref. \cite{Kuroda22}.
Caption Post-bounce evolution of the gravitational waveform $A_+$ (top panels) and the corresponding spectrogram (bottom panels) for two representative models, neutrino-driven supernova explosion of a 11.2~M$_\odot$ progenitor model (S11.2) and 50~M$_\odot$ model (S50), the latter featuring a QCD phase transition and associated supernova explosion onset at around 376~ms post bounce, which is accompanied by a sudden rise of the GW amplitude. For S50, a magnified view of the gravitational waveform is shown in the inlay of the top panel with respect to the second bounce time, $t_{\rm p2b}$. Figure taken from ref. \cite{Kuroda22}.
Characteristic GW spectral amplitudes, $h_{\rm char}$, for the two models S11.2 (light blue solid lines) and S50 (red solid lines) shown in figure~\ref{fig:GW}, assuming a source distance of 10~kpc (left panel) and 50~kpc (right panel). The noise amplitudes of aLIGO (green dashed lines) and ET (grey dashed lines) are plotted as references. Figure reproduced based on data from ref.~\cite{Kuroda22}.
Caption Characteristic GW spectral amplitudes, $h_{\rm char}$, for the two models S11.2 (light blue solid lines) and S50 (red solid lines) shown in figure~\ref{fig:GW}, assuming a source distance of 10~kpc (left panel) and 50~kpc (right panel). The noise amplitudes of aLIGO (green dashed lines) and ET (grey dashed lines) are plotted as references. Figure reproduced based on data from ref.~\cite{Kuroda22}.
Abundances obtained for a fluid element of entropy $s \approx 10 k_{\rm B}{\rm~baryon^{-1}}$, expansion timescale $\tau \approx 10~{\rm ms}$ and for different initial $Y_e$ are presented as a function of the mass number $A$ (left) and of the atomic number $Z$ (right). For $Y_e \lesssim 0.25$, r-process nucleosynthesis produces all heavy elements between the second (Te-I-Xe region) and third (Ir-Pt-Au region) r-process peaks, including lanthanides \cite{Lippuner:2015gwa}. If $Y_e \lesssim 0.15$, also actinides are produced \cite{Lippuner:2015gwa,Giuliani:2019oot}. The production of elements between the first (Se-Br-Kr region) and the second r-process peaks requires $0.25 \lesssim Y_e \lesssim 0.4 $. Figure from \cite{Perego:2021dpw}.
Caption Abundances obtained for a fluid element of entropy $s \approx 10 k_{\rm B}{\rm~baryon^{-1}}$, expansion timescale $\tau \approx 10~{\rm ms}$ and for different initial $Y_e$ are presented as a function of the mass number $A$ (left) and of the atomic number $Z$ (right). For $Y_e \lesssim 0.25$, r-process nucleosynthesis produces all heavy elements between the second (Te-I-Xe region) and third (Ir-Pt-Au region) r-process peaks, including lanthanides \cite{Lippuner:2015gwa}. If $Y_e \lesssim 0.15$, also actinides are produced \cite{Lippuner:2015gwa,Giuliani:2019oot}. The production of elements between the first (Se-Br-Kr region) and the second r-process peaks requires $0.25 \lesssim Y_e \lesssim 0.4 $. Figure from \cite{Perego:2021dpw}.
Abundances obtained for a fluid element of entropy $s \approx 10 k_{\rm B}{\rm~baryon^{-1}}$, expansion timescale $\tau \approx 10~{\rm ms}$ and for different initial $Y_e$ are presented as a function of the mass number $A$ (left) and of the atomic number $Z$ (right). For $Y_e \lesssim 0.25$, r-process nucleosynthesis produces all heavy elements between the second (Te-I-Xe region) and third (Ir-Pt-Au region) r-process peaks, including lanthanides \cite{Lippuner:2015gwa}. If $Y_e \lesssim 0.15$, also actinides are produced \cite{Lippuner:2015gwa,Giuliani:2019oot}. The production of elements between the first (Se-Br-Kr region) and the second r-process peaks requires $0.25 \lesssim Y_e \lesssim 0.4 $. Figure from \cite{Perego:2021dpw}.
Caption Abundances obtained for a fluid element of entropy $s \approx 10 k_{\rm B}{\rm~baryon^{-1}}$, expansion timescale $\tau \approx 10~{\rm ms}$ and for different initial $Y_e$ are presented as a function of the mass number $A$ (left) and of the atomic number $Z$ (right). For $Y_e \lesssim 0.25$, r-process nucleosynthesis produces all heavy elements between the second (Te-I-Xe region) and third (Ir-Pt-Au region) r-process peaks, including lanthanides \cite{Lippuner:2015gwa}. If $Y_e \lesssim 0.15$, also actinides are produced \cite{Lippuner:2015gwa,Giuliani:2019oot}. The production of elements between the first (Se-Br-Kr region) and the second r-process peaks requires $0.25 \lesssim Y_e \lesssim 0.4 $. Figure from \cite{Perego:2021dpw}.
Left: Evolution of the maximum density in CCSNe producing a BH. For a given progenitor, the nuclear EOS affects significantly the collapse timescale. Right: Color-coded GW spectrum from a 15$M_{\odot}$ CCSN simulation using the SFHx EOS. The red curves are contours (only for post-bounce times larger than 100~ms) of the $\bar{\nu}_e$'s spectra. The observer’s direction is fixed along the $z$-axis for a source at a distance of $d = 10$ kpc. The overlap observed for this model between the two spectra is evident. Figures adapted from \cite{Ebinger:2018fkw} (left) and \cite{Kuroda:2017trn} (right).
Caption Left: Evolution of the maximum density in CCSNe producing a BH. For a given progenitor, the nuclear EOS affects significantly the collapse timescale. Right: Color-coded GW spectrum from a 15$M_{\odot}$ CCSN simulation using the SFHx EOS. The red curves are contours (only for post-bounce times larger than 100~ms) of the $\bar{\nu}_e$'s spectra. The observer’s direction is fixed along the $z$-axis for a source at a distance of $d = 10$ kpc. The overlap observed for this model between the two spectra is evident. Figures adapted from \cite{Ebinger:2018fkw} (left) and \cite{Kuroda:2017trn} (right).
Left: Evolution of the maximum density in CCSNe producing a BH. For a given progenitor, the nuclear EOS affects significantly the collapse timescale. Right: Color-coded GW spectrum from a 15$M_{\odot}$ CCSN simulation using the SFHx EOS. The red curves are contours (only for post-bounce times larger than 100~ms) of the $\bar{\nu}_e$'s spectra. The observer’s direction is fixed along the $z$-axis for a source at a distance of $d = 10$ kpc. The overlap observed for this model between the two spectra is evident. Figures adapted from \cite{Ebinger:2018fkw} (left) and \cite{Kuroda:2017trn} (right).
Caption Left: Evolution of the maximum density in CCSNe producing a BH. For a given progenitor, the nuclear EOS affects significantly the collapse timescale. Right: Color-coded GW spectrum from a 15$M_{\odot}$ CCSN simulation using the SFHx EOS. The red curves are contours (only for post-bounce times larger than 100~ms) of the $\bar{\nu}_e$'s spectra. The observer’s direction is fixed along the $z$-axis for a source at a distance of $d = 10$ kpc. The overlap observed for this model between the two spectra is evident. Figures adapted from \cite{Ebinger:2018fkw} (left) and \cite{Kuroda:2017trn} (right).
Left: Dynamical ejecta mass ($x$ axis) VS secular ejecta mass ($y$-axis, estimated as 20\% of the disk mass) extracted from a large set of BNS merger simulations. Secular ejecta are dominant over the dynamical ones. Different colors show the impact of the nuclear EOS. Right: r-process nucleosynthesis from different simulations of the same BNS merger. Simulations featuring neutrino absorption in optically thin conditions (red and orange lines) produce all r-process nuclei, while the simulation not including it (blue line) only strong r-process nucleosynthesis. Figures adapted from \cite{Radice:2018pdn}.
Caption Left: Dynamical ejecta mass ($x$ axis) VS secular ejecta mass ($y$-axis, estimated as 20\% of the disk mass) extracted from a large set of BNS merger simulations. Secular ejecta are dominant over the dynamical ones. Different colors show the impact of the nuclear EOS. Right: r-process nucleosynthesis from different simulations of the same BNS merger. Simulations featuring neutrino absorption in optically thin conditions (red and orange lines) produce all r-process nuclei, while the simulation not including it (blue line) only strong r-process nucleosynthesis. Figures adapted from \cite{Radice:2018pdn}.
Left: Dynamical ejecta mass ($x$ axis) VS secular ejecta mass ($y$-axis, estimated as 20\% of the disk mass) extracted from a large set of BNS merger simulations. Secular ejecta are dominant over the dynamical ones. Different colors show the impact of the nuclear EOS. Right: r-process nucleosynthesis from different simulations of the same BNS merger. Simulations featuring neutrino absorption in optically thin conditions (red and orange lines) produce all r-process nuclei, while the simulation not including it (blue line) only strong r-process nucleosynthesis. Figures adapted from \cite{Radice:2018pdn}.
Caption Left: Dynamical ejecta mass ($x$ axis) VS secular ejecta mass ($y$-axis, estimated as 20\% of the disk mass) extracted from a large set of BNS merger simulations. Secular ejecta are dominant over the dynamical ones. Different colors show the impact of the nuclear EOS. Right: r-process nucleosynthesis from different simulations of the same BNS merger. Simulations featuring neutrino absorption in optically thin conditions (red and orange lines) produce all r-process nuclei, while the simulation not including it (blue line) only strong r-process nucleosynthesis. Figures adapted from \cite{Radice:2018pdn}.
Examples of constraints on the nuclear EOS obtained by joint multimessenger analysis combining astrophysical observations of pulsars, NICER measurements, GW170817 and GW190425, kilonova AT2017gfo and GRB170817A modeling. Left: Posteriors for the pressure as a function of number density with (purple) and without (blue) NICER and XMM observations of PSR J0740+6620. Right: Posteriors in the $M$-$R$ diagram of the GW-only (blue), joint (red), and NR-informed joint analysis (green).   Figures adapted from \cite{Pang:2021jta} (left) and \cite{Breschi:2024qlc} (right).
Caption Examples of constraints on the nuclear EOS obtained by joint multimessenger analysis combining astrophysical observations of pulsars, NICER measurements, GW170817 and GW190425, kilonova AT2017gfo and GRB170817A modeling. Left: Posteriors for the pressure as a function of number density with (purple) and without (blue) NICER and XMM observations of PSR J0740+6620. Right: Posteriors in the $M$-$R$ diagram of the GW-only (blue), joint (red), and NR-informed joint analysis (green). Figures adapted from \cite{Pang:2021jta} (left) and \cite{Breschi:2024qlc} (right).
Examples of constraints on the nuclear EOS obtained by joint multimessenger analysis combining astrophysical observations of pulsars, NICER measurements, GW170817 and GW190425, kilonova AT2017gfo and GRB170817A modeling. Left: Posteriors for the pressure as a function of number density with (purple) and without (blue) NICER and XMM observations of PSR J0740+6620. Right: Posteriors in the $M$-$R$ diagram of the GW-only (blue), joint (red), and NR-informed joint analysis (green).   Figures adapted from \cite{Pang:2021jta} (left) and \cite{Breschi:2024qlc} (right).
Caption Examples of constraints on the nuclear EOS obtained by joint multimessenger analysis combining astrophysical observations of pulsars, NICER measurements, GW170817 and GW190425, kilonova AT2017gfo and GRB170817A modeling. Left: Posteriors for the pressure as a function of number density with (purple) and without (blue) NICER and XMM observations of PSR J0740+6620. Right: Posteriors in the $M$-$R$ diagram of the GW-only (blue), joint (red), and NR-informed joint analysis (green). Figures adapted from \cite{Pang:2021jta} (left) and \cite{Breschi:2024qlc} (right).
Influence of magnetic field and neutrino emission in the post-merger phase of a specific BNS simulation. Vertical lines mark the neutrino insertion (Mag + Rad cases), and BH formation. Figure from \cite{2022PhRvD.105j4028S}.
Caption Influence of magnetic field and neutrino emission in the post-merger phase of a specific BNS simulation. Vertical lines mark the neutrino insertion (Mag + Rad cases), and BH formation. Figure from \cite{2022PhRvD.105j4028S}.
Left: The $M(R)$ curve for two EOS and two theories of gravity -- GR and metric $f(R)=R+\alpha R^2$ gravity. Figure adapted from \cite{Yazadjiev:2014cza}. Right: $M(R)$ curves from a typical EOS (green dashed line) modified by either a phase transition (black dashed line) or Palatini $f(R)$ gravity (solid green line). Superposed are example current and near-term pulsar measurement uncertainties~\cite{Romani:2022jhd,Raaijmakers:2019qny,Salmi:2024aum}. Figure adapted from \cite{Lope-Oter:2023urz}.
Caption Left: The $M(R)$ curve for two EOS and two theories of gravity -- GR and metric $f(R)=R+\alpha R^2$ gravity. Figure adapted from \cite{Yazadjiev:2014cza}. Right: $M(R)$ curves from a typical EOS (green dashed line) modified by either a phase transition (black dashed line) or Palatini $f(R)$ gravity (solid green line). Superposed are example current and near-term pulsar measurement uncertainties~\cite{Romani:2022jhd,Raaijmakers:2019qny,Salmi:2024aum}. Figure adapted from \cite{Lope-Oter:2023urz}.
Left: The $M(R)$ curve for two EOS and two theories of gravity -- GR and metric $f(R)=R+\alpha R^2$ gravity. Figure adapted from \cite{Yazadjiev:2014cza}. Right: $M(R)$ curves from a typical EOS (green dashed line) modified by either a phase transition (black dashed line) or Palatini $f(R)$ gravity (solid green line). Superposed are example current and near-term pulsar measurement uncertainties~\cite{Romani:2022jhd,Raaijmakers:2019qny,Salmi:2024aum}. Figure adapted from \cite{Lope-Oter:2023urz}.
Caption Left: The $M(R)$ curve for two EOS and two theories of gravity -- GR and metric $f(R)=R+\alpha R^2$ gravity. Figure adapted from \cite{Yazadjiev:2014cza}. Right: $M(R)$ curves from a typical EOS (green dashed line) modified by either a phase transition (black dashed line) or Palatini $f(R)$ gravity (solid green line). Superposed are example current and near-term pulsar measurement uncertainties~\cite{Romani:2022jhd,Raaijmakers:2019qny,Salmi:2024aum}. Figure adapted from \cite{Lope-Oter:2023urz}.
Influence of different values of the coupling constant $\alpha$ of $f(R)=R+\alpha R^2$ gravity on the post-merger GW signal (A10 computed with $\alpha = 21.8\, {\rm km}^2$, A500 with $\alpha = 1090.3\,{\rm km}^2$). (Time shifted so that the peak strain is simultaneous to that in GR). Figure from \cite{2018PhRvD..97f4016S} with APS permission. \label{fig:modGRstrain}
Caption Influence of different values of the coupling constant $\alpha$ of $f(R)=R+\alpha R^2$ gravity on the post-merger GW signal (A10 computed with $\alpha = 21.8\, {\rm km}^2$, A500 with $\alpha = 1090.3\,{\rm km}^2$). (Time shifted so that the peak strain is simultaneous to that in GR). Figure from \cite{2018PhRvD..97f4016S} with APS permission. \label{fig:modGRstrain}
The universal relation for the peak frequency of the remainder following a neutron-star binary merger breaks down even in GR if the band of EOS used is broad enough: full tests of the gravity theory will need good control of the EOS from other sources. Reproduced from \cite{Raithel:2022orm} under Creative Commons 4.0 Attribution license.
Caption The universal relation for the peak frequency of the remainder following a neutron-star binary merger breaks down even in GR if the band of EOS used is broad enough: full tests of the gravity theory will need good control of the EOS from other sources. Reproduced from \cite{Raithel:2022orm} under Creative Commons 4.0 Attribution license.
If mirror DM is added in varying quantities to ordinary NS matter, the admixture is equivalent to having a one-parameter family of EOSs, and observable to observable diagrams such as $M(R)$ or $\Lambda(M)$ are now populated in two dimensions, with pure NS matter providing the (cyan online) upper right edge of the figure. Reproduced from~\cite{Hippert:2022snq} with permission from APS.
Caption If mirror DM is added in varying quantities to ordinary NS matter, the admixture is equivalent to having a one-parameter family of EOSs, and observable to observable diagrams such as $M(R)$ or $\Lambda(M)$ are now populated in two dimensions, with pure NS matter providing the (cyan online) upper right edge of the figure. Reproduced from~\cite{Hippert:2022snq} with permission from APS.
Modifications of the mass-radius relation (left panel) and tidal deformability of NSs with a fraction of DM, $f_{\chi}$, and DM particle's mass, $m_{\chi}$. To address the uncertainties of the baryonic matter EOS, the soft IST EOS~\cite{Sagun:2020qvc} (black solid curve) and stiff BigApple EOS~\cite{Fattoyev:2020cws} (dark red solid curve) are considered. The 1$\sigma$ constraints from GW170817, GW190425, the NICER measurements of PSR J00030+0451, and PSRJ0740+6620, as well as mass measurements of heavy radio pulsars (PSR J1810+1744, PSR J0348+0432) are plotted. The 1$\sigma$ and 2$\sigma$ contours of HESS J1731-347~\cite{Doroshenko:2022} are shown in dark and light orange. Figure adapted from~\cite{Giangrandi:2022wht, Sagun:2023rzp}
Caption Modifications of the mass-radius relation (left panel) and tidal deformability of NSs with a fraction of DM, $f_{\chi}$, and DM particle's mass, $m_{\chi}$. To address the uncertainties of the baryonic matter EOS, the soft IST EOS~\cite{Sagun:2020qvc} (black solid curve) and stiff BigApple EOS~\cite{Fattoyev:2020cws} (dark red solid curve) are considered. The 1$\sigma$ constraints from GW170817, GW190425, the NICER measurements of PSR J00030+0451, and PSRJ0740+6620, as well as mass measurements of heavy radio pulsars (PSR J1810+1744, PSR J0348+0432) are plotted. The 1$\sigma$ and 2$\sigma$ contours of HESS J1731-347~\cite{Doroshenko:2022} are shown in dark and light orange. Figure adapted from~\cite{Giangrandi:2022wht, Sagun:2023rzp}
Modifications of the mass-radius relation (left panel) and tidal deformability of NSs with a fraction of DM, $f_{\chi}$, and DM particle's mass, $m_{\chi}$. To address the uncertainties of the baryonic matter EOS, the soft IST EOS~\cite{Sagun:2020qvc} (black solid curve) and stiff BigApple EOS~\cite{Fattoyev:2020cws} (dark red solid curve) are considered. The 1$\sigma$ constraints from GW170817, GW190425, the NICER measurements of PSR J00030+0451, and PSRJ0740+6620, as well as mass measurements of heavy radio pulsars (PSR J1810+1744, PSR J0348+0432) are plotted. The 1$\sigma$ and 2$\sigma$ contours of HESS J1731-347~\cite{Doroshenko:2022} are shown in dark and light orange. Figure adapted from~\cite{Giangrandi:2022wht, Sagun:2023rzp}
Caption Modifications of the mass-radius relation (left panel) and tidal deformability of NSs with a fraction of DM, $f_{\chi}$, and DM particle's mass, $m_{\chi}$. To address the uncertainties of the baryonic matter EOS, the soft IST EOS~\cite{Sagun:2020qvc} (black solid curve) and stiff BigApple EOS~\cite{Fattoyev:2020cws} (dark red solid curve) are considered. The 1$\sigma$ constraints from GW170817, GW190425, the NICER measurements of PSR J00030+0451, and PSRJ0740+6620, as well as mass measurements of heavy radio pulsars (PSR J1810+1744, PSR J0348+0432) are plotted. The 1$\sigma$ and 2$\sigma$ contours of HESS J1731-347~\cite{Doroshenko:2022} are shown in dark and light orange. Figure adapted from~\cite{Giangrandi:2022wht, Sagun:2023rzp}
Spectral density computed for the full post-merger data (thin red line) and for the early post-merger interval (thick colored lines) obtained from variation of DM mass fraction $f_\chi$ and viscosity parameter $\beta_2$ defined as the coefficient of an effective velocity-dependent dissipative force $\sim \beta_2 v^2$. We also plot sensitivity curves of the NEMO, CE, ET, and Advanced LIGO detectors (black and grey curves). CoRe database \cite{dietrich2018coredatabasebinaryneutron} sets THC005, THC0032, and THC0040 appear in the left, center, and right plots, respectively. The damping of the peak amplitude due to DM can be seen. Distance fixed to $d = 50$~Mpc.
Caption Spectral density computed for the full post-merger data (thin red line) and for the early post-merger interval (thick colored lines) obtained from variation of DM mass fraction $f_\chi$ and viscosity parameter $\beta_2$ defined as the coefficient of an effective velocity-dependent dissipative force $\sim \beta_2 v^2$. We also plot sensitivity curves of the NEMO, CE, ET, and Advanced LIGO detectors (black and grey curves). CoRe database \cite{dietrich2018coredatabasebinaryneutron} sets THC005, THC0032, and THC0040 appear in the left, center, and right plots, respectively. The damping of the peak amplitude due to DM can be seen. Distance fixed to $d = 50$~Mpc.
Final fate of stars in the mass range $(7-13)\, M_\odot$ according to \cite{Limongi:2023bcg}.
Caption Final fate of stars in the mass range $(7-13)\, M_\odot$ according to \cite{Limongi:2023bcg}.
Final fate  and remnant masses predicted for non rotating stars as a function of the initial mass and initial metallicity. The red line marks the predicted maximum remnant mass.
Caption Final fate and remnant masses predicted for non rotating stars as a function of the initial mass and initial metallicity. The red line marks the predicted maximum remnant mass.
Final fate  and remnant masses predicted for stars with initial rotation velocity of 300 km/s as a function of the initial mass and initial metallicity. The red line marks the predicted maximum remnant mass.
Caption Final fate and remnant masses predicted for stars with initial rotation velocity of 300 km/s as a function of the initial mass and initial metallicity. The red line marks the predicted maximum remnant mass.
Morphology of the ejecta of two three-dimensional models of neutrino-driven SNe for progenitors of initial masses of $11$ and $23 \, \msol$ \cite{Burrows:2024pur}: isosurfaces of $10\%$ abundance of ${}^{56}\mathrm{Ni}$ colored by the Mach number of the radial velocity and, as blue veil, the shock surface.
Caption Morphology of the ejecta of two three-dimensional models of neutrino-driven SNe for progenitors of initial masses of $11$ and $23 \, \msol$ \cite{Burrows:2024pur}: isosurfaces of $10\%$ abundance of ${}^{56}\mathrm{Ni}$ colored by the Mach number of the radial velocity and, as blue veil, the shock surface.
Morphology of the ejecta of two three-dimensional models of neutrino-driven SNe for progenitors of initial masses of $11$ and $23 \, \msol$ \cite{Burrows:2024pur}: isosurfaces of $10\%$ abundance of ${}^{56}\mathrm{Ni}$ colored by the Mach number of the radial velocity and, as blue veil, the shock surface.
Caption Morphology of the ejecta of two three-dimensional models of neutrino-driven SNe for progenitors of initial masses of $11$ and $23 \, \msol$ \cite{Burrows:2024pur}: isosurfaces of $10\%$ abundance of ${}^{56}\mathrm{Ni}$ colored by the Mach number of the radial velocity and, as blue veil, the shock surface.
Time evolution of neutrino luminosities $L$ and mean energies $\langle \varepsilon \rangle$ for a typical long-time simulation \cite{Hudepohl:2009tyy}.
Caption Time evolution of neutrino luminosities $L$ and mean energies $\langle \varepsilon \rangle$ for a typical long-time simulation \cite{Hudepohl:2009tyy}.
{\it Bounce \acrshort{gw} signal}: strain during the first few ms of the collapse of a fast rotating progenitor computed for different EOS. The signal is cheracterized by the peak to peak amplitude, $\Delta h_+$, and the frequency $f_{\rm peak}$ of the post bounce oscillations up to $\sim 6$~ms \cite{Richers:2017joj}.
Caption {\it Bounce \acrshort{gw} signal}: strain during the first few ms of the collapse of a fast rotating progenitor computed for different EOS. The signal is cheracterized by the peak to peak amplitude, $\Delta h_+$, and the frequency $f_{\rm peak}$ of the post bounce oscillations up to $\sim 6$~ms \cite{Richers:2017joj}.
Typical strain during neutrino-driven SNe showing the different features present~\cite{Murphy:2009dx}.
Caption Typical strain during neutrino-driven SNe showing the different features present~\cite{Murphy:2009dx}.
Spectrogram of a typical core-collapse simulation showing the tracks of different oscillation modes of the \acrshort{pns} \cite{Torres-Forne:2018nzj}.
Caption Spectrogram of a typical core-collapse simulation showing the tracks of different oscillation modes of the \acrshort{pns} \cite{Torres-Forne:2018nzj}.
Relationship between peak optical luminosity and characteristic time (defined as the duration for a luminosity decline of 0.1 dex) for optical transients within the local Universe. Different regions, denoted by various colours and shapes, indicate the typical location of some representative classes of transients such as SuperLuminous Supernovae (\acrshort{slsn}e), Tidal Disruption Events (\acrshort{tde}s), \acrshort{ccsn}e, Luminous Blue Variables (\acrshort{lbv}s), Intermediate Luminosity Red Transients (\acrshort{ilrt}s), Luminous Red Novae (\acrshort{lrn}e), and others. Figure adapted from \cite{Cai:2022uqa}.
Caption Relationship between peak optical luminosity and characteristic time (defined as the duration for a luminosity decline of 0.1 dex) for optical transients within the local Universe. Different regions, denoted by various colours and shapes, indicate the typical location of some representative classes of transients such as SuperLuminous Supernovae (\acrshort{slsn}e), Tidal Disruption Events (\acrshort{tde}s), \acrshort{ccsn}e, Luminous Blue Variables (\acrshort{lbv}s), Intermediate Luminosity Red Transients (\acrshort{ilrt}s), Luminous Red Novae (\acrshort{lrn}e), and others. Figure adapted from \cite{Cai:2022uqa}.
The yearly distribution of \acrshort{ccsn}e with spectroscopic classification from 2000 to 2023 within 100 Mpc.
Caption The yearly distribution of \acrshort{ccsn}e with spectroscopic classification from 2000 to 2023 within 100 Mpc.
Period versus period derivative of different classes of pulsars. Lines of constant estimated B-field are also shown, see\eq{eq:Bppdot}, as well as lines of constant luminosity, see \eq{eq:emlum}. Data taken from \cite{Manchester:2004bp,CotiZelati:2017rgc}.
Caption Period versus period derivative of different classes of pulsars. Lines of constant estimated B-field are also shown, see\eq{eq:Bppdot}, as well as lines of constant luminosity, see \eq{eq:emlum}. Data taken from \cite{Manchester:2004bp,CotiZelati:2017rgc}.
Position in the sky (galactic coordinates) of the various classes of pulsars shown in figure~\ref{fig:p_pdot}. Data taken from \cite{Manchester:2004bp,CotiZelati:2017rgc}.
Caption Position in the sky (galactic coordinates) of the various classes of pulsars shown in figure~\ref{fig:p_pdot}. Data taken from \cite{Manchester:2004bp,CotiZelati:2017rgc}.
Sensitivity of the cWB search pipeline to different \acrshort{ccsn} waveform models as function of the signal \acrshort{snr} using simulated O5 LIGO Hanford and Livingston data (from \cite{Szczepanczyk:2021bka}). The search sensitivity is defined as the average detection efficiency percentage.
Caption Sensitivity of the cWB search pipeline to different \acrshort{ccsn} waveform models as function of the signal \acrshort{snr} using simulated O5 LIGO Hanford and Livingston data (from \cite{Szczepanczyk:2021bka}). The search sensitivity is defined as the average detection efficiency percentage.
Expected SNR as a function of distance for the 15.01 (top plot) and 9a (bottom plot) models corresponding to a progenitor mass of 15.01~M$_\odot$ and 9~M$_\odot$ \cite{Vartanyan:2023sxm}, respectively. Solid lines represent the median SNR for \acrshort{et} 10 km triangle, while dashed lines indicate the median SNR for \acrshort{et} 15 km 2L considering \acrshort{et} operating as a single observatory or in a network with CE(40 km), and CE(40 km)+CE(20km).  Colored bands indicate the 90\% confidence interval. The vertical lines indicate reference distances; the Milky-Way edge, the large and small Magellanic clouds.
Caption Expected SNR as a function of distance for the 15.01 (top plot) and 9a (bottom plot) models corresponding to a progenitor mass of 15.01~M$_\odot$ and 9~M$_\odot$ \cite{Vartanyan:2023sxm}, respectively. Solid lines represent the median SNR for \acrshort{et} 10 km triangle, while dashed lines indicate the median SNR for \acrshort{et} 15 km 2L considering \acrshort{et} operating as a single observatory or in a network with CE(40 km), and CE(40 km)+CE(20km). Colored bands indicate the 90\% confidence interval. The vertical lines indicate reference distances; the Milky-Way edge, the large and small Magellanic clouds.
Expected SNR as a function of distance for the 15.01 (top plot) and 9a (bottom plot) models corresponding to a progenitor mass of 15.01~M$_\odot$ and 9~M$_\odot$ \cite{Vartanyan:2023sxm}, respectively. Solid lines represent the median SNR for \acrshort{et} 10 km triangle, while dashed lines indicate the median SNR for \acrshort{et} 15 km 2L considering \acrshort{et} operating as a single observatory or in a network with CE(40 km), and CE(40 km)+CE(20km).  Colored bands indicate the 90\% confidence interval. The vertical lines indicate reference distances; the Milky-Way edge, the large and small Magellanic clouds.
Caption Expected SNR as a function of distance for the 15.01 (top plot) and 9a (bottom plot) models corresponding to a progenitor mass of 15.01~M$_\odot$ and 9~M$_\odot$ \cite{Vartanyan:2023sxm}, respectively. Solid lines represent the median SNR for \acrshort{et} 10 km triangle, while dashed lines indicate the median SNR for \acrshort{et} 15 km 2L considering \acrshort{et} operating as a single observatory or in a network with CE(40 km), and CE(40 km)+CE(20km). Colored bands indicate the 90\% confidence interval. The vertical lines indicate reference distances; the Milky-Way edge, the large and small Magellanic clouds.
Each circle represents a value of $h_0\sqrt{\tau_\text{GW}}$ for $f$-modes excited by glitches of different pulsars and the sensitivity of several \acrshort{gw} detectors are plotted as horizontal dashed lines. Points that lie above the sensitivity curve have signal-to-noise ratio estimates greater than 1. Typically, one would require a signal-to-noise greater than $\sim$10 before a detection is classified as astrophysical. The ET sensitivity curve has been computed assuming the 2L 15 km configuration. The triangular 10 km configuration curve is not be distinguishable on the plot scale. Adapted from \cite{Ho:2020nhi}.
Caption Each circle represents a value of $h_0\sqrt{\tau_\text{GW}}$ for $f$-modes excited by glitches of different pulsars and the sensitivity of several \acrshort{gw} detectors are plotted as horizontal dashed lines. Points that lie above the sensitivity curve have signal-to-noise ratio estimates greater than 1. Typically, one would require a signal-to-noise greater than $\sim$10 before a detection is classified as astrophysical. The ET sensitivity curve has been computed assuming the 2L 15 km configuration. The triangular 10 km configuration curve is not be distinguishable on the plot scale. Adapted from \cite{Ho:2020nhi}.
Estimated \acrshort{et} sensitivity (solid line: 2L 15 km configuration, dashed line: triangular 10 km configuration - 1 year of data, duty cycle 85$\%$, drift time of 10 days) to \acrshort{cw} emission from Sco-X1 using the semi-coherent Viterbi algorithm \cite{Sun:2017zge}. The transversal orange dashed line represents the standard torque balance limit (with an average over the star rotation axis inclination), assuming surface accretion. The cyan band indicates torque balance strains from circular polarization (lower) to linear polarization (upper).
Caption Estimated \acrshort{et} sensitivity (solid line: 2L 15 km configuration, dashed line: triangular 10 km configuration - 1 year of data, duty cycle 85$\%$, drift time of 10 days) to \acrshort{cw} emission from Sco-X1 using the semi-coherent Viterbi algorithm \cite{Sun:2017zge}. The transversal orange dashed line represents the standard torque balance limit (with an average over the star rotation axis inclination), assuming surface accretion. The cyan band indicates torque balance strains from circular polarization (lower) to linear polarization (upper).
Maximum distance reached for an all-sky search of rotating \acrshort{ns}s, based on the FrequencyHough transform. The shaded area roughly covers the Milky Way extension (set at 25 kpc). The black dashed line represents a distance of 100 kpc. We assumed three plausible ellipticity values (and a realistic analysis setup, see main text). Two configurations, one consisting of two L-shape 15km arms detectors (continuous lines) and one with a triangular 10 km arms detector (dashed lines), are considered. In both cases, one year of observation time and a duty cycle of 85$\%$ is assumed.
Caption Maximum distance reached for an all-sky search of rotating \acrshort{ns}s, based on the FrequencyHough transform. The shaded area roughly covers the Milky Way extension (set at 25 kpc). The black dashed line represents a distance of 100 kpc. We assumed three plausible ellipticity values (and a realistic analysis setup, see main text). Two configurations, one consisting of two L-shape 15km arms detectors (continuous lines) and one with a triangular 10 km arms detector (dashed lines), are considered. In both cases, one year of observation time and a duty cycle of 85$\%$ is assumed.
Maximum distance at which \acrshort{tcw} emission from a newborn magnetar could be detected by \acrshort{et} for three different plausible values of the ellipticity (and realistic analysis setup, see text for more details). Two configurations, consisting of two L-sphape 15km arms or one triangular 10 km arms detectors, are considered.
Caption Maximum distance at which \acrshort{tcw} emission from a newborn magnetar could be detected by \acrshort{et} for three different plausible values of the ellipticity (and realistic analysis setup, see text for more details). Two configurations, consisting of two L-sphape 15km arms or one triangular 10 km arms detectors, are considered.
Predicted waveform accuracy requirements for second and third generation ground based detector networks (from \cite{Purrer:2019jcp}).
Caption Predicted waveform accuracy requirements for second and third generation ground based detector networks (from \cite{Purrer:2019jcp}).
Exemplary waveforms of hyperbolic BBH encounters where the two BHs are initially unbound. The left panel shows a scattering event where the BHs remain unbound, changing their direction of motion by $\sim 90^\circ$. The configuration shown at the right loses enough energy at the first interaction to be captured into a bound, eccentric binary that subsequently merges. Both systems start with equal-mass, non-spinning BH, with data from the SXS waveform catalog~\cite{sxscatalog}. Left SXS:BBH:3999 (initial energy $E_i=1.023$ and angular momentum $J_i=1.600 M$). Right SXS:BBH:4000 ($E_i = 1.001$ and $J_i=1.005 M$).
Caption Exemplary waveforms of hyperbolic BBH encounters where the two BHs are initially unbound. The left panel shows a scattering event where the BHs remain unbound, changing their direction of motion by $\sim 90^\circ$. The configuration shown at the right loses enough energy at the first interaction to be captured into a bound, eccentric binary that subsequently merges. Both systems start with equal-mass, non-spinning BH, with data from the SXS waveform catalog~\cite{sxscatalog}. Left SXS:BBH:3999 (initial energy $E_i=1.023$ and angular momentum $J_i=1.600 M$). Right SXS:BBH:4000 ($E_i = 1.001$ and $J_i=1.005 M$).
Exemplary IMR waveforms of coalescing binary black holes with mass ratio $1:3$ and a total source-frame mass of $60M_\odot$ located at a distance of $100$ Mpc and viewed under an inclination angle of $\pi/3$ relative to the line-of-sight. The initial GW frequency is $20$ Hz. The four panels show waveforms from four different state-of-the-art approximants discussed in the text highlighting the impact of different physical effects on the waveform. Top left: Example of an aligned-spin binary with only the dominant harmonic using the IMRPhenomTPHM approximant. Top right: Example of an aligned-spin binary including higher-order modes using the IMRPhenomXPHM approximant. Bottom left: Example of a spin-precessing binary using the SEOBNRv5PHM approximant. Bottom right: Example of an aligned-spin binary with non-zero orbital eccentricity using the TEOBResumS-Dal\'{i} approximant. We note that the latter waveform is shorter due to the enhanced radiation reaction in eccentric binaries relative to quasi-circular ones.
Caption Exemplary IMR waveforms of coalescing binary black holes with mass ratio $1:3$ and a total source-frame mass of $60M_\odot$ located at a distance of $100$ Mpc and viewed under an inclination angle of $\pi/3$ relative to the line-of-sight. The initial GW frequency is $20$ Hz. The four panels show waveforms from four different state-of-the-art approximants discussed in the text highlighting the impact of different physical effects on the waveform. Top left: Example of an aligned-spin binary with only the dominant harmonic using the IMRPhenomTPHM approximant. Top right: Example of an aligned-spin binary including higher-order modes using the IMRPhenomXPHM approximant. Bottom left: Example of a spin-precessing binary using the SEOBNRv5PHM approximant. Bottom right: Example of an aligned-spin binary with non-zero orbital eccentricity using the TEOBResumS-Dal\'{i} approximant. We note that the latter waveform is shorter due to the enhanced radiation reaction in eccentric binaries relative to quasi-circular ones.
Selection of binary neutron star waveforms from NR simulations showcasing three different postmerger phenomenologies: The top panel shows prompt collapse to a black hole; the middle panel shows the formation of a hypermassive neutron star (HMNS), and the bottom panel shows the formation of a stable neutron star. The simulations are BAM:0005~\cite{Dietrich:2016hky}, THC:0084~\cite{Nedora:2020hxc} and BAM:0080~\cite{Bernuzzi:2015rla}, publicly available from the CoRE database~\cite{Gonzalez:2022mgo}.
Caption Selection of binary neutron star waveforms from NR simulations showcasing three different postmerger phenomenologies: The top panel shows prompt collapse to a black hole; the middle panel shows the formation of a hypermassive neutron star (HMNS), and the bottom panel shows the formation of a stable neutron star. The simulations are BAM:0005~\cite{Dietrich:2016hky}, THC:0084~\cite{Nedora:2020hxc} and BAM:0080~\cite{Bernuzzi:2015rla}, publicly available from the CoRE database~\cite{Gonzalez:2022mgo}.
\textit{Features of NSBH waveforms} from the SXS catalog~\cite{sxscatalog} for nonspinning systems, which were aligned at early times. The case with mass ratio $Q=2$ (red curve) clearly shows the shutoff due to tidal disruption. For $Q=3$, the NSBH waveform (blue curve) is similar to the corresponding BBH case (dark grey curve) up to a small dephasing due to tidal effects and details in the evolution near the plunge-merger (not visible on this scale here).
Caption \textit{Features of NSBH waveforms} from the SXS catalog~\cite{sxscatalog} for nonspinning systems, which were aligned at early times. The case with mass ratio $Q=2$ (red curve) clearly shows the shutoff due to tidal disruption. For $Q=3$, the NSBH waveform (blue curve) is similar to the corresponding BBH case (dark grey curve) up to a small dephasing due to tidal effects and details in the evolution near the plunge-merger (not visible on this scale here).
Cusp strain in time domain computed using eq. (7) of ref.~\cite{Auclair:2023brk}, and fixing $f_{\rm low} = 5\, {\rm Hz}$, $f_{\rm high} = 10^4\, {\rm Hz}$ and for a cusp burst of characteristic amplitude $A = 10^{-21}\,  {\rm s}^{-1/3}$.
Caption Cusp strain in time domain computed using eq. (7) of ref.~\cite{Auclair:2023brk}, and fixing $f_{\rm low} = 5\, {\rm Hz}$, $f_{\rm high} = 10^4\, {\rm Hz}$ and for a cusp burst of characteristic amplitude $A = 10^{-21}\, {\rm s}^{-1/3}$.
Ringdown signal featuring echoes, when the remnent of the merger is a horizonless ultracompact object as opposed to a black hole.
Caption Ringdown signal featuring echoes, when the remnent of the merger is a horizonless ultracompact object as opposed to a black hole.
Numerical waveforms for the dipole $l = m = 1$ mode (left) and the quadrupole $l = m = 2$ mode (right) of the outgoing scalar radiation emitted by a BH-NS system in $K$-essence theory, for different values of the strong coupling scale $\Lambda$ and extracted at a radius of r = 7383km. The comparison to Fierz-Jordan-Branz-Dicke (FJBD) unscreened scalar-tensor theory have been included for comparison. The first peak (after the transient phase) of the quadrupole waveforms have been aligned for ease of comparison. See ref.~\cite{Cayuso:2024ppe} for details.
Caption Numerical waveforms for the dipole $l = m = 1$ mode (left) and the quadrupole $l = m = 2$ mode (right) of the outgoing scalar radiation emitted by a BH-NS system in $K$-essence theory, for different values of the strong coupling scale $\Lambda$ and extracted at a radius of r = 7383km. The comparison to Fierz-Jordan-Branz-Dicke (FJBD) unscreened scalar-tensor theory have been included for comparison. The first peak (after the transient phase) of the quadrupole waveforms have been aligned for ease of comparison. See ref.~\cite{Cayuso:2024ppe} for details.
Numerical waveforms for the dipole $l = m = 1$ mode (left) and the quadrupole $l = m = 2$ mode (right) of the outgoing scalar radiation emitted by a BH-NS system in $K$-essence theory, for different values of the strong coupling scale $\Lambda$ and extracted at a radius of r = 7383km. The comparison to Fierz-Jordan-Branz-Dicke (FJBD) unscreened scalar-tensor theory have been included for comparison. The first peak (after the transient phase) of the quadrupole waveforms have been aligned for ease of comparison. See ref.~\cite{Cayuso:2024ppe} for details.
Caption Numerical waveforms for the dipole $l = m = 1$ mode (left) and the quadrupole $l = m = 2$ mode (right) of the outgoing scalar radiation emitted by a BH-NS system in $K$-essence theory, for different values of the strong coupling scale $\Lambda$ and extracted at a radius of r = 7383km. The comparison to Fierz-Jordan-Branz-Dicke (FJBD) unscreened scalar-tensor theory have been included for comparison. The first peak (after the transient phase) of the quadrupole waveforms have been aligned for ease of comparison. See ref.~\cite{Cayuso:2024ppe} for details.
Real part of the $l = m = 2$ spherical harmonic of the GW strain obtained in the order-by-order (left) and fixing-the-equations (right) approaches, and compared when solving the full equations for EsGB gravity. The GR waveform is shown for comparison and the waveforms are aligned in phase and time at peak amplitude. See ref.~\cite{Corman:2024cdr} for details.
Caption Real part of the $l = m = 2$ spherical harmonic of the GW strain obtained in the order-by-order (left) and fixing-the-equations (right) approaches, and compared when solving the full equations for EsGB gravity. The GR waveform is shown for comparison and the waveforms are aligned in phase and time at peak amplitude. See ref.~\cite{Corman:2024cdr} for details.
Real part of the $l = m = 2$ spherical harmonic of the GW strain obtained in the order-by-order (left) and fixing-the-equations (right) approaches, and compared when solving the full equations for EsGB gravity. The GR waveform is shown for comparison and the waveforms are aligned in phase and time at peak amplitude. See ref.~\cite{Corman:2024cdr} for details.
Caption Real part of the $l = m = 2$ spherical harmonic of the GW strain obtained in the order-by-order (left) and fixing-the-equations (right) approaches, and compared when solving the full equations for EsGB gravity. The GR waveform is shown for comparison and the waveforms are aligned in phase and time at peak amplitude. See ref.~\cite{Corman:2024cdr} for details.
$\snr$ distribution for ET in the triangular configuration (left) and CE (right) considering a GW source with $M_1=36.9\ M_\odot$, $M_2 = 29\ M_\odot$ and located at $z=0.085$ ($d_L=402.4$ Mpc), obtained by selecting a random sets of angles. The mean of the distribution $\overline{\snr}$ approaches the average $\anglesavg{\snr}$ as the size of the samples increases.
Caption $\snr$ distribution for ET in the triangular configuration (left) and CE (right) considering a GW source with $M_1=36.9\ M_\odot$, $M_2 = 29\ M_\odot$ and located at $z=0.085$ ($d_L=402.4$ Mpc), obtained by selecting a random sets of angles. The mean of the distribution $\overline{\snr}$ approaches the average $\anglesavg{\snr}$ as the size of the samples increases.
Relative uncertainty of $d_L$ as a function of the inclination $\iota$ for binary neutron stars (BNSs) with total mass $M_{\mathrm{tot}}=3M_{\odot}$. Both $d_L$ and $\iota$ are treated as free parameters. Results are obtained using exact likelihood via nested sampling (black), and GWDALI with Fisher (magenta) and Triplet (green) estimators. These are compared to GWFISH (blue) and to the lower limit predicted by the Fisher matrix when only $d_L$ is a free parameter, leading to $\Delta d_L/d_L \approx 1/\mathrm{SNR}$ (red points). Figure adapted from \cite{deSouza:2023ozp}.
Caption Relative uncertainty of $d_L$ as a function of the inclination $\iota$ for binary neutron stars (BNSs) with total mass $M_{\mathrm{tot}}=3M_{\odot}$. Both $d_L$ and $\iota$ are treated as free parameters. Results are obtained using exact likelihood via nested sampling (black), and GWDALI with Fisher (magenta) and Triplet (green) estimators. These are compared to GWFISH (blue) and to the lower limit predicted by the Fisher matrix when only $d_L$ is a free parameter, leading to $\Delta d_L/d_L \approx 1/\mathrm{SNR}$ (red points). Figure adapted from \cite{deSouza:2023ozp}.
Posterior samples for a face-on BNS systems with ${\rm SNR}\ssim45$ at a LVKI O5 detector network obtained with: the standard FIM computed with \texttt{GWFAST}, with the addition of priors -- in particular, a prior on the inclination angle flat in $\cos \iota$, between -1 and 1 (blue); the extended hybrid likelihood approximant described in the text (orange); and a full Bayesian parameter estimation performed with \texttt{bilby}.
Caption Posterior samples for a face-on BNS systems with ${\rm SNR}\ssim45$ at a LVKI O5 detector network obtained with: the standard FIM computed with \texttt{GWFAST}, with the addition of priors -- in particular, a prior on the inclination angle flat in $\cos \iota$, between -1 and 1 (blue); the extended hybrid likelihood approximant described in the text (orange); and a full Bayesian parameter estimation performed with \texttt{bilby}.
Amplitude spectral densities (ASDs, single-sided) adopted for the FOMs discussed in this section. The left panel shows the sensitivity curves given by the High Frequency and cryogenic Low-Frequency instrument, in a xylophone configuration. The right panel provides the sensitivity resulting from the High Frequency instrument only. We consider ET with 10, 15 and 20 km arms, compared with the ASD of the 10 km ET-D. See \cite{Branchesi:2023mws} for further details.
Caption Amplitude spectral densities (ASDs, single-sided) adopted for the FOMs discussed in this section. The left panel shows the sensitivity curves given by the High Frequency and cryogenic Low-Frequency instrument, in a xylophone configuration. The right panel provides the sensitivity resulting from the High Frequency instrument only. We consider ET with 10, 15 and 20 km arms, compared with the ASD of the 10 km ET-D. See \cite{Branchesi:2023mws} for further details.
Amplitude spectral densities (ASDs, single-sided) adopted for the FOMs discussed in this section. The left panel shows the sensitivity curves given by the High Frequency and cryogenic Low-Frequency instrument, in a xylophone configuration. The right panel provides the sensitivity resulting from the High Frequency instrument only. We consider ET with 10, 15 and 20 km arms, compared with the ASD of the 10 km ET-D. See \cite{Branchesi:2023mws} for further details.
Caption Amplitude spectral densities (ASDs, single-sided) adopted for the FOMs discussed in this section. The left panel shows the sensitivity curves given by the High Frequency and cryogenic Low-Frequency instrument, in a xylophone configuration. The right panel provides the sensitivity resulting from the High Frequency instrument only. We consider ET with 10, 15 and 20 km arms, compared with the ASD of the 10 km ET-D. See \cite{Branchesi:2023mws} for further details.
Mollview plots for the angular sensitivity of different ET configurations, at a fixed GPS time. The upper panel shows the antenna pattern functions for a triangular detector, while lower plots refer to two L-shaped detectors in the misaligned (left) and aligned (right) configurations (as defined in \cite{Branchesi:2023mws}). The figures can be reproduced using the notebook available in the \href{https://gitlab.et-gw.eu/div9/tools/-/blob/main/antenna_pattern/notebooks/pattern_functions_Triangle_2L.ipynb?ref_type=heads}{Div.~9 GitLab repository}.
Caption Mollview plots for the angular sensitivity of different ET configurations, at a fixed GPS time. The upper panel shows the antenna pattern functions for a triangular detector, while lower plots refer to two L-shaped detectors in the misaligned (left) and aligned (right) configurations (as defined in \cite{Branchesi:2023mws}). The figures can be reproduced using the notebook available in the \href{https://gitlab.et-gw.eu/div9/tools/-/blob/main/antenna_pattern/notebooks/pattern_functions_Triangle_2L.ipynb?ref_type=heads}{Div.~9 GitLab repository}.
Mollview plots for the angular sensitivity of different ET configurations, at a fixed GPS time. The upper panel shows the antenna pattern functions for a triangular detector, while lower plots refer to two L-shaped detectors in the misaligned (left) and aligned (right) configurations (as defined in \cite{Branchesi:2023mws}). The figures can be reproduced using the notebook available in the \href{https://gitlab.et-gw.eu/div9/tools/-/blob/main/antenna_pattern/notebooks/pattern_functions_Triangle_2L.ipynb?ref_type=heads}{Div.~9 GitLab repository}.
Caption Mollview plots for the angular sensitivity of different ET configurations, at a fixed GPS time. The upper panel shows the antenna pattern functions for a triangular detector, while lower plots refer to two L-shaped detectors in the misaligned (left) and aligned (right) configurations (as defined in \cite{Branchesi:2023mws}). The figures can be reproduced using the notebook available in the \href{https://gitlab.et-gw.eu/div9/tools/-/blob/main/antenna_pattern/notebooks/pattern_functions_Triangle_2L.ipynb?ref_type=heads}{Div.~9 GitLab repository}.
As in figure~\ref{fig:pattern_functions_allconf}, but with a time shift of 6 hrs.
Caption As in figure~\ref{fig:pattern_functions_allconf}, but with a time shift of 6 hrs.
As in figure~\ref{fig:pattern_functions_allconf}, but with a time shift of 6 hrs.
Caption As in figure~\ref{fig:pattern_functions_allconf}, but with a time shift of 6 hrs.
Detection horizons for equal--mass non--spinning binaries as a function of the source--frame total mass for different ET configurations.
Caption Detection horizons for equal--mass non--spinning binaries as a function of the source--frame total mass for different ET configurations.
Detection horizon (solid line) compared to the ``inference horizon" $z_{90\%}$ (dashed line), defined as  the highest redshift one can confidently put a source beyond (at $90\%$ confidence level), and to the true value of the redshift that maximises the $90\%$ lower bound ($z_{\rm peak}$, dot--dashed line).
Caption Detection horizon (solid line) compared to the ``inference horizon" $z_{90\%}$ (dashed line), defined as the highest redshift one can confidently put a source beyond (at $90\%$ confidence level), and to the true value of the redshift that maximises the $90\%$ lower bound ($z_{\rm peak}$, dot--dashed line).
$\snr$ distribution of a fixed GW source with random sets of angles in ET (left) and CE (right). The mean of the distribution $\overline{\snr}$ approaches $\anglesavg{\snr}$ as the size of the samples increases.
Caption $\snr$ distribution of a fixed GW source with random sets of angles in ET (left) and CE (right). The mean of the distribution $\overline{\snr}$ approaches $\anglesavg{\snr}$ as the size of the samples increases.
Left panel: Characteristic strain of the a sky location-polarisation-inclination averaged GW signal over the sensitivity curves of the detectors labelled in the legend as a function of frequency. Right panel: Cumulative $\anglesavg{\snr}$ as a function of frequency for each detector, colors as in legend.
Caption Left panel: Characteristic strain of the a sky location-polarisation-inclination averaged GW signal over the sensitivity curves of the detectors labelled in the legend as a function of frequency. Right panel: Cumulative $\anglesavg{\snr}$ as a function of frequency for each detector, colors as in legend.
Cumulative SNR for a system with the maximum likelihood parameters of GW170817, observed by different ET configurations, as a function of GW frequency. The corresponding time to merger is shown in the upper horizontal axis. Left panel: using the ET sensitivity curve which includes both the HF and the LF interferometers, with the latter at cryogenic temperatures. Right panel: using only the the HF interferometer.
Caption Cumulative SNR for a system with the maximum likelihood parameters of GW170817, observed by different ET configurations, as a function of GW frequency. The corresponding time to merger is shown in the upper horizontal axis. Left panel: using the ET sensitivity curve which includes both the HF and the LF interferometers, with the latter at cryogenic temperatures. Right panel: using only the the HF interferometer.
Cumulative distributions of the number of BBH (left panel) and BNS (right panel) detections per year as a function of the SNR, observed by ET for the different configurations studied in \cite{Branchesi:2023mws}. The shaded area delimited by the dash-dotted line identifies the region with non-detectable events with ${\rm SNR}\leq 12$.
Caption Cumulative distributions of the number of BBH (left panel) and BNS (right panel) detections per year as a function of the SNR, observed by ET for the different configurations studied in \cite{Branchesi:2023mws}. The shaded area delimited by the dash-dotted line identifies the region with non-detectable events with ${\rm SNR}\leq 12$.
Cumulative distributions of the number of BBH (left panel) and BNS (right panel) detections per year as a function of the SNR, observed by ET for the different configurations studied in \cite{Branchesi:2023mws}. The shaded area delimited by the dash-dotted line identifies the region with non-detectable events with ${\rm SNR}\leq 12$.
Caption Cumulative distributions of the number of BBH (left panel) and BNS (right panel) detections per year as a function of the SNR, observed by ET for the different configurations studied in \cite{Branchesi:2023mws}. The shaded area delimited by the dash-dotted line identifies the region with non-detectable events with ${\rm SNR}\leq 12$.
Cumulative distributions of the accuracy on angular localization (left panel) and luminosity distance (right panel) for BBHs observed by ET in the different configurations studied in \cite{Branchesi:2023mws}.
Caption Cumulative distributions of the accuracy on angular localization (left panel) and luminosity distance (right panel) for BBHs observed by ET in the different configurations studied in \cite{Branchesi:2023mws}.
Cumulative distributions of the accuracy on angular localization (left panel) and luminosity distance (right panel) for BNSs observed by ET in the different configurations studied in \cite{Branchesi:2023mws}.
Caption Cumulative distributions of the accuracy on angular localization (left panel) and luminosity distance (right panel) for BNSs observed by ET in the different configurations studied in \cite{Branchesi:2023mws}.
Redshift distribution of the relative error on the luminosity distance of BNSs, with cuts at $50\%$, $20\%$, $10\%$ and $1\%$. Each panel represents a different detector configuration: the 10 and 15\,km triangle and the 15 and 20\,km 2L geometry. The left and right columns adopt full HFLF-cryo and the HF-only sensitivity curve, respectively. The total number of events corresponds to one year including duty cycle, with the same population of BNS as in \cite{Branchesi:2023mws}.
Caption Redshift distribution of the relative error on the luminosity distance of BNSs, with cuts at $50\%$, $20\%$, $10\%$ and $1\%$. Each panel represents a different detector configuration: the 10 and 15\,km triangle and the 15 and 20\,km 2L geometry. The left and right columns adopt full HFLF-cryo and the HF-only sensitivity curve, respectively. The total number of events corresponds to one year including duty cycle, with the same population of BNS as in \cite{Branchesi:2023mws}.
Redshift distribution of the uncertainty on sky-localization of BNSs at different cuts: $1000$\,deg$^2$, $100$\,deg$^2$, $10$\,deg$^2$ and $1$\,deg$^2$. For comparison, we also plot the injected and detected signals with ${\rm SNR} >8$. Each panel represents a different detector configuration, considering full HFLF-cryo (left plots) and the HF-only detectors (right plots) as in figure~\ref{fig:dist_redshift}. The total number of events corresponds to one year including duty cycle, with the same population of BNS as in \cite{Branchesi:2023mws}.
Caption Redshift distribution of the uncertainty on sky-localization of BNSs at different cuts: $1000$\,deg$^2$, $100$\,deg$^2$, $10$\,deg$^2$ and $1$\,deg$^2$. For comparison, we also plot the injected and detected signals with ${\rm SNR} >8$. Each panel represents a different detector configuration, considering full HFLF-cryo (left plots) and the HF-only detectors (right plots) as in figure~\ref{fig:dist_redshift}. The total number of events corresponds to one year including duty cycle, with the same population of BNS as in \cite{Branchesi:2023mws}.
Cumulative distributions of the number of detections per year for the relative errors on intrinsic parameters of  BBH systems observed by ET in the different configurations studied in \cite{Branchesi:2023mws}. We report the relative uncertainties on the source-frame chirp masses, and the uncertainties on the symmetric mass ratio and spin magnitudes of the two objects.
Caption Cumulative distributions of the number of detections per year for the relative errors on intrinsic parameters of BBH systems observed by ET in the different configurations studied in \cite{Branchesi:2023mws}. We report the relative uncertainties on the source-frame chirp masses, and the uncertainties on the symmetric mass ratio and spin magnitudes of the two objects.
As in figure~\ref{fig:intrinsicpars_cumulatives_allconf_BBH} for BNS sources. We report the relative uncertainties on the source-frame chirp masses and adimensional tidal deformability combinations $\tilde{\Lambda}$, and the uncertainties on the symmetric mass ratio and effective spin parameters.
Caption As in figure~\ref{fig:intrinsicpars_cumulatives_allconf_BBH} for BNS sources. We report the relative uncertainties on the source-frame chirp masses and adimensional tidal deformability combinations $\tilde{\Lambda}$, and the uncertainties on the symmetric mass ratio and effective spin parameters.
Redshift distributions of detected BBH events at ET in the different configurations studied in \cite{Branchesi:2023mws} having ${\rm SNR}\geq100$ (\emph{left panel}) and relative error on the source-frame chirp mass smaller than $1\%$ (\emph{right panel}).
Caption Redshift distributions of detected BBH events at ET in the different configurations studied in \cite{Branchesi:2023mws} having ${\rm SNR}\geq100$ (\emph{left panel}) and relative error on the source-frame chirp mass smaller than $1\%$ (\emph{right panel}).
Redshift distributions of detected BNS events at ET in the different configurations studied in \cite{Branchesi:2023mws} having ${\rm SNR}\geq30$ (\emph{left panel}) and relative error on the source-frame chirp mass smaller than $5\%$ (\emph{right panel}).
Caption Redshift distributions of detected BNS events at ET in the different configurations studied in \cite{Branchesi:2023mws} having ${\rm SNR}\geq30$ (\emph{left panel}) and relative error on the source-frame chirp mass smaller than $5\%$ (\emph{right panel}).
Relative errors on the  eccentricity parameter $e_0$ at $f_{e_{0}} = 10~{\rm Hz}$ attainable at the various ET configurations studied in \cite{Branchesi:2023mws}, in the regime of small eccentricities. We consider equal-mass sources with optimal sky position and orientation for each detector, negligible spins and $M_{\rm tot} = 2~{\rm M}_{\odot}$ at $d_L=100~{\rm Mpc}$ (\emph{left panel}) and $M_{\rm tot} = 20~{\rm M}_{\odot}$ at $d_L=500~{\rm Mpc}$ (\emph{right panel}).
Caption Relative errors on the eccentricity parameter $e_0$ at $f_{e_{0}} = 10~{\rm Hz}$ attainable at the various ET configurations studied in \cite{Branchesi:2023mws}, in the regime of small eccentricities. We consider equal-mass sources with optimal sky position and orientation for each detector, negligible spins and $M_{\rm tot} = 2~{\rm M}_{\odot}$ at $d_L=100~{\rm Mpc}$ (\emph{left panel}) and $M_{\rm tot} = 20~{\rm M}_{\odot}$ at $d_L=500~{\rm Mpc}$ (\emph{right panel}).
Relative errors on the population hyperparameters $\lambda$ for BBH systems as a function of observation time (bottom $x$-axes) for ET in the triangular configuration, based on the fiducial population model described in the text. The upper $x$-axes display the corresponding number of detected events. Each panel illustrates the hyperparameters associated with broad mass features, mass cutoffs, merger redshift evolution, and BH spins. Dashed horizontal lines indicate the threshold for percent-level accuracy, $\sigma_{\lambda}/\lambda = 1\%$, as a visual reference. Figure adapted from ref.~\cite{DeRenzis:2024dvx}.
Caption Relative errors on the population hyperparameters $\lambda$ for BBH systems as a function of observation time (bottom $x$-axes) for ET in the triangular configuration, based on the fiducial population model described in the text. The upper $x$-axes display the corresponding number of detected events. Each panel illustrates the hyperparameters associated with broad mass features, mass cutoffs, merger redshift evolution, and BH spins. Dashed horizontal lines indicate the threshold for percent-level accuracy, $\sigma_{\lambda}/\lambda = 1\%$, as a visual reference. Figure adapted from ref.~\cite{DeRenzis:2024dvx}.
Left: 68\% and 90\% credible regions in the $M_f$-$\chi_f$ plane, for a system with final mass $M_f=70~M_\odot$ and final spin $\chi_f=0.7$. Filled blue contours (resp.~empty green contours) are relative to a system with ringdown SNR $\rho_{\rm RD}=50$ (resp.~$\rho_{\rm RD}=12$). Marginalized 1-d posteriors refer to $\rho_{\rm RD}=50$, with the corresponding 90\% credible intervals indicated by the vertical dashed blue lines and in the plot headers (median and 90\% intervals for the $\rho_{\rm RD}=12$ case are indicated in parentheses for reference). Right: Same as left, in the $\delta f_{330}-A_{330}^{\rm R}$ plane. Note that the posterior is not Gaussian because we are mapping samples from $\log_{10} A_{lmn}$ to $A_{330}^{\rm R}$. For both $\rho_{\rm RD}=50$ and $\rho_{\rm RD}=12$ we fix the right ascension to $\alpha=1.95$, the declination to $\delta=-1.27$, the polarization to $\phi=0.82$ and the inclination angle to $\iota=\pi/3$, and assume a GPS time $t_{\rm GPS}=1126259462.423$. We change the SNR by a simple rescaling of the amplitudes.
Caption Left: 68\% and 90\% credible regions in the $M_f$-$\chi_f$ plane, for a system with final mass $M_f=70~M_\odot$ and final spin $\chi_f=0.7$. Filled blue contours (resp.~empty green contours) are relative to a system with ringdown SNR $\rho_{\rm RD}=50$ (resp.~$\rho_{\rm RD}=12$). Marginalized 1-d posteriors refer to $\rho_{\rm RD}=50$, with the corresponding 90\% credible intervals indicated by the vertical dashed blue lines and in the plot headers (median and 90\% intervals for the $\rho_{\rm RD}=12$ case are indicated in parentheses for reference). Right: Same as left, in the $\delta f_{330}-A_{330}^{\rm R}$ plane. Note that the posterior is not Gaussian because we are mapping samples from $\log_{10} A_{lmn}$ to $A_{330}^{\rm R}$. For both $\rho_{\rm RD}=50$ and $\rho_{\rm RD}=12$ we fix the right ascension to $\alpha=1.95$, the declination to $\delta=-1.27$, the polarization to $\phi=0.82$ and the inclination angle to $\iota=\pi/3$, and assume a GPS time $t_{\rm GPS}=1126259462.423$. We change the SNR by a simple rescaling of the amplitudes.
Left: 68\% and 90\% credible regions in the $M_f$-$\chi_f$ plane, for a system with final mass $M_f=70~M_\odot$ and final spin $\chi_f=0.7$. Filled blue contours (resp.~empty green contours) are relative to a system with ringdown SNR $\rho_{\rm RD}=50$ (resp.~$\rho_{\rm RD}=12$). Marginalized 1-d posteriors refer to $\rho_{\rm RD}=50$, with the corresponding 90\% credible intervals indicated by the vertical dashed blue lines and in the plot headers (median and 90\% intervals for the $\rho_{\rm RD}=12$ case are indicated in parentheses for reference). Right: Same as left, in the $\delta f_{330}-A_{330}^{\rm R}$ plane. Note that the posterior is not Gaussian because we are mapping samples from $\log_{10} A_{lmn}$ to $A_{330}^{\rm R}$. For both $\rho_{\rm RD}=50$ and $\rho_{\rm RD}=12$ we fix the right ascension to $\alpha=1.95$, the declination to $\delta=-1.27$, the polarization to $\phi=0.82$ and the inclination angle to $\iota=\pi/3$, and assume a GPS time $t_{\rm GPS}=1126259462.423$. We change the SNR by a simple rescaling of the amplitudes.
Caption Left: 68\% and 90\% credible regions in the $M_f$-$\chi_f$ plane, for a system with final mass $M_f=70~M_\odot$ and final spin $\chi_f=0.7$. Filled blue contours (resp.~empty green contours) are relative to a system with ringdown SNR $\rho_{\rm RD}=50$ (resp.~$\rho_{\rm RD}=12$). Marginalized 1-d posteriors refer to $\rho_{\rm RD}=50$, with the corresponding 90\% credible intervals indicated by the vertical dashed blue lines and in the plot headers (median and 90\% intervals for the $\rho_{\rm RD}=12$ case are indicated in parentheses for reference). Right: Same as left, in the $\delta f_{330}-A_{330}^{\rm R}$ plane. Note that the posterior is not Gaussian because we are mapping samples from $\log_{10} A_{lmn}$ to $A_{330}^{\rm R}$. For both $\rho_{\rm RD}=50$ and $\rho_{\rm RD}=12$ we fix the right ascension to $\alpha=1.95$, the declination to $\delta=-1.27$, the polarization to $\phi=0.82$ and the inclination angle to $\iota=\pi/3$, and assume a GPS time $t_{\rm GPS}=1126259462.423$. We change the SNR by a simple rescaling of the amplitudes.
Left panel: the PLS for different ET configurations, colors as in legend. Right panel: the minimum value of the PLS (i.e. the peak sensitivity) for different ET configurations as a function of the relative angle $\alpha_{\rm GC}$ between two interferometers with respect to the great circle that joins them, colors as in legend. In both panels solid lines refer to the full sensitivity obtained with the HF interferometer together with the cryogenic LF interferometer, while dashed curves refer to the sensitivity when only the HF instrument is included.
Caption Left panel: the PLS for different ET configurations, colors as in legend. Right panel: the minimum value of the PLS (i.e. the peak sensitivity) for different ET configurations as a function of the relative angle $\alpha_{\rm GC}$ between two interferometers with respect to the great circle that joins them, colors as in legend. In both panels solid lines refer to the full sensitivity obtained with the HF interferometer together with the cryogenic LF interferometer, while dashed curves refer to the sensitivity when only the HF instrument is included.
The function $R_{ab}(f)$ that determines the signal-to-noise ratio of the astrophysical confusion noise through \eq{SoverNdShdlogf}, for three different cosmological searches corresponding to $\Omega_{\rm gw}(f)\propto 1/f^3$, $\Omega_{\rm gw}(f)\propto {\rm const.}$, and $\Omega_{\rm gw}(f)\propto f^3$. The inset gives the quantity $( S_{\cal N}/N)_{ab}$, defined in \eq{SoverNdShdlogf} as the integral of $R_{ab}(f)$ over $d\log f$. We use $\snrth=12$ as threshold for the resolved sources. The left column refers to the contribution of BBHs and the right column to BNSs. From ref.~\cite{Belgacem:2024ntv}.
Caption The function $R_{ab}(f)$ that determines the signal-to-noise ratio of the astrophysical confusion noise through \eq{SoverNdShdlogf}, for three different cosmological searches corresponding to $\Omega_{\rm gw}(f)\propto 1/f^3$, $\Omega_{\rm gw}(f)\propto {\rm const.}$, and $\Omega_{\rm gw}(f)\propto f^3$. The inset gives the quantity $( S_{\cal N}/N)_{ab}$, defined in \eq{SoverNdShdlogf} as the integral of $R_{ab}(f)$ over $d\log f$. We use $\snrth=12$ as threshold for the resolved sources. The left column refers to the contribution of BBHs and the right column to BNSs. From ref.~\cite{Belgacem:2024ntv}.
Analysis of the noise PSD in ET based on the null stream. \textbf{Left}: The overall PSD across the ET's components, with the presence of a gravitational-wave signal from a binary neutron star inspiral. It distinctly affects the noise PSD at 5 Hz, deviating from the expected design sensitivity. PSD estimation is based on a 128-second data span, resulting in the BNS signal appearing as a narrowband feature. \textbf{Right}: PSD assessment in one of the ET components, utilizing the cross-power between this component and the null stream, alongside the established linear relationship between the PSD of the null stream and the detector. The impact of the BNS signal on the noise PSD has been effectively eliminated. From ref.~\cite{Goncharov:2022dgl}.
Caption Analysis of the noise PSD in ET based on the null stream. \textbf{Left}: The overall PSD across the ET's components, with the presence of a gravitational-wave signal from a binary neutron star inspiral. It distinctly affects the noise PSD at 5 Hz, deviating from the expected design sensitivity. PSD estimation is based on a 128-second data span, resulting in the BNS signal appearing as a narrowband feature. \textbf{Right}: PSD assessment in one of the ET components, utilizing the cross-power between this component and the null stream, alongside the established linear relationship between the PSD of the null stream and the detector. The impact of the BNS signal on the noise PSD has been effectively eliminated. From ref.~\cite{Goncharov:2022dgl}.
Analysis of the noise PSD in ET based on the null stream. \textbf{Left}: The overall PSD across the ET's components, with the presence of a gravitational-wave signal from a binary neutron star inspiral. It distinctly affects the noise PSD at 5 Hz, deviating from the expected design sensitivity. PSD estimation is based on a 128-second data span, resulting in the BNS signal appearing as a narrowband feature. \textbf{Right}: PSD assessment in one of the ET components, utilizing the cross-power between this component and the null stream, alongside the established linear relationship between the PSD of the null stream and the detector. The impact of the BNS signal on the noise PSD has been effectively eliminated. From ref.~\cite{Goncharov:2022dgl}.
Caption Analysis of the noise PSD in ET based on the null stream. \textbf{Left}: The overall PSD across the ET's components, with the presence of a gravitational-wave signal from a binary neutron star inspiral. It distinctly affects the noise PSD at 5 Hz, deviating from the expected design sensitivity. PSD estimation is based on a 128-second data span, resulting in the BNS signal appearing as a narrowband feature. \textbf{Right}: PSD assessment in one of the ET components, utilizing the cross-power between this component and the null stream, alongside the established linear relationship between the PSD of the null stream and the detector. The impact of the BNS signal on the noise PSD has been effectively eliminated. From ref.~\cite{Goncharov:2022dgl}.
Comparison between the amplitude of  a BNS signal analogous to GW170817, as seen by ET in its  triangular configuration,    accounting for the effect of Earth's rotation (violet curve) and without  accounting for it (orange curve). The dashed vertical lines indicate the amount of time left before coalescence and the amplitude is computed using the waveform model \texttt{IMRPhenomD\_NRTidalv2}. For comparison, we also show a representative LIGO Livingston sensitivity curve during the second observing run.  Figure taken from~\cite{Iacovelli:2022bbs}.
Caption Comparison between the amplitude of a BNS signal analogous to GW170817, as seen by ET in its triangular configuration, accounting for the effect of Earth's rotation (violet curve) and without accounting for it (orange curve). The dashed vertical lines indicate the amount of time left before coalescence and the amplitude is computed using the waveform model \texttt{IMRPhenomD\_NRTidalv2}. For comparison, we also show a representative LIGO Livingston sensitivity curve during the second observing run. Figure taken from~\cite{Iacovelli:2022bbs}.
Posterior PDFs for total mass and mass ratio, for the GW150914-like signal (top panel) and the GW151226-like signal (bottom panel) when they are respectively being overlapped with a BNS signal with SNR = 30 (solid lines), SNR = 20 (dashed lines), and SNR = 15 (dotted lines). The overlaps are made so that the BBH and the BNS end at the same time (\texttt{tc}), or so that the BBH ends 2 seconds before the BNS (\texttt{tc-2}). Finally, posterior PDFs for the two BBH signals by themselves are shown as green, dashed-dotted lines (\texttt{BBH}). The injected parameter values are indicated by black, vertical lines. Figure taken from~\cite{Samajdar:2021egv}.
Caption Posterior PDFs for total mass and mass ratio, for the GW150914-like signal (top panel) and the GW151226-like signal (bottom panel) when they are respectively being overlapped with a BNS signal with SNR = 30 (solid lines), SNR = 20 (dashed lines), and SNR = 15 (dotted lines). The overlaps are made so that the BBH and the BNS end at the same time (\texttt{tc}), or so that the BBH ends 2 seconds before the BNS (\texttt{tc-2}). Finally, posterior PDFs for the two BBH signals by themselves are shown as green, dashed-dotted lines (\texttt{BBH}). The injected parameter values are indicated by black, vertical lines. Figure taken from~\cite{Samajdar:2021egv}.
Left: comparison of the offset of the recovered posterior for the chirp mass for joint parameter estimation (JPE) and single parameter estimation (SPE) method. Right: comparison of the offset of the recovered posteriors for the chirp mass for JPE and hierarchical subtraction (HS). The two plots indicate that the offset is reduced for JPE compared to HS, due to the better modeling of the noise, while it is still better in the SPE case, where the noise is well modeled and the problem at hand has a reduced complexity. Figure taken from~\cite{Janquart:2023hew}.
Caption Left: comparison of the offset of the recovered posterior for the chirp mass for joint parameter estimation (JPE) and single parameter estimation (SPE) method. Right: comparison of the offset of the recovered posteriors for the chirp mass for JPE and hierarchical subtraction (HS). The two plots indicate that the offset is reduced for JPE compared to HS, due to the better modeling of the noise, while it is still better in the SPE case, where the noise is well modeled and the problem at hand has a reduced complexity. Figure taken from~\cite{Janquart:2023hew}.
Representation of the posteriors obtained with the approach from~\cite{Kolmus:2024scm} (red) and the posteriors obtained with traditional approaches (blue) for a system with a chirp mass of $5\,M_{\odot}$ injected in an LVK network. A good agreement is obtained between the two posteriors, which required an adapted training procedure due to the relatively low mass of the system. To obtain this agreement, the priors during the training process have been adapted to have an effectively uniform coverage of the mass parameter space.
Caption Representation of the posteriors obtained with the approach from~\cite{Kolmus:2024scm} (red) and the posteriors obtained with traditional approaches (blue) for a system with a chirp mass of $5\,M_{\odot}$ injected in an LVK network. A good agreement is obtained between the two posteriors, which required an adapted training procedure due to the relatively low mass of the system. To obtain this agreement, the priors during the training process have been adapted to have an effectively uniform coverage of the mass parameter space.
Number of likelihood evaluation and time needed to perform the inference for \textsc{i-nessai}~\cite{Williams:2023ppp} (blue dots), \textsc{nessai}~\cite{Williams:2021qyt} (orange crosses), and \textsc{Dynesty}~\cite{Speagle:2019ivv} (green plusses) for 64 BBH signals injected in an LVK network. One sees that ML-aided nested sampling has a significantly reduced computation time, meaning it is a promising avenue for data analysis in next-generation GW detectors. Figure taken from~\cite{Williams:2023ppp}.
Caption Number of likelihood evaluation and time needed to perform the inference for \textsc{i-nessai}~\cite{Williams:2023ppp} (blue dots), \textsc{nessai}~\cite{Williams:2021qyt} (orange crosses), and \textsc{Dynesty}~\cite{Speagle:2019ivv} (green plusses) for 64 BBH signals injected in an LVK network. One sees that ML-aided nested sampling has a significantly reduced computation time, meaning it is a promising avenue for data analysis in next-generation GW detectors. Figure taken from~\cite{Williams:2023ppp}.
Table showing computational requirements for a variety of waveforms with physical effects including higher-order-modes and tidal deformabilities. For BNS systems as well as highly asymmetric systems, availability of only 16 CPUs make obtaining results infeasible. Table from~\cite{Smith:2019ucc}.
Caption Table showing computational requirements for a variety of waveforms with physical effects including higher-order-modes and tidal deformabilities. For BNS systems as well as highly asymmetric systems, availability of only 16 CPUs make obtaining results infeasible. Table from~\cite{Smith:2019ucc}.
 : The distribution of the ratio of PSD delayed by 1 hour.
Caption : The distribution of the ratio of PSD delayed by 1 hour.
 : The distribution of the ratio of PSD delayed by 1 day.
Caption : The distribution of the ratio of PSD delayed by 1 day.
Top: Time series of one data segment of length 2048s at a sampling rate of 8192 Hz. The noise realization is in blue and the gravitational-wave signal from compact binary coalescences in black. Bottom: Same as above with the GW signal only, with in blue the  signal from BNSs, in green from BHNSs and in red from BBHs.
Caption Top: Time series of one data segment of length 2048s at a sampling rate of 8192 Hz. The noise realization is in blue and the gravitational-wave signal from compact binary coalescences in black. Bottom: Same as above with the GW signal only, with in blue the signal from BNSs, in green from BHNSs and in red from BBHs.
Top: Time series of one data segment of length 2048s at a sampling rate of 8192 Hz. The noise realization is in blue and the gravitational-wave signal from compact binary coalescences in black. Bottom: Same as above with the GW signal only, with in blue the  signal from BNSs, in green from BHNSs and in red from BBHs.
Caption Top: Time series of one data segment of length 2048s at a sampling rate of 8192 Hz. The noise realization is in blue and the gravitational-wave signal from compact binary coalescences in black. Bottom: Same as above with the GW signal only, with in blue the signal from BNSs, in green from BHNSs and in red from BBHs.
Gravitational energy density from the sources in our one month dataset
Caption Gravitational energy density from the sources in our one month dataset
References
  • [1] LIGO Scientific, Virgo Collaboration, B. P. Abbott et al., “Observation of Gravitational Waves from a Binary Black Hole Merger,” Phys. Rev. Lett. 116 no. 6, (2016) 061102, arXiv:1602.03837 [gr-qc].
  • [2] LIGO Scientific, Virgo Collaboration, B. P. Abbott et al., “GW170817: Observation of Gravitational Waves from a Binary Neutron Star Inspiral,” Phys. Rev. Lett. 119 no. 16, (2017) 161101, arXiv:1710.05832 [gr-qc].
  • [3] LIGO Scientific, Virgo, Fermi-GBM, INTEGRAL Collaboration, B. P. Abbott et al., “Gravitational Waves and Gamma-rays from a Binary Neutron Star Merger: GW170817 and GRB 170817A,” Astrophys. J. Lett. 848 no. 2, (2017) L13, arXiv:1710.05834 [astro-ph.HE].
  • [4] LIGO Scientific, Virgo, Fermi GBM, INTEGRAL, IceCube, AstroSat Cadmium Zinc Telluride Imager Team, IPN, Insight-Hxmt, ANTARES, Swift, AGILE Team, 1M2H Team, Dark Energy Camera GW-EM, DES, DLT40, GRAWITA, Fermi-LAT, ATCA, ASKAP, Las Cumbres Observatory Group, OzGrav, DWF (Deeper Wider Faster Program), AST3, CAASTRO, VINROUGE, MASTER, J-GEM, GROWTH, JAGWAR, CaltechNRAO, TTU-NRAO, NuSTAR, Pan-STARRS, MAXI Team, TZAC Consortium, KU, Nordic Optical Telescope, ePESSTO, GROND, Texas Tech University, SALT Group, TOROS, BOOTES, MWA, CALET, IKI-GW Follow-up, H.E.S.S., LOFAR, LWA, HAWC, Pierre Auger, ALMA, Euro VLBI Team, Pi of Sky, Chandra Team at McGill University, DFN, ATLAS Telescopes, High Time Resolution Universe Survey, RIMAS, RATIR, SKA South Africa/MeerKAT Collaboration, B. P. Abbott et al., “Multi-messenger Observations of a Binary Neutron Star Merger,” Astrophys. J. Lett. 848 no. 2, (2017) L12, arXiv:1710.05833 [astro-ph.HE].
  • [5] LIGO Scientific, Virgo Collaboration, R. Abbott et al., “GWTC-2: Compact Binary Coalescences Observed by LIGO and Virgo During the First Half of the Third Observing Run,” Phys. Rev. X 11 (2021) 021053, arXiv:2010.14527 [gr-qc].
  • [6] KAGRA, VIRGO, LIGO Scientific Collaboration, R. Abbott et al., “GWTC-3: Compact Binary Coalescences Observed by LIGO and Virgo during the Second Part of the Third Observing Run,” Phys. Rev. X 13 no. 4, (2023) 041039, arXiv:2111.03606 [gr-qc].
  • [7] KAGRA, VIRGO, LIGO Scientific Collaboration, R. Abbott et al., “Population of Merging Compact Binaries Inferred Using Gravitational Waves through GWTC-3,” Phys. Rev. X 13 no. 1, (2023) 011048, arXiv:2111.03634 [astro-ph.HE].
  • [8] LIGO Scientific, VIRGO, KAGRA Collaboration, R. Abbott et al., “Tests of General Relativity with GWTC-3,” arXiv:2112.06861 [gr-qc].
  • [9] LIGO Scientific, Virgo, KAGRA Collaboration, R. Abbott et al., “Constraints on the Cosmic Expansion History from GWTC–3,” Astrophys. J. 949 no. 2, (2023) 76, arXiv:2111.03604 [astro-ph.CO].
  • [10] M. Punturo et al., “The Einstein Telescope: A third-generation gravitational wave observatory,” Class. Quant. Grav. 27 (2010) 194002.
  • [11] S. Hild et al., “Sensitivity Studies for Third-Generation Gravitational Wave Observatories,” Class. Quant. Grav. 28 (2011) 094013, arXiv:1012.0908 [gr-qc].
  • [12] D. Reitze et al., “Cosmic Explorer: The U.S. Contribution to Gravitational-Wave Astronomy beyond LIGO,” Bull. Am. Astron. Soc. 51 no. 7, (2019) 035, arXiv:1907.04833 [astro-ph.IM].
  • [13] M. Evans et al., “A Horizon Study for Cosmic Explorer: Science, Observatories, and Community,” arXiv:2109.09882 [astro-ph.IM]. – 582 –
  • [14] M. Evans et al., “Cosmic Explorer: A Submission to the NSF MPSAC ngGW Subcommittee,” arXiv:2306.13745 [astro-ph.IM].
  • [15] M. Maggiore et al., “Science Case for the Einstein Telescope,” JCAP 03 (2020) 050, arXiv:1912.02622 [astro-ph.CO].
  • [16] M. Branchesi et al., “Science with the Einstein Telescope: a comparison of different designs,” JCAP 07 (2023) 068, arXiv:2303.15923 [gr-qc].
  • [17] D. Lovelock, “The four-dimensionality of space and the Einstein tensor,” J. Math. Phys. 13 (1972) 874–876.
  • [18] T. P. Sotiriou, “Gravity and Scalar Fields,” Lect. Notes Phys. 892 (2015) 3–24, arXiv:1404.2955 [gr-qc].
  • [19] E. Berti et al., “Testing General Relativity with Present and Future Astrophysical Observations,” Class. Quant. Grav. 32 (2015) 243001, arXiv:1501.07274 [gr-qc].
  • [20] L. Blanchet and B. S. Sathyaprakash, “Detecting the tail effect in gravitational wave experiments,” Phys. Rev. Lett. 74 (1995) 1067–1070.
  • [21] K. G. Arun, B. R. Iyer, M. S. S. Qusailah, and B. S. Sathyaprakash, “Testing post-Newtonian theory with gravitational wave observations,” Class. Quant. Grav. 23 (2006) L37–L43, arXiv:gr-qc/0604018.
  • [22] K. G. Arun, B. R. Iyer, M. S. S. Qusailah, and B. S. Sathyaprakash, “Probing the non-linear structure of general relativity with black hole binaries,” Phys. Rev. D 74 (2006) 024006, arXiv:gr-qc/0604067.
  • [23] N. Yunes and F. Pretorius, “Fundamental Theoretical Bias in Gravitational Wave Astrophysics and the Parameterized Post-Einsteinian Framework,” Phys. Rev. D 80 (2009) 122003, arXiv:0909.3328 [gr-qc].
  • [24] C. K. Mishra, K. G. Arun, B. R. Iyer, and B. S. Sathyaprakash, “Parametrized tests of post-Newtonian theory using Advanced LIGO and Einstein Telescope,” Phys. Rev. D 82 (2010) 064010, arXiv:1005.0304 [gr-qc].
  • [25] T. G. F. Li, W. Del Pozzo, S. Vitale, C. Van Den Broeck, M. Agathos, J. Veitch, K. Grover, T. Sidery, R. Sturani, and A. Vecchio, “Towards a generic test of the strong field dynamics of general relativity using compact binary coalescence,” Phys. Rev. D 85 (2012) 082003, arXiv:1110.0530 [gr-qc].
  • [26] M. Agathos, W. Del Pozzo, T. G. F. Li, C. Van Den Broeck, J. Veitch, and S. Vitale, “TIGER: A data analysis pipeline for testing the strong-field dynamics of general relativity with gravitational wave signals from coalescing compact binaries,” Phys. Rev. D 89 no. 8, (2014) 082001, arXiv:1311.0420 [gr-qc].
  • [27] J. Meidam et al., “Parametrized tests of the strong-field dynamics of general relativity using gravitational wave signals from coalescing binary black holes: Fast likelihood calculations and sensitivity of the method,” Phys. Rev. D 97 no. 4, (2018) 044033, arXiv:1712.08772 [gr-qc].
  • [28] S. Dhanpal, A. Ghosh, A. K. Mehta, P. Ajith, and B. S. Sathyaprakash, “A no-hair test for binary black holes,” Phys. Rev. D 99 no. 10, (2019) 104056, arXiv:1804.03297 [gr-qc].
  • [29] T. Islam, A. K. Mehta, A. Ghosh, V. Varma, P. Ajith, and B. S. Sathyaprakash, “Testing the no-hair nature of binary black holes using the consistency of multipolar gravitational radiation,” Phys. Rev. D 101 no. 2, (2020) 024032, arXiv:1910.14259 [gr-qc].
  • [30] C. D. Capano and A. H. Nitz, “Binary black hole spectroscopy: a no-hair test of GW190814 and GW190412,” Phys. Rev. D 102 no. 12, (2020) 124070, arXiv:2008.02248 [gr-qc]. – 583 –
  • [31] A. Puecher, C. Kalaghatgi, S. Roy, Y. Setyawati, I. Gupta, B. S. Sathyaprakash, and C. Van Den Broeck, “Testing general relativity using higher-order modes of gravitational waves from binary black holes,” Phys. Rev. D 106 no. 8, (2022) 082003, arXiv:2205.09062 [gr-qc].
  • [32] L. Blanchet, “Gravitational Radiation from Post-Newtonian Sources and Inspiralling Compact Binaries,” Living Rev. Rel. 17 (2014) 2, arXiv:1310.1528 [gr-qc].
  • [33] E. Berti, K. Yagi, and N. Yunes, “Extreme Gravity Tests with Gravitational Waves from Compact Binary Coalescences: (I) Inspiral-Merger,” Gen. Rel. Grav. 50 no. 4, (2018) 46, arXiv:1801.03208 [gr-qc].
  • [34] LIGO Scientific, Virgo Collaboration, B. P. Abbott et al., “Tests of General Relativity with the Binary Black Hole Signals from the LIGO-Virgo Catalog GWTC-1,” Phys. Rev. D 100 no. 10, (2019) 104036, arXiv:1903.04467 [gr-qc].
  • [35] S. Husa, S. Khan, M. Hannam, M. Pürrer, F. Ohme, X. Jiménez Forteza, and A. Bohé, “Frequency-domain gravitational waves from nonprecessing black-hole binaries. I. New numerical waveforms and anatomy of the signal,” Phys. Rev. D 93 no. 4, (2016) 044006, arXiv:1508.07250 [gr-qc].
  • [36] S. Khan, S. Husa, M. Hannam, F. Ohme, M. Pürrer, X. Jiménez Forteza, and A. Bohé, “Frequency-domain gravitational waves from nonprecessing black-hole binaries. II. A phenomenological model for the advanced detector era,” Phys. Rev. D 93 no. 4, (2016) 044007, arXiv:1508.07253 [gr-qc].
  • [37] M. Hannam, P. Schmidt, A. Bohé, L. Haegel, S. Husa, F. Ohme, G. Pratten, and M. Pürrer, “Simple Model of Complete Precessing Black-Hole-Binary Gravitational Waveforms,” Phys. Rev. Lett. 113 no. 15, (2014) 151101, arXiv:1308.3271 [gr-qc].
  • [38] LIGO Scientific, Virgo Collaboration, R. Abbott et al., “Tests of general relativity with binary black holes from the second LIGO-Virgo gravitational-wave transient catalog,” Phys. Rev. D 103 no. 12, (2021) 122002, arXiv:2010.14529 [gr-qc].
  • [39] D. M. Eardley, D. L. Lee, and A. P. Lightman, “Gravitational-wave observations as a tool for testing relativistic gravity,” Phys. Rev. D 8 (1973) 3308–3321.
  • [40] D. M. Eardley, D. L. Lee, A. P. Lightman, R. V. Wagoner, and C. M. Will, “Gravitational-wave observations as a tool for testing relativistic gravity,” Phys. Rev. Lett. 30 (1973) 884–886.
  • [41] S. Capozziello and C. Corda, “Scalar gravitational waves from scalar-tensor gravity: Production and response of interferometers,” Int. J. Mod. Phys. D 15 (2006) 1119–1150.
  • [42] C. Corda, “Primordial production of massive relic gravitational waves from a weak modification of General Relativity,” Astropart. Phys. 30 (2008) 209–215, arXiv:0812.0483 [gr-qc].
  • [43] S. Hou, Y. Gong, and Y. Liu, “Polarizations of Gravitational Waves in Horndeski Theory,” Eur. Phys. J. C 78 no. 5, (2018) 378, arXiv:1704.01899 [gr-qc].
  • [44] D. Liang, Y. Gong, S. Hou, and Y. Liu, “Polarizations of gravitational waves in f(R) gravity,” Phys. Rev. D 95 no. 10, (2017) 104034, arXiv:1701.05998 [gr-qc].
  • [45] F. Moretti, F. Bombacigno, and G. Montani, “Gauge invariant formulation of metric f(R) gravity for gravitational waves,” Phys. Rev. D 100 no. 8, (2019) 084014, arXiv:1906.01899 [gr-qc].
  • [46] T. Jacobson and D. Mattingly, “Einstein-Aether waves,” Phys. Rev. D 70 (2004) 024003, arXiv:gr-qc/0402005.
  • [47] Y. Gong, S. Hou, D. Liang, and E. Papantonopoulos, “Gravitational waves in Einstein-æther and generalized TeVeS theory after GW170817,” Phys. Rev. D 97 no. 8, (2018) 084040, arXiv:1801.03382 [gr-qc]. – 584 –
  • [48] K. Hinterbichler, “Theoretical Aspects of Massive Gravity,” Rev. Mod. Phys. 84 (2012) 671–710, arXiv:1105.3735 [hep-th].
  • [49] D. Liang, R. Xu, X. Lu, and L. Shao, “Polarizations of gravitational waves in the bumblebee gravity model,” Phys. Rev. D 106 no. 12, (2022) 124019, arXiv:2207.14423 [gr-qc].
  • [50] A. V. Frolov and L. Kofman, “Gravitational waves from brane world inflation,” arXiv:hep-th/0209133.
  • [51] C. M. Will, “Gravitational Radiation from Binary Systems in Alternative Metric Theories of Gravity: Dipole Radiation and the Binary Pulsar,” Astrophys. J. 214 (1977) 826–839.
  • [52] B. Z. Foster, “Radiation damping in Einstein-aether theory,” Phys. Rev. D 73 (2006) 104012, arXiv:gr-qc/0602004. [Erratum: Phys.Rev.D 75, 129904 (2007)].
  • [52] B. Z. Foster, “Radiation damping in Einstein-aether theory,” Phys. Rev. D 73 (2006) 104012, arXiv:gr-qc/0602004. [Erratum: Phys.Rev.D 75, 129904 (2007)].
  • [53] C. Zhang, X. Zhao, A. Wang, B. Wang, K. Yagi, N. Yunes, W. Zhao, and T. Zhu, “Gravitational waves from the quasicircular inspiral of compact binaries in Einstein-aether theory,” Phys. Rev. D 101 no. 4, (2020) 044002, arXiv:1911.10278 [gr-qc]. [Erratum: Phys.Rev.D 104, 069905 (2021)].
  • [53] C. Zhang, X. Zhao, A. Wang, B. Wang, K. Yagi, N. Yunes, W. Zhao, and T. Zhu, “Gravitational waves from the quasicircular inspiral of compact binaries in Einstein-aether theory,” Phys. Rev. D 101 no. 4, (2020) 044002, arXiv:1911.10278 [gr-qc]. [Erratum: Phys.Rev.D 104, 069905 (2021)].
  • [54] E. Newman and R. Penrose, “An Approach to gravitational radiation by a method of spin coefficients,” J. Math. Phys. 3 (1962) 566–578.
  • [55] S. Bahamonde, M. Caruana, K. F. Dialektopoulos, V. Gakis, M. Hohmann, J. Levi Said, E. N. Saridakis, and J. Sultana, “Gravitational-wave propagation and polarizations in the teleparallel analog of Horndeski gravity,” Phys. Rev. D 104 no. 8, (2021) 084082, arXiv:2105.13243 [gr-qc].
  • [56] J. M. Bardeen, “Gauge Invariant Cosmological Perturbations,” Phys. Rev. D 22 (1980) 1882–1905.
  • [57] R. Jackiw and S. Y. Pi, “Chern-Simons modification of general relativity,” Phys. Rev. D 68 (2003) 104012, arXiv:gr-qc/0308071.
  • [58] E. E. Flanagan and S. A. Hughes, “The Basics of gravitational wave theory,” New J. Phys. 7 (2005) 204, arXiv:gr-qc/0501041.
  • [59] M. Jaccard, M. Maggiore, and E. Mitsou, “Nonlocal theory of massive gravity,” Phys. Rev. D 88 no. 4, (2013) 044033, arXiv:1305.3034 [hep-th].
  • [60] M. Maggiore, Gravitational Waves. Vol. 2: Astrophysics and Cosmology. Oxford University Press, 2018.
  • [61] C. de Rham, G. Gabadadze, and A. J. Tolley, “Resummation of Massive Gravity,” Phys. Rev. Lett. 106 (2011) 231101, arXiv:1011.1232 [hep-th].
  • [62] L. Modesto and S. Tsujikawa, “Non-local massive gravity,” Phys. Lett. B 727 (2013) 48–56, arXiv:1307.6968 [hep-th].
  • [63] S. Foffa, M. Maggiore, and E. Mitsou, “Cosmological dynamics and dark energy from nonlocal infrared modifications of gravity,” Int. J. Mod. Phys. A 29 (2014) 1450116, arXiv:1311.3435 [hep-th].
  • [64] M. Maggiore, “Phantom dark energy from nonlocal infrared modifications of General Relativity,” Phys.Rev. D89 (2014) 043008, arXiv:1307.3898 [hep-th].
  • [65] M. Maggiore, “Nonlocal Infrared Modifications of Gravity. A Review,” Fundam. Theor. Phys. 187 (2017) 221–281, arXiv:1606.08784 [hep-th].
  • [66] E. Belgacem, Y. Dirian, A. Finke, S. Foffa, and M. Maggiore, “Gravity in the infrared and effective nonlocal models,” JCAP 04 (2020) 010, arXiv:2001.07619 [astro-ph.CO].
  • [67] G. Calcagni, L. Modesto, and G. Nardelli, “Non-perturbative spectrum of non-local gravity,” Phys. Lett. B 795 (2019) 391–397, arXiv:1803.07848 [hep-th]. – 585 –
  • [68] K. S. Stelle, “Renormalization of Higher Derivative Quantum Gravity,” Phys. Rev. D 16 (1977) 953–969.
  • [69] C. M. Will and H. W. Zaglauer, “Gravitational Radiation, Close Binary Systems, and the Brans-dicke Theory of Gravity,” Astrophys. J. 346 (1989) 366.
  • [70] K. Yagi, D. Blas, N. Yunes, and E. Barausse, “Strong Binary Pulsar Constraints on Lorentz Violation in Gravity,” Phys. Rev. Lett. 112 no. 16, (2014) 161101, arXiv:1307.6219 [gr-qc].
  • [71] K. Yagi, D. Blas, E. Barausse, and N. Yunes, “Constraints on Einstein-Æther theory and Hořava gravity from binary pulsar observations,” Phys. Rev. D 89 no. 8, (2014) 084067, arXiv:1311.7144 [gr-qc]. [Erratum: Phys.Rev.D 90, 069902 (2014), Erratum: Phys.Rev.D 90, 069901 (2014)].
  • [71] K. Yagi, D. Blas, E. Barausse, and N. Yunes, “Constraints on Einstein-Æther theory and Hořava gravity from binary pulsar observations,” Phys. Rev. D 89 no. 8, (2014) 084067, arXiv:1311.7144 [gr-qc]. [Erratum: Phys.Rev.D 90, 069902 (2014), Erratum: Phys.Rev.D 90, 069901 (2014)].
  • [71] K. Yagi, D. Blas, E. Barausse, and N. Yunes, “Constraints on Einstein-Æther theory and Hořava gravity from binary pulsar observations,” Phys. Rev. D 89 no. 8, (2014) 084067, arXiv:1311.7144 [gr-qc]. [Erratum: Phys.Rev.D 90, 069902 (2014), Erratum: Phys.Rev.D 90, 069901 (2014)].
  • [72] K. Chatziioannou, N. Yunes, and N. Cornish, “Model-Independent Test of General Relativity: An Extended post-Einsteinian Framework with Complete Polarization Content,” Phys. Rev. D 86 (2012) 022004, arXiv:1204.2585 [gr-qc]. [Erratum: Phys.Rev.D 95, 129901 (2017)].
  • [72] K. Chatziioannou, N. Yunes, and N. Cornish, “Model-Independent Test of General Relativity: An Extended post-Einsteinian Framework with Complete Polarization Content,” Phys. Rev. D 86 (2012) 022004, arXiv:1204.2585 [gr-qc]. [Erratum: Phys.Rev.D 95, 129901 (2017)].
  • [73] E. Barausse, N. Yunes, and K. Chamberlain, “Theory-Agnostic Constraints on Black-Hole Dipole Radiation with Multiband Gravitational-Wave Astrophysics,” Phys. Rev. Lett. 116 no. 24, (2016) 241104, arXiv:1603.04075 [gr-qc].
  • [74] A. Nishizawa, A. Taruya, K. Hayama, S. Kawamura, and M.-a. Sakagami, “Probing non-tensorial polarizations of stochastic gravitational-wave backgrounds with ground-based laser interferometers,” Phys. Rev. D 79 (2009) 082002, arXiv:0903.0528 [astro-ph.CO].
  • [75] L. Amalberti, N. Bartolo, and A. Ricciardone, “Sensitivity of third-generation interferometers to extra polarizations in the stochastic gravitational wave background,” Phys. Rev. D 105 no. 6, (2022) 064033, arXiv:2105.13197 [astro-ph.CO].
  • [76] D. Liang, Y. Gong, A. J. Weinstein, C. Zhang, and C. Zhang, “Frequency response of space-based interferometric gravitational-wave detectors,” Phys. Rev. D 99 no. 10, (2019) 104027, arXiv:1901.09624 [gr-qc].
  • [77] C. Zhang, Q. Gao, Y. Gong, D. Liang, A. J. Weinstein, and C. Zhang, “Frequency response of time-delay interferometry for space-based gravitational wave antenna,” Phys. Rev. D 100 no. 6, (2019) 064033, arXiv:1906.10901 [gr-qc].
  • [78] K. J. Lee, F. A. Jenet, and R. H. Price, “Pulsar Timing as a Probe of Non-Einsteinian Polarizations of Gravitational Waves,” The Astrophysical Journal 685 no. 2, (Oct., 2008) 1304–1319.
  • [79] S. J. Chamberlin and X. Siemens, “Stochastic backgrounds in alternative theories of gravity: overlap reduction functions for pulsar timing arrays,” Phys. Rev. D 85 (2012) 082001, arXiv:1111.5661 [astro-ph.HE].
  • [80] J. D. Romano and N. J. Cornish, “Detection methods for stochastic gravitational-wave backgrounds: a unified treatment,” Living Rev. Rel. 20 no. 1, (2017) 2, arXiv:1608.06889 [gr-qc].
  • [81] N. Christensen, “Measuring the stochastic gravitational radiation background with laser interferometric antennas,” Phys. Rev. D 46 (1992) 5250–5266.
  • [82] B. Allen and J. D. Romano, “Detecting a stochastic background of gravitational radiation: Signal processing strategies and sensitivities,” Phys. Rev. D 59 (1999) 102001, arXiv:gr-qc/9710117.
  • [83] E. E. Flanagan, “The Sensitivity of the laser interferometer gravitational wave observatory (LIGO) to a stochastic background, and its dependence on the detector orientations,” Phys. Rev. D 48 (1993) 2389–2407, arXiv:astro-ph/9305029. – 586 –
  • [84] H. Takeda, A. Nishizawa, Y. Michimura, K. Nagano, K. Komori, M. Ando, and K. Hayama, “Polarization test of gravitational waves from compact binary coalescences,” Phys. Rev. D 98 no. 2, (2018) 022008, arXiv:1806.02182 [gr-qc].
  • [85] H. Takeda, A. Nishizawa, K. Nagano, Y. Michimura, K. Komori, M. Ando, and K. Hayama, “Prospects for gravitational-wave polarization tests from compact binary mergers with future ground-based detectors,” Phys. Rev. D 100 no. 4, (2019) 042001, arXiv:1904.09989 [gr-qc].
  • [86] LIGO Scientific, Virgo Collaboration, B. P. Abbott et al., “GW170814: A Three-Detector Observation of Gravitational Waves from a Binary Black Hole Coalescence,” Phys. Rev. Lett. 119 no. 14, (2017) 141101, arXiv:1709.09660 [gr-qc].
  • [87] LIGO Scientific, Virgo Collaboration, B. P. Abbott et al., “Tests of general relativity with GW150914,” Phys. Rev. Lett. 116 no. 22, (2016) 221101, arXiv:1602.03841 [gr-qc]. [Erratum: Phys.Rev.Lett. 121, 129902 (2018)].
  • [87] LIGO Scientific, Virgo Collaboration, B. P. Abbott et al., “Tests of general relativity with GW150914,” Phys. Rev. Lett. 116 no. 22, (2016) 221101, arXiv:1602.03841 [gr-qc]. [Erratum: Phys.Rev.Lett. 121, 129902 (2018)].
  • [88] LIGO Scientific, Virgo Collaboration, B. P. Abbott et al., “Tests of General Relativity with GW170817,” Phys. Rev. Lett. 123 no. 1, (2019) 011102, arXiv:1811.00364 [gr-qc].
  • [89] M. Isi and A. J. Weinstein, “Probing gravitational wave polarizations with signals from compact binary coalescences,” arXiv:1710.03794 [gr-qc].
  • [90] M. Isi, M. Pitkin, and A. J. Weinstein, “Probing Dynamical Gravity with the Polarization of Continuous Gravitational Waves,” Phys. Rev. D 96 no. 4, (2017) 042001, arXiv:1703.07530 [gr-qc].
  • [91] T. Callister, A. S. Biscoveanu, N. Christensen, M. Isi, A. Matas, O. Minazzoli, T. Regimbau, M. Sakellariadou, J. Tasson, and E. Thrane, “Polarization-based Tests of Gravity with the Stochastic Gravitational-Wave Background,” Phys. Rev. X 7 no. 4, (2017) 041058, arXiv:1704.08373 [gr-qc].
  • [92] Y. Guersel and M. Tinto, “Near optimal solution to the inverse problem for gravitational wave bursts,” Phys. Rev. D 40 (1989) 3884–3938.
  • [93] Y. Hagihara, N. Era, D. Iikawa, and H. Asada, “Probing gravitational wave polarizations with Advanced LIGO, Advanced Virgo and KAGRA,” Phys. Rev. D 98 no. 6, (2018) 064035, arXiv:1807.07234 [gr-qc].
  • [94] Y. Hagihara, N. Era, D. Iikawa, A. Nishizawa, and H. Asada, “Constraining extra gravitational wave polarizations with Advanced LIGO, Advanced Virgo and KAGRA and upper bounds from GW170817,” Phys. Rev. D 100 no. 6, (2019) 064010, arXiv:1904.02300 [gr-qc].
  • [95] P. T. H. Pang, R. K. L. Lo, I. C. F. Wong, T. G. F. Li, and C. Van Den Broeck, “Generic searches for alternative gravitational wave polarizations with networks of interferometric detectors,” Phys. Rev. D 101 no. 10, (2020) 104055, arXiv:2003.07375 [gr-qc].
  • [96] I. C. F. Wong, P. T. H. Pang, R. K. L. Lo, T. G. F. Li, and C. Van Den Broeck, “Null-stream-based Bayesian Unmodeled Framework to Probe Generic Gravitational-wave Polarizations,” arXiv:2105.09485 [gr-qc].
  • [97] J. Hu, D. Liang, and L. Shao, “Probing nontensorial gravitational waves with a next-generation ground-based detector network,” Phys. Rev. D 109 no. 8, (2024) 084023, arXiv:2310.01249 [gr-qc].
  • [98] LIGO Scientific, Virgo Collaboration, B. P. Abbott et al., “Search for Tensor, Vector, and Scalar Polarizations in the Stochastic Gravitational-Wave Background,” Phys. Rev. Lett. 120 no. 20, (2018) 201102, arXiv:1802.10194 [gr-qc].
  • [99] LIGO Scientific, Virgo Collaboration, B. P. Abbott et al., “Search for the isotropic – 587 – stochastic background using data from Advanced LIGO’s second observing run,” Phys. Rev. D 100 no. 6, (2019) 061101, arXiv:1903.02886 [gr-qc].
  • [100] KAGRA, Virgo, LIGO Scientific Collaboration, R. Abbott et al., “Upper limits on the isotropic gravitational-wave background from Advanced LIGO and Advanced Virgo’s third observing run,” Phys. Rev. D 104 no. 2, (2021) 022004, arXiv:2101.12130 [gr-qc].
  • [101] R. Takahashi and T. Nakamura, “Wave effects in gravitational lensing of gravitational waves from chirping binaries,” Astrophys. J. 595 (2003) 1039–1051, arXiv:astro-ph/0305055.
  • [102] J. M. Ezquiaga, D. E. Holz, W. Hu, M. Lagos, and R. M. Wald, “Phase effects from strong gravitational lensing of gravitational waves,” Phys. Rev. D 103 no. 6, (2021) 064047, arXiv:2008.12814 [gr-qc].
  • [103] J. Janquart, O. A. Hannuksela, H. K., and C. Van Den Broeck, “A fast and precise methodology to search for and analyse strongly lensed gravitational-wave events,” Mon. Not. Roy. Astron. Soc. 506 no. 4, (2021) 5430–5438, arXiv:2105.04536 [gr-qc].
  • [104] R. K. L. Lo and I. Magaña Hernandez, “Bayesian statistical framework for identifying strongly lensed gravitational-wave signals,” Phys. Rev. D 107 no. 12, (2023) 123015, arXiv:2104.09339 [gr-qc].
  • [105] A. Piórkowska, M. Biesiada, and Z.-H. Zhu, “Strong gravitational lensing of gravitational waves in Einstein Telescope,” JCAP 10 (2013) 022, arXiv:1309.5731 [astro-ph.CO].
  • [106] A. R. A. C. Wierda, E. Wempe, O. A. Hannuksela, L. e. V. E. Koopmans, and C. Van Den Broeck, “Beyond the Detector Horizon: Forecasting Gravitational-Wave Strong Lensing,” Astrophys. J. 921 no. 2, (2021) 154, arXiv:2106.06303 [astro-ph.HE].
  • [107] I. Gupta et al., “Characterizing Gravitational Wave Detector Networks: From A♯ to Cosmic Explorer,” arXiv:2307.10421 [gr-qc].
  • [108] G. Veneziano, “A Stringy Nature Needs Just Two Constants,” EPL 2 (1986) 199.
  • [109] D. J. Gross and P. F. Mende, “String Theory Beyond the Planck Scale,” Nucl. Phys. B 303 (1988) 407–454.
  • [110] M. Maggiore, “A Generalized uncertainty principle in quantum gravity,” Phys. Lett. B 304 (1993) 65–69, arXiv:hep-th/9301067.
  • [111] M. Maggiore, “The Algebraic structure of the generalized uncertainty principle,” Phys. Lett. B 319 (1993) 83–86, arXiv:hep-th/9309034.
  • [112] M. Maggiore, “Quantum groups, gravity and the generalized uncertainty principle,” Phys. Rev. D 49 (1994) 5182–5187, arXiv:hep-th/9305163.
  • [113] S. Doplicher, K. Fredenhagen, and J. E. Roberts, “The Quantum structure of space-time at the Planck scale and quantum fields,” Commun. Math. Phys. 172 (1995) 187–220, arXiv:hep-th/0303037.
  • [114] B. R. Majhi and E. C. Vagenas, “Modified Dispersion Relation, Photon’s Velocity, and Unruh Effect,” Phys. Lett. B 725 (2013) 477–480, arXiv:1307.4195 [gr-qc].
  • [115] S. Das and E. C. Vagenas, “Universality of Quantum Gravity Corrections,” Phys. Rev. Lett. 101 (2008) 221301, arXiv:0810.5333 [hep-th].
  • [116] S. Das and E. C. Vagenas, “Reply to ‘Comment on ‘Universality of Quantum Gravity Corrections’ ’,” Phys. Rev. Lett. 104 (2010) 119002, arXiv:1003.3208 [hep-th].
  • [117] V. A. Kostelecký and M. Mewes, “Testing local Lorentz invariance with gravitational waves,” Phys. Lett. B 757 (2016) 510–514, arXiv:1602.04782 [gr-qc].
  • [118] V. A. Kostelecký, A. C. Melissinos, and M. Mewes, “Searching for photon-sector Lorentz violation using gravitational-wave detectors,” Phys. Lett. B 761 (2016) 1–7, arXiv:1608.02592 [gr-qc]. – 588 –
  • [119] L. Shao, “Combined search for anisotropic birefringence in the gravitational-wave transient catalog GWTC-1,” Phys. Rev. D 101 no. 10, (2020) 104019, arXiv:2002.01185 [hep-ph].
  • [120] A. Das, S. Das, N. R. Mansour, and E. C. Vagenas, “Bounds on GUP parameters from GW150914 and GW190521,” Phys. Lett. B 819 (2021) 136429, arXiv:2101.03746 [gr-qc].
  • [121] G. Calcagni, S. Kuroyanagi, S. Marsat, M. Sakellariadou, N. Tamanini, and G. Tasinato, “Quantum gravity and gravitational-wave astronomy,” JCAP 10 (2019) 012, arXiv:1907.02489 [gr-qc].
  • [122] Y. C. Ong and Y. Yao, “Generalized Uncertainty Principle and White Dwarfs Redux: How Cosmological Constant Protects Chandrasekhar Limit,” Phys. Rev. D 98 no. 12, (2018) 126018, arXiv:1809.06348 [gr-qc].
  • [123] Y. C. Ong, “Generalized Uncertainty Principle, Black Holes, and White Dwarfs: A Tale of Two Infinities,” JCAP 09 (2018) 015, arXiv:1804.05176 [gr-qc].
  • [124] I. Prasetyo, I. H. Belfaqih, A. B. Wahidin, A. Suroso, and A. Sulaksono, “Minimal length, nuclear matter, and neutron stars,” Eur. Phys. J. C 82 no. 10, (2022) 884, arXiv:2210.11727 [nucl-th].
  • [125] R. Tso, M. Isi, Y. Chen, and L. Stein, “Modeling the Dispersion and Polarization Content of Gravitational Waves for Tests of General Relativity,” in 7th Meeting on CPT and Lorentz Symmetry, pp. 205–208. 2017. arXiv:1608.01284 [gr-qc].
  • [126] S. Mirshekari, N. Yunes, and C. M. Will, “Constraining Generic Lorentz Violation and the Speed of the Graviton with Gravitational Waves,” Phys. Rev. D 85 (2012) 024041, arXiv:1110.2720 [gr-qc].
  • [127] A. Samajdar and K. G. Arun, “Projected constraints on the dispersion of gravitational waves using advanced ground- and space-based interferometers,” Phys. Rev. D 96 no. 10, (2017) 104027, arXiv:1708.00671 [gr-qc].
  • [128] LIGO Scientific, VIRGO Collaboration, B. P. Abbott et al., “GW170104: Observation of a 50-Solar-Mass Binary Black Hole Coalescence at Redshift 0.2” Phys. Rev. Lett. 118 no. 22, (2017) 221101, arXiv:1706.01812 [gr-qc]. [Erratum: Phys.Rev.Lett. 121, 129901 (2018)].
  • [128] LIGO Scientific, VIRGO Collaboration, B. P. Abbott et al., “GW170104: Observation of a 50-Solar-Mass Binary Black Hole Coalescence at Redshift 0.2” Phys. Rev. Lett. 118 no. 22, (2017) 221101, arXiv:1706.01812 [gr-qc]. [Erratum: Phys.Rev.Lett. 121, 129901 (2018)].
  • [129] LIGO Scientific, Virgo, KAGRA Collaboration, R. Abbott et al., “Constraints on Cosmic Strings Using Data from the Third Advanced LIGO–Virgo Observing Run,” Phys. Rev. Lett. 126 no. 24, (2021) 241102, arXiv:2101.12248 [gr-qc].
  • [130] V. Dergachev and M. A. Papa, “Results from the First All-Sky Search for Continuous Gravitational Waves from Small-Ellipticity Sources,” Phys. Rev. Lett. 125 no. 17, (2020) 171101, arXiv:2004.08334 [gr-qc].
  • [131] R. X. Adhikari et al., “Astrophysical science metrics for next-generation gravitational-wave detectors,” Class. Quant. Grav. 36 no. 24, (2019) 245010, arXiv:1905.02842 [astro-ph.HE].
  • [132] B. Goncharov, L. Donnay, and J. Harms, “Inferring fundamental spacetime symmetries with gravitational-wave memory: from LISA to the Einstein Telescope,” arXiv:2310.10718 [gr-qc].
  • [133] Y. B. Zel’dovich and A. G. Polnarev, “Radiation of gravitational waves by a cluster of superdense stars,” Sov. Astron. 18 (1974) 17.
  • [134] D. Christodoulou, “Nonlinear nature of gravitation and gravitational wave experiments,” Phys. Rev. Lett. 67 (1991) 1486–1489.
  • [135] L. Blanchet and T. Damour, “Hereditary effects in gravitational radiation,” Phys. Rev. D 46 (1992) 4304–4319. – 589 –
  • [136] K. S. Thorne, “Gravitational-wave bursts with memory: The Christodoulou effect,” Phys. Rev. D 45 no. 2, (1992) 520–524.
  • [137] A. M. Grant and D. A. Nichols, “Outlook for detecting the gravitational-wave displacement and spin memory effects with current and future gravitational-wave detectors,” Phys. Rev. D 107 no. 6, (2023) 064056, arXiv:2210.16266 [gr-qc]. [Erratum: Phys.Rev.D 108, 029901 (2023)].
  • [137] A. M. Grant and D. A. Nichols, “Outlook for detecting the gravitational-wave displacement and spin memory effects with current and future gravitational-wave detectors,” Phys. Rev. D 107 no. 6, (2023) 064056, arXiv:2210.16266 [gr-qc]. [Erratum: Phys.Rev.D 108, 029901 (2023)].
  • [138] S. Weinberg, “Infrared photons and gravitons,” Phys. Rev. 140 (1965) B516–B524.
  • [139] A. Strominger and A. Zhiboedov, “Gravitational Memory, BMS Supertranslations and Soft Theorems,” JHEP 01 (2016) 086, arXiv:1411.5745 [hep-th].
  • [140] H. Bondi, M. G. J. van der Burg, and A. W. K. Metzner, “Gravitational waves in general relativity. 7. Waves from axisymmetric isolated systems,” Proc. Roy. Soc. Lond. A 269 (1962) 21–52.
  • [141] R. K. Sachs, “Gravitational waves in general relativity. 8. Waves in asymptotically flat space-times,” Proc. Roy. Soc. Lond. A 270 (1962) 103–126.
  • [142] S. Pasterski, A. Strominger, and A. Zhiboedov, “New Gravitational Memories,” JHEP 12 (2016) 053, arXiv:1502.06120 [hep-th].
  • [143] A. Strominger, Lectures on the Infrared Structure of Gravity and Gauge Theory. 3, 2017. arXiv:1703.05448 [hep-th].
  • [144] P. D. Lasky, E. Thrane, Y. Levin, J. Blackman, and Y. Chen, “Detecting gravitational-wave memory with LIGO: implications of GW150914,” Phys. Rev. Lett. 117 no. 6, (2016) 061102, arXiv:1605.01415 [astro-ph.HE].
  • [145] M. Hübner, C. Talbot, P. D. Lasky, and E. Thrane, “Measuring gravitational-wave memory in the first LIGO/Virgo gravitational-wave transient catalog,” Phys. Rev. D 101 no. 2, (2020) 023011, arXiv:1911.12496 [astro-ph.HE].
  • [146] M. Hübner, P. Lasky, and E. Thrane, “Memory remains undetected: Updates from the second LIGO/Virgo gravitational-wave transient catalog,” Phys. Rev. D 104 no. 2, (2021) 023004, arXiv:2105.02879 [gr-qc].
  • [147] S. Y. Cheung, P. D. Lasky, and E. Thrane, “Does spacetime have memories? Searching for gravitational-wave memory in the third LIGO-Virgo-KAGRA gravitational-wave transient catalogue,” arXiv:2404.11919 [gr-qc].
  • [148] S. Gasparotto, R. Vicente, D. Blas, A. C. Jenkins, and E. Barausse, “Can gravitational-wave memory help constrain binary black-hole parameters? A LISA case study,” Phys. Rev. D 107 no. 12, (2023) 124033, arXiv:2301.13228 [gr-qc].
  • [149] M. Ebersold and S. Tiwari, “Search for nonlinear memory from subsolar mass compact binary mergers,” Phys. Rev. D 101 no. 10, (2020) 104041, arXiv:2005.03306 [gr-qc].
  • [150] H. Yang and D. Martynov, “Testing Gravitational Memory Generation with Compact Binary Mergers,” Phys. Rev. Lett. 121 no. 7, (2018) 071102, arXiv:1803.02429 [gr-qc].
  • [151] S. Tiwari, M. Ebersold, and E. Z. Hamilton, “Leveraging gravitational-wave memory to distinguish neutron star-black hole binaries from black hole binaries,” Phys. Rev. D 104 no. 12, (2021) 123024, arXiv:2110.11171 [gr-qc].
  • [152] D. Lopez, S. Tiwari, and M. Ebersold, “Gravitational wave memory of compact binary coalescence in the presence of matter effects,” Phys. Rev. D 109 no. 4, (2024) 043039, arXiv:2305.04761 [gr-qc].
  • [153] M. Alcubierre, Introduction to 3+ 1 numerical relativity, vol. 140. OUP Oxford, 2008.
  • [154] Y. Fujii and K.-i. Maeda, The scalar-tensor theory of gravitation. Cambridge University Press, 2003. – 590 –
  • [155] M. Salgado, D. Martinez-del Rio, M. Alcubierre, and D. Nunez, “Hyperbolicity of scalar-tensor theories of gravity,” Phys. Rev. D 77 (2008) 104010, arXiv:0801.2372 [gr-qc].
  • [156] J. Healy, T. Bode, R. Haas, E. Pazos, P. Laguna, D. Shoemaker, and N. Yunes, “Late Inspiral and Merger of Binary Black Holes in Scalar-Tensor Theories of Gravity,” Class. Quant. Grav. 29 (2012) 232002, arXiv:1112.3928 [gr-qc].
  • [157] T. P. Sotiriou and V. Faraoni, “Black holes in scalar-tensor gravity,” Phys. Rev. Lett. 108 (2012) 081103, arXiv:1109.6324 [gr-qc].
  • [158] E. Berti, V. Cardoso, L. Gualtieri, M. Horbatsch, and U. Sperhake, “Numerical simulations of single and binary black holes in scalar-tensor theories: circumventing the no-hair theorem,” Phys. Rev. D 87 no. 12, (2013) 124020, arXiv:1304.2836 [gr-qc].
  • [159] E. W. Hirschmann, L. Lehner, S. L. Liebling, and C. Palenzuela, “Black Hole Dynamics in Einstein-Maxwell-Dilaton Theory,” Phys. Rev. D 97 no. 6, (2018) 064032, arXiv:1706.09875 [gr-qc].
  • [160] A. D. Kovács, “Well-posedness of cubic Horndeski theories,” Phys. Rev. D 100 no. 2, (2019) 024005, arXiv:1904.00963 [gr-qc].
  • [161] A. D. Kovács and H. S. Reall, “Well-Posed Formulation of Scalar-Tensor Effective Field Theory,” Phys. Rev. Lett. 124 no. 22, (2020) 221101, arXiv:2003.04327 [gr-qc].
  • [162] A. D. Kovács and H. S. Reall, “Well-posed formulation of Lovelock and Horndeski theories,” Phys. Rev. D 101 no. 12, (2020) 124003, arXiv:2003.08398 [gr-qc].
  • [163] L. Aresté Saló, K. Clough, and P. Figueras, “Well-Posedness of the Four-Derivative Scalar-Tensor Theory of Gravity in Singularity Avoiding Coordinates,” Phys. Rev. Lett. 129 no. 26, (2022) 261104, arXiv:2208.14470 [gr-qc].
  • [164] P. Figueras and T. França, “Black hole binaries in cubic Horndeski theories,” Phys. Rev. D 105 no. 12, (2022) 124004, arXiv:2112.15529 [gr-qc].
  • [165] W. E. East and J. L. Ripley, “Evolution of Einstein-scalar-Gauss-Bonnet gravity using a modified harmonic formulation,” Phys. Rev. D 103 no. 4, (2021) 044040, arXiv:2011.03547 [gr-qc].
  • [166] M. Corman, J. L. Ripley, and W. E. East, “Nonlinear studies of binary black hole mergers in Einstein-scalar-Gauss-Bonnet gravity,” Phys. Rev. D 107 no. 2, (2023) 024014, arXiv:2210.09235 [gr-qc].
  • [167] L. Aresté Saló, K. Clough, and P. Figueras, “Puncture gauge formulation for Einstein-Gauss-Bonnet gravity and four-derivative scalar-tensor theories in d+1 spacetime dimensions,” Phys. Rev. D 108 no. 8, (2023) 084018, arXiv:2306.14966 [gr-qc].
  • [168] K. R. Abhishek Hegade, J. L. Ripley, and N. Yunes, “Where and why does Einstein-scalar-Gauss-Bonnet theory break down?,” Phys. Rev. D 107 no. 4, (2023) 044044, arXiv:2211.08477 [gr-qc].
  • [169] D. D. Doneva, L. Aresté Saló, K. Clough, P. Figueras, and S. S. Yazadjiev, “Testing the limits of scalar-Gauss-Bonnet gravity through nonlinear evolutions of spin-induced scalarization,” Phys. Rev. D 108 no. 8, (2023) 084017, arXiv:2307.06474 [gr-qc].
  • [170] S. Endlich, V. Gorbenko, J. Huang, and L. Senatore, “An effective formalism for testing extensions to General Relativity with gravitational waves,” JHEP 09 (2017) 122, arXiv:1704.01590 [gr-qc].
  • [171] T. Delsate, D. Hilditch, and H. Witek, “Initial value formulation of dynamical Chern-Simons gravity,” Phys. Rev. D 91 no. 2, (2015) 024027, arXiv:1407.6727 [gr-qc]. – 591 –
  • [172] P. Figueras, A. Held, and A. D. Kovács, “Well-posed initial value formulation of general effective field theories of gravity,” arXiv:2407.08775 [gr-qc].
  • [173] M. Okounkova, M. A. Scheel, and S. A. Teukolsky, “Numerical black hole initial data and shadows in dynamical Chern–Simons gravity,” Class. Quant. Grav. 36 no. 5, (2019) 054001, arXiv:1810.05306 [gr-qc].
  • [174] M. Okounkova, L. C. Stein, M. A. Scheel, and S. A. Teukolsky, “Numerical binary black hole collisions in dynamical Chern-Simons gravity,” Phys. Rev. D 100 no. 10, (2019) 104026, arXiv:1906.08789 [gr-qc].
  • [175] M. Okounkova, W. M. Farr, M. Isi, and L. C. Stein, “Constraining gravitational wave amplitude birefringence and Chern-Simons gravity with GWTC-2,” Phys. Rev. D 106 no. 4, (2022) 044067, arXiv:2101.11153 [gr-qc].
  • [176] M. Okounkova, M. Isi, K. Chatziioannou, and W. M. Farr, “Gravitational wave inference on a numerical-relativity simulation of a black hole merger beyond general relativity,” arXiv:2208.02805 [gr-qc].
  • [177] H. Witek, L. Gualtieri, P. Pani, and T. P. Sotiriou, “Black holes and binary mergers in scalar Gauss-Bonnet gravity: scalar field dynamics,” Phys. Rev. D 99 no. 6, (2019) 064035, arXiv:1810.05177 [gr-qc].
  • [178] M. Okounkova, “Numerical relativity simulation of GW150914 in Einstein dilaton Gauss-Bonnet gravity,” Phys. Rev. D 102 no. 8, (2020) 084046, arXiv:2001.03571 [gr-qc].
  • [179] D. D. Doneva and S. S. Yazadjiev, “New Gauss-Bonnet Black Holes with Curvature-Induced Scalarization in Extended Scalar-Tensor Theories,” Phys. Rev. Lett. 120 no. 13, (2018) 131103, arXiv:1711.01187 [gr-qc].
  • [180] H. O. Silva, J. Sakstein, L. Gualtieri, T. P. Sotiriou, and E. Berti, “Spontaneous scalarization of black holes and compact stars from a Gauss-Bonnet coupling,” Phys. Rev. Lett. 120 no. 13, (2018) 131104, arXiv:1711.02080 [gr-qc].
  • [181] A. Dima, E. Barausse, N. Franchini, and T. P. Sotiriou, “Spin-induced black hole spontaneous scalarization,” Phys. Rev. Lett. 125 no. 23, (2020) 231101, arXiv:2006.03095 [gr-qc].
  • [182] C. A. R. Herdeiro, E. Radu, H. O. Silva, T. P. Sotiriou, and N. Yunes, “Spin-induced scalarized black holes,” Phys. Rev. Lett. 126 no. 1, (2021) 011103, arXiv:2009.03904 [gr-qc].
  • [183] H. O. Silva, H. Witek, M. Elley, and N. Yunes, “Dynamical Descalarization in Binary Black Hole Mergers,” Phys. Rev. Lett. 127 no. 3, (2021) 031101, arXiv:2012.10436 [gr-qc].
  • [184] M. Elley, H. O. Silva, H. Witek, and N. Yunes, “Spin-induced dynamical scalarization, descalarization, and stealthness in scalar-Gauss-Bonnet gravity during a black hole coalescence,” Phys. Rev. D 106 no. 4, (2022) 044018, arXiv:2205.06240 [gr-qc].
  • [185] D. D. Doneva, A. Vañó Viñuales, and S. S. Yazadjiev, “Dynamical descalarization with a jump during a black hole merger,” Phys. Rev. D 106 no. 6, (2022) L061502, arXiv:2204.05333 [gr-qc].
  • [186] W. E. East and J. L. Ripley, “Dynamics of Spontaneous Black Hole Scalarization and Mergers in Einstein-Scalar-Gauss-Bonnet Gravity,” Phys. Rev. Lett. 127 no. 10, (2021) 101102, arXiv:2105.08571 [gr-qc].
  • [187] S. Tahura and K. Yagi, “Parameterized Post-Einsteinian Gravitational Waveforms in Various Modified Theories of Gravity,” Phys. Rev. D 98 no. 8, (2018) 084042, arXiv:1809.00259 [gr-qc]. [Erratum: Phys.Rev.D 101, 109902 (2020)]. – 592 –
  • [187] S. Tahura and K. Yagi, “Parameterized Post-Einsteinian Gravitational Waveforms in Various Modified Theories of Gravity,” Phys. Rev. D 98 no. 8, (2018) 084042, arXiv:1809.00259 [gr-qc]. [Erratum: Phys.Rev.D 101, 109902 (2020)]. – 592 –
  • [188] M. Khalil, R. F. P. Mendes, N. Ortiz, and J. Steinhoff, “Effective-action model for dynamical scalarization beyond the adiabatic approximation,” Phys. Rev. D 106 no. 10, (2022) 104016, arXiv:2206.13233 [gr-qc].
  • [189] E. Barausse, C. Palenzuela, M. Ponce, and L. Lehner, “Neutron-star mergers in scalar-tensor theories of gravity,” Phys. Rev. D 87 (2013) 081506, arXiv:1212.5053 [gr-qc].
  • [190] C. Palenzuela, E. Barausse, M. Ponce, and L. Lehner, “Dynamical scalarization of neutron stars in scalar-tensor gravity theories,” Phys. Rev. D 89 no. 4, (2014) 044024, arXiv:1310.4481 [gr-qc].
  • [191] M. Shibata, K. Taniguchi, H. Okawa, and A. Buonanno, “Coalescence of binary neutron stars in a scalar-tensor theory of gravity,” Phys. Rev. D 89 no. 8, (2014) 084005, arXiv:1310.0627 [gr-qc].
  • [192] K. Taniguchi, M. Shibata, and A. Buonanno, “Quasiequilibrium sequences of binary neutron stars undergoing dynamical scalarization,” Phys. Rev. D 91 no. 2, (2015) 024033, arXiv:1410.0738 [gr-qc].
  • [193] T. Damour and G. Esposito-Farese, “Nonperturbative strong field effects in tensor - scalar theories of gravitation,” Phys. Rev. Lett. 70 (1993) 2220–2223.
  • [194] T. Damour and G. Esposito-Farese, “Tensor - scalar gravity and binary pulsar experiments,” Phys. Rev. D 54 (1996) 1474–1491, arXiv:gr-qc/9602056.
  • [195] J. Antoniadis, M. H. van Kerkwijk, D. Koester, P. C. C. Freire, N. Wex, T. M. Tauris, M. Kramer, and C. G. Bassa, “The relativistic pulsar-white dwarf binary PSR J1738+0333 I. Mass determination and evolutionary history,” Mon. Not. Roy. Astron. Soc. 423 (2012) 3316, arXiv:1204.3948 [astro-ph.HE].
  • [196] D. Anderson, P. Freire, and N. Yunes, “Binary pulsar constraints on massless scalar–tensor theories using Bayesian statistics,” Class. Quant. Grav. 36 no. 22, (2019) 225009, arXiv:1901.00938 [gr-qc].
  • [197] M. Khalil, N. Sennett, J. Steinhoff, and A. Buonanno, “Theory-agnostic framework for dynamical scalarization of compact binaries,” Phys. Rev. D 100 no. 12, (2019) 124013, arXiv:1906.08161 [gr-qc].
  • [198] H.-J. Kuan, A. T.-L. Lam, D. D. Doneva, S. S. Yazadjiev, M. Shibata, and K. Kiuchi, “Dynamical scalarization during neutron star mergers in scalar-Gauss-Bonnet theory,” Phys. Rev. D 108 no. 6, (2023) 063033, arXiv:2302.11596 [gr-qc].
  • [199] W. E. East and F. Pretorius, “Binary neutron star mergers in Einstein-scalar-Gauss-Bonnet gravity,” arXiv:2208.09488 [gr-qc].
  • [200] J. Novak and J. M. Ibanez, “Gravitational waves from the collapse and bounce of a stellar core in tensor scalar gravity,” Astrophys. J. 533 (2000) 392–405, arXiv:astro-ph/9911298.
  • [201] D. Gerosa, U. Sperhake, and C. D. Ott, “Numerical simulations of stellar collapse in scalar-tensor theories of gravity,” Class. Quant. Grav. 33 no. 13, (2016) 135002, arXiv:1602.06952 [gr-qc].
  • [202] F. M. Ramazanoğlu and F. Pretorius, “Spontaneous Scalarization with Massive Fields,” Phys. Rev. D 93 no. 6, (2016) 064005, arXiv:1601.07475 [gr-qc].
  • [203] S. S. Yazadjiev, D. D. Doneva, and D. Popchev, “Slowly rotating neutron stars in scalar-tensor theories with a massive scalar field,” Phys. Rev. D 93 no. 8, (2016) 084038, arXiv:1602.04766 [gr-qc].
  • [204] U. Sperhake, C. J. Moore, R. Rosca, M. Agathos, D. Gerosa, and C. D. Ott, “Long-lived inverse chirp signals from core collapse in massive scalar-tensor gravity,” Phys. Rev. Lett. 119 no. 20, (2017) 201103, arXiv:1708.03651 [gr-qc]. – 593 –
  • [205] P. C.-K. Cheong and T. G. F. Li, “Numerical studies on core collapse supernova in self-interacting massive scalar-tensor gravity,” Phys. Rev. D 100 no. 2, (2019) 024027, arXiv:1812.04835 [gr-qc].
  • [206] R. Rosca-Mead, C. J. Moore, M. Agathos, and U. Sperhake, “Inverse-chirp signals and spontaneous scalarisation with self-interacting potentials in stellar collapse,” Class. Quant. Grav. 36 no. 13, (2019) 134003, arXiv:1903.09704 [gr-qc].
  • [207] R. Rosca-Mead, U. Sperhake, C. J. Moore, M. Agathos, D. Gerosa, and C. D. Ott, “Core collapse in massive scalar-tensor gravity,” Phys. Rev. D 102 no. 4, (2020) 044010, arXiv:2005.09728 [gr-qc].
  • [208] T. Kuroda and M. Shibata, “Spontaneous scalarization as a new core-collapse supernova mechanism and its multimessenger signals,” Phys. Rev. D 107 no. 10, (2023) 103025, arXiv:2302.09853 [astro-ph.HE].
  • [209] C.-Q. Geng, H.-J. Kuan, and L.-W. Luo, “Inverse-chirp imprint of gravitational wave signals in scalar tensor theory,” Eur. Phys. J. C 80 no. 8, (2020) 780, arXiv:2005.11629 [gr-qc].
  • [210] H.-J. Kuan, D. D. Doneva, and S. S. Yazadjiev, “Dynamical Formation of Scalarized Black Holes and Neutron Stars through Stellar Core Collapse,” Phys. Rev. Lett. 127 no. 16, (2021) 161103, arXiv:2103.11999 [gr-qc].
  • [211] J. L. Blázquez-Salcedo, F. S. Khoo, J. Kunz, and V. Preut, “Polar Quasinormal Modes of Neutron Stars in Massive Scalar-Tensor Theories,” Front. in Phys. 9 (2021) 741427, arXiv:2107.06726 [gr-qc].
  • [212] C. J. Krüger and D. D. Doneva, “Oscillation dynamics of scalarized neutron stars,” Phys. Rev. D 103 no. 12, (2021) 124034, arXiv:2102.11698 [gr-qc].
  • [213] R. A. Porto, “The effective field theorist’s approach to gravitational dynamics,” Phys. Rept. 633 (2016) 1–104, arXiv:1601.04914 [hep-th].
  • [214] W. D. Goldberger, “Effective field theories of gravity and compact binary dynamics: A Snowmass 2021 whitepaper,” in Snowmass 2021. 6, 2022. arXiv:2206.14249 [hep-th].
  • [215] C. Dlapa, G. Kälin, Z. Liu, and R. A. Porto, “Bootstrapping the relativistic two-body problem,” JHEP 08 (2023) 109, arXiv:2304.01275 [hep-th].
  • [216] L. Barack and A. Pound, “Self-force and radiation reaction in general relativity,” Rept. Prog. Phys. 82 no. 1, (2019) 016904, arXiv:1805.10385 [gr-qc].
  • [217] T. Damour, P. Jaranowski, and G. Schäfer, “Nonlocal-in-time action for the fourth post-Newtonian conservative dynamics of two-body systems,” Phys. Rev. D 89 no. 6, (2014) 064058, arXiv:1401.4548 [gr-qc].
  • [218] C. R. Galley, A. K. Leibovich, R. A. Porto, and A. Ross, “Tail effect in gravitational radiation reaction: Time nonlocality and renormalization group evolution,” Phys. Rev. D 93 (2016) 124010, arXiv:1511.07379 [gr-qc].
  • [219] L. Bernard, L. Blanchet, A. Bohé, G. Faye, and S. Marsat, “Dimensional regularization of the IR divergences in the Fokker action of point-particle binaries at the fourth post-Newtonian order,” Phys. Rev. D 96 no. 10, (2017) 104043, arXiv:1706.08480 [gr-qc].
  • [220] S. Foffa, R. A. Porto, I. Rothstein, and R. Sturani, “Conservative dynamics of binary systems to fourth Post-Newtonian order in the EFT approach II: Renormalized Lagrangian,” Phys. Rev. D 100 no. 2, (2019) 024048, arXiv:1903.05118 [gr-qc].
  • [221] R. A. Porto and I. Z. Rothstein, “Apparent ambiguities in the post-Newtonian expansion for binary systems,” Phys. Rev. D 96 no. 2, (2017) 024062, arXiv:1703.06433 [gr-qc].
  • [222] Z. Bern, C. Cheung, R. Roiban, C.-H. Shen, M. P. Solon, and M. Zeng, “Scattering Amplitudes and the Conservative Hamiltonian for Binary Systems at Third – 594 – Post-Minkowskian Order,” Phys. Rev. Lett. 122 no. 20, (2019) 201603, arXiv:1901.04424 [hep-th].
  • [223] G. Kälin and R. A. Porto, “Post-Minkowskian Effective Field Theory for Conservative Binary Dynamics,” JHEP 11 (2020) 106, arXiv:2006.01184 [hep-th].
  • [224] G. Kälin, Z. Liu, and R. A. Porto, “Conservative Dynamics of Binary Systems to Third Post-Minkowskian Order from the Effective Field Theory Approach,” Phys. Rev. Lett. 125 no. 26, (2020) 261103, arXiv:2007.04977 [hep-th].
  • [225] G. Kälin, Z. Liu, and R. A. Porto, “Conservative Tidal Effects in Compact Binary Systems to Next-to-Leading Post-Minkowskian Order,” Phys. Rev. D 102 (2020) 124025, arXiv:2008.06047 [hep-th].
  • [226] G. Mogull, J. Plefka, and J. Steinhoff, “Classical black hole scattering from a worldline quantum field theory,” JHEP 02 (2021) 048, arXiv:2010.02865 [hep-th].
  • [227] Z. Bern, J. Parra-Martinez, R. Roiban, M. S. Ruf, C.-H. Shen, M. P. Solon, and M. Zeng, “Scattering Amplitudes, the Tail Effect, and Conservative Binary Dynamics at O(G4),” Phys. Rev. Lett. 128 no. 16, (2022) 161103, arXiv:2112.10750 [hep-th].
  • [228] C. Dlapa, G. Kälin, Z. Liu, and R. A. Porto, “Dynamics of binary systems to fourth Post-Minkowskian order from the effective field theory approach,” Phys. Lett. B 831 (2022) 137203, arXiv:2106.08276 [hep-th].
  • [229] C. Dlapa, G. Kälin, Z. Liu, and R. A. Porto, “Conservative Dynamics of Binary Systems at Fourth Post-Minkowskian Order in the Large-Eccentricity Expansion,” Phys. Rev. Lett. 128 no. 16, (2022) 161104, arXiv:2112.11296 [hep-th].
  • [230] C. Dlapa, G. Kälin, Z. Liu, J. Neef, and R. A. Porto, “Radiation Reaction and Gravitational Waves at Fourth Post-Minkowskian Order,” arXiv:2210.05541 [hep-th].
  • [231] G. Kälin, J. Neef, and R. A. Porto, “Radiation-reaction in the Effective Field Theory approach to Post-Minkowskian dynamics,” JHEP 01 (2023) 140, arXiv:2207.00580 [hep-th].
  • [232] G. U. Jakobsen, G. Mogull, J. Plefka, B. Sauer, and Y. Xu, “Conservative Scattering of Spinning Black Holes at Fourth Post-Minkowskian Order,” Phys. Rev. Lett. 131 no. 15, (2023) 151401, arXiv:2306.01714 [hep-th].
  • [233] G. U. Jakobsen, G. Mogull, J. Plefka, and B. Sauer, “Dissipative Scattering of Spinning Black Holes at Fourth Post-Minkowskian Order,” Phys. Rev. Lett. 131 no. 24, (2023) 241402, arXiv:2308.11514 [hep-th].
  • [234] M. Driesse, G. U. Jakobsen, G. Mogull, J. Plefka, B. Sauer, and J. Usovitsch, “Conservative Black Hole Scattering at Fifth Post-Minkowskian and First Self-Force Order,” arXiv:2403.07781 [hep-th].
  • [235] C. Dlapa, G. Kälin, Z. Liu, and R. A. Porto, “Local in Time Conservative Binary Dynamics at Fourth Post-Minkowskian Order,” Phys. Rev. Lett. 132 no. 22, (2024) 221401, arXiv:2403.04853 [hep-th].
  • [236] M. Driesse, G. U. Jakobsen, A. Klemm, G. Mogull, C. Nega, J. Plefka, B. Sauer, and J. Usovitsch, “Emergence of Calabi–Yau manifolds in high-precision black-hole scattering,” Nature 641 no. 8063, (2025) 603–607, arXiv:2411.11846 [hep-th].
  • [237] T. Damour, “Radiative contribution to classical gravitational scattering at the third order in G,” Phys. Rev. D 102 no. 12, (2020) 124008, arXiv:2010.01641 [gr-qc].
  • [238] D. Bini, T. Damour, and A. Geralico, “Radiative contributions to gravitational scattering,” Phys. Rev. D 104 no. 8, (2021) 084031, arXiv:2107.08896 [gr-qc]. – 595 –
  • [239] D. Bini, T. Damour, and A. Geralico, “Radiated momentum and radiation reaction in gravitational two-body scattering including time-asymmetric effects,” Phys. Rev. D 107 no. 2, (2023) 024012, arXiv:2210.07165 [gr-qc].
  • [240] R. A. Porto, M. M. Riva, and Z. Yang, “Nonlinear Gravitational Radiation Reaction: Failed Tail, Memories & Squares,” arXiv:2409.05860 [gr-qc].
  • [241] W. D. Goldberger and I. Z. Rothstein, “An Effective field theory of gravity for extended objects,” Phys. Rev. D 73 (2006) 104029, arXiv:hep-th/0409156.
  • [242] R. A. Porto, “Post-Newtonian corrections to the motion of spinning bodies in NRGR,” Phys. Rev. D 73 (2006) 104031, arXiv:gr-qc/0511061.
  • [243] W. D. Goldberger and I. Z. Rothstein, “Dissipative effects in the worldline approach to black hole dynamics,” Phys. Rev. D 73 (2006) 104030, arXiv:hep-th/0511133.
  • [244] R. A. Porto, “Absorption effects due to spin in the worldline approach to black hole dynamics,” Phys. Rev. D 77 (2008) 064026, arXiv:0710.5150 [hep-th].
  • [245] J. Blümlein, A. Maier, P. Marquard, and G. Schäfer, “Gravity in binary systems at the fifth and sixth post-Newtonian order,” PoS LL2022 (2022) 012, arXiv:2208.04552 [gr-qc].
  • [246] G. L. Almeida, S. Foffa, and R. Sturani, “Tail contributions to gravitational conservative dynamics,” Phys. Rev. D 104 no. 12, (2021) 124075, arXiv:2110.14146 [gr-qc].
  • [247] G. Cho, R. A. Porto, and Z. Yang, “Gravitational radiation from inspiralling compact objects: Spin effects to the fourth post-Newtonian order,” Phys. Rev. D 106 no. 10, (2022) L101501, arXiv:2201.05138 [gr-qc].
  • [248] L. Amalberti, Z. Yang, and R. A. Porto, “Gravitational radiation from inspiralling compact binaries to N3 LO in the Effective Field Theory approach,” arXiv:2406.03457 [gr-qc].
  • [249] G. Kälin and R. A. Porto, “From Boundary Data to Bound States,” JHEP 01 (2020) 072, arXiv:1910.03008 [hep-th].
  • [250] G. Kälin and R. A. Porto, “From boundary data to bound states. Part II. Scattering angle to dynamical invariants (with twist),” JHEP 02 (2020) 120, arXiv:1911.09130 [hep-th].
  • [251] T. Damour and P. Rettegno, “Strong-field scattering of two black holes: Numerical relativity meets post-Minkowskian gravity,” Phys. Rev. D 107 no. 6, (2023) 064051, arXiv:2211.01399 [gr-qc].
  • [252] A. Buonanno, G. U. Jakobsen, and G. Mogull, “Post-Minkowskian Theory Meets the Spinning Effective-One-Body Approach for Two-Body Scattering,” arXiv:2402.12342 [gr-qc].
  • [253] S. Swain, G. Pratten, and P. Schmidt, “Strong Field Scattering of Black Holes: Assessing Resummation Strategies,” arXiv:2411.09652 [gr-qc].
  • [254] T. Damour, “Gravitational scattering, post-Minkowskian approximation and Effective One-Body theory,” Phys. Rev. D 94 no. 10, (2016) 104015, arXiv:1609.00354 [gr-qc].
  • [255] T. Damour, “High-energy gravitational scattering and the general relativistic two-body problem,” Phys. Rev. D 97 no. 4, (2018) 044038, arXiv:1710.10599 [gr-qc].
  • [256] G. Cho, G. Kälin, and R. A. Porto, “From boundary data to bound states. Part III. Radiative effects,” JHEP 04 (2022) 154, arXiv:2112.03976 [hep-th]. [Erratum: JHEP 07, 002 (2022)].
  • [256] G. Cho, G. Kälin, and R. A. Porto, “From boundary data to bound states. Part III. Radiative effects,” JHEP 04 (2022) 154, arXiv:2112.03976 [hep-th]. [Erratum: JHEP 07, 002 (2022)].
  • [257] D. Bini, T. Damour, and A. Geralico, “Sixth post-Newtonian local-in-time dynamics of binary systems,” Phys. Rev. D 102 no. 2, (2020) 024061, arXiv:2004.05407 [gr-qc].
  • [258] D. Bini, T. Damour, and A. Geralico, “Sixth post-Newtonian nonlocal-in-time dynamics of binary systems,” Phys. Rev. D 102 no. 8, (2020) 084047, arXiv:2007.11239 [gr-qc]. – 596 –
  • [259] T. Damour, “Classical and quantum scattering in post-Minkowskian gravity,” Phys. Rev. D 102 no. 2, (2020) 024060, arXiv:1912.02139 [gr-qc].
  • [260] Event Horizon Telescope Collaboration, K. Akiyama et al., “First M87 Event Horizon Telescope Results. VI. The Shadow and Mass of the Central Black Hole,” Astrophys. J. Lett. 875 no. 1, (2019) L6, arXiv:1906.11243 [astro-ph.GA].
  • [261] Event Horizon Telescope Collaboration, K. Akiyama et al., “First Sagittarius A* Event Horizon Telescope Results. VI. Testing the Black Hole Metric,” Astrophys. J. Lett. 930 no. 2, (2022) L17, arXiv:2311.09484 [astro-ph.HE].
  • [262] GRAVITY Collaboration, R. Abuter et al., “Detection of the Schwarzschild precession in the orbit of the star S2 near the Galactic centre massive black hole,” Astron. Astrophys. 636 (2020) L5, arXiv:2004.07187 [astro-ph.GA].
  • [263] LIGO Scientific, Virgo Collaboration, B. P. Abbott et al., “Tests of General Relativity with the Binary Black Hole Signals from the LIGO-Virgo Catalog GWTC-1,” Phys. Rev. D 100 no. 10, (2019) 104036, arXiv:1903.04467 [gr-qc].
  • [264] J. D. Bekenstein and V. F. Mukhanov, “Spectroscopy of the quantum black hole,” Phys. Lett. B 360 (1995) 7–12, arXiv:gr-qc/9505012.
  • [265] G. Dvali, C. Gomez, and S. Mukhanov, “Black Hole Masses are Quantized,” arXiv:1106.5894 [hep-ph].
  • [266] G. Dvali and C. Gomez, “Black Hole’s Quantum N-Portrait,” Fortsch. Phys. 61 (2013) 742–767, arXiv:1112.3359 [hep-th].
  • [267] R. Casadio, “Geometry and thermodynamics of coherent quantum black holes,” Int. J. Mod. Phys. D 31 no. 16, (2022) 2250128, arXiv:2103.00183 [gr-qc].
  • [268] M. Cadoni, M. Oi, and A. P. Sanna, “Effective models of nonsingular quantum black holes,” Phys. Rev. D 106 no. 2, (2022) 024030, arXiv:2204.09444 [gr-qc].
  • [269] R. Casadio, “Quantum dust cores of black holes,” Phys. Lett. B 843 (2023) 138055, arXiv:2304.06816 [gr-qc].
  • [270] I. Bena, E. J. Martinec, S. D. Mathur, and N. P. Warner, “Fuzzballs and Microstate Geometries: Black-Hole Structure in String Theory,” arXiv:2204.13113 [hep-th].
  • [271] V. Cardoso, V. F. Foit, and M. Kleban, “Gravitational wave echoes from black hole area quantization,” JCAP 08 (2019) 006, arXiv:1902.10164 [hep-th].
  • [272] D. Laghi, G. Carullo, J. Veitch, and W. Del Pozzo, “Quantum black hole spectroscopy: probing the quantum nature of the black hole area using LIGO–Virgo ringdown detections,” Class. Quant. Grav. 38 no. 9, (2021) 095005, arXiv:2011.03816 [gr-qc].
  • [273] I. Agullo, V. Cardoso, A. Del Rio, M. Maggiore, and J. Pullin, “Potential Gravitational Wave Signatures of Quantum Gravity,” Phys. Rev. Lett. 126 no. 4, (2021) 041302, arXiv:2007.13761 [gr-qc].
  • [274] R. Brustein and Y. Sherf, “Quantum Love numbers,” Phys. Rev. D 105 no. 2, (2022) 024043, arXiv:2008.02738 [gr-qc].
  • [275] D. R. Mayerson, “Fuzzballs and Observations,” Gen. Rel. Grav. 52 no. 12, (2020) 115, arXiv:2010.09736 [hep-th].
  • [276] R. Brustein and Y. Sherf, “Classical Love number for quantum black holes,” Phys. Rev. D 105 no. 2, (2022) 024044, arXiv:2104.06013 [gr-qc].
  • [277] K. Chakravarti, R. Ghosh, and S. Sarkar, “Signature of nonuniform area quantization on black hole echoes,” Phys. Rev. D 105 no. 4, (2022) 044046, arXiv:2112.10109 [gr-qc].
  • [278] A. Coates, S. H. Völkel, and K. D. Kokkotas, “On black hole area quantization and echoes,” Class. Quant. Grav. 39 no. 4, (2022) 045007, arXiv:2201.03245 [gr-qc]. – 597 –
  • [279] S. Nair, S. Chakraborty, and S. Sarkar, “Dynamical Love numbers for area quantized black holes,” Phys. Rev. D 107 no. 12, (2023) 124041, arXiv:2208.06235 [gr-qc].
  • [280] S. Chakraborty, E. Maggio, M. Silvestrini, and P. Pani, “Dynamical tidal Love numbers of Kerr-like compact objects,” Phys. Rev. D 110 no. 8, (2024) 084042, arXiv:2310.06023 [gr-qc].
  • [281] V. Cardoso and P. Pani, “Testing the nature of dark compact objects: a status report,” Living Rev. Rel. 22 no. 1, (2019) 4, arXiv:1904.05363 [gr-qc].
  • [282] S. D. Mathur, “The Fuzzball proposal for black holes: An Elementary review,” Fortsch. Phys. 53 (2005) 793–827, arXiv:hep-th/0502050.
  • [283] P. O. Mazur and E. Mottola, “Gravitational vacuum condensate stars,” Proc. Nat. Acad. Sci. 101 (2004) 9545–9550, arXiv:gr-qc/0407075.
  • [284] S. L. Liebling and C. Palenzuela, “Dynamical boson stars,” Living Rev. Rel. 26 no. 1, (2023) 1, arXiv:1202.5809 [gr-qc].
  • [285] M. S. Morris and K. S. Thorne, “Wormholes in space-time and their use for interstellar travel: A tool for teaching general relativity,” Am. J. Phys. 56 (1988) 395–412.
  • [286] R. O. Hansen, “Multipole moments of stationary space-times,” J. Math. Phys. 15 (1974) 46–52.
  • [287] I. Bena and D. R. Mayerson, “Multipole Ratios: A New Window into Black Holes,” Phys. Rev. Lett. 125 no. 22, (2020) 221602, arXiv:2006.10750 [hep-th].
  • [288] M. Bianchi, D. Consoli, A. Grillo, J. F. Morales, P. Pani, and G. Raposo, “Distinguishing fuzzballs from black holes through their multipolar structure,” Phys. Rev. Lett. 125 no. 22, (2020) 221601, arXiv:2007.01743 [hep-th].
  • [289] I. Bena and D. R. Mayerson, “Black Holes Lessons from Multipole Ratios,” JHEP 03 (2021) 114, arXiv:2007.09152 [hep-th].
  • [290] M. Bianchi, D. Consoli, A. Grillo, J. F. Morales, P. Pani, and G. Raposo, “The multipolar structure of fuzzballs,” JHEP 01 (2021) 003, arXiv:2008.01445 [hep-th].
  • [291] N. Loutrel, R. Brito, A. Maselli, and P. Pani, “Inspiraling compact objects with generic deformations,” Phys. Rev. D 105 no. 12, (2022) 124050, arXiv:2203.01725 [gr-qc].
  • [292] U. Dupletsa, J. Harms, B. Banerjee, M. Branchesi, B. Goncharov, A. Maselli, A. C. S. Oliveira, S. Ronchini, and J. Tissino, “gwfish: A simulation software to evaluate parameter-estimation capabilities of gravitational-wave detector networks,” Astron. Comput. 42 (2023) 100671, arXiv:2205.02499 [gr-qc].
  • [293] G. Ashton et al., “BILBY: A user-friendly Bayesian inference library for gravitational-wave astronomy,” Astrophys. J. Suppl. 241 no. 2, (2019) 27, arXiv:1811.02042 [astro-ph.IM].
  • [294] T. Binnington and E. Poisson, “Relativistic theory of tidal Love numbers,” Phys. Rev. D 80 (2009) 084018, arXiv:0906.1366 [gr-qc].
  • [295] T. Damour and A. Nagar, “Relativistic tidal properties of neutron stars,” Phys. Rev. D 80 (2009) 084035, arXiv:0906.0096 [gr-qc].
  • [296] H. S. Chia, “Tidal deformation and dissipation of rotating black holes,” Phys. Rev. D 104 no. 2, (2021) 024013, arXiv:2010.07300 [gr-qc].
  • [297] S. Iteanu, M. M. Riva, L. Santoni, N. Savić, and F. Vernizzi, “Vanishing of Quadratic Love Numbers of Schwarzschild Black Holes,” arXiv:2410.03542 [gr-qc].
  • [298] R. A. Porto, “The Tune of Love and the Nature(ness) of Spacetime,” Fortsch. Phys. 64 no. 10, (2016) 723–729, arXiv:1606.08895 [gr-qc]. – 598 –
  • [299] V. Cardoso, E. Franzin, A. Maselli, P. Pani, and G. Raposo, “Testing strong-field gravity with tidal Love numbers,” Phys. Rev. D 95 no. 8, (2017) 084014, arXiv:1701.01116 [gr-qc]. [Addendum: Phys.Rev.D 95, 089901 (2017)].
  • [299] V. Cardoso, E. Franzin, A. Maselli, P. Pani, and G. Raposo, “Testing strong-field gravity with tidal Love numbers,” Phys. Rev. D 95 no. 8, (2017) 084014, arXiv:1701.01116 [gr-qc]. [Addendum: Phys.Rev.D 95, 089901 (2017)].
  • [300] V. Cardoso, M. Kimura, A. Maselli, and L. Senatore, “Black Holes in an Effective Field Theory Extension of General Relativity,” Phys. Rev. Lett. 121 no. 25, (2018) 251105, arXiv:1808.08962 [gr-qc].
  • [301] D. Baumann, H. S. Chia, and R. A. Porto, “Probing Ultralight Bosons with Binary Black Holes,” Phys. Rev. D 99 no. 4, (2019) 044001, arXiv:1804.03208 [gr-qc].
  • [302] E. Cannizzaro, V. De Luca, and P. Pani, “Tidal deformability of black holes surrounded by thin accretion disks,” arXiv:2408.14208 [astro-ph.HE].
  • [303] T. Katagiri, V. Cardoso, T. Ikeda, and K. Yagi, “Tidal response beyond vacuum General Relativity with a canonical definition,” arXiv:2410.02531 [gr-qc].
  • [304] P. Pani, “I-Love-Q relations for gravastars and the approach to the black-hole limit,” Phys. Rev. D 92 no. 12, (2015) 124030, arXiv:1506.06050 [gr-qc]. [Erratum: Phys.Rev.D 95, 049902 (2017)].
  • [304] P. Pani, “I-Love-Q relations for gravastars and the approach to the black-hole limit,” Phys. Rev. D 92 no. 12, (2015) 124030, arXiv:1506.06050 [gr-qc]. [Erratum: Phys.Rev.D 95, 049902 (2017)].
  • [305] N. Uchikata, S. Yoshida, and P. Pani, “Tidal deformability and I-Love-Q relations for gravastars with polytropic thin shells,” Phys. Rev. D 94 no. 6, (2016) 064015, arXiv:1607.03593 [gr-qc].
  • [306] R. F. P. Mendes and H. Yang, “Tidal deformability of boson stars and dark matter clumps,” Class. Quant. Grav. 34 no. 18, (2017) 185001, arXiv:1606.03035 [astro-ph.CO].
  • [307] G. F. Giudice, M. McCullough, and A. Urbano, “Hunting for Dark Particles with Gravitational Waves,” JCAP 1610 no. 10, (2016) 001, arXiv:1605.01209 [hep-ph].
  • [308] N. Sennett, T. Hinderer, J. Steinhoff, A. Buonanno, and S. Ossokine, “Distinguishing Boson Stars from Black Holes and Neutron Stars from Tidal Interactions in Inspiraling Binary Systems,” Phys. Rev. D 96 no. 2, (2017) 024002, arXiv:1704.08651 [gr-qc].
  • [309] G. Raposo, P. Pani, M. Bezares, C. Palenzuela, and V. Cardoso, “Anisotropic stars as ultracompact objects in General Relativity,” Phys. Rev. D 99 no. 10, (2019) 104072, arXiv:1811.07917 [gr-qc].
  • [310] E. Berti, V. De Luca, L. Del Grosso, and P. Pani, “Tidal Love numbers and approximate universal relations for fermion soliton stars,” arXiv:2404.06979 [gr-qc].
  • [311] J. D. Bekenstein, “Black holes and entropy,” Phys. Rev. D 7 (1973) 2333–2346.
  • [312] R. Carballo-Rubio, F. Di Filippo, S. Liberati, and M. Visser, “Singularity-free gravitational collapse: From regular black holes to horizonless objects,” arXiv:2302.00028 [gr-qc].
  • [313] R. Casadio, A. Giusti, and J. Ovalle, “Quantum rotating black holes,” JHEP 05 (2023) 118, arXiv:2303.02713 [gr-qc].
  • [314] H. S. Chia, T. D. P. Edwards, D. Wadekar, A. Zimmerman, S. Olsen, J. Roulet, T. Venumadhav, B. Zackay, and M. Zaldarriaga, “In Pursuit of Love: First Templated Search for Compact Objects with Large Tidal Deformabilities in the LIGO-Virgo Data,” arXiv:2306.00050 [gr-qc].
  • [315] K. Yagi, “Multipole Love Relations,” Phys. Rev. D 89 no. 4, (2014) 043011, arXiv:1311.0872 [gr-qc]. [Erratum: Phys.Rev.D 96, 129904 (2017), Erratum: Phys.Rev.D 97, 129901 (2018)].
  • [315] K. Yagi, “Multipole Love Relations,” Phys. Rev. D 89 no. 4, (2014) 043011, arXiv:1311.0872 [gr-qc]. [Erratum: Phys.Rev.D 96, 129904 (2017), Erratum: Phys.Rev.D 97, 129901 (2018)].
  • [315] K. Yagi, “Multipole Love Relations,” Phys. Rev. D 89 no. 4, (2014) 043011, arXiv:1311.0872 [gr-qc]. [Erratum: Phys.Rev.D 96, 129904 (2017), Erratum: Phys.Rev.D 97, 129901 (2018)].
  • [316] X. Jiménez Forteza, T. Abdelsalhin, P. Pani, and L. Gualtieri, “Impact of high-order tidal terms on binary neutron-star waveforms,” Phys. Rev. D 98 no. 12, (2018) 124014, arXiv:1807.08016 [gr-qc]. – 599 –
  • [317] J. B. Hartle, “Tidal Friction in Slowly Rotating Black Holes,” Phys. Rev. D 8 (1973) 1010–1024.
  • [318] S. A. Hughes, “Evolution of circular, nonequatorial orbits of Kerr black holes due to gravitational wave emission. II. Inspiral trajectories and gravitational wave forms,” Phys. Rev. D 64 (2001) 064004, arXiv:gr-qc/0104041. [Erratum: Phys.Rev.D 88, 109902 (2013)].
  • [318] S. A. Hughes, “Evolution of circular, nonequatorial orbits of Kerr black holes due to gravitational wave emission. II. Inspiral trajectories and gravitational wave forms,” Phys. Rev. D 64 (2001) 064004, arXiv:gr-qc/0104041. [Erratum: Phys.Rev.D 88, 109902 (2013)].
  • [319] S. Datta, “Horizon fluxes of binary black holes in eccentric orbits,” Eur. Phys. J. C 84 no. 10, (2024) 1077, arXiv:2305.03771 [gr-qc].
  • [320] A. Maselli, P. Pani, V. Cardoso, T. Abdelsalhin, L. Gualtieri, and V. Ferrari, “Probing Planckian corrections at the horizon scale with LISA binaries,” Phys. Rev. Lett. 120 no. 8, (2018) 081101, arXiv:1703.10612 [gr-qc].
  • [321] S. Datta, R. Brito, S. Bose, P. Pani, and S. A. Hughes, “Tidal heating as a discriminator for horizons in extreme mass ratio inspirals,” Phys. Rev. D 101 no. 4, (2020) 044004, arXiv:1910.07841 [gr-qc].
  • [322] S. Bernuzzi, A. Nagar, and A. Zenginoglu, “Horizon-absorption effects in coalescing black-hole binaries: An effective-one-body study of the non-spinning case,” Phys. Rev. D 86 (2012) 104038, arXiv:1207.0769 [gr-qc].
  • [323] A. Taracchini, A. Buonanno, S. A. Hughes, and G. Khanna, “Modeling the horizon-absorbed gravitational flux for equatorial-circular orbits in Kerr spacetime,” Phys. Rev. D 88 (2013) 044001, arXiv:1305.2184 [gr-qc]. [Erratum: Phys.Rev.D 88, 109903 (2013)].
  • [323] A. Taracchini, A. Buonanno, S. A. Hughes, and G. Khanna, “Modeling the horizon-absorbed gravitational flux for equatorial-circular orbits in Kerr spacetime,” Phys. Rev. D 88 (2013) 044001, arXiv:1305.2184 [gr-qc]. [Erratum: Phys.Rev.D 88, 109903 (2013)].
  • [324] E. Harms, S. Bernuzzi, A. Nagar, and A. Zenginoglu, “A new gravitational wave generation algorithm for particle perturbations of the Kerr spacetime,” Class. Quant. Grav. 31 no. 24, (2014) 245004, arXiv:1406.5983 [gr-qc].
  • [325] S. Datta and S. Bose, “Probing the nature of central objects in extreme-mass-ratio inspirals with gravitational waves,” Phys. Rev. D 99 no. 8, (2019) 084001, arXiv:1902.01723 [gr-qc].
  • [326] E. Maggio, M. van de Meent, and P. Pani, “Extreme mass-ratio inspirals around a spinning horizonless compact object,” Phys. Rev. D 104 no. 10, (2021) 104026, arXiv:2106.07195 [gr-qc].
  • [327] T. Zi, C.-Q. Ye, and P.-C. Li, “Detecting the tidal heating with the generic extreme-mass-ratio inspirals,” arXiv:2311.15532 [gr-qc].
  • [328] S. Datta, R. Brito, S. A. Hughes, T. Klinger, and P. Pani, “Tidal heating as a discriminator for horizons in equatorial eccentric extreme mass ratio inspirals,” arXiv:2404.04013 [gr-qc].
  • [329] S. Datta, K. S. Phukon, and S. Bose, “Recognizing black holes in gravitational-wave observations: Challenges in telling apart impostors in mass-gap binaries,” Phys. Rev. D 104 no. 8, (2021) 084006, arXiv:2004.05974 [gr-qc].
  • [330] H. S. Chia, Z. Zhou, and M. M. Ivanov, “Bring the Heat: Tidal Heating Constraints for Black Holes and Exotic Compact Objects from the LIGO-Virgo-KAGRA Data,” arXiv:2404.14641 [gr-qc].
  • [331] M. Colpi et al., “LISA Definition Study Report,” arXiv:2402.07571 [astro-ph.CO].
  • [332] S. Barsanti, V. De Luca, A. Maselli, and P. Pani, “Detecting Subsolar-Mass Primordial Black Holes in Extreme Mass-Ratio Inspirals with LISA and Einstein Telescope,” Phys. Rev. Lett. 128 no. 11, (2022) 111104, arXiv:2109.02170 [gr-qc].
  • [333] C. Pacilio, M. Vaglio, A. Maselli, and P. Pani, “Gravitational-wave detectors as particle-physics laboratories: Constraining scalar interactions with a coherent inspiral model of boson-star binaries,” Phys. Rev. D 102 no. 8, (2020) 083002, arXiv:2007.05264 [gr-qc]. – 600 –
  • [334] S. Gossan, J. Veitch, and B. S. Sathyaprakash, “Bayesian model selection for testing the no-hair theorem with black hole ringdowns,” Phys. Rev. D 85 (2012) 124056, arXiv:1111.5819 [gr-qc].
  • [335] F. Crescimbeni, X. J. Forteza, S. Bhagwat, J. Westerweck, and P. Pani, “Theory-agnostic searches for non-gravitational modes in black hole ringdown,” arXiv:2408.08956 [gr-qc].
  • [336] X. J. Forteza, S. Bhagwat, S. Kumar, and P. Pani, “Novel Ringdown Amplitude-Phase Consistency Test,” Phys. Rev. Lett. 130 no. 2, (2023) 021001, arXiv:2205.14910 [gr-qc].
  • [337] E. Berti, A. Sesana, E. Barausse, V. Cardoso, and K. Belczynski, “Spectroscopy of Kerr black holes with Earth- and space-based interferometers,” Phys. Rev. Lett. 117 no. 10, (2016) 101102, arXiv:1605.09286 [gr-qc].
  • [338] S. Bhagwat, C. Pacilio, P. Pani, and M. Mapelli, “Landscape of stellar-mass black-hole spectroscopy with third-generation gravitational-wave detectors,” Phys. Rev. D 108 no. 4, (2023) 043019, arXiv:2304.02283 [gr-qc].
  • [339] M. Mapelli, Y. Bouffanais, F. Santoliquido, M. A. Sedda, and M. C. Artale, “The cosmic evolution of binary black holes in young, globular, and nuclear star clusters: rates, masses, spins, and mixing fractions,” Mon. Not. Roy. Astron. Soc. 511 no. 4, (2022) 5797–5816, arXiv:2109.06222 [astro-ph.HE].
  • [340] V. Baibhav and E. Berti, “Multimode black hole spectroscopy,” Phys. Rev. D 99 no. 2, (2019) 024005, arXiv:1809.03500 [gr-qc].
  • [341] I. Kamaretsos, M. Hannam, and B. Sathyaprakash, “Is black-hole ringdown a memory of its progenitor?,” Phys. Rev. Lett. 109 (2012) 141102, arXiv:1207.0399 [gr-qc].
  • [342] X. Jiménez Forteza, S. Bhagwat, P. Pani, and V. Ferrari, “Spectroscopy of binary black hole ringdown using overtones and angular modes,” Phys. Rev. D 102 no. 4, (2020) 044053, arXiv:2005.03260 [gr-qc].
  • [343] S. Bhagwat, C. Pacilio, E. Barausse, and P. Pani, “Landscape of massive black-hole spectroscopy with LISA and the Einstein Telescope,” Phys. Rev. D 105 no. 12, (2022) 124063, arXiv:2201.00023 [gr-qc].
  • [344] R. Brito, A. Buonanno, and V. Raymond, “Black-hole Spectroscopy by Making Full Use of Gravitational-Wave Modeling,” Phys. Rev. D 98 no. 8, (2018) 084038, arXiv:1805.00293 [gr-qc].
  • [345] S. Bhagwat and C. Pacilio, “Merger-ringdown consistency: A new test of strong gravity using deep learning,” Phys. Rev. D 104 no. 2, (2021) 024030, arXiv:2101.07817 [gr-qc].
  • [346] C. Pacilio and S. Bhagwat, “Identifying modified theories of gravity using binary black-hole ringdowns,” Phys. Rev. D 107 no. 8, (2023) 083021, arXiv:2301.02267 [gr-qc].
  • [347] O. J. Tattersall and P. G. Ferreira, “Forecasts for Low Spin Black Hole Spectroscopy in Horndeski Gravity,” Phys. Rev. D 99 no. 10, (2019) 104082, arXiv:1904.05112 [gr-qc].
  • [348] G. Carullo, D. Laghi, N. K. Johnson-McDaniel, W. Del Pozzo, O. J. C. Dias, M. Godazgar, and J. E. Santos, “Constraints on Kerr-Newman black holes from merger-ringdown gravitational-wave observations,” Phys. Rev. D 105 no. 6, (2022) 062009, arXiv:2109.13961 [gr-qc].
  • [349] L. Pierini and L. Gualtieri, “Quasinormal modes of rotating black holes in Einstein-dilaton Gauss-Bonnet gravity: The second order in rotation,” Phys. Rev. D 106 no. 10, (2022) 104009, arXiv:2207.11267 [gr-qc].
  • [350] P. A. Cano, K. Fransen, T. Hertog, and S. Maenaut, “Quasinormal modes of rotating black holes in higher-derivative gravity,” Phys. Rev. D 108 no. 12, (2023) 124032, arXiv:2307.07431 [gr-qc]. – 601 –
  • [351] G. Antoniou, C. F. B. Macedo, A. Maselli, and T. P. Sotiriou, “Axial perturbations of hairy black holes in generalised scalar-tensor theories,” arXiv:2404.02479 [gr-qc].
  • [352] O. J. C. Dias, M. Godazgar, and J. E. Santos, “Linear Mode Stability of the Kerr-Newman Black Hole and Its Quasinormal Modes,” Phys. Rev. Lett. 114 no. 15, (2015) 151101, arXiv:1501.04625 [gr-qc].
  • [353] P. A. Cano, K. Fransen, and T. Hertog, “Ringing of rotating black holes in higher-derivative gravity,” Phys. Rev. D 102 no. 4, (2020) 044047, arXiv:2005.03671 [gr-qc].
  • [354] P. A. Cano, K. Fransen, T. Hertog, and S. Maenaut, “Gravitational ringing of rotating black holes in higher-derivative gravity,” Phys. Rev. D 105 no. 2, (2022) 024064, arXiv:2110.11378 [gr-qc].
  • [355] P. Wagle, N. Yunes, and H. O. Silva, “Quasinormal modes of slowly-rotating black holes in dynamical Chern-Simons gravity,” Phys. Rev. D 105 no. 12, (2022) 124003, arXiv:2103.09913 [gr-qc].
  • [356] O. J. Tattersall and P. G. Ferreira, “Quasinormal modes of black holes in Horndeski gravity,” Phys. Rev. D 97 no. 10, (2018) 104047, arXiv:1804.08950 [gr-qc].
  • [357] M. H.-Y. Cheung et al., “Nonlinear effects in black hole ringdown,” arXiv:2208.07374 [gr-qc].
  • [358] K. Mitman et al., “Nonlinearities in black hole ringdowns,” arXiv:2208.07380 [gr-qc].
  • [359] M. Lagos and L. Hui, “Generation and propagation of nonlinear quasinormal modes of a Schwarzschild black hole,” Phys. Rev. D 107 no. 4, (2023) 044040, arXiv:2208.07379 [gr-qc].
  • [360] A. Kehagias, D. Perrone, A. Riotto, and F. Riva, “Explaining nonlinearities in black hole ringdowns from symmetries,” Phys. Rev. D 108 no. 2, (2023) L021501, arXiv:2301.09345 [gr-qc].
  • [361] V. Baibhav, M. H.-Y. Cheung, E. Berti, V. Cardoso, G. Carullo, R. Cotesta, W. Del Pozzo, and F. Duque, “Agnostic black hole spectroscopy: Quasinormal mode content of numerical relativity waveforms and limits of validity of linear perturbation theory,” Phys. Rev. D 108 no. 10, (2023) 104020, arXiv:2302.03050 [gr-qc].
  • [362] S. Yi, A. Kuntz, E. Barausse, E. Berti, M. H.-Y. Cheung, K. Kritos, and A. Maselli, “Nonlinear quasinormal mode detectability with next-generation gravitational wave detectors,” arXiv:2403.09767 [gr-qc].
  • [363] E. Maggio, L. Buoninfante, A. Mazumdar, and P. Pani, “How does a dark compact object ringdown?,” Phys. Rev. D 102 no. 6, (2020) 064053, arXiv:2006.14628 [gr-qc].
  • [364] V. Cardoso, E. Franzin, and P. Pani, “Is the gravitational-wave ringdown a probe of the event horizon?,” Phys. Rev. Lett. 116 no. 17, (2016) 171101, arXiv:1602.07309 [gr-qc]. [Erratum: Phys.Rev.Lett. 117, 089902 (2016)].
  • [364] V. Cardoso, E. Franzin, and P. Pani, “Is the gravitational-wave ringdown a probe of the event horizon?,” Phys. Rev. Lett. 116 no. 17, (2016) 171101, arXiv:1602.07309 [gr-qc]. [Erratum: Phys.Rev.Lett. 117, 089902 (2016)].
  • [365] V. Cardoso, S. Hopper, C. F. B. Macedo, C. Palenzuela, and P. Pani, “Gravitational-wave signatures of exotic compact objects and of quantum corrections at the horizon scale,” Phys. Rev. D 94 no. 8, (2016) 084031, arXiv:1608.08637 [gr-qc].
  • [366] X. Calmet, R. Casadio, S. D. H. Hsu, and F. Kuipers, “Quantum Hair from Gravity,” Phys. Rev. Lett. 128 no. 11, (2022) 111301, arXiv:2110.09386 [hep-th].
  • [367] M. Cadoni, M. Oi, and A. P. Sanna, “Quasinormal modes and microscopic structure of the Schwarzschild black hole,” Phys. Rev. D 104 no. 12, (2021) L121502, arXiv:2109.10744 [gr-qc].
  • [368] D. Kothawala, “Minimal Length and Small Scale Structure of Spacetime,” Phys. Rev. D 88 no. 10, (2013) 104029, arXiv:1307.5618 [gr-qc]. – 602 –
  • [369] D. Kothawala and T. Padmanabhan, “Entropy density of spacetime from the zero point length,” Phys. Lett. B 748 (2015) 67–69, arXiv:1408.3963 [gr-qc].
  • [370] A. Pesci, “Quantum metric for null separated events and spacetime atoms,” Class. Quant. Grav. 36 no. 7, (2019) 075009, arXiv:1812.01275 [gr-qc]. [Erratum: Class.Quant.Grav. 36, 229501 (2019)].
  • [370] A. Pesci, “Quantum metric for null separated events and spacetime atoms,” Class. Quant. Grav. 36 no. 7, (2019) 075009, arXiv:1812.01275 [gr-qc]. [Erratum: Class.Quant.Grav. 36, 229501 (2019)].
  • [371] V. Cardoso and P. Pani, “Tests for the existence of black holes through gravitational wave echoes,” Nature Astron. 1 no. 9, (2017) 586–591, arXiv:1709.01525 [gr-qc].
  • [372] J. Abedi, N. Afshordi, N. Oshita, and Q. Wang, “Quantum Black Holes in the Sky,” Universe 6 no. 3, (2020) 43, arXiv:2001.09553 [gr-qc].
  • [373] L. F. Longo Micchi, N. Afshordi, and C. Chirenti, “How loud are echoes from exotic compact objects?,” Phys. Rev. D 103 no. 4, (2021) 044028, arXiv:2010.14578 [gr-qc].
  • [374] L. Annulli, V. Cardoso, and L. Gualtieri, “Applications of the close-limit approximation: horizonless compact objects and scalar fields,” Class. Quant. Grav. 39 no. 10, (2022) 105005, arXiv:2104.11236 [gr-qc].
  • [375] S. Xin, B. Chen, R. K. L. Lo, L. Sun, W.-B. Han, X. Zhong, M. Srivastava, S. Ma, Q. Wang, and Y. Chen, “Gravitational-wave echoes from spinning exotic compact objects: Numerical waveforms from the Teukolsky equation,” Phys. Rev. D 104 no. 10, (2021) 104005, arXiv:2105.12313 [gr-qc].
  • [376] M. Srivastava and Y. Chen, “Gravitational radiation close to a black hole horizon: Waveform regularization and the out-going echo,” Phys. Rev. D 104 no. 10, (2021) 104006, arXiv:2108.01329 [gr-qc].
  • [377] S. Ma, Q. Wang, N. Deppe, F. Hébert, L. E. Kidder, J. Moxon, W. Throwe, N. L. Vu, M. A. Scheel, and Y. Chen, “Gravitational-wave echoes from numerical-relativity waveforms via spacetime construction near merging compact objects,” Phys. Rev. D 105 no. 10, (2022) 104007, arXiv:2203.03174 [gr-qc].
  • [378] V. Vellucci, E. Franzin, and S. Liberati, “Echoes from backreacting exotic compact objects,” arXiv:2205.14170 [gr-qc].
  • [379] K. W. Tsang, M. Rollier, A. Ghosh, A. Samajdar, M. Agathos, K. Chatziioannou, V. Cardoso, G. Khanna, and C. Van Den Broeck, “A morphology-independent data analysis method for detecting and characterizing gravitational wave echoes,” Phys. Rev. D 98 no. 2, (2018) 024023, arXiv:1804.04877 [gr-qc].
  • [380] K. W. Tsang, A. Ghosh, A. Samajdar, K. Chatziioannou, S. Mastrogiovanni, M. Agathos, and C. Van Den Broeck, “A morphology-independent search for gravitational wave echoes in data from the first and second observing runs of Advanced LIGO and Advanced Virgo,” Phys. Rev. D 101 no. 6, (2020) 064012, arXiv:1906.11168 [gr-qc].
  • [381] R. S. Conklin, B. Holdom, and J. Ren, “Gravitational wave echoes through new windows,” Phys. Rev. D 98 no. 4, (2018) 044021, arXiv:1712.06517 [gr-qc].
  • [382] R. S. Conklin and B. Holdom, “Gravitational wave echo spectra,” Phys. Rev. D 100 no. 12, (2019) 124030, arXiv:1905.09370 [gr-qc].
  • [383] A. Miani, C. Lazzaro, G. A. Prodi, S. Tiwari, M. Drago, E. Milotti, and G. Vedovato, “Constraints on the amplitude of gravitational wave echoes from black hole ringdown using minimal assumptions,” Phys. Rev. D 108 no. 6, (2023) 064018, arXiv:2302.12158 [gr-qc].
  • [384] J. Abedi, H. Dykaar, and N. Afshordi, “Echoes from the Abyss: Tentative evidence for Planck-scale structure at black hole horizons,” Phys. Rev. D 96 no. 8, (2017) 082004, arXiv:1612.00266 [gr-qc]. – 603 –
  • [385] J. Abedi and N. Afshordi, “Echoes from the Abyss: A highly spinning black hole remnant for the binary neutron star merger GW170817,” JCAP 11 (2019) 010, arXiv:1803.10454 [gr-qc].
  • [386] J. Westerweck, A. Nielsen, O. Fischer-Birnholtz, M. Cabero, C. Capano, T. Dent, B. Krishnan, G. Meadors, and A. H. Nitz, “Low significance of evidence for black hole echoes in gravitational wave data,” Phys. Rev. D 97 no. 12, (2018) 124037, arXiv:1712.09966 [gr-qc].
  • [387] A. B. Nielsen, C. D. Capano, O. Birnholtz, and J. Westerweck, “Parameter estimation and statistical significance of echoes following black hole signals in the first Advanced LIGO observing run,” Phys. Rev. D 99 no. 10, (2019) 104012, arXiv:1811.04904 [gr-qc].
  • [388] R. K. L. Lo, T. G. F. Li, and A. J. Weinstein, “Template-based Gravitational-Wave Echoes Search Using Bayesian Model Selection,” Phys. Rev. D 99 no. 8, (2019) 084052, arXiv:1811.07431 [gr-qc].
  • [389] N. Uchikata, H. Nakano, T. Narikawa, N. Sago, H. Tagoshi, and T. Tanaka, “Searching for black hole echoes from the LIGO-Virgo Catalog GWTC-1,” Phys. Rev. D 100 no. 6, (2019) 062006, arXiv:1906.00838 [gr-qc].
  • [390] E. Maggio, A. Testa, S. Bhagwat, and P. Pani, “Analytical model for gravitational-wave echoes from spinning remnants,” Phys. Rev. D 100 no. 6, (2019) 064056, arXiv:1907.03091 [gr-qc].
  • [391] A. Testa and P. Pani, “Analytical template for gravitational-wave echoes: signal characterization and prospects of detection with current and future interferometers,” Phys. Rev. D 98 no. 4, (2018) 044018, arXiv:1806.04253 [gr-qc].
  • [392] LISA Collaboration, K. G. Arun et al., “New horizons for fundamental physics with LISA,” Living Rev. Rel. 25 no. 1, (2022) 4, arXiv:2205.01597 [gr-qc].
  • [393] B. P. Abbott et al., “Prospects for observing and localizing gravitational-wave transients with Advanced LIGO, Advanced Virgo and KAGRA,” Living Reviews in Relativity 23 no. 1, (Dec., 2020) 3.
  • [394] C. Palenzuela, I. Olabarrieta, L. Lehner, and S. L. Liebling, “Head-on collisions of boson stars,” Phys. Rev. D 75 (2007) 064005, arXiv:gr-qc/0612067.
  • [395] N. Sanchis-Gual, J. Calderón Bustillo, C. Herdeiro, E. Radu, J. A. Font, S. H. W. Leong, and A. Torres-Forné, “Impact of the wavelike nature of Proca stars on their gravitational-wave emission,” Phys. Rev. D 106 no. 12, (2022) 124011, arXiv:2208.11717 [gr-qc].
  • [396] M. Bezares, C. Palenzuela, and C. Bona, “Final fate of compact boson star mergers,” Phys. Rev. D 95 no. 12, (2017) 124005, arXiv:1705.01071 [gr-qc].
  • [397] C. Palenzuela, L. Lehner, and S. L. Liebling, “Orbital Dynamics of Binary Boson Star Systems,” Phys. Rev. D 77 (2008) 044036, arXiv:0706.2435 [gr-qc].
  • [398] T. Helfer, U. Sperhake, R. Croft, M. Radia, B.-X. Ge, and E. A. Lim, “Malaise and remedy of binary boson-star initial data,” Class. Quant. Grav. 39 no. 7, (2022) 074001, arXiv:2108.11995 [gr-qc].
  • [399] J. C. Bustillo, N. Sanchis-Gual, A. Torres-Forné, J. A. Font, A. Vajpeyi, R. Smith, C. Herdeiro, E. Radu, and S. H. W. Leong, “GW190521 as a Merger of Proca Stars: A Potential New Vector Boson of 8.7 × 10−13 eV,” Phys. Rev. Lett. 126 no. 8, (2021) 081101, arXiv:2009.05376 [gr-qc].
  • [400] J. Calderon Bustillo, N. Sanchis-Gual, S. H. W. Leong, K. Chandra, A. Torres-Forne, J. A. Font, C. Herdeiro, E. Radu, I. C. F. Wong, and T. G. F. Li, “Searching for vector boson-star mergers within LIGO-Virgo intermediate-mass black-hole merger candidates,” arXiv:2206.02551 [gr-qc]. – 604 –
  • [401] T. Dietrich, S. Ossokine, and K. Clough, “Full 3D numerical relativity simulations of neutron star–boson star collisions with BAM,” Class. Quant. Grav. 36 no. 2, (2019) 025002, arXiv:1807.06959 [gr-qc].
  • [402] R. Croft, T. Helfer, B.-X. Ge, M. Radia, T. Evstafyeva, E. A. Lim, U. Sperhake, and K. Clough, “The Gravitational Afterglow of Boson Stars,” arXiv:2207.05690 [gr-qc].
  • [403] S. S. Yazadjiev, D. D. Doneva, and K. D. Kokkotas, “Tidal Love numbers of neutron stars in f(R) gravity,” Eur. Phys. J. C 78 no. 10, (2018) 818, arXiv:1803.09534 [gr-qc].
  • [404] K. Nobleson, T. Malik, and S. Banik, “Tidal deformability of neutron stars with exotic particles within a density dependent relativistic mean field model in R-squared gravity,” JCAP 08 (2021) 012, arXiv:2105.07813 [gr-qc].
  • [405] P. N. Moreno, F. J. Llanes-Estrada, and E. Lope-Oter, “Ridges in rotating neutron-star properties due to first order phase transitions,” Annals Phys. 459 (2023) 169487, arXiv:2307.15366 [nucl-th].
  • [406] C. Pacilio, A. Maselli, M. Fasano, and P. Pani, “Ranking the Love for the neutron star equation of state: the need for third-generation detectors,” arXiv:2104.10035 [gr-qc].
  • [407] E. Lope-Oter and A. Wojnar, “Constraining Palatini gravity with GR-independent equations of state,” arXiv:2306.00870 [gr-qc].
  • [408] B. Biswas, E. Smyrniotis, I. Liodis, and N. Stergioulas, “Bayesian investigation of the neutron star equation of state vs gravity degeneracy,” Phys. Rev. D 109 no. 6, (2024) 064048, arXiv:2309.05420 [gr-qc].
  • [409] K. Yagi and N. Yunes, “I-Love-Q,” Science 341 (2013) 365–368, arXiv:1302.4499 [gr-qc].
  • [410] K. Yagi and N. Yunes, “Approximate Universal Relations for Neutron Stars and Quark Stars,” Phys. Rept. 681 (2017) 1–72, arXiv:1608.02582 [gr-qc].
  • [411] F. J. Llanes-Estrada and E. Lope-Oter, “Hadron matter in neutron stars in view of gravitational wave observations,” Prog. Part. Nucl. Phys. 109 (2019) 103715, arXiv:1907.12760 [nucl-th].
  • [412] T. Güver, A. E. Erkoca, M. Hall Reno, and I. Sarcevic, “On the capture of dark matter by neutron stars,” JCAP 05 (2014) 013, arXiv:1201.2400 [hep-ph].
  • [413] K.-L. Leung, M.-c. Chu, and L.-M. Lin, “Tidal deformability of dark matter admixed neutron stars,” Phys. Rev. D 105 no. 12, (2022) 123010, arXiv:2207.02433 [astro-ph.HE].
  • [414] M. Emma, F. Schianchi, F. Pannarale, V. Sagun, and T. Dietrich, “Numerical Simulations of Dark Matter Admixed Neutron Star Binaries,” Particles 5 no. 3, (2022) 273–286, arXiv:2206.10887 [gr-qc].
  • [415] M. Bezares, D. Viganò, and C. Palenzuela, “Gravitational wave signatures of dark matter cores in binary neutron star mergers by using numerical simulations,” Phys. Rev. D 100 no. 4, (2019) 044049, arXiv:1905.08551 [gr-qc].
  • [416] A. Bauswein, G. Guo, J.-H. Lien, Y.-H. Lin, and M.-R. Wu, “Compact dark objects in neutron star mergers,” Phys. Rev. D 107 no. 8, (2023) 083002, arXiv:2012.11908 [astro-ph.HE].
  • [417] G. Bertone, D. Hooper, and J. Silk, “Particle dark matter: Evidence, candidates and constraints,” Phys. Rept. 405 (2005) 279–390, arXiv:hep-ph/0404175.
  • [418] G. Bertone and D. Hooper, “History of dark matter,” Rev. Mod. Phys. 90 no. 4, (2018) 045002, arXiv:1605.04909 [astro-ph.CO].
  • [419] M. Cirelli, A. Strumia, and J. Zupan, “Dark Matter,” arXiv:2406.01705 [hep-ph]. – 605 –
  • [420] G. Bertone et al., “Gravitational wave probes of dark matter: challenges and opportunities,” SciPost Phys. Core 3 (2020) 007, arXiv:1907.10610 [astro-ph.CO].
  • [421] R. X. Adhikari et al., “Report of the Topical Group on Cosmic Probes of Fundamental Physics for for Snowmass 2021,” arXiv:2209.11726 [hep-ph].
  • [422] NANOGrav Collaboration, A. Afzal et al., “The NANOGrav 15 yr Data Set: Search for Signals from New Physics,” Astrophys. J. Lett. 951 no. 1, (2023) L11, arXiv:2306.16219 [astro-ph.HE].
  • [423] A. Pierce, K. Riles, and Y. Zhao, “Searching for Dark Photon Dark Matter with Gravitational Wave Detectors,” Phys. Rev. Lett. 121 no. 6, (2018) 061102, arXiv:1801.10161 [hep-ph].
  • [424] D. Carney, A. Hook, Z. Liu, J. M. Taylor, and Y. Zhao, “Ultralight dark matter detection with mechanical quantum sensors,” New J. Phys. 23 no. 2, (2021) 023041, arXiv:1908.04797 [hep-ph].
  • [425] J. M. Armaleo, D. López Nacir, and F. R. Urban, “Searching for spin-2 ULDM with gravitational waves interferometers,” JCAP 04 (2021) 053, arXiv:2012.13997 [astro-ph.CO].
  • [426] S. Morisaki, T. Fujita, Y. Michimura, H. Nakatsuka, and I. Obata, “Improved sensitivity of interferometric gravitational wave detectors to ultralight vector dark matter from the finite light-traveling time,” Phys. Rev. D 103 no. 5, (2021) L051702, arXiv:2011.03589 [hep-ph].
  • [427] A. L. Miller et al., “Probing new light gauge bosons with gravitational-wave interferometers using an adapted semicoherent method,” Phys. Rev. D 103 no. 10, (2021) 103002, arXiv:2010.01925 [astro-ph.IM].
  • [428] LIGO Scientific, KAGRA, Virgo Collaboration, R. Abbott et al., “Constraints on dark photon dark matter using data from LIGO’s and Virgo’s third observing run,” Phys. Rev. D 105 no. 6, (2022) 063030, arXiv:2105.13085 [astro-ph.CO].
  • [429] J. Bergé, P. Brax, G. Métris, M. Pernot-Borràs, P. Touboul, and J.-P. Uzan, “MICROSCOPE Mission: First Constraints on the Violation of the Weak Equivalence Principle by a Light Scalar Dilaton,” Phys. Rev. Lett. 120 no. 14, (2018) 141101, arXiv:1712.00483 [gr-qc].
  • [430] S. Schlamminger, K. Y. Choi, T. A. Wagner, J. H. Gundlach, and E. G. Adelberger, “Test of the equivalence principle using a rotating torsion balance,” Phys. Rev. Lett. 100 (2008) 041101, arXiv:0712.0607 [gr-qc].
  • [431] Y. Michimura, T. Fujita, J. Kume, S. Morisaki, K. Nagano, H. Nakatsuka, A. Nishizawa, and I. Obata, “Ultralight dark matter searches with KAGRA gravitational wave telescope,” J. Phys. Conf. Ser. 2156 no. 1, (2021) 012071, arXiv:2111.00420 [hep-ph].
  • [432] H. Nakatsuka, S. Morisaki, T. Fujita, J. Kume, Y. Michimura, K. Nagano, and I. Obata, “Stochastic effects on observation of ultralight bosonic dark matter,” Phys. Rev. D 108 no. 9, (2023) 092010, arXiv:2205.02960 [astro-ph.CO].
  • [433] LIGO Scientific, VIRGO, KAGRA Collaboration, A. G. Abac et al., “Ultralight vector dark matter search using data from the KAGRA O3GK run,” arXiv:2403.03004 [astro-ph.CO].
  • [434] S. M. Vermeulen et al., “Direct limits for scalar field dark matter from a gravitational-wave detector,” Nature 600 (3, 2021) 424–428, arXiv:2103.03783 [gr-qc].
  • [435] A. S. Göttel, A. Ejlli, K. Karan, S. M. Vermeulen, L. Aiello, V. Raymond, and H. Grote, “Searching for scalar field dark matter with LIGO,” arXiv:2401.18076 [astro-ph.CO]. – 606 –
  • [436] R. D. Peccei and H. R. Quinn, “CP Conservation in the Presence of Instantons,” Phys. Rev. Lett. 38 (1977) 1440–1443.
  • [437] R. D. Peccei and H. R. Quinn, “Constraints Imposed by CP Conservation in the Presence of Instantons,” Phys. Rev. D 16 (1977) 1791–1797.
  • [438] F. Wilczek, “Problem of Strong P and T Invariance in the Presence of Instantons,” Phys. Rev. Lett. 40 (1978) 279–282.
  • [439] S. Weinberg, “A New Light Boson?,” Phys. Rev. Lett. 40 (1978) 223–226.
  • [440] P. Svrcek and E. Witten, “Axions In String Theory,” JHEP 06 (2006) 051, arXiv:hep-th/0605206.
  • [441] S. A. Abel, M. D. Goodsell, J. Jaeckel, V. V. Khoze, and A. Ringwald, “Kinetic Mixing of the Photon with Hidden U(1)s in String Phenomenology,” JHEP 07 (2008) 124, arXiv:0803.1449 [hep-ph].
  • [442] A. Arvanitaki, S. Dimopoulos, S. Dubovsky, N. Kaloper, and J. March-Russell, “String Axiverse,” Phys. Rev. D 81 (2010) 123530, arXiv:0905.4720 [hep-th].
  • [443] M. Goodsell, J. Jaeckel, J. Redondo, and A. Ringwald, “Naturally Light Hidden Photons in LARGE Volume String Compactifications,” JHEP 11 (2009) 027, arXiv:0909.0515 [hep-ph].
  • [444] F. F. Freitas, C. A. R. Herdeiro, A. P. Morais, A. Onofre, R. Pasechnik, E. Radu, N. Sanchis-Gual, and R. Santos, “Ultralight bosons for strong gravity applications from simple Standard Model extensions,” JCAP 12 no. 12, (2021) 047, arXiv:2107.09493 [hep-ph].
  • [445] R. Brito, V. Cardoso, and P. Pani, “Superradiance: New Frontiers in Black Hole Physics,” Lect. Notes Phys. 906 (2015) pp.1–237, arXiv:1501.06570 [gr-qc].
  • [446] A. Arvanitaki and S. Dubovsky, “Exploring the String Axiverse with Precision Black Hole Physics,” Phys. Rev. D 83 (2011) 044026, arXiv:1004.3558 [hep-th].
  • [447] A. Arvanitaki, M. Baryakhtar, and X. Huang, “Discovering the QCD Axion with Black Holes and Gravitational Waves,” Phys. Rev. D 91 no. 8, (2015) 084011, arXiv:1411.2263 [hep-ph].
  • [448] V. Cardoso, O. J. C. Dias, G. S. Hartnett, M. Middleton, P. Pani, and J. E. Santos, “Constraining the mass of dark photons and axion-like particles through black-hole superradiance,” JCAP 03 (2018) 043, arXiv:1801.01420 [gr-qc].
  • [449] A. Arvanitaki, M. Baryakhtar, S. Dimopoulos, S. Dubovsky, and R. Lasenby, “Black Hole Mergers and the QCD Axion at Advanced LIGO,” Phys. Rev. D 95 no. 4, (2017) 043001, arXiv:1604.03958 [hep-ph].
  • [450] M. Baryakhtar, R. Lasenby, and M. Teo, “Black Hole Superradiance Signatures of Ultralight Vectors,” Phys. Rev. D 96 no. 3, (2017) 035019, arXiv:1704.05081 [hep-ph].
  • [451] R. Brito, S. Ghosh, E. Barausse, E. Berti, V. Cardoso, I. Dvorkin, A. Klein, and P. Pani, “Gravitational wave searches for ultralight bosons with LIGO and LISA,” Phys. Rev. D 96 no. 6, (2017) 064050, arXiv:1706.06311 [gr-qc].
  • [452] K. K. Y. Ng, O. A. Hannuksela, S. Vitale, and T. G. F. Li, “Searching for ultralight bosons within spin measurements of a population of binary black hole mergers,” Phys. Rev. D 103 no. 6, (2021) 063010, arXiv:1908.02312 [gr-qc].
  • [453] K. K. Y. Ng, S. Vitale, O. A. Hannuksela, and T. G. F. Li, “Constraints on Ultralight Scalar Bosons within Black Hole Spin Measurements from the LIGO-Virgo GWTC-2,” Phys. Rev. Lett. 126 no. 15, (2021) 151102, arXiv:2011.06010 [gr-qc]. – 607 –
  • [454] H. Yoshino and H. Kodama, “Gravitational radiation from an axion cloud around a black hole: Superradiant phase,” PTEP 2014 (2014) 043E02, arXiv:1312.2326 [gr-qc].
  • [455] N. Siemonsen and W. E. East, “Gravitational wave signatures of ultralight vector bosons from black hole superradiance,” Phys. Rev. D 101 no. 2, (2020) 024019, arXiv:1910.09476 [gr-qc].
  • [456] D. Baumann, H. S. Chia, R. A. Porto, and J. Stout, “Gravitational Collider Physics,” Phys. Rev. D 101 no. 8, (2020) 083019, arXiv:1912.04932 [gr-qc].
  • [457] M. Bošković, M. Koschnitzke, and R. A. Porto, “Signatures of ultralight bosons in the orbital eccentricity of binary black holes,” arXiv:2403.02415 [gr-qc].
  • [458] G. M. Tomaselli, T. F. M. Spieksma, and G. Bertone, “The resonant history of gravitational atoms in black hole binaries,” arXiv:2403.03147 [gr-qc].
  • [459] LIGO Scientific, Virgo, KAGRA Collaboration, R. Abbott et al., “All-sky search for gravitational wave emission from scalar boson clouds around spinning black holes in LIGO O3 data,” Phys. Rev. D 105 no. 10, (2022) 102001, arXiv:2111.15507 [astro-ph.HE].
  • [460] R. Brito, S. Grillo, and P. Pani, “Black Hole Superradiant Instability from Ultralight Spin-2 Fields,” Phys. Rev. Lett. 124 no. 21, (2020) 211101, arXiv:2002.04055 [gr-qc].
  • [461] N. Siemonsen, T. May, and W. E. East, “Modeling the black hole superradiance gravitational waveform,” Phys. Rev. D 107 no. 10, (2023) 104003, arXiv:2211.03845 [gr-qc].
  • [462] M. Baryakhtar, M. Galanis, R. Lasenby, and O. Simon, “Black hole superradiance of self-interacting scalar fields,” Phys. Rev. D 103 no. 9, (2021) 095019, arXiv:2011.11646 [hep-ph].
  • [463] S. D’Antonio et al., “Semicoherent analysis method to search for continuous gravitational waves emitted by ultralight boson clouds around spinning black holes,” Phys. Rev. D 98 no. 10, (2018) 103017, arXiv:1809.07202 [gr-qc].
  • [464] M. Isi, L. Sun, R. Brito, and A. Melatos, “Directed searches for gravitational waves from ultralight bosons,” Phys. Rev. D 99 no. 8, (2019) 084042, arXiv:1810.03812 [gr-qc]. [Erratum: Phys.Rev.D 102, 049901 (2020)].
  • [464] M. Isi, L. Sun, R. Brito, and A. Melatos, “Directed searches for gravitational waves from ultralight bosons,” Phys. Rev. D 99 no. 8, (2019) 084042, arXiv:1810.03812 [gr-qc]. [Erratum: Phys.Rev.D 102, 049901 (2020)].
  • [465] D. Jones, L. Sun, N. Siemonsen, W. E. East, S. M. Scott, and K. Wette, “Methods and prospects for gravitational-wave searches targeting ultralight vector-boson clouds around known black holes,” Phys. Rev. D 108 no. 6, (2023) 064001, arXiv:2305.00401 [gr-qc].
  • [466] C. Palomba et al., “Direct constraints on ultra-light boson mass from searches for continuous gravitational waves,” Phys. Rev. Lett. 123 (2019) 171101, arXiv:1909.08854 [astro-ph.HE].
  • [467] L. Sun, R. Brito, and M. Isi, “Search for ultralight bosons in Cygnus X-1 with Advanced LIGO,” Phys. Rev. D 101 no. 6, (2020) 063020, arXiv:1909.11267 [gr-qc]. [Erratum: Phys.Rev.D 102, 089902 (2020)].
  • [467] L. Sun, R. Brito, and M. Isi, “Search for ultralight bosons in Cygnus X-1 with Advanced LIGO,” Phys. Rev. D 101 no. 6, (2020) 063020, arXiv:1909.11267 [gr-qc]. [Erratum: Phys.Rev.D 102, 089902 (2020)].
  • [468] M. Isi and R. Brito, “maxisi/gwaxion: v0.0.1,”. https://doi.org/10.5281/zenodo.4399365.
  • [469] T. Ikeda, R. Brito, and V. Cardoso, “Blasts of Light from Axions,” Phys. Rev. Lett. 122 no. 8, (2019) 081101, arXiv:1811.04950 [gr-qc].
  • [470] D. Baumann, G. Bertone, J. Stout, and G. M. Tomaselli, “Ionization of gravitational atoms,” Phys. Rev. D 105 no. 11, (2022) 115036, arXiv:2112.14777 [gr-qc].
  • [471] H. Omiya, T. Takahashi, T. Tanaka, and H. Yoshino, “Impact of multiple modes on the evolution of self-interacting axion condensate around rotating black holes,” JCAP 06 (2023) 016, arXiv:2211.01949 [gr-qc]. – 608 –
  • [472] X. Tong, Y. Wang, and H.-Y. Zhu, “Termination of superradiance from a binary companion,” Phys. Rev. D 106 no. 4, (2022) 043002, arXiv:2205.10527 [gr-qc].
  • [473] T. F. M. Spieksma, E. Cannizzaro, T. Ikeda, V. Cardoso, and Y. Chen, “Superradiance: Axionic couplings and plasma effects,” Phys. Rev. D 108 no. 6, (2023) 063013, arXiv:2306.16447 [gr-qc].
  • [474] S. J. Zhu, M. Baryakhtar, M. A. Papa, D. Tsuna, N. Kawanaka, and H.-B. Eggenstein, “Characterizing the continuous gravitational-wave signal from boson clouds around Galactic isolated black holes,” Phys. Rev. D 102 no. 6, (2020) 063020, arXiv:2003.03359 [gr-qc].
  • [475] L. Tsukada, R. Brito, W. E. East, and N. Siemonsen, “Modeling and searching for a stochastic gravitational-wave background from ultralight vector bosons,” Phys. Rev. D 103 no. 8, (2021) 083005, arXiv:2011.06995 [astro-ph.HE].
  • [476] C. Yuan, R. Brito, and V. Cardoso, “Probing ultralight dark matter with future ground-based gravitational-wave detectors,” Phys. Rev. D 104 no. 4, (2021) 044011, arXiv:2106.00021 [gr-qc].
  • [477] L. Tsukada, T. Callister, A. Matas, and P. Meyers, “First search for a stochastic gravitational-wave background from ultralight bosons,” Phys. Rev. D 99 no. 10, (2019) 103015, arXiv:1812.09622 [astro-ph.HE].
  • [478] C. Yuan, Y. Jiang, and Q.-G. Huang, “Constraints on the ultralight scalar boson from Advanced LIGO and Advanced Virgo’s first three observing runs using the stochastic gravitational-wave background,” arXiv:2204.03482 [astro-ph.CO].
  • [479] J. Zhang and H. Yang, “Gravitational floating orbits around hairy black holes,” Phys. Rev. D 99 no. 6, (2019) 064018, arXiv:1808.02905 [gr-qc].
  • [480] Q. Ding, X. Tong, and Y. Wang, “Gravitational Collider Physics via Pulsar-Black Hole Binaries,” Astrophys. J. 908 no. 1, (2021) 78, arXiv:2009.11106 [astro-ph.HE].
  • [481] X. Tong, Y. Wang, and H.-Y. Zhu, “Gravitational Collider Physics via Pulsar–Black Hole Binaries II: Fine and Hyperfine Structures Are Favored,” Astrophys. J. 924 no. 2, (2022) 99, arXiv:2106.13484 [astro-ph.HE].
  • [482] T. Takahashi and T. Tanaka, “Axion clouds may survive the perturbative tidal interaction over the early inspiral phase of black hole binaries,” JCAP 10 (2021) 031, arXiv:2106.08836 [gr-qc].
  • [483] P. Du, D. Egana-Ugrinovic, R. Essig, G. Fragione, and R. Perna, “Searching for ultra-light bosons and constraining black hole spin distributions with stellar tidal disruption events,” Nature Commun. 13 no. 1, (2022) 4626, arXiv:2202.01215 [hep-ph].
  • [484] T. Takahashi, H. Omiya, and T. Tanaka, “Evolution of binary systems accompanying axion clouds in extreme mass ratio inspirals,” Phys. Rev. D 107 no. 10, (2023) 103020, arXiv:2301.13213 [gr-qc].
  • [485] E. Berti, R. Brito, C. F. B. Macedo, G. Raposo, and J. L. Rosa, “Ultralight boson cloud depletion in binary systems,” Phys. Rev. D 99 no. 10, (2019) 104039, arXiv:1904.03131 [gr-qc].
  • [486] J. Zhang and H. Yang, “Dynamic Signatures of Black Hole Binaries with Superradiant Clouds,” Phys. Rev. D 101 no. 4, (2020) 043020, arXiv:1907.13582 [gr-qc].
  • [487] G. M. Tomaselli, T. F. M. Spieksma, and G. Bertone, “Dynamical friction in gravitational atoms,” JCAP 07 (2023) 070, arXiv:2305.15460 [gr-qc].
  • [488] D. Baumann, G. Bertone, J. Stout, and G. M. Tomaselli, “Sharp Signals of Boson Clouds in Black Hole Binary Inspirals,” Phys. Rev. Lett. 128 no. 22, (2022) 221102, arXiv:2206.01212 [gr-qc]. – 609 –
  • [489] P. S. Cole, G. Bertone, A. Coogan, D. Gaggero, T. Karydas, B. J. Kavanagh, T. F. M. Spieksma, and G. M. Tomaselli, “Distinguishing environmental effects on binary black hole gravitational waveforms,” Nature Astron. 7 no. 8, (2023) 943–950, arXiv:2211.01362 [gr-qc].
  • [490] V. De Luca and P. Pani, “Tidal deformability of dressed black holes and tests of ultralight bosons in extended mass ranges,” JCAP 08 (2021) 032, arXiv:2106.14428 [gr-qc].
  • [491] V. De Luca, A. Maselli, and P. Pani, “Modeling frequency-dependent tidal deformability for environmental black hole mergers,” Phys. Rev. D 107 no. 4, (2023) 044058, arXiv:2212.03343 [gr-qc].
  • [492] T. Damour and O. M. Lecian, “On the gravitational polarizability of black holes,” Phys. Rev. D 80 (2009) 044017, arXiv:0906.3003 [gr-qc].
  • [493] P. Pani, L. Gualtieri, A. Maselli, and V. Ferrari, “Tidal deformations of a spinning compact object,” Phys. Rev. D 92 no. 2, (2015) 024010, arXiv:1503.07365 [gr-qc].
  • [494] A. Le Tiec and M. Casals, “Spinning Black Holes Fall in Love,” Phys. Rev. Lett. 126 no. 13, (2021) 131102, arXiv:2007.00214 [gr-qc].
  • [495] A. Le Tiec, M. Casals, and E. Franzin, “Tidal Love Numbers of Kerr Black Holes,” Phys. Rev. D 103 no. 8, (2021) 084021, arXiv:2010.15795 [gr-qc].
  • [496] R. Arana, R. Brito, and G. Castro, “Tidal Love numbers of gravitational atoms,” arXiv:2410.00968 [gr-qc].
  • [497] F. Crescimbeni, G. Franciolini, P. Pani, and A. Riotto, “Can we identify primordial black holes? Tidal tests for subsolar-mass gravitational-wave observations,” Phys. Rev. D 109 no. 12, (2024) 124063, arXiv:2402.18656 [astro-ph.HE].
  • [498] F. Crescimbeni, G. Franciolini, P. Pani, and M. Vaglio, “Cosmology and nuclear-physics implications of a subsolar gravitational-wave event,” arXiv:2408.14287 [astro-ph.HE].
  • [499] M. C. Ferreira, C. F. B. Macedo, and V. Cardoso, “Orbital fingerprints of ultralight scalar fields around black holes,” Phys. Rev. D 96 no. 8, (2017) 083017, arXiv:1710.00830 [gr-qc].
  • [500] O. A. Hannuksela, K. W. K. Wong, R. Brito, E. Berti, and T. G. F. Li, “Probing the existence of ultralight bosons with a single gravitational-wave measurement,” Nature Astron. 3 no. 5, (2019) 447–451, arXiv:1804.09659 [astro-ph.HE].
  • [501] Y. Cao and Y. Tang, “Signatures of Ultralight Bosons in Compact Binary Inspiral and Outspiral,” arXiv:2307.05181 [gr-qc].
  • [502] K. Fan, X. Tong, Y. Wang, and H.-Y. Zhu, “Superradiance Termination: The Cloud Strikes Back,” arXiv:2311.17013 [gr-qc].
  • [503] S. Chandrasekhar, “Dynamical Friction. I. General Considerations: the Coefficient of Dynamical Friction,” Astrophys. J. 97 (1943) 255.
  • [504] E. Barausse, V. Cardoso, and P. Pani, “Can environmental effects spoil precision gravitational-wave astrophysics?,” Phys. Rev. D 89 no. 10, (2014) 104059, arXiv:1404.7149 [gr-qc].
  • [505] X.-J. Yue and W.-B. Han, “Gravitational waves with dark matter minispikes: the combined effect,” Phys. Rev. D 97 no. 6, (2018) 064003, arXiv:1711.09706 [gr-qc].
  • [506] V. Cardoso and A. Maselli, “Constraints on the astrophysical environment of binaries with gravitational-wave observations,” Astron. Astrophys. 644 (2020) A147, arXiv:1909.05870 [astro-ph.HE]. – 610 –
  • [507] B. J. Kavanagh, D. A. Nichols, G. Bertone, and D. Gaggero, “Detecting dark matter around black holes with gravitational waves: Effects of dark-matter dynamics on the gravitational waveform,” Phys. Rev. D 102 no. 8, (2020) 083006, arXiv:2002.12811 [gr-qc].
  • [508] A. Coogan, G. Bertone, D. Gaggero, B. J. Kavanagh, and D. A. Nichols, “Measuring the dark matter environments of black hole binaries with gravitational waves,” Phys. Rev. D 105 no. 4, (2022) 043009, arXiv:2108.04154 [gr-qc].
  • [509] N. Becker, L. Sagunski, L. Prinz, and S. Rastgoo, “Circularization versus eccentrification in intermediate mass ratio inspirals inside dark matter spikes,” Phys. Rev. D 105 no. 6, (2022) 063029, arXiv:2112.09586 [gr-qc].
  • [510] N. Speeney, A. Antonelli, V. Baibhav, and E. Berti, “Impact of relativistic corrections on the detectability of dark-matter spikes with gravitational waves,” Phys. Rev. D 106 no. 4, (2022) 044027, arXiv:2204.12508 [gr-qc].
  • [511] N. Becker and L. Sagunski, “Comparing accretion disks and dark matter spikes in intermediate mass ratio inspirals,” Phys. Rev. D 107 no. 8, (2023) 083003, arXiv:2211.05145 [gr-qc].
  • [512] C. F. B. Macedo, P. Pani, V. Cardoso, and L. C. B. Crispino, “Into the lair: gravitational-wave signatures of dark matter,” Astrophys. J. 774 (2013) 48, arXiv:1302.2646 [gr-qc].
  • [513] LISA Collaboration, P. A. Seoane et al., “Astrophysics with the Laser Interferometer Space Antenna,” Living Rev. Rel. 26 no. 1, (2023) 2, arXiv:2203.06016 [gr-qc].
  • [514] K. Eda, Y. Itoh, S. Kuroyanagi, and J. Silk, “New Probe of Dark-Matter Properties: Gravitational Waves from an Intermediate-Mass Black Hole Embedded in a Dark-Matter Minispike,” Phys. Rev. Lett. 110 no. 22, (2013) 221101, arXiv:1301.5971 [gr-qc].
  • [515] K. Eda, Y. Itoh, S. Kuroyanagi, and J. Silk, “Gravitational waves as a probe of dark matter minispikes,” Phys. Rev. D 91 no. 4, (2015) 044045, arXiv:1408.3534 [gr-qc].
  • [516] L. Berezhiani, G. Cintia, V. De Luca, and J. Khoury, “Dynamical friction in dark matter superfluids: The evolution of black hole binaries,” arXiv:2311.07672 [astro-ph.CO].
  • [517] G. Caneva Santoro, S. Roy, R. Vicente, M. Haney, O. J. Piccinni, W. Del Pozzo, and M. Martinez, “First constraints on compact binary environments from LIGO-Virgo data,” arXiv:2309.05061 [gr-qc].
  • [518] B. Carr, S. Clesse, J. Garcia-Bellido, M. Hawkins, and F. Kuhnel, “Observational evidence for primordial black holes: A positivist perspective,” Phys. Rept. 1054 (2024) 1–68, arXiv:2306.03903 [astro-ph.CO].
  • [519] E. Bertschinger, “Self - similar secondary infall and accretion in an Einstein-de Sitter universe,” Astrophys. J. Suppl. 58 (1985) 39.
  • [520] K. J. Mack, J. P. Ostriker, and M. Ricotti, “Growth of structure seeded by primordial black holes,” Astrophys. J. 665 (2007) 1277–1287, arXiv:astro-ph/0608642.
  • [521] M. Ricotti, “Bondi accretion in the early universe,” Astrophys. J. 662 (2007) 53–61, arXiv:0706.0864 [astro-ph].
  • [522] M. Boudaud, T. Lacroix, M. Stref, J. Lavalle, and P. Salati, “In-depth analysis of the clustering of dark matter particles around primordial black holes. Part I. Density profiles,” JCAP 08 (2021) 053, arXiv:2106.07480 [astro-ph.CO].
  • [523] B. J. Kavanagh, D. Gaggero, and G. Bertone, “Merger rate of a subdominant population of primordial black holes,” Phys. Rev. D 98 no. 2, (2018) 023536, arXiv:1805.09034 [astro-ph.CO]. – 611 –
  • [524] P. S. Cole, A. Coogan, B. J. Kavanagh, and G. Bertone, “Measuring dark matter spikes around primordial black holes with Einstein Telescope and Cosmic Explorer,” Phys. Rev. D 107 no. 8, (2023) 083006, arXiv:2207.07576 [astro-ph.CO].
  • [525] D. A. Nichols, B. A. Wade, and A. M. Grant, “Secondary accretion of dark matter in intermediate mass-ratio inspirals: Dark-matter dynamics and gravitational-wave phase,” arXiv:2309.06498 [gr-qc].
  • [526] B. C. Lacki and J. F. Beacom, “Primordial Black Holes as Dark Matter: Almost All or Almost Nothing,” Astrophys. J. Lett. 720 (2010) L67–L71, arXiv:1003.3466 [astro-ph.CO].
  • [527] J. Adamek, C. T. Byrnes, M. Gosenca, and S. Hotchkiss, “WIMPs and stellar-mass primordial black holes are incompatible,” Phys. Rev. D 100 no. 2, (2019) 023506, arXiv:1901.08528 [astro-ph.CO].
  • [528] G. Bertone, A. M. Coogan, D. Gaggero, B. J. Kavanagh, and C. Weniger, “Primordial Black Holes as Silver Bullets for New Physics at the Weak Scale,” Phys. Rev. D 100 no. 12, (2019) 123013, arXiv:1905.01238 [hep-ph].
  • [529] A. Gupta et al., “Possible Causes of False General Relativity Violations in Gravitational Wave Observations,” arXiv:2405.02197 [gr-qc].
  • [530] T. Regimbau et al., “A Mock Data Challenge for the Einstein Gravitational-Wave Telescope,” Phys. Rev. D 86 (2012) 122001, arXiv:1201.3563 [gr-qc].
  • [531] D. Meacher, K. Cannon, C. Hanna, T. Regimbau, and B. S. Sathyaprakash, “Second Einstein Telescope Mock Data and Science Challenge: Low Frequency Binary Neutron Star Data Analysis,” Phys. Rev. D 93 no. 2, (2016) 024018, arXiv:1511.01592 [gr-qc].
  • [532] A. Samajdar, J. Janquart, C. Van Den Broeck, and T. Dietrich, “Biases in parameter estimation from overlapping gravitational-wave signals in the third-generation detector era,” Phys. Rev. D 104 no. 4, (2021) 044003, arXiv:2102.07544 [gr-qc].
  • [533] E. Pizzati, S. Sachdev, A. Gupta, and B. Sathyaprakash, “Toward inference of overlapping gravitational-wave signals,” Phys. Rev. D 105 no. 10, (2022) 104016, arXiv:2102.07692 [gr-qc].
  • [534] P. Relton and V. Raymond, “Parameter estimation bias from overlapping binary black hole events in second generation interferometers,” Phys. Rev. D 104 no. 8, (2021) 084039, arXiv:2103.16225 [gr-qc].
  • [535] Y. Himemoto, A. Nishizawa, and A. Taruya, “Impacts of overlapping gravitational-wave signals on the parameter estimation: Toward the search for cosmological backgrounds,” Phys. Rev. D 104 no. 4, (2021) 044010, arXiv:2103.14816 [gr-qc].
  • [536] B. Carr, K. Kohri, Y. Sendouda, and J. Yokoyama, “Constraints on primordial black holes,” Rept. Prog. Phys. 84 no. 11, (2021) 116902, arXiv:2002.12778 [astro-ph.CO].
  • [537] G. Franciolini and P. Pani, “Stochastic gravitational-wave background at 3G detectors as a smoking gun for microscopic dark matter relics,” Phys. Rev. D 108 no. 8, (2023) 083527, arXiv:2304.13576 [astro-ph.CO].
  • [538] M. Maggiore, “Gravitational wave experiments and early universe cosmology,” Phys. Rept. 331 (2000) 283–367, arXiv:gr-qc/9909001.
  • [539] C. Caprini and D. G. Figueroa, “Cosmological Backgrounds of Gravitational Waves,” Class. Quant. Grav. 35 no. 16, (2018) 163001, arXiv:1801.04268 [astro-ph.CO].
  • [540] N. Christensen, “Stochastic Gravitational Wave Backgrounds,” Rept. Prog. Phys. 82 no. 1, (2019) 016903, arXiv:1811.08797 [gr-qc]. – 612 –
  • [541] A. I. Renzini, B. Goncharov, A. C. Jenkins, and P. M. Meyers, “Stochastic Gravitational-Wave Backgrounds: Current Detection Efforts and Future Prospects,” Galaxies 10 no. 1, (2022) 34, arXiv:2202.00178 [gr-qc].
  • [542] C. R. Contaldi, “Anisotropies of Gravitational Wave Backgrounds: A Line Of Sight Approach,” Phys. Lett. B 771 (2017) 9–12, arXiv:1609.08168 [astro-ph.CO].
  • [543] G. Cusin, C. Pitrou, and J.-P. Uzan, “Anisotropy of the astrophysical gravitational wave background: Analytic expression of the angular power spectrum and correlation with cosmological observations,” Phys. Rev. D 96 no. 10, (2017) 103019, arXiv:1704.06184 [astro-ph.CO].
  • [544] G. Cusin, C. Pitrou, and J.-P. Uzan, “The signal of the gravitational wave background and the angular correlation of its energy density,” Phys. Rev. D 97 no. 12, (2018) 123527, arXiv:1711.11345 [astro-ph.CO].
  • [545] A. C. Jenkins and M. Sakellariadou, “Anisotropies in the stochastic gravitational-wave background: Formalism and the cosmic string case,” Phys. Rev. D 98 no. 6, (2018) 063509, arXiv:1802.06046 [astro-ph.CO].
  • [546] G. Cusin, R. Durrer, and P. G. Ferreira, “Polarization of a stochastic gravitational wave background through diffusion by massive structures,” Phys. Rev. D 99 no. 2, (2019) 023534, arXiv:1807.10620 [astro-ph.CO].
  • [547] G. Cusin, I. Dvorkin, C. Pitrou, and J.-P. Uzan, “First predictions of the angular power spectrum of the astrophysical gravitational wave background,” Phys. Rev. Lett. 120 (2018) 231101, arXiv:1803.03236 [astro-ph.CO].
  • [548] D. Bertacca, A. Ricciardone, N. Bellomo, A. C. Jenkins, S. Matarrese, A. Raccanelli, T. Regimbau, and M. Sakellariadou, “Projection effects on the observed angular spectrum of the astrophysical stochastic gravitational wave background,” Phys. Rev. D 101 no. 10, (2020) 103513, arXiv:1909.11627 [astro-ph.CO].
  • [549] C. Pitrou, G. Cusin, and J.-P. Uzan, “Unified view of anisotropies in the astrophysical gravitational-wave background,” Phys. Rev. D 101 no. 8, (2020) 081301, arXiv:1910.04645 [astro-ph.CO].
  • [550] G. Cusin, I. Dvorkin, C. Pitrou, and J.-P. Uzan, “Properties of the stochastic astrophysical gravitational wave background: astrophysical sources dependencies,” Phys. Rev. D 100 no. 6, (2019) 063004, arXiv:1904.07797 [astro-ph.CO].
  • [551] G. Cusin, I. Dvorkin, C. Pitrou, and J.-P. Uzan, “Stochastic gravitational wave background anisotropies in the mHz band: astrophysical dependencies,” Mon. Not. Roy. Astron. Soc. 493 no. 1, (2020) L1–L5, arXiv:1904.07757 [astro-ph.CO].
  • [552] G. Capurri, A. Lapi, C. Baccigalupi, L. Boco, G. Scelfo, and T. Ronconi, “Intensity and anisotropies of the stochastic gravitational wave background from merging compact binaries in galaxies,” JCAP 11 (2021) 032, arXiv:2103.12037 [gr-qc].
  • [553] N. Bellomo, D. Bertacca, A. C. Jenkins, S. Matarrese, A. Raccanelli, T. Regimbau, A. Ricciardone, and M. Sakellariadou, “CLASS GWB: robust modeling of the astrophysical gravitational wave background anisotropies,” JCAP 06 no. 06, (2022) 030, arXiv:2110.15059 [gr-qc].
  • [554] N. Bartolo, D. Bertacca, S. Matarrese, M. Peloso, A. Ricciardone, A. Riotto, and G. Tasinato, “Anisotropies and non-Gaussianity of the Cosmological Gravitational Wave Background,” Phys. Rev. D 100 no. 12, (2019) 121501, arXiv:1908.00527 [astro-ph.CO].
  • [555] N. Bartolo, D. Bertacca, S. Matarrese, M. Peloso, A. Ricciardone, A. Riotto, and G. Tasinato, “Characterizing the cosmological gravitational wave background: Anisotropies and non-Gaussianity,” Phys. Rev. D 102 no. 2, (2020) 023527, arXiv:1912.09433 [astro-ph.CO]. – 613 –
  • [556] L. Valbusa Dall’Armi, A. Ricciardone, N. Bartolo, D. Bertacca, and S. Matarrese, “Imprint of relativistic particles on the anisotropies of the stochastic gravitational-wave background,” Phys. Rev. D 103 no. 2, (2021) 023522, arXiv:2007.01215 [astro-ph.CO].
  • [557] G. Cusin and G. Tasinato, “Doppler boosting the stochastic gravitational wave background,” JCAP 08 no. 08, (2022) 036, arXiv:2201.10464 [astro-ph.CO].
  • [558] L. Valbusa Dall’Armi, A. Ricciardone, and D. Bertacca, “The dipole of the astrophysical gravitational-wave background,” JCAP 11 (2022) 040, arXiv:2206.02747 [astro-ph.CO].
  • [559] A. K.-W. Chung, A. C. Jenkins, J. D. Romano, and M. Sakellariadou, “Targeted search for the kinematic dipole of the gravitational-wave background,” Phys. Rev. D 106 no. 8, (2022) 082005, arXiv:2208.01330 [gr-qc].
  • [560] M. Maggiore, Gravitational Waves. Vol. 1: Theory and Experiments. Oxford University Press, 2007.
  • [561] N. Seto and A. Taruya, “Polarization analysis of gravitational-wave backgrounds from the correlation signals of ground-based interferometers: Measuring a circular-polarization mode,” Phys. Rev. D 77 (2008) 103001, arXiv:0801.4185 [astro-ph].
  • [562] E. Belgacem, F. Iacovelli, M. Maggiore, M. Mancarella, and N. Muttoni, “The spectral density of astrophysical stochastic backgrounds,” JCAP 04 (2025) 032, arXiv:2411.04028 [gr-qc].
  • [563] T. L. Smith and R. Caldwell, “LISA for Cosmologists: Calculating the Signal-to-Noise Ratio for Stochastic and Deterministic Sources,” Phys. Rev. D 100 no. 10, (2019) 104055, arXiv:1908.00546 [astro-ph.CO]. [Erratum: Phys.Rev.D 105, 029902 (2022)].
  • [563] T. L. Smith and R. Caldwell, “LISA for Cosmologists: Calculating the Signal-to-Noise Ratio for Stochastic and Deterministic Sources,” Phys. Rev. D 100 no. 10, (2019) 104055, arXiv:1908.00546 [astro-ph.CO]. [Erratum: Phys.Rev.D 105, 029902 (2022)].
  • [564] N. M. J. Cruz, A. Malhotra, G. Tasinato, and I. Zavala, “Measuring the circular polarization of gravitational waves with pulsar timing arrays,” Phys. Rev. D 110 no. 10, (2024) 103505, arXiv:2406.04957 [astro-ph.CO].
  • [565] E. Thrane and J. D. Romano, “Sensitivity curves for searches for gravitational-wave backgrounds,” Phys. Rev. D 88 no. 12, (2013) 124032, arXiv:1310.5300 [astro-ph.IM].
  • [566] L. Pizzuti, A. Tomella, C. Carbone, M. Calabrese, and C. Baccigalupi, “Boltzmann equations for astrophysical Stochastic Gravitational Wave Backgrounds scattering off of massive objects,” JCAP 02 (2023) 054, arXiv:2208.02800 [astro-ph.CO].
  • [567] E. Dimastrogiovanni, M. Fasiello, A. Malhotra, and G. Tasinato, “Enhancing gravitational wave anisotropies with peaked scalar sources,” JCAP 01 (2023) 018, arXiv:2205.05644 [astro-ph.CO].
  • [568] LISA Cosmology Working Group Collaboration, N. Bartolo et al., “Probing anisotropies of the Stochastic Gravitational Wave Background with LISA,” JCAP 11 (2022) 009, arXiv:2201.08782 [astro-ph.CO].
  • [569] L. Valbusa Dall’Armi, A. Mierna, S. Matarrese, and A. Ricciardone, “Adiabatic or Non-Adiabatic? Unraveling the Nature of Initial Conditions in the Cosmological Gravitational Wave Background,” arXiv:2307.11043 [astro-ph.CO].
  • [570] N. Bartolo, D. Bertacca, V. De Luca, G. Franciolini, S. Matarrese, M. Peloso, A. Ricciardone, A. Riotto, and G. Tasinato, “Gravitational wave anisotropies from primordial black holes,” JCAP 02 (2020) 028, arXiv:1909.12619 [astro-ph.CO].
  • [571] A. Bodas and R. Sundrum, “Large primordial fluctuations in gravitational waves from phase transitions,” JHEP 06 (2023) 029, arXiv:2211.09301 [hep-ph].
  • [572] F. Schulze, L. Valbusa Dall’Armi, J. Lesgourgues, A. Ricciardone, N. Bartolo, D. Bertacca, C. Fidler, and S. Matarrese, “GW CLASS: Cosmological Gravitational Wave Background in the cosmic linear anisotropy solving system,” JCAP 10 (2023) 025, arXiv:2305.01602 [gr-qc]. – 614 –
  • [573] E. Dimastrogiovanni, M. Fasiello, and G. Tasinato, “Searching for Fossil Fields in the Gravity Sector,” Phys. Rev. Lett. 124 no. 6, (2020) 061302, arXiv:1906.07204 [astro-ph.CO].
  • [574] E. Dimastrogiovanni, M. Fasiello, A. Malhotra, P. D. Meerburg, and G. Orlando, “Testing the early universe with anisotropies of the gravitational wave background,” JCAP 02 no. 02, (2022) 040, arXiv:2109.03077 [astro-ph.CO].
  • [575] P. Adshead, N. Afshordi, E. Dimastrogiovanni, M. Fasiello, E. A. Lim, and G. Tasinato, “Multimessenger cosmology: Correlating cosmic microwave background and stochastic gravitational wave background measurements,” Phys. Rev. D 103 no. 2, (2021) 023532, arXiv:2004.06619 [astro-ph.CO].
  • [576] A. Malhotra, E. Dimastrogiovanni, M. Fasiello, and M. Shiraishi, “Cross-correlations as a Diagnostic Tool for Primordial Gravitational Waves,” JCAP 03 (2021) 088, arXiv:2012.03498 [astro-ph.CO].
  • [577] G. Perna, A. Ricciardone, D. Bertacca, and S. Matarrese, “Non-Gaussianity from the cross-correlation of the astrophysical Gravitational Wave Background and the Cosmic Microwave Background,” JCAP 10 (2023) 014, arXiv:2302.08429 [astro-ph.CO].
  • [578] A. Malhotra, E. Dimastrogiovanni, G. Domènech, M. Fasiello, and G. Tasinato, “New universal property of cosmological gravitational wave anisotropies,” Phys. Rev. D 107 no. 10, (2023) 103502, arXiv:2212.10316 [gr-qc].
  • [579] A. Ricciardone, L. V. Dall’Armi, N. Bartolo, D. Bertacca, M. Liguori, and S. Matarrese, “Cross-Correlating Astrophysical and Cosmological Gravitational Wave Backgrounds with the Cosmic Microwave Background,” Phys. Rev. Lett. 127 no. 27, (2021) 271301, arXiv:2106.02591 [astro-ph.CO].
  • [580] Y. Cui, S. Kumar, R. Sundrum, and Y. Tsai, “Unraveling cosmological anisotropies within stochastic gravitational wave backgrounds,” JCAP 10 (2023) 064, arXiv:2307.10360 [astro-ph.CO].
  • [581] E. S. Phinney, “A Practical theorem on gravitational wave backgrounds,” arXiv:astro-ph/0108028.
  • [582] T. Regimbau, “The astrophysical gravitational wave stochastic background,” Res. Astron. Astrophys. 11 (2011) 369–390, arXiv:1101.2762 [astro-ph.CO].
  • [583] L. Valbusa Dall’Armi, A. Nishizawa, A. Ricciardone, and S. Matarrese, “Circular Polarization of the Astrophysical Gravitational Wave Background,” Phys. Rev. Lett. 131 no. 4, (2023) 041401, arXiv:2301.08205 [astro-ph.CO].
  • [584] A. C. Jenkins, M. Sakellariadou, T. Regimbau, and E. Slezak, “Anisotropies in the astrophysical gravitational-wave background: Predictions for the detection of compact binaries by LIGO and Virgo,” Phys. Rev. D 98 no. 6, (2018) 063501, arXiv:1806.01718 [astro-ph.CO].
  • [585] A. C. Jenkins, R. O’Shaughnessy, M. Sakellariadou, and D. Wysocki, “Anisotropies in the astrophysical gravitational-wave background: The impact of black hole distributions,” Phys. Rev. Lett. 122 no. 11, (2019) 111101, arXiv:1810.13435 [astro-ph.CO].
  • [586] F. Schmidt and D. Jeong, “Cosmic Rulers,” Phys. Rev. D 86 (2012) 083527, arXiv:1204.3625 [astro-ph.CO].
  • [587] Planck Collaboration, Y. Akrami et al., “Planck 2018 results. IX. Constraints on primordial non-Gaussianity,” Astron. Astrophys. 641 (2020) A9, arXiv:1905.05697 [astro-ph.CO].
  • [588] A. C. Jenkins, J. D. Romano, and M. Sakellariadou, “Estimating the angular power spectrum of the gravitational-wave background in the presence of shot noise,” Phys. Rev. D 100 no. 8, (2019) 083501, arXiv:1907.06642 [astro-ph.CO]. – 615 –
  • [589] A. C. Jenkins and M. Sakellariadou, “Shot noise in the astrophysical gravitational-wave background,” Phys. Rev. D 100 no. 6, (2019) 063508, arXiv:1902.07719 [astro-ph.CO].
  • [590] D. Alonso, G. Cusin, P. G. Ferreira, and C. Pitrou, “Detecting the anisotropic astrophysical gravitational wave background in the presence of shot noise through cross-correlations,” Phys. Rev. D 102 no. 2, (2020) 023002, arXiv:2002.02888 [astro-ph.CO].
  • [591] Planck Collaboration, N. Aghanim et al., “Planck 2013 results. XXVII. Doppler boosting of the CMB: Eppur si muove,” Astron. Astrophys. 571 (2014) A27, arXiv:1303.5087 [astro-ph.CO].
  • [592] Planck Collaboration, N. Aghanim et al., “Planck 2018 results. VI. Cosmological parameters,” Astron. Astrophys. 641 (2020) A6, arXiv:1807.06209 [astro-ph.CO]. [Erratum: Astron.Astrophys. 652, C4 (2021)].
  • [592] Planck Collaboration, N. Aghanim et al., “Planck 2018 results. VI. Cosmological parameters,” Astron. Astrophys. 641 (2020) A6, arXiv:1807.06209 [astro-ph.CO]. [Erratum: Astron.Astrophys. 652, C4 (2021)].
  • [593] D. Chowdhury, G. Tasinato, and I. Zavala, “Response of the Einstein Telescope to Doppler anisotropies,” Phys. Rev. D 107 no. 8, (2023) 083516, arXiv:2209.05770 [gr-qc].
  • [594] R. Maartens, J. Fonseca, S. Camera, S. Jolicoeur, J.-A. Viljoen, and C. Clarkson, “Magnification and evolution biases in large-scale structure surveys,” JCAP 12 no. 12, (2021) 009, arXiv:2107.13401 [astro-ph.CO].
  • [595] S. H.-S. Alexander, M. E. Peskin, and M. M. Sheikh-Jabbari, “Leptogenesis from gravity waves in models of inflation,” Phys. Rev. Lett. 96 (2006) 081301, arXiv:hep-th/0403069.
  • [596] M. Satoh, S. Kanno, and J. Soda, “Circular Polarization of Primordial Gravitational Waves in String-inspired Inflationary Cosmology,” Phys. Rev. D 77 (2008) 023526, arXiv:0706.3585 [astro-ph].
  • [597] N. Bartolo, L. Caloni, G. Orlando, and A. Ricciardone, “Tensor non-Gaussianity in chiral scalar-tensor theories of gravity,” JCAP 03 (2021) 073, arXiv:2008.01715 [astro-ph.CO].
  • [598] T. Takahashi and J. Soda, “Chiral Primordial Gravitational Waves from a Lifshitz Point,” Phys. Rev. Lett. 102 (2009) 231301, arXiv:0904.0554 [hep-th].
  • [599] N. Bartolo, G. Orlando, and M. Shiraishi, “Measuring chiral gravitational waves in Chern-Simons gravity with CMB bispectra,” JCAP 01 (2019) 050, arXiv:1809.11170 [astro-ph.CO].
  • [600] W. D. Garretson, G. B. Field, and S. M. Carroll, “Primordial magnetic fields from pseudoGoldstone bosons,” Phys. Rev. D 46 (1992) 5346–5351, arXiv:hep-ph/9209238.
  • [601] M. M. Anber and L. Sorbo, “N-flationary magnetic fields,” JCAP 10 (2006) 018, arXiv:astro-ph/0606534.
  • [602] N. Barnaby and M. Peloso, “Large Nongaussianity in Axion Inflation,” Phys. Rev. Lett. 106 (2011) 181301, arXiv:1011.1500 [hep-ph].
  • [603] J. L. Cook and L. Sorbo, “Particle production during inflation and gravitational waves detectable by ground-based interferometers,” Phys. Rev. D 85 (2012) 023534, arXiv:1109.0022 [astro-ph.CO]. [Erratum: Phys.Rev.D 86, 069901 (2012)].
  • [603] J. L. Cook and L. Sorbo, “Particle production during inflation and gravitational waves detectable by ground-based interferometers,” Phys. Rev. D 85 (2012) 023534, arXiv:1109.0022 [astro-ph.CO]. [Erratum: Phys.Rev.D 86, 069901 (2012)].
  • [604] L. Sorbo, “Parity violation in the Cosmic Microwave Background from a pseudoscalar inflaton,” JCAP 06 (2011) 003, arXiv:1101.1525 [astro-ph.CO].
  • [605] M. M. Anber and L. Sorbo, “Non-Gaussianities and chiral gravitational waves in natural steep inflation,” Phys. Rev. D 85 (2012) 123537, arXiv:1203.5849 [astro-ph.CO].
  • [606] P. Adshead and M. Wyman, “Chromo-Natural Inflation: Natural inflation on a steep potential with classical non-Abelian gauge fields,” Phys. Rev. Lett. 108 (2012) 261302, arXiv:1202.2366 [hep-th]. – 616 –
  • [607] E. Dimastrogiovanni and M. Peloso, “Stability analysis of chromo-natural inflation and possible evasion of Lyth’s bound,” Phys. Rev. D 87 no. 10, (2013) 103501, arXiv:1212.5184 [astro-ph.CO].
  • [608] P. Adshead, E. Martinec, E. I. Sfakianakis, and M. Wyman, “Higgsed Chromo-Natural Inflation,” JHEP 12 (2016) 137, arXiv:1609.04025 [hep-th].
  • [609] E. Dimastrogiovanni, M. Fasiello, and T. Fujita, “Primordial Gravitational Waves from Axion-Gauge Fields Dynamics,” JCAP 01 (2017) 019, arXiv:1608.04216 [astro-ph.CO].
  • [610] A. Agrawal, T. Fujita, and E. Komatsu, “Large tensor non-Gaussianity from axion-gauge field dynamics,” Phys. Rev. D 97 no. 10, (2018) 103526, arXiv:1707.03023 [astro-ph.CO].
  • [611] R. R. Caldwell and C. Devulder, “Axion Gauge Field Inflation and Gravitational Leptogenesis: A Lower Bound on B Modes from the Matter-Antimatter Asymmetry of the Universe,” Phys. Rev. D 97 no. 2, (2018) 023532, arXiv:1706.03765 [astro-ph.CO].
  • [612] B. Thorne, T. Fujita, M. Hazumi, N. Katayama, E. Komatsu, and M. Shiraishi, “Finding the chiral gravitational wave background of an axion-SU(2) inflationary model using CMB observations and laser interferometers,” Phys. Rev. D 97 no. 4, (2018) 043506, arXiv:1707.03240 [astro-ph.CO].
  • [613] E. Dimastrogiovanni, M. Fasiello, R. J. Hardwick, H. Assadullahi, K. Koyama, and D. Wands, “Non-Gaussianity from Axion-Gauge Fields Interactions during Inflation,” JCAP 11 (2018) 029, arXiv:1806.05474 [astro-ph.CO].
  • [614] T. Fujita, R. Namba, and I. Obata, “Mixed Non-Gaussianity from Axion-Gauge Field Dynamics,” JCAP 04 (2019) 044, arXiv:1811.12371 [astro-ph.CO].
  • [615] V. Domcke, B. Mares, F. Muia, and M. Pieroni, “Emerging chromo-natural inflation,” JCAP 04 (2019) 034, arXiv:1807.03358 [hep-ph].
  • [616] K. D. Lozanov, A. Maleknejad, and E. Komatsu, “Schwinger Effect by an SU(2) Gauge Field during Inflation,” JHEP 02 (2019) 041, arXiv:1805.09318 [hep-th].
  • [617] Y. Watanabe and E. Komatsu, “Gravitational Wave from Axion-SU(2) Gauge Fields: Effective Field Theory for Kinetically Driven Inflation,” arXiv:2004.04350 [hep-th].
  • [618] J. Holland, I. Zavala, and G. Tasinato, “On chromonatural inflation in string theory,” JCAP 12 (2020) 026, arXiv:2009.00653 [hep-th].
  • [619] V. Domcke, V. Guidetti, Y. Welling, and A. Westphal, “Resonant backreaction in axion inflation,” JCAP 09 (2020) 009, arXiv:2002.02952 [astro-ph.CO].
  • [620] O. Iarygina, E. I. Sfakianakis, R. Sharma, and A. Brandenburg, “Backreaction of axion-SU(2) dynamics during inflation,” JCAP 04 (2024) 018, arXiv:2311.07557 [astro-ph.CO].
  • [621] E. Dimastrogiovanni, M. Fasiello, M. Michelotti, and L. Pinol, “Primordial gravitational waves in non-minimally coupled chromo-natural inflation,” JCAP 02 (2024) 039, arXiv:2303.10718 [astro-ph.CO].
  • [622] K. Ishiwata, E. Komatsu, and I. Obata, “Axion-gauge field dynamics with backreaction,” JCAP 03 no. 03, (2022) 010, arXiv:2111.14429 [hep-ph].
  • [623] R. Durrer, R. von Eckardstein, D. Garg, K. Schmitz, O. Sobol, and S. Vilchinskii, “Scalar perturbations from inflation in the presence of gauge fields,” arXiv:2404.19694 [astro-ph.CO].
  • [624] E. Dimastrogiovanni, M. Fasiello, and A. Papageorgiou, “A novel PBH production mechanism from non-Abelian gauge fields during inflation,” arXiv:2403.13581 [astro-ph.CO]. – 617 –
  • [625] M. Kamionkowski, A. Kosowsky, and M. S. Turner, “Gravitational radiation from first order phase transitions,” Phys. Rev. D 49 (1994) 2837–2851, arXiv:astro-ph/9310044.
  • [626] E. Witten, “Cosmic Separation of Phases,” Phys. Rev. D 30 (1984) 272–285.
  • [627] M. Breitbach, “Gravitational Waves from Cosmological Phase Transitions,” Master’s thesis, Mainz U., 2018.
  • [628] A. Brandenburg, K. Enqvist, and P. Olesen, “Large scale magnetic fields from hydromagnetic turbulence in the very early universe,” Phys. Rev. D 54 (1996) 1291–1300, arXiv:astro-ph/9602031.
  • [629] M. Christensson, M. Hindmarsh, and A. Brandenburg, “Inverse cascade in decaying 3-D magnetohydrodynamic turbulence,” Phys. Rev. E 64 (2001) 056405, arXiv:astro-ph/0011321.
  • [630] T. Kahniashvili, A. Brandenburg, A. G. Tevzadze, and B. Ratra, “Numerical simulations of the decay of primordial magnetic turbulence,” Phys. Rev. D 81 (2010) 123002, arXiv:1004.3084 [astro-ph.CO].
  • [631] A. Brandenburg, T. Kahniashvili, S. Mandal, A. Roper Pol, A. G. Tevzadze, and T. Vachaspati, “The dynamo effect in decaying helical turbulence,” Phys. Rev. Fluids. 4 (2019) 024608, arXiv:1710.01628 [physics.flu-dyn].
  • [632] A. Brandenburg, Y. He, T. Kahniashvili, M. Rheinhardt, and J. Schober, “Relic gravitational waves from the chiral magnetic effect,” Astrophys. J. 911 no. 2, (2021) 110, arXiv:2101.08178 [astro-ph.CO].
  • [633] N. Seto and A. Taruya, “Measuring a Parity Violation Signature in the Early Universe via Ground-based Laser Interferometers,” Phys. Rev. Lett. 99 (2007) 121101, arXiv:0707.0535 [astro-ph].
  • [634] S. G. Crowder, R. Namba, V. Mandic, S. Mukohyama, and M. Peloso, “Measurement of Parity Violation in the Early Universe using Gravitational-wave Detectors,” Phys. Lett. B 726 (2013) 66–71, arXiv:1212.4165 [astro-ph.CO].
  • [635] K. Martinovic, C. Badger, M. Sakellariadou, and V. Mandic, “Searching for parity violation with the LIGO-Virgo-KAGRA network,” arXiv:2103.06718 [gr-qc].
  • [636] C. Badger and M. Sakellariadou, “Detecting parity violation from axion inflation with third generation detectors,” arXiv:2112.04650 [gr-qc].
  • [637] N. J. Cornish and J. D. Romano, “Towards a unified treatment of gravitational-wave data analysis,” Phys. Rev. D 87 no. 12, (2013) 122003, arXiv:1305.2934 [gr-qc].
  • [638] B. Allen, J. D. E. Creighton, E. E. Flanagan, and J. D. Romano, “Robust statistics for deterministic and stochastic gravitational waves in nonGaussian noise. 2. Bayesian analyses,” Phys. Rev. D 67 (2003) 122002, arXiv:gr-qc/0205015.
  • [639] S. Drasco and E. E. Flanagan, “Detection methods for nonGaussian gravitational wave stochastic backgrounds,” Phys. Rev. D 67 (2003) 082003, arXiv:gr-qc/0210032.
  • [640] V. Domcke, J. Garcia-Bellido, M. Peloso, M. Pieroni, A. Ricciardone, L. Sorbo, and G. Tasinato, “Measuring the net circular polarization of the stochastic gravitational wave background with interferometers,” JCAP 05 (2020) 028, arXiv:1910.08052 [astro-ph.CO].
  • [641] G. Mentasti, C. Contaldi, and M. Peloso, “Prospects for detecting anisotropies and polarization of the stochastic gravitational wave background with ground-based detectors,” JCAP 08 (2023) 053, arXiv:2304.06640 [gr-qc].
  • [642] K. Martinovic, P. M. Meyers, M. Sakellariadou, and N. Christensen, “Simultaneous – 618 – estimation of astrophysical and cosmological stochastic gravitational-wave backgrounds with terrestrial detectors,” Phys. Rev. D 103 no. 4, (2021) 043023, arXiv:2011.05697 [gr-qc].
  • [643] B. Zhou, L. Reali, E. Berti, M. Çalışkan, C. Creque-Sarbinowski, M. Kamionkowski, and B. S. Sathyaprakash, “Subtracting compact binary foregrounds to search for subdominant gravitational-wave backgrounds in next-generation ground-based observatories,” Phys. Rev. D 108 no. 6, (2023) 064040, arXiv:2209.01310 [gr-qc].
  • [644] E. Belgacem, F. Iacovelli, M. Maggiore, M. Mancarella, and N. Muttoni, “Confusion noise from astrophysical backgrounds at third-generation gravitational-wave detector networks,” arXiv:2411.04029 [gr-qc].
  • [645] C. Caprini, D. G. Figueroa, R. Flauger, G. Nardini, M. Peloso, M. Pieroni, A. Ricciardone, and G. Tasinato, “Reconstructing the spectral shape of a stochastic gravitational wave background with LISA,” JCAP 11 (2019) 017, arXiv:1906.09244 [astro-ph.CO].
  • [646] N. Karnesis, M. Lilley, and A. Petiteau, “Assessing the detectability of a Stochastic Gravitational Wave Background with LISA, using an excess of power approach,” Class. Quant. Grav. 37 no. 21, (2020) 215017, arXiv:1906.09027 [astro-ph.IM].
  • [647] M. Pieroni and E. Barausse, “Foreground cleaning and template-free stochastic background extraction for LISA,” JCAP 07 (2020) 021, arXiv:2004.01135 [astro-ph.CO]. [Erratum: JCAP 09, E01 (2020)].
  • [647] M. Pieroni and E. Barausse, “Foreground cleaning and template-free stochastic background extraction for LISA,” JCAP 07 (2020) 021, arXiv:2004.01135 [astro-ph.CO]. [Erratum: JCAP 09, E01 (2020)].
  • [648] R. Flauger, N. Karnesis, G. Nardini, M. Pieroni, A. Ricciardone, and J. Torrado, “Improved reconstruction of a stochastic gravitational wave background with LISA,” JCAP 01 (2021) 059, arXiv:2009.11845 [astro-ph.CO].
  • [649] M. Braglia et al., “Gravitational waves from inflation in LISA: reconstruction pipeline and physics interpretation,” arXiv:2407.04356 [astro-ph.CO].
  • [650] K. Janssens, K. Martinovic, N. Christensen, P. M. Meyers, and M. Sakellariadou, “Impact of Schumann resonances on the Einstein Telescope and projections for the magnetic coupling function,” Phys. Rev. D 104 no. 12, (2021) 122006, arXiv:2110.14730 [gr-qc]. [Erratum: Phys.Rev.D 105, 109904 (2022)].
  • [650] K. Janssens, K. Martinovic, N. Christensen, P. M. Meyers, and M. Sakellariadou, “Impact of Schumann resonances on the Einstein Telescope and projections for the magnetic coupling function,” Phys. Rev. D 104 no. 12, (2021) 122006, arXiv:2110.14730 [gr-qc]. [Erratum: Phys.Rev.D 105, 109904 (2022)].
  • [651] W. O. Schumann, “Über die strahlungslosen Eigenschwingungen einer leitenden Kugel, die von einer Luftschicht und einer Ionosphärenhülle umgeben ist,” Zeitschrift Naturforschung Teil A 7 no. 2, (Feb., 1952) 149–154.
  • [652] W. O. Schumann, “Über die Dämpfung der elektromagnetischen Eigenschwingungen des Systems Erde - Luft - Ionosphäre,” Zeitschrift Naturforschung Teil A 7 (Mar., 1952) 250–252.
  • [653] E. Thrane, N. Christensen, and R. Schofield, “Correlated magnetic noise in global networks of gravitational-wave interferometers: observations and implications,” Phys. Rev. D 87 (2013) 123009, arXiv:1303.2613 [astro-ph.IM].
  • [654] E. Thrane, N. Christensen, R. M. S. Schofield, and A. Effler, “Correlated noise in networks of gravitational-wave detectors: subtraction and mitigation,” Phys. Rev. D 90 no. 2, (2014) 023013, arXiv:1406.2367 [astro-ph.IM].
  • [655] M. W. Coughlin et al., “Subtraction of correlated noise in global networks of gravitational-wave interferometers,” Class. Quant. Grav. 33 no. 22, (2016) 224003, arXiv:1606.01011 [gr-qc].
  • [656] M. W. Coughlin et al., “Measurement and subtraction of Schumann resonances at gravitational-wave interferometers,” Phys. Rev. D 97 no. 10, (2018) 102007, arXiv:1802.00885 [gr-qc].
  • [657] K. Janssens et al., “Correlated 1–1000 Hz magnetic field fluctuations from lightning over – 619 – Earth-scale distances and their impact on gravitational wave searches,” Phys. Rev. D 107 no. 2, (2023) 022004, arXiv:2209.00284 [gr-qc].
  • [658] P. M. Meyers, K. Martinovic, N. Christensen, and M. Sakellariadou, “Detecting a stochastic gravitational-wave background in the presence of correlated magnetic noise,” Phys. Rev. D 102 no. 10, (2020) 102005, arXiv:2008.00789 [gr-qc].
  • [659] K. Janssens, G. Boileau, N. Christensen, F. Badaracco, and N. van Remortel, “Impact of correlated seismic and correlated Newtonian noise on the Einstein Telescope,” Phys. Rev. D 106 no. 4, (2022) 042008, arXiv:2206.06809 [astro-ph.IM].
  • [660] K. Janssens et al., “Correlated 0.01–40 Hz seismic and Newtonian noise and its impact on future gravitational-wave detectors,” Phys. Rev. D 109 no. 10, (2024) 102002, arXiv:2402.17320 [gr-qc].
  • [661] I. Caporali, G. Capurri, W. Del Pozzo, A. Ricciardone, and L. Valbusa Dall’Armi, “Impact of correlated noise on the reconstruction of the stochastic gravitational wave background with Einstein Telescope,” arXiv:2501.09057 [gr-qc].
  • [662] F. Badaracco and J. Harms, “Optimization of seismometer arrays for the cancellation of Newtonian noise from seismic body waves,” Class. Quant. Grav. 36 no. 14, (2019) 145006, arXiv:1903.07936 [astro-ph.IM].
  • [663] A. H. Guth, “The Inflationary Universe: A Possible Solution to the Horizon and Flatness Problems,” Phys. Rev. D23 (1981) 347–356. [Adv. Ser. Astrophys. Cosmol.3,139(1987)].
  • [663] A. H. Guth, “The Inflationary Universe: A Possible Solution to the Horizon and Flatness Problems,” Phys. Rev. D23 (1981) 347–356. [Adv. Ser. Astrophys. Cosmol.3,139(1987)].
  • [664] A. A. Starobinsky, “A New Type of Isotropic Cosmological Models Without Singularity,” Phys. Lett. B 91 (1980) 99–102.
  • [665] A. D. Linde, “A New Inflationary Universe Scenario: A Possible Solution of the Horizon, Flatness, Homogeneity, Isotropy and Primordial Monopole Problems,” Phys. Lett. 108B (1982) 389–393. [Adv. Ser. Astrophys. Cosmol.3,149(1987)].
  • [665] A. D. Linde, “A New Inflationary Universe Scenario: A Possible Solution of the Horizon, Flatness, Homogeneity, Isotropy and Primordial Monopole Problems,” Phys. Lett. 108B (1982) 389–393. [Adv. Ser. Astrophys. Cosmol.3,149(1987)].
  • [666] A. Albrecht and P. J. Steinhardt, “Cosmology for Grand Unified Theories with Radiatively Induced Symmetry Breaking,” Phys. Rev. Lett. 48 (1982) 1220–1223. [Adv. Ser. Astrophys. Cosmol.3,158(1987)].
  • [666] A. Albrecht and P. J. Steinhardt, “Cosmology for Grand Unified Theories with Radiatively Induced Symmetry Breaking,” Phys. Rev. Lett. 48 (1982) 1220–1223. [Adv. Ser. Astrophys. Cosmol.3,158(1987)].
  • [667] F. L. Bezrukov and M. Shaposhnikov, “The Standard Model Higgs boson as the inflaton,” Phys. Lett. B 659 (2008) 703–706, arXiv:0710.3755 [hep-th].
  • [668] L. P. Grishchuk, “Amplification of gravitational waves in an isotropic universe,” Sov. Phys. JETP 40 (1975) 409–415. [Zh. Eksp. Teor. Fiz.67,825(1974)].
  • [668] L. P. Grishchuk, “Amplification of gravitational waves in an isotropic universe,” Sov. Phys. JETP 40 (1975) 409–415. [Zh. Eksp. Teor. Fiz.67,825(1974)].
  • [669] A. A. Starobinsky, “Spectrum of relict gravitational radiation and the early state of the universe,” JETP Lett. 30 (1979) 682–685. [Pisma Zh. Eksp. Teor. Fiz.30,719(1979)].
  • [669] A. A. Starobinsky, “Spectrum of relict gravitational radiation and the early state of the universe,” JETP Lett. 30 (1979) 682–685. [Pisma Zh. Eksp. Teor. Fiz.30,719(1979)].
  • [670] M. Tristram et al., “Improved limits on the tensor-to-scalar ratio using BICEP and Planck data,” Phys. Rev. D 105 no. 8, (2022) 083524, arXiv:2112.07961 [astro-ph.CO].
  • [671] G. Galloni, N. Bartolo, S. Matarrese, M. Migliaccio, A. Ricciardone, and N. Vittorio, “Updated constraints on amplitude and tilt of the tensor primordial spectrum,” JCAP 04 (2023) 062, arXiv:2208.00188 [astro-ph.CO].
  • [672] Planck Collaboration, Y. Akrami et al., “Planck 2018 results. X. Constraints on inflation,” Astron. Astrophys. 641 (2020) A10, arXiv:1807.06211 [astro-ph.CO].
  • [673] E. Pajer and M. Peloso, “A review of Axion Inflation in the era of Planck,” Class. Quant. Grav. 30 (2013) 214002, arXiv:1305.3557 [hep-th].
  • [674] K. Freese, J. A. Frieman, and A. V. Olinto, “Natural inflation with pseudo Nambu-Goldstone bosons,” Phys. Rev. Lett. 65 (1990) 3233–3236.
  • [675] BICEP, Keck Collaboration, P. A. R. Ade et al., “Improved Constraints on Primordial Gravitational Waves using Planck, WMAP, and BICEP/Keck Observations through the – 620 – 2018 Observing Season,” Phys. Rev. Lett. 127 no. 15, (2021) 151301, arXiv:2110.00483 [astro-ph.CO].
  • [676] M. S. Turner and L. M. Widrow, “Inflation-produced, large-scale magnetic fields,” Phys. Rev. D 37 (May, 1988) 2743–2754. https://link.aps.org/doi/10.1103/PhysRevD.37.2743.
  • [677] N. Bartolo, S. Matarrese, M. Peloso, and A. Ricciardone, “Anisotropic power spectrum and bispectrum in the f(ϕ)F2 mechanism,” Phys. Rev. D 87 no. 2, (2013) 023504, arXiv:1210.3257 [astro-ph.CO].
  • [678] D. Baumann and L. McAllister, Inflation and String Theory. Cambridge Monographs on Mathematical Physics. Cambridge University Press, 5, 2015. arXiv:1404.2601 [hep-th].
  • [679] J. E. Kim, H. P. Nilles, and M. Peloso, “Completing natural inflation,” JCAP 01 (2005) 005, arXiv:hep-ph/0409138.
  • [680] E. Dimastrogiovanni, M. Fasiello, J. M. Leedom, M. Putti, and A. Westphal, “Gravitational Axiverse Spectroscopy: Seeing the Forest for the Axions,” arXiv:2312.13431 [hep-th].
  • [681] A. Maleknejad and M. M. Sheikh-Jabbari, “Gauge-flation: Inflation From Non-Abelian Gauge Fields,” Phys. Lett. B 723 (2013) 224–228, arXiv:1102.1513 [hep-ph].
  • [682] A. Maleknejad, M. M. Sheikh-Jabbari, and J. Soda, “Gauge Fields and Inflation,” Phys. Rept. 528 (2013) 161–261, arXiv:1212.2921 [hep-th].
  • [683] A. Linde, S. Mooij, and E. Pajer, “Gauge field production in supergravity inflation: Local non-gaussianity and primordial black holes,” Physical Review D 87 no. 10, (May, 2013) . http://dx.doi.org/10.1103/PhysRevD.87.103506.
  • [684] A. Maleknejad, “Axion Inflation with an SU(2) Gauge Field: Detectable Chiral Gravity Waves,” JHEP 07 (2016) 104, arXiv:1604.03327 [hep-ph].
  • [685] J. Garcı́a-Bellido, M. Peloso, and C. Unal, “Gravitational waves at interferometer scales and primordial black holes in axion inflation,” Journal of Cosmology and Astroparticle Physics 2016 no. 12, (Dec., 2016) 031–031. http://dx.doi.org/10.1088/1475-7516/2016/12/031.
  • [686] B. J. Carr, K. Kohri, Y. Sendouda, and J. Yokoyama, “New cosmological constraints on primordial black holes,” Physical Review D 81 no. 10, (May, 2010) . http://dx.doi.org/10.1103/PhysRevD.81.104019.
  • [687] A. Caravano, E. Komatsu, K. D. Lozanov, and J. Weller, “Lattice simulations of axion-u(1) inflation,” Physical Review D 108 no. 4, (Aug., 2023) . http://dx.doi.org/10.1103/PhysRevD.108.043504.
  • [688] D. G. Figueroa, J. Lizarraga, A. Urio, and J. Urrestilla, “Strong Backreaction Regime in Axion Inflation,” Phys. Rev. Lett. 131 no. 15, (2023) 151003, arXiv:2303.17436 [astro-ph.CO].
  • [689] R. Namba, M. Peloso, M. Shiraishi, L. Sorbo, and C. Unal, “Scale-dependent gravitational waves from a rolling axion,” Journal of Cosmology and Astroparticle Physics 2016 no. 01, (Jan., 2016) 041–041. http://dx.doi.org/10.1088/1475-7516/2016/01/041.
  • [690] C. Badger, H. Duval, T. Fujita, S. Kuroyanagi, A. Romero-Rodrı́guez, and M. Sakellariadou, “Detection Prospects of Gravitational Waves from SU(2) Axion Inflation,” arXiv:2406.11742 [astro-ph.CO].
  • [691] I. Ben-Dayan, G. Calcagni, M. Gasperini, A. Mazumdar, E. Pavone, U. Thattarampilly, and A. Verma, “Gravitational-wave background in bouncing models from semi-classical, quantum and string gravity,” arXiv:2406.13521 [gr-qc].
  • [692] L. Pagano, L. Salvati, and A. Melchiorri, “New constraints on primordial gravitational waves from Planck 2015,” Phys. Lett. B 760 (2016) 823–825, arXiv:1508.02393 [astro-ph.CO]. – 621 –
  • [693] M. Gasperini and G. Veneziano, “Pre - big bang in string cosmology,” Astropart. Phys. 1 (1993) 317–339, arXiv:hep-th/9211021.
  • [694] M. Gasperini and G. Veneziano, “The Pre - big bang scenario in string cosmology,” Phys. Rept. 373 (2003) 1–212, arXiv:hep-th/0207130.
  • [695] R. Brustein, M. Gasperini, M. Giovannini, and G. Veneziano, “Relic gravitational waves from string cosmology,” Phys. Lett. B 361 (1995) 45–51, arXiv:hep-th/9507017.
  • [696] A. Buonanno, M. Maggiore, and C. Ungarelli, “Spectrum of relic gravitational waves in string cosmology,” Phys. Rev. D 55 (1997) 3330–3336, arXiv:gr-qc/9605072.
  • [697] M. Gasperini, M. Maggiore, and G. Veneziano, “Towards a nonsingular pre - big bang cosmology,” Nucl. Phys. B 494 (1997) 315–330, arXiv:hep-th/9611039.
  • [698] S. Foffa, M. Maggiore, and R. Sturani, “Loop corrections and graceful exit in string cosmology,” Nucl. Phys. B 552 (1999) 395–419, arXiv:hep-th/9903008.
  • [699] R. Apreda, M. Maggiore, A. Nicolis, and A. Riotto, “Gravitational waves from electroweak phase transitions,” Nucl. Phys. B 631 (2002) 342–368, arXiv:gr-qc/0107033.
  • [700] C. Grojean and G. Servant, “Gravitational Waves from Phase Transitions at the Electroweak Scale and Beyond,” Phys. Rev. D 75 (2007) 043507, arXiv:hep-ph/0607107.
  • [701] C. Caprini et al., “Science with the space-based interferometer eLISA. II: Gravitational waves from cosmological phase transitions,” JCAP 04 (2016) 001, arXiv:1512.06239 [astro-ph.CO].
  • [702] C. Caprini et al., “Detecting gravitational waves from cosmological phase transitions with LISA: an update,” JCAP 03 (2020) 024, arXiv:1910.13125 [astro-ph.CO].
  • [703] LISA Cosmology Working Group Collaboration, C. Caprini, R. Jinno, M. Lewicki, E. Madge, M. Merchand, G. Nardini, M. Pieroni, A. Roper Pol, and V. Vaskonen, “Gravitational waves from first-order phase transitions in LISA: reconstruction pipeline and physics interpretation,” arXiv:2403.03723 [astro-ph.CO].
  • [704] J. Ellis, M. Lewicki, and J. M. No, “On the Maximal Strength of a First-Order Electroweak Phase Transition and its Gravitational Wave Signal,” JCAP 04 (2019) 003, arXiv:1809.08242 [hep-ph].
  • [705] Enqvist, Ignatius, Kajantie, and Rummukainen, “Nucleation and bubble growth in a first-order cosmological electroweak phase transition.” Physical review. D, Particles and fields 45 10 (1992) 3415–3428. https://api.semanticscholar.org/CorpusID:27119910.
  • [706] M. Hindmarsh, S. J. Huber, K. Rummukainen, and D. J. Weir, “Shape of the acoustic gravitational wave power spectrum from a first order phase transition,” Phys. Rev. D 96 no. 10, (2017) 103520, arXiv:1704.05871 [astro-ph.CO]. [Erratum: Phys.Rev.D 101, 089902 (2020)].
  • [706] M. Hindmarsh, S. J. Huber, K. Rummukainen, and D. J. Weir, “Shape of the acoustic gravitational wave power spectrum from a first order phase transition,” Phys. Rev. D 96 no. 10, (2017) 103520, arXiv:1704.05871 [astro-ph.CO]. [Erratum: Phys.Rev.D 101, 089902 (2020)].
  • [707] P. J. Steinhardt, “Monopole Dissociation in the Early Universe,” Phys. Rev. D 24 (1981) 842.
  • [708] P. J. Steinhardt, “Monopole and Vortex Dissociation and Decay of the False Vacuum,” Nucl. Phys. B 190 (1981) 583–616.
  • [709] S. Blasi and A. Mariotti, “Domain Walls Seeding the Electroweak Phase Transition,” Phys. Rev. Lett. 129 no. 26, (2022) 261303, arXiv:2203.16450 [hep-ph].
  • [710] P. Agrawal and M. Nee, “The Boring Monopole,” SciPost Phys. 13 no. 3, (2022) 049, arXiv:2202.11102 [hep-ph].
  • [711] S. Blasi, R. Jinno, T. Konstandin, H. Rubira, and I. Stomberg, “Gravitational waves from defect-driven phase transitions: domain walls,” JCAP 10 (2023) 051, arXiv:2302.06952 [astro-ph.CO]. – 622 –
  • [712] P. Agrawal, S. Blasi, A. Mariotti, and M. Nee, “Electroweak phase transition with a double well done doubly well,” JHEP 06 (2024) 089, arXiv:2312.06749 [hep-ph].
  • [713] S. Blasi and A. Mariotti, “QCD Axion Strings or Seeds?,” arXiv:2405.08060 [hep-ph].
  • [714] M. Dine, R. G. Leigh, P. Y. Huet, A. D. Linde, and D. A. Linde, “Towards the theory of the electroweak phase transition,” Phys. Rev. D 46 (1992) 550–571, arXiv:hep-ph/9203203.
  • [715] B.-H. Liu, L. D. McLerran, and N. Turok, “Bubble nucleation and growth at a baryon number producing electroweak phase transition,” Phys. Rev. D 46 (1992) 2668–2688.
  • [716] G. D. Moore and T. Prokopec, “Bubble wall velocity in a first order electroweak phase transition,” Phys. Rev. Lett. 75 (1995) 777–780, arXiv:hep-ph/9503296.
  • [717] G. D. Moore and T. Prokopec, “How fast can the wall move? A Study of the electroweak phase transition dynamics,” Phys. Rev. D 52 (1995) 7182–7204, arXiv:hep-ph/9506475.
  • [718] J. M. Cline and K. Kainulainen, “Electroweak baryogenesis at high bubble wall velocities,” Phys. Rev. D 101 no. 6, (2020) 063525, arXiv:2001.00568 [hep-ph].
  • [719] J. M. Cline, A. Friedlander, D.-M. He, K. Kainulainen, B. Laurent, and D. Tucker-Smith, “Baryogenesis and gravity waves from a UV-completed electroweak phase transition,” Phys. Rev. D 103 no. 12, (2021) 123529, arXiv:2102.12490 [hep-ph].
  • [720] B. Laurent and J. M. Cline, “First principles determination of bubble wall velocity,” Phys. Rev. D 106 no. 2, (2022) 023501, arXiv:2204.13120 [hep-ph].
  • [721] Y. Bea, J. Casalderrey-Solana, T. Giannakopoulos, D. Mateos, M. Sanchez-Garitaonandia, and M. Zilhão, “Bubble wall velocity from holography,” Phys. Rev. D 104 no. 12, (2021) L121903, arXiv:2104.05708 [hep-th].
  • [722] I. Baldes, Y. Gouttenoire, and F. Sala, “String Fragmentation in Supercooled Confinement and Implications for Dark Matter,” JHEP 04 (2021) 278, arXiv:2007.08440 [hep-ph].
  • [723] F. Bigazzi, A. Caddeo, A. L. Cotrone, and A. Paredes, “Dark Holograms and Gravitational Waves,” JHEP 04 (2021) 094, arXiv:2011.08757 [hep-ph].
  • [724] F. Bigazzi, A. Caddeo, T. Canneti, and A. L. Cotrone, “Bubble wall velocity at strong coupling,” JHEP 08 (2021) 090, arXiv:2104.12817 [hep-ph].
  • [725] Y. Bea, J. Casalderrey-Solana, T. Giannakopoulos, A. Jansen, D. Mateos, M. Sanchez-Garitaonandia, and M. Zilhão, “Holographic bubbles with Jecco: expanding, collapsing and critical,” JHEP 09 (2022) 008, arXiv:2202.10503 [hep-th]. [Erratum: JHEP 03, 225 (2023)].
  • [725] Y. Bea, J. Casalderrey-Solana, T. Giannakopoulos, A. Jansen, D. Mateos, M. Sanchez-Garitaonandia, and M. Zilhão, “Holographic bubbles with Jecco: expanding, collapsing and critical,” JHEP 09 (2022) 008, arXiv:2202.10503 [hep-th]. [Erratum: JHEP 03, 225 (2023)].
  • [726] Z. Kang and J. Zhu, “Confinement Bubble Wall Velocity via Quasiparticle Determination,” arXiv:2401.03849 [hep-ph].
  • [727] G. C. Dorsch, S. J. Huber, and T. Konstandin, “Bubble wall velocities in the Standard Model and beyond,” JCAP 12 (2018) 034, arXiv:1809.04907 [hep-ph].
  • [728] S. Jiang, F. P. Huang, and X. Wang, “Bubble wall velocity during electroweak phase transition in the inert doublet model,” Phys. Rev. D 107 no. 9, (2023) 095005, arXiv:2211.13142 [hep-ph].
  • [729] T. Konstandin and J. M. No, “Hydrodynamic obstruction to bubble expansion,” JCAP 02 (2011) 008, arXiv:1011.3735 [hep-ph].
  • [730] M. Barroso Mancha, T. Prokopec, and B. Swiezewska, “Field-theoretic derivation of bubble-wall force,” JHEP 01 (2021) 070, arXiv:2005.10875 [hep-th].
  • [731] S. Balaji, M. Spannowsky, and C. Tamarit, “Cosmological bubble friction in local equilibrium,” JCAP 03 (2021) 051, arXiv:2010.08013 [hep-ph]. – 623 –
  • [732] W.-Y. Ai, B. Garbrecht, and C. Tamarit, “Bubble wall velocities in local equilibrium,” JCAP 03 no. 03, (2022) 015, arXiv:2109.13710 [hep-ph].
  • [733] S.-J. Wang and Z.-Y. Yuwen, “Hydrodynamic backreaction force of cosmological bubble expansion,” Phys. Rev. D 107 no. 2, (2023) 023501, arXiv:2205.02492 [hep-ph].
  • [734] W.-Y. Ai, B. Laurent, and J. van de Vis, “Model-independent bubble wall velocities in local thermal equilibrium,” arXiv:2303.10171 [astro-ph.CO].
  • [735] T. Krajewski, M. Lewicki, and M. Zych, “Hydrodynamical constraints on bubble wall velocity,” arXiv:2303.18216 [astro-ph.CO].
  • [736] M. Sanchez-Garitaonandia and J. van de Vis, “Prediction of the bubble wall velocity for a large jump in degrees of freedom,” arXiv:2312.09964 [hep-ph].
  • [737] D. Bodeker and G. D. Moore, “Can electroweak bubble walls run away?,” JCAP 05 (2009) 009, arXiv:0903.4099 [hep-ph].
  • [738] D. Bodeker and G. D. Moore, “Electroweak Bubble Wall Speed Limit,” JCAP 05 (2017) 025, arXiv:1703.08215 [hep-ph].
  • [739] S. Höche, J. Kozaczuk, A. J. Long, J. Turner, and Y. Wang, “Towards an all-orders calculation of the electroweak bubble wall velocity,” JCAP 03 (2021) 009, arXiv:2007.10343 [hep-ph].
  • [740] A. Azatov and M. Vanvlasselaer, “Bubble wall velocity: heavy physics effects,” JCAP 01 (2021) 058, arXiv:2010.02590 [hep-ph].
  • [741] Y. Gouttenoire, R. Jinno, and F. Sala, “Friction pressure on relativistic bubble walls,” JHEP 05 (2022) 004, arXiv:2112.07686 [hep-ph].
  • [742] W.-Y. Ai, “Logarithmically divergent friction on ultrarelativistic bubble walls,” JCAP 10 (2023) 052, arXiv:2308.10679 [hep-ph].
  • [743] A. Azatov, G. Barni, R. Petrossian-Byrne, and M. Vanvlasselaer, “Quantisation Across Bubble Walls and Friction,” arXiv:2310.06972 [hep-ph].
  • [744] S. J. Huber and T. Konstandin, “Gravitational Wave Production by Collisions: More Bubbles,” JCAP 09 (2008) 022, arXiv:0806.1828 [hep-ph].
  • [745] T. Konstandin, “Gravitational radiation from a bulk flow model,” JCAP 03 (2018) 047, arXiv:1712.06869 [astro-ph.CO].
  • [746] R. Jinno and M. Takimoto, “Gravitational waves from bubble collisions: An analytic derivation,” Phys. Rev. D 95 no. 2, (2017) 024009, arXiv:1605.01403 [astro-ph.CO].
  • [747] R. Jinno and M. Takimoto, “Gravitational waves from bubble dynamics: Beyond the Envelope,” JCAP 01 (2019) 060, arXiv:1707.03111 [hep-ph].
  • [748] D. Cutting, M. Hindmarsh, and D. J. Weir, “Gravitational waves from vacuum first-order phase transitions: from the envelope to the lattice,” Phys. Rev. D 97 no. 12, (2018) 123513, arXiv:1802.05712 [astro-ph.CO].
  • [749] D. Cutting, E. G. Escartin, M. Hindmarsh, and D. J. Weir, “Gravitational waves from vacuum first order phase transitions II: from thin to thick walls,” Phys. Rev. D 103 no. 2, (2021) 023531, arXiv:2005.13537 [astro-ph.CO].
  • [750] M. Hindmarsh, “Sound shell model for acoustic gravitational wave production at a first-order phase transition in the early Universe,” Phys. Rev. Lett. 120 no. 7, (2018) 071301, arXiv:1608.04735 [astro-ph.CO].
  • [751] M. Hindmarsh and M. Hijazi, “Gravitational waves from first order cosmological phase transitions in the Sound Shell Model,” JCAP 12 (2019) 062, arXiv:1909.10040 [astro-ph.CO]. – 624 –
  • [752] R. Jinno, T. Konstandin, and H. Rubira, “A hybrid simulation of gravitational wave production in first-order phase transitions,” JCAP 04 (2021) 014, arXiv:2010.00971 [astro-ph.CO].
  • [753] R. Jinno, B. Shakya, and J. van de Vis, “Gravitational Waves from Feebly Interacting Particles in a First Order Phase Transition,” arXiv:2211.06405 [gr-qc].
  • [754] R. Jinno, H. Seong, M. Takimoto, and C. M. Um, “Gravitational waves from first-order phase transitions: Ultra-supercooled transitions and the fate of relativistic shocks,” JCAP 10 (2019) 033, arXiv:1905.00899 [astro-ph.CO].
  • [755] D. Cutting, M. Hindmarsh, and D. J. Weir, “Vorticity, kinetic energy, and suppressed gravitational wave production in strong first order phase transitions,” Phys. Rev. Lett. 125 no. 2, (2020) 021302, arXiv:1906.00480 [hep-ph].
  • [756] R. Jinno, T. Konstandin, H. Rubira, and I. Stomberg, “Higgsless simulations of cosmological phase transitions and gravitational waves,” JCAP 02 (2023) 011, arXiv:2209.04369 [astro-ph.CO].
  • [757] A. Roper Pol, S. Mandal, A. Brandenburg, T. Kahniashvili, and A. Kosowsky, “Numerical simulations of gravitational waves from early-universe turbulence,” Phys. Rev. D 102 no. 8, (2020) 083512, arXiv:1903.08585 [astro-ph.CO].
  • [758] M. Lewicki and V. Vaskonen, “Gravitational waves from bubble collisions and fluid motion in strongly supercooled phase transitions,” Eur. Phys. J. C 83 no. 2, (2023) 109, arXiv:2208.11697 [astro-ph.CO].
  • [759] J. R. Espinosa, T. Konstandin, J. M. No, and G. Servant, “Energy Budget of Cosmological First-order Phase Transitions,” JCAP 06 (2010) 028, arXiv:1004.4187 [hep-ph].
  • [760] Y. Gouttenoire, Beyond the Standard Model Cocktail. Springer Theses. Springer, Cham, 2022. arXiv:2207.01633 [hep-ph].
  • [760] Y. Gouttenoire, Beyond the Standard Model Cocktail. Springer Theses. Springer, Cham, 2022. arXiv:2207.01633 [hep-ph].
  • [761] S. Iso, P. D. Serpico, and K. Shimada, “QCD-Electroweak First-Order Phase Transition in a Supercooled Universe,” Phys. Rev. Lett. 119 no. 14, (2017) 141301, arXiv:1704.04955 [hep-ph].
  • [762] B. von Harling and G. Servant, “QCD-induced Electroweak Phase Transition,” JHEP 01 (2018) 159, arXiv:1711.11554 [hep-ph].
  • [763] P. Baratella, A. Pomarol, and F. Rompineve, “The Supercooled Universe,” JHEP 03 (2019) 100, arXiv:1812.06996 [hep-ph].
  • [764] L. Randall and G. Servant, “Gravitational waves from warped spacetime,” JHEP 05 (2007) 054, arXiv:hep-ph/0607158.
  • [765] T. Konstandin and G. Servant, “Cosmological Consequences of Nearly Conformal Dynamics at the TeV scale,” JCAP 12 (2011) 009, arXiv:1104.4791 [hep-ph].
  • [766] S. Bruggisser, B. von Harling, O. Matsedonskyi, and G. Servant, “Status of electroweak baryogenesis in minimal composite Higgs,” JHEP 08 (2023) 012, arXiv:2212.11953 [hep-ph].
  • [767] I. Baldes, Y. Gouttenoire, F. Sala, and G. Servant, “Supercool composite Dark Matter beyond 100 TeV,” JHEP 07 (2022) 084, arXiv:2110.13926 [hep-ph].
  • [768] C. Badger et al., “Probing early Universe supercooled phase transitions with gravitational wave data,” Phys. Rev. D 107 no. 2, (2023) 023511, arXiv:2209.14707 [hep-ph].
  • [769] A. Romero, K. Martinovic, T. A. Callister, H.-K. Guo, M. Martı́nez, M. Sakellariadou, F.-W. Yang, and Y. Zhao, “Implications for First-Order Cosmological Phase Transitions from the Third LIGO-Virgo Observing Run,” Phys. Rev. Lett. 126 no. 15, (2021) 151301, arXiv:2102.01714 [hep-ph]. – 625 –
  • [770] A. Romero-Rodriguez, M. Martinez, O. Pujolàs, M. Sakellariadou, and V. Vaskonen, “Search for a Scalar Induced Stochastic Gravitational Wave Background in the Third LIGO-Virgo Observing Run,” Phys. Rev. Lett. 128 no. 5, (2022) 051301, arXiv:2107.11660 [gr-qc].
  • [771] P. Athron, C. Balázs, T. E. Gonzalo, and M. Pearce, “Falsifying Pati-Salam models with LIGO,” arXiv:2307.02544 [hep-ph].
  • [772] V. Brdar, A. J. Helmboldt, and J. Kubo, “Gravitational Waves from First-Order Phase Transitions: LIGO as a Window to Unexplored Seesaw Scales,” JCAP 02 (2019) 021, arXiv:1810.12306 [hep-ph].
  • [773] N. Craig, N. Levi, A. Mariotti, and D. Redigolo, “Ripples in Spacetime from Broken Supersymmetry,” JHEP 21 (2020) 184, arXiv:2011.13949 [hep-ph].
  • [774] B. Fornal, B. Shams Es Haghi, J.-H. Yu, and Y. Zhao, “Gravitational waves from minisplit SUSY,” Phys. Rev. D 104 no. 11, (2021) 115005, arXiv:2104.00747 [hep-ph].
  • [775] L. Delle Rose, G. Panico, M. Redi, and A. Tesi, “Gravitational Waves from Supercool Axions,” JHEP 04 (2020) 025, arXiv:1912.06139 [hep-ph].
  • [776] B. Von Harling, A. Pomarol, O. Pujolàs, and F. Rompineve, “Peccei-Quinn Phase Transition at LIGO,” JHEP 04 (2020) 195, arXiv:1912.07587 [hep-ph].
  • [777] A. Greljo, T. Opferkuch, and B. A. Stefanek, “Gravitational Imprints of Flavor Hierarchies,” Phys. Rev. Lett. 124 no. 17, (2020) 171802, arXiv:1910.02014 [hep-ph].
  • [778] D. Ringe, “Probing intermediate scale Froggatt-Nielsen models at future gravitational wave observatories,” Phys. Rev. D 107 no. 1, (2023) 015030, arXiv:2208.07778 [hep-ph].
  • [779] W.-C. Huang, F. Sannino, and Z.-W. Wang, “Gravitational Waves from Pati-Salam Dynamics,” Phys. Rev. D 102 no. 9, (2020) 095025, arXiv:2004.02332 [hep-ph].
  • [780] B. Fornal and E. Pierre, “Asymmetric dark matter from gravitational waves,” Phys. Rev. D 106 no. 11, (2022) 115040, arXiv:2209.04788 [hep-ph].
  • [781] B. Fornal, K. Garcia, and E. Pierre, “Testing unification and dark matter with gravitational waves,” Phys. Rev. D 108 no. 5, (2023) 055022, arXiv:2305.12566 [hep-ph].
  • [782] J. Bosch, Z. Delgado, B. Fornal, and A. Leon, “Gravitational wave signatures of gauged baryon and lepton number,” Phys. Rev. D 108 no. 9, (2023) 095014, arXiv:2306.00332 [hep-ph].
  • [783] S. Bruggisser, B. Von Harling, O. Matsedonskyi, and G. Servant, “Electroweak Phase Transition and Baryogenesis in Composite Higgs Models,” JHEP 12 (2018) 099, arXiv:1804.07314 [hep-ph].
  • [784] K. Agashe, P. Du, M. Ekhterachian, S. Kumar, and R. Sundrum, “Cosmological Phase Transition of Spontaneous Confinement,” JHEP 05 (2020) 086, arXiv:1910.06238 [hep-ph].
  • [785] A. Azatov and M. Vanvlasselaer, “Phase transitions in perturbative walking dynamics,” JHEP 09 (2020) 085, arXiv:2003.10265 [hep-ph].
  • [786] J. Ellis, M. Lewicki, and J. M. No, “Gravitational waves from first-order cosmological phase transitions: lifetime of the sound wave source,” JCAP 07 (2020) 050, arXiv:2003.07360 [hep-ph].
  • [787] J. Ellis, M. Lewicki, J. M. No, and V. Vaskonen, “Gravitational wave energy budget in strongly supercooled phase transitions,” JCAP 06 (2019) 024, arXiv:1903.09642 [hep-ph].
  • [788] A. Azatov, D. Barducci, and F. Sgarlata, “Gravitational traces of broken gauge symmetries,” JCAP 07 (2020) 027, arXiv:1910.01124 [hep-ph].
  • [789] E. Hall, T. Konstandin, R. McGehee, H. Murayama, and G. Servant, “Baryogenesis From a Dark First-Order Phase Transition,” JHEP 04 (2020) 042, arXiv:1910.08068 [hep-ph]. – 626 –
  • [790] A. Azatov, M. Vanvlasselaer, and W. Yin, “Baryogenesis via relativistic bubble walls,” JHEP 10 (2021) 043, arXiv:2106.14913 [hep-ph].
  • [791] I. Baldes, S. Blasi, A. Mariotti, A. Sevrin, and K. Turbang, “Baryogenesis via relativistic bubble expansion,” Phys. Rev. D 104 no. 11, (2021) 115029, arXiv:2106.15602 [hep-ph].
  • [792] P. Huang and K.-P. Xie, “Leptogenesis triggered by a first-order phase transition,” JHEP 09 (2022) 052, arXiv:2206.04691 [hep-ph].
  • [793] E. J. Chun, T. P. Dutka, T. H. Jung, X. Nagels, and M. Vanvlasselaer, “Bubble-assisted leptogenesis,” JHEP 09 (2023) 164, arXiv:2305.10759 [hep-ph].
  • [794] M. J. Baker, J. Kopp, and A. J. Long, “Filtered Dark Matter at a First Order Phase Transition,” Phys. Rev. Lett. 125 no. 15, (2020) 151102, arXiv:1912.02830 [hep-ph].
  • [795] A. Azatov, M. Vanvlasselaer, and W. Yin, “Dark Matter production from relativistic bubble walls,” JHEP 03 (2021) 288, arXiv:2101.05721 [hep-ph].
  • [796] A. Azatov, G. Barni, S. Chakraborty, M. Vanvlasselaer, and W. Yin, “Ultra-relativistic bubbles from the simplest Higgs portal and their cosmological consequences,” JHEP 10 (2022) 017, arXiv:2207.02230 [hep-ph].
  • [797] T. W. B. Kibble, “Topology of Cosmic Domains and Strings,” J. Phys. A 9 (1976) 1387–1398.
  • [798] A. Vilenkin and E. P. S. Shellard, Cosmic Strings and Other Topological Defects. Cambridge University Press, 7, 2000.
  • [799] M. B. Hindmarsh and T. W. B. Kibble, “Cosmic strings,” Rept. Prog. Phys. 58 no. SUSX-TP-94-74, IMPERIAL-TP-94-95-5, NI-94025, (1995) 477–562, arXiv:hep-ph/9411342.
  • [800] M. Sakellariadou, “Cosmic strings,” Lect. Notes Phys. 718 (2007) 247–288, arXiv:hep-th/0602276.
  • [801] T. Vachaspati, L. Pogosian, and D. Steer, “Cosmic Strings,” Scholarpedia 10 no. 2, (2015) 31682, arXiv:1506.04039 [astro-ph.CO].
  • [802] R. Jeannerot, J. Rocher, and M. Sakellariadou, “How generic is cosmic string formation in SUSY GUTs,” Phys. Rev. D68 (2003) 103514, arXiv:hep-ph/0308134 [hep-ph].
  • [803] A. Vilenkin and A. E. Everett, “Cosmic Strings and Domain Walls in Models with Goldstone and PseudoGoldstone Bosons,” Phys. Rev. Lett. 48 (1982) 1867–1870.
  • [804] P. Sikivie, “Of Axions, Domain Walls and the Early Universe,” Phys. Rev. Lett. 48 (1982) 1156–1159.
  • [805] A. Vilenkin, “Cosmic Strings and Domain Walls,” Phys. Rept. 121 (1985) 263–315.
  • [806] R. L. Davis, “Cosmic Axions from Cosmic Strings,” Phys. Lett. B 180 (1986) 225–230.
  • [807] T. Hiramatsu, M. Kawasaki, and K. Saikawa, “Evolution of String-Wall Networks and Axionic Domain Wall Problem,” JCAP 08 (2011) 030, arXiv:1012.4558 [astro-ph.CO].
  • [808] T. Hiramatsu, M. Kawasaki, K. Saikawa, and T. Sekiguchi, “Production of dark matter axions from collapse of string-wall systems,” Phys. Rev. D 85 (2012) 105020, arXiv:1202.5851 [hep-ph]. [Erratum: Phys.Rev.D 86, 089902 (2012)].
  • [808] T. Hiramatsu, M. Kawasaki, K. Saikawa, and T. Sekiguchi, “Production of dark matter axions from collapse of string-wall systems,” Phys. Rev. D 85 (2012) 105020, arXiv:1202.5851 [hep-ph]. [Erratum: Phys.Rev.D 86, 089902 (2012)].
  • [809] P. Auclair et al., “Probing the gravitational wave background from cosmic strings with LISA,” JCAP 04 (2020) 034, arXiv:1909.00819 [astro-ph.CO].
  • [810] EPTA Collaboration, J. Antoniadis et al., “The second data release from the European Pulsar Timing Array: V. Implications for massive black holes, dark matter and the early Universe,” arXiv:2306.16227 [astro-ph.CO]. – 627 –
  • [811] European Pulsar Timing Array, EPTA Collaboration, H. Quelquejay Leclere et al., “Practical approaches to analyzing PTA data: Cosmic strings with six pulsars,” Phys. Rev. D 108 no. 12, (2023) 123527, arXiv:2306.12234 [gr-qc].
  • [812] T. Damour and A. Vilenkin, “Gravitational wave bursts from cusps and kinks on cosmic strings,” Phys. Rev. D 64 (2001) 064008, arXiv:gr-qc/0104026.
  • [813] X. Siemens, J. Creighton, I. Maor, S. Ray Majumder, K. Cannon, and J. Read, “Gravitational wave bursts from cosmic (super)strings: Quantitative analysis and constraints,” Phys. Rev. D 73 (2006) 105001, arXiv:gr-qc/0603115.
  • [814] S. Sarangi and S. H. H. Tye, “Cosmic string production towards the end of brane inflation,” Phys. Lett. B 536 (2002) 185–192, arXiv:hep-th/0204074.
  • [815] G. Dvali and A. Vilenkin, “Formation and evolution of cosmic D strings,” JCAP 03 (2004) 010, arXiv:hep-th/0312007.
  • [816] E. J. Copeland, R. C. Myers, and J. Polchinski, “Cosmic F and D strings,” JHEP 06 (2004) 013, arXiv:hep-th/0312067.
  • [817] M. Sakellariadou, “A Note on the evolution of cosmic string/superstring networks,” JCAP 04 (2005) 003, arXiv:hep-th/0410234.
  • [818] A. Rajantie, M. Sakellariadou, and H. Stoica, “Numerical experiments with p F- and q D-strings: The Formation of (p,q) bound states,” JCAP 11 (2007) 021, arXiv:0706.3662 [hep-th].
  • [819] M. Sakellariadou and H. Stoica, “Dynamics of F/D networks: The Role of bound states,” JCAP 08 (2008) 038, arXiv:0806.3219 [hep-th].
  • [820] A. Vilenkin, “COSMOLOGICAL EVOLUTION OF MONOPOLES CONNECTED BY STRINGS,” Nucl. Phys. B 196 (1982) 240–258.
  • [821] E. J. Copeland, D. Haws, T. W. B. Kibble, D. Mitchell, and N. Turok, “Monopoles Connected by Strings and the Monopole Problem,” Nucl. Phys. B 298 (1988) 445–457.
  • [822] J. Preskill and A. Vilenkin, “Decay of metastable topological defects,” Phys. Rev. D 47 (1993) 2324–2342, arXiv:hep-ph/9209210.
  • [823] A. Monin and M. B. Voloshin, “The Spontaneous breaking of a metastable string,” Phys. Rev. D 78 (2008) 065048, arXiv:0808.1693 [hep-th].
  • [824] L. Leblond, B. Shlaer, and X. Siemens, “Gravitational Waves from Broken Cosmic Strings: The Bursts and the Beads,” Phys. Rev. D 79 (2009) 123519, arXiv:0903.4686 [astro-ph.CO].
  • [825] J. A. Dror, T. Hiramatsu, K. Kohri, H. Murayama, and G. White, “Testing the Seesaw Mechanism and Leptogenesis with Gravitational Waves,” Phys. Rev. Lett. 124 no. 4, (2020) 041804, arXiv:1908.03227 [hep-ph].
  • [826] W. Buchmuller, V. Domcke, H. Murayama, and K. Schmitz, “Probing the scale of grand unification with gravitational waves,” Phys. Lett. B 809 (2020) 135764, arXiv:1912.03695 [hep-ph].
  • [827] W. Buchmuller, V. Domcke, and K. Schmitz, “Stochastic gravitational-wave background from metastable cosmic strings,” JCAP 12 no. 12, (2021) 006, arXiv:2107.04578 [hep-ph].
  • [828] W. Buchmuller, V. Domcke, and K. Schmitz, “Metastable cosmic strings,” JCAP 11 (2023) 020, arXiv:2307.04691 [hep-ph].
  • [829] G. Servant and P. Simakachorn, “Ultra-high frequency primordial gravitational waves beyond the kHz: the case of cosmic strings,” arXiv:2312.09281 [hep-ph]. – 628 –
  • [830] A. Chitose, M. Ibe, Y. Nakayama, S. Shirai, and K. Watanabe, “Revisiting metastable cosmic string breaking,” JHEP 04 (2024) 068, arXiv:2312.15662 [hep-ph].
  • [831] D. Bettoni, G. Domènech, and J. Rubio, “Gravitational waves from global cosmic strings in quintessential inflation,” JCAP 02 (2019) 034, arXiv:1810.11117 [astro-ph.CO].
  • [832] E. Witten, “Superconducting Strings,” Nucl. Phys. B 249 (1985) 557–592.
  • [833] N. K. Nielsen and P. Olesen, “Dynamical Properties of Superconducting Cosmic Strings,” Nucl. Phys. B 291 (1987) 829.
  • [834] P. Auclair, S. Blasi, V. Brdar, and K. Schmitz, “Gravitational waves from current-carrying cosmic strings,” JCAP 04 (2023) 009, arXiv:2207.03510 [astro-ph.CO].
  • [835] I. Y. Rybak and L. Sousa, “Emission of gravitational waves by superconducting cosmic strings,” JCAP 11 (2022) 024, arXiv:2209.01068 [gr-qc].
  • [836] G. R. Vincent, M. Hindmarsh, and M. Sakellariadou, “Scaling and small scale structure in cosmic string networks,” Phys. Rev. D 56 (1997) 637–646, arXiv:astro-ph/9612135.
  • [837] G. Vincent, N. D. Antunes, and M. Hindmarsh, “Numerical simulations of string networks in the Abelian Higgs model,” Phys. Rev. Lett. 80 (1998) 2277–2280, arXiv:hep-ph/9708427.
  • [838] M. Hindmarsh, J. Lizarraga, J. Urrestilla, D. Daverio, and M. Kunz, “Scaling from gauge and scalar radiation in Abelian Higgs string networks,” Phys. Rev. D 96 no. 2, (2017) 023525, arXiv:1703.06696 [astro-ph.CO].
  • [839] J. J. Blanco-Pillado, D. Jiménez-Aguilar, J. Lizarraga, A. Lopez-Eiguren, K. D. Olum, A. Urio, and J. Urrestilla, “Nambu-Goto dynamics of field theory cosmic string loops,” JCAP 05 (2023) 035, arXiv:2302.03717 [hep-th].
  • [840] M. Sakellariadou and A. Vilenkin, “Numerical Experiments With Cosmic Strings in Flat Space-time,” Phys. Rev. D 37 (1988) 885.
  • [841] A. Vilenkin, “Gravitational radiation from cosmic strings,” Phys. Lett. B 107 (1981) 47–50.
  • [842] T. Vachaspati and A. Vilenkin, “Gravitational Radiation from Cosmic Strings,” Phys. Rev. D 31 (1985) 3052.
  • [843] M. Sakellariadou, “Gravitational waves emitted from infinite strings,” Phys. Rev. D 42 (1990) 354–360. [Erratum: Phys.Rev.D 43, 4150 (1991)].
  • [843] M. Sakellariadou, “Gravitational waves emitted from infinite strings,” Phys. Rev. D 42 (1990) 354–360. [Erratum: Phys.Rev.D 43, 4150 (1991)].
  • [844] C. J. Burden, “Gravitational Radiation From a Particular Class of Cosmic Strings,” Phys. Lett. B 164 (1985) 277–281.
  • [845] J. J. Blanco-Pillado and K. D. Olum, “Stochastic gravitational wave background from smoothed cosmic string loops,” Phys. Rev. D 96 no. 10, (2017) 104046, arXiv:1709.02693 [astro-ph.CO].
  • [846] T. W. B. Kibble, “Evolution of a system of cosmic strings,” Nucl. Phys. B 252 (1985) 227. [Erratum: Nucl.Phys.B 261, 750 (1985)].
  • [846] T. W. B. Kibble, “Evolution of a system of cosmic strings,” Nucl. Phys. B 252 (1985) 227. [Erratum: Nucl.Phys.B 261, 750 (1985)].
  • [847] A. Albrecht and N. Turok, “Evolution of Cosmic Strings,” Phys. Rev. Lett. 54 (1985) 1868–1871.
  • [848] D. P. Bennett and F. R. Bouchet, “Evidence for a Scaling Solution in Cosmic String Evolution,” Phys. Rev. Lett. 60 (1988) 257.
  • [849] B. Allen and E. P. S. Shellard, “Cosmic string evolution: a numerical simulation,” Phys. Rev. Lett. 64 (1990) 119–122.
  • [850] Planck Collaboration, P. A. R. Ade et al., “Planck 2013 results. XXV. Searches for cosmic strings and other topological defects,” Astron. Astrophys. 571 (2014) A25, arXiv:1303.5085 [astro-ph.CO]. – 629 –
  • [851] J. Lizarraga, J. Urrestilla, D. Daverio, M. Hindmarsh, and M. Kunz, “New CMB constraints for Abelian Higgs cosmic strings,” JCAP 10 (2016) 042, arXiv:1609.03386 [astro-ph.CO].
  • [852] T. Charnock, A. Avgoustidis, E. J. Copeland, and A. Moss, “CMB constraints on cosmic strings and superstrings,” Phys. Rev. D 93 no. 12, (2016) 123503, arXiv:1603.01275 [astro-ph.CO].
  • [853] M. Torki, H. Hajizadeh, M. Farhang, A. V. Sadr, and S. M. S. Movahed, “Planck limits on cosmic string tension using machine learning,” Mon. Not. Roy. Astron. Soc. 509 no. 2, (2021) 2169–2179, arXiv:2106.00059 [astro-ph.CO].
  • [854] J. J. Blanco-Pillado, K. D. Olum, and B. Shlaer, “The number of cosmic string loops,” Phys. Rev. D 89 no. 2, (2014) 023512, arXiv:1309.6637 [astro-ph.CO].
  • [855] L. Lorenz, C. Ringeval, and M. Sakellariadou, “Cosmic string loop distribution on all length scales and at any redshift,” JCAP 10 (2010) 003, arXiv:1006.0931 [astro-ph.CO].
  • [856] C. Ringeval, M. Sakellariadou, and F. Bouchet, “Cosmological evolution of cosmic string loops,” JCAP 02 (2007) 023, arXiv:astro-ph/0511646.
  • [857] J. J. Blanco-Pillado, K. D. Olum, and J. M. Wachter, “Energy-conservation constraints on cosmic string loop production and distribution functions,” Phys. Rev. D 100 no. 12, (2019) 123526, arXiv:1907.09373 [astro-ph.CO].
  • [858] J. J. Blanco-Pillado and K. D. Olum, “Direct determination of cosmic string loop density from simulations,” Phys. Rev. D 101 no. 10, (2020) 103018, arXiv:1912.10017 [astro-ph.CO].
  • [859] J. M. Quashnock and D. N. Spergel, “Gravitational Selfinteractions of Cosmic Strings,” Phys. Rev. D 42 (1990) 2505–2520.
  • [860] J. M. Wachter and K. D. Olum, “Gravitational smoothing of kinks on cosmic string loops,” Phys. Rev. Lett. 118 no. 5, (2017) 051301, arXiv:1609.01153 [gr-qc]. [Erratum: Phys.Rev.Lett. 121, 149901 (2018)].
  • [860] J. M. Wachter and K. D. Olum, “Gravitational smoothing of kinks on cosmic string loops,” Phys. Rev. Lett. 118 no. 5, (2017) 051301, arXiv:1609.01153 [gr-qc]. [Erratum: Phys.Rev.Lett. 121, 149901 (2018)].
  • [861] J. J. Blanco-Pillado, K. D. Olum, and J. M. Wachter, “Gravitational backreaction near cosmic string kinks and cusps,” Phys. Rev. D 98 no. 12, (2018) 123507, arXiv:1808.08254 [gr-qc].
  • [862] D. F. Chernoff, E. E. Flanagan, and B. Wardell, “Gravitational backreaction on a cosmic string: Formalism,” Phys. Rev. D 99 no. 8, (2019) 084036, arXiv:1808.08631 [gr-qc].
  • [863] J. J. Blanco-Pillado, K. D. Olum, and J. M. Wachter, “Gravitational backreaction simulations of simple cosmic string loops,” Phys. Rev. D 100 no. 2, (2019) 023535, arXiv:1903.06079 [gr-qc].
  • [864] M. Kalb and P. Ramond, “Classical direct interstring action,” Phys. Rev. D 9 (1974) 2273–2284.
  • [865] A. Vilenkin and T. Vachaspati, “Radiation of Goldstone Bosons From Cosmic Strings,” Phys. Rev. D 35 (1987) 1138.
  • [866] R. L. Davis and E. P. S. Shellard, “Antisymmetric Tensors and Spontaneous Symmetry Breaking,” Phys. Lett. B 214 (1988) 219–222.
  • [867] V. B. Klaer and G. D. Moore, “How to simulate global cosmic strings with large string tension,” JCAP 10 (2017) 043, arXiv:1707.05566 [hep-ph].
  • [868] C. J. A. P. Martins, “Scaling properties of cosmological axion strings,” Phys. Lett. B 788 (2019) 147–151, arXiv:1811.12678 [astro-ph.CO].
  • [869] V. B. Klaer and G. D. Moore, “Global cosmic string networks as a function of tension,” JCAP 06 (2020) 021, arXiv:1912.08058 [hep-ph]. – 630 –
  • [870] M. Sakellariadou, “Radiation of Nambu-Goldstone bosons from infinitely long cosmic strings,” Phys. Rev. D 44 (1991) 3767–3773.
  • [871] C.-F. Chang and Y. Cui, “Stochastic Gravitational Wave Background from Global Cosmic Strings,” Phys. Dark Univ. 29 (2020) 100604, arXiv:1910.04781 [hep-ph].
  • [872] Y. Gouttenoire, G. Servant, and P. Simakachorn, “Beyond the Standard Models with Cosmic Strings,” JCAP 07 (2020) 032, arXiv:1912.02569 [hep-ph].
  • [873] C.-F. Chang and Y. Cui, “Gravitational waves from global cosmic strings and cosmic archaeology,” JHEP 03 (2022) 114, arXiv:2106.09746 [hep-ph].
  • [874] M. Gorghetto, E. Hardy, and H. Nicolaescu, “Observing invisible axions with gravitational waves,” JCAP 06 (2021) 034, arXiv:2101.11007 [hep-ph].
  • [875] A. Dabholkar and J. M. Quashnock, “Pinning Down the Axion,” Nucl. Phys. B 333 (1990) 815–832.
  • [876] M. Buschmann, J. W. Foster, and B. R. Safdi, “Early-Universe Simulations of the Cosmological Axion,” Phys. Rev. Lett. 124 no. 16, (2020) 161103, arXiv:1906.00967 [astro-ph.CO].
  • [877] M. Gorghetto, E. Hardy, and G. Villadoro, “Axions from Strings: the Attractive Solution,” JHEP 07 (2018) 151, arXiv:1806.04677 [hep-ph].
  • [878] M. Gorghetto, E. Hardy, and G. Villadoro, “More axions from strings,” SciPost Phys. 10 no. 2, (2021) 050, arXiv:2007.04990 [hep-ph].
  • [879] M. Buschmann, J. W. Foster, A. Hook, A. Peterson, D. E. Willcox, W. Zhang, and B. R. Safdi, “Dark matter from axion strings with adaptive mesh refinement,” Nature Commun. 13 no. 1, (2022) 1049, arXiv:2108.05368 [hep-ph].
  • [880] G. Servant and P. Simakachorn, “Constraining postinflationary axions with pulsar timing arrays,” Phys. Rev. D 108 no. 12, (2023) 123516, arXiv:2307.03121 [hep-ph].
  • [881] M. Kawasaki, T. Sekiguchi, M. Yamaguchi, and J. Yokoyama, “Long-term dynamics of cosmological axion strings,” PTEP 2018 no. 9, (2018) 091E01, arXiv:1806.05566 [hep-ph].
  • [882] A. Vaquero, J. Redondo, and J. Stadler, “Early seeds of axion miniclusters,” JCAP 04 (2019) 012, arXiv:1809.09241 [astro-ph.CO].
  • [883] M. Hindmarsh, J. Lizarraga, A. Lopez-Eiguren, and J. Urrestilla, “Scaling Density of Axion Strings,” Phys. Rev. Lett. 124 no. 2, (2020) 021301, arXiv:1908.03522 [astro-ph.CO].
  • [884] D. G. Figueroa, M. Hindmarsh, J. Lizarraga, and J. Urrestilla, “Irreducible background of gravitational waves from a cosmic defect network: update and comparison of numerical techniques,” Phys. Rev. D 102 no. 10, (2020) 103516, arXiv:2007.03337 [astro-ph.CO].
  • [885] M. Hindmarsh, J. Lizarraga, A. Lopez-Eiguren, and J. Urrestilla, “Approach to scaling in axion string networks,” Phys. Rev. D 103 no. 10, (2021) 103534, arXiv:2102.07723 [astro-ph.CO].
  • [886] A. Drew and E. P. S. Shellard, “Radiation from global topological strings using adaptive mesh refinement: Methodology and massless modes,” Phys. Rev. D 105 no. 6, (2022) 063517, arXiv:1910.01718 [astro-ph.CO].
  • [887] A. Drew and E. P. S. Shellard, “Radiation from global topological strings using adaptive mesh refinement: Massive modes,” Phys. Rev. D 107 no. 4, (2023) 043507, arXiv:2211.10184 [astro-ph.CO].
  • [888] A. Drew, T. Kinowski, and E. P. S. Shellard, “Axion String Source Modelling,” arXiv:2312.07701 [astro-ph.CO]. – 631 –
  • [889] J. Baeza-Ballesteros, E. J. Copeland, D. G. Figueroa, and J. Lizarraga, “Gravitational Wave Emission from a Cosmic String Loop, I: Global Case,” arXiv:2308.08456 [astro-ph.CO].
  • [890] NANOGrav Collaboration, G. Agazie et al., “The NANOGrav 15 yr Data Set: Constraints on Supermassive Black Hole Binaries from the Gravitational-wave Background,” Astrophys. J. Lett. 952 no. 2, (2023) L37, arXiv:2306.16220 [astro-ph.HE].
  • [891] CMB-S4 Collaboration, K. N. Abazajian et al., “CMB-S4 Science Book, First Edition,” arXiv:1610.02743 [astro-ph.CO].
  • [892] LIGO Scientific, Virgo Collaboration, B. P. Abbott et al., “Constraints on cosmic strings using data from the first Advanced LIGO observing run,” Phys. Rev. D 97 no. 10, (2018) 102002, arXiv:1712.01168 [gr-qc].
  • [893] N. Yonemaru et al., “Searching for gravitational wave bursts from cosmic string cusps with the Parkes Pulsar Timing Array,” Mon. Not. Roy. Astron. Soc. 501 no. 1, (2021) 701–712, arXiv:2011.13490 [gr-qc].
  • [894] S. Babak et al., “The Mock LISA Data Challenges: From Challenge 1B to Challenge 3,” Class. Quant. Grav. 25 (2008) 184026, arXiv:0806.2110 [gr-qc].
  • [895] P. Auclair, S. Babak, H. Quelquejay Leclere, and D. A. Steer, “Cosmic string bursts in LISA,” Phys. Rev. D 108 no. 4, (2023) 043519, arXiv:2305.11653 [gr-qc].
  • [896] Q. Meijer, M. Lopez, D. Tsuna, and S. Caudill, “Gravitational-Wave Searches for Cosmic String Cusps in Einstein Telescope Data using Deep Learning,” Physical Review D 109 no. 2, (Jan., 2024) 022006, 2308.12323 [astro-ph, physics:gr-qc].
  • [897] F. Riva, “Low-Scale Leptogenesis and the Domain Wall Problem in Models with Discrete Flavor Symmetries,” Phys. Lett. B 690 (2010) 443–450, arXiv:1004.1177 [hep-ph].
  • [898] G. B. Gelmini, S. Pascoli, E. Vitagliano, and Y.-L. Zhou, “Gravitational wave signatures from discrete flavor symmetries,” JCAP 02 (2021) 032, arXiv:2009.01903 [hep-ph].
  • [899] R. A. Battye, A. Pilaftsis, and D. G. Viatic, “Domain wall constraints on two-Higgs-doublet models with Z2 symmetry,” Phys. Rev. D 102 no. 12, (2020) 123536, arXiv:2010.09840 [hep-ph].
  • [900] N. Arkani-Hamed, R. T. D’Agnolo, and H. D. Kim, “Weak scale as a trigger,” Phys. Rev. D 104 no. 9, (2021) 095014, arXiv:2012.04652 [hep-ph].
  • [901] Z. Chacko, H.-S. Goh, and R. Harnik, “The Twin Higgs: Natural electroweak breaking from mirror symmetry,” Phys. Rev. Lett. 96 (2006) 231802, arXiv:hep-ph/0506256.
  • [902] B. Batell and C. B. Verhaaren, “Breaking Mirror Twin Hypercharge,” JHEP 12 (2019) 010, arXiv:1904.10468 [hep-ph].
  • [903] L. Di Luzio, M. Redi, A. Strumia, and D. Teresi, “Coset Cosmology,” JHEP 06 (2019) 110, arXiv:1902.05933 [hep-ph].
  • [904] G. Panico and A. Wulzer, The Composite Nambu-Goldstone Higgs, vol. 913. Springer, 2016. arXiv:1506.01961 [hep-ph].
  • [905] A. Hebecker, J. Jaeckel, F. Rompineve, and L. T. Witkowski, “Gravitational Waves from Axion Monodromy,” JCAP 11 (2016) 003, arXiv:1606.07812 [hep-ph].
  • [906] T. Krajewski, J. H. Kwapisz, Z. Lalak, and M. Lewicki, “Stability of domain walls in models with asymmetric potentials,” Phys. Rev. D 104 no. 12, (2021) 123522, arXiv:2103.03225 [astro-ph.CO].
  • [907] E. Witten, “Constraints on Supersymmetry Breaking,” Nucl. Phys. B 202 (1982) 253.
  • [908] J. R. Ellis, K. Enqvist, D. V. Nanopoulos, K. A. Olive, M. Quiros, and F. Zwirner, “Problems for (2,0) Compactifications,” Phys. Lett. B 176 (1986) 403–408. – 632 –
  • [909] S. A. Abel, S. Sarkar, and P. L. White, “On the cosmological domain wall problem for the minimally extended supersymmetric standard model,” Nucl. Phys. B 454 (1995) 663–684, arXiv:hep-ph/9506359.
  • [910] G. R. Dvali and M. A. Shifman, “Domain walls in strongly coupled theories,” Phys. Lett. B 396 (1997) 64–69, arXiv:hep-th/9612128. [Erratum: Phys.Lett.B 407, 452 (1997)].
  • [910] G. R. Dvali and M. A. Shifman, “Domain walls in strongly coupled theories,” Phys. Lett. B 396 (1997) 64–69, arXiv:hep-th/9612128. [Erratum: Phys.Lett.B 407, 452 (1997)].
  • [911] A. Kovner, M. A. Shifman, and A. V. Smilga, “Domain walls in supersymmetric Yang-Mills theories,” Phys. Rev. D 56 (1997) 7978–7989, arXiv:hep-th/9706089.
  • [912] G. Lazarides, Q. Shafi, and T. F. Walsh, “Cosmic Strings and Domains in Unified Theories,” Nucl. Phys. B 195 (1982) 157–172.
  • [913] A. E. Everett and A. Vilenkin, “Left-right Symmetric Theories and Vacuum Domain Walls and Strings,” Nucl. Phys. B 207 (1982) 43–53.
  • [914] G. Lazarides and Q. Shafi, “Axion Models with No Domain Wall Problem,” Phys. Lett. B 115 (1982) 21–25.
  • [915] D. Bettoni and J. Rubio, “Hubble-induced phase transitions: Walls are not forever,” JCAP 01 (2020) 002, arXiv:1911.03484 [astro-ph.CO].
  • [916] D. Bettoni, A. Lopez-Eiguren, and J. Rubio, “Hubble-induced phase transitions on the lattice with applications to Ricci reheating,” JCAP 01 no. 01, (2022) 002, arXiv:2107.09671 [hep-ph].
  • [917] R. F. Dashen, “Some features of chiral symmetry breaking,” Phys. Rev. D 3 (1971) 1879–1889.
  • [918] B. Rai and G. Senjanovic, “Gravity and domain wall problem,” Phys. Rev. D 49 (1994) 2729–2733, arXiv:hep-ph/9301240.
  • [919] G. R. Dvali, Z. Tavartkiladze, and J. Nanobashvili, “Biased discrete symmetry and domain wall problem,” Phys. Lett. B 352 (1995) 214–219, arXiv:hep-ph/9411387.
  • [920] A. V. Smilga, “QCD at theta similar to pi,” Phys. Rev. D 59 (1999) 114021, arXiv:hep-ph/9805214.
  • [921] D. Gaiotto, Z. Komargodski, and N. Seiberg, “Time-reversal breaking in QCD4, walls, and dualities in 2 + 1 dimensions,” JHEP 01 (2018) 110, arXiv:1708.06806 [hep-th].
  • [922] N. Craig, I. Garcia Garcia, G. Koszegi, and A. McCune, “P not PQ,” JHEP 09 (2021) 130, arXiv:2012.13416 [hep-ph].
  • [923] M. C. Huang and P. Sikivie, “The Structure of Axionic Domain Walls,” Phys. Rev. D 32 (1985) 1560.
  • [924] J. Preskill, M. B. Wise, and F. Wilczek, “Cosmology of the Invisible Axion,” Phys. Lett. B 120 (1983) 127–132.
  • [925] L. F. Abbott and P. Sikivie, “A Cosmological Bound on the Invisible Axion,” Phys. Lett. B 120 (1983) 133–136.
  • [926] M. Dine, W. Fischler, and M. Srednicki, “A Simple Solution to the Strong CP Problem with a Harmless Axion,” Phys. Lett. B 104 (1981) 199–202.
  • [927] M. Dine and W. Fischler, “The Not So Harmless Axion,” Phys. Lett. B 120 (1983) 137–141.
  • [928] P. Arias, D. Cadamuro, M. Goodsell, J. Jaeckel, J. Redondo, and A. Ringwald, “WISPy Cold Dark Matter,” JCAP 06 (2012) 013, arXiv:1201.5902 [hep-ph].
  • [929] A. Ringwald, “Exploring the Role of Axions and Other WISPs in the Dark Universe,” Phys. Dark Univ. 1 (2012) 116–135, arXiv:1210.5081 [hep-ph].
  • [930] D. J. E. Marsh, “Axion Cosmology,” Phys. Rept. 643 (2016) 1–79, arXiv:1510.07633 [astro-ph.CO]. – 633 –
  • [931] M. Bauer, M. Neubert, and A. Thamm, “Collider Probes of Axion-Like Particles,” JHEP 12 (2017) 044, arXiv:1708.00443 [hep-ph].
  • [932] I. Brivio, M. B. Gavela, L. Merlo, K. Mimasu, J. M. No, R. del Rey, and V. Sanz, “ALPs Effective Field Theory and Collider Signatures,” Eur. Phys. J. C 77 no. 8, (2017) 572, arXiv:1701.05379 [hep-ph].
  • [933] X. Cid Vidal, A. Mariotti, D. Redigolo, F. Sala, and K. Tobioka, “New Axion Searches at Flavor Factories,” JHEP 01 (2019) 113, arXiv:1810.09452 [hep-ph]. [Erratum: JHEP 06, 141 (2020)].
  • [933] X. Cid Vidal, A. Mariotti, D. Redigolo, F. Sala, and K. Tobioka, “New Axion Searches at Flavor Factories,” JHEP 01 (2019) 113, arXiv:1810.09452 [hep-ph]. [Erratum: JHEP 06, 141 (2020)].
  • [934] M. Bauer, M. Neubert, S. Renner, M. Schnubel, and A. Thamm, “The Low-Energy Effective Theory of Axions and ALPs,” JHEP 04 (2021) 063, arXiv:2012.12272 [hep-ph].
  • [935] H.-S. Goh and M. Ibe, “R-axion detection at LHC,” JHEP 03 (2009) 049, arXiv:0810.5773 [hep-ph].
  • [936] B. Bellazzini, A. Mariotti, D. Redigolo, F. Sala, and J. Serra, “R-axion at colliders,” Phys. Rev. Lett. 119 no. 14, (2017) 141804, arXiv:1702.02152 [hep-ph].
  • [937] A. Belyaev, G. Cacciapaglia, H. Cai, T. Flacke, A. Parolini, and H. Serôdio, “Singlets in composite Higgs models in light of the LHC 750 GeV diphoton excess,” Phys. Rev. D 94 no. 1, (2016) 015004, arXiv:1512.07242 [hep-ph].
  • [938] L. Di Luzio, M. Giannotti, E. Nardi, and L. Visinelli, “The landscape of QCD axion models,” Phys. Rept. 870 (2020) 1–117, arXiv:2003.01100 [hep-ph].
  • [939] K. Choi, S. H. Im, and C. Sub Shin, “Recent Progress in the Physics of Axions and Axion-Like Particles,” Ann. Rev. Nucl. Part. Sci. 71 (2021) 225–252, arXiv:2012.05029 [hep-ph].
  • [940] C. A. J. O’Hare, “Cosmology of axion dark matter,” PoS COSMICWISPers (2024) 040, arXiv:2403.17697 [hep-ph].
  • [941] T. Hiramatsu, M. Kawasaki, K. Saikawa, and T. Sekiguchi, “Axion cosmology with long-lived domain walls,” JCAP 01 (2013) 001, arXiv:1207.3166 [hep-ph].
  • [942] B. Holdom and M. E. Peskin, “Raising the Axion Mass,” Nucl. Phys. B 208 (1982) 397–412.
  • [943] B. Holdom, “Strong QCD at High-energies and a Heavy Axion,” Phys. Lett. B 154 (1985) 316. [Erratum: Phys.Lett.B 156, 452 (1985)].
  • [943] B. Holdom, “Strong QCD at High-energies and a Heavy Axion,” Phys. Lett. B 154 (1985) 316. [Erratum: Phys.Lett.B 156, 452 (1985)].
  • [944] J. M. Flynn and L. Randall, “A Computation of the Small Instanton Contribution to the Axion Potential,” Nucl. Phys. B 293 (1987) 731–739.
  • [945] S. M. Barr and D. Seckel, “Planck scale corrections to axion models,” Phys. Rev. D 46 (1992) 539–549.
  • [946] M. Kamionkowski and J. March-Russell, “Are textures natural?,” Phys. Rev. Lett. 69 (1992) 1485–1488, arXiv:hep-th/9201063.
  • [947] M. Kamionkowski and J. March-Russell, “Planck scale physics and the Peccei-Quinn mechanism,” Phys. Lett. B 282 (1992) 137–141, arXiv:hep-th/9202003.
  • [948] R. Holman, S. D. H. Hsu, T. W. Kephart, E. W. Kolb, R. Watkins, and L. M. Widrow, “Solutions to the strong CP problem in a world with gravity,” Phys. Lett. B 282 (1992) 132–136, arXiv:hep-ph/9203206.
  • [949] Z. G. Berezhiani, R. N. Mohapatra, and G. Senjanovic, “Planck scale physics and solutions to the strong CP problem without axion,” Phys. Rev. D 47 (1993) 5565–5570, arXiv:hep-ph/9212318.
  • [950] S. Ghigna, M. Lusignoli, and M. Roncadelli, “Instability of the invisible axion,” Phys. Lett. B 283 (1992) 278–281. – 634 –
  • [951] G. Senjanovic, “Discrete symmetries, strong CP problem and gravity,” in 4th Hellenic School on Elementary Particle Physics. 5, 1993. arXiv:hep-ph/9311371.
  • [952] B. A. Dobrescu, “The Strong CP problem versus Planck scale physics,” Phys. Rev. D 55 (1997) 5826–5833, arXiv:hep-ph/9609221.
  • [953] V. A. Rubakov, “Grand unification and heavy axion,” JETP Lett. 65 (1997) 621–624, arXiv:hep-ph/9703409.
  • [954] K. Choi and H. D. Kim, “Small instanton contribution to the axion potential in supersymmetric models,” Phys. Rev. D 59 (1999) 072001, arXiv:hep-ph/9809286.
  • [955] Z. Berezhiani, L. Gianfagna, and M. Giannotti, “Strong CP problem and mirror world: The Weinberg-Wilczek axion revisited,” Phys. Lett. B 500 (2001) 286–296, arXiv:hep-ph/0009290.
  • [956] T. Banks and N. Seiberg, “Symmetries and Strings in Field Theory and Gravity,” Phys. Rev. D 83 (2011) 084019, arXiv:1011.5120 [hep-th].
  • [957] A. Hook, “Anomalous solutions to the strong CP problem,” Phys. Rev. Lett. 114 no. 14, (2015) 141801, arXiv:1411.3325 [hep-ph].
  • [958] H. Fukuda, K. Harigaya, M. Ibe, and T. T. Yanagida, “Model of visible QCD axion,” Phys. Rev. D 92 no. 1, (2015) 015021, arXiv:1504.06084 [hep-ph].
  • [959] S. Dimopoulos, A. Hook, J. Huang, and G. Marques-Tavares, “A collider observable QCD axion,” JHEP 11 (2016) 052, arXiv:1606.03097 [hep-ph].
  • [960] P. Agrawal and K. Howe, “Factoring the Strong CP Problem,” JHEP 12 (2018) 029, arXiv:1710.04213 [hep-ph].
  • [961] M. K. Gaillard, M. B. Gavela, R. Houtz, P. Quilez, and R. Del Rey, “Color unified dynamical axion,” Eur. Phys. J. C 78 no. 11, (2018) 972, arXiv:1805.06465 [hep-ph].
  • [962] R. Zambujal Ferreira, A. Notari, O. Pujolàs, and F. Rompineve, “High Quality QCD Axion at Gravitational Wave Observatories,” Phys. Rev. Lett. 128 no. 14, (2022) 141101, arXiv:2107.07542 [hep-ph].
  • [963] R. Z. Ferreira, A. Notari, O. Pujolas, and F. Rompineve, “Gravitational waves from domain walls in Pulsar Timing Array datasets,” JCAP 02 (2023) 001, arXiv:2204.04228 [astro-ph.CO].
  • [964] Y. Jiang and Q.-G. Huang, “Implications for cosmic domain walls from the first three observing runs of LIGO-Virgo,” Phys. Rev. D 106 no. 10, (2022) 103036, arXiv:2208.00697 [astro-ph.CO].
  • [965] S. Blasi, A. Mariotti, A. Rase, A. Sevrin, and K. Turbang, “Friction on ALP domain walls and gravitational waves,” JCAP 04 (2023) 008, arXiv:2210.14246 [hep-ph].
  • [966] S. Blasi, A. Mariotti, A. Rase, and A. Sevrin, “Axionic domain walls at Pulsar Timing Arrays: QCD bias and particle friction,” JHEP 11 (2023) 169, arXiv:2306.17830 [hep-ph].
  • [967] C. Caprini, O. Pujolàs, H. Quelquejay-Leclere, F. Rompineve, and D. A. Steer, “Primordial gravitational wave backgrounds from phase transitions with next generation ground based detectors,” Class. Quant. Grav. 42 no. 4, (2025) 045015, arXiv:2406.02359 [astro-ph.CO].
  • [968] Y. B. Zeldovich, I. Y. Kobzarev, and L. B. Okun, “Cosmological Consequences of the Spontaneous Breakdown of Discrete Symmetry,” Zh. Eksp. Teor. Fiz. 67 (1974) 3–11.
  • [969] A. Vilenkin, “Gravitational Field of Vacuum Domain Walls and Strings,” Phys. Rev. D 23 (1981) 852–857. – 635 –
  • [970] S. Ramazanov, E. Babichev, D. Gorbunov, and A. Vikman, “Beyond freeze-in: Dark matter via inverse phase transition and gravitational wave signal,” Phys. Rev. D 105 no. 6, (2022) 063530, arXiv:2104.13722 [hep-ph].
  • [971] E. Babichev, D. Gorbunov, S. Ramazanov, and A. Vikman, “Gravitational shine of dark domain walls,” JCAP 04 no. 04, (2022) 028, arXiv:2112.12608 [hep-ph].
  • [972] I. Dankovsky, S. Ramazanov, E. Babichev, D. Gorbunov, and A. Vikman, “Numerical analysis of melting domain walls and their gravitational waves,” JCAP 02 (2025) 064, arXiv:2410.21971 [hep-ph].
  • [973] T. Hiramatsu, M. Kawasaki, and K. Saikawa, “Gravitational Waves from Collapsing Domain Walls,” JCAP 05 (2010) 032, arXiv:1002.1555 [astro-ph.CO].
  • [974] T. Hiramatsu, M. Kawasaki, and K. Saikawa, “On the estimation of gravitational wave spectrum from cosmic domain walls,” JCAP 02 (2014) 031, arXiv:1309.5001 [astro-ph.CO].
  • [975] K. Saikawa, “A review of gravitational waves from cosmic domain walls,” Universe 3 no. 2, (2017) 40, arXiv:1703.02576 [hep-ph].
  • [976] N. Kitajima, J. Lee, K. Murai, F. Takahashi, and W. Yin, “Gravitational Waves from Domain Wall Collapse, and Application to Nanohertz Signals with QCD-coupled Axions,” arXiv:2306.17146 [hep-ph].
  • [977] R. Z. Ferreira, A. Notari, O. Pujolàs, and F. Rompineve, “Collapsing Domain Wall Networks: Impact on Pulsar Timing Arrays and Primordial Black Holes,” arXiv:2401.14331 [astro-ph.CO].
  • [978] B. Cyr, S. Cotterill, and R. Battye, “Near-Peak Spectrum of Gravitational Waves from Collapsing Domain Walls,” arXiv:2504.02076 [astro-ph.CO].
  • [979] A. Notari, F. Rompineve, and F. Torrenti, “The Spectrum of Gravitational Waves from Annihilating Domain Walls,” arXiv:2504.03636 [astro-ph.CO].
  • [980] E. Babichev, I. Dankovsky, D. Gorbunov, S. Ramazanov, and A. Vikman, “Biased domain walls: faster annihilation, weaker gravitational waves,” arXiv:2504.07902 [hep-ph].
  • [981] LISA Cosmology Working Group Collaboration, E. Bagui et al., “Primordial black holes and their gravitational-wave signatures,” arXiv:2310.19857 [astro-ph.CO].
  • [982] S. W. Hawking, “Black hole explosions,” Nature 248 (1974) 30–31.
  • [983] C. Boehm, A. Kobakhidze, C. A. J. O’hare, Z. S. C. Picker, and M. Sakellariadou, “Eliminating the LIGO bounds on primordial black hole dark matter,” JCAP 03 (2021) 078, arXiv:2008.10743 [astro-ph.CO].
  • [984] I. Musco, “Threshold for primordial black holes: Dependence on the shape of the cosmological perturbations,” Phys. Rev. D 100 no. 12, (2019) 123524, arXiv:1809.02127 [gr-qc].
  • [985] Y. B. Zel’dovich and I. D. Novikov, “The Hypothesis of Cores Retarded during Expansion and the Hot Cosmological Model,” Sov. Astron. 10 (1967) 602.
  • [986] S. Hawking, “Gravitationally collapsed objects of very low mass,” Mon. Not. Roy. Astron. Soc. 152 (1971) 75.
  • [987] G. F. Chapline, “Cosmological effects of primordial black holes,” Nature 253 no. 5489, (1975) 251–252.
  • [988] B. J. Carr, “The Primordial black hole mass spectrum,” Astrophys. J. 201 (1975) 1–19.
  • [989] I. Musco, J. C. Miller, and A. G. Polnarev, “Primordial black hole formation in the radiative era: Investigation of the critical nature of the collapse,” Class. Quant. Grav. 26 (2009) 235001, arXiv:0811.1452 [gr-qc]. – 636 –
  • [990] A. Escrivà, “PBH Formation from Spherically Symmetric Hydrodynamical Perturbations: A Review,” Universe 8 no. 2, (2022) 66, arXiv:2111.12693 [gr-qc].
  • [991] V. Atal, J. Garriga, and A. Marcos-Caballero, “Primordial black hole formation with non-Gaussian curvature perturbations,” JCAP 09 (2019) 073, arXiv:1905.13202 [astro-ph.CO].
  • [992] C.-M. Yoo, J.-O. Gong, and S. Yokoyama, “Abundance of primordial black holes with local non-Gaussianity in peak theory,” JCAP 09 (2019) 033, arXiv:1906.06790 [astro-ph.CO].
  • [993] S. Young, “Peaks and primordial black holes: the effect of non-Gaussianity,” JCAP 05 no. 05, (2022) 037, arXiv:2201.13345 [astro-ph.CO].
  • [994] G. Ferrante, G. Franciolini, A. Iovino, Junior., and A. Urbano, “Primordial non-Gaussianity up to all orders: Theoretical aspects and implications for primordial black hole models,” Phys. Rev. D 107 no. 4, (2023) 043520, arXiv:2211.01728 [astro-ph.CO].
  • [995] A. D. Gow, H. Assadullahi, J. H. P. Jackson, K. Koyama, V. Vennin, and D. Wands, “Non-perturbative non-Gaussianity and primordial black holes,” EPL 142 no. 4, (2023) 49001, arXiv:2211.08348 [astro-ph.CO].
  • [996] S. Pi and M. Sasaki, “Logarithmic Duality of the Curvature Perturbation,” Phys. Rev. Lett. 131 no. 1, (2023) 011002, arXiv:2211.13932 [astro-ph.CO].
  • [997] V. De Luca, G. Franciolini, A. Kehagias, M. Peloso, A. Riotto, and C. Ünal, “The Ineludible non-Gaussianity of the Primordial Black Hole Abundance,” JCAP 07 (2019) 048, arXiv:1904.00970 [astro-ph.CO].
  • [998] S. Young, I. Musco, and C. T. Byrnes, “Primordial black hole formation and abundance: contribution from the non-linear relation between the density and curvature perturbation,” JCAP 11 (2019) 012, arXiv:1904.00984 [astro-ph.CO].
  • [999] C. Germani and R. K. Sheth, “Nonlinear statistics of primordial black holes from Gaussian curvature perturbations,” Phys. Rev. D 101 no. 6, (2020) 063520, arXiv:1912.07072 [astro-ph.CO].
  • [1000] G. Franciolini, I. Musco, P. Pani, and A. Urbano, “From inflation to black hole mergers and back again: Gravitational-wave data-driven constraints on inflationary scenarios with a first-principle model of primordial black holes across the QCD epoch,” Phys. Rev. D 106 no. 12, (2022) 123526, arXiv:2209.05959 [astro-ph.CO].
  • [1001] I. Musco, J. C. Miller, and L. Rezzolla, “Computations of primordial black hole formation,” Class. Quant. Grav. 22 (2005) 1405–1424, arXiv:gr-qc/0412063.
  • [1002] A. Escrivà, C. Germani, and R. K. Sheth, “Universal threshold for primordial black hole formation,” Phys. Rev. D 101 no. 4, (2020) 044022, arXiv:1907.13311 [gr-qc].
  • [1003] C.-M. Yoo, T. Harada, and H. Okawa, “Threshold of Primordial Black Hole Formation in Nonspherical Collapse,” Phys. Rev. D 102 no. 4, (2020) 043526, arXiv:2004.01042 [gr-qc]. [Erratum: Phys.Rev.D 107, 049901 (2023)].
  • [1003] C.-M. Yoo, T. Harada, and H. Okawa, “Threshold of Primordial Black Hole Formation in Nonspherical Collapse,” Phys. Rev. D 102 no. 4, (2020) 043526, arXiv:2004.01042 [gr-qc]. [Erratum: Phys.Rev.D 107, 049901 (2023)].
  • [1004] I. Musco, V. De Luca, G. Franciolini, and A. Riotto, “Threshold for primordial black holes. II. A simple analytic prescription,” Phys. Rev. D 103 no. 6, (2021) 063538, arXiv:2011.03014 [astro-ph.CO].
  • [1005] M. W. Choptuik, “Universality and scaling in gravitational collapse of a massless scalar field,” Phys. Rev. Lett. 70 (1993) 9–12.
  • [1006] C. R. Evans and J. S. Coleman, “Observation of critical phenomena and selfsimilarity in the gravitational collapse of radiation fluid,” Phys. Rev. Lett. 72 (1994) 1782–1785, arXiv:gr-qc/9402041. – 637 –
  • [1007] J. C. Niemeyer and K. Jedamzik, “Near-critical gravitational collapse and the initial mass function of primordial black holes,” Phys. Rev. Lett. 80 (1998) 5481–5484, arXiv:astro-ph/9709072.
  • [1008] A. M. Green and A. R. Liddle, “Critical collapse and the primordial black hole initial mass function,” Phys. Rev. D 60 (1999) 063509, arXiv:astro-ph/9901268.
  • [1009] K. Tomita, “Evolution of Irregularities in a Chaotic Early Universe,” Prog. Theor. Phys. 54 (1975) 730.
  • [1010] S. Matarrese, O. Pantano, and D. Saez, “General relativistic dynamics of irrotational dust: Cosmological implications,” Phys. Rev. Lett. 72 (1994) 320–323, arXiv:astro-ph/9310036.
  • [1011] V. Acquaviva, N. Bartolo, S. Matarrese, and A. Riotto, “Second order cosmological perturbations from inflation,” Nucl. Phys. B 667 (2003) 119–148, arXiv:astro-ph/0209156.
  • [1012] S. Mollerach, D. Harari, and S. Matarrese, “CMB polarization from secondary vector and tensor modes,” Phys. Rev. D 69 (2004) 063002, arXiv:astro-ph/0310711.
  • [1013] C. Carbone and S. Matarrese, “A Unified treatment of cosmological perturbations from super-horizon to small scales,” Phys. Rev. D 71 (2005) 043508, arXiv:astro-ph/0407611.
  • [1014] K. N. Ananda, C. Clarkson, and D. Wands, “The Cosmological gravitational wave background from primordial density perturbations,” Phys. Rev. D 75 (2007) 123518, arXiv:gr-qc/0612013.
  • [1015] D. Baumann, P. J. Steinhardt, K. Takahashi, and K. Ichiki, “Gravitational Wave Spectrum Induced by Primordial Scalar Perturbations,” Phys. Rev. D 76 (2007) 084019, arXiv:hep-th/0703290.
  • [1016] S. Wang, T. Terada, and K. Kohri, “Prospective constraints on the primordial black hole abundance from the stochastic gravitational-wave backgrounds produced by coalescing events and curvature perturbations,” Phys. Rev. D 99 no. 10, (2019) 103531, arXiv:1903.05924 [astro-ph.CO]. [Erratum: Phys.Rev.D 101, 069901 (2020)].
  • [1016] S. Wang, T. Terada, and K. Kohri, “Prospective constraints on the primordial black hole abundance from the stochastic gravitational-wave backgrounds produced by coalescing events and curvature perturbations,” Phys. Rev. D 99 no. 10, (2019) 103531, arXiv:1903.05924 [astro-ph.CO]. [Erratum: Phys.Rev.D 101, 069901 (2020)].
  • [1017] G. Domènech, “Scalar Induced Gravitational Waves Review,” Universe 7 no. 11, (2021) 398, arXiv:2109.01398 [gr-qc].
  • [1018] J. R. Espinosa, D. Racco, and A. Riotto, “A Cosmological Signature of the SM Higgs Instability: Gravitational Waves,” JCAP 09 (2018) 012, arXiv:1804.07732 [hep-ph].
  • [1019] K. Kohri and T. Terada, “Semianalytic calculation of gravitational wave spectrum nonlinearly induced from primordial curvature perturbations,” Phys. Rev. D 97 no. 12, (2018) 123532, arXiv:1804.08577 [gr-qc].
  • [1020] C. Caprini, R. Durrer, T. Konstandin, and G. Servant, “General Properties of the Gravitational Wave Spectrum from Phase Transitions,” Phys. Rev. D 79 (2009) 083519, arXiv:0901.1661 [astro-ph.CO].
  • [1021] R.-G. Cai, S. Pi, and M. Sasaki, “Universal infrared scaling of gravitational wave background spectra,” Phys. Rev. D 102 no. 8, (2020) 083528, arXiv:1909.13728 [astro-ph.CO].
  • [1022] A. Hook, G. Marques-Tavares, and D. Racco, “Causal gravitational waves as a probe of free streaming particles and the expansion of the Universe,” JHEP 02 (2021) 117, arXiv:2010.03568 [hep-ph].
  • [1023] D. Brzeminski, A. Hook, and G. Marques-Tavares, “Precision early universe cosmology from stochastic gravitational waves,” JHEP 11 (2022) 061, arXiv:2203.13842 [hep-ph].
  • [1024] M. Loverde and Z. J. Weiner, “Probing neutrino interactions and dark radiation with gravitational waves,” JCAP 02 (2023) 064, arXiv:2208.11714 [astro-ph.CO]. – 638 –
  • [1025] J. A. de Freitas Pacheco, E. Kiritsis, M. Lucca, and J. Silk, “Quasiextremal primordial black holes are a viable dark matter candidate,” Phys. Rev. D 107 no. 12, (2023) 123525, arXiv:2301.13215 [astro-ph.CO].
  • [1026] A. Alexandre, G. Dvali, and E. Koutsangelas, “New Mass Window for Primordial Black Holes as Dark Matter from Memory Burden Effect,” arXiv:2402.14069 [hep-ph].
  • [1027] V. Thoss, A. Burkert, and K. Kohri, “Breakdown of Hawking Evaporation opens new Mass Window for Primordial Black Holes as Dark Matter Candidate,” arXiv:2402.17823 [astro-ph.CO].
  • [1028] L. A. Anchordoqui, I. Antoniadis, and D. Lust, “More on Black Holes Perceiving the Dark Dimension,” arXiv:2403.19604 [hep-th].
  • [1029] G. Domènech, V. Takhistov, and M. Sasaki, “Exploring evaporating primordial black holes with gravitational waves,” Phys. Lett. B 823 (2021) 136722, arXiv:2105.06816 [astro-ph.CO].
  • [1030] G. Domènech and M. Sasaki, “Gravitational wave hints black hole remnants as dark matter,” Class. Quant. Grav. 40 no. 17, (2023) 177001, arXiv:2303.07661 [gr-qc].
  • [1031] S. W. Hawking, I. G. Moss, and J. M. Stewart, “Bubble Collisions in the Very Early Universe,” Phys. Rev. D 26 (1982) 2681.
  • [1032] H. Kodama, M. Sasaki, and K. Sato, “Abundance of Primordial Holes Produced by Cosmological First Order Phase Transition,” Prog. Theor. Phys. 68 (1982) 1979.
  • [1033] M. Lewicki, P. Toczek, and V. Vaskonen, “Primordial black holes from strong first-order phase transitions,” JHEP 09 (2023) 092, arXiv:2305.04924 [astro-ph.CO].
  • [1034] K. Dimopoulos, T. Markkanen, A. Racioppi, and V. Vaskonen, “Primordial Black Holes from Thermal Inflation,” JCAP 07 (2019) 046, arXiv:1903.09598 [astro-ph.CO].
  • [1035] J. Liu, L. Bian, R.-G. Cai, Z.-K. Guo, and S.-J. Wang, “Primordial black hole production during first-order phase transitions,” Phys. Rev. D 105 no. 2, (2022) L021303, arXiv:2106.05637 [astro-ph.CO].
  • [1036] K. Kawana, T. Kim, and P. Lu, “PBH formation from overdensities in delayed vacuum transitions,” Phys. Rev. D 108 no. 10, (2023) 103531, arXiv:2212.14037 [astro-ph.CO].
  • [1037] Y. Gouttenoire and T. Volansky, “Primordial Black Holes from Supercooled Phase Transitions,” arXiv:2305.04942 [hep-ph].
  • [1038] M. Lewicki, P. Toczek, and V. Vaskonen, “Black holes and gravitational waves from slow phase transitions,” arXiv:2402.04158 [astro-ph.CO].
  • [1039] E. Tomberg, “Stochastic constant-roll inflation and primordial black holes,” Phys. Rev. D 108 no. 4, (2023) 043502, arXiv:2304.10903 [astro-ph.CO].
  • [1040] J. Garriga, A. Vilenkin, and J. Zhang, “Black holes and the multiverse,” JCAP 02 (2016) 064, arXiv:1512.01819 [hep-th].
  • [1041] H. Deng, J. Garriga, and A. Vilenkin, “Primordial black hole and wormhole formation by domain walls,” JCAP 04 (2017) 050, arXiv:1612.03753 [gr-qc].
  • [1042] T. Vachaspati, “Lunar Mass Black Holes from QCD Axion Cosmology,” arXiv:1706.03868 [hep-th].
  • [1043] F. Ferrer, E. Masso, G. Panico, O. Pujolas, and F. Rompineve, “Primordial Black Holes from the QCD axion,” Phys. Rev. Lett. 122 no. 10, (2019) 101301, arXiv:1807.01707 [hep-ph].
  • [1044] G. B. Gelmini, A. Simpson, and E. Vitagliano, “Catastrogenesis: DM, GWs, and PBHs from ALP string-wall networks,” JCAP 02 (2023) 031, arXiv:2207.07126 [hep-ph]. – 639 –
  • [1045] O. Pujolas and G. Zahariade, “Domain wall annihilation: A QFT perspective,” Phys. Rev. D 107 no. 12, (2023) 123527, arXiv:2212.11204 [hep-th].
  • [1046] G. B. Gelmini, J. Hyman, A. Simpson, and E. Vitagliano, “Primordial black hole dark matter from catastrogenesis with unstable pseudo-Goldstone bosons,” JCAP 06 (2023) 055, arXiv:2303.14107 [hep-ph].
  • [1047] D. I. Dunsky and M. Kongsore, “Primordial Black Holes from Axion Domain Wall Collapse,” arXiv:2402.03426 [hep-ph].
  • [1048] C.-F. Chang and Y. Cui, “Dynamics of Long-lived Axion Domain Walls and Its Cosmological Implications,” arXiv:2309.15920 [hep-ph].
  • [1049] T. Clifton, P. G. Ferreira, A. Padilla, and C. Skordis, “Modified Gravity and Cosmology,” Phys. Rept. 513 (2012) 1–189, arXiv:1106.2476 [astro-ph.CO].
  • [1050] L. Perivolaropoulos, “PPN Parameter gamma and Solar System Constraints of Massive Brans-Dicke Theories,” Phys. Rev. D 81 (2010) 047501, arXiv:0911.3401 [gr-qc].
  • [1051] M. Hohmann, L. Jarv, P. Kuusk, and E. Randla, “Post-Newtonian parameters γ and β of scalar-tensor gravity with a general potential,” Phys. Rev. D 88 no. 8, (2013) 084054, arXiv:1309.0031 [gr-qc]. [Erratum: Phys.Rev.D 89, 069901 (2014)].
  • [1051] M. Hohmann, L. Jarv, P. Kuusk, and E. Randla, “Post-Newtonian parameters γ and β of scalar-tensor gravity with a general potential,” Phys. Rev. D 88 no. 8, (2013) 084054, arXiv:1309.0031 [gr-qc]. [Erratum: Phys.Rev.D 89, 069901 (2014)].
  • [1052] L. Järv, P. Kuusk, M. Saal, and O. Vilson, “Invariant quantities in the scalar-tensor theories of gravitation,” Phys. Rev. D 91 no. 2, (2015) 024041, arXiv:1411.1947 [gr-qc].
  • [1053] S. Nojiri and S. D. Odintsov, “Newton potential in deSitter brane world,” Phys. Lett. B 548 (2002) 215–223, arXiv:hep-th/0209066.
  • [1054] M. Kaminski, K. Landsteiner, J. Mas, J. P. Shock, and J. Tarrio, “Holographic Operator Mixing and Quasinormal Modes on the Brane,” JHEP 02 (2010) 021, arXiv:0911.3610 [hep-th].
  • [1055] N. Arkani-Hamed, S. Dimopoulos, and G. R. Dvali, “Phenomenology, astrophysics and cosmology of theories with submillimeter dimensions and TeV scale quantum gravity,” Phys. Rev. D 59 (1999) 086004, arXiv:hep-ph/9807344.
  • [1056] L. Perivolaropoulos and C. Sourdis, “Cosmological effects of radion oscillations,” Phys. Rev. D 66 (2002) 084018, arXiv:hep-ph/0204155.
  • [1057] C. P. L. Berry and J. R. Gair, “Linearized f(R) Gravity: Gravitational Radiation and Solar System Tests,” Phys. Rev. D 83 (2011) 104022, arXiv:1104.0819 [gr-qc]. [Erratum: Phys.Rev.D 85, 089906 (2012)].
  • [1057] C. P. L. Berry and J. R. Gair, “Linearized f(R) Gravity: Gravitational Radiation and Solar System Tests,” Phys. Rev. D 83 (2011) 104022, arXiv:1104.0819 [gr-qc]. [Erratum: Phys.Rev.D 85, 089906 (2012)].
  • [1058] S. Capozziello, G. Lambiase, M. Sakellariadou, and A. Stabile, “Constraining models of extended gravity using Gravity Probe B and LARES experiments,” Phys. Rev. D 91 no. 4, (2015) 044012, arXiv:1410.8316 [gr-qc].
  • [1059] T. Damour and A. M. Polyakov, “String theory and gravity,” Gen. Rel. Grav. 26 (1994) 1171–1176, arXiv:gr-qc/9411069.
  • [1060] M. Gasperini and G. Veneziano, “Dilaton production in string cosmology,” Phys. Rev. D 50 (1994) 2519–2540, arXiv:gr-qc/9403031.
  • [1061] M. Schelke, R. Catena, N. Fornengo, A. Masiero, and M. Pietroni, “Constraining pre Big-Bang-Nucleosynthesis Expansion using Cosmic Antiprotons,” Phys. Rev. D 74 (2006) 083505, arXiv:hep-ph/0605287.
  • [1062] R. Catena, N. Fornengo, M. Pato, L. Pieri, and A. Masiero, “Thermal Relics in Modified Cosmologies: Bounds on Evolution Histories of the Early Universe and Cosmological Boosts for PAMELA,” Phys. Rev. D 81 (2010) 123522, arXiv:0912.4421 [astro-ph.CO].
  • [1063] R. Allahverdi et al., “The First Three Seconds: a Review of Possible Expansion Histories of the Early Universe,” arXiv:2006.16182 [astro-ph.CO]. – 640 –
  • [1064] M. Kawasaki, K. Kohri, and N. Sugiyama, “MeV scale reheating temperature and thermalization of neutrino background,” Phys. Rev. D 62 (2000) 023506, arXiv:astro-ph/0002127.
  • [1065] S. Hannestad, “What is the lowest possible reheating temperature?,” Phys. Rev. D 70 (2004) 043506, arXiv:astro-ph/0403291.
  • [1066] P. F. de Salas, M. Lattanzi, G. Mangano, G. Miele, S. Pastor, and O. Pisanti, “Bounds on very low reheating scenarios after Planck,” Phys. Rev. D 92 no. 12, (2015) 123534, arXiv:1511.00672 [astro-ph.CO].
  • [1067] N. Bernal, A. Ghoshal, F. Hajkarim, and G. Lambiase, “Primordial Gravitational Wave Signals in Modified Cosmologies,” JCAP 11 (2020) 051, arXiv:2008.04959 [gr-qc].
  • [1068] N. Bernal and F. Hajkarim, “Primordial Gravitational Waves in Nonstandard Cosmologies,” Phys. Rev. D 100 no. 6, (2019) 063502, arXiv:1905.10410 [astro-ph.CO].
  • [1069] Y. Gouttenoire, G. Servant, and P. Simakachorn, “BSM with Cosmic Strings: Heavy, up to EeV mass, Unstable Particles,” JCAP 07 (2020) 016, arXiv:1912.03245 [hep-ph].
  • [1070] A. Ghoshal, Y. Gouttenoire, L. Heurtier, and P. Simakachorn, “Primordial black hole archaeology with gravitational waves from cosmic strings,” JHEP 08 (2023) 196, arXiv:2304.04793 [hep-ph].
  • [1071] D. G. Figueroa and E. H. Tanin, “Ability of LIGO and LISA to probe the equation of state of the early Universe,” JCAP 08 (2019) 011, arXiv:1905.11960 [astro-ph.CO].
  • [1072] Y. Gouttenoire, G. Servant, and P. Simakachorn, “Kination cosmology from scalar fields and gravitational-wave signatures,” arXiv:2111.01150 [hep-ph].
  • [1073] Y. Gouttenoire, G. Servant, and P. Simakachorn, “Revealing the Primordial Irreducible Inflationary Gravitational-Wave Background with a Spinning Peccei-Quinn Axion,” arXiv:2108.10328 [hep-ph].
  • [1074] R. T. Co, D. Dunsky, N. Fernandez, A. Ghalsasi, L. J. Hall, K. Harigaya, and J. Shelton, “Gravitational wave and CMB probes of axion kination,” JHEP 09 (2022) 116, arXiv:2108.09299 [hep-ph].
  • [1075] H. Duval, S. Kuroyanagi, A. Mariotti, A. Romero-Rodrı́guez, and M. Sakellariadou, “Investigating cosmic histories with a stiff era through Gravitational Waves,” arXiv:2405.10201 [gr-qc].
  • [1076] Y. Cui, M. Lewicki, D. E. Morrissey, and J. D. Wells, “Cosmic Archaeology with Gravitational Waves from Cosmic Strings,” Phys. Rev. D 97 no. 12, (2018) 123505, arXiv:1711.03104 [hep-ph].
  • [1077] Y. Cui, M. Lewicki, D. E. Morrissey, and J. D. Wells, “Probing the pre-BBN universe with gravitational waves from cosmic strings,” JHEP 01 (2019) 081, arXiv:1808.08968 [hep-ph].
  • [1078] Y. Cui, M. Lewicki, and D. E. Morrissey, “Gravitational Wave Bursts as Harbingers of Cosmic Strings Diluted by Inflation,” Phys. Rev. Lett. 125 no. 21, (2020) 211302, arXiv:1912.08832 [hep-ph].
  • [1079] D. Racco and D. Poletti, “Precision cosmology with primordial GW backgrounds in presence of astrophysical foregrounds,” JCAP 04 (2023) 054, arXiv:2212.06602 [astro-ph.CO].
  • [1080] G. Franciolini, D. Racco, and F. Rompineve, “Footprints of the QCD Crossover on Cosmological Gravitational Waves at Pulsar Timing Arrays,” Phys. Rev. Lett. 132 no. 8, (2024) 081001, arXiv:2306.17136 [astro-ph.CO].
  • [1081] P. Simakachorn, Charting Cosmological History and New Particle Physics with Primordial Gravitational Waves. PhD thesis, U. Hamburg (main), Hamburg U., 2022. – 641 –
  • [1082] J. Fumagalli, S. Renaux-Petel, and L. T. Witkowski, “Oscillations in the stochastic gravitational wave background from sharp features and particle production during inflation,” JCAP 08 (2021) 030, arXiv:2012.02761 [astro-ph.CO].
  • [1083] M. Braglia, X. Chen, and D. K. Hazra, “Probing Primordial Features with the Stochastic Gravitational Wave Background,” JCAP 03 (2021) 005, arXiv:2012.05821 [astro-ph.CO].
  • [1084] J. Fumagalli, S. e. Renaux-Petel, and L. T. Witkowski, “Resonant features in the stochastic gravitational wave background,” JCAP 08 (2021) 059, arXiv:2105.06481 [astro-ph.CO].
  • [1085] A. Slosar et al., “Scratches from the Past: Inflationary Archaeology through Features in the Power Spectrum of Primordial Fluctuations,” Bull. Am. Astron. Soc. 51 no. 3, (2019) 98, arXiv:1903.09883 [astro-ph.CO].
  • [1086] J. Chluba, J. Hamann, and S. P. Patil, “Features and New Physical Scales in Primordial Observables: Theory and Observation,” Int. J. Mod. Phys. D 24 no. 10, (2015) 1530023, arXiv:1505.01834 [astro-ph.CO].
  • [1087] A. Achúcarro et al., “Inflation: Theory and Observations,” arXiv:2203.08128 [astro-ph.CO].
  • [1088] A. A. Starobinsky, “Spectrum of adiabatic perturbations in the universe when there are singularities in the inflation potential,” JETP Lett. 55 (1992) 489–494.
  • [1089] J. A. Adams, B. Cresswell, and R. Easther, “Inflationary perturbations from a potential with a step,” Phys. Rev. D 64 (2001) 123514, arXiv:astro-ph/0102236.
  • [1090] X. Chen, R. Easther, and E. A. Lim, “Large Non-Gaussianities in Single Field Inflation,” JCAP 06 (2007) 023, arXiv:astro-ph/0611645.
  • [1091] R. Bean, X. Chen, G. Hailu, S. H. H. Tye, and J. Xu, “Duality Cascade in Brane Inflation,” JCAP 03 (2008) 026, arXiv:0802.0491 [hep-th].
  • [1092] A. Achucarro, J.-O. Gong, S. Hardeman, G. A. Palma, and S. P. Patil, “Features of heavy physics in the CMB power spectrum,” JCAP 01 (2011) 030, arXiv:1010.3693 [hep-ph].
  • [1093] N. Bartolo, D. Cannone, and S. Matarrese, “The Effective Field Theory of Inflation Models with Sharp Features,” JCAP 10 (2013) 038, arXiv:1307.3483 [astro-ph.CO].
  • [1094] G. A. Palma, “Untangling features in the primordial spectra,” JCAP 04 (2015) 035, arXiv:1412.5615 [hep-th].
  • [1095] D. K. Hazra, A. Shafieloo, G. F. Smoot, and A. A. Starobinsky, “Inflation with Whip-Shaped Suppressed Scalar Power Spectra,” Phys. Rev. Lett. 113 no. 7, (2014) 071301, arXiv:1404.0360 [astro-ph.CO].
  • [1096] D. K. Hazra, A. Shafieloo, G. F. Smoot, and A. A. Starobinsky, “Wiggly Whipped Inflation,” JCAP 08 (2014) 048, arXiv:1405.2012 [astro-ph.CO].
  • [1097] D. K. Hazra, A. Shafieloo, G. F. Smoot, and A. A. Starobinsky, “Primordial features and Planck polarization,” JCAP 09 (2016) 009, arXiv:1605.02106 [astro-ph.CO].
  • [1098] A. Ashoorioon, A. Krause, and K. Turzynski, “Energy Transfer in Multi Field Inflation and Cosmological Perturbations,” JCAP 02 (2009) 014, arXiv:0810.4660 [hep-th].
  • [1099] S. Cespedes, V. Atal, and G. A. Palma, “On the importance of heavy fields during inflation,” JCAP 05 (2012) 008, arXiv:1201.4848 [hep-th].
  • [1100] G. A. Palma, S. Sypsas, and C. Zenteno, “Seeding primordial black holes in multifield inflation,” Phys. Rev. Lett. 125 no. 12, (2020) 121301, arXiv:2004.06106 [astro-ph.CO].
  • [1101] J. Fumagalli, S. Renaux-Petel, J. W. Ronayne, and L. T. Witkowski, “Turning in the landscape: A new mechanism for generating primordial black holes,” Phys. Lett. B 841 (2023) 137921, arXiv:2004.08369 [hep-th]. – 642 –
  • [1102] M. Park and L. Sorbo, “Sudden variations in the speed of sound during inflation: features in the power spectrum and bispectrum,” Phys. Rev. D 85 (2012) 083520, arXiv:1201.2903 [astro-ph.CO].
  • [1103] A. Achúcarro, J.-O. Gong, G. A. Palma, and S. P. Patil, “Correlating features in the primordial spectra,” Phys. Rev. D 87 no. 12, (2013) 121301, arXiv:1211.5619 [astro-ph.CO].
  • [1104] A. Achúcarro, V. Atal, P. Ortiz, and J. Torrado, “Localized correlated features in the CMB power spectrum and primordial bispectrum from a transient reduction in the speed of sound,” Phys. Rev. D 89 no. 10, (2014) 103006, arXiv:1311.2552 [astro-ph.CO].
  • [1105] G. Ballesteros, J. Beltrán Jiménez, and M. Pieroni, “Black hole formation from a general quadratic action for inflationary primordial fluctuations,” JCAP 06 (2019) 016, arXiv:1811.03065 [astro-ph.CO].
  • [1106] X. Chen, R. Easther, and E. A. Lim, “Generation and Characterization of Large Non-Gaussianities in Single Field Inflation,” JCAP 04 (2008) 010, arXiv:0801.3295 [astro-ph].
  • [1107] X. Chen, “Primordial Features as Evidence for Inflation,” JCAP 01 (2012) 038, arXiv:1104.1323 [hep-th].
  • [1108] X. Chen, “Fingerprints of Primordial Universe Paradigms as Features in Density Perturbations,” Phys. Lett. B 706 (2011) 111–115, arXiv:1106.1635 [astro-ph.CO].
  • [1109] G. Shiu and J. Xu, “Effective Field Theory and Decoupling in Multi-field Inflation: An Illustrative Case Study,” Phys. Rev. D 84 (2011) 103509, arXiv:1108.0981 [hep-th].
  • [1110] X. Gao, D. Langlois, and S. Mizuno, “Influence of heavy modes on perturbations in multiple field inflation,” JCAP 10 (2012) 040, arXiv:1205.5275 [hep-th].
  • [1111] X. Gao, D. Langlois, and S. Mizuno, “Oscillatory features in the curvature power spectrum after a sudden turn of the inflationary trajectory,” JCAP 10 (2013) 023, arXiv:1306.5680 [hep-th].
  • [1112] X. Chen, M. H. Namjoo, and Y. Wang, “Models of the Primordial Standard Clock,” JCAP 02 (2015) 027, arXiv:1411.2349 [astro-ph.CO].
  • [1113] R. Flauger, L. McAllister, E. Pajer, A. Westphal, and G. Xu, “Oscillations in the CMB from Axion Monodromy Inflation,” JCAP 06 (2010) 009, arXiv:0907.2916 [hep-th].
  • [1114] R. Flauger, L. McAllister, E. Silverstein, and A. Westphal, “Drifting Oscillations in Axion Monodromy,” JCAP 10 (2017) 055, arXiv:1412.1814 [hep-th].
  • [1115] S. R. Behbahani, A. Dymarsky, M. Mirbabayi, and L. Senatore, “(Small) Resonant non-Gaussianities: Signatures of a Discrete Shift Symmetry in the Effective Field Theory of Inflation,” JCAP 12 (2012) 036, arXiv:1111.3373 [hep-th].
  • [1116] S. Bhattacharya and I. Zavala, “Sharp turns in axion monodromy: primordial black holes and gravitational waves,” JCAP 04 (2023) 065, arXiv:2205.06065 [astro-ph.CO].
  • [1117] N. E. Mavromatos, V. C. Spanos, and I. D. Stamou, “Primordial black holes and gravitational waves in multiaxion-Chern-Simons inflation,” Phys. Rev. D 106 no. 6, (2022) 063532, arXiv:2206.07963 [hep-th].
  • [1118] X. Chen and C. Ringeval, “Searching for Standard Clocks in the Primordial Universe,” JCAP 08 (2012) 014, arXiv:1205.6085 [astro-ph.CO].
  • [1119] T. Battefeld, J. C. Niemeyer, and D. Vlaykov, “Probing Two-Field Open Inflation by Resonant Signals in Correlation Functions,” JCAP 05 (2013) 006, arXiv:1302.3877 [astro-ph.CO]. – 643 –
  • [1120] T. Noumi and M. Yamaguchi, “Primordial spectra from sudden turning trajectory,” JCAP 12 (2013) 038, arXiv:1307.7110 [hep-th].
  • [1121] R. Saito, M. Nakashima, Y.-i. Takamizu, and J. Yokoyama, “Resonant Signatures of Heavy Scalar Fields in the Cosmic Microwave Background,” JCAP 11 (2012) 036, arXiv:1206.2164 [astro-ph.CO].
  • [1122] R. Saito and Y.-i. Takamizu, “Localized Features in Non-Gaussianity from Heavy Physics,” JCAP 06 (2013) 031, arXiv:1303.3839 [astro-ph.CO].
  • [1123] X. Chen and M. H. Namjoo, “Standard Clock in Primordial Density Perturbations and Cosmic Microwave Background,” Phys. Lett. B 739 (2014) 285–292, arXiv:1404.1536 [astro-ph.CO].
  • [1124] Q.-G. Huang and S. Pi, “Power-law modulation of the scalar power spectrum from a heavy field with a monomial potential,” JCAP 04 (2018) 001, arXiv:1610.00115 [hep-th].
  • [1125] G. Domènech, J. Rubio, and J. Wons, “Mimicking features in alternatives to inflation with interacting spectator fields,” Phys. Lett. B 790 (2019) 263–269, arXiv:1811.08224 [astro-ph.CO].
  • [1126] M. Braglia, X. Chen, and D. K. Hazra, “Comparing multi-field primordial feature models with the Planck data,” JCAP 06 (2021) 005, arXiv:2103.03025 [astro-ph.CO].
  • [1127] M. Braglia, X. Chen, and D. K. Hazra, “Uncovering the history of cosmic inflation from anomalies in cosmic microwave background spectra,” Eur. Phys. J. C 82 no. 5, (2022) 498, arXiv:2106.07546 [astro-ph.CO].
  • [1128] M. Braglia, X. Chen, and D. K. Hazra, “Primordial standard clock models and CMB residual anomalies,” Phys. Rev. D 105 no. 10, (2022) 103523, arXiv:2108.10110 [astro-ph.CO].
  • [1129] L. T. Witkowski, G. Domènech, J. Fumagalli, and S. Renaux-Petel, “Expansion history-dependent oscillations in the scalar-induced gravitational wave background,” JCAP 05 no. 05, (2022) 028, arXiv:2110.09480 [astro-ph.CO].
  • [1130] J. Fumagalli, M. Pieroni, S. Renaux-Petel, and L. T. Witkowski, “Detecting primordial features with LISA,” JCAP 07 no. 07, (2022) 020, arXiv:2112.06903 [astro-ph.CO].
  • [1131] J. Fumagalli, G. A. Palma, S. Renaux-Petel, S. Sypsas, L. T. Witkowski, and C. Zenteno, “Primordial gravitational waves from excited states,” JHEP 03 (2022) 196, arXiv:2111.14664 [astro-ph.CO].
  • [1132] G. Calcagni and S. Kuroyanagi, “Log-periodic stochastic gravitational-wave background beyond Einstein gravity,” Class. Quantum Grav. 41 (8, 2023) 015031, arXiv:2308.05904 [gr-qc].
  • [1133] G. Calcagni, “Complex dimensions and their observability,” Phys. Rev. D 96 no. 4, (2017) 046001, arXiv:1705.01619 [gr-qc].
  • [1134] B. Derrida, L. de Seze, and C. Itzykson, “Fractal structure of zeros in hierarchical models,” Journal of Statistical Physics 33 no. 3, (Dec., 1983) 559–569.
  • [1135] B. Derrida, C. Itzykson, and J. M. Luck, “Oscillatory critical amplitudes in hierarchical models,” Communications in Mathematical Physics 94 no. 1, (Mar., 1984) 115–132.
  • [1136] A. Erzan and J.-P. Eckmann, “q-analysis of Fractal Sets,” Physical Review Letters 78 no. 17, (Apr., 1997) 3245–3248.
  • [1137] D. Bessis, J. S. Geronimo, and P. Moussa, “Meblin transforms associated with Julia sets and physical applications,” Journal of Statistical Physics 34 no. 1-2, (Jan., 1984) 75–110.
  • [1138] R. R. Nigmatullin and A. L. Mehaute, “Is there geometrical/physical meaning of the fractional integral with complex exponent?” Journal of Non-Crystalline Solids 351 no. 33, – 644 – (2005) 2888–2899. https://www.sciencedirect.com/science/article/pii/S0022309305004874.
  • [1139] B. F. Schutz, “Determining the Hubble Constant from Gravitational Wave Observations,” Nature 323 (1986) 310–311.
  • [1140] D. E. Holz and S. A. Hughes, “Using gravitational-wave standard sirens,” Astrophys. J. 629 (2005) 15–22, arXiv:astro-ph/0504616.
  • [1141] C. Messenger and J. Read, “Measuring a cosmological distance-redshift relationship using only gravitational wave observations of binary neutron star coalescences,” Phys. Rev. Lett. 108 (2012) 091101, arXiv:1107.5725 [gr-qc].
  • [1142] C. Bonvin, C. Caprini, R. Sturani, and N. Tamanini, “Effect of matter structure on the gravitational waveform,” Phys. Rev. D 95 no. 4, (2017) 044029, arXiv:1609.08093 [astro-ph.CO].
  • [1143] W. Del Pozzo, “Inference of the cosmological parameters from gravitational waves: application to second generation interferometers,” Phys. Rev. D 86 (2012) 043011, arXiv:1108.1317 [astro-ph.CO].
  • [1144] A. Finke, S. Foffa, F. Iacovelli, M. Maggiore, and M. Mancarella, “Cosmology with LIGO/Virgo dark sirens: Hubble parameter and modified gravitational wave propagation,” JCAP 08 (2021) 026, arXiv:2101.12660 [astro-ph.CO].
  • [1145] R. Gray, C. Messenger, and J. Veitch, “A pixelated approach to galaxy catalogue incompleteness: improving the dark siren measurement of the Hubble constant,” Mon. Not. Roy. Astron. Soc. 512 no. 1, (2022) 1127–1140, arXiv:2111.04629 [astro-ph.CO].
  • [1146] J. R. Gair et al., “The Hitchhiker’s Guide to the Galaxy Catalog Approach for Dark Siren Gravitational-wave Cosmology,” Astron. J. 166 no. 1, (2023) 22, arXiv:2212.08694 [gr-qc].
  • [1147] S. Mastrogiovanni, G. Pierra, S. Perriès, D. Laghi, G. Caneva Santoro, A. Ghosh, R. Gray, C. Karathanasis, and K. Leyde, “ICAROGW: A python package for inference of astrophysical population properties of noisy, heterogeneous, and incomplete observations,” Astron. Astrophys. 682 (2024) A167, arXiv:2305.17973 [astro-ph.CO].
  • [1148] N. Borghi, M. Mancarella, M. Moresco, M. Tagliazucchi, F. Iacovelli, A. Cimatti, and M. Maggiore, “Cosmology and Astrophysics with Standard Sirens and Galaxy Catalogs in View of Future Gravitational Wave Observations,” Astrophys. J. 964 no. 2, (2024) 191, arXiv:2312.05302 [astro-ph.CO].
  • [1149] D. F. Chernoff and L. S. Finn, “Gravitational radiation, inspiraling binaries, and cosmology,” Astrophys. J. Lett. 411 (1993) L5–L8, arXiv:gr-qc/9304020.
  • [1150] X. Ding, M. Biesiada, X. Zheng, K. Liao, Z. Li, and Z.-H. Zhu, “Cosmological inference from standard sirens without redshift measurements,” JCAP 04 (2019) 033, arXiv:1801.05073 [astro-ph.CO].
  • [1151] H. Leandro, V. Marra, and R. Sturani, “Measuring the Hubble constant with black sirens,” Phys. Rev. D 105 no. 2, (2022) 023523, arXiv:2109.07537 [gr-qc].
  • [1152] S. R. Taylor, J. R. Gair, and I. Mandel, “Hubble without the Hubble: Cosmology using advanced gravitational-wave detectors alone,” Phys. Rev. D 85 (2012) 023535, arXiv:1108.5161 [gr-qc].
  • [1153] S. R. Taylor and J. R. Gair, “Cosmology with the lights off: standard sirens in the Einstein Telescope era,” Phys. Rev. D 86 (2012) 023502, arXiv:1204.6739 [astro-ph.CO].
  • [1154] W. M. Farr, M. Fishbach, J. Ye, and D. Holz, “A Future Percent-Level Measurement of the Hubble Expansion at Redshift 0.8 With Advanced LIGO,” Astrophys. J. Lett. 883 no. 2, (2019) L42, arXiv:1908.09084 [astro-ph.CO]. – 645 –
  • [1155] M. Mancarella, E. Genoud-Prachex, and M. Maggiore, “Cosmology and modified gravitational wave propagation from binary black hole population models,” Phys. Rev. D 105 no. 6, (2022) 064030, arXiv:2112.05728 [gr-qc].
  • [1156] A. Finke, S. Foffa, F. Iacovelli, M. Maggiore, and M. Mancarella, “Modified gravitational wave propagation and the binary neutron star mass function,” Phys. Dark Univ. 36 (2022) 100994, arXiv:2108.04065 [gr-qc].
  • [1157] J. M. Ezquiaga and D. E. Holz, “Spectral Sirens: Cosmology from the Full Mass Distribution of Compact Binaries,” Phys. Rev. Lett. 129 no. 6, (2022) 061102, arXiv:2202.08240 [astro-ph.CO].
  • [1158] H.-Y. Chen, J. M. Ezquiaga, and I. Gupta, “Cosmography with next-generation gravitational wave detectors,” Class. Quant. Grav. 41 no. 12, (2024) 125004, arXiv:2402.03120 [gr-qc].
  • [1159] S. Mastrogiovanni, K. Leyde, C. Karathanasis, E. Chassande-Mottin, D. A. Steer, J. Gair, A. Ghosh, R. Gray, S. Mukherjee, and S. Rinaldi, “On the importance of source population models for gravitational-wave cosmology,” Phys. Rev. D 104 no. 6, (2021) 062009, arXiv:2103.14663 [gr-qc].
  • [1160] M. Moresco et al., “Unveiling the Universe with emerging cosmological probes,” Living Rev. Rel. 25 no. 1, (2022) 6, arXiv:2201.07241 [astro-ph.CO].
  • [1161] S. Mastrogiovanni, D. Laghi, R. Gray, G. C. Santoro, A. Ghosh, C. Karathanasis, K. Leyde, D. A. Steer, S. Perries, and G. Pierra, “Joint population and cosmological properties inference with gravitational waves standard sirens and galaxy surveys,” Phys. Rev. D 108 no. 4, (2023) 042002, arXiv:2305.10488 [astro-ph.CO].
  • [1162] R. Gray et al., “Joint cosmological and gravitational-wave population inference using dark sirens and galaxy catalogues,” JCAP 12 (2023) 023, arXiv:2308.02281 [astro-ph.CO].
  • [1163] LSST Collaboration, Ž. Ivezić et al., “LSST: from Science Drivers to Reference Design and Anticipated Data Products,” Astrophys. J. 873 no. 2, (2019) 111, arXiv:0805.2366 [astro-ph].
  • [1164] THESEUS Collaboration, G. Stratta et al., “THESEUS: a key space mission concept for Multi-Messenger Astrophysics,” Adv. Space Res. 62 (2018) 662–682, arXiv:1712.08153 [astro-ph.HE].
  • [1165] P. Rosati et al., “Synergies of THESEUS with the large facilities of the 2030s and guest observer opportunities,” Exper. Astron. 52 no. 3, (2021) 407–437, arXiv:2104.09535 [astro-ph.IM].
  • [1166] E. Belgacem, Y. Dirian, S. Foffa, E. J. Howell, M. Maggiore, and T. Regimbau, “Cosmology and dark energy from joint gravitational wave-GRB observations,” JCAP 08 (2019) 015, arXiv:1907.01487 [astro-ph.CO].
  • [1167] M. Vallisneri, “Use and abuse of the Fisher information matrix in the assessment of gravitational-wave parameter-estimation prospects,” Phys. Rev. D 77 (2008) 042001, arXiv:gr-qc/0703086.
  • [1168] F. Iacovelli, M. Mancarella, S. Foffa, and M. Maggiore, “Forecasting the Detection Capabilities of Third-generation Gravitational-wave Detectors Using GWFAST,” Astrophys. J. 941 no. 2, (2022) 208, arXiv:2207.02771 [gr-qc].
  • [1169] U. Dupletsa, J. Harms, K. K. Y. Ng, J. Tissino, F. Santoliquido, and A. Cozzumbo, “Validating Prior-informed Fisher-matrix Analyses against GWTC Data,” arXiv:2404.16103 [gr-qc].
  • [1170] M. Mancarella, F. Iacovelli, S. Foffa, N. Muttoni, and M. Maggiore, “Accurate Standard Siren Cosmology with Joint Gravitational-Wave and γ-Ray Burst Observations,” Phys. Rev. Lett. 133 no. 26, (2024) 261001, arXiv:2405.02286 [astro-ph.HE]. – 646 –
  • [1171] E. Belgacem, S. Foffa, M. Maggiore, and T. Yang, “Gaussian processes reconstruction of modified gravitational wave propagation,” Phys. Rev. D 101 no. 6, (2020) 063505, arXiv:1911.11497 [astro-ph.CO].
  • [1172] N. B. Hogg, M. Martinelli, and S. Nesseris, “Constraints on the distance duality relation with standard sirens,” JCAP 12 (2020) 019, arXiv:2007.14335 [astro-ph.CO].
  • [1173] A. Cozzumbo, U. Dupletsa, R. Calderón, R. Murgia, G. Oganesyan, and M. Branchesi, “Model-independent cosmology with joint observations of gravitational waves and γ-ray bursts,” JCAP 05 (2025) 021, arXiv:2411.02490 [astro-ph.CO].
  • [1174] I. S. Matos, M. Quartin, L. Amendola, M. Kunz, and R. Sturani, “A model-independent tripartite test of cosmic distance relations,” arXiv:2311.17176 [astro-ph.CO].
  • [1175] V. Alfradique, M. Quartin, L. Amendola, T. Castro, and A. Toubiana, “The lure of sirens: joint distance and velocity measurements with third-generation detectors,” Mon. Not. Roy. Astron. Soc. 517 no. 4, (2022) 5449–5462, arXiv:2205.14034 [astro-ph.CO].
  • [1176] S. Ronchini, M. Branchesi, G. Oganesyan, B. Banerjee, U. Dupletsa, G. Ghirlanda, J. Harms, M. Mapelli, and F. Santoliquido, “Perspectives for multimessenger astronomy with the next generation of gravitational-wave detectors and high-energy satellites,” Astron. Astrophys. 665 (2022) A97, arXiv:2204.01746 [astro-ph.HE].
  • [1177] L. Haemmerlé, L. Mayer, R. S. Klessen, T. Hosokawa, P. Madau, and V. Bromm, “Formation of the first stars and black holes,” Space Sci. Rev. 216 no. 4, (2020) 48, arXiv:2003.10533 [astro-ph.GA].
  • [1178] R. S. Klessen and S. C. O. Glover, “The First Stars: Formation, Properties, and Impact,” Ann. Rev/ Astron. Astrophys. 61 (Aug., 2023) 65–130, arXiv:2303.12500 [astro-ph.CO].
  • [1179] K. K. Y. Ng, S. Chen, B. Goncharov, U. Dupletsa, S. Borhanian, M. Branchesi, J. Harms, M. Maggiore, B. S. Sathyaprakash, and S. Vitale, “On the Single-event-based Identification of Primordial Black Hole Mergers at Cosmological Distances,” Astrophys. J. Lett. 931 no. 1, (2022) L12, arXiv:2108.07276 [astro-ph.CO].
  • [1180] K. K. Y. Ng et al., “Measuring properties of primordial black hole mergers at cosmological distances: Effect of higher order modes in gravitational waves,” Phys. Rev. D 107 no. 2, (2023) 024041, arXiv:2210.03132 [astro-ph.CO].
  • [1181] M. Mancarella, F. Iacovelli, and D. Gerosa, “Inferring, not just detecting: Metrics for high-redshift sources observed with third-generation gravitational-wave detectors,” Phys. Rev. D 107 no. 10, (2023) L101302, arXiv:2303.16323 [gr-qc].
  • [1182] S. Fairhurst, C. Mills, M. Colpi, R. Schneider, A. Sesana, A. Trinca, and R. Valiante, “Identifying heavy stellar black holes at cosmological distances with next-generation gravitational-wave observatories,” Mon. Not. Roy. Astron. Soc. 529 no. 3, (2024) 2116–2130, arXiv:2310.18158 [astro-ph.HE].
  • [1183] K. K. Y. Ng, G. Franciolini, E. Berti, P. Pani, A. Riotto, and S. Vitale, “Constraining High-redshift Stellar-mass Primordial Black Holes with Next-generation Ground-based Gravitational-wave Detectors,” Astrophys. J. Lett. 933 no. 2, (2022) L41, arXiv:2204.11864 [astro-ph.CO].
  • [1184] H.-Y. Chen, M. Fishbach, and D. E. Holz, “A two per cent Hubble constant measurement from standard sirens within five years,” Nature 562 no. 7728, (2018) 545–547, arXiv:1712.06531 [astro-ph.CO].
  • [1185] R. Gray et al., “Cosmological inference using gravitational wave standard sirens: A mock data analysis,” Phys. Rev. D 101 no. 12, (2020) 122001, arXiv:1908.06050 [gr-qc].
  • [1186] N. Muttoni, D. Laghi, N. Tamanini, S. Marsat, and D. Izquierdo-Villalba, “Dark siren – 647 – cosmology with binary black holes in the era of third-generation gravitational wave detectors,” Phys. Rev. D 108 no. 4, (2023) 043543, arXiv:2303.10693 [astro-ph.CO].
  • [1187] G. Dálya, G. Galgóczi, L. Dobos, Z. Frei, I. S. Heng, R. Macas, C. Messenger, P. Raffai, and R. S. de Souza, “GLADE: A galaxy catalogue for multimessenger searches in the advanced gravitational-wave detector era,” Mon. Not. Roy. Astron. Soc. 479 no. 2, (2018) 2374–2381, arXiv:1804.05709 [astro-ph.HE].
  • [1188] G. Dálya et al., “GLADE+ : an extended galaxy catalogue for multimessenger searches with advanced gravitational-wave detectors,” Mon. Not. Roy. Astron. Soc. 514 no. 1, (2022) 1403–1411, arXiv:2110.06184 [astro-ph.CO].
  • [1189] LIGO Scientific, Virgo Collaboration, M. Fishbach et al., “A Standard Siren Measurement of the Hubble Constant from GW170817 without the Electromagnetic Counterpart,” Astrophys. J. Lett. 871 no. 1, (2019) L13, arXiv:1807.05667 [astro-ph.CO].
  • [1190] LIGO Scientific, Virgo, VIRGO Collaboration, B. P. Abbott et al., “A Gravitational-wave Measurement of the Hubble Constant Following the Second Observing Run of Advanced LIGO and Virgo,” Astrophys. J. 909 no. 2, (2021) 218, arXiv:1908.06060 [astro-ph.CO].
  • [1191] K. Naveed, C. Turski, and A. Ghosh, “Dark standard siren cosmology with bright galaxy subsets,” arXiv:2505.11268 [astro-ph.CO].
  • [1192] DES, LIGO Scientific, Virgo Collaboration, M. Soares-Santos et al., “First Measurement of the Hubble Constant from a Dark Standard Siren using the Dark Energy Survey Galaxies and the LIGO/Virgo Binary–Black-hole Merger GW170814,” Astrophys. J. Lett. 876 no. 1, (2019) L7, arXiv:1901.01540 [astro-ph.CO].
  • [1193] DES Collaboration, A. Palmese et al., “A statistical standard siren measurement of the Hubble constant from the LIGO/Virgo gravitational wave compact object merger GW190814 and Dark Energy Survey galaxies,” Astrophys. J. Lett. 900 no. 2, (2020) L33, arXiv:2006.14961 [astro-ph.CO].
  • [1194] A. Palmese, C. R. Bom, S. Mucesh, and W. G. Hartley, “A Standard Siren Measurement of the Hubble Constant Using Gravitational-wave Events from the First Three LIGO/Virgo Observing Runs and the DESI Legacy Survey,” Astrophys. J. 943 no. 1, (2023) 56, arXiv:2111.06445 [astro-ph.CO].
  • [1195] V. Alfradique et al., “A dark siren measurement of the Hubble constant using gravitational wave events from the first three LIGO/Virgo observing runs and DELVE,” arXiv:2310.13695 [astro-ph.CO].
  • [1196] DESI Collaboration, W. Ballard et al., “A Dark Siren Measurement of the Hubble Constant with the LIGO/Virgo Gravitational Wave Event GW190412 and DESI Galaxies,” Res. Notes AAS 7 no. 11, (2023) 250, arXiv:2311.13062 [astro-ph.CO].
  • [1197] F. Beirnaert, G. Dálya, and A. Ghosh, “A Hubble constant estimation with dark standard sirens and galaxy cluster catalogues,” arXiv:2505.14077 [astro-ph.CO].
  • [1198] K. Breivik et al., “COSMIC Variance in Binary Population Synthesis,” Astrophys. J. 898 no. 1, (2020) 71, arXiv:1911.00903 [astro-ph.HE].
  • [1199] N. Giacobbo, M. Mapelli, and M. Spera, “Merging black hole binaries: the effects of progenitor’s metallicity, mass-loss rate and Eddington factor,” Mon. Not. Roy. Astron. Soc. 474 no. 3, (2018) 2959–2974, arXiv:1711.03556 [astro-ph.SR].
  • [1200] S. Stevenson, A. Vigna-Gómez, I. Mandel, J. W. Barrett, C. J. Neijssel, D. Perkins, and S. E. de Mink, “Formation of the first three gravitational-wave observations through isolated binary evolution,” Nature Commun. 8 (2017) 14906, arXiv:1704.01352 [astro-ph.HE]. – 648 –
  • [1201] G. Pierra, S. Mastrogiovanni, S. Perriès, and M. Mapelli, “A Study of Systematics on the Cosmological Inference of the Hubble Constant from Gravitational Wave Standard Sirens,” arXiv:2312.11627 [astro-ph.CO].
  • [1202] C. Turski, M. Bilicki, G. Dálya, R. Gray, and A. Ghosh, “Impact of modelling galaxy redshift uncertainties on the gravitational-wave dark standard siren measurement of the Hubble constant,” Mon. Not. Roy. Astron. Soc. 526 no. 4, (2023) 6224–6233, arXiv:2302.12037 [gr-qc].
  • [1203] C. Turski, M. L. Brozzetti, G. Dálya, M. Punturo, and A. Ghosh, “The Luminosity of the Darkness: Schechter function in dark sirens,” arXiv:2505.13568 [astro-ph.CO].
  • [1204] G. Perna, S. Mastrogiovanni, and A. Ricciardone, “Investigating the impact of galaxies’ compact binary hosting probability for gravitational-wave cosmology,” arXiv:2405.07904 [astro-ph.CO].
  • [1205] A. G. Hanselman, A. Vijaykumar, M. Fishbach, and D. E. Holz, “Gravitational-wave Dark Siren Cosmology Systematics from Galaxy Weighting,” Astrophys. J. 979 no. 1, (2025) 9, arXiv:2405.14818 [astro-ph.CO].
  • [1206] A. Agarwal et al., “Blinded Mock Data Challenge for Gravitational-Wave Cosmology-I: Assessing the Robustness of Methods Using Binary Black Holes Mass Spectrum,” arXiv:2412.14244 [astro-ph.CO].
  • [1207] L.-G. Zhu and X. Chen, “The Dark Side of Using Dark Sirens to Constrain the Hubble–Lemaı̂tre Constant,” Astrophys. J. 948 no. 1, (2023) 26, arXiv:2302.10621 [astro-ph.CO].
  • [1208] LSST Science, LSST Project Collaboration, P. A. Abell et al., “LSST Science Book, Version 2.0” arXiv:0912.0201 [astro-ph.IM].
  • [1209] A. Connolly, J. Newman, and T. Tyson, “A plan for photo-z calibrations,” tech. rep., 2006. https://www.lsst.org/sites/default/files/docs/Phot-z-plan.pdf. Accessed: 2024-05-29.
  • [1210] DESI Collaboration, A. G. Adame et al., “Validation of the Scientific Program for the Dark Energy Spectroscopic Instrument,” Astron. J. 167 no. 2, (2024) 62, arXiv:2306.06307 [astro-ph.CO].
  • [1211] EUCLID Collaboration, R. Laureijs et al., “Euclid Definition Study Report,” arXiv:1110.3193 [astro-ph.CO].
  • [1212] V. Mainieri et al., “The Wide-field Spectroscopic Telescope (WST) Science White Paper,” arXiv:2403.05398 [astro-ph.IM].
  • [1213] T. J. Loredo, “Accounting for source uncertainties in analyses of astronomical survey data,” AIP Conf. Proc. 735 no. 1, (2004) 195–206, arXiv:astro-ph/0409387.
  • [1214] I. Mandel, W. M. Farr, and J. R. Gair, “Extracting distribution parameters from multiple uncertain observations with selection biases,” Mon. Not. Roy. Astron. Soc. 486 no. 1, (2019) 1086–1093, arXiv:1809.02063 [physics.data-an].
  • [1215] S. Vitale, D. Gerosa, W. M. Farr, and S. R. Taylor, “Inferring the properties of a population of compact binaries in presence of selection effects,” arXiv:2007.05579 [astro-ph.IM].
  • [1216] V. Tiwari, “Estimation of the Sensitive Volume for Gravitational-wave Source Populations Using Weighted Monte Carlo Integration,” Class. Quant. Grav. 35 no. 14, (2018) 145009, arXiv:1712.00482 [astro-ph.HE].
  • [1217] W. M. Farr, “Accuracy Requirements for Empirically-Measured Selection Functions,” Research Notes of the AAS 3 no. 5, (2019) 66, arXiv:1904.10879 [astro-ph.IM]. – 649 –
  • [1218] R. Essick and W. Farr, “Precision Requirements for Monte Carlo Sums within Hierarchical Bayesian Inference,” arXiv:2204.00461 [astro-ph.IM].
  • [1219] K. Leyde, S. R. Green, A. Toubiana, and J. Gair, “Gravitational wave populations and cosmology with neural posterior estimation,” arXiv:2311.12093 [gr-qc].
  • [1220] F. Stachurski, C. Messenger, and M. Hendry, “Cosmological Inference using Gravitational Waves and Normalising Flows,” arXiv:2310.13405 [gr-qc].
  • [1221] M. Tagliazucchi, M. Moresco, N. Borghi, and M. Fiebig, “Accelerating the Standard Siren Method: Improved Constraints on Modified Gravitational Wave Propagation with Future Data,” arXiv:2504.02034 [astro-ph.CO].
  • [1222] S. Rinaldi, W. Del Pozzo, M. Mapelli, A. L. Medina, and T. Dent, “Evidence for the evolution of black hole mass function with redshift,” arXiv:2310.03074 [astro-ph.HE].
  • [1223] S. Rinaldi and W. Del Pozzo, “(H)DPGMM: a hierarchy of Dirichlet process Gaussian mixture models for the inference of the black hole mass function,” Mon. Not. Roy. Astron. Soc. 509 no. 4, (2021) 5454–5466, arXiv:2109.05960 [astro-ph.IM].
  • [1224] A. Ray, I. Magaña Hernandez, S. Mohite, J. Creighton, and S. Kapadia, “Nonparametric Inference of the Population of Compact Binaries from Gravitational-wave Observations Using Binned Gaussian Processes,” Astrophys. J. 957 no. 1, (2023) 37, arXiv:2304.08046 [gr-qc].
  • [1225] T. Hinderer, B. D. Lackey, R. N. Lang, and J. S. Read, “Tidal deformability of neutron stars with realistic equations of state and their gravitational wave signatures in binary inspiral,” Phys. Rev. D 81 (2010) 123016, arXiv:0911.3535 [astro-ph.HE].
  • [1226] L. Wade, J. D. E. Creighton, E. Ochsner, B. D. Lackey, B. F. Farr, T. B. Littenberg, and V. Raymond, “Systematic and statistical errors in a bayesian approach to the estimation of the neutron-star equation of state using advanced gravitational wave detectors,” Phys. Rev. D 89 no. 10, (2014) 103012, arXiv:1402.5156 [gr-qc].
  • [1227] S. Marsat, “Cubic order spin effects in the dynamics and gravitational wave energy flux of compact object binaries,” Class. Quant. Grav. 32 no. 8, (2015) 085008, arXiv:1411.4118 [gr-qc].
  • [1228] A. Bohé, G. Faye, S. Marsat, and E. K. Porter, “Quadratic-in-spin effects in the orbital dynamics and gravitational-wave energy flux of compact binaries at the 3PN order,” Class. Quant. Grav. 32 no. 19, (2015) 195010, arXiv:1501.01529 [gr-qc].
  • [1229] A. Nagar et al., “Time-domain effective-one-body gravitational waveforms for coalescing compact binaries with nonprecessing spins, tides and self-spin effects,” Phys. Rev. D 98 no. 10, (2018) 104052, arXiv:1806.01772 [gr-qc].
  • [1230] T. Dietrich, A. Samajdar, S. Khan, N. K. Johnson-McDaniel, R. Dudi, and W. Tichy, “Improving the NRTidal model for binary neutron star systems,” Phys. Rev. D 100 no. 4, (2019) 044003, arXiv:1905.06011 [gr-qc].
  • [1231] C. Messenger, K. Takami, S. Gossan, L. Rezzolla, and B. S. Sathyaprakash, “Source Redshifts from Gravitational-Wave Observations of Binary Neutron Star Mergers,” Phys. Rev. X 4 no. 4, (2014) 041004, arXiv:1312.1862 [gr-qc].
  • [1232] F. Iacovelli, M. Mancarella, C. Mondal, A. Puecher, T. Dietrich, F. Gulminelli, M. Maggiore, and M. Oertel, “Nuclear physics constraints from binary neutron star mergers in the Einstein Telescope era,” Phys. Rev. D 108 no. 12, (2023) 122006, arXiv:2308.12378 [gr-qc].
  • [1233] T. G. F. Li, W. Del Pozzo, and C. Messenger, “Measuring the redshift of standard sirens using the neutron star deformability,” in 13th Marcel Grossmann Meeting on Recent Developments in Theoretical and Experimental General Relativity, Astrophysics, and Relativistic Field Theories, pp. 2019–2021. 2015. arXiv:1303.0855 [gr-qc]. – 650 –
  • [1234] W. Del Pozzo, T. G. F. Li, and C. Messenger, “Cosmological inference using only gravitational wave observations of binary neutron stars,” Phys. Rev. D 95 no. 4, (2017) 043502, arXiv:1506.06590 [gr-qc].
  • [1235] A. Prakash, I. Gupta, M. Breschi, R. Kashyap, D. Radice, S. Bernuzzi, D. Logoteta, and B. S. Sathyaprakash, “Detectability of QCD phase transitions in binary neutron star mergers: Bayesian inference with the next generation gravitational wave detectors,” arXiv:2310.06025 [gr-qc].
  • [1236] A. Dhani, S. Borhanian, A. Gupta, and B. Sathyaprakash, “Cosmography with bright and Love sirens,” arXiv:2212.13183 [gr-qc].
  • [1237] S.-J. Jin, T.-N. Li, J.-F. Zhang, and X. Zhang, “Prospects for measuring the Hubble constant and dark energy using gravitational-wave dark sirens with neutron star tidal deformation,” JCAP 08 (2023) 070, arXiv:2202.11882 [gr-qc].
  • [1238] T.-N. Li, S.-J. Jin, H.-L. Li, J.-F. Zhang, and X. Zhang, “Prospects for Probing the Interaction between Dark Energy and Dark Matter Using Gravitational-wave Dark Sirens with Neutron Star Tidal Deformation,” Astrophys. J. 963 no. 1, (2024) 52, arXiv:2310.15879 [astro-ph.CO].
  • [1239] D. Finstad, L. V. White, and D. A. Brown, “Prospects for a Precise Equation of State Measurement from Advanced LIGO and Cosmic Explorer,” Astrophys. J. 955 no. 1, (2023) 45, arXiv:2211.01396 [astro-ph.HE].
  • [1240] R. Huxford, R. Kashyap, S. Borhanian, A. Dhani, I. Gupta, and B. S. Sathyaprakash, “Accuracy of neutron star radius measurement with the next generation of terrestrial gravitational-wave observatories,” Phys. Rev. D 109 no. 10, (2024) 103035, arXiv:2307.05376 [gr-qc].
  • [1241] T. Ghosh, B. Biswas, and S. Bose, “Simultaneous inference of neutron star equation of state and the Hubble constant with a population of merging neutron stars,” Phys. Rev. D 106 no. 12, (2022) 123529, arXiv:2203.11756 [astro-ph.CO].
  • [1242] P. d. S. Ferreira and M. Quartin, “First Constraints on the Intrinsic CMB Dipole and Our Velocity with Doppler and Aberration,” Phys. Rev. Lett. 127 no. 10, (2021) 101301, arXiv:2011.08385 [astro-ph.CO].
  • [1243] J. Colin, R. Mohayaee, M. Rameez, and S. Sarkar, “High redshift radio galaxies and divergence from the CMB dipole,” Mon. Not. Roy. Astron. Soc. 471 no. 1, (2017) 1045–1055, arXiv:1703.09376 [astro-ph.CO].
  • [1244] T. M. Siewert, M. Schmidt-Rubart, and D. J. Schwarz, “Cosmic radio dipole: Estimators and frequency dependence,” Astron. Astrophys. 653 (2021) A9, arXiv:2010.08366 [astro-ph.CO].
  • [1245] N. J. Secrest, S. von Hausegger, M. Rameez, R. Mohayaee, and S. Sarkar, “A Challenge to the Standard Cosmological Model,” Astrophys. J. Lett. 937 no. 2, (2022) L31, arXiv:2206.05624 [astro-ph.CO].
  • [1246] C. Dalang and C. Bonvin, “On the kinematic cosmic dipole tension,” Mon. Not. Roy. Astron. Soc. 512 no. 3, (2022) 3895–3905, arXiv:2111.03616 [astro-ph.CO].
  • [1247] S. von Hausegger, “The expected kinematic matter dipole is robust against source evolution,” Mon. Not. Roy. Astron. Soc. 535 no. 1, (2024) L49–L53, arXiv:2404.07929 [astro-ph.CO].
  • [1248] A. Abghari, E. F. Bunn, L. T. Hergt, B. Li, D. Scott, R. M. Sullivan, and D. Wei, “Reassessment of the dipole in the distribution of quasars on the sky,” JCAP 11 (2024) 067, arXiv:2405.09762 [astro-ph.CO]. – 651 –
  • [1249] P. Boubel, M. Colless, K. Said, and L. Staveley-Smith, “Testing anisotropic Hubble expansion,” JCAP 03 (2025) 066, arXiv:2412.14607 [astro-ph.CO].
  • [1250] N. Secrest, S. von Hausegger, M. Rameez, R. Mohayaee, and S. Sarkar, “Colloquium: The Cosmic Dipole Anomaly,” arXiv:2505.23526 [astro-ph.CO].
  • [1251] S. Mastrogiovanni, C. Bonvin, G. Cusin, and S. Foffa, “Detection and estimation of the cosmic dipole with the Einstein Telescope and Cosmic Explorer,” Mon. Not. Roy. Astron. Soc. 521 no. 1, (2023) 984–994, arXiv:2209.11658 [astro-ph.CO].
  • [1252] N. Grimm, M. Pijnenburg, S. Mastrogiovanni, C. Bonvin, S. Foffa, and G. Cusin, “Combining chirp mass, luminosity distance, and sky localization from gravitational wave events to detect the cosmic dipole,” Mon. Not. Roy. Astron. Soc. 526 no. 3, (2023) 4673–4689, arXiv:2309.00336 [astro-ph.CO].
  • [1253] L. Boco, A. Lapi, M. Chruślińska, D. Donevski, A. Sicilia, and L. Danese, “Evolution of Galaxy Star Formation and Metallicity: Impact on Double Compact Objects Mergers,” Astrophys. J. 907 no. 2, (2021) 110, arXiv:2012.02800 [astro-ph.GA].
  • [1254] G. Capurri, A. Lapi, M. Spera, and C. Baccigalupi, “Astrophysical and cosmological relevance of the high-frequency features in the stochastic gravitational-wave background,” Phys. Rev. D 109 no. 8, (2024) 083001, arXiv:2310.18394 [gr-qc].
  • [1255] M. Chevallier and D. Polarski, “Accelerating universes with scaling dark matter,” Int.J.Mod.Phys. D10 (2001) 213–224, arXiv:gr-qc/0009008 [gr-qc].
  • [1256] E. V. Linder, “Exploring the expansion history of the universe,” Phys.Rev.Lett. 90 (2003) 091301, arXiv:astro-ph/0208512 [astro-ph].
  • [1257] I. D. Saltas, I. Sawicki, L. Amendola, and M. Kunz, “Anisotropic Stress as a Signature of Nonstandard Propagation of Gravitational Waves,” Phys. Rev. Lett. 113 (2014) 191101, arXiv:1406.7139 [astro-ph.CO].
  • [1258] L. Lombriser and A. Taylor, “Breaking a Dark Degeneracy with Gravitational Waves,” JCAP 1603 (2016) 031, arXiv:1509.08458 [astro-ph.CO].
  • [1259] A. Nishizawa, “Generalized framework for testing gravity with gravitational-wave propagation. I. Formulation,” Phys. Rev. D97 (2018) 104037, arXiv:1710.04825 [gr-qc].
  • [1260] S. Arai and A. Nishizawa, “Generalized framework for testing gravity with gravitational-wave propagation. II. Constraints on Horndeski theory,” Phys. Rev. D 97 no. 10, (2018) 104038, arXiv:1711.03776 [gr-qc].
  • [1261] E. Belgacem, Y. Dirian, S. Foffa, and M. Maggiore, “Gravitational-wave luminosity distance in modified gravity theories,” Phys. Rev. D 97 no. 10, (2018) 104066, arXiv:1712.08108 [astro-ph.CO].
  • [1262] L. Amendola, I. Sawicki, M. Kunz, and I. D. Saltas, “Direct detection of gravitational waves can measure the time variation of the Planck mass,” JCAP 08 (2018) 030, arXiv:1712.08623 [astro-ph.CO].
  • [1263] E. Belgacem, Y. Dirian, S. Foffa, and M. Maggiore, “Modified gravitational-wave propagation and standard sirens,” Phys. Rev. D 98 no. 2, (2018) 023510, arXiv:1805.08731 [gr-qc].
  • [1264] A. Nishizawa and S. Arai, “Generalized framework for testing gravity with gravitational-wave propagation. III. Future prospect,” Phys. Rev. D 99 no. 10, (2019) 104038, arXiv:1901.08249 [gr-qc].
  • [1265] E. Belgacem, Y. Dirian, A. Finke, S. Foffa, and M. Maggiore, “Nonlocal gravity and gravitational-wave observations,” JCAP 11 (2019) 022, arXiv:1907.02047 [astro-ph.CO]. – 652 –
  • [1266] LISA Cosmology Working Group Collaboration, E. Belgacem et al., “Testing modified gravity at cosmological distances with LISA standard sirens,” JCAP 07 (2019) 024, arXiv:1906.01593 [astro-ph.CO].
  • [1267] C. de Rham and S. Melville, “Gravitational Rainbows: LIGO and Dark Energy at its Cutoff,” Phys. Rev. Lett. 121 no. 22, (2018) 221101, arXiv:1806.09417 [hep-th].
  • [1268] E. Bellini and I. Sawicki, “Maximal freedom at minimum cost: linear large-scale structure in general modifications of gravity,” JCAP 07 (2014) 050, arXiv:1404.3713 [astro-ph.CO].
  • [1269] M. Lagos, M. Fishbach, P. Landry, and D. E. Holz, “Standard sirens with a running Planck mass,” Phys. Rev. D 99 (2019) 083504, arXiv:1901.03321 [astro-ph.CO].
  • [1270] J. M. Ezquiaga, “Hearing gravity from the cosmos: GWTC-2 probes general relativity at cosmological scales,” Phys. Lett. B 822 (2021) 136665, arXiv:2104.05139 [astro-ph.CO].
  • [1271] I. S. Matos, E. Bellini, M. O. Calvão, and M. Kunz, “Testing gravity with gravitational wave friction and gravitational slip,” JCAP 05 (2023) 030, arXiv:2210.12174 [astro-ph.CO].
  • [1272] Planck Collaboration, P. A. R. Ade et al., “Planck 2015 results. XIV. Dark energy and modified gravity,” Astron. Astrophys. 594 (2016) A14, arXiv:1502.01590 [astro-ph.CO].
  • [1273] I. S. Matos, M. O. Calvão, and I. Waga, “Gravitational wave propagation in f(R) models: New parametrizations and observational constraints,” Phys. Rev. D 103 no. 10, (2021) 104059, arXiv:2104.10305 [gr-qc].
  • [1274] DES Collaboration, T. M. C. Abbott et al., “Dark Energy Survey Year 3 results: Cosmological constraints from galaxy clustering and weak lensing,” Phys. Rev. D 105 no. 2, (2022) 023520, arXiv:2105.13549 [astro-ph.CO].
  • [1275] DESI Collaboration, M. Abdul Karim et al., “DESI DR2 Results II: Measurements of Baryon Acoustic Oscillations and Cosmological Constraints,” arXiv:2503.14738 [astro-ph.CO].
  • [1276] eBOSS Collaboration, S. Alam et al., “Completed SDSS-IV extended Baryon Oscillation Spectroscopic Survey: Cosmological implications from two decades of spectroscopic surveys at the Apache Point Observatory,” Phys. Rev. D 103 no. 8, (2021) 083533, arXiv:2007.08991 [astro-ph.CO].
  • [1277] M. J. Graham et al., “Candidate Electromagnetic Counterpart to the Binary Black Hole Merger Gravitational Wave Event S190521g,” Phys. Rev. Lett. 124 no. 25, (2020) 251102, arXiv:2006.14122 [astro-ph.HE].
  • [1278] G. Ashton, K. Ackley, I. Magaña Hernandez, and B. Piotrzkowski, “Current observations are insufficient to confidently associate the binary black hole merger GW190521 with AGN J124942.3 + 344929,” Class. Quant. Grav. 38 no. 23, (2021) 235004, arXiv:2009.12346 [astro-ph.HE].
  • [1279] S. Mastrogiovanni, L. Haegel, C. Karathanasis, I. Magaña Hernandez, and D. A. Steer, “Gravitational wave friction in light of GW170817 and GW190521,” JCAP 02 (2021) 043, arXiv:2010.04047 [gr-qc].
  • [1280] S. K. Roy, L. A. C. van Son, A. Ray, and W. M. Farr, “Cosmology with Binary Neutron Stars: Does the Redshift Evolution of the Mass Function Matter?,” arXiv:2411.02494 [astro-ph.CO].
  • [1281] M. Wright and M. Hendry, “Gravelamps: Gravitational Wave Lensing Mass Profile Model Selection,” arXiv:2112.07012 [astro-ph.HE].
  • [1282] L. Dai and T. Venumadhav, “On the waveforms of gravitationally lensed gravitational waves,” arXiv:1702.04724 [gr-qc]. – 653 –
  • [1283] A. Liu, I. C. F. Wong, S. H. W. Leong, A. More, O. A. Hannuksela, and T. G. F. Li, “Exploring the hidden Universe: a novel phenomenological approach for recovering arbitrary gravitational-wave millilensing configurations,” Mon. Not. Roy. Astron. Soc. 525 no. 3, (2023) 4149–4160, arXiv:2302.09870 [gr-qc].
  • [1284] K. K. Y. Ng, K. W. K. Wong, T. Broadhurst, and T. G. F. Li, “Precise LIGO Lensing Rate Predictions for Binary Black Holes,” Phys. Rev. D 97 no. 2, (2018) 023012, arXiv:1703.06319 [astro-ph.CO].
  • [1285] S. Magare, S. J. Kapadia, A. More, M. K. Singh, P. Ajith, and A. N. Ramprakash, “Gear Up for the Action Replay: Leveraging Lensing for Enhanced Gravitational-wave Early Warning,” Astrophys. J. Lett. 955 no. 2, (2023) L31, arXiv:2302.02916 [astro-ph.HE].
  • [1286] G. P. Smith, A. Robertson, G. Mahler, M. Nicholl, D. Ryczanowski, M. Bianconi, K. Sharon, R. Massey, J. Richard, and M. Jauzac, “Discovering gravitationally lensed gravitational waves: predicted rates, candidate selection, and localization with the Vera Rubin Observatory,” Mon. Not. Roy. Astron. Soc. 520 no. 1, (2023) 702–721, arXiv:2204.12977 [astro-ph.HE].
  • [1287] O. A. Hannuksela, T. E. Collett, M. Çalışkan, and T. G. F. Li, “Localizing merging black holes with sub-arcsecond precision using gravitational-wave lensing,” Mon. Not. Roy. Astron. Soc. 498 no. 3, (2020) 3395–3402, arXiv:2004.13811 [astro-ph.HE].
  • [1288] E. Wempe, L. V. E. Koopmans, A. R. A. C. Wierda, O. A. Hannuksela, and C. Van Den Broeck, “On the detection and precise localisation of merging black holes events through strong gravitational lensing,” arXiv:2204.08732 [astro-ph.HE].
  • [1289] K. Liao, X.-L. Fan, X.-H. Ding, M. Biesiada, and Z.-H. Zhu, “Precision cosmology from future lensed gravitational wave and electromagnetic signals,” Nature Commun. 8 no. 1, (2017) 1148, arXiv:1703.04151 [astro-ph.CO]. [Erratum: Nature Commun. 8, 2136 (2017)].
  • [1289] K. Liao, X.-L. Fan, X.-H. Ding, M. Biesiada, and Z.-H. Zhu, “Precision cosmology from future lensed gravitational wave and electromagnetic signals,” Nature Commun. 8 no. 1, (2017) 1148, arXiv:1703.04151 [astro-ph.CO]. [Erratum: Nature Commun. 8, 2136 (2017)].
  • [1290] S. Jana, S. J. Kapadia, T. Venumadhav, and P. Ajith, “Cosmography Using Strongly Lensed Gravitational Waves from Binary Black Holes,” Phys. Rev. Lett. 130 no. 26, (2023) 261401, arXiv:2211.12212 [astro-ph.CO].
  • [1291] A. Finke, S. Foffa, F. Iacovelli, M. Maggiore, and M. Mancarella, “Probing modified gravitational wave propagation with strongly lensed coalescing binaries,” Phys. Rev. D 104 no. 8, (2021) 084057, arXiv:2107.05046 [gr-qc].
  • [1292] H. Narola, J. Janquart, L. Haegel, K. Haris, O. A. Hannuksela, and C. Van Den Broeck, “How well can modified gravitational wave propagation be constrained with strong lensing?,” arXiv:2308.01709 [gr-qc].
  • [1293] P. Baral, S. Morisaki, I. Magaña Hernandez, and J. Creighton, “Localization of binary neutron star mergers with a single Cosmic Explorer,” Phys. Rev. D 108 no. 4, (2023) 043010, arXiv:2304.09889 [astro-ph.HE].
  • [1294] T. Baker and M. Trodden, “Multimessenger time delays from lensed gravitational waves,” Phys. Rev. D 95 no. 6, (2017) 063512, arXiv:1612.02004 [astro-ph.CO].
  • [1295] X.-L. Fan, K. Liao, M. Biesiada, A. Piorkowska-Kurpas, and Z.-H. Zhu, “Speed of Gravitational Waves from Strongly Lensed Gravitational Waves and Electromagnetic Signals,” Phys. Rev. Lett. 118 no. 9, (2017) 091102, arXiv:1612.04095 [gr-qc].
  • [1296] J. M. Diego, O. A. Hannuksela, P. L. Kelly, T. Broadhurst, K. Kim, T. G. F. Li, G. F. Smoot, and G. Pagano, “Observational signatures of microlensing in gravitational waves at LIGO/Virgo frequencies,” Astron. Astrophys. 627 (2019) A130, arXiv:1903.04513 [astro-ph.CO].
  • [1297] A. Mishra, A. K. Meena, A. More, S. Bose, and J. S. Bagla, “Gravitational lensing of – 654 – gravitational waves: effect of microlens population in lensing galaxies,” Mon. Not. Roy. Astron. Soc. 508 no. 4, (2021) 4869–4886, arXiv:2102.03946 [astro-ph.CO].
  • [1298] A. K. Meena, A. Mishra, A. More, S. Bose, and J. S. Bagla, “Gravitational lensing of gravitational waves: Probability of microlensing in galaxy-scale lens population,” Mon. Not. Roy. Astron. Soc. 517 no. 1, (2022) 872–884, arXiv:2205.05409 [astro-ph.GA].
  • [1299] M. Fairbairn, J. Urrutia, and V. Vaskonen, “Microlensing of gravitational waves by dark matter structures,” JCAP 07 (2023) 007, arXiv:2210.13436 [astro-ph.CO].
  • [1300] A. V. Kravtsov, “Dark matter substructure and dwarf galactic satellites,” Adv. Astron. 2010 (2010) 281913, arXiv:0906.3295 [astro-ph.CO].
  • [1301] M. Oguri and R. Takahashi, “Probing Dark Low-mass Halos and Primordial Black Holes with Frequency-dependent Gravitational Lensing Dispersions of Gravitational Waves,” Astrophys. J. 901 no. 1, (2020) 58, arXiv:2007.01936 [astro-ph.CO].
  • [1302] K.-H. Lai, O. A. Hannuksela, A. Herrera-Martı́n, J. M. Diego, T. Broadhurst, and T. G. F. Li, “Discovering intermediate-mass black hole lenses through gravitational wave lensing,” Phys. Rev. D 98 no. 8, (2018) 083005, arXiv:1801.07840 [gr-qc].
  • [1303] R.-G. Cai, T. Chen, S.-J. Wang, and X.-Y. Yang, “Gravitational microlensing by dressed primordial black holes,” JCAP 03 (2023) 043, arXiv:2210.02078 [astro-ph.CO].
  • [1304] A. Liu and K. Kim, “Can we discern millilensed gravitational-wave signals from signals produced by precessing binary black holes with ground-based detectors?,” Phys. Rev. D 110 no. 12, (2024) 123008, arXiv:2301.07253 [gr-qc].
  • [1305] A. Mishra, A. K. Meena, A. More, and S. Bose, “Exploring the impact of microlensing on gravitational wave signals: Biases, population characteristics, and prospects for detection,” Mon. Not. Roy. Astron. Soc. 531 no. 1, (2024) 764–787, arXiv:2306.11479 [astro-ph.CO].
  • [1306] D. Keitel, “False positives for gravitational lensing: the gravitational-wave perspective,” arXiv:2407.12974 [gr-qc].
  • [1307] S. Basak, A. Ganguly, K. Haris, S. Kapadia, A. K. Mehta, and P. Ajith, “Constraints on Compact Dark Matter from Gravitational Wave Microlensing,” Astrophys. J. 926 no. 2, (2022) L28, arXiv:2109.06456 [gr-qc].
  • [1308] LIGO Scientific, VIRGO, KAGRA Collaboration, R. Abbott et al., “Search for gravitational-lensing signatures in the full third observing run of the LIGO-Virgo network,” arXiv:2304.08393 [gr-qc].
  • [1309] P. Laguna, S. L. Larson, D. Spergel, and N. Yunes, “Integrated Sachs-Wolfe Effect for Gravitational Radiation,” Astrophys. J. Lett. 715 (2010) L12, arXiv:0905.1908 [gr-qc].
  • [1310] D. Bertacca, A. Raccanelli, N. Bartolo, and S. Matarrese, “Cosmological perturbation effects on gravitational-wave luminosity distance estimates,” Phys. Dark Univ. 20 (2018) 32–40, arXiv:1702.01750 [gr-qc].
  • [1311] J. Fonseca, S. Zazzera, T. Baker, and C. Clarkson, “The observed number counts in luminosity distance space,” JCAP 08 (2023) 050, arXiv:2304.14253 [astro-ph.CO].
  • [1312] S. Canevarolo and N. E. Chisari, “Lensing bias on cosmological parameters from bright standard sirens,” arXiv:2310.12764 [astro-ph.CO].
  • [1313] G. Cusin, R. Durrer, and I. Dvorkin, “Strong and weak lensing of Gravitational Waves: a semi-analytical approach,” arXiv:1912.11916 [astro-ph.CO].
  • [1314] G. Cusin and N. Tamanini, “Characterization of lensing selection effects for LISA massive black hole binary mergers,” Mon. Not. Roy. Astron. Soc. 504 no. 3, (2021) 3610–3618, arXiv:2011.15109 [astro-ph.CO]. – 655 –
  • [1315] X. Shan, C. Wei, and B. Hu, “Lensing magnification: gravitational waves from coalescing stellar-mass binary black holes,” Mon. Not. Roy. Astron. Soc. 508 no. 1, (2021) 1253–1261, arXiv:2012.08381 [astro-ph.CO].
  • [1316] C. M. Hirata, D. E. Holz, and C. Cutler, “Reducing the weak lensing noise for the gravitational wave Hubble diagram using the non-Gaussianity of the magnification distribution,” Phys. Rev. D 81 (2010) 124046, arXiv:1004.3988 [astro-ph.CO].
  • [1317] C. T. Mpetha, G. Congedo, A. Taylor, and M. A. Hendry, “Impact of weak lensing on bright standard siren analyses,” Phys. Rev. D 110 no. 2, (2024) 023502, arXiv:2402.19476 [astro-ph.CO].
  • [1318] L. Dai, T. Venumadhav, and K. Sigurdson, “Effect of lensing magnification on the apparent distribution of black hole mergers,” Phys. Rev. D 95 no. 4, (2017) 044011, arXiv:1605.09398 [astro-ph.CO].
  • [1319] X. He, K. Liao, X. Ding, L. Yang, X. Wen, Z. You, and Z.-H. Zhu, “Impact of gravitational lensing on black hole mass function inference with third-generation gravitational wave detectors,” Mon. Not. Roy. Astron. Soc. 517 no. 3, (2022) 4656–4668, arXiv:2205.15515 [astro-ph.CO].
  • [1320] S. Canevarolo, L. van Vonderen, and N. E. Chisari, “Impact of lensing of gravitational waves on the observed distribution of neutron star masses,” arXiv:2404.11480 [astro-ph.CO].
  • [1321] A. Raccanelli, “Gravitational wave astronomy with radio galaxy surveys,” Mon. Not. Roy. Astron. Soc. 469 no. 1, (2017) 656–670, arXiv:1609.09377 [astro-ph.CO].
  • [1322] S. Libanore, M. C. Artale, D. Karagiannis, M. Liguori, N. Bartolo, Y. Bouffanais, N. Giacobbo, M. Mapelli, and S. Matarrese, “Gravitational Wave mergers as tracers of Large Scale Structures,” JCAP 02 (2021) 035, arXiv:2007.06905 [astro-ph.CO].
  • [1323] M. Oguri, “Measuring the distance-redshift relation with the cross-correlation of gravitational wave standard sirens and galaxies,” Phys. Rev. D 93 no. 8, (2016) 083511, arXiv:1603.02356 [astro-ph.CO].
  • [1324] G. Scelfo, N. Bellomo, A. Raccanelli, S. Matarrese, and L. Verde, “GW×LSS: chasing the progenitors of merging binary black holes,” JCAP 09 (2018) 039, arXiv:1809.03528 [astro-ph.CO].
  • [1325] S. Mukherjee and J. Silk, “Time-dependence of the astrophysical stochastic gravitational wave background,” Mon. Not. Roy. Astron. Soc. 491 no. 4, (2020) 4690–4701, arXiv:1912.07657 [gr-qc].
  • [1326] S. Mukherjee, B. D. Wandelt, and J. Silk, “Testing the general theory of relativity using gravitational wave propagation from dark standard sirens,” Mon. Not. Roy. Astron. Soc. 502 no. 1, (2021) 1136–1144, arXiv:2012.15316 [astro-ph.CO].
  • [1327] G. Scelfo, M. Berti, A. Silvestri, and M. Viel, “Testing gravity with gravitational waves × electromagnetic probes cross-correlations,” JCAP 02 (2023) 010, arXiv:2210.02460 [astro-ph.CO].
  • [1328] M. Bosi, N. Bellomo, and A. Raccanelli, “Constraining extended cosmologies with GW×LSS cross-correlations,” JCAP 11 (2023) 086, arXiv:2306.03031 [astro-ph.CO].
  • [1329] S. Libanore, M. Liguori, and A. Raccanelli, “Signatures of primordial black holes in gravitational wave clustering,” JCAP 08 (2023) 055, arXiv:2306.03087 [astro-ph.CO].
  • [1330] S. Afroz and S. Mukherjee, “Prospect of precision cosmology and testing general relativity using binary black holes – galaxies cross-correlation,” Mon. Not. Roy. Astron. Soc. 534 no. 2, (2024) 1283–1298, arXiv:2407.09262 [astro-ph.CO]. – 656 –
  • [1331] S. Afroz and S. Mukherjee, “Multi-messenger cosmology: A route to accurate inference of dark energy beyond CPL parametrization from XG detectors,” JCAP 03 (2025) 070, arXiv:2412.12285 [astro-ph.CO].
  • [1332] C. Bonvin and R. Durrer, “What galaxy surveys really measure,” Phys. Rev. D 84 (2011) 063505, arXiv:1105.5280 [astro-ph.CO].
  • [1333] P. Zhang, “The large scale structure in the 3D luminosity-distance space and its cosmological applications,” arXiv:1810.11915 [astro-ph.CO].
  • [1334] T. Namikawa, “Analyzing clustering of astrophysical gravitational-wave sources: Luminosity-distance space distortions,” JCAP 01 (2021) 036, arXiv:2007.04359 [astro-ph.CO].
  • [1335] S. Zazzera, J. Fonseca, T. Baker, and C. Clarkson, “Magnification and evolution bias of transient sources: GWs and SNIa,” JCAP 05 (2024) 095, arXiv:2309.04391 [astro-ph.CO].
  • [1336] Y. Y. Wang, F. Y. Wang, and Y. C. Zou, “Precise peculiar velocities from gravitational waves accompanied by electromagnetic signals and cosmological applications,” Phys. Rev. D 98 no. 6, (2018) 063503, arXiv:1710.06113 [astro-ph.CO].
  • [1337] A. Palmese and A. G. Kim, “Probing gravity and growth of structure with gravitational waves and galaxies’ peculiar velocity,” Phys. Rev. D 103 no. 10, (2021) 103507, arXiv:2005.04325 [astro-ph.CO].
  • [1338] C. Gordon, K. Land, and A. Slosar, “Cosmological Constraints from Type Ia Supernovae Peculiar Velocity Measurements,” Phys. Rev. Lett. 99 (2007) 081301, arXiv:0705.1718 [astro-ph].
  • [1339] M. Quartin, L. Amendola, and B. Moraes, “The 6 × 2pt method: supernova velocities meet multiple tracers,” Mon. Not. Roy. Astron. Soc. 512 no. 2, (2022) 2841–2853, arXiv:2111.05185 [astro-ph.CO].
  • [1340] F. Calore, A. Cuoco, T. Regimbau, S. Sachdev, and P. D. Serpico, “Cross-correlating galaxy catalogs and gravitational waves: a tomographic approach,” Phys. Rev. Res. 2 (2020) 023314, arXiv:2002.02466 [astro-ph.CO].
  • [1341] T. Namikawa, A. Nishizawa, and A. Taruya, “Anisotropies of gravitational-wave standard sirens as a new cosmological probe without redshift information,” Phys. Rev. Lett. 116 no. 12, (2016) 121302, arXiv:1511.04638 [astro-ph.CO].
  • [1342] A. Pedrotti, M. Mancarella, J. Bel, and D. Gerosa, “Cosmology with the angular cross-correlation of gravitational-wave and galaxy catalogs: forecasts for next-generation interferometers and the Euclid survey,” arXiv:2504.10482 [astro-ph.CO].
  • [1343] L. Amendola et al., “Cosmology and fundamental physics with the Euclid satellite,” Living Rev. Rel. 21 no. 1, (2018) 2, arXiv:1606.00180 [astro-ph.CO].
  • [1344] J. a. Ferri, I. L. Tashiro, L. R. Abramo, I. Matos, M. Quartin, and R. Sturani, “A robust cosmic standard ruler from the cross-correlations of galaxies and dark sirens,” arXiv:2412.00202 [astro-ph.CO].
  • [1345] L. Amendola, M. Kunz, and D. Sapone, “Measuring the dark side (with weak lensing),” JCAP 04 (2008) 013, arXiv:0704.2421 [astro-ph].
  • [1346] G. W. Horndeski, “Second-order scalar-tensor field equations in a four-dimensional space,” Int. J. Theor. Phys. 10 (1974) 363–384.
  • [1347] C. Deffayet, S. Deser, and G. Esposito-Farese, “Generalized Galileons: All scalar models whose curved background extensions maintain second-order field equations and stress-tensors,” Phys. Rev. D 80 (2009) 064015, arXiv:0906.1967 [gr-qc]. – 657 –
  • [1348] J. Gleyzes, D. Langlois, F. Piazza, and F. Vernizzi, “Healthy theories beyond Horndeski,” Phys. Rev. Lett. 114 no. 21, (2015) 211101, arXiv:1404.6495 [hep-th].
  • [1349] T. Kobayashi, “Horndeski theory and beyond: a review,” Rept. Prog. Phys. 82 no. 8, (2019) 086901, arXiv:1901.07183 [gr-qc].
  • [1350] G. R. Dvali, G. Gabadadze, and M. Porrati, “4-D gravity on a brane in 5-D Minkowski space,” Phys. Lett. B 485 (2000) 208–214, arXiv:hep-th/0005016.
  • [1351] G. Scelfo, M. Spinelli, A. Raccanelli, L. Boco, A. Lapi, and M. Viel, “Gravitational waves × HI intensity mapping: cosmological and astrophysical applications,” JCAP 01 no. 01, (2022) 004, arXiv:2106.09786 [astro-ph.CO].
  • [1352] S. Bird, I. Cholis, J. B. Muñoz, Y. Ali-Haı̈moud, M. Kamionkowski, E. D. Kovetz, A. Raccanelli, and A. G. Riess, “Did LIGO detect dark matter?,” Phys. Rev. Lett. 116 no. 20, (2016) 201301, arXiv:1603.00464 [astro-ph.CO].
  • [1353] A. Raccanelli, E. D. Kovetz, S. Bird, I. Cholis, and J. B. Munoz, “Determining the progenitors of merging black-hole binaries,” Phys. Rev. D 94 no. 2, (2016) 023516, arXiv:1605.01405 [astro-ph.CO].
  • [1354] M. Sasaki, T. Suyama, T. Tanaka, and S. Yokoyama, “Primordial Black Hole Scenario for the Gravitational-Wave Event GW150914,” Phys. Rev. Lett. 117 no. 6, (2016) 061101, arXiv:1603.08338 [astro-ph.CO]. [Erratum: Phys.Rev.Lett. 121, 059901 (2018)].
  • [1354] M. Sasaki, T. Suyama, T. Tanaka, and S. Yokoyama, “Primordial Black Hole Scenario for the Gravitational-Wave Event GW150914,” Phys. Rev. Lett. 117 no. 6, (2016) 061101, arXiv:1603.08338 [astro-ph.CO]. [Erratum: Phys.Rev.Lett. 121, 059901 (2018)].
  • [1355] S. Clesse and J. Garcı́a-Bellido, “The clustering of massive Primordial Black Holes as Dark Matter: measuring their mass distribution with Advanced LIGO,” Phys. Dark Univ. 15 (2017) 142–147, arXiv:1603.05234 [astro-ph.CO].
  • [1356] G. Cañas Herrera, O. Contigiani, and V. Vardanyan, “Cross-correlation of the astrophysical gravitational-wave background with galaxy clustering,” Phys. Rev. D 102 no. 4, (2020) 043513, arXiv:1910.08353 [astro-ph.CO].
  • [1357] K. Yang, J. Suresh, G. Cusin, S. Banagiri, N. Feist, V. Mandic, C. Scarlata, and I. Michaloliakos, “Measurement of the cross-correlation angular power spectrum between the stochastic gravitational wave background and galaxy overdensity,” Phys. Rev. D 108 no. 4, (2023) 043025, arXiv:2304.07621 [gr-qc].
  • [1358] G. Capurri, A. Lapi, and C. Baccigalupi, “Detectability of the Cross-Correlation between CMB Lensing and Stochastic GW Background from Compact Object Mergers,” Universe 8 no. 3, (2022) 160, arXiv:2111.04757 [astro-ph.CO].
  • [1359] R. K. Sachs and A. M. Wolfe, “Perturbations of a cosmological model and angular variations of the microwave background,” Astrophys. J. 147 (1967) 73–90.
  • [1360] N. Dalal, O. Dore, D. Huterer, and A. Shirokov, “The imprints of primordial non-gaussianities on large-scale structure: scale dependent bias and abundance of virialized objects,” Phys. Rev. D 77 (2008) 123514, arXiv:0710.4560 [astro-ph].
  • [1361] S. Matarrese and L. Verde, “The effect of primordial non-Gaussianity on halo bias,” Astrophys. J. Lett. 677 (2008) L77–L80, arXiv:0801.4826 [astro-ph].
  • [1362] A. Slosar, C. Hirata, U. Seljak, S. Ho, and N. Padmanabhan, “Constraints on local primordial non-Gaussianity from large scale structure,” JCAP 08 (2008) 031, arXiv:0805.3580 [astro-ph].
  • [1363] A. Vijaykumar, M. V. S. Saketh, S. Kumar, P. Ajith, and T. R. Choudhury, “Probing the large scale structure using gravitational-wave observations of binary black holes,” arXiv:2005.01111 [astro-ph.CO].
  • [1364] S. Kumar, A. Vijaykumar, and A. H. Nitz, “Detecting Baryon Acoustic Oscillations with Third-generation Gravitational Wave Observatories,” Astrophys. J. 930 no. 2, (2022) 113, arXiv:2110.06152 [astro-ph.CO]. – 658 –
  • [1365] S. Kumar, “Probing Cosmology with Baryon Acoustic Oscillations Using Gravitational Waves,” Astrophys. J. 959 no. 1, (2023) 35, arXiv:2203.04273 [astro-ph.CO].
  • [1366] M. R. Mosbech, A. C. Jenkins, S. Bose, C. Boehm, M. Sakellariadou, and Y. Y. Y. Wong, “Gravitational-wave event rates as a new probe for dark matter microphysics,” Phys. Rev. D 108 no. 4, (2023) 043512, arXiv:2207.14126 [astro-ph.CO].
  • [1367] C. Boehm, P. Fayet, and R. Schaeffer, “Constraining dark matter candidates from structure formation,” Phys. Lett. B 518 (2001) 8–14, arXiv:astro-ph/0012504.
  • [1368] P. C. Peters, “Gravitational Radiation and the Motion of Two Point Masses,” Phys. Rev. 136 (1964) B1224–B1232.
  • [1369] A. Maeder and G. Meynet, “The evolution of rotating stars,” Ann. Rev. Astron. Astrophys. 38 (2000) 143–190, arXiv:astro-ph/0004204.
  • [1370] B. Paczynski, “Common Envelope Binaries,” in Structure and Evolution of Close Binary Systems, P. Eggleton, S. Mitton, and J. Whelan, eds., vol. 73, p. 75. Jan., 1976.
  • [1371] R. F. Webbink, “Double white dwarfs as progenitors of R Coronae Borealis stars and Type I supernovae,” Astrophys. J. 277 (1984) 355–360.
  • [1372] N. Ivanova et al., “Common Envelope Evolution: Where we stand and how we can move forward,” Astron. Astrophys. Rev. 21 (2013) 59, arXiv:1209.4302 [astro-ph.HE].
  • [1373] N. Ivanova, S. Justham, and P. Ricker, Common Envelope Evolution. 2020.
  • [1374] F. S. Broekgaarden, E. Berger, C. J. Neijssel, A. Vigna-Gómez, D. Chattopadhyay, S. Stevenson, M. Chruślińska, S. Justham, S. E. de Mink, and I. Mandel, “Impact of massive binary star and cosmic evolution on gravitational wave observations I: black hole–neutron star mergers,” Mon. Not. Roy. Astron. Soc. 508 no. 4, (2021) 5028–5063, arXiv:2103.02608 [astro-ph.HE].
  • [1375] F. S. Broekgaarden et al., “Impact of Massive Binary Star and Cosmic Evolution on Gravitational Wave Observations II: Double Compact Object Rates and Properties,” arXiv:2112.05763 [astro-ph.HE].
  • [1376] K. Belczynski, V. Kalogera, F. A. Rasio, R. E. Taam, and T. Bulik, “On the rarity of double black hole binaries: Consequences for gravitational-wave detection,” Astrophys. J. 662 (2007) 504–512, arXiv:astro-ph/0612032.
  • [1377] K. A. Postnov and L. R. Yungelson, “The Evolution of Compact Binary Star Systems,” Living Rev. Rel. 17 (2014) 3, arXiv:1403.4754 [astro-ph.HE].
  • [1378] N. Giacobbo and M. Mapelli, “The progenitors of compact-object binaries: impact of metallicity, common envelope and natal kicks,” Mon. Not. Roy. Astron. Soc. 480 no. 2, (2018) 2011–2030, arXiv:1806.00001 [astro-ph.HE].
  • [1379] C. J. Neijssel, A. Vigna-Gómez, S. Stevenson, J. W. Barrett, S. M. Gaebel, F. Broekgaarden, S. E. de Mink, D. Szécsi, S. Vinciguerra, and I. Mandel, “The effect of the metallicity-specific star formation history on double compact object mergers,” Mon. Not. Roy. Astron. Soc. 490 no. 3, (2019) 3740–3759, arXiv:1906.08136 [astro-ph.SR].
  • [1380] T. M. Tauris et al., “Formation of Double Neutron Star Systems,” Astrophys. J. 846 no. 2, (2017) 170, arXiv:1706.09438 [astro-ph.HE].
  • [1381] M. Chruślińska, K. Belczynski, J. Klencki, and M. Benacquista, “Double neutron stars: merger rates revisited,” Mon. Not. Roy. Astron. Soc. 474 no. 3, (2018) 2937–2958, arXiv:1708.07885 [astro-ph.HE].
  • [1382] A. Vigna-Gómez et al., “On the formation history of Galactic double neutron stars,” Mon. Not. Roy. Astron. Soc. 481 no. 3, (2018) 4009–4029, arXiv:1805.07974 [astro-ph.SR]. – 659 –
  • [1383] E. P. J. van den Heuvel, S. F. Portegies Zwart, and S. E. de Mink, “Forming short-period Wolf–Rayet X-ray binaries and double black holes through stable mass transfer,” Mon. Not. Roy. Astron. Soc. 471 no. 4, (2017) 4256–4264, arXiv:1701.02355 [astro-ph.SR].
  • [1384] L. A. C. van Son, S. E. de Mink, M. Renzo, S. Justham, E. Zapartas, K. Breivik, T. Callister, W. M. Farr, and C. Conroy, “No Peaks without Valleys: The Stable Mass Transfer Channel for Gravitational-wave Sources in Light of the Neutron Star–Black Hole Mass Gap,” Astrophys. J. 940 no. 2, (2022) 184, arXiv:2209.13609 [astro-ph.HE].
  • [1385] M. M. Briel, J. J. Eldridge, E. R. Stanway, H. F. Stevance, and A. A. Chrimes, “Estimating transient rates from cosmological simulations and BPASS,” Mon. Not. Roy. Astron. Soc. 514 no. 1, (2022) 1315–1334, arXiv:2111.08124 [astro-ph.CO].
  • [1386] S. S. Bavera et al., “The impact of mass-transfer physics on the observable properties of field binary black hole populations,” Astron. Astrophys. 647 (2021) A153, arXiv:2010.16333 [astro-ph.HE].
  • [1387] L. A. C. van Son, S. E. de Mink, T. Callister, S. Justham, M. Renzo, T. Wagg, F. S. Broekgaarden, F. Kummer, R. Pakmor, and I. Mandel, “The Redshift Evolution of the Binary Black Hole Merger Rate: A Weighty Matter,” Astrophys. J. 931 no. 1, (2022) 17, arXiv:2110.01634 [astro-ph.HE].
  • [1388] A. V. Tutukov and L. R. YungelSon, “The merger rate of neutron star and black hole binaries,” Mon. Not. Roy. Astron. Soc. 260 no. 3, (1993) 675–678.
  • [1389] K. Pavlovskii, N. Ivanova, K. Belczynski, and K. X. Van, “Stability of mass transfer from massive giants: double black hole binary formation and ultraluminous X-ray sources,” Mon. Not. Roy. Astron. Soc. 465 no. 2, (2017) 2092–2100, arXiv:1606.04921 [astro-ph.HE].
  • [1390] J. Klencki, A. G. Istrate, G. Nelemans, and O. Pols, “Partial-envelope stripping and nuclear-timescale mass transfer from evolved supergiants at low metallicity,” Astron. Astrophys. 662 (2022) A56, arXiv:2111.10271 [astro-ph.SR].
  • [1391] P. Marchant, K. M. W. Pappas, M. Gallegos-Garcia, C. P. L. Berry, R. E. Taam, V. Kalogera, and P. Podsiadlowski, “The role of mass transfer and common envelope evolution in the formation of merging binary black holes,” Astron. Astrophys. 650 (2021) A107, arXiv:2103.09243 [astro-ph.SR].
  • [1392] M. Gallegos-Garcia, C. P. L. Berry, P. Marchant, and V. Kalogera, “Binary Black Hole Formation with Detailed Modeling: Stable Mass Transfer Leads to Lower Merger Rates,” Astrophys. J. 922 no. 2, (2021) 110, arXiv:2107.05702 [astro-ph.HE].
  • [1393] A. Olejak, K. Belczynski, and N. Ivanova, “Impact of common envelope development criteria on the formation of LIGO/Virgo sources,” Astron. Astrophys. 651 (2021) A100, arXiv:2102.05649 [astro-ph.HE].
  • [1394] M. M. Briel, H. F. Stevance, and J. J. Eldridge, “Understanding the high-mass binary black hole population from stable mass transfer and super-Eddington accretion in BPASS,” arXiv:2206.13842 [astro-ph.HE].
  • [1395] A. Dorozsmai and S. Toonen, “Importance of stable mass transfer and stellar winds for the formation of gravitational wave sources,” arXiv:2207.08837 [astro-ph.SR].
  • [1396] S. S. Bavera, M. Fishbach, M. Zevin, E. Zapartas, and T. Fragos, “The χeff − z correlation of field binary black hole mergers and how 3G gravitational-wave detectors can constrain it,” Astron. Astrophys. 665 (2022) A59, arXiv:2204.02619 [astro-ph.HE].
  • [1397] M. Safarzadeh, E. Berger, K. K. Y. Ng, H.-Y. Chen, S. Vitale, C. Whittle, and E. Scannapieco, “Measuring the delay time distribution of binary neutron stars. II. Using the redshift distribution from third-generation gravitational wave detectors network,” Astrophys. J. Lett. 878 no. 1, (2019) L13, arXiv:1904.10976 [astro-ph.HE]. – 660 –
  • [1398] A. Olejak, J. Klencki, X.-T. Xu, C. Wang, K. Belczynski, and J.-P. Lasota, “Unequal-mass, highly-spinning binary black hole mergers in the stable mass transfer formation channel,” arXiv:2404.12426 [astro-ph.HE].
  • [1399] M. Spera, M. Mapelli, N. Giacobbo, A. A. Trani, A. Bressan, and G. Costa, “Merging black hole binaries with the SEVN code,” arXiv:1809.04605 [astro-ph.HE].
  • [1400] K. Belczynski, Z. Doctor, M. Zevin, A. Olejak, S. Banerje, and D. Chattopadhyay, “Black Hole–Black Hole Total Merger Mass and the Origin of LIGO/Virgo Sources,” Astrophys. J. 935 no. 2, (2022) 126, arXiv:2204.11730 [astro-ph.HE].
  • [1401] K. Belczynski, M. Benacquista, and T. Bulik, “Double Compact Objects as Low-frequency Gravitational Wave Sources,” Astrophys. J. 725 (2010) 816–823, arXiv:0811.1602 [astro-ph].
  • [1402] A. Maeder and G. Meynet, “Grids of evolutionary models of massive stars with mass loss and overshooting - Properties of Wolf-Rayet stars sensitive to overshooting.,” A&A 182 (Aug., 1987) 243–263.
  • [1403] A. Heger, S. E. Woosley, and H. C. Spruit, “Presupernova evolution of differentially rotating massive stars including magnetic fields,” Astrophys. J. 626 (2005) 350–363, arXiv:astro-ph/0409422.
  • [1404] S.-C. Yoon, N. Langer, and C. Norman, “Single star progenitors of long gamma-ray bursts. 1. Model grids and redshift dependent GRB rate,” Astron. Astrophys. 460 (2006) 199, arXiv:astro-ph/0606637.
  • [1405] S. E. de Mink and I. Mandel, “The chemically homogeneous evolutionary channel for binary black hole mergers: rates and properties of gravitational-wave events detectable by advanced LIGO,” Mon. Not. Roy. Astron. Soc. 460 no. 4, (2016) 3545–3553, arXiv:1603.02291 [astro-ph.HE].
  • [1406] I. Mandel and S. E. de Mink, “Merging binary black holes formed through chemically homogeneous evolution in short-period stellar binaries,” Mon. Not. Roy. Astron. Soc. 458 no. 3, (2016) 2634–2647, arXiv:1601.00007 [astro-ph.HE].
  • [1407] P. Marchant, N. Langer, P. Podsiadlowski, T. M. Tauris, and T. J. Moriya, “A new route towards merging massive black holes,” Astron. Astrophys. 588 (2016) A50, arXiv:1601.03718 [astro-ph.SR].
  • [1408] L. du Buisson, P. Marchant, P. Podsiadlowski, C. Kobayashi, F. B. Abdalla, P. Taylor, I. Mandel, S. E. de Mink, T. J. Moriya, and N. Langer, “Skip Nav Destination Cosmic rates of black hole mergers and pair-instability supernovae from chemically homogeneous binary evolution,” Mon. Not. Roy. Astron. Soc. 499 no. 4, (2020) 5941–5959, arXiv:2002.11630 [astro-ph.HE].
  • [1409] J. Riley, I. Mandel, P. Marchant, E. Butler, K. Nathaniel, C. Neijssel, S. Shortt, and A. Vigna-Gomez, “Chemically homogeneous evolution: a rapid population synthesis approach,” Mon. Not. Roy. Astron. Soc. 505 no. 1, (2021) 663–676, arXiv:2010.00002 [astro-ph.SR].
  • [1410] H. von Zeipel, “The radiative equilibrium of a rotating system of gaseous masses,” MNRAS 84 (June, 1924) 665–683.
  • [1411] A. S. Eddington, “Circulating currents in rotating stars,” The Observatory 48 (Mar., 1925) 73–75.
  • [1412] P. A. Sweet, “The importance of rotation in stellar evolution,” MNRAS 110 (Jan., 1950) 548.
  • [1413] J. S. Vink, A. de Koter, and H. J. G. L. M. Lamers, “Mass-loss predictions for o and b stars – 661 – as a function of metallicity,” Astron. Astrophys. 369 (2001) 574–588, arXiv:astro-ph/0101509.
  • [1414] J. S. Vink and A. de Koter, “On the metallicity dependence of Wolf-Rayet winds,” Astron. Astrophys. 442 (2005) 587, arXiv:astro-ph/0507352.
  • [1415] S. E. de Mink, M. Cantiello, N. Langer, S. C. Yoon, I. Brott, E. Glebbeek, M. Verkoulen, and O. R. Pols, “Rotational mixing in close binaries,” IAU Symp. 252 (2008) 365–370, arXiv:0805.2544 [astro-ph].
  • [1416] D. Gerosa, M. Kesden, E. Berti, R. O’Shaughnessy, and U. Sperhake, “Resonant-plane locking and spin alignment in stellar-mass black-hole binaries: a diagnostic of compact-binary formation,” Phys. Rev. D 87 (2013) 104028, arXiv:1302.4442 [gr-qc].
  • [1417] D. Gerosa, E. Berti, R. O’Shaughnessy, K. Belczynski, M. Kesden, D. Wysocki, and W. Gladysz, “Spin orientations of merging black holes formed from the evolution of stellar binaries,” Phys. Rev. D 98 no. 8, (2018) 084036, arXiv:1808.02491 [astro-ph.HE].
  • [1418] J. Fuller and L. Ma, “Most Black Holes are Born Very Slowly Rotating,” Astrophys. J. Lett. 881 no. 1, (2019) L1, arXiv:1907.03714 [astro-ph.SR].
  • [1419] K. Belczynski et al., “Evolutionary roads leading to low effective spins, high black hole masses, and O1/O2 rates for LIGO/Virgo binary black holes,” Astron. Astrophys. 636 (2020) A104, arXiv:1706.07053 [astro-ph.HE].
  • [1420] L. A. C. van Son, S. E. de Mink, F. S. Broekgaarden, M. Renzo, S. Justham, E. Laplace, J. Moran-Fraile, D. D. Hendriks, and R. Farmer, “Polluting the pair-instability mass gap for binary black holes through super-Eddington accretion in isolated binaries,” Astrophys. J. 897 no. 1, (2020) 100, arXiv:2004.05187 [astro-ph.HE].
  • [1421] N. Steinle and M. Kesden, “Signatures of spin precession and nutation in isolated black-hole binaries,” Phys. Rev. D 106 no. 6, (2022) 063028, arXiv:2206.00391 [astro-ph.HE].
  • [1422] Y. Shao and X.-D. Li, “Stable Mass Transfer Can Explain Massive Binary Black Hole Mergers with a High-spin Component,” Astrophys. J. 930 no. 1, (2022) 26, arXiv:2203.14529 [astro-ph.HE].
  • [1423] D. Kushnir, M. Zaldarriaga, J. A. Kollmeier, and R. Waldman, “GW150914: Spin based constraints on the merger time of the progenitor system,” Mon. Not. Roy. Astron. Soc. 462 no. 1, (2016) 844–849, arXiv:1605.03839 [astro-ph.HE].
  • [1424] M. Zaldarriaga, D. Kushnir, and J. A. Kollmeier, “The expected spins of gravitational wave sources with isolated field binary progenitors,” Mon. Not. Roy. Astron. Soc. 473 no. 3, (2018) 4174–4178, arXiv:1702.00885 [astro-ph.HE].
  • [1425] K. Hotokezaka and T. Piran, “Implications of the low binary black hole aligned spins observed by LIGO,” Astrophys. J. 842 no. 2, (2017) 111, arXiv:1702.03952 [astro-ph.HE].
  • [1426] N. R. Evans, “Multiplicity in 5 Msun Stars,” IAU Symp. 272 (2010) 537–538, arXiv:1010.2939 [astro-ph.SR].
  • [1427] M. Moe and R. Di Stefano, “Mind Your Ps and Qs: The Interrelation between Period (P) and Mass-ratio (Q) Distributions of Binary Stars,” ApJS 230 no. 2, (June, 2017) 15, arXiv:1606.05347 [astro-ph.SR].
  • [1428] H. Sana, S. E. de Mink, A. de Koter, N. Langer, C. J. Evans, M. Gieles, E. Gosset, R. G. Izzard, J. B. L. Bouquin, and F. R. N. Schneider, “Binary interaction dominates the evolution of massive stars,” Science 337 (2012) 444, arXiv:1207.6397 [astro-ph.SR].
  • [1429] H. A. Kobulnicky et al., “Toward Complete Statistics of Massive Binary Stars: Penultimate Results from the Cygnus OB2 Radial Velocity Survey,” Astrophys. J. Suppl. 213 no. 2, (2014) 34, arXiv:1406.6655 [astro-ph.SR]. – 662 –
  • [1430] E. Bordier, W. J. de Wit, A. J. Frost, H. Sana, T. Pauwels, and E. Koumpia, “The onset of stellar multiplicity in massive star formation: A search for low-mass companions of massive young stellar objects with L’-band adaptive optics imaging,” A&A 681 (Jan., 2024) A85, arXiv:2311.06131 [astro-ph.SR].
  • [1431] S. S. R. Offner, M. Moe, K. M. Kratter, S. I. Sadavoy, E. L. N. Jensen, and J. J. Tobin, “The Origin and Evolution of Multiple Star Systems,” in Protostars and Planets VII, S. Inutsuka, Y. Aikawa, T. Muto, K. Tomida, and M. Tamura, eds., vol. 534 of Astronomical Society of the Pacific Conference Series, p. 275. July, 2023. arXiv:2203.10066 [astro-ph.SR].
  • [1432] H. von Zeipel, “Sur l’application des séries de M. Lindstedt à l’étude du mouvement des comètes périodiques,” Astronomische Nachrichten 183 no. 22, (Mar., 1910) 345.
  • [1433] M. L. Lidov, “The evolution of orbits of artificial satellites of planets under the action of gravitational perturbations of external bodies,” Planet. Space Sci. 9 no. 10, (1962) 719–759.
  • [1434] Y. Kozai, “Secular perturbations of asteroids with high inclination and eccentricity,” Astron. J. 67 (1962) 591–598.
  • [1435] T. A. Thompson, “Accelerating Compact Object Mergers in Triple Systems with the Kozai Resonance: A Mechanism for ’Prompt” Type Ia Supernovae, Gamma-Ray Bursts, and Other Exotica,” Astrophys. J. 741 (2011) 82, arXiv:1011.4322 [astro-ph.HE].
  • [1436] K. Silsbee and S. Tremaine, “Lidov-Kozai Cycles with Gravitational Radiation: Merging Black Holes in Isolated Triple Systems,” Astrophys. J. 836 no. 1, (2017) 39, arXiv:1608.07642 [astro-ph.HE].
  • [1437] F. Antonini, S. Toonen, and A. S. Hamers, “Binary black hole mergers from field triples: properties, rates and the impact of stellar evolution,” Astrophys. J. 841 no. 2, (2017) 77, arXiv:1703.06614 [astro-ph.GA].
  • [1438] G. Fragione and B. Kocsis, “Effective spin distribution of black hole mergers in triples,” Mon. Not. Roy. Astron. Soc. 493 no. 3, (2020) 3920–3931, arXiv:1910.00407 [astro-ph.GA].
  • [1439] Y. Su, D. Lai, and B. Liu, “Spin-orbit misalignments in tertiary-induced binary black-hole mergers: Theoretical analysis,” Phys. Rev. D 103 no. 6, (2021) 063040, arXiv:2010.11951 [gr-qc].
  • [1440] M. A. S. Martinez, C. L. Rodriguez, and G. Fragione, “On the Mass Ratio Distribution of Black Hole Mergers in Triple Systems,” Astrophys. J. 937 no. 2, (2022) 78, arXiv:2105.01671 [astro-ph.SR].
  • [1441] C. L. Rodriguez and F. Antonini, “A Triple Origin for the Heavy and Low-Spin Binary Black Holes Detected by LIGO/Virgo,” Astrophys. J. 863 no. 1, (2018) 7, arXiv:1805.08212 [astro-ph.HE].
  • [1442] G. Fragione and A. Loeb, “Black hole–neutron star mergers from triples,” Mon. Not. Roy. Astron. Soc. 486 no. 3, (2019) 4443–4450, arXiv:1903.10511 [astro-ph.GA].
  • [1443] G. Fragione and A. Loeb, “Black hole–neutron star mergers from triples – II. The role of metallicity and spin–orbit misalignment,” Mon. Not. Roy. Astron. Soc. 490 no. 4, (2019) 4991–5001, arXiv:1907.08614 [astro-ph.GA].
  • [1444] S. Toonen, S. Portegies Zwart, A. S. Hamers, and D. Bandopadhyay, “The evolution of stellar triples. The most common evolutionary pathways,” A&A 640 (Aug., 2020) A16, arXiv:2004.07848 [astro-ph.SR].
  • [1445] F. Kummer, S. Toonen, and A. de Koter, “The main evolutionary pathways of massive hierarchical triple stars,” A&A 678 (Oct., 2023) A60, arXiv:2306.09400 [astro-ph.SR]. – 663 –
  • [1446] J. Stegmann, F. Antonini, and M. Moe, “Evolution of massive stellar triples and implications for compact object binary formation,” Mon. Not. Roy. Astron. Soc. 516 no. 1, (2022) 1406–1427, arXiv:2112.10786 [astro-ph.SR].
  • [1447] A. S. Hamers and T. A. Thompson, “Double neutron star mergers from hierarchical triple-star systems,” arXiv:1907.08297 [astro-ph.HE].
  • [1448] J. Stegmann, F. Antonini, F. R. N. Schneider, V. Tiwari, and D. Chattopadhyay, “Binary black hole mergers from merged stars in the Galactic field,” Phys. Rev. D 106 no. 2, (2022) 023014, arXiv:2203.16544 [astro-ph.GA].
  • [1449] B. Liu, D. Lai, and Y.-H. Wang, “Black Hole and Neutron Star Binary Mergers in Triple Systems: II. Merger Eccentricity and Spin-Orbit Misalignment,” arXiv:1905.00427 [astro-ph.HE].
  • [1450] Y. Su, B. Liu, and D. Lai, “The mass-ratio distribution of tertiary-induced binary black hole mergers,” Mon. Not. Roy. Astron. Soc. 505 no. 3, (2021) 3681–3697, arXiv:2103.01963 [astro-ph.HE].
  • [1451] A. Dorozsmai, S. Toonen, A. Vigna-Gómez, S. E. de Mink, and F. Kummer, “Stellar triples with chemically homogeneously evolving inner binaries,” Mon. Not. Roy. Astron. Soc. 527 no. 4, (2023) 9782–9809, arXiv:2307.04793 [astro-ph.SR].
  • [1452] A. Vigna-Gómez, S. Toonen, E. Ramirez-Ruiz, N. W. C. Leigh, J. Riley, and C.-J. Haster, “Massive Stellar Triples Leading to Sequential Binary Black-Hole Mergers in the Field,” Astrophys. J. Lett. 907 no. 1, (2021) L19, arXiv:2010.13669 [astro-ph.HE].
  • [1453] G. Fragione, A. Loeb, and F. A. Rasio, “Merging Black Holes in the Low-mass and High-mass Gaps from 2 + 2 Quadruple Systems,” Astrophys. J. Lett. 895 no. 1, (2020) L15, arXiv:2002.11278 [astro-ph.GA].
  • [1454] W. Lu, P. Beniamini, and C. Bonnerot, “On the formation of GW190814,” Mon. Not. Roy. Astron. Soc. 500 no. 2, (2020) 1817–1832, arXiv:2009.10082 [astro-ph.HE].
  • [1455] M. Safarzadeh, A. S. Hamers, A. Loeb, and E. Berger, “Formation and merging of Mass Gap Black Holes in Gravitational Wave Merger Events from Wide Hierarchical Quadruple Systems,” Astrophys. J. Lett. 888 no. 1, (2020) L3, arXiv:1911.04495 [astro-ph.HE].
  • [1456] B. Liu and D. Lai, “Hierarchical Black-Hole Mergers in Multiple Systems: Constrain the Formation of GW190412, GW190814 and GW190521-like events,” Mon. Not. Roy. Astron. Soc. 502 no. 2, (2021) 2049–2064, arXiv:2009.10068 [astro-ph.HE].
  • [1457] F. Kummer, S. Toonen, A. Dorozsmai, E. Grishin, and A. de Koter, “BH-BH mergers with & without EM counterpart: A model for stable tertiary mass transfer in hierarchical triple systems,” arXiv:2409.03826 [astro-ph.SR].
  • [1458] B. Liu and D. Lai, “Spin–Orbit Misalignment of Merging Black Hole Binaries with Tertiary Companions,” Astrophys. J. Lett. 846 no. 1, (2017) L11, arXiv:1706.02309 [astro-ph.HE].
  • [1459] F. Antonini, C. L. Rodriguez, C. Petrovich, and C. L. Fischer, “Precessional dynamics of black hole triples: binary mergers with near-zero effective spin,” Mon. Not. Roy. Astron. Soc. 480 no. 1, (2018) L58–L62, arXiv:1711.07142 [astro-ph.HE].
  • [1460] B. Liu and D. Lai, “Black Hole and Neutron Star Binary Mergers in Triple Systems: Merger Fraction and Spin–Orbit Misalignment,” Astrophys. J. 863 no. 1, (2018) 68, arXiv:1805.03202 [astro-ph.HE].
  • [1461] H. Yu, S. Ma, M. Giesler, and Y. Chen, “Spin and Eccentricity Evolution in Triple Systems: from the Lidov-Kozai Interaction to the Final Merger of the Inner Binary,” Phys. Rev. D 102 (2020) 123009, arXiv:2007.12978 [gr-qc]. – 664 –
  • [1462] X. Chen and P. Amaro-Seoane, “Revealing the formation of stellar-mass black hole binaries: The need for deci-Hertz gravitational wave observatories,” Astrophys. J. Lett. 842 no. 1, (2017) L2, arXiv:1702.08479 [astro-ph.HE].
  • [1463] S. Portegies Zwart, S. McMillan, and M. Gieles, “Young massive star clusters,” Ann. Rev. Astron. Astrophys. 48 (2010) 431–493, arXiv:1002.1961 [astro-ph.GA].
  • [1464] W. E. Harris, “A New Catalog of Globular Clusters in the Milky Way,” arXiv:1012.3224 [astro-ph.GA].
  • [1465] N. Neumayer, A. Seth, and T. Boeker, “Nuclear star clusters,” Astron. Astrophys. Rev. 28 no. 1, (2020) 4, arXiv:2001.03626 [astro-ph.GA].
  • [1466] M. Gatto, V. Ripepi, M. Bellazzini, M. Tosi, M. Cignoni, C. Tortora, S. Leccia, G. Clementini, E. K. Grebel, G. Longo, M. Marconi, and I. Musella, “STEP survey - II. Structural analysis of 170 star clusters in the SMC,” MNRAS 507 no. 3, (Nov., 2021) 3312–3330, arXiv:2108.02791 [astro-ph.GA].
  • [1467] I. Y. Georgiev, T. Böker, N. Leigh, N. Lützgendorf, and N. Neumayer, “Masses and scaling relations for nuclear star clusters, and their co-existence with central black holes,” MNRAS 457 no. 2, (Apr., 2016) 2122–2138, arXiv:1601.02613 [astro-ph.GA].
  • [1468] P. G. Breen and D. C. Heggie, “Dynamical evolution of black hole sub-systems in idealised star clusters,” Mon. Not. Roy. Astron. Soc. 432 (2013) 2779, arXiv:1304.3401 [astro-ph.GA].
  • [1469] D. Clausen, S. Sigurdsson, and D. F. Chernoff, “Black Hole-Neutron Star Mergers in Globular Clusters,” Mon. Not. Roy. Astron. Soc. 428 (2013) 3618, arXiv:1210.8153 [astro-ph.HE].
  • [1470] C. S. Ye, W.-f. Fong, K. Kremer, C. L. Rodriguez, S. Chatterjee, G. Fragione, and F. A. Rasio, “On the Rate of Neutron Star Binary Mergers from Globular Clusters,” Astrophys. J. Lett. 888 no. 1, (2020) L10, arXiv:1910.10740 [astro-ph.HE].
  • [1471] S. Rastello, M. Mapelli, U. N. Di Carlo, N. Giacobbo, F. Santoliquido, M. Spera, A. Ballone, and G. Iorio, “Dynamics of black hole–neutron star binaries in young star clusters,” Mon. Not. Roy. Astron. Soc. 497 no. 2, (2020) 1563–1570, arXiv:2003.02277 [astro-ph.HE].
  • [1472] M. A. Sedda, “Dissecting the properties of neutron star - black hole mergers originating in dense star clusters,” Commun. Phys. 3 (2020) 43, arXiv:2003.02279 [astro-ph.GA].
  • [1473] G. Fragione and S. Banerjee, “Demographics of Neutron Stars in Young Massive and Open Clusters,” Astrophys. J. Lett. 901 no. 1, (2020) L16, arXiv:2006.06702 [astro-ph.GA].
  • [1474] M. Arca Sedda, M. Mapelli, M. Spera, M. Benacquista, and N. Giacobbo, “Fingerprints of binary black hole formation channels encoded in the mass and spin of merger remnants,” Astrophys. J. 894 no. 2, (2020) 133, arXiv:2003.07409 [astro-ph.GA].
  • [1475] F. Foucart, “Black Hole-Neutron Star Mergers: Disk Mass Predictions,” Phys. Rev. D 86 (2012) 124007, arXiv:1207.6304 [astro-ph.HE].
  • [1476] K. Ackley et al., “Observational constraints on the optical and near-infrared emission from the neutron star–black hole binary merger candidate S190814bv,” Astron. Astrophys. 643 (2020) A113, arXiv:2002.01950 [astro-ph.SR].
  • [1477] K. Belczynski et al., “The origin of the first neutron star – neutron star merger,” Astron. Astrophys. 615 (2018) A91, arXiv:1712.00632 [astro-ph.HE].
  • [1478] A. Gupta, D. Gerosa, K. G. Arun, E. Berti, W. M. Farr, and B. S. Sathyaprakash, “Black holes in the low mass gap: Implications for gravitational wave observations,” Phys. Rev. D 101 no. 10, (2020) 103036, arXiv:1909.05804 [gr-qc]. – 665 –
  • [1479] LIGO Scientific, VIRGO, KAGRA Collaboration, “Observation of Gravitational Waves from the Coalescence of a 2.5 − 4.5 M⊙ Compact Object and a Neutron Star,” arXiv:2404.04248 [astro-ph.HE].
  • [1480] C. S. Ye, K. Kremer, S. M. Ransom, and F. A. Rasio, “Lower-mass-gap Black Holes in Dense Star Clusters,” arXiv:2408.00076 [astro-ph.HE].
  • [1481] M. Zevin, M. Spera, C. P. L. Berry, and V. Kalogera, “Exploring the Lower Mass Gap and Unequal Mass Regime in Compact Binary Evolution,” Astrophys. J. Lett. 899 (2020) L1, arXiv:2006.14573 [astro-ph.HE].
  • [1482] R. M. O’Leary, B. Kocsis, and A. Loeb, “Gravitational waves from scattering of stellar-mass black holes in galactic nuclei,” Mon. Not. Roy. Astron. Soc. 395 no. 4, (2009) 2127–2146, arXiv:0807.2638 [astro-ph].
  • [1483] B.-M. Hoang, S. Naoz, and K. Kremer, “Neutron Star–Black Hole Mergers from Gravitational-wave Captures,” Astrophys. J. 903 no. 1, (2020) 8, arXiv:2007.08531 [astro-ph.HE].
  • [1484] J. Samsing, “Eccentric Black Hole Mergers Forming in Globular Clusters,” Phys. Rev. D 97 no. 10, (2018) 103014, arXiv:1711.07452 [astro-ph.HE].
  • [1485] C. L. Rodriguez, M. Zevin, P. Amaro-Seoane, S. Chatterjee, K. Kremer, F. A. Rasio, and C. S. Ye, “Black holes: The next generation—repeated mergers in dense star clusters and their gravitational-wave properties,” Phys. Rev. D 100 no. 4, (2019) 043027, arXiv:1906.10260 [astro-ph.HE].
  • [1486] M. A. Sedda, S. Naoz, and B. Kocsis, “Quiescent and Active Galactic Nuclei as Factories of Merging Compact Objects in the Era of Gravitational Wave Astronomy,” Universe 9 no. 3, (2023) 138, arXiv:2302.14071 [astro-ph.GA].
  • [1487] L. Gondán, B. Kocsis, P. Raffai, and Z. Frei, “Eccentric Black Hole Gravitational-Wave Capture Sources in Galactic Nuclei: Distribution of Binary Parameters,” Astrophys. J. 860 no. 1, (2018) 5, arXiv:1711.09989 [astro-ph.HE].
  • [1488] L. Gondán and B. Kocsis, “Measurement Accuracy of Inspiraling Eccentric Neutron Star and Black Hole Binaries Using Gravitational Waves,” Astrophys. J. 871 no. 2, (2019) 178, arXiv:1809.00672 [astro-ph.HE].
  • [1489] A. Rasskazov and B. Kocsis, “The rate of stellar mass black hole scattering in galactic nuclei,” Astrophys. J. 881 no. 1, (2019) 20, arXiv:1902.03242 [astro-ph.HE].
  • [1490] H. M. Lee, “Evolution of galactic nuclei with 10 x solar mass black holes,” Mon. Not. Roy. Astron. Soc. 272 (1995) 605, arXiv:astro-ph/9409073.
  • [1491] D. C. Heggie, “Binary Evolution in Stellar Dynamics,” Mon. Not. Roy. Astron. Soc. 173 no. 3, (1975) 729–787.
  • [1492] R. M. O’Leary, F. A. Rasio, J. M. Fregeau, N. Ivanova, and R. W. O’Shaughnessy, “Binary mergers and growth of black holes in dense star clusters,” Astrophys. J. 637 (2006) 937–951, arXiv:astro-ph/0508224.
  • [1493] M. Morscher, B. Pattabiraman, C. Rodriguez, F. A. Rasio, and S. Umbreit, “The Dynamical Evolution of Stellar Black Holes in Globular Clusters,” Astrophys. J. 800 no. 1, (2015) 9, arXiv:1409.0866 [astro-ph.GA].
  • [1494] D. Atallah, N. C. Weatherford, A. A. Trani, and F. A. Rasio, “On Binary Formation from Three Initially Unbound Bodies,” ApJ 970 no. 2, (Aug., 2024) 112, arXiv:2402.12429 [astro-ph.SR].
  • [1495] M. C. Miller and D. P. Hamilton, “Production of intermediate-mass black holes in globular clusters,” Mon. Not. Roy. Astron. Soc. 330 (2002) 232, arXiv:astro-ph/0106188. – 666 –
  • [1496] J. Samsing, M. MacLeod, and E. Ramirez-Ruiz, “The Formation of Eccentric Compact Binary Inspirals and the Role of Gravitational Wave Emission in Binary-Single Stellar Encounters,” Astrophys. J. 784 (2014) 71, arXiv:1308.2964 [astro-ph.HE].
  • [1497] N. W. C. Leigh et al., “On the rate of black hole binary mergers in galactic nuclei due to dynamical hardening,” Mon. Not. Roy. Astron. Soc. 474 no. 4, (2018) 5672–5683, arXiv:1711.10494 [astro-ph.GA].
  • [1498] H. Tagawa, B. Kocsis, Z. Haiman, I. Bartos, K. Omukai, and J. Samsing, “Eccentric Black Hole Mergers in Active Galactic Nuclei,” Astrophys. J. Lett. 907 no. 1, (2021) L20, arXiv:2010.10526 [astro-ph.HE].
  • [1499] C. L. Rodriguez, P. Amaro-Seoane, S. Chatterjee, K. Kremer, F. A. Rasio, J. Samsing, C. S. Ye, and M. Zevin, “Post-Newtonian Dynamics in Dense Star Clusters: Formation, Masses, and Merger Rates of Highly-Eccentric Black Hole Binaries,” Phys. Rev. D 98 no. 12, (2018) 123005, arXiv:1811.04926 [astro-ph.HE].
  • [1500] M. Dall’Amico, M. Mapelli, S. Torniamenti, and M. A. Sedda, “Eccentric black hole mergers via three-body interactions in young, globular, and nuclear star clusters,” Astron. Astrophys. 683 (2024) A186, arXiv:2303.07421 [astro-ph.HE].
  • [1501] J. Samsing and D. J. D’Orazio, “Black Hole Mergers From Globular Clusters Observable by LISA I: Eccentric Sources Originating From Relativistic N-body Dynamics,” Mon. Not. Roy. Astron. Soc. 481 no. 4, (2018) 5445–5450, arXiv:1804.06519 [astro-ph.HE].
  • [1502] H. Tagawa, B. Kocsis, Z. Haiman, I. Bartos, K. Omukai, and J. Samsing, “Mass-gap Mergers in Active Galactic Nuclei,” Astrophys. J. 908 no. 2, (2021) 194, arXiv:2012.00011 [astro-ph.HE].
  • [1503] K. Kremer, M. Spera, D. Becker, S. Chatterjee, U. N. Di Carlo, G. Fragione, C. L. Rodriguez, C. S. Ye, and F. A. Rasio, “Populating the upper black hole mass gap through stellar collisions in young star clusters,” Astrophys. J. 903 no. 1, (2020) 45, arXiv:2006.10771 [astro-ph.HE].
  • [1504] P. Hut and J. N. Bahcall, “BINARY - SINGLE STAR SCATTERING. 1. NUMERICAL EXPERIMENTS FOR EQUAL MASSES,”.
  • [1505] P. Hut, S. McMillan, J. Goodman, M. Mateo, E. S. Phinney, C. Pryor, H. B. Richer, F. Verbunt, and M. Weinberg, “Binaries in globular clusters,” Publ. Astron. Soc. Pac. 104 (1992) 981.
  • [1506] S. Sigurdsson and E. S. Phinney, “Binary–Single Star Interactions in Globular Clusters,” Astrophys. J. 415 (1993) 631.
  • [1507] D. Atallah, N. C. Weatherford, A. A. Trani, and F. Rasio, “On Binary Formation from Three Initially Unbound Bodies,” arXiv:2402.12429 [astro-ph.SR].
  • [1508] M. Rozner and H. B. Perets, “Soft no more: gas shielding protects soft binaries from disruption in gas-rich environments,” arXiv:2404.01384 [astro-ph.HE].
  • [1509] B. Mckernan et al., “Constraining Stellar-mass Black Hole Mergers in AGN Disks Detectable with LIGO,” Astrophys. J. 866 no. 1, (2018) 66, arXiv:1702.07818 [astro-ph.HE].
  • [1510] H. Tagawa, Z. Haiman, and B. Kocsis, “Formation and Evolution of Compact Object Binaries in AGN Disks,” Astrophys. J. 898 no. 1, (2020) 25, arXiv:1912.08218 [astro-ph.GA].
  • [1511] Y. Yang, I. Bartos, Z. Haiman, B. Kocsis, S. Márka, and H. Tagawa, “Cosmic Evolution of Stellar-mass Black Hole Merger Rate in Active Galactic Nuclei,” Astrophys. J. 896 no. 2, (2020) 138, arXiv:2003.08564 [astro-ph.HE].
  • [1512] P. Artymowicz, D. N. C. Lin, and E. J. Wampler, “Star trapping and metallicity enrichment in quasars and AGNs,” Astrophys. J. 409 (1993) 592. – 667 –
  • [1513] B. McKernan, K. E. S. Ford, I. Bartos, M. J. Graham, W. Lyra, S. Marka, Z. Marka, N. P. Ross, D. Stern, and Y. Yang, “Ram-pressure stripping of a kicked Hill sphere: Prompt electromagnetic emission from the merger of stellar mass black holes in an AGN accretion disk,” Astrophys. J. Lett. 884 no. 2, (2019) L50, arXiv:1907.03746 [astro-ph.HE].
  • [1514] LIGO Scientific, Virgo Collaboration, R. Abbott et al., “GW190521: A Binary Black Hole Merger with a Total Mass of 150M⊙,” Phys. Rev. Lett. 125 no. 10, (2020) 101102, arXiv:2009.01075 [gr-qc].
  • [1515] F. Antonini, S. Chatterjee, C. L. Rodriguez, M. Morscher, B. Pattabiraman, V. Kalogera, and F. A. Rasio, “Black hole mergers and blue stragglers from hierarchical triples formed in globular clusters,” Astrophys. J. 816 no. 2, (2016) 65, arXiv:1509.05080 [astro-ph.GA].
  • [1516] M. Arca-Sedda, G. Li, and B. Kocsis, “Order in the chaos - Eccentric black hole binary mergers in triples formed via strong binary–binary scatterings,” Astron. Astrophys. 650 (2021) A189, arXiv:1805.06458 [astro-ph.HE].
  • [1517] M. A. S. Martinez et al., “Black Hole Mergers from Hierarchical Triples in Dense Star Clusters,” Astrophys. J. 903 no. 1, (2020) 67, arXiv:2009.08468 [astro-ph.GA].
  • [1518] L. Wen, “On the eccentricity distribution of coalescing black hole binaries driven by the Kozai mechanism in globular clusters,” Astrophys. J. 598 (2003) 419–430, arXiv:astro-ph/0211492.
  • [1519] N. Seto, “Highly Eccentric Kozai Mechanism and Gravitational-Wave Observation for Neutron Star Binaries,” Phys. Rev. Lett. 111 (2013) 061106, arXiv:1304.5151 [astro-ph.CO].
  • [1520] F. Antonini and H. B. Perets, “Secular evolution of compact binaries near massive black holes: Gravitational wave sources and other exotica,” Astrophys. J. 757 (2012) 27, arXiv:1203.2938 [astro-ph.GA].
  • [1521] B.-M. Hoang, S. Naoz, B. Kocsis, F. A. Rasio, and F. Dosopoulou, “Black Hole Mergers in Galactic Nuclei Induced by the Eccentric Kozai–Lidov Effect,” Astrophys. J. 856 no. 2, (2018) 140, arXiv:1706.09896 [astro-ph.HE].
  • [1522] G. Fragione, E. Grishin, N. W. C. Leigh, H. B. Perets, and R. Perna, “Black hole and neutron star mergers in galactic nuclei,” Mon. Not. Roy. Astron. Soc. 488 no. 1, (2019) 47–63, arXiv:1811.10627 [astro-ph.GA].
  • [1523] M. A. Sedda, “Birth, life, and death of black hole binaries around supermassive black holes: dynamical evolution of gravitational wave sources,” Astrophys. J. 891 (2020) 47, arXiv:2002.04037 [astro-ph.GA].
  • [1524] C. Hamilton and R. R. Rafikov, “Compact object binary mergers driven by cluster tides: a new channel for LIGO/Virgo gravitational wave events,” Astrophys. J. Lett. 881 no. 1, (2019) L13, arXiv:1907.00994 [astro-ph.GA].
  • [1525] E. Michaely and H. B. Perets, “Gravitational-wave Sources from Mergers of Binary Black Holes Catalyzed by Flyby Interactions in the Field,” Astrophys. J. Lett. 887 no. 2, (2019) L36, arXiv:1902.01864 [astro-ph.SR].
  • [1526] A. Nishizawa, A. Sesana, E. Berti, and A. Klein, “Constraining stellar binary black hole formation scenarios with eLISA eccentricity measurements,” Mon. Not. Roy. Astron. Soc. 465 no. 4, (2017) 4375–4380, arXiv:1606.09295 [astro-ph.HE].
  • [1527] D. J. D’Orazio and J. Samsing, “Black Hole Mergers From Globular Clusters Observable by LISA II: Resolved Eccentric Sources and the Gravitational Wave Background,” Mon. Not. Roy. Astron. Soc. 481 no. 4, (2018) 4775–4785, arXiv:1805.06194 [astro-ph.HE].
  • [1528] M. Zevin, J. Samsing, C. Rodriguez, C.-J. Haster, and E. Ramirez-Ruiz, “Eccentric Black – 668 – Hole Mergers in Dense Star Clusters: The Role of Binary–Binary Encounters,” Astrophys. J. 871 no. 1, (2019) 91, arXiv:1810.00901 [astro-ph.HE].
  • [1529] M. Arca Sedda, A. W. H. Kamlah, R. Spurzem, F. P. Rizzuto, M. Giersz, T. Naab, and P. Berczik, “The dragon-II simulations – III. Compact binary mergers in clusters with up to 1 million stars: mass, spin, eccentricity, merger rate, and pair instability supernovae rate,” Mon. Not. Roy. Astron. Soc. 528 no. 3, (2024) 5140–5159, arXiv:2307.04807 [astro-ph.HE].
  • [1530] I. M. Romero-Shaw, D. Gerosa, and N. Loutrel, “Eccentricity or spin precession? Distinguishing subdominant effects in gravitational-wave data,” Mon. Not. Roy. Astron. Soc. 519 no. 4, (2023) 5352–5357, arXiv:2211.07528 [astro-ph.HE].
  • [1531] V. Gayathri, J. Healy, J. Lange, B. O’Brien, M. Szczepanczyk, I. Bartos, M. Campanelli, S. Klimenko, C. O. Lousto, and R. O’Shaughnessy, “Eccentricity estimate for black hole mergers with numerical relativity simulations,” Nature Astron. 6 no. 3, (2022) 344–349, arXiv:2009.05461 [astro-ph.HE].
  • [1532] I. M. Romero-Shaw, P. D. Lasky, E. Thrane, and J. C. Bustillo, “GW190521: orbital eccentricity and signatures of dynamical formation in a binary black hole merger signal,” Astrophys. J. Lett. 903 no. 1, (2020) L5, arXiv:2009.04771 [astro-ph.HE].
  • [1533] M. Arca Sedda, M. Mapelli, M. Benacquista, and M. Spera, “Isolated and dynamical black hole mergers with B-POP: the role of star formation and dynamics, star cluster evolution, natal kicks, mass and spins, and hierarchical mergers,” Mon. Not. Roy. Astron. Soc. 520 no. 4, (2023) 5259–5282, arXiv:2109.12119 [astro-ph.GA].
  • [1534] S. Torniamenti, S. Rastello, M. Mapelli, U. N. Di Carlo, A. Ballone, and M. Pasquato, “Dynamics of binary black holes in young star clusters: the impact of cluster mass and long-term evolution,” arXiv:2203.08163 [astro-ph.GA].
  • [1535] D. Gerosa and E. Berti, “Escape speed of stellar clusters from multiple-generation black-hole mergers in the upper mass gap,” Phys. Rev. D 100 no. 4, (2019) 041301, arXiv:1906.05295 [astro-ph.HE].
  • [1536] Y. Yang, I. Bartos, V. Gayathri, K. E. S. Ford, Z. Haiman, S. Klimenko, B. Kocsis, S. Márka, Z. Márka, B. McKernan, and R. O’Shaughnessy, “Hierarchical Black Hole Mergers in Active Galactic Nuclei,” Phys. Rev. Lett. 123 no. 18, (Nov., 2019) 181101, arXiv:1906.09281 [astro-ph.HE].
  • [1537] M. Zevin and D. E. Holz, “Avoiding a Cluster Catastrophe: Retention Efficiency and the Binary Black Hole Mass Spectrum,” Astrophys. J. Lett. 935 (2022) L20, arXiv:2205.08549 [astro-ph.HE].
  • [1538] C. Kimball et al., “Evidence for Hierarchical Black Hole Mergers in the Second LIGO–Virgo Gravitational Wave Catalog,” Astrophys. J. Lett. 915 no. 2, (2021) L35, arXiv:2011.05332 [astro-ph.HE].
  • [1539] M. Campanelli, C. O. Lousto, Y. Zlochower, and D. Merritt, “Maximum gravitational recoil,” Phys. Rev. Lett. 98 (2007) 231102, arXiv:gr-qc/0702133.
  • [1540] C. O. Lousto and Y. Zlochower, “Modeling maximum astrophysical gravitational recoil velocities,” Phys. Rev. D 83 (2011) 024003, arXiv:1011.0593 [gr-qc].
  • [1541] C. O. Lousto, Y. Zlochower, M. Dotti, and M. Volonteri, “Gravitational Recoil From Accretion-Aligned Black-Hole Binaries,” Phys. Rev. D 85 (2012) 084015, arXiv:1201.1923 [gr-qc].
  • [1542] D. Gerosa and E. Berti, “Are merging black holes born from stellar collapse or previous mergers?,” Phys. Rev. D 95 no. 12, (June, 2017) 124046, arXiv:1703.06223 [gr-qc]. – 669 –
  • [1543] M. Arca-Sedda, P. Amaro-Seoane, and X. Chen, “Merging stellar and intermediate-mass black holes in dense clusters: implications for LIGO, LISA, and the next generation of gravitational wave detectors,” Astron. Astrophys. 652 (2021) A54, arXiv:2007.13746 [astro-ph.GA].
  • [1544] F. Antonini, M. Gieles, and A. Gualandris, “Black hole growth through hierarchical black hole mergers in dense star clusters: implications for gravitational wave detections,” Mon. Not. Roy. Astron. Soc. 486 no. 4, (2019) 5008–5021, arXiv:1811.03640 [astro-ph.HE].
  • [1545] F. Antonini and F. A. Rasio, “Merging black hole binaries in galactic nuclei: implications for advanced-LIGO detections,” Astrophys. J. 831 no. 2, (2016) 187, arXiv:1606.04889 [astro-ph.HE].
  • [1546] M. P. Vaccaro, M. Mapelli, C. Périgois, D. Barone, M. C. Artale, M. Dall’Amico, G. Iorio, and S. Torniamenti, “Impact of gas hardening on the population properties of hierarchical black hole mergers in AGN disks,” arXiv:2311.18548 [astro-ph.HE].
  • [1547] S. Torniamenti, M. Mapelli, C. Périgois, M. Arca Sedda, M. C. Artale, M. Dall’Amico, and M. P. Vaccaro, “Hierarchical binary black hole mergers in globular clusters: mass function and evolution with redshift,” arXiv:2401.14837 [astro-ph.HE].
  • [1548] M. Mapelli et al., “Hierarchical black hole mergers in young, globular and nuclear star clusters: the effect of metallicity, spin and cluster properties,” Mon. Not. Roy. Astron. Soc. 505 no. 1, (2021) 339–358, arXiv:2103.05016 [astro-ph.HE].
  • [1549] D. Chattopadhyay, J. Stegmann, F. Antonini, J. Barber, and I. M. Romero-Shaw, “Double black hole mergers in nuclear star clusters: eccentricities, spins, masses, and the growth of massive seeds,” Mon. Not. Roy. Astron. Soc. 526 no. 4, (2023) 4908–4928, arXiv:2308.10884 [astro-ph.HE].
  • [1550] G. Fragione and F. A. Rasio, “Demographics of Hierarchical Black Hole Mergers in Dense Star Clusters,” Astrophys. J. 951 no. 2, (2023) 129, arXiv:2302.11613 [astro-ph.GA].
  • [1551] G. Fragione, B. Kocsis, F. A. Rasio, and J. Silk, “Repeated Mergers, Mass-gap Black Holes, and Formation of Intermediate-mass Black Holes in Dense Massive Star Clusters,” Astrophys. J. 927 no. 2, (2022) 231, arXiv:2107.04639 [astro-ph.GA].
  • [1552] F. Antonini and M. Gieles, “Merger rate of black hole binaries from globular clusters: theoretical error bars and comparison to gravitational wave data from GWTC-2,” Phys. Rev. D 102 (2020) 123016, arXiv:2009.01861 [astro-ph.HE].
  • [1553] F. Pretorius, “Evolution of binary black hole spacetimes,” Phys. Rev. Lett. 95 (2005) 121101, arXiv:gr-qc/0507014.
  • [1554] M. A. Scheel, M. Boyle, T. Chu, L. E. Kidder, K. D. Matthews, and H. P. Pfeiffer, “High-accuracy waveforms for binary black hole inspiral, merger, and ringdown,” Phys. Rev. D 79 (2009) 024003, arXiv:0810.1767 [gr-qc].
  • [1555] E. Berti and M. Volonteri, “Cosmological black hole spin evolution by mergers and accretion,” Astrophys. J. 684 (2008) 822–828, arXiv:0802.0025 [astro-ph].
  • [1556] D. Gerosa and M. Fishbach, “Hierarchical mergers of stellar-mass black holes and their gravitational-wave signatures,” Nature Astron. 5 no. 8, (2021) 749–760, arXiv:2105.03439 [astro-ph.HE].
  • [1557] M. A. Sedda, F. P. Rizzuto, T. Naab, J. Ostriker, M. Giersz, and R. Spurzem, “Breaching the Limit: Formation of GW190521-like and IMBH Mergers in Young Massive Clusters,” Astrophys. J. 920 no. 2, (2021) 128, arXiv:2105.07003 [astro-ph.GA].
  • [1558] K. Kritos, E. Berti, and J. Silk, “Massive black hole assembly in nuclear star clusters,” Phys. Rev. D 108 no. 8, (2023) 083012, arXiv:2212.06845 [astro-ph.HE]. – 670 –
  • [1559] V. Baibhav, D. Gerosa, E. Berti, K. W. K. Wong, T. Helfer, and M. Mould, “The mass gap, the spin gap, and the origin of merging binary black holes,” Phys. Rev. D 102 no. 4, (2020) 043002, arXiv:2004.00650 [astro-ph.HE].
  • [1560] V. Baibhav, E. Berti, D. Gerosa, M. Mould, and K. W. K. Wong, “Looking for the parents of LIGO’s black holes,” Phys. Rev. D 104 no. 8, (2021) 084002, arXiv:2105.12140 [gr-qc].
  • [1561] G. Fragione and J. Silk, “Repeated mergers and ejection of black holes within nuclear star clusters,” Mon. Not. Roy. Astron. Soc. 498 no. 4, (2020) 4591–4604, arXiv:2006.01867 [astro-ph.GA].
  • [1562] G. D. Quinlan and S. L. Shapiro, “The Collapse of Dense Star Clusters to Supermassive Black Holes: Binaries and Gravitational Radiation,” ApJ 321 (Oct., 1987) 199.
  • [1563] M. H. Lee, “N-Body Evolution of Dense Clusters of Compact Stars,” ApJ 418 (Nov., 1993) 147.
  • [1564] U. N. Di Carlo et al., “Binary black holes in young star clusters: the impact of metallicity,” Mon. Not. Roy. Astron. Soc. 498 no. 1, (2020) 495–506, arXiv:2004.09525 [astro-ph.HE].
  • [1565] M. Arca Sedda, A. W. H. Kamlah, R. Spurzem, F. P. Rizzuto, T. Naab, M. Giersz, and P. Berczik, “The dragon-II simulations - II. Formation mechanisms, mass, and spin of intermediate-mass black holes in star clusters with up to 1 million stars,” Mon. Not. Roy. Astron. Soc. 526 no. 1, (2023) 429–442, arXiv:2307.04806.
  • [1566] M. Mapelli, M. Spera, E. Montanari, M. Limongi, A. Chieffi, N. Giacobbo, A. Bressan, and Y. Bouffanais, “Impact of the Rotation and Compactness of Progenitors on the Mass of Black Holes,” Astrophys. J. 888 (2020) 76, arXiv:1909.01371 [astro-ph.HE].
  • [1567] G. Costa, A. Bressan, M. Mapelli, P. Marigo, G. Iorio, and M. Spera, “Formation of GW190521 from stellar evolution: the impact of the hydrogen-rich envelope, dredge-up and 12 C(α, γ)16 O rate on the pair-instability black hole mass gap,” Mon. Not. Roy. Astron. Soc. 501 no. 3, (2021) 4514–4533, arXiv:2010.02242 [astro-ph.SR].
  • [1568] K. Belczynski and S. Banerjee, “Formation of low-spinning 100 M⊙ black holes,” A&A 640 (Aug., 2020) L20, arXiv:2002.08050 [astro-ph.HE].
  • [1569] J. S. Vink, E. R. Higgins, A. A. C. Sander, and G. N. Sabhahit, “Maximum black hole mass across cosmic time,” MNRAS 504 no. 1, (June, 2021) 146–154, arXiv:2010.11730 [astro-ph.HE].
  • [1570] U. N. Di Carlo, M. Mapelli, Y. Bouffanais, N. Giacobbo, F. Santoliquido, A. Bressan, M. Spera, and F. Haardt, “Binary black holes in the pair-instability mass gap,” Mon. Not. Roy. Astron. Soc. 497 no. 1, (2020) 1043–1049, arXiv:1911.01434 [astro-ph.HE].
  • [1571] A. Ballone, G. Costa, M. Mapelli, M. MacLeod, S. Torniamenti, and J. M. Pacheco-Arias, “Formation of black holes in the pair-instability mass gap: hydrodynamical simulations of a head-on massive star collision,” Mon. Not. Roy. Astron. Soc. 519 no. 4, (2023) 5191–5201, arXiv:2204.03493 [astro-ph.SR].
  • [1572] G. Costa, A. Ballone, M. Mapelli, and A. Bressan, “Formation of black holes in the pair-instability mass gap: Evolution of a post-collision star,” Mon. Not. Roy. Astron. Soc. 516 no. 1, (2022) 1072–1080, arXiv:2204.03492 [astro-ph.SR].
  • [1573] E. A. Huerta and J. R. Gair, “Intermediate-mass-ratio-inspirals in the Einstein Telescope. II. Parameter estimation errors,” Phys. Rev. D 83 (2011) 044021, arXiv:1011.0421 [gr-qc].
  • [1574] L. Reali, R. Cotesta, A. Antonelli, K. Kritos, V. Strokov, and E. Berti, “Intermediate-mass black hole binary parameter estimation with next-generation ground-based detector networks,” arXiv:2406.01687 [gr-qc]. – 671 –
  • [1575] M. Zevin, S. S. Bavera, C. P. L. Berry, V. Kalogera, T. Fragos, P. Marchant, C. L. Rodriguez, F. Antonini, D. E. Holz, and C. Pankow, “One Channel to Rule Them All? Constraining the Origins of Binary Black Holes Using Multiple Formation Pathways,” Astrophys. J. 910 no. 2, (2021) 152, arXiv:2011.10057 [astro-ph.HE].
  • [1576] I. Mandel and F. S. Broekgaarden, “Rates of compact object coalescences,” Living Rev. Rel. 25 no. 1, (2022) 1, arXiv:2107.14239 [astro-ph.HE].
  • [1577] C. S. Ye and M. Fishbach, “The Redshift Evolution of the Binary Black Hole Mass Distribution from Dense Star Clusters,” arXiv:2402.12444 [astro-ph.HE].
  • [1578] K. Belczynski, J. Klencki, C. E. Fields, A. Olejak, E. Berti, G. Meynet, C. L. Fryer, D. E. Holz, R. O’Shaughnessy, D. A. Brown, T. Bulik, S. C. Leung, K. Nomoto, P. Madau, R. Hirschi, E. Kaiser, S. Jones, S. Mondal, M. Chruślińska, P. Drozda, D. Gerosa, Z. Doctor, M. Giersz, S. Ekstrom, C. Georgy, A. Askar, V. Baibhav, D. Wysocki, T. Natan, W. M. Farr, G. Wiktorowicz, M. Coleman Miller, B. Farr, and J. P. Lasota, “Evolutionary roads leading to low effective spins, high black hole masses, and O1/O2 rates for LIGO/Virgo binary black holes,” A&A 636 (Apr., 2020) A104, arXiv:1706.07053 [astro-ph.HE].
  • [1579] S. Ghodla and J. J. Eldridge, “The effect of stellar rotation on black hole mass and spin,” arXiv:2312.10400 [astro-ph.HE].
  • [1580] G. Iorio et al., “Compact object mergers: exploring uncertainties from stellar and binary evolution with SEVN,” arXiv:2211.11774 [astro-ph.HE].
  • [1581] K. Belczynski, M. Dominik, T. Bulik, R. O’Shaughnessy, C. Fryer, and D. E. Holz, “The effect of metallicity on the detection prospects for gravitational waves,” Astrophys. J. Lett. 715 (2010) L138, arXiv:1004.0386 [astro-ph.HE].
  • [1582] M. Dominik, K. Belczynski, C. Fryer, D. Holz, E. Berti, T. Bulik, I. Mandel, and R. O’Shaughnessy, “Double Compact Objects I: The Significance of the Common Envelope on Merger Rates,” Astrophys. J. 759 (2012) 52, arXiv:1202.4901 [astro-ph.HE].
  • [1583] J. Klencki, M. Moe, W. Gladysz, M. Chruślińska, D. E. Holz, and K. Belczynski, “Impact of inter-correlated initial binary parameters on double black hole and neutron star mergers,” Astron. Astrophys. 619 (2018) A77, arXiv:1808.07889 [astro-ph.HE].
  • [1584] K. Belczynski, “The most ordinary formation of the most unusual double black hole merger,” Astrophys. J. Lett. 905 no. 2, (2020) L15, arXiv:2009.13526 [astro-ph.HE].
  • [1585] V. Kalogera, “Spin orbit misalignment in close binaries with two compact objects,” Astrophys. J. 541 (2000) 319–328, arXiv:astro-ph/9911417.
  • [1586] D. Gerosa, M. Kesden, R. O’Shaughnessy, A. Klein, E. Berti, U. Sperhake, and D. Trifirò, “Precessional instability in binary black holes with aligned spins,” Phys. Rev. Lett. 115 (2015) 141102, arXiv:1506.09116 [gr-qc].
  • [1587] K. Hotekezaka and T. Piran, “Are the observed black hole mergers spins consistent with field binary progenitors?,” arXiv:1707.08978 [astro-ph.HE].
  • [1588] D. Wysocki, D. Gerosa, R. O’Shaughnessy, K. Belczynski, W. Gladysz, E. Berti, M. Kesden, and D. E. Holz, “Explaining LIGO’s observations via isolated binary evolution with natal kicks,” Phys. Rev. D 97 no. 4, (2018) 043014, arXiv:1709.01943 [astro-ph.HE].
  • [1589] V. Baibhav, Z. Doctor, and V. Kalogera, “Dropping Anchor: Understanding the Populations of Binary Black Holes with Random and Aligned-spin Orientations,” Astrophys. J. 946 no. 1, (2023) 50, arXiv:2212.12113 [astro-ph.HE].
  • [1590] H. Tagawa, Z. Haiman, I. Bartos, and B. Kocsis, “Spin Evolution of Stellar-mass Black Hole Binaries in Active Galactic Nuclei,” Astrophys. J. 899 no. 1, (2020) 26, arXiv:2004.11914 [astro-ph.HE]. – 672 –
  • [1591] P. Saini, “Resolving the eccentricity of stellar mass binary black holes with next generation ground-based gravitational wave detectors,” Mon. Not. Roy. Astron. Soc. 528 no. 1, (2024) 833–842, arXiv:2308.07565 [astro-ph.HE].
  • [1592] S. Borhanian and B. S. Sathyaprakash, “Listening to the Universe with Next Generation Ground-Based Gravitational-Wave Detectors,” (2022) , arXiv:2202.11048 [gr-qc].
  • [1593] P. Madau and M. Dickinson, “Cosmic Star Formation History,” Ann. Rev. Astron. Astrophys. 52 (2014) 415–486, arXiv:1403.0007 [astro-ph.CO].
  • [1594] N. R. Tanvir et al., “A gamma-ray burst at a redshift of z˜8.2,” Nature 461 (2009) 1254–1257.
  • [1595] R. Salvaterra et al., “GRB 090423 reveals an exploding star at the epoch of re-ionization,” Nature 461 (2009) 1258, arXiv:0906.1578 [astro-ph.CO].
  • [1596] A. Cucchiara et al., “A Photometric Redshift of z ˜ 9.4 for GRB 090429B,” Astrophys. J. 736 (2011) 7, arXiv:1105.4915 [astro-ph.CO].
  • [1597] A. Adamo, H. Atek, M. B. Bagley, E. Bañados, K. S. S. Barrow, D. A. Berg, R. Bezanson, M. Bradač, G. Brammer, A. C. Carnall, J. Chisholm, D. Coe, P. Dayal, D. J. Eisenstein, J. J. Eldridge, A. Ferrara, S. Fujimoto, A. de Graaff, M. Habouzit, T. A. Hutchison, J. S. Kartaltepe, S. A. Kassin, M. Kriek, I. Labbé, R. Maiolino, R. Marques-Chaves, M. V. Maseda, C. Mason, J. Matthee, K. B. W. McQuinn, G. Meynet, R. P. Naidu, P. A. Oesch, L. Pentericci, P. G. Pérez-González, J. R. Rigby, G. Roberts-Borsani, D. Schaerer, A. E. Shapley, D. P. Stark, M. Stiavelli, A. L. Strom, E. Vanzella, F. Wang, S. M. Wilkins, C. C. Williams, C. J. Willott, D. Wylezalek, and A. Nota, “The First Billion Years, According to JWST,” arXiv:2405.21054 [astro-ph.GA].
  • [1598] S. E. Woosley, A. Heger, and T. A. Weaver, “The evolution and explosion of massive stars,” Rev. Mod. Phys. 74 (2002) 1015–1071.
  • [1599] M. R. Mokiem et al., “The empirical metallicity dependence of the mass-loss rate of O- and early B-type stars,” Astron. Astrophys. 473 (2007) 603–614, arXiv:0708.2042 [astro-ph].
  • [1600] G. Graefener and W. R. Hamann, “Mass loss from late-type WN stars and its Z-dependence: very massive stars approaching the Eddington limit,” Astron. Astrophys. 482 (2008) 945, arXiv:0803.0866 [astro-ph].
  • [1601] A. A. C. Sander and J. S. Vink, “On the nature of massive helium star winds and Wolf-Rayet-type mass-loss,” MNRAS 499 no. 1, (Nov., 2020) 873–892, arXiv:2009.01849 [astro-ph.SR].
  • [1602] K. Belczynski, T. Bulik, C. L. Fryer, A. Ruiter, J. S. Vink, and J. R. Hurley, “On The Maximum Mass of Stellar Black Holes,” Astrophys. J. 714 (2010) 1217–1226, arXiv:0904.2784 [astro-ph.SR].
  • [1603] M. Chruślińska, G. Nelemans, and K. Belczynski, “The influence of the distribution of cosmic star formation at different metallicities on the properties of merging double compact objects,” Mon. Not. Roy. Astron. Soc. 482 no. 4, (2019) 5012–5017, arXiv:1811.03565 [astro-ph.HE].
  • [1604] L. Barack et al., “Black holes, gravitational waves and fundamental physics: a roadmap,” Class. Quant. Grav. 36 no. 14, (2019) 143001, arXiv:1806.05195 [gr-qc].
  • [1605] M. Chruślińska and G. Nelemans, “Metallicity of stars formed throughout the cosmic history based on the observational properties of star-forming galaxies,” Monthly Notices of the Royal Astronomical Society 488 no. 4, (07, 2019) 5300–5326, https://academic.oup.com/mnras/article-pdf/488/4/5300/32358846/stz2057.pdf. https://doi.org/10.1093/mnras/stz2057. – 673 –
  • [1606] M. Chruślińska, G. Nelemans, L. Boco, and A. Lapi, “The impact of the FMR and starburst galaxies on the (low metallicity) cosmic star formation history,” Monthly Notices of the Royal Astronomical Society 508 no. 4, (09, 2021) 4994–5027, https://academic.oup.com/mnras/article-pdf/508/4/4994/40883636/stab2690.pdf. https://doi.org/10.1093/mnras/stab2690.
  • [1607] A. Boesky, F. S. Broekgaarden, and E. Berger, “Investigating the Cosmological Rate of Compact Object Mergers from Isolated Massive Binary Stars,” arXiv:2405.01630 [astro-ph.HE].
  • [1608] K. K. Y. Ng, S. Vitale, W. M. Farr, and C. L. Rodriguez, “Probing multiple populations of compact binaries with third-generation gravitational-wave detectors,” Astrophys. J. Lett. 913 no. 1, (2021) L5, arXiv:2012.09876 [astro-ph.CO].
  • [1609] F. Santoliquido, M. Mapelli, N. Giacobbo, Y. Bouffanais, and M. C. Artale, “The cosmic merger rate density of compact objects: impact of star formation, metallicity, initial mass function and binary evolution,” Mon. Not. Roy. Astron. Soc. 502 no. 4, (2021) 4877–4889, arXiv:2009.03911 [astro-ph.HE].
  • [1610] M. Chruślińska, “Chemical Evolution of the Universe and its Consequences for Gravitational-Wave Astrophysics,” Annalen Phys. 536 no. 2, (2024) 2200170, arXiv:2206.10622 [astro-ph.GA].
  • [1611] M. Dominik, K. Belczynski, C. Fryer, D. E. Holz, E. Berti, T. Bulik, I. Mandel, and R. O’Shaughnessy, “Double Compact Objects II: Cosmological Merger Rates,” Astrophys. J. 779 (2013) 72, arXiv:1308.1546 [astro-ph.HE].
  • [1612] L. Boco, A. Lapi, S. Goswami, F. Perrotta, C. Baccigalupi, and L. Danese, “Merging Rates of Compact Binaries in Galaxies: Perspectives for Gravitational Wave Detections,” arXiv:1907.06841 [astro-ph.GA].
  • [1613] J. Schaye et al., “The EAGLE project: Simulating the evolution and assembly of galaxies and their environments,” Mon. Not. Roy. Astron. Soc. 446 (2015) 521–554, arXiv:1407.7040 [astro-ph.GA].
  • [1614] R. A. Crain et al., “The EAGLE simulations of galaxy formation: calibration of subgrid physics and model variations,” Mon. Not. Roy. Astron. Soc. 450 no. 2, (2015) 1937–1961, arXiv:1501.01311 [astro-ph.GA].
  • [1615] A. Pillepich et al., “First results from the IllustrisTNG simulations: the stellar mass content of groups and clusters of galaxies,” Mon. Not. Roy. Astron. Soc. 475 no. 1, (2018) 648–675, arXiv:1707.03406 [astro-ph.GA].
  • [1616] D. Nelson et al., “The IllustrisTNG simulations: public data release,” Comput. Astrophys. Cosmol. 6 no. 1, (2019) 2, arXiv:1812.05609 [astro-ph.GA].
  • [1617] R. Pakmor, C. M. Simpson, F. van de Voort, L. Hernquist, L. van Son, M. Chruślińska, R. Bieri, S. E. de Mink, and V. Springel, “Formation and fate of low-metallicity stars in TNG50,” Mon. Not. Roy. Astron. Soc. 512 no. 3, (2022) 3602–3615, arXiv:2203.07383 [astro-ph.GA].
  • [1618] L. J. Kewley and S. L. Ellison, “Metallicity Calibrations and the Mass-Metallicity Relation for Star-Forming Galaxies,” Astrophys. J. 681 (2008) 1183–1204, arXiv:0801.1849 [astro-ph].
  • [1619] R. Maiolino and F. Mannucci, “De re metallica: the cosmic chemical evolution of galaxies,” A&A Rev. 27 no. 1, (Feb., 2019) 3, arXiv:1811.09642 [astro-ph.GA].
  • [1620] M. Chruślińska, R. Pakmor, J. Matthee, and T. Matsuno, “Trading oxygen for iron I: the [O/Fe] – specific star formation rate relation of galaxies,” arXiv:2308.00023 [astro-ph.GA]. – 674 –
  • [1621] P. N. Tang, J. J. Eldridge, E. R. Stanway, and J. C. Bray, “Dependence of Gravitational Wave Transient Rates on Cosmic Star Formation and Metallicity Evolution History,” Mon. Not. Roy. Astron. Soc. 493 no. 1, (2020) L6–L10, arXiv:1912.04474 [astro-ph.GA].
  • [1622] L. A. C. van Son, S. E. de Mink, M. Chruślińska, C. Conroy, R. Pakmor, and L. Hernquist, “The locations of features in the mass distribution of merging binary black holes are robust against uncertainties in the metallicity-dependent cosmic star formation history,” arXiv:2209.03385 [astro-ph.GA].
  • [1623] S. Vitale, W. M. Farr, K. Ng, and C. L. Rodriguez, “Measuring the star formation rate with gravitational waves from binary black holes,” Astrophys. J. Lett. 886 no. 1, (2019) L1, arXiv:1808.00901 [astro-ph.HE].
  • [1624] K. Turbang, M. Lalleman, T. A. Callister, and N. van Remortel, “The metallicity dependence and evolutionary times of merging binary black holes: Combined constraints from individual gravitational-wave detections and the stochastic background,” arXiv:2310.17625 [astro-ph.HE].
  • [1625] M. Fishbach and L. van Son, “LIGO–Virgo–KAGRA’s Oldest Black Holes: Probing Star Formation at Cosmic Noon With GWTC-3,” Astrophys. J. Lett. 957 no. 2, (2023) L31, arXiv:2307.15824 [astro-ph.GA].
  • [1626] H. J. G. L. M. Lamers, J. M. D. Kruijssen, N. Bastian, M. Rejkuba, M. Hilker, and M. Kissler-Patig, “The difference in metallicity distribution functions of halo stars and globular clusters as a function of galaxy type. A tracer of globular cluster formation and evolution,” A&A 606 (Oct., 2017) A85, arXiv:1706.00939 [astro-ph.GA].
  • [1627] A. Adamo, P. Zeidler, J. M. D. Kruijssen, M. Chevance, M. Gieles, D. Calzetti, C. Charbonnel, H. Zinnecker, and M. G. H. Krause, “Star Clusters Near and Far; Tracing Star Formation Across Cosmic Time,” Space Sci. Rev. 216 no. 4, (2020) 69, arXiv:2005.06188 [astro-ph.GA].
  • [1628] V. Belokurov and A. Kravtsov, “Nitrogen enrichment and clustered star formation at the dawn of the Galaxy,” MNRAS 525 no. 3, (Nov., 2023) 4456–4473, arXiv:2306.00060 [astro-ph.GA].
  • [1629] J. M. D. Kruijssen, “On the fraction of star formation occurring in bound stellar clusters,” Mon. Not. Roy. Astron. Soc. 426 (2012) 3008, arXiv:1208.2963 [astro-ph.CO].
  • [1630] K. El-Badry, E. Quataert, D. R. Weisz, N. Choksi, and M. Boylan-Kolchin, “The formation and hierarchical assembly of globular cluster populations,” MNRAS 482 no. 4, (Feb., 2019) 4528–4552, arXiv:1805.03652 [astro-ph.GA].
  • [1631] M. Y. Grudić, Z. Hafen, C. L. Rodriguez, D. Guszejnov, A. Lamberts, A. Wetzel, M. Boylan-Kolchin, and C.-A. Faucher-Giguère, “Great balls of FIRE - I. The formation of star clusters across cosmic time in a Milky Way-mass galaxy,” Mon. Not. Roy. Astron. Soc. 519 no. 1, (2023) 1366–1380, arXiv:2203.05732 [astro-ph.GA].
  • [1632] A. Adamo, K. Hollyhead, M. Messa, J. E. Ryon, V. Bajaj, A. Runnholm, S. Aalto, D. Calzetti, J. S. Gallagher, M. J. Hayes, J. M. D. Kruijssen, S. König, S. S. Larsen, J. Melinder, E. Sabbi, L. J. Smith, and G. Östlin, “Star cluster formation in the most extreme environments: insights from the HiPEEC survey,” MNRAS 499 no. 3, (Dec., 2020) 3267–3294, arXiv:2008.12794 [astro-ph.GA].
  • [1633] A. Claeyssens, A. Adamo, J. Richard, G. Mahler, M. Messa, and M. Dessauges-Zavadsky, “Star formation at the smallest scales: a JWST study of the clump populations in SMACS0723,” MNRAS 520 no. 2, (Apr., 2023) 2180–2203, arXiv:2208.10450 [astro-ph.GA].
  • [1634] E. Vanzella, A. Claeyssens, B. Welch, A. Adamo, D. Coe, J. M. Diego, G. Mahler, G. Khullar, V. Kokorev, M. Oguri, S. Ravindranath, L. J. Furtak, T. Y.-Y. Hsiao, – 675 – Abdurro’uf, N. Mandelker, G. Brammer, L. D. Bradley, M. Bradač, C. J. Conselice, P. Dayal, M. Nonino, F. Andrade-Santos, R. A. Windhorst, N. Pirzkal, K. Sharon, S. E. de Mink, S. Fujimoto, A. Zitrin, J. J. Eldridge, and C. Norman, “JWST/NIRCam Probes Young Star Clusters in the Reionization Era Sunrise Arc,” ApJ 945 no. 1, (Mar., 2023) 53, arXiv:2211.09839 [astro-ph.GA].
  • [1635] C. L. Rodriguez, Z. Hafen, M. Y. Grudić, A. Lamberts, K. Sharma, C.-A. Faucher-Giguère, and A. Wetzel, “Great balls of FIRE II: The evolution and destruction of star clusters across cosmic time in a Milky Way-mass galaxy,” MNRAS 521 no. 1, (May, 2023) 124–147, arXiv:2203.16547 [astro-ph.GA].
  • [1636] T. Bruel, C. L. Rodriguez, A. Lamberts, M. Y. Grudić, Z. Hafen, and R. Feldmann, “Great Balls of FIRE. III. Modelling black hole mergers from massive star clusters in simulations of galaxies,” A&A 686 (June, 2024) A106, arXiv:2311.14855 [astro-ph.GA].
  • [1637] D. A. VandenBerg, K. Brogaard, R. Leaman, and L. Casagrande, “The Ages of 55 Globular Clusters as Determined Using an Improved ∆V HB TO Method along with Color-Magnitude Diagram Constraints, and Their Implications for Broader Issues,” ApJ 775 no. 2, (Oct., 2013) 134, arXiv:1308.2257 [astro-ph.GA].
  • [1638] C. Usher, J. P. Brodie, D. A. Forbes, A. J. Romanowsky, J. Strader, J. Pfeffer, and N. Bastian, “The SLUGGS survey: measuring globular cluster ages using both photometry and spectroscopy,” MNRAS 490 no. 1, (Nov., 2019) 491–501, arXiv:1909.05753 [astro-ph.GA].
  • [1639] A. Askar, M. Szkudlarek, D. Gondek-Rosińska, M. Giersz, and T. Bulik, “MOCCA-SURVEY Database – I. Coalescing binary black holes originating from globular clusters,” Mon. Not. Roy. Astron. Soc. 464 no. 1, (2017) L36–L40, arXiv:1608.02520 [astro-ph.HE].
  • [1640] C. L. Rodriguez, S. Chatterjee, and F. A. Rasio, “Binary Black Hole Mergers from Globular Clusters: Masses, Merger Rates, and the Impact of Stellar Evolution,” Phys. Rev. D 93 no. 8, (2016) 084029, arXiv:1602.02444 [astro-ph.HE].
  • [1641] J. Hong, E. Vesperini, A. Askar, M. Giersz, M. Szkudlarek, and T. Bulik, “Binary Black Hole Mergers from Globular Clusters: the Impact of Globular Cluster Properties,” Mon. Not. Roy. Astron. Soc. 480 no. 4, (2018) 5645–5656, arXiv:1808.04514 [astro-ph.HE]. [Erratum: Mon.Not.Roy.Astron.Soc. 491, 5793 (2020)].
  • [1641] J. Hong, E. Vesperini, A. Askar, M. Giersz, M. Szkudlarek, and T. Bulik, “Binary Black Hole Mergers from Globular Clusters: the Impact of Globular Cluster Properties,” Mon. Not. Roy. Astron. Soc. 480 no. 4, (2018) 5645–5656, arXiv:1808.04514 [astro-ph.HE]. [Erratum: Mon.Not.Roy.Astron.Soc. 491, 5793 (2020)].
  • [1642] N. Choksi, M. Volonteri, M. Colpi, O. Y. Gnedin, and H. Li, “The star clusters that make black hole binaries across cosmic time,” The Astrophysical Journal 873 no. 1, (Mar, 2019) 100. https://dx.doi.org/10.3847/1538-4357/aaffde.
  • [1643] E. Pfahl, S. Rappaport, and P. Podsiadlowski, “A comprehensive study of neutron star retention in globular clusters,” Astrophys. J. 573 (2002) 283, arXiv:astro-ph/0106141.
  • [1644] I. M. Romero-Shaw, K. Kremer, P. D. Lasky, E. Thrane, and J. Samsing, “Gravitational waves as a probe of globular cluster formation and evolution,” Mon. Not. Roy. Astron. Soc. 506 no. 2, (2021) 2362–2372, arXiv:2011.14541 [astro-ph.HE].
  • [1645] M. Fishbach and G. Fragione, “Globular cluster formation histories, masses, and radii inferred from gravitational waves,” Mon. Not. Roy. Astron. Soc. 522 no. 4, (2023) 5546–5557, arXiv:2303.02263 [astro-ph.GA].
  • [1646] K. Fahrion, R. Leaman, M. Lyubenova, and G. van de Ven, “Disentangling the formation mechanisms of nuclear star clusters,” Astron. Astrophys. 658 (2022) A172, arXiv:2112.05610 [astro-ph.GA].
  • [1647] K. Fahrion, M. Lyubenova, G. van de Ven, M. Hilker, R. Leaman, J. Falcón-Barroso, A. Bittner, L. Coccato, E. M. Corsini, D. A. Gadotti, E. Iodice, R. M. McDermid, I. Martı́n-Navarro, F. Pinna, A. Poci, M. Sarzi, P. T. de Zeeuw, and L. Zhu, “Diversity of – 676 – nuclear star cluster formation mechanisms revealed by their star formation histories,” A&A 650 (June, 2021) A137, arXiv:2104.06412 [astro-ph.GA].
  • [1648] I. Bartos, B. Kocsis, Z. Haiman, and S. Márka, “Rapid and Bright Stellar-mass Binary Black Hole Mergers in Active Galactic Nuclei,” Astrophys. J. 835 no. 2, (2017) 165, arXiv:1602.03831 [astro-ph.HE].
  • [1649] H. Tagawa, Z. Haiman, and B. Kocsis, “Formation and Evolution of Compact-object Binaries in AGN Disks,” ApJ 898 no. 1, (July, 2020) 25, arXiv:1912.08218 [astro-ph.GA].
  • [1650] X. Shen, P. F. Hopkins, C.-A. Faucher-Giguère, D. M. Alexander, G. T. Richards, N. P. Ross, and R. C. Hickox, “The bolometric quasar luminosity function at z = 0–7,” Mon. Not. Roy. Astron. Soc. 495 no. 3, (2020) 3252–3275, arXiv:2001.02696 [astro-ph.GA].
  • [1651] J. C. J. D’Silva, S. P. Driver, C. D. P. Lagos, A. S. G. Robotham, S. Bellstedt, L. J. M. Davies, J. E. Thorne, J. Bland-Hawthorn, M. Bravo, B. Holwerda, S. Phillipps, N. Seymour, M. Siudek, and R. A. Windhorst, “GAMA/DEVILS: cosmic star formation and AGN activity over 12.5 billion years,” MNRAS 524 no. 1, (Sept., 2023) 1448–1463, arXiv:2306.16040 [astro-ph.GA].
  • [1652] I. Bartos, Z. Haiman, Z. Marka, B. D. Metzger, N. C. Stone, and S. Marka, “Gravitational-wave localization alone can probe origin of stellar-mass black hole mergers,” Nature Commun. 8 no. 1, (2017) 831, arXiv:1701.02328 [astro-ph.HE].
  • [1653] N. Veronesi, E. M. Rossi, and S. van Velzen, “The most luminous AGN do not produce the majority of the detected stellar-mass black hole binary mergers in the local Universe,” Mon. Not. Roy. Astron. Soc. 526 no. 4, (2023) 6031–6040, arXiv:2306.09415 [astro-ph.HE].
  • [1654] N. Veronesi, S. van Velzen, E. M. Rossi, and K. Storey-Fisher, “Constraining the AGN formation channel for detected black hole binary mergers up to z=1.5 with the Quaia catalogue,” arXiv:2407.21568 [astro-ph.HE].
  • [1655] H. A. Abt, “Normal and abnormal binary frequencies,” Ann. Rev. Astron. Astrophys. 21 (1983) 343–372.
  • [1656] G. Duchêne and A. Kraus, “Stellar Multiplicity,” Ann. Rev. Astron. Astrophys. 51 (2013) 269, arXiv:1303.3028 [astro-ph.SR].
  • [1657] L. A. Almeida, H. Sana, W. Taylor, R. Barbá, A. Z. Bonanos, P. Crowther, A. Damineli, A. de Koter, S. E. de Mink, C. J. Evans, M. Gieles, N. J. Grin, V. Hénault-Brunet, N. Langer, D. Lennon, S. Lockwood, J. Maı́z Apellániz, A. F. J. Moffat, C. Neijssel, C. Norman, O. H. Ramı́rez-Agudelo, N. D. Richardson, A. Schootemeijer, T. Shenar, I. Soszyński, F. Tramper, and J. S. Vink, “The Tarantula Massive Binary Monitoring. I. Observational campaign and OB-type spectroscopic binaries,” A&A 598 (Feb, 2017) A84, arXiv:1610.03500 [astro-ph.SR].
  • [1658] E. Berger, “Short-Duration Gamma-Ray Bursts,” A&A Rev. 52 (Aug., 2014) 43–105, arXiv:1311.2603 [astro-ph.HE].
  • [1659] W. Fong, E. Berger, R. Margutti, and B. A. Zauderer, “A Decade of Short-duration Gamma-Ray Burst Broadband Afterglows: Energetics, Circumburst Densities, and Jet Opening Angles,” ApJ 815 (Dec., 2015) 102, arXiv:1509.02922 [astro-ph.HE].
  • [1660] A. E. Nugent et al., “Short GRB Host Galaxies. II. A Legacy Sample of Redshifts, Stellar Population Properties, and Implications for Their Neutron Star Merger Origins,” Astrophys. J. 940 no. 1, (2022) 57, arXiv:2206.01764 [astro-ph.GA].
  • [1661] M. Zevin, A. E. Nugent, S. Adhikari, W.-f. Fong, D. E. Holz, and L. Z. Kelley, “Observational Inference on the Delay Time Distribution of Short Gamma-Ray Bursts,” Astrophys. J. Lett. 940 no. 1, (2022) L18, arXiv:2206.02814 [astro-ph.HE]. – 677 –
  • [1662] B. Sathyaprakash et al., “Scientific Objectives of Einstein Telescope,” Class. Quant. Grav. 29 (2012) 124013, arXiv:1206.0331 [gr-qc]. [Erratum: Class.Quant.Grav. 30, 079501 (2013)].
  • [1662] B. Sathyaprakash et al., “Scientific Objectives of Einstein Telescope,” Class. Quant. Grav. 29 (2012) 124013, arXiv:1206.0331 [gr-qc]. [Erratum: Class.Quant.Grav. 30, 079501 (2013)].
  • [1663] N. Singh, T. Bulik, K. Belczynski, and A. Askar, “Exploring compact binary populations with the Einstein Telescope,” Astron. Astrophys. 667 (2022) A2, arXiv:2112.04058 [astro-ph.HE].
  • [1664] E. Öpik, “Statistical Studies of Double Stars: On the Distribution of Relative Luminosities and Distances of Double Stars in the Harvard Revised Photometry North of Declination -31 degrees,” Publ. Obs. Astron. Univ. Tartu 25 no. 6, (1924) 1–167. http://muuseum.to.ee/Main/HTML/vol__xxv_-_1924.htm.
  • [1665] R. K. Ulrich and H. L. Burger, “The accreting component of mass-exchange binaries.,” ApJ 206 (June, 1976) 509–514.
  • [1666] R. Kippenhahn and E. Meyer-Hofmeister, “On the radii of accreting main sequence stars.,” A&A 54 (Jan., 1977) 539–542.
  • [1667] S. Neo, S. Miyaji, K. Nomoto, and D. Sugimoto, “Effect of Rapid Mass Accretion onto the Main-Sequence Stars,” PASJ 29 (Jan, 1977) 249–262.
  • [1668] S. Wellstein, N. Langer, and H. Braun, “Formation of contact in massive close binaries,” A&A 369 (Apr., 2001) 939–959, arXiv:astro-ph/0102244 [astro-ph].
  • [1669] S. E. de Mink, O. R. Pols, and R. W. Hilditch, “Efficiency of mass transfer in massive close binaries. Tests from double-lined eclipsing binaries in the SMC,” Astron. Astrophys. 467 (2007) 1181, arXiv:astro-ph/0703480.
  • [1670] F. R. N. Schneider, R. G. Izzard, N. Langer, and S. E. de Mink, “Evolution of Mass Functions of Coeval Stars through Wind Mass Loss and Binary Interactions,” ApJ 805 (May, 2015) 20, arXiv:1504.01735 [astro-ph.SR].
  • [1671] P. Kroupa, “On the variation of the initial mass function,” Mon. Not. Roy. Astron. Soc. 322 (2001) 231, arXiv:astro-ph/0009005.
  • [1672] G. Hobbs, D. R. Lorimer, A. G. Lyne, and M. Kramer, “A statistical study of 233 pulsar proper motions,” MNRAS 360 (July, 2005) 974–992, astro-ph/0504584.
  • [1673] F. Verbunt, A. Igoshev, and E. Cator, “The observed velocity distribution of young pulsars,” Astron. Astrophys. 608 (2017) A57, arXiv:1708.08281 [astro-ph.HE].
  • [1674] G. Nelemans, T. M. Tauris, and E. P. J. van den Heuvel, “Constraints on mass ejection in black hole formation, derived from black hole x-ray binaries,” Astron. Astrophys. 352 (1999) L87, arXiv:astro-ph/9911054.
  • [1675] M. Renzo, E. Zapartas, S. E. de Mink, Y. Götberg, S. Justham, R. J. Farmer, R. G. Izzard, S. Toonen, and H. Sana, “Massive runaway and walkaway stars. A study of the kinematical imprints of the physical processes governing the evolution and explosion of their binary progenitors,” A&A 624 (Apr., 2019) A66, arXiv:1804.09164 [astro-ph.SR].
  • [1676] J. Román-Garza et al., “The Role of Core-collapse Physics in the Observability of Black Hole Neutron Star Mergers as Multimessenger Sources,” Astrophys. J. Lett. 912 no. 2, (2021) L23, arXiv:2012.02274 [astro-ph.HE].
  • [1677] F. Kummer, S. Toonen, and A. de Koter, “The main evolutionary pathways of massive hierarchical triple stars,” A&A 678 (Oct., 2023) A60, arXiv:2306.09400 [astro-ph.SR].
  • [1678] S. Toonen, S. Portegies Zwart, A. S. Hamers, and D. Bandopadhyay, “The evolution of stellar triples. The most common evolutionary pathways,” A&A 640 (Aug., 2020) A16, arXiv:2004.07848 [astro-ph.SR]. – 678 –
  • [1679] A. S. Hamers, H. Glanz, and P. Neunteufel, “A Statistical View of the Stable and Unstable Roche Lobe Overflow of a Tertiary Star onto the Inner Binary in Triple Systems,” Astrophys. J. Supp. 259 no. 1, (2022) 25, arXiv:2110.00024 [astro-ph.SR].
  • [1680] T. Kinugawa, K. Inayoshi, K. Hotokezaka, D. Nakauchi, and T. Nakamura, “Possible Indirect Confirmation of the Existence of Pop III Massive Stars by Gravitational Wave,” Mon. Not. Roy. Astron. Soc. 442 no. 4, (2014) 2963–2992, arXiv:1402.6672 [astro-ph.HE].
  • [1681] T. Kinugawa, T. Nakamura, and H. Nakano, “Chirp Mass and Spin of Binary Black Holes from First Star Remnants,” Mon. Not. Roy. Astron. Soc. 498 no. 3, (2020) 3946–3963, arXiv:2005.09795 [astro-ph.HE].
  • [1682] K. Hijikawa, A. Tanikawa, T. Kinugawa, T. Yoshida, and H. Umeda, “On the population III binary black hole mergers beyond the pair-instability mass gap,” Mon. Not. Roy. Astron. Soc. 505 no. 1, (2021) L69–L73, arXiv:2104.13384 [astro-ph.HE].
  • [1683] F. Santoliquido, M. Mapelli, G. Iorio, G. Costa, S. C. O. Glover, T. Hartwig, R. S. Klessen, and L. Merli, “Binary black hole mergers from Population III stars: uncertainties from star formation and binary star properties,” Mon. Not. Roy. Astron. Soc. 524 no. 1, (2023) 307–324, arXiv:2303.15515 [astro-ph.GA]. [Erratum: Mon.Not.Roy.Astron.Soc. 528, 954–962 (2024)].
  • [1683] F. Santoliquido, M. Mapelli, G. Iorio, G. Costa, S. C. O. Glover, T. Hartwig, R. S. Klessen, and L. Merli, “Binary black hole mergers from Population III stars: uncertainties from star formation and binary star properties,” Mon. Not. Roy. Astron. Soc. 524 no. 1, (2023) 307–324, arXiv:2303.15515 [astro-ph.GA]. [Erratum: Mon.Not.Roy.Astron.Soc. 528, 954–962 (2024)].
  • [1684] G. Costa, M. Mapelli, G. Iorio, F. Santoliquido, G. J. Escobar, R. S. Klessen, and A. Bressan, “Massive binary black holes from Population II and III stars,” Mon. Not. Roy. Astron. Soc. 525 no. 2, (2023) 2891–2906, arXiv:2303.15511 [astro-ph.GA].
  • [1685] N. Singh, T. Bulik, K. Belczynski, M. Cieslar, and F. Calore, “Reconstructing the star formation rate for compact binary populations with the Einstein telescope,” Astron. Astrophys. 681 (2024) A56, arXiv:2304.01341 [astro-ph.HE].
  • [1686] N. Choksi and O. Y. Gnedin, “Formation of globular cluster systems - II. Impact of the cut-off of the cluster initial mass function,” MNRAS 486 no. 1, (June, 2019) 331–343, arXiv:1810.01888 [astro-ph.GA].
  • [1687] K. Kritos, V. Strokov, V. Baibhav, and E. Berti, “Dynamical formation of black hole binaries in dense star clusters: the Rapster code,” arXiv:2210.10055 [astro-ph.HE].
  • [1688] G. D. Quinlan, “The dynamical evolution of massive black hole binaries - I. hardening in a fixed stellar background,” New Astron. 1 (1996) 35–56, arXiv:astro-ph/9601092.
  • [1689] D. Heggie and P. Hut, The Gravitational Million-Body Problem: A Multidisciplinary Approach to Star Cluster Dynamics. 2003.
  • [1690] F. Herrmann, I. Hinder, D. M. Shoemaker, P. Laguna, and R. A. Matzner, “Binary Black Holes: Spin Dynamics and Gravitational Recoil,” Phys. Rev. D 76 (2007) 084032, arXiv:0706.2541 [gr-qc].
  • [1691] D. Pollney et al., “Recoil velocities from equal-mass binary black-hole mergers: A Systematic investigation of spin-orbit aligned configurations,” Phys. Rev. D 76 (2007) 124002, arXiv:0707.2559 [gr-qc].
  • [1692] M. C. Miller and V. M. Lauburg, “Mergers of Stellar-Mass Black Holes in Nuclear Star Clusters,” ApJ 692 (Feb., 2009) 917–923, arXiv:0804.2783.
  • [1693] M. Arca-Sedda and A. Gualandris, “Gravitational wave sources from inspiralling globular clusters in the Galactic Centre and similar environments,” MNRAS 477 no. 4, (July, 2018) 4423–4442, arXiv:1804.06116 [astro-ph.GA].
  • [1694] J. M. Bellovary, M.-M. Mac Low, B. McKernan, and K. E. S. Ford, “Migration Traps in Disks around Supermassive Black Holes,” ApJ 819 (Mar., 2016) L17, arXiv:1511.00005. – 679 –
  • [1695] N. C. Stone, B. D. Metzger, and Z. Haiman, “Assisted inspirals of stellar mass black holes embedded in AGN discs: solving the ‘final au problem’,” MNRAS 464 (Jan., 2017) 946–954, arXiv:1602.04226.
  • [1696] A. Secunda, J. Bellovary, M.-M. Mac Low, K. E. S. Ford, B. McKernan, N. W. C. Leigh, W. Lyra, and Z. Sándor, “Orbital Migration of Interacting Stellar Mass Black Holes in Disks around Supermassive Black Holes,” ApJ 878 no. 2, (June, 2019) 85, arXiv:1807.02859 [astro-ph.HE].
  • [1697] P. Peng and X. Chen, “The last migration trap of compact objects in AGN accretion disc,” MNRAS 505 no. 1, (July, 2021) 1324–1333, arXiv:2104.07685 [astro-ph.HE].
  • [1698] LIGO Scientific, Virgo Collaboration, B. P. Abbott et al., “Properties of the Binary Black Hole Merger GW150914,” Phys. Rev. Lett. 116 no. 24, (2016) 241102, arXiv:1602.03840 [gr-qc].
  • [1699] LIGO Scientific, Virgo Collaboration, B. P. Abbott et al., “Binary Black Hole Mergers in the first Advanced LIGO Observing Run,” Phys. Rev. X 6 no. 4, (2016) 041015, arXiv:1606.04856 [gr-qc]. [Erratum: Phys.Rev.X 8, 039903 (2018)].
  • [1699] LIGO Scientific, Virgo Collaboration, B. P. Abbott et al., “Binary Black Hole Mergers in the first Advanced LIGO Observing Run,” Phys. Rev. X 6 no. 4, (2016) 041015, arXiv:1606.04856 [gr-qc]. [Erratum: Phys.Rev.X 8, 039903 (2018)].
  • [1700] C. Cutler and E. E. Flanagan, “Gravitational waves from merging compact binaries: How accurately can one extract the binary’s parameters from the inspiral wave form?,” Phys. Rev. D 49 (1994) 2658–2697, arXiv:gr-qc/9402014.
  • [1701] L. Blanchet, T. Damour, B. R. Iyer, C. M. Will, and A. G. Wiseman, “Gravitational radiation damping of compact binary systems to second postNewtonian order,” Phys. Rev. Lett. 74 (1995) 3515–3518, arXiv:gr-qc/9501027.
  • [1702] E. Poisson and C. M. Will, “Gravitational waves from inspiraling compact binaries: Parameter estimation using second postNewtonian wave forms,” Phys. Rev. D 52 (1995) 848–855, arXiv:gr-qc/9502040.
  • [1703] E. Baird, S. Fairhurst, M. Hannam, and P. Murphy, “Degeneracy between mass and spin in black-hole-binary waveforms,” Phys. Rev. D 87 no. 2, (2013) 024035, arXiv:1211.0546 [gr-qc].
  • [1704] F. Echeverria, “Gravitational Wave Measurements of the Mass and Angular Momentum of a Black Hole,” Phys. Rev. D 40 (1989) 3194–3203.
  • [1705] P. B. Graff, A. Buonanno, and B. S. Sathyaprakash, “Missing Link: Bayesian detection and measurement of intermediate-mass black-hole binaries,” Phys. Rev. D 92 no. 2, (2015) 022002, arXiv:1504.04766 [gr-qc].
  • [1706] C.-J. Haster, Z. Wang, C. P. L. Berry, S. Stevenson, J. Veitch, and I. Mandel, “Inference on gravitational waves from coalescences of stellar-mass compact objects and intermediate-mass black holes,” Mon. Not. Roy. Astron. Soc. 457 no. 4, (2016) 4499–4506, arXiv:1511.01431 [astro-ph.HE].
  • [1707] S. Vitale and M. Evans, “Parameter estimation for binary black holes with networks of third generation gravitational-wave detectors,” Phys. Rev. D 95 no. 6, (2017) 064052, arXiv:1610.06917 [gr-qc].
  • [1708] V. Kalogera et al., “The Next Generation Global Gravitational Wave Observatory: The Science Book,” arXiv:2111.06990 [gr-qc].
  • [1709] E. E. Salpeter, “The Luminosity function and stellar evolution,” Astrophys. J. 121 (1955) 161–167.
  • [1710] J. Puls, J. S. Vink, and F. Najarro, “Mass loss from hot massive stars,” Astron. Astrophys. Rev. 16 (2008) 209–325, arXiv:0811.0487 [astro-ph].
  • [1711] N. Smith, “Mass Loss: Its Effect on the Evolution and Fate of High-Mass Stars,” Ann. Rev. Astron. Astrophys. 52 (2014) 487–528, arXiv:1402.1237 [astro-ph.SR]. – 680 –
  • [1712] J. S. Vink and A. A. C. Sander, “Metallicity-dependent wind parameter predictions for OB stars,” Mon. Not. Roy. Astron. Soc. 504 no. 2, (2021) 2051–2061, arXiv:2103.12736 [astro-ph.SR].
  • [1713] Y. Bouffanais, M. Mapelli, F. Santoliquido, N. Giacobbo, U. N. Di Carlo, S. Rastello, M. C. Artale, and G. Iorio, “New insights on binary black hole formation channels after GWTC-2: young star clusters versus isolated binaries,” Mon. Not. Roy. Astron. Soc. 507 no. 4, (2021) 5224–5235, arXiv:2102.12495 [astro-ph.HE].
  • [1714] B. McKernan, K. E. S. Ford, W. Lyra, and H. B. Perets, “Intermediate mass black holes in AGN disks: I. Production & Growth,” Mon. Not. Roy. Astron. Soc. 425 (2012) 460, arXiv:1206.2309 [astro-ph.GA].
  • [1715] T. A. Callister, C.-J. Haster, K. K. Y. Ng, S. Vitale, and W. M. Farr, “Who Ordered That? Unequal-mass Binary Black Hole Mergers Have Larger Effective Spins,” Astrophys. J. Lett. 922 no. 1, (2021) L5, arXiv:2106.00521 [astro-ph.HE].
  • [1716] C. Adamcewicz and E. Thrane, “Do unequal-mass binary black hole systems have larger χeff? Probing correlations with copulas in gravitational-wave astronomy,” Mon. Not. Roy. Astron. Soc. 517 no. 3, (2022) 3928–3937, arXiv:2208.03405 [astro-ph.HE].
  • [1717] J. Heinzel, S. Biscoveanu, and S. Vitale, “Probing Correlations in the Binary Black Hole Population with Flexible Models,” arXiv:2312.00993 [astro-ph.HE].
  • [1718] LIGO Scientific, Virgo, 1M2H, Dark Energy Camera GW-E, DES, DLT40, Las Cumbres Observatory, VINROUGE, MASTER Collaboration, B. P. Abbott et al., “A gravitational-wave standard siren measurement of the Hubble constant,” Nature 551 no. 7678, (2017) 85–88, arXiv:1710.05835 [astro-ph.CO].
  • [1719] S. Mukherjee, “The redshift dependence of black hole mass distribution: is it reliable for standard sirens cosmology?,” Mon. Not. Roy. Astron. Soc. 515 no. 4, (2022) 5495–5505, arXiv:2112.10256 [astro-ph.CO].
  • [1720] S. Stevenson, C. P. L. Berry, and I. Mandel, “Hierarchical analysis of gravitational-wave measurements of binary black hole spin–orbit misalignments,” Mon. Not. Roy. Astron. Soc. 471 no. 3, (2017) 2801–2811, arXiv:1703.06873 [astro-ph.HE].
  • [1721] J. W. Barrett, S. M. Gaebel, C. J. Neijssel, A. Vigna-Gómez, S. Stevenson, C. P. L. Berry, W. M. Farr, and I. Mandel, “Accuracy of inference on the physics of binary evolution from gravitational-wave observations,” Mon. Not. Roy. Astron. Soc. 477 no. 4, (2018) 4685–4695, arXiv:1711.06287 [astro-ph.HE].
  • [1722] G. Franciolini, F. Iacovelli, M. Mancarella, M. Maggiore, P. Pani, and A. Riotto, “Searching for primordial black holes with the Einstein Telescope: Impact of design and systematics,” Phys. Rev. D 108 no. 4, (2023) 043506, arXiv:2304.03160 [gr-qc].
  • [1723] V. Kalogera, C. P. L. Berry, M. Colpi, S. Fairhurst, S. Justham, I. Mandel, A. Mangiagli, M. Mapelli, C. Mills, B. S. Sathyaprakash, R. Schneider, T. Tauris, and R. Valiante, “Deeper, Wider, Sharper: Next-Generation Ground-based Gravitational-Wave Observations of Binary Black Holes,” BAAS 51 no. 3, (May, 2019) 242, arXiv:1903.09220 [astro-ph.HE].
  • [1724] LIGO Scientific, Virgo Collaboration, B. P. Abbott et al., “A guide to LIGO–Virgo detector noise and extraction of transient gravitational-wave signals,” Class. Quant. Grav. 37 no. 5, (2020) 055002, arXiv:1908.11170 [gr-qc].
  • [1725] S. Stevenson, F. Ohme, and S. Fairhurst, “Distinguishing compact binary population synthesis models using gravitational-wave observations of coalescing binary black holes,” Astrophys. J. 810 no. 1, (2015) 58, arXiv:1504.07802 [astro-ph.HE].
  • [1726] M. Zevin, C. Pankow, C. L. Rodriguez, L. Sampson, E. Chase, V. Kalogera, and F. A. Rasio, “Constraining Formation Models of Binary Black Holes with Gravitational-Wave Observations,” Astrophys. J. 846 no. 1, (2017) 82, arXiv:1704.07379 [astro-ph.HE]. – 681 –
  • [1727] Y. Bouffanais, M. Mapelli, D. Gerosa, U. N. Di Carlo, N. Giacobbo, E. Berti, and V. Baibhav, “Constraining the fraction of binary black holes formed in isolation and young star clusters with gravitational-wave data,” arXiv:1905.11054 [astro-ph.HE].
  • [1728] K. Belczynski, A. Romagnolo, A. Olejak, J. Klencki, D. Chattopadhyay, S. Stevenson, M. C. Miller, J. P. Lasota, and P. A. Crowther, “The Uncertain Future of Massive Binaries Obscures the Origin of LIGO/Virgo Sources,” Astrophys. J. 925 no. 1, (2022) 69, arXiv:2108.10885 [astro-ph.HE].
  • [1729] E. D. Kovetz, I. Cholis, P. C. Breysse, and M. Kamionkowski, “Black hole mass function from gravitational wave measurements,” Phys. Rev. D 95 no. 10, (2017) 103010, arXiv:1611.01157 [astro-ph.CO].
  • [1730] M. Fishbach and D. E. Holz, “Where Are LIGO’s Big Black Holes?,” Astrophys. J. Lett. 851 no. 2, (2017) L25, arXiv:1709.08584 [astro-ph.HE].
  • [1731] D. Wysocki, J. Lange, and R. O’Shaughnessy, “Reconstructing phenomenological distributions of compact binaries via gravitational wave observations,” Phys. Rev. D 100 no. 4, (2019) 043012, arXiv:1805.06442 [gr-qc].
  • [1732] T. A. Callister and W. M. Farr, “Parameter-Free Tour of the Binary Black Hole Population,” Phys. Rev. X 14 no. 2, (2024) 021005, arXiv:2302.07289 [astro-ph.HE].
  • [1733] C. Talbot and E. Thrane, “Measuring the binary black hole mass spectrum with an astrophysically motivated parameterization,” Astrophys. J. 856 no. 2, (2018) 173, arXiv:1801.02699 [astro-ph.HE].
  • [1734] LIGO Scientific, Virgo Collaboration, B. P. Abbott et al., “Binary Black Hole Population Properties Inferred from the First and Second Observing Runs of Advanced LIGO and Advanced Virgo,” Astrophys. J. Lett. 882 no. 2, (2019) L24, arXiv:1811.12940 [astro-ph.HE].
  • [1735] LIGO Scientific, Virgo Collaboration, R. Abbott et al., “Population Properties of Compact Objects from the Second LIGO-Virgo Gravitational-Wave Transient Catalog,” Astrophys. J. Lett. 913 no. 1, (2021) L7, arXiv:2010.14533 [astro-ph.HE].
  • [1736] A. M. Farah, M. Fishbach, R. Essick, D. E. Holz, and S. Galaudage, “Bridging the Gap: Categorizing Gravitational-wave Events at the Transition between Neutron Stars and Black Holes,” Astrophys. J. 931 no. 2, (2022) 108, arXiv:2111.03498 [astro-ph.HE].
  • [1737] V. Tiwari, “VAMANA: modeling binary black hole population with minimal assumptions,” Class. Quant. Grav. 38 no. 15, (2021) 155007, arXiv:2006.15047 [astro-ph.HE].
  • [1738] I. Mandel, W. M. Farr, A. Colonna, S. Stevenson, P. Tiňo, and J. Veitch, “Model-independent inference on compact-binary observations,” Mon. Not. Roy. Astron. Soc. 465 no. 3, (2017) 3254–3260, arXiv:1608.08223 [astro-ph.HE].
  • [1739] J. Heinzel, M. Mould, S. Álvarez-López, and S. Vitale, “PixelPop: High Resolution Nonparameteric Inference of Gravitational-Wave Populations in Multiple Dimensions,” arXiv:2406.16813 [astro-ph.HE].
  • [1740] A. Ray, I. Magaña Hernandez, K. Breivik, and J. Creighton, “Searching for binary black hole sub-populations in gravitational wave data using binned Gaussian processes,” arXiv:2404.03166 [astro-ph.HE].
  • [1741] B. Edelman, Z. Doctor, J. Godfrey, and B. Farr, “Ain’t No Mountain High Enough: Semiparametric Modeling of LIGO–Virgo’s Binary Black Hole Mass Distribution,” Astrophys. J. 924 no. 2, (2022) 101, arXiv:2109.06137 [astro-ph.HE].
  • [1742] A. M. Farah, B. Edelman, M. Zevin, M. Fishbach, J. M. Ezquiaga, B. Farr, and D. E. Holz, “Things That Might Go Bump in the Night: Assessing Structure in the Binary Black Hole Mass Spectrum,” Astrophys. J. 955 no. 2, (2023) 107, arXiv:2301.00834 [astro-ph.HE]. – 682 –
  • [1743] V. Tiwari, “Exploring Features in the Binary Black Hole Population,” Astrophys. J. 928 no. 2, (2022) 155, arXiv:2111.13991 [astro-ph.HE].
  • [1744] J. Sadiq, T. Dent, and D. Wysocki, “Flexible and fast estimation of binary merger population distributions with an adaptive kernel density estimator,” Phys. Rev. D 105 no. 12, (2022) 123014, arXiv:2112.12659 [gr-qc].
  • [1745] B. Edelman, B. Farr, and Z. Doctor, “Cover Your Basis: Comprehensive Data-driven Characterization of the Binary Black Hole Population,” Astrophys. J. 946 no. 1, (2023) 16, arXiv:2210.12834 [astro-ph.HE].
  • [1746] K. W. K. Wong, K. Breivik, K. Kremer, and T. Callister, “Joint constraints on the field-cluster mixing fraction, common envelope efficiency, and globular cluster radii from a population of binary hole mergers via deep learning,” Phys. Rev. D 103 no. 8, (2021) 083021, arXiv:2011.03564 [astro-ph.HE].
  • [1747] G. Franciolini, V. Baibhav, V. De Luca, K. K. Y. Ng, K. W. K. Wong, E. Berti, P. Pani, A. Riotto, and S. Vitale, “Searching for a subpopulation of primordial black holes in LIGO-Virgo gravitational-wave data,” Phys. Rev. D 105 no. 8, (2022) 083526, arXiv:2105.03349 [gr-qc].
  • [1748] M. Iwaya, T. Kinugawa, and H. Tagoshi, “Constraint on the progenitor of binary black hole merger using Population III star formation channel,” arXiv:2312.17491 [astro-ph.HE].
  • [1749] A. Q. Cheng, M. Zevin, and S. Vitale, “What You Don’t Know Can Hurt You: Use and Abuse of Astrophysical Models in Gravitational-wave Population Analyses,” Astrophys. J. 955 no. 2, (2023) 127, arXiv:2307.03129 [astro-ph.HE].
  • [1750] S. Stevenson and T. Clarke, “Constraints on the contributions to the observed binary black hole population from individual evolutionary pathways in isolated binary evolution,” arXiv:2210.05040 [astro-ph.HE].
  • [1751] A. Heger, B. Müller, and I. Mandel, “Chapter 3: Black Holes as the End State of Stellar Evolution: Theory and Simulations,” arXiv:2304.09350 [astro-ph.HE].
  • [1752] E. O’Connor and C. D. Ott, “Black Hole Formation in Failing Core-Collapse Supernovae,” Astrophys. J. 730 (2011) 70, arXiv:1010.5550 [astro-ph.HE].
  • [1753] T. Sukhbold and S. Woosley, “The Compactness of Presupernova Stellar Cores,” Astrophys. J. 783 (2014) 10, arXiv:1311.6546 [astro-ph.SR].
  • [1754] A. Chieffi and M. Limongi, “The Presupernova Core Mass–Radius Relation of Massive Stars: Understanding Its Formation and Evolution,” Astrophys. J. 890 no. 1, (2020) .
  • [1755] R. A. Patton and T. Sukhbold, “Towards a Realistic Explosion Landscape for Binary Population Synthesis,” Mon. Not. Roy. Astron. Soc. 499 no. 2, (2020) 2803–2816, arXiv:2005.03055 [astro-ph.SR].
  • [1756] F. R. N. Schneider, P. Podsiadlowski, and B. Müller, “Pre-supernova evolution, compact object masses and explosion properties of stripped binary stars,” Astron. Astrophys. 645 (2021) A5, arXiv:2008.08599 [astro-ph.SR].
  • [1757] K. Takahashi, T. Takiwaki, and T. Yoshida, “Monotonicity of the Cores of Massive Stars,” Astrophys. J. 945 no. 1, (2023) 19, arXiv:2302.03197 [astro-ph.SR].
  • [1758] F. R. N. Schneider, P. Podsiadlowski, and E. Laplace, “Pre-supernova evolution and final fate of stellar mergers and accretors of binary mass transfer,” arXiv:2403.03984 [astro-ph.SR].
  • [1759] S. E. Woosley, “The Evolution of Massive Helium Stars, Including Mass Loss,” Astrophys. J. 878 no. 1, (2019) 49. – 683 –
  • [1760] D. R. Aguilera-Dena, B. Müller, J. Antoniadis, N. Langer, L. Dessart, A. Vigna-Gómez, and S.-C. Yoon, “Stripped-envelope stars in different metallicity environments. II. Type I supernovae and compact remnants,” Astron. Astrophys. 671 (2023) A134, arXiv:2204.00025 [astro-ph.SR].
  • [1761] F. R. N. Schneider, P. Podsiadlowski, and E. Laplace, “Bimodal Black Hole Mass Distribution and Chirp Masses of Binary Black Hole Mergers,” Astrophys. J. Lett. 950 no. 2, (2023) L9, arXiv:2305.02380 [astro-ph.HE].
  • [1762] D. Temaj, F. R. N. Schneider, E. Laplace, D. Wei, and P. Podsiadlowski, “Convective-core overshooting and the final fate of massive stars,” Astron. Astrophys. 682 (2024) A123, arXiv:2311.05701 [astro-ph.SR].
  • [1763] J. R. Gerke, C. S. Kochanek, and K. Z. Stanek, “The Search for Failed Supernovae with The Large Binocular Telescope: First Candidates,” Mon. Not. Roy. Astron. Soc. 450 no. 3, (2015) 3289–3305, arXiv:1411.1761 [astro-ph.SR].
  • [1764] C. M. Basinger, C. S. Kochanek, S. M. Adams, X. Dai, and K. Z. Stanek, “The search for failed supernovae with the Large Binocular Telescope: N6946-BH1, still no star,” Mon. Not. Roy. Astron. Soc. 508 no. 1, (2021) 1156–1164, arXiv:2007.15658 [astro-ph.SR].
  • [1765] E. O’Connor et al., “Global Comparison of Core-Collapse Supernova Simulations in Spherical Symmetry,” J. Phys. G 45 no. 10, (2018) 104001, arXiv:1806.04175 [astro-ph.HE].
  • [1766] A. Burrows and D. Vartanyan, “Core-Collapse Supernova Explosion Theory,” Nature 589 no. 7840, (2021) 29–39, arXiv:2009.14157 [astro-ph.SR].
  • [1767] T. Ertl, H. T. Janka, S. E. Woosley, T. Sukhbold, and M. Ugliano, “A two-parameter criterion for classifying the explodability of massive stars by the neutrino-driven mechanism,” Astrophys. J. 818 no. 2, (2016) 124, arXiv:1503.07522 [astro-ph.SR].
  • [1768] T. Sukhbold, T. Ertl, S. E. Woosley, J. M. Brown, and H. T. Janka, “Core-Collapse Supernovae from 9 to 120 Solar Masses Based on Neutrino-powered Explosions,” Astrophys. J. 821 no. 1, (2016) 38, arXiv:1510.04643 [astro-ph.HE].
  • [1769] L. Boccioli and G. Fragione, “Remnant masses from 1D+ core-collapse supernovae simulations: bimodal neutron star mass distribution and black holes in the low-mass gap,” arXiv:2404.05927 [astro-ph.HE].
  • [1770] C. D. Bailyn, R. K. Jain, P. Coppi, and J. A. Orosz, “The Mass distribution of stellar black holes,” Astrophys. J. 499 (1998) 367, arXiv:astro-ph/9708032.
  • [1771] C. L. Fryer and V. Kalogera, “Theoretical black hole mass distributions,” Astrophys. J. 554 (2001) 548–560, arXiv:astro-ph/9911312.
  • [1772] F. Ozel, D. Psaltis, R. Narayan, and J. E. McClintock, “The Black Hole Mass Distribution in the Galaxy,” Astrophys. J. 725 (2010) 1918–1927, arXiv:1006.2834 [astro-ph.GA].
  • [1773] W. M. Farr, N. Sravan, A. Cantrell, L. Kreidberg, C. D. Bailyn, I. Mandel, and V. Kalogera, “The Mass Distribution of Stellar-Mass Black Holes,” Astrophys. J. 741 (2011) 103, arXiv:1011.1459 [astro-ph.GA].
  • [1774] L. Kreidberg, C. D. Bailyn, W. M. Farr, and V. Kalogera, “Mass Measurements of Black Holes in X-Ray Transients: Is There a Mass Gap?,” Astrophys. J. 757 (2012) 36, arXiv:1205.1805 [astro-ph.HE].
  • [1775] L. Wyrzykowski and I. Mandel, “Constraining the masses of microlensing black holes and the mass gap with Gaia DR2,” Astron. Astrophys. 636 (2020) A20, arXiv:1904.07789 [astro-ph.SR].
  • [1776] P. G. Jonker, K. Kaur, N. Stone, and M. A. P. Torres, “The Observed Mass Distribution of Galactic Black Hole LMXBs Is Biased against Massive Black Holes,” Astrophys. J. 921 no. 2, (2021) 131, arXiv:2104.03596 [astro-ph.HE]. – 684 –
  • [1777] J. C. Siegel et al., “Investigating the Lower Mass Gap with Low-mass X-Ray Binary Population Synthesis,” Astrophys. J. 954 no. 2, (2023) 212, arXiv:2209.06844 [astro-ph.HE].
  • [1778] C. L. Fryer, K. Belczynski, G. Wiktorowicz, M. Dominik, V. Kalogera, and D. E. Holz, “Compact Remnant Mass Function: Dependence on the Explosion Mechanism and Metallicity,” Astrophys. J. 749 (2012) 91, arXiv:1110.1726 [astro-ph.SR].
  • [1779] C. L. Fryer, A. Olejak, and K. Belczynski, “The Effect of Supernova Convection On Neutron Star and Black Hole Masses,” Astrophys. J. 931 no. 2, (2022) 94, arXiv:2204.13025 [astro-ph.HE].
  • [1780] C. S. Kochanek, “Failed Supernovae Explain the Compact Remnant Mass Function,” Astrophys. J. 785 (2014) 28, arXiv:1308.0013 [astro-ph.HE].
  • [1781] C. S. Kochanek, “Constraints on Core Collapse from the Black Hole Mass Function,” Mon. Not. Roy. Astron. Soc. 446 (2015) 1213–1222, arXiv:1407.5622 [astro-ph.SR].
  • [1782] C. Ye and M. Fishbach, “Inferring the Neutron Star Maximum Mass and Lower Mass Gap in Neutron Star–Black Hole Systems with Spin,” Astrophys. J. 937 no. 2, (2022) 73, arXiv:2202.05164 [astro-ph.HE].
  • [1783] S. Biscoveanu, P. Landry, and S. Vitale, “Population properties and multimessenger prospects of neutron star–black hole mergers following GWTC-3,” Mon. Not. Roy. Astron. Soc. 518 no. 4, (2022) 5298–5312, arXiv:2207.01568 [astro-ph.HE].
  • [1784] A. Olejak, C. L. Fryer, K. Belczynski, and V. Baibhav, “The role of supernova convection for the lower mass gap in the isolated binary formation of gravitational wave sources,” Mon. Not. Roy. Astron. Soc. 516 no. 2, (2022) 2252–2271, arXiv:2204.09061 [astro-ph.HE].
  • [1785] K. El-Badry et al., “A Sun-like star orbiting a black hole,” Mon. Not. Roy. Astron. Soc. 518 no. 1, (2023) 1057–1085, arXiv:2209.06833 [astro-ph.SR].
  • [1786] S. Chakrabarti et al., “A Noninteracting Galactic Black Hole Candidate in a Binary System with a Main-sequence Star,” Astron. J. 166 no. 1, (2023) 6, arXiv:2210.05003 [astro-ph.GA].
  • [1787] K. El-Badry et al., “A red giant orbiting a black hole,” Mon. Not. Roy. Astron. Soc. 521 no. 3, (2023) 4323–4348.
  • [1788] V. Tiwari and S. Fairhurst, “The Emergence of Structure in the Binary Black Hole Mass Distribution,” Astrophys. J. Lett. 913 no. 2, (2021) L19, arXiv:2011.04502 [astro-ph.HE].
  • [1789] J. Klencki, G. Nelemans, A. G. Istrate, and M. Chruślińska, “It has to be cool: Supergiant progenitors of binary black hole mergers from common-envelope evolution,” Astron. Astrophys. 645 (2021) A54, arXiv:2006.11286 [astro-ph.SR].
  • [1790] T. Wagg, F. S. Broekgaarden, S. E. de Mink, L. A. C. van Son, N. Frankel, and S. Justham, “Gravitational Wave Sources in Our Galactic Backyard: Predictions for BHBH, BHNS, and NSNS Binaries Detectable with LISA,” Astrophys. J. 937 no. 2, (2022) 118, arXiv:2111.13704 [astro-ph.HE].
  • [1791] T. Ertl, S. E. Woosley, T. Sukhbold, and H. T. Janka, “The Explosion of Helium Stars Evolved With Mass Loss,” arXiv:1910.01641 [astro-ph.HE].
  • [1792] R. Farmer, M. Renzo, S. de Mink, M. Fishbach, and S. Justham, “Constraints from gravitational wave detections of binary black hole mergers on the 12 C (α, γ) 16 O rate,” Astrophys. J. Lett. 902 no. 2, (2020) L36, arXiv:2006.06678 [astro-ph.HE].
  • [1793] Gaia Collaboration, P. Panuzzo et al., “Discovery of a dormant 33 solar-mass black hole in pre-release Gaia astrometry,” arXiv:2404.10486 [astro-ph.GA]. – 685 –
  • [1794] F. Antonini, M. Gieles, F. Dosopoulou, and D. Chattopadhyay, “Coalescing black hole binaries from globular clusters: mass distributions and comparison to gravitational wave data from GWTC-3,” Mon. Not. Roy. Astron. Soc. 522 no. 1, (2023) 466–476, arXiv:2208.01081 [astro-ph.HE].
  • [1795] S. Stevenson, M. Sampson, J. Powell, A. Vigna-Gómez, C. J. Neijssel, D. Szécsi, and I. Mandel, “The impact of pair-instability mass loss on the binary black hole mass distribution,” arXiv:1904.02821 [astro-ph.HE].
  • [1796] S. Woosley, T. Sukhbold, and H. T. Janka, “The Birth Function for Black Holes and Neutron Stars in Close Binaries,” Astrophys. J. 896 no. 1, (2020) 56, arXiv:2001.10492 [astro-ph.HE].
  • [1797] Planck Collaboration, N. Aghanim, Y. Akrami, M. Ashdown, J. Aumont, C. Baccigalupi, M. Ballardini, A. J. Banday, R. B. Barreiro, N. Bartolo, S. Basak, R. Battye, K. Benabed, J. P. Bernard, M. Bersanelli, P. Bielewicz, J. J. Bock, J. R. Bond, J. Borrill, F. R. Bouchet, F. Boulanger, M. Bucher, C. Burigana, R. C. Butler, E. Calabrese, J. F. Cardoso, J. Carron, A. Challinor, H. C. Chiang, J. Chluba, L. P. L. Colombo, C. Combet, D. Contreras, B. P. Crill, F. Cuttaia, P. de Bernardis, G. de Zotti, J. Delabrouille, J. M. Delouis, E. Di Valentino, J. M. Diego, O. Doré, M. Douspis, A. Ducout, X. Dupac, S. Dusini, G. Efstathiou, F. Elsner, T. A. Enßlin, H. K. Eriksen, Y. Fantaye, M. Farhang, J. Fergusson, R. Fernandez-Cobos, F. Finelli, F. Forastieri, M. Frailis, A. A. Fraisse, E. Franceschi, A. Frolov, S. Galeotta, S. Galli, K. Ganga, R. T. Génova-Santos, M. Gerbino, T. Ghosh, J. González-Nuevo, K. M. Górski, S. Gratton, A. Gruppuso, J. E. Gudmundsson, J. Hamann, W. Handley, F. K. Hansen, D. Herranz, S. R. Hildebrandt, E. Hivon, Z. Huang, A. H. Jaffe, W. C. Jones, A. Karakci, E. Keihänen, R. Keskitalo, K. Kiiveri, J. Kim, T. S. Kisner, L. Knox, N. Krachmalnicoff, M. Kunz, H. Kurki-Suonio, G. Lagache, J. M. Lamarre, A. Lasenby, M. Lattanzi, C. R. Lawrence, M. Le Jeune, P. Lemos, J. Lesgourgues, F. Levrier, A. Lewis, M. Liguori, P. B. Lilje, M. Lilley, V. Lindholm, M. López-Caniego, P. M. Lubin, Y. Z. Ma, J. F. Macı́as-Pérez, G. Maggio, D. Maino, N. Mandolesi, A. Mangilli, A. Marcos-Caballero, M. Maris, P. G. Martin, M. Martinelli, E. Martı́nez-González, S. Matarrese, N. Mauri, J. D. McEwen, P. R. Meinhold, A. Melchiorri, A. Mennella, M. Migliaccio, M. Millea, S. Mitra, M. A. Miville-Deschênes, D. Molinari, L. Montier, G. Morgante, A. Moss, P. Natoli, H. U. Nørgaard-Nielsen, L. Pagano, D. Paoletti, B. Partridge, G. Patanchon, H. V. Peiris, F. Perrotta, V. Pettorino, F. Piacentini, L. Polastri, G. Polenta, J. L. Puget, J. P. Rachen, M. Reinecke, M. Remazeilles, A. Renzi, G. Rocha, C. Rosset, G. Roudier, J. A. Rubiño-Martı́n, B. Ruiz-Granados, L. Salvati, M. Sandri, M. Savelainen, D. Scott, E. P. S. Shellard, C. Sirignano, G. Sirri, L. D. Spencer, R. Sunyaev, A. S. Suur-Uski, J. A. Tauber,
  • [1798] A. G. Riess et al., “A Comprehensive Measurement of the Local Value of the Hubble Constant with 1 km s−1 Mpc−1 Uncertainty from the Hubble Space Telescope and the SH0ES Team,” Astrophys. J. Lett. 934 no. 1, (2022) L7, arXiv:2112.04510 [astro-ph.CO].
  • [1799] A. Heger and S. E. Woosley, “The nucleosynthetic signature of population III,” Astrophys. J. 567 (2002) 532–543, arXiv:astro-ph/0107037.
  • [1800] S. E. Woosley, “Pulsational Pair-Instability Supernovae,” Astrophys. J. 836 no. 2, (2017) 244, arXiv:1608.08939 [astro-ph.HE].
  • [1801] W. A. Fowler and F. Hoyle, “Neutrino Processes and Pair Formation in Massive Stars and Supernovae,” Astrophys. J. Suppl. 9 (1964) 201–319. – 686 –
  • [1802] Z. Barkat, G. Rakavy, and N. Sack, “Dynamics of Supernova Explosion Resulting from Pair Formation,” Phys. Rev. Lett. 18 (1967) 379–381.
  • [1803] R. Farmer, M. Renzo, S. E. de Mink, P. Marchant, and S. Justham, “Mind the gap: The location of the lower edge of the pair instability supernovae black hole mass gap,” arXiv:1910.12874 [astro-ph.SR].
  • [1804] P. Marchant and T. Moriya, “The impact of stellar rotation on the black hole mass-gap from pair-instability supernovae,” Astron. Astrophys. 640 (2020) L18, arXiv:2007.06220 [astro-ph.HE].
  • [1805] M. Renzo, R. J. Farmer, S. Justham, S. E. de Mink, Y. Götberg, and P. Marchant, “Sensitivity of the lower-edge of the pair instability black hole mass gap to the treatment of time dependent convection,” Mon. Not. Roy. Astron. Soc. 493 no. 3, (2020) 4333–4341, arXiv:2002.08200 [astro-ph.SR].
  • [1806] A. K. Mehta, A. Buonanno, J. Gair, M. C. Miller, E. Farag, R. J. deBoer, M. Wiescher, and F. X. Timmes, “Observing Intermediate-mass Black Holes and the Upper Stellar-mass gap with LIGO and Virgo,” Astrophys. J. 924 no. 1, (2022) 39, arXiv:2105.06366 [gr-qc].
  • [1807] E. Farag, M. Renzo, R. Farmer, M. T. Chidester, and F. X. Timmes, “Resolving the Peak of the Black Hole Mass Spectrum,” Astrophys. J. 937 no. 2, (2022) 112, arXiv:2208.09624 [astro-ph.HE].
  • [1808] Y. Shen et al., “New Determination of the 12 C(α, γ)16 O Reaction Rate and Its Impact on the Black-hole Mass Gap,” Astrophys. J. 945 no. 1, (2023) 41.
  • [1809] G. Franciolini, K. Kritos, L. Reali, F. Broekgaarden, and E. Berti, “Beyond the far side: Observing black hole mergers beyond the pair-instability mass gap with next-generation gravitational wave detectors,” arXiv:2401.13038 [astro-ph.HE].
  • [1810] S. E. Woosley and A. Heger, “The Pair-Instability Mass Gap for Black Holes,” Astrophys. J. Lett. 912 no. 2, (2021) L31, arXiv:2103.07933 [astro-ph.SR].
  • [1811] C. Karathanasis, S. Mukherjee, and S. Mastrogiovanni, “Binary black holes population and cosmology in new lights: signature of PISN mass and formation channel in GWTC-3,” Mon. Not. Roy. Astron. Soc. 523 no. 3, (2023) 4539–4555, arXiv:2204.13495 [astro-ph.CO].
  • [1812] J. Golomb, M. Isi, and W. Farr, “Physical Models for the Astrophysical Population of Black Holes: Application to the Bump in the Mass Distribution of Gravitational Wave Sources,” arXiv:2312.03973 [astro-ph.HE].
  • [1813] D. D. Hendriks, L. A. C. van Son, M. Renzo, R. G. Izzard, and R. Farmer, “Pulsational pair-instability supernovae in gravitational-wave and electromagnetic transients,” arXiv:2309.09339 [astro-ph.HE].
  • [1814] Y. Ulrich, D. Croon, J. Sakstein, and S. McDermott, “Multi-Generational Black Hole Population Analysis with an Astrophysically Informed Mass Function,” arXiv:2406.06109 [astro-ph.HE].
  • [1815] F. Antonini, I. M. Romero-Shaw, and T. Callister, “A Star Cluster Population of High Mass Black Hole Mergers in Gravitational Wave Data,” arXiv:2406.19044 [astro-ph.HE].
  • [1816] J. M. Lattimer and M. Prakash, “The physics of neutron stars,” Science 304 (2004) 536–542, arXiv:astro-ph/0405262.
  • [1817] M. Kramer et al., “Strong-Field Gravity Tests with the Double Pulsar,” Phys. Rev. X 11 no. 4, (2021) 041050, arXiv:2112.06795 [astro-ph.HE].
  • [1818] D. R. Lorimer and M. Kramer, “Handbook of Pulsar Astronomy,” Handbook of Pulsar Astronomy, by D. R. Lorimer , M. Kramer, Cambridge, UK: Cambridge University Press, 2012 (Oct., 2012) . – 687 –
  • [1819] N. Wex, “Testing Relativistic Gravity with Radio Pulsars,” arXiv:1402.5594 [gr-qc].
  • [1820] J. Antoniadis et al., “A Massive Pulsar in a Compact Relativistic Binary,” Science 340 (2013) 6131, arXiv:1304.6875 [astro-ph.HE].
  • [1821] M. Linares, T. Shahbaz, and J. Casares, “Peering into the dark side: Magnesium lines establish a massive neutron star in PSR J2215+5135,” Astrophys. J. 859 no. 1, (2018) 54, arXiv:1805.08799 [astro-ph.HE].
  • [1822] D. Kandel and R. W. Romani, “An Optical Study of the Black Widow Population,” Astrophys. J. 942 no. 1, (2023) 6, arXiv:2211.16990 [astro-ph.HE].
  • [1823] T. M. Tauris and E. P. J. van den Heuvel, Physics of Binary Star Evolution: From Stars to X-ray Binaries and Gravitational Wave Sources. Princeton University Press, 6, 2023.
  • [1824] M. Falanga, E. Bozzo, A. Lutovinov, J. M. Bonnet-Bidaud, Y. Fetisova, and J. Puls, “Ephemeris, orbital decay, and masses of ten eclipsing high-mass X-ray binaries,” Astron. Astrophys. 577 (2015) A130, arXiv:1502.07126 [astro-ph.HE].
  • [1825] F. Özel and P. Freire, “Masses, Radii, and the Equation of State of Neutron Stars,” Ann. Rev. Astron. Astrophys. 54 (2016) 401–440, arXiv:1603.02698 [astro-ph.HE].
  • [1826] L. Rezzolla, E. R. Most, and L. R. Weih, “Using gravitational-wave observations and quasi-universal relations to constrain the maximum mass of neutron stars,” Astrophys. J. Lett. 852 no. 2, (2018) L25, arXiv:1711.00314 [astro-ph.HE].
  • [1827] NANOGrav Collaboration, H. T. Cromartie et al., “Relativistic Shapiro delay measurements of an extremely massive millisecond pulsar,” Nature Astron. 4 no. 1, (2019) 72–76, arXiv:1904.06759 [astro-ph.HE].
  • [1828] E. Fonseca et al., “Refined Mass and Geometric Measurements of the High-mass PSR J0740+6620,” Astrophys. J. Lett. 915 no. 1, (2021) L12, arXiv:2104.00880 [astro-ph.HE].
  • [1829] R. W. Romani, D. Kandel, A. V. Filippenko, T. G. Brink, and W. Zheng, “PSR J0952−0607: The Fastest and Heaviest Known Galactic Neutron Star,” Astrophys. J. Lett. 934 no. 2, (2022) L18, arXiv:2207.05124 [astro-ph.HE].
  • [1830] E. D. Barr et al., “A pulsar in a binary with a compact object in the mass gap between neutron stars and black holes,” Science 383 no. 6680, (2024) 275–279, arXiv:2401.09872 [astro-ph.HE].
  • [1831] J. Antoniadis, T. M. Tauris, F. Ozel, E. Barr, D. J. Champion, and P. C. C. Freire, “The millisecond pulsar mass distribution: Evidence for bimodality and constraints on the maximum neutron star mass,”.
  • [1832] J. Alsing, H. O. Silva, and E. Berti, “Evidence for a maximum mass cut-off in the neutron star mass distribution and constraints on the equation of state,” Monthly Notices of the Royal Astronomical Society 478 (July, 2018) 1377–1391.
  • [1833] L. S. Rocha, J. E. Horvath, L. M. de Sá, G. Y. Chinen, L. G. Barão, and M. G. B. de Avellar, “Mass Distribution and Maximum Mass of Neutron Stars: Effects of Orbital Inclination Angle,” Universe 10 no. 1, (2024) 3, arXiv:2312.13244 [astro-ph.HE].
  • [1834] A. Wongwathanarat, H. T. Janka, and E. Mueller, “Three-dimensional neutrino-driven supernovae: Neutron star kicks, spins, and asymmetric ejection of nucleosynthesis products,” Astron. Astrophys. 552 (2013) A126, arXiv:1210.8148 [astro-ph.HE].
  • [1835] E. Laplace, Y. Götberg, S. E. de Mink, S. Justham, and R. Farmer, “The expansion of stripped-envelope stars: consequences for supernovae and gravitational-wave progenitors,” Astron. Astrophys. 637 (2020) A6, arXiv:2003.01120 [astro-ph.SR]. – 688 –
  • [1836] J. Antoniadis, D. R. Aguilera-Dena, A. Vigna-Gómez, M. Kramer, N. Langer, B. Müller, T. M. Tauris, C. Wang, and X.-T. Xu, “Explodability fluctuations of massive stellar cores enable asymmetric compact object mergers such as GW190814,” Astron. Astrophys. 657 (2022) L6, arXiv:2110.01393 [astro-ph.HE].
  • [1837] S. Jones, R. Hirschi, and K. Nomoto, “The Final Fate of Stars that Ignite Neon and Oxygen Off-center: Electron Capture or Iron Core-collapse Supernova?,” ApJ 797 no. 2, (Dec., 2014) 83, arXiv:1412.2878 [astro-ph.SR].
  • [1838] D. Ibeling and A. Heger, “The Metallicity Dependence of the Minimum Mass for Core-Collapse Supernovae,” Astrophys. J. Lett. 765 (2013) L43, arXiv:1301.5783 [astro-ph.SR].
  • [1839] C. L. Doherty, P. Gil-Pons, L. Siess, and J. C. Lattanzio, “Super-AGB Stars and their Role as Electron Capture Supernova Progenitors,” PASA 34 (Nov., 2017) e056, arXiv:1703.06895 [astro-ph.SR].
  • [1840] F. X. Timmes, S. E. Woosley, and T. A. Weaver, “The Neutron star and black hole initial mass function,” Astrophys. J. 457 (1996) 834, arXiv:astro-ph/9510136.
  • [1841] T. M. Tauris, N. Langer, and M. Kramer, “Formation of millisecond pulsars with CO white dwarf companions - II. Accretion, spin-up, true ages and comparison to MSPs with He white dwarf companions,” Mon. Not. Roy. Astron. Soc. 426 (2012) 1601–1627, arXiv:1206.1862 [astro-ph.SR].
  • [1842] H.-L. Chen, T. M. Tauris, X. Chen, and Z. Han, “Does Nature Allow the Formation of Ultra-compact Black Hole X-Ray Binaries via the Accretion-induced Collapse of Neutron Stars?,” Astrophys. J. 951 no. 2, (2023) 91, arXiv:2305.06550 [astro-ph.HE].
  • [1843] S. Chanlaridis, J. Antoniadis, D. R. Aguilera-Dena, G. Gräfener, N. Langer, and N. Stergioulas, “Thermonuclear and Electron-Capture Supernovae from Stripped-Envelope Stars,” Astron. Astrophys. 668 (2022) A106, arXiv:2201.00871 [astro-ph.HE].
  • [1844] A. Watts et al., “Probing the neutron star interior and the Equation of State of cold dense matter with the SKA,” PoS AASKA14 (2015) 043, arXiv:1501.00042 [astro-ph.SR].
  • [1845] I. Mandel and T. Fragos, “An alternative interpretation of GW190412 as a binary black hole merger with a rapidly spinning secondary,” Astrophys. J. Lett. 895 no. 2, (2020) L28, arXiv:2004.09288 [astro-ph.HE].
  • [1846] T. Fragos and J. E. McClintock, “The Origin of Black Hole Spin in Galactic Low-Mass X-ray Binaries,” Astrophys. J. 800 no. 1, (2015) 17, arXiv:1408.2661 [astro-ph.HE].
  • [1847] Y. Qin, T. Fragos, G. Meynet, J. Andrews, M. Sørensen, and H. F. Song, “The spin of the second-born black hole in coalescing binary black holes,” Astron. Astrophys. 616 (2018) A28, arXiv:1802.05738 [astro-ph.SR].
  • [1848] S. S. Bavera et al., “The formation of merging black holes with masses beyond 30 M⊙ at solar metallicity,” Nature Astron. 7 no. 9, (2023) 1090–1097.
  • [1849] S. E. de Mink, M. Cantiello, N. Langer, O. R. Pols, I. Brott, and S. C. Yoon, “Rotational mixing in massive binaries: detached short-period systems,” Astron. Astrophys. 497 (2009) 243, arXiv:0902.1751 [astro-ph.SR].
  • [1850] H. F. Song, G. Meynet, A. Maeder, S. Ekström, and P. Eggenberger, “Massive star evolution in close binaries. Conditions for homogeneous chemical evolution,” A&A 585 (Jan., 2016) A120, arXiv:1508.06094 [astro-ph.SR].
  • [1851] D. Szécsi, N. Langer, S.-C. Yoon, D. Sanyal, S. de Mink, C. J. Evans, and T. Dermine, “Low-metallicity massive single stars with rotation. Evolutionary models applicable to I Zwicky 18,” A&A 581 (Sept., 2015) A15, arXiv:1506.09132 [astro-ph.SR]. – 689 –
  • [1852] S. S. Bavera, T. Fragos, Y. Qin, E. Zapartas, C. J. Neijssel, I. Mandel, A. Batta, S. M. Gaebel, C. Kimball, and S. Stevenson, “The origin of spin in binary black holes: Predicting the distributions of the main observables of Advanced LIGO,” Astron. Astrophys. 635 (2020) A97, arXiv:1906.12257 [astro-ph.HE].
  • [1853] S. E. de Mink, N. Langer, R. G. Izzard, H. Sana, and A. de Koter, “The rotation rates of massive stars: the role of binary interaction through tides, mass transfer and mergers,” Astrophys. J. 764 (2013) 166, arXiv:1211.3742 [astro-ph.SR].
  • [1854] K. S. Thorne, “Disk-Accretion onto a Black Hole. II. Evolution of the Hole,” ApJ 191 (July, 1974) 507–520.
  • [1855] A. R. King and U. Kolb, “The evolution of black hole mass and angular momentum,” Mon. Not. Roy. Astron. Soc. 305 (1999) 654, arXiv:astro-ph/9901296.
  • [1856] P. Podsiadlowski, S. Rappaport, and E. D. Pfahl, “Evolutionary Sequences for Low- and Intermediate-Mass X-Ray Binaries,” ApJ 565 no. 2, (Feb., 2002) 1107–1133, arXiv:astro-ph/0107261 [astro-ph].
  • [1857] E. Moreno Méndez, G. E. Brown, C. H. Lee, and I. H. Park, “The Case for Hypercritical Accretion in M33 X-7,” Astrophys. J. Lett. 689 (2008) L9, arXiv:0809.2146 [astro-ph].
  • [1858] A. Sadowski and R. Narayan, “Three-dimensional simulations of supercritical black hole accretion discs – luminosities, photon trapping and variability,” Mon. Not. Roy. Astron. Soc. 456 no. 4, (2016) 3929–3947, arXiv:1509.03168 [astro-ph.HE].
  • [1859] B. Lowell, J. Jacquemin-Ide, A. Tchekhovskoy, and A. Duncan, “Rapid Black Hole Spin-down by Thick Magnetically Arrested Disks,” Astrophys. J. 960 no. 1, (2024) 82, arXiv:2302.01351 [astro-ph.HE].
  • [1860] A. Tchekhovskoy, J. C. McKinney, and R. Narayan, “General Relativistic Modeling of Magnetized Jets from Accreting Black Holes,” J. Phys. Conf. Ser. 372 (2012) 012040, arXiv:1202.2864 [astro-ph.HE].
  • [1861] C. F. Gammie, S. L. Shapiro, and J. C. McKinney, “Black hole spin evolution,” Astrophys. J. 602 (2004) 312–319, arXiv:astro-ph/0310886.
  • [1862] A. Batta, E. Ramirez-Ruiz, and C. Fryer, “The Formation of Rapidly Rotating Black Holes in High Mass X-ray Binaries,” Astrophys. J. Lett. 846 no. 2, (2017) L15, arXiv:1708.00570 [astro-ph.HE].
  • [1863] S. L. Schrøder, A. Batta, and E. Ramirez-Ruiz, “Black Hole Formation in Fallback Supernova and the Spins of LIGO Sources,” Astrophys. J. Lett. 862 no. 1, (2018) L3, arXiv:1805.01269 [astro-ph.HE].
  • [1864] J. Fuller, M. Cantiello, D. Lecoanet, and E. Quataert, “The Spin Rate of Pre-collapse Stellar Cores: Wave-driven Angular Momentum Transport in Massive Stars,” ApJ 810 no. 2, (Sept., 2015) 101, arXiv:1502.07779 [astro-ph.SR].
  • [1865] E. Moreno Méndez and M. Cantiello, “Limits On The Spin Up Of Stellar-Mass Black Holes Through A Spiral Stationary Accretion Shock Instability,” New Astron. 44 (2016) 58–65, arXiv:1510.02805 [astro-ph.HE].
  • [1866] S. Sigurdsson and L. Hernquist, “Primordial black holes in globular clusters,” Nature 364 (1993) 423–425.
  • [1867] S. F. Portegies Zwart and S. McMillan, “Black hole mergers in the universe,” Astrophys. J. Lett. 528 (2000) L17, arXiv:astro-ph/9910061.
  • [1868] C. L. Rodriguez, M. Zevin, C. Pankow, V. Kalogera, and F. A. Rasio, “Illuminating Black Hole Binary Formation Channels with Spins in Advanced LIGO,” Astrophys. J. Lett. 832 no. 1, (2016) L2, arXiv:1609.05916 [astro-ph.HE]. – 690 –
  • [1869] A. A. Trani, S. Rastello, U. N. Di Carlo, F. Santoliquido, A. Tanikawa, and M. Mapelli, “Compact object mergers in hierarchical triples from low-mass young star clusters,” Mon. Not. Roy. Astron. Soc. 511 no. 1, (2022) 1362–1372, arXiv:2111.06388 [astro-ph.HE].
  • [1870] E. Barausse and L. Rezzolla, “Predicting the direction of the final spin from the coalescence of two black holes,” Astrophys. J. Lett. 704 (2009) L40–L44, arXiv:0904.2577 [gr-qc].
  • [1871] R. A. Remillard and J. E. McClintock, “X-ray Properties of Black-Hole Binaries,” Ann. Rev. Astron. Astrophys. 44 (2006) 49–92, arXiv:astro-ph/0606352.
  • [1872] M. Pürrer, M. Hannam, and F. Ohme, “Can we measure individual black-hole spins from gravitational-wave observations?,” Phys. Rev. D 93 no. 8, (2016) 084042, arXiv:1512.04955 [gr-qc].
  • [1873] S. Vitale, R. Lynch, V. Raymond, R. Sturani, J. Veitch, and P. Graff, “Parameter estimation for heavy binary-black holes with networks of second-generation gravitational-wave detectors,” Phys. Rev. D 95 no. 6, (2017) 064053, arXiv:1611.01122 [gr-qc].
  • [1874] G. Pratten, P. Schmidt, R. Buscicchio, and L. M. Thomas, “Measuring precession in asymmetric compact binaries,” Phys. Rev. Res. 2 no. 4, (2020) 043096, arXiv:2006.16153 [gr-qc].
  • [1875] T. A. Apostolatos, C. Cutler, G. J. Sussman, and K. S. Thorne, “Spin induced orbital precession and its modulation of the gravitational wave forms from merging binaries,” Phys. Rev. D 49 (1994) 6274–6297.
  • [1876] M. Fishbach and V. Kalogera, “Apples and Oranges: Comparing Black Holes in X-Ray Binaries and Gravitational-wave Sources,” Astrophys. J. Lett. 929 no. 2, (2022) L26, arXiv:2111.02935 [astro-ph.HE].
  • [1877] LIGO Scientific, Virgo Collaboration, R. Abbott et al., “GW190814: Gravitational Waves from the Coalescence of a 23 Solar Mass Black Hole with a 2.6 Solar Mass Compact Object,” Astrophys. J. Lett. 896 no. 2, (2020) L44, arXiv:2006.12611 [astro-ph.HE].
  • [1878] LIGO Scientific, VIRGO Collaboration, R. Abbott et al., “GWTC-2.1: Deep extended catalog of compact binary coalescences observed by LIGO and Virgo during the first half of the third observing run,” Phys. Rev. D 109 no. 2, (2024) 022001, arXiv:2108.01045 [gr-qc].
  • [1879] LIGO Scientific, Virgo Collaboration, B. P. Abbott et al., “GW151226: Observation of Gravitational Waves from a 22-Solar-Mass Binary Black Hole Coalescence,” Phys. Rev. Lett. 116 no. 24, (2016) 241103, arXiv:1606.04855 [gr-qc].
  • [1880] P. Ajith et al., “Inspiral-merger-ringdown waveforms for black-hole binaries with non-precessing spins,” Phys. Rev. Lett. 106 (2011) 241101, arXiv:0909.2867 [gr-qc].
  • [1881] L. Santamaria et al., “Matching post-Newtonian and numerical relativity waveforms: systematic errors and a new phenomenological model for non-precessing black hole binaries,” Phys. Rev. D 82 (2010) 064016, arXiv:1005.3306 [gr-qc].
  • [1882] P. Schmidt, F. Ohme, and M. Hannam, “Towards models of gravitational waveforms from generic binaries II: Modelling precession effects with a single effective precession parameter,” Phys. Rev. D 91 no. 2, (2015) 024043, arXiv:1408.1810 [gr-qc].
  • [1883] M. Hannam et al., “General-relativistic precession in a black-hole binary,” Nature 610 no. 7933, (2022) 652–655, arXiv:2112.11300 [gr-qc].
  • [1884] T. Islam, A. Vajpeyi, F. H. Shaik, C.-J. Haster, V. Varma, S. E. Field, J. Lange, R. O’Shaughnessy, and R. Smith, “Analysis of GWTC-3 with fully precessing numerical relativity surrogate models,” arXiv:2309.14473 [gr-qc]. – 691 –
  • [1885] E. Payne, S. Hourihane, J. Golomb, R. Udall, R. Udall, D. Davis, and K. Chatziioannou, “Curious case of GW200129: Interplay between spin-precession inference and data-quality issues,” Phys. Rev. D 106 no. 10, (2022) 104017, arXiv:2206.11932 [gr-qc].
  • [1886] R. Macas, A. Lundgren, and G. Ashton, “Revisiting the evidence for precession in GW200129 with machine learning noise mitigation,” Phys. Rev. D 109 no. 6, (2024) 062006, arXiv:2311.09921 [gr-qc].
  • [1887] N. Gupte et al., “Evidence for eccentricity in the population of binary black holes observed by LIGO-Virgo-KAGRA,” arXiv:2404.14286 [gr-qc].
  • [1888] J. W. T. Hessels, S. M. Ransom, I. H. Stairs, P. C. C. Freire, V. M. Kaspi, and F. Camilo, “A radio pulsar spinning at 716-hz,” Science 311 (2006) 1901–1904, arXiv:astro-ph/0601337.
  • [1889] R. H. D. Corbet, J. P. Finley, and A. G. Peele, “Evidence for a very slow x-ray pulsar in 2s0114+650 from rxte all-sky monitor observations,” Astrophys. J. 511 (1999) 876, arXiv:astro-ph/9809216.
  • [1890] P. Haensel and J. L. Zdunik, “A submillisecond pulsar and the equation of state of dense matter,” Nature 340 no. 6235, (1989) 617–619.
  • [1891] L. Bildsten, “Gravitational radiation and rotation of accreting neutron stars,” Astrophys. J. Lett. 501 (1998) L89, arXiv:astro-ph/9804325.
  • [1892] D. Chakrabarty, E. H. Morgan, M. P. Muno, D. K. Galloway, R. Wijnands, M. van der Klis, and C. B. Markwardt, “Nuclear-powered millisecond pulsars and the maximum spin frequency of neutron stars,” Nature 424 (2003) 42–44, arXiv:astro-ph/0307029.
  • [1893] A. Patruno, B. Haskell, and N. Andersson, “The Spin Distribution of Fast-spinning Neutron Stars in Low-mass X-Ray Binaries: Evidence for Two Subpopulations,” Astrophys. J. 850 no. 1, (2017) 106, arXiv:1705.07669 [astro-ph.HE].
  • [1894] B. Haskell, J. L. Zdunik, M. Fortin, M. Bejger, R. Wijnands, and A. Patruno, “Fundamental physics and the absence of sub-millisecond pulsars,” Astron. Astrophys. 620 (2018) A69, arXiv:1805.11277 [astro-ph.HE].
  • [1895] T. M. Tauris, N. Langer, and P. Podsiadlowski, “Ultra-stripped supernovae: progenitors and fate,” Mon. Not. Roy. Astron. Soc. 451 no. 2, (2015) 2123–2144, arXiv:1505.00270 [astro-ph.SR].
  • [1896] C. S. Ye, K. Kremer, C. L. Rodriguez, N. Z. Rui, N. C. Weatherford, S. Chatterjee, F. A. Rasio, and G. Fragione, “Compact Object Modeling in the Globular Cluster 47 Tucanae,” Astrophys. J. 931 no. 2, (2022) 84, arXiv:2110.05495 [astro-ph.HE].
  • [1897] R. S. Lynch, P. C. C. Freire, S. M. Ransom, and B. A. Jacoby, “The Timing of Nine Globular Cluster Pulsars,” Astrophys. J. 745 (2012) 109, arXiv:1112.2612 [astro-ph.HE].
  • [1898] S. Rosswog, P. Diener, F. Torsello, T. Tauris, and N. Sarin, “Mergers of double neutron stars with one high-spin component: brighter kilonovae and fallback accretion, weaker gravitational waves,” arXiv:2310.15920 [astro-ph.HE].
  • [1899] I. Mandel and R. O’Shaughnessy, “Compact Binary Coalescences in the Band of Ground-based Gravitational-Wave Detectors,” Class. Quant. Grav. 27 (2010) 114007, arXiv:0912.1074 [astro-ph.HE].
  • [1900] W. M. Farr, S. Stevenson, M. Coleman Miller, I. Mandel, B. Farr, and A. Vecchio, “Distinguishing Spin-Aligned and Isotropic Black Hole Populations With Gravitational Waves,” Nature 548 (2017) 426, arXiv:1706.01385 [astro-ph.HE].
  • [1901] T. M. Tauris, “Tossing Black Hole Spin Axes,” Astrophys. J. 938 (2022) 66, arXiv:2205.02541 [astro-ph.HE]. – 692 –
  • [1902] H.-T. Janka, A. Wongwathanarat, and M. Kramer, “Supernova Fallback as Origin of Neutron Star Spins and Spin-kick Alignment,” Astrophys. J. 926 no. 1, (2022) 9, arXiv:2104.07493 [astro-ph.HE].
  • [1903] N. Andersson, V. Ferrari, D. I. Jones, K. D. Kokkotas, B. Krishnan, J. S. Read, L. Rezzolla, and B. Zink, “Gravitational waves from neutron stars: Promises and challenges,” Gen. Rel. Grav. 43 (2011) 409–436, arXiv:0912.0384 [astro-ph.SR].
  • [1904] N. Andersson, “A gravitational-wave perspective on neutron-star seismology,” Universe 7 no. 4, (2021) 97, arXiv:2103.10223 [gr-qc].
  • [1905] Y. Hua, K. Wette, S. M. Scott, and M. D. Pitkin, “Population synthesis and parameter estimation of neutron stars with continuous gravitational waves and third-generation detectors,” Mon. Not. Roy. Astron. Soc. 527 no. 4, (2023) 10564–10574, arXiv:2309.01133 [gr-qc].
  • [1906] G. Pagliaro, M. A. Papa, J. Ming, J. Lian, D. Tsuna, C. Maraston, and D. Thomas, “Continuous Gravitational Waves from Galactic Neutron Stars: Demography, Detectability, and Prospects,” Astrophys. J. 952 no. 2, (2023) 123, arXiv:2303.04714 [gr-qc].
  • [1907] T. M. Tauris, “Disentangling Coalescing Neutron-Star–White-Dwarf Binaries for LISA,” Phys. Rev. Lett. 121 no. 13, (2018) 131105, arXiv:1809.03504 [astro-ph.SR]. [Erratum: Phys.Rev.Lett. 124, 149902 (2020)].
  • [1907] T. M. Tauris, “Disentangling Coalescing Neutron-Star–White-Dwarf Binaries for LISA,” Phys. Rev. Lett. 121 no. 13, (2018) 131105, arXiv:1809.03504 [astro-ph.SR]. [Erratum: Phys.Rev.Lett. 124, 149902 (2020)].
  • [1908] A. G. Suvorov, “Ultra-compact X-ray binaries as dual-line gravitational-wave sources,” Mon. Not. Roy. Astron. Soc. 503 no. 4, (2021) 5495–5503, arXiv:2103.09858 [astro-ph.HE].
  • [1909] M. Y. Khlopov, “Primordial Black Holes,” Res. Astron. Astrophys. 10 (2010) 495–528, arXiv:0801.0116 [astro-ph].
  • [1910] T. Harada, C.-M. Yoo, K. Kohri, K.-i. Nakao, and S. Jhingan, “Primordial black hole formation in the matter-dominated phase of the Universe,” Astrophys. J. 833 no. 1, (2016) 61, arXiv:1609.01588 [astro-ph.CO].
  • [1911] M. J. Baker, M. Breitbach, J. Kopp, and L. Mittnacht, “Detailed Calculation of Primordial Black Hole Formation During First-Order Cosmological Phase Transitions,” arXiv:2110.00005 [astro-ph.CO].
  • [1912] M. M. Flores, A. Kusenko, and M. Sasaki, “Revisiting formation of primordial black holes in a supercooled first-order phase transition,” arXiv:2402.13341 [hep-ph].
  • [1913] J. Liu, Z.-K. Guo, and R.-G. Cai, “Primordial Black Holes from Cosmic Domain Walls,” Phys. Rev. D 101 no. 2, (2020) 023513, arXiv:1908.02662 [astro-ph.CO].
  • [1914] G. Dvali, F. Kühnel, and M. Zantedeschi, “Primordial black holes from confinement,” Phys. Rev. D 104 no. 12, (2021) 123507, arXiv:2108.09471 [hep-ph].
  • [1915] E. Cotner, A. Kusenko, M. Sasaki, and V. Takhistov, “Analytic Description of Primordial Black Hole Formation from Scalar Field Fragmentation,” JCAP 10 (2019) 077, arXiv:1907.10613 [astro-ph.CO].
  • [1916] M. M. Flores and A. Kusenko, “Primordial Black Holes from Long-Range Scalar Forces and Scalar Radiative Cooling,” Phys. Rev. Lett. 126 no. 4, (2021) 041101, arXiv:2008.12456 [astro-ph.CO].
  • [1917] E. Alonso-Monsalve and D. I. Kaiser, “Primordial Black Holes with QCD Color Charge,” arXiv:2310.16877 [hep-ph].
  • [1918] M. M. Flores and A. Kusenko, “New ideas on the formation and astrophysical detection of primordial black holes,” arXiv:2404.05430 [astro-ph.CO].
  • [1919] M. Volonteri, “Formation of Supermassive Black Holes,” Astron. Astrophys. Rev. 18 (2010) 279–315, arXiv:1003.4404 [astro-ph.CO]. – 693 –
  • [1920] S. Clesse and J. Garcı́a-Bellido, “Massive Primordial Black Holes from Hybrid Inflation as Dark Matter and the seeds of Galaxies,” Phys. Rev. D 92 no. 2, (2015) 023524, arXiv:1501.07565 [astro-ph.CO].
  • [1921] P. D. Serpico, V. Poulin, D. Inman, and K. Kohri, “Cosmic microwave background bounds on primordial black holes including dark matter halo accretion,” Phys. Rev. Res. 2 no. 2, (2020) 023204, arXiv:2002.10771 [astro-ph.CO].
  • [1922] V. De Luca, G. Franciolini, and A. Riotto, “Heavy Primordial Black Holes from Strongly Clustered Light Black Holes,” Phys. Rev. Lett. 130 no. 17, (2023) 171401, arXiv:2210.14171 [astro-ph.CO].
  • [1923] B. Carr and J. Silk, “Primordial Black Holes as Generators of Cosmic Structures,” Mon. Not. Roy. Astron. Soc. 478 no. 3, (2018) 3756–3775, arXiv:1801.00672 [astro-ph.CO].
  • [1924] P. Boldrini, Y. Miki, A. Y. Wagner, R. Mohayaee, J. Silk, and A. Arbey, “Cusp-to-core transition in low-mass dwarf galaxies induced by dynamical heating of cold dark matter by primordial black holes,” Mon. Not. Roy. Astron. Soc. 492 no. 4, (2020) 5218–5225, arXiv:1909.07395 [astro-ph.CO].
  • [1925] B. Carr, F. Kuhnel, and L. Visinelli, “Black holes and WIMPs: all or nothing or something else,” Mon. Not. Roy. Astron. Soc. 506 no. 3, (2021) 3648–3661, arXiv:2011.01930 [astro-ph.CO].
  • [1926] P. Ivanov, P. Naselsky, and I. Novikov, “Inflation and primordial black holes as dark matter,” Phys. Rev. D 50 (1994) 7173–7178.
  • [1927] J. Garcia-Bellido, A. D. Linde, and D. Wands, “Density perturbations and black hole formation in hybrid inflation,” Phys. Rev. D 54 (1996) 6040–6058, arXiv:astro-ph/9605094.
  • [1928] P. Ivanov, “Nonlinear metric perturbations and production of primordial black holes,” Phys. Rev. D 57 (1998) 7145–7154, arXiv:astro-ph/9708224.
  • [1929] S. Blinnikov, A. Dolgov, N. K. Porayko, and K. Postnov, “Solving puzzles of GW150914 by primordial black holes,” JCAP 11 (2016) 036, arXiv:1611.00541 [astro-ph.HE].
  • [1930] A. Escrivà, E. Bagui, and S. Clesse, “Simulations of PBH formation at the QCD epoch and comparison with the GWTC-3 catalog,” JCAP 05 (2023) 004, arXiv:2209.06196 [astro-ph.CO].
  • [1931] M. Sasaki, T. Suyama, T. Tanaka, and S. Yokoyama, “Primordial black holes—perspectives in gravitational wave astronomy,” Class. Quant. Grav. 35 no. 6, (2018) 063001, arXiv:1801.05235 [astro-ph.CO].
  • [1932] Z.-C. Chen and Q.-G. Huang, “Distinguishing Primordial Black Holes from Astrophysical Black Holes by Einstein Telescope and Cosmic Explorer,” JCAP 08 (2020) 039, arXiv:1904.02396 [astro-ph.CO].
  • [1933] V. De Luca, G. Franciolini, P. Pani, and A. Riotto, “Bayesian Evidence for Both Astrophysical and Primordial Black Holes: Mapping the GWTC-2 Catalog to Third-Generation Detectors,” JCAP 05 (2021) 003, arXiv:2102.03809 [astro-ph.CO].
  • [1934] O. Pujolas, V. Vaskonen, and H. Veermäe, “Prospects for probing gravitational waves from primordial black hole binaries,” Phys. Rev. D 104 no. 8, (2021) 083521, arXiv:2107.03379 [astro-ph.CO].
  • [1935] V. De Luca, G. Franciolini, P. Pani, and A. Riotto, “The minimum testable abundance of primordial black holes at future gravitational-wave detectors,” JCAP 11 (2021) 039, arXiv:2106.13769 [astro-ph.CO]. – 694 –
  • [1936] S. Young and C. T. Byrnes, “Signatures of non-gaussianity in the isocurvature modes of primordial black hole dark matter,” JCAP 04 (2015) 034, arXiv:1503.01505 [astro-ph.CO].
  • [1937] Y. Tada and S. Yokoyama, “Primordial black holes as biased tracers,” Phys. Rev. D 91 no. 12, (2015) 123534, arXiv:1502.01124 [astro-ph.CO].
  • [1938] Y. Ali-Haı̈moud, “Correlation Function of High-Threshold Regions and Application to the Initial Small-Scale Clustering of Primordial Black Holes,” Phys. Rev. Lett. 121 no. 8, (2018) 081304, arXiv:1805.05912 [astro-ph.CO].
  • [1939] V. Desjacques and A. Riotto, “Spatial clustering of primordial black holes,” Phys. Rev. D 98 no. 12, (2018) 123533, arXiv:1806.10414 [astro-ph.CO].
  • [1940] A. Moradinezhad Dizgah, G. Franciolini, and A. Riotto, “Primordial Black Holes from Broad Spectra: Abundance and Clustering,” JCAP 11 (2019) 001, arXiv:1906.08978 [astro-ph.CO].
  • [1941] P. Auclair and B. Blachier, “Small-scale clustering of Primordial Black Holes: cloud-in-cloud and exclusion effects,” arXiv:2402.00600 [astro-ph.CO].
  • [1942] C. Animali and V. Vennin, “Clustering of primordial black holes from quantum diffusion during inflation,” arXiv:2402.08642 [astro-ph.CO].
  • [1943] M. Raidal, V. Vaskonen, and H. Veermäe, “Formation of primordial black hole binaries and their merger rates,” arXiv:2404.08416 [astro-ph.CO].
  • [1944] T. Nakamura, M. Sasaki, T. Tanaka, and K. S. Thorne, “Gravitational waves from coalescing black hole MACHO binaries,” Astrophys. J. Lett. 487 (1997) L139–L142, arXiv:astro-ph/9708060.
  • [1945] K. Ioka, T. Chiba, T. Tanaka, and T. Nakamura, “Black hole binary formation in the expanding universe: Three body problem approximation,” Phys. Rev. D 58 (1998) 063003, arXiv:astro-ph/9807018.
  • [1946] V. Vaskonen and H. Veermäe, “Lower bound on the primordial black hole merger rate,” Phys. Rev. D 101 no. 4, (2020) 043015, arXiv:1908.09752 [astro-ph.CO].
  • [1947] J. Garcia-Bellido and S. Nesseris, “Gravitational wave bursts from Primordial Black Hole hyperbolic encounters,” Phys. Dark Univ. 18 (2017) 123–126, arXiv:1706.02111 [astro-ph.CO].
  • [1948] J. Garcı́a-Bellido, S. Jaraba, and S. Kuroyanagi, “The stochastic gravitational wave background from close hyperbolic encounters of primordial black holes in dense clusters,” Phys. Dark Univ. 36 (2022) 101009, arXiv:2109.11376 [gr-qc].
  • [1949] Y. Ali-Haı̈moud, E. D. Kovetz, and M. Kamionkowski, “Merger rate of primordial black-hole binaries,” Phys. Rev. D 96 no. 12, (2017) 123523, arXiv:1709.06576 [astro-ph.CO].
  • [1950] M. Raidal, V. Vaskonen, and H. Veermäe, “Gravitational Waves from Primordial Black Hole Mergers,” JCAP 09 (2017) 037, arXiv:1707.01480 [astro-ph.CO].
  • [1951] V. De Luca, V. Desjacques, G. Franciolini, and A. Riotto, “The clustering evolution of primordial black holes,” JCAP 11 (2020) 028, arXiv:2009.04731 [astro-ph.CO].
  • [1952] D. Inman and Y. Ali-Haı̈moud, “Early structure formation in primordial black hole cosmologies,” Phys. Rev. D 100 no. 8, (2019) 083528, arXiv:1907.08129 [astro-ph.CO].
  • [1953] M. Raidal, C. Spethmann, V. Vaskonen, and H. Veermäe, “Formation and Evolution of Primordial Black Hole Binaries in the Early Universe,” JCAP 02 (2019) 018, arXiv:1812.01930 [astro-ph.CO].
  • [1954] K. Jedamzik, “Primordial Black Hole Dark Matter and the LIGO/Virgo observations,” JCAP 09 (2020) 022, arXiv:2006.11172 [astro-ph.CO]. – 695 –
  • [1955] M. Trashorras, J. Garcı́a-Bellido, and S. Nesseris, “The clustering dynamics of primordial black boles in N-body simulations,” Universe 7 no. 1, (2021) 18, arXiv:2006.15018 [astro-ph.CO].
  • [1956] V. De Luca, G. Franciolini, and A. Riotto, “Constraining the initial primordial black hole clustering with CMB distortion,” Phys. Rev. D 104 no. 6, (2021) 063526, arXiv:2103.16369 [astro-ph.CO].
  • [1957] J. Chluba et al., “Spectral Distortions of the CMB as a Probe of Inflation, Recombination, Structure Formation and Particle Physics: Astro2020 Science White Paper,” Bull. Am. Astron. Soc. 51 no. 3, (2019) 184, arXiv:1903.04218 [astro-ph.CO].
  • [1958] G. Franciolini, R. Cotesta, N. Loutrel, E. Berti, P. Pani, and A. Riotto, “How to assess the primordial origin of single gravitational-wave events with mass, spin, eccentricity, and deformability measurements,” Phys. Rev. D 105 no. 6, (2022) 063510, arXiv:2112.10660 [astro-ph.CO].
  • [1959] V. De Luca, G. Franciolini, P. Pani, and A. Riotto, “Primordial Black Holes Confront LIGO/Virgo data: Current situation,” JCAP 06 (2020) 044, arXiv:2005.05641 [astro-ph.CO].
  • [1960] V. Stasenko, “The redshift evolution of primordial black hole merger rate,” arXiv:2403.11325 [astro-ph.CO].
  • [1961] S. M. Koushiappas and A. Loeb, “Maximum redshift of gravitational wave merger events,” Phys. Rev. Lett. 119 no. 22, (2017) 221104, arXiv:1708.07380 [astro-ph.CO].
  • [1962] T. Nakamura et al., “Pre-DECIGO can get the smoking gun to decide the astrophysical or cosmological origin of GW150914-like binary black holes,” PTEP 2016 no. 9, (2016) 093E01, arXiv:1607.00897 [astro-ph.HE].
  • [1963] M. Martinelli, F. Scarcella, N. B. Hogg, B. J. Kavanagh, D. Gaggero, and P. Fleury, “Dancing in the dark: detecting a population of distant primordial black holes,” JCAP 08 no. 08, (2022) 006, arXiv:2205.02639 [astro-ph.CO].
  • [1964] K. Belczynski, T. Ryu, R. Perna, E. Berti, T. L. Tanaka, and T. Bulik, “On the likelihood of detecting gravitational waves from Population III compact object binaries,” Mon. Not. Roy. Astron. Soc. 471 no. 4, (2017) 4702–4721, arXiv:1612.01524 [astro-ph.HE].
  • [1965] S. Shandera, D. Jeong, and H. S. G. Gebhardt, “Gravitational Waves from Binary Mergers of Subsolar Mass Dark Black Holes,” Phys. Rev. Lett. 120 no. 24, (2018) 241102, arXiv:1802.08206 [astro-ph.CO].
  • [1966] D. Singh, M. Ryan, R. Magee, T. Akhter, S. Shandera, D. Jeong, and C. Hanna, “Gravitational-wave limit on the Chandrasekhar mass of dark matter,” Phys. Rev. D 104 no. 4, (2021) 044015, arXiv:2009.05209 [astro-ph.CO].
  • [1967] J. Bramante, T. Linden, and Y.-D. Tsai, “Searching for dark matter with neutron star mergers and quiet kilonovae,” Phys. Rev. D 97 no. 5, (2018) 055016, arXiv:1706.00001 [hep-ph].
  • [1968] V. Takhistov, “Transmuted Gravity Wave Signals from Primordial Black Holes,” Phys. Lett. B 782 (2018) 77–82, arXiv:1707.05849 [astro-ph.CO].
  • [1969] V. Takhistov, G. M. Fuller, and A. Kusenko, “Test for the Origin of Solar Mass Black Holes,” Phys. Rev. Lett. 126 no. 7, (2021) 071101, arXiv:2008.12780 [astro-ph.HE].
  • [1970] B. Dasgupta, R. Laha, and A. Ray, “Low Mass Black Holes from Dark Core Collapse,” Phys. Rev. Lett. 126 no. 14, (2021) 141105, arXiv:2009.01825 [astro-ph.HE].
  • [1971] P. Giffin, J. Lloyd, S. D. McDermott, and S. Profumo, “Neutron star quantum death by small black holes,” Phys. Rev. D 105 no. 12, (2022) 123030, arXiv:2105.06504 [hep-ph]. – 696 –
  • [1972] M. Abramowicz, M. Bejger, A. Udalski, and M. Wielgus, “A Robust Test of the Existence of Primordial Black Holes in Galactic Dark Matter Halos,” Astrophys. J. Lett. 935 no. 2, (2022) L28, arXiv:2206.13335 [astro-ph.HE].
  • [1973] S. Bhattacharya, B. Dasgupta, R. Laha, and A. Ray, “Can LIGO Detect Nonannihilating Dark Matter?,” Phys. Rev. Lett. 131 no. 9, (2023) 091401, arXiv:2302.07898 [hep-ph].
  • [1974] S. Bhattacharya, A. L. Miller, and A. Ray, “Continuous Gravitational Waves: A New Window to Look for Heavy Non-annihilating Dark Matter,” arXiv:2403.13886 [hep-ph].
  • [1975] D. Singh, A. Gupta, E. Berti, S. Reddy, and B. S. Sathyaprakash, “Constraining properties of asymmetric dark matter candidates from gravitational-wave observations,” Phys. Rev. D 107 no. 8, (2023) 083037, arXiv:2210.15739 [gr-qc].
  • [1976] A. H. Nitz and Y.-F. Wang, “Search for Gravitational Waves from the Coalescence of Subsolar-Mass Binaries in the First Half of Advanced LIGO and Virgo’s Third Observing Run,” Phys. Rev. Lett. 127 no. 15, (2021) 151101, arXiv:2106.08979 [astro-ph.HE].
  • [1977] LIGO Scientific, VIRGO, KAGRA Collaboration, R. Abbott et al., “Search for subsolar-mass black hole binaries in the second part of Advanced LIGO’s and Advanced Virgo’s third observing run,” Mon. Not. Roy. Astron. Soc. 524 no. 4, (2023) 5984–5992, arXiv:2212.01477 [astro-ph.HE]. [Erratum: Mon.Not.Roy.Astron.Soc. 526, 6234 (2023)].
  • [1977] LIGO Scientific, VIRGO, KAGRA Collaboration, R. Abbott et al., “Search for subsolar-mass black hole binaries in the second part of Advanced LIGO’s and Advanced Virgo’s third observing run,” Mon. Not. Roy. Astron. Soc. 524 no. 4, (2023) 5984–5992, arXiv:2212.01477 [astro-ph.HE]. [Erratum: Mon.Not.Roy.Astron.Soc. 526, 6234 (2023)].
  • [1978] A. H. Nitz and Y.-F. Wang, “Broad search for gravitational waves from subsolar-mass binaries through LIGO and Virgo’s third observing run,” Phys. Rev. D 106 no. 2, (2022) 023024, arXiv:2202.11024 [astro-ph.HE].
  • [1979] EROS-2 Collaboration, P. Tisserand et al., “Limits on the Macho Content of the Galactic Halo from the EROS-2 Survey of the Magellanic Clouds,” Astron. Astrophys. 469 (2007) 387–404, arXiv:astro-ph/0607207.
  • [1980] M. Gorton and A. M. Green, “Effect of clustering on primordial black hole microlensing constraints,” JCAP 08 no. 08, (2022) 035, arXiv:2203.04209 [astro-ph.CO].
  • [1981] M. Petač, J. Lavalle, and K. Jedamzik, “Microlensing constraints on clustered primordial black holes,” Phys. Rev. D 105 no. 8, (2022) 083520, arXiv:2201.02521 [astro-ph.CO].
  • [1982] V. De Luca, G. Franciolini, A. Riotto, and H. Veermäe, “Ruling Out Initially Clustered Primordial Black Holes as Dark Matter,” Phys. Rev. Lett. 129 no. 19, (2022) 191302, arXiv:2208.01683 [astro-ph.CO].
  • [1983] P. Mroz et al., “No massive black holes in the Milky Way halo,” arXiv:2403.02386 [astro-ph.GA].
  • [1984] J. Golomb, I. Legred, K. Chatziioannou, A. Abac, and T. Dietrich, “Using Equation of State Constraints to Classify Low-Mass Compact Binary Mergers,” arXiv:2403.07697 [astro-ph.HE].
  • [1985] M. Prunier, G. Morrás, J. F. N. Siles, S. Clesse, J. Garcı́a-Bellido, and E. Ruiz Morales, “Analysis of the subsolar-mass black hole candidate SSM200308 from the second part of the third observing run of Advanced LIGO-Virgo,” arXiv:2311.16085 [gr-qc].
  • [1986] A. L. Miller, N. Aggarwal, S. Clesse, F. De Lillo, S. Sachdev, P. Astone, C. Palomba, O. J. Piccinni, and L. Pierini, “Gravitational wave constraints on planetary-mass primordial black holes using LIGO O3a data,” arXiv:2402.19468 [gr-qc].
  • [1987] A. L. Miller, S. Clesse, F. De Lillo, G. Bruno, A. Depasse, and A. Tanasijczuk, “Probing planetary-mass primordial black holes with continuous gravitational waves,” Phys. Dark Univ. 32 (2021) 100836, arXiv:2012.12983 [astro-ph.HE].
  • [1988] A. L. Miller, “Gravitational waves from sub-solar mass primordial black holes,” arXiv:2404.11601 [gr-qc]. – 697 –
  • [1989] V. De Luca, V. Desjacques, G. Franciolini, A. Malhotra, and A. Riotto, “The initial spin probability distribution of primordial black holes,” JCAP 05 (2019) 018, arXiv:1903.01179 [astro-ph.CO].
  • [1990] M. M. Flores and A. Kusenko, “Spins of primordial black holes formed in different cosmological scenarios,” Phys. Rev. D 104 no. 6, (2021) 063008, arXiv:2106.03237 [astro-ph.CO].
  • [1991] V. De Luca, G. Franciolini, P. Pani, and A. Riotto, “The evolution of primordial black holes and their final observable spins,” JCAP 04 (2020) 052, arXiv:2003.02778 [astro-ph.CO].
  • [1992] G. Hasinger, “Illuminating the dark ages: Cosmic backgrounds from accretion onto primordial black hole dark matter,” JCAP 07 (2020) 022, arXiv:2003.05150 [astro-ph.CO].
  • [1993] C. T. Byrnes, M. Hindmarsh, S. Young, and M. R. S. Hawkins, “Primordial black holes with an accurate QCD equation of state,” JCAP 08 (2018) 041, arXiv:1801.06138 [astro-ph.CO].
  • [1994] S. Clesse and J. Garcia-Bellido, “GW190425, GW190521 and GW190814: Three candidate mergers of primordial black holes from the QCD epoch,” Phys. Dark Univ. 38 (2022) 101111, arXiv:2007.06481 [astro-ph.CO].
  • [1995] I. Musco, K. Jedamzik, and S. Young, “Primordial black hole formation during the QCD phase transition: threshold, mass distribution and abundance,” arXiv:2303.07980 [astro-ph.CO].
  • [1996] V. De Luca and N. Bellomo, “Accretion, emission, mass and spin evolution,” arXiv:2312.14097 [astro-ph.CO].
  • [1997] V. De Luca, V. Desjacques, G. Franciolini, P. Pani, and A. Riotto, “GW190521 Mass Gap Event and the Primordial Black Hole Scenario,” Phys. Rev. Lett. 126 no. 5, (2021) 051101, arXiv:2009.01728 [astro-ph.CO].
  • [1998] F. Hofmann, E. Barausse, and L. Rezzolla, “The final spin from binary black holes in quasi-circular orbits,” Astrophys. J. Lett. 825 no. 2, (2016) L19, arXiv:1605.01938 [gr-qc].
  • [1999] C.-M. Yoo, “Primordial black hole formation from a nonspherical density profile with a misaligned deformation tensor,” arXiv:2403.11147 [gr-qc].
  • [2000] G. Franciolini and P. Pani, “Searching for mass-spin correlations in the population of gravitational-wave events: The GWTC-3 case study,” Phys. Rev. D 105 no. 12, (2022) 123024, arXiv:2201.13098 [astro-ph.HE].
  • [2001] R. S. Klessen and S. C. O. Glover, “The First Stars: Formation, Properties, and Impact,” Ann. Rev. Astron. Astrophys. 61 (Aug., 2023) 65–130, arXiv:2303.12500 [astro-ph.CO].
  • [2002] T. H. Greif, “The numerical frontier of the high-redshift Universe,” Computational Astrophysics and Cosmology 2 (Mar., 2015) 3, arXiv:1410.3482 [astro-ph.GA].
  • [2003] V. Bromm, “Formation of the First Stars,” Rept. Prog. Phys. 76 (2013) 112901, arXiv:1305.5178 [astro-ph.CO].
  • [2004] N. Yoshida, T. Hosokawa, and K. Omukai, “Formation of the first stars in the universe,” PTEP 2012 (2012) 01A305.
  • [2005] M. Tegmark, J. Silk, M. J. Rees, A. Blanchard, T. Abel, and F. Palla, “How small were the first cosmological objects?,” Astrophys. J. 474 (1997) 1–12, arXiv:astro-ph/9603007.
  • [2006] M. Trenti and M. Stiavelli, “The Formation Rates of Population III Stars and Chemical Enrichment of Halos during the Reionization Era,” Astrophys. J. 694 (2009) 879–892, arXiv:0901.0711 [astro-ph.CO]. – 698 –
  • [2007] O. Nebrin, S. K. Giri, and G. Mellema, “Starbursts in low-mass haloes at Cosmic Dawn. I. The critical halo mass for star formation,” arXiv:2303.08024 [astro-ph.CO].
  • [2008] R. A. Windhorst et al., “On the observability of individual Population III stars and their stellar-mass black hole accretion disks through cluster caustic transits,” Astrophys. J. Suppl. 234 no. 2, (2018) 41, arXiv:1801.03584 [astro-ph.GA].
  • [2009] J. Rhodes, E. Huff, D. Masters, and A. Nierenberg, “The End of Galaxy Surveys,” Astron. J. 160 no. 6, (2020) 261, arXiv:2010.06064 [astro-ph.GA].
  • [2010] A. T. P. Schauer, N. Drory, and V. Bromm, “The Ultimately Large Telescope – what kind of facility do we need to detect Population III stars?,” Astrophys. J. 904 no. 2, (2020) 145, arXiv:2007.02946 [astro-ph.GA].
  • [2011] E. Zackrisson, A. Hultquist, A. Kordt, J. M. Diego, A. Nabizadeh, A. Vikaeus, A. K. Meena, A. Zitrin, G. Volpato, E. Lundqvist, B. Welch, G. Costa, and R. A. Windhorst, “The detection and characterization of highly magnified stars with JWST: prospects of finding Population III,” MNRAS 533 no. 3, (Sept., 2024) 2727–2746, arXiv:2312.09289 [astro-ph.GA].
  • [2012] B. Liu and V. Bromm, “When did Population III star formation end?,” Mon. Not. Roy. Astron. Soc. 497 no. 3, (2020) 2839–2854, arXiv:2006.15260 [astro-ph.GA].
  • [2013] A. Venditti, L. Graziani, R. Schneider, L. Pentericci, C. Di Cesare, U. Maio, and K. Omukai, “A needle in a haystack? Catching Pop III stars in the Epoch of Reionization: I. Pop III star forming environments,” arXiv:2301.10259 [astro-ph.GA].
  • [2014] A. T. P. Schauer, V. Bromm, N. Drory, and M. Boylan-Kolchin, “On the probability of the extremely lensed z=6.2 Earendel source being a Population˜III star,” arXiv:2207.02863 [astro-ph.GA].
  • [2015] R. Maiolino et al., “JWST-JADES. Possible Population III signatures at z=10.6 in the halo of GN-z11,” arXiv:2306.00953 [astro-ph.GA].
  • [2016] R. Barkana, “The Rise of the First Stars: Supersonic Streaming, Radiative Feedback, and 21-cm Cosmology,” Phys. Rept. 645 (2016) 1–59, arXiv:1605.04357 [astro-ph.CO].
  • [2017] A. Fialkov and R. Barkana, “The rich complexity of 21-cm fluctuations produced by the first stars,” Mon. Not. Roy. Astron. Soc. 445 (2014) 213–224, arXiv:1409.3992 [astro-ph.CO].
  • [2018] M. Magg, I. Reis, A. Fialkov, R. Barkana, R. S. Klessen, S. C. O. Glover, L.-H. Chen, T. Hartwig, and A. T. P. Schauer, “Effect of the cosmological transition to metal-enriched star formation on the hydrogen 21-cm signal,” Mon. Not. Roy. Astron. Soc. 514 no. 3, (2022) 4433–4449, arXiv:2110.15948 [astro-ph.CO].
  • [2019] A. T. P. Schauer, B. Liu, and V. Bromm, “Constraining First Star Formation with 21 cm Cosmology,” Astrophys. J. Lett. 877 no. 1, (2019) L5, arXiv:1901.03344 [astro-ph.GA].
  • [2020] T. Gessey-Jones, N. S. Sartorio, A. Fialkov, G. M. Mirouh, M. Magg, R. G. Izzard, E. d. L. Acedo, W. J. Handley, and R. Barkana, “Impact of the primordial stellar initial mass function on the 21-cm signal,” Mon. Not. Roy. Astron. Soc. 516 no. 1, (2022) 841–860, arXiv:2202.02099 [astro-ph.CO].
  • [2021] S. Pochinda, T. Gessey-Jones, H. T. J. Bevins, A. Fialkov, S. Heimersheim, I. Abril-Cabezas, E. d. L. Acedo, S. Singh, S. Sikder, and R. Barkana, “Constraining the properties of Population III galaxies with multi-wavelength observations,” arXiv:2312.08095 [astro-ph.CO].
  • [2022] D. Tseliakhovich and C. Hirata, “Relative velocity of dark matter and baryonic fluids and the formation of the first structures,” Phys. Rev. D 82 (2010) 083520, arXiv:1005.2416 [astro-ph.CO]. – 699 –
  • [2023] J. M. Sullivan, S. Hirano, and V. Bromm, “Minimum star-forming halo mass in axion cosmology,” Mon. Not. Roy. Astron. Soc. 481 no. 1, (2018) L69–L73, arXiv:1809.01679 [astro-ph.CO].
  • [2024] P. Mocz et al., “Galaxy formation with BECDM – II. Cosmic filaments and first galaxies,” Mon. Not. Roy. Astron. Soc. 494 no. 2, (2020) 2027–2044, arXiv:1911.05746 [astro-ph.CO].
  • [2025] U. Maio and M. Viel, “The First Billion Years of a Warm Dark Matter Universe,” Mon. Not. Roy. Astron. Soc. 446 (2015) 2760–2775, arXiv:1409.6718 [astro-ph.CO].
  • [2026] P. Dayal, A. Mesinger, and F. Pacucci, “Early galaxy formation in warm dark matter cosmologies,” Astrophys. J. 806 no. 1, (2015) 67, arXiv:1408.1102 [astro-ph.GA].
  • [2027] M. Magg, T. Hartwig, S. C. O. Glover, R. S. Klessen, and D. J. Whalen, “A new statistical model for Population III supernova rates: discriminating between ΛCDM and WDM cosmologies,” Mon. Not. Roy. Astron. Soc. 462 no. 4, (2016) 3591–3601, arXiv:1606.06294 [astro-ph.GA].
  • [2028] A. T. P. Schauer, S. C. O. Glover, R. S. Klessen, and P. Clark, “The influence of streaming velocities and Lyman–Werner radiation on the formation of the first stars,” Mon. Not. Roy. Astron. Soc. 507 no. 2, (2021) 1775–1787, arXiv:2008.05663 [astro-ph.GA].
  • [2029] T. H. Greif and V. Bromm, “Two populations of metal-free stars in the early Universe,” Mon. Not. Roy. Astron. Soc. 373 (2006) 128–138, arXiv:astro-ph/0604367.
  • [2030] T. Hartwig et al., “Public Release of A-SLOTH: Ancient Stars and Local Observables by Tracing Halos,” Astrophys. J. 936 no. 1, (2022) 45, arXiv:2206.00223 [astro-ph.GA].
  • [2031] V. Bromm, P. S. Coppi, and R. B. Larson, “Forming the first stars in the universe: the fragmentation of primordial gas,” Astrophys. J. Lett. 527 (1999) L5–8, arXiv:astro-ph/9910224.
  • [2032] V. Bromm, P. S. Coppi, and R. B. Larson, “The formation of the first stars. I. The Primordial star forming cloud,” Astrophys. J. 564 (2002) 23–51, arXiv:astro-ph/0102503.
  • [2033] T. Abel, G. L. Bryan, and M. L. Norman, “The Formation and fragmentation of primordial molecular clouds,” Astron. Astrophys. 540 (2000) 39–44, arXiv:astro-ph/0002135.
  • [2034] T. Abel, G. L. Bryan, and M. L. Norman, “The formation of the first star in the Universe,” Science 295 (2002) 93, arXiv:astro-ph/0112088.
  • [2035] F. Nakamura and M. Umemura, “On the Initial mass function of population III stars,” Astrophys. J. 548 (2001) 19–32, arXiv:astro-ph/0010464.
  • [2036] N. Yoshida, T. Abel, L. Hernquist, and N. Sugiyama, “Simulations of early structure formation: Primordial gas clouds,” Astrophys. J. 592 (2003) 645–663, arXiv:astro-ph/0301645.
  • [2037] N. Yoshida, K. Omukai, L. Hernquist, and T. Abel, “Formation of Primordial Stars in a lambda-CDM Universe,” Astrophys. J. 652 (2006) 6–25, arXiv:astro-ph/0606106.
  • [2038] J. C. Tan and C. F. McKee, “The formation of the first stars. 1. mass infall rates, accretion disk structure and protostellar evolution,” Astrophys. J. 603 (2004) 383–400, arXiv:astro-ph/0307414.
  • [2039] B. W. O’Shea and M. L. Norman, “Population III star formation in a lambda-CDM Universe. 1. The effect of formation redshift and environment on protostellar accretion rate,” Astrophys. J. 654 (2006) 66–92, arXiv:astro-ph/0607013.
  • [2040] N. Yoshida, K. Omukai, and L. Hernquist, “Protostar Formation in the Early Universe,” Science 321 (2008) 669, arXiv:0807.4928 [astro-ph]. – 700 –
  • [2041] T. Hosokawa, N. Yoshida, K. Omukai, and H. W. Yorke, “Protostellar Feedback and Final Mass of the Second-Generation Primordial Stars,” Astrophys. J. Lett. 760 (2012) L37, arXiv:1210.3035 [astro-ph.CO].
  • [2042] T. Hosokawa, K. Omukai, N. Yoshida, and H. W. Yorke, “Protostellar Feedback Halts the Growth of the First Stars in the Universe,” Science 334 (2011) 1250, arXiv:1111.3649 [astro-ph.CO].
  • [2043] S. Hirano, T. Hosokawa, N. Yoshida, H. Umeda, K. Omukai, G. Chiaki, and H. W. Yorke, “One Hundred First Stars : Protostellar Evolution and the Final Masses,” Astrophys. J. 781 (2014) 60–81, arXiv:1308.4456 [astro-ph.CO].
  • [2044] S. Hirano, T. Hosokawa, N. Yoshida, K. Omukai, and H. W. Yorke, “Primordial star formation under the influence of far ultraviolet radiation: 1540 cosmological haloes and the stellar mass distribution,” Mon. Not. Roy. Astron. Soc. 448 no. 1, (2015) 568–587, arXiv:1501.01630 [astro-ph.GA].
  • [2045] L. R. Prole, P. C. Clark, R. S. Klessen, and S. C. O. Glover, “Fragmentation-induced starvation in Population III star formation: a resolution study,” Mon. Not. Roy. Astron. Soc. 510 no. 3, (2022) 4019–4030, arXiv:2112.10800 [astro-ph.GA].
  • [2046] K. M. J. Wollenberg, S. C. O. Glover, P. C. Clark, and R. S. Klessen, “Formation sites of Population III star formation: The effects of different levels of rotation and turbulence on the fragmentation behaviour of primordial gas,” MNRAS 494 no. 2, (May, 2020) 1871–1893, arXiv:1912.06377 [astro-ph.GA].
  • [2047] A. Stacy and V. Bromm, “Constraining the Statistics of Population III Binaries,” Mon. Not. Roy. Astron. Soc. 433 (2013) 1094, arXiv:1211.1889 [astro-ph.CO].
  • [2048] O. Jaura, S. C. O. Glover, K. M. J. Wollenberg, R. S. Klessen, S. Geen, and L. Haemmerlé, “Trapping of H ii regions in Population III star formation,” Mon. Not. Roy. Astron. Soc. 512 no. 1, (2022) 116–136, arXiv:2202.09803 [astro-ph.SR].
  • [2049] B. Liu, G. Meynet, and V. Bromm, “Dynamical evolution of population III stellar systems and the resulting binary statistics,” Mon. Not. Roy. Astron. Soc. 501 no. 1, (Feb., 2021) 643–663, arXiv:2010.05824 [astro-ph.GA].
  • [2050] J. Park, M. Ricotti, and K. Sugimura, “Population III star formation in an X-ray background: III. Periodic radiative feedback and luminosity induced by elliptical orbits,” Mon. Not. Roy. Astron. Soc. 521 no. 4, (2023) 5334–5353, arXiv:2212.04564 [astro-ph.GA].
  • [2051] J. Park, M. Ricotti, and K. Sugimura, “On the origin of outward migration of Population III stars,” Mon. Not. Roy. Astron. Soc. 528 no. 4, (Mar., 2024) 6895–6914, arXiv:2307.14562 [astro-ph.GA].
  • [2052] K. Sugimura, T. Matsumoto, T. Hosokawa, S. Hirano, and K. Omukai, “The Birth of a Massive First-Star Binary,” Astrophys. J. Lett. 892 no. 1, (2020) L14, arXiv:2002.00012 [astro-ph.GA].
  • [2053] K. Sugimura, T. Matsumoto, T. Hosokawa, S. Hirano, and K. Omukai, “Formation of Massive and Wide First-star Binaries in Radiation Hydrodynamic Simulations,” Astrophys. J. 959 no. 1, (2023) 17, arXiv:2307.15108 [astro-ph.CO].
  • [2054] H. Susa, K. Hasegawa, and N. Tominaga, “The Mass Spectrum of the First Stars,” Astrophys. J. 792 no. 1, (2014) 32, arXiv:1407.1374 [astro-ph.GA].
  • [2055] R. Riaz, D. R. G. Schleicher, S. Bovino, S. Vanaverbeke, and R. S. Klessen, “Formation of metal-free binaries: Impact of H2 line cooling and CIE cooling,” Mon. Not. Roy. Astron. Soc. 518 no. 4, (Feb., 2023) 4895–4908, arXiv:2211.04413 [astro-ph.GA]. – 701 –
  • [2056] Y. Sakurai, N. Yoshida, M. S. Fujii, and S. Hirano, “Formation of Intermediate-Mass Black Holes through Runaway Collisions in the First Star Clusters,” Mon. Not. Roy. Astron. Soc. 472 no. 2, (2017) 1677–1684, arXiv:1704.06130 [astro-ph.GA].
  • [2057] T. C. N. Boekholt, D. R. G. Schleicher, M. Fellhauer, R. S. Klessen, B. Reinoso, A. M. Stutz, and L. Haemmerle, “Formation of massive seed black holes via collisions and accretion,” Mon. Not. Roy. Astron. Soc. 476 no. 1, (2018) 366–380, arXiv:1801.05841 [astro-ph.GA].
  • [2058] S. Chon and K. Omukai, “Supermassive star formation via super competitive accretion in slightly metal-enriched clouds,” MNRAS 494 no. 2, (May, 2020) 2851–2860, arXiv:2001.06491 [astro-ph.GA].
  • [2059] J. A. Regan, J. H. Wise, T. E. Woods, T. P. Downes, B. W. O’Shea, and M. L. Norman, “The Formation of Very Massive Stars in Early Galaxies and Implications for Intermediate Mass Black Holes,” arXiv:2008.08090 [astro-ph.GA].
  • [2060] L. Wang, A. Tanikawa, and M. Fujii, “Gravitational wave of intermediate-mass black holes in Population III star clusters,” Mon. Not. Roy. Astron. Soc. 515 no. 4, (2022) 5106–5120, arXiv:2207.09621 [astro-ph.GA].
  • [2061] S. Liu, L. Wang, Y.-M. Hu, A. Tanikawa, and A. A. Trani, “Merging Hierarchical Triple Black Hole Systems with Intermediate-mass Black Holes in Population III Star Clusters,” arXiv:2311.05393 [astro-ph.GA].
  • [2062] L. R. Prole, J. A. Regan, S. C. O. Glover, R. S. Klessen, F. D. Priestley, and P. C. Clark, “Heavy Black Hole Seed Formation in High-z Atomic Cooling Halos,” arXiv:2312.06769 [astro-ph.GA].
  • [2063] B. Reinoso, R. S. Klessen, D. Schleicher, S. C. O. Glover, and P. Solar, “Formation of supermassive stars in the first star clusters,” Mon. Not. Roy. Astron. Soc. 521 no. 3, (2023) 3553–3569, arXiv:2303.07827 [astro-ph.GA].
  • [2064] B. Liu, J. Gurian, K. Inayoshi, S. Hirano, T. Hosokawa, V. Bromm, and N. Yoshida, “Towards a universal analytical model for Population III star formation: interplay between feedback and fragmentation,” arXiv:2407.14294 [astro-ph.GA].
  • [2065] T. Kinugawa, T. Nakamura, and H. Nakano, “The possible existence of Pop III NS-BH binary and its detectability,” PTEP 2017 no. 2, (2017) 021E01, arXiv:1610.00305 [astro-ph.HE].
  • [2066] T. Hartwig, M. Volonteri, V. Bromm, R. S. Klessen, E. Barausse, M. Magg, and A. Stacy, “Gravitational Waves from the Remnants of the First Stars,” Mon. Not. Roy. Astron. Soc. 460 no. 1, (2016) L74–L78, arXiv:1603.05655 [astro-ph.GA].
  • [2067] B. Liu and V. Bromm, “Gravitational waves from the remnants of the first stars in nuclear star clusters,” Mon. Not. Roy. Astron. Soc. 506 no. 4, (2021) 5451–5467, arXiv:2106.02244 [astro-ph.GA]. [Erratum: Mon.Not.Roy.Astron.Soc. 521, 2560 (2023)].
  • [2067] B. Liu and V. Bromm, “Gravitational waves from the remnants of the first stars in nuclear star clusters,” Mon. Not. Roy. Astron. Soc. 506 no. 4, (2021) 5451–5467, arXiv:2106.02244 [astro-ph.GA]. [Erratum: Mon.Not.Roy.Astron.Soc. 521, 2560 (2023)].
  • [2068] K. Inayoshi, R. Hirai, T. Kinugawa, and K. Hotokezaka, “Formation pathway of Population III coalescing binary black holes through stable mass transfer,” Mon. Not. Roy. Astron. Soc. 468 no. 4, (2017) 5020–5032, arXiv:1701.04823 [astro-ph.HE].
  • [2069] T. Kinugawa, A. Miyamoto, N. Kanda, and T. Nakamura, “The detection rate of inspiral and quasi-normal modes of Population III binary black holes which can confirm or refute the general relativity in the strong gravity region,” Mon. Not. Roy. Astron. Soc. 456 no. 1, (2016) 1093–1114, arXiv:1505.06962 [astro-ph.SR].
  • [2070] T. Kinugawa, T. Nakamura, and H. Nakano, “Formation of binary black holes similar to GW190521 with a total mass of ∼ 150 M⊙ from Population III binary star evolution,” Mon. Not. Roy. Astron. Soc. 501 no. 1, (2021) L49–L53, arXiv:2009.06922 [astro-ph.HE]. – 702 –
  • [2071] T. Kinugawa, T. Nakamura, and H. Nakano, “Gravitational waves from Population III binary black holes are consistent with LIGO/Virgo O3a data for the chirp mass larger than ∼ 20M⊙,” Mon. Not. Roy. Astron. Soc. 504 no. 1, (2021) L28–L33, arXiv:2103.00797 [astro-ph.HE].
  • [2072] A. Tanikawa, T. Kinugawa, T. Yoshida, K. Hijikawa, and H. Umeda, “Population III binary black holes: effects of convective overshooting on formation of GW190521,” Mon. Not. Roy. Astron. Soc. 505 no. 2, (2021) 2170–2176, arXiv:2010.07616 [astro-ph.HE].
  • [2073] A. Tanikawa, H. Susa, T. Yoshida, A. A. Trani, and T. Kinugawa, “Merger rate density of Population III binary black holes below, above, and in the pair-instability mass gap,” Astrophys. J. 910 no. 1, (2021) 30, arXiv:2008.01890 [astro-ph.HE].
  • [2074] A. Tanikawa, T. Yoshida, T. Kinugawa, A. A. Trani, T. Hosokawa, H. Susa, and K. Omukai, “Merger Rate Density of Binary Black Holes through Isolated Population I, II, III and Extremely Metal-poor Binary Star Evolution,” Astrophys. J. 926 no. 1, (2022) 83, arXiv:2110.10846 [astro-ph.HE].
  • [2075] A. Tanikawa, “Contribution of population III stars to merging binary black holes,” Rev. Mod. Plasma Phys. 8 no. 1, (2024) 13, arXiv:2403.04389 [astro-ph.HE].
  • [2076] T. Ryu, T. L. Tanaka, and R. Perna, “Formation, disruption and energy output of Population III X-ray binaries,” Mon. Not. Roy. Astron. Soc. 456 no. 1, (Feb., 2016) 223–238, arXiv:1509.05427 [astro-ph.GA].
  • [2077] P. Sharda, C. Federrath, and M. R. Krumholz, “The importance of magnetic fields for the initial mass function of the first stars,” Mon. Not. Roy. Astron. Soc. 497 no. 1, (2020) 336–351, arXiv:2002.11502 [astro-ph.GA].
  • [2078] E. J. Farrell, J. H. Groh, R. Hirschi, L. Murphy, E. Kaiser, S. Ekström, C. Georgy, and G. Meynet, “Is GW190521 the merger of black holes from the first stellar generations?,” Mon. Not. Roy. Astron. Soc. 502 no. 1, (2021) L40–L44, arXiv:2009.06585 [astro-ph.SR].
  • [2079] G. Volpato, P. Marigo, G. Costa, A. Bressan, M. Trabucchi, and L. Girardi, “A Study of Primordial Very Massive Star Evolution,” Astrophys. J. 944 no. 1, (2023) 40, arXiv:2212.09629 [astro-ph.SR].
  • [2080] P. Marchant, P. Podsiadlowski, and I. Mandel, “An upper limit on the spins of merging binary black holes formed through binary evolution,” arXiv:2311.14041 [astro-ph.HE].
  • [2081] D. Gerosa, N. Giacobbo, and A. Vecchio, “High mass but low spin: an exclusion region to rule out hierarchical black-hole mergers as a mechanism to populate the pair-instability mass gap,” Astrophys. J. 915 (2021) 56, arXiv:2104.11247 [astro-ph.HE].
  • [2082] B. Mestichelli, M. Mapelli, S. Torniamenti, M. A. Sedda, M. Branchesi, G. Costa, G. Iorio, and F. Santoliquido, “Binary black hole mergers from Population III star clusters,” arXiv:2405.06037 [astro-ph.GA].
  • [2083] B. Liu and V. Bromm, “The Population III origin of GW190521,” Astrophys. J. Lett. 903 no. 2, (2020) L40, arXiv:2009.11447 [astro-ph.GA].
  • [2084] B. Liu, T. Hartwig, N. S. Sartorio, I. Dvorkin, G. Costa, F. Santoliquido, A. Fialkov, R. S. Klessen, and V. Bromm, “Gravitational waves from mergers of Population III binary black holes: roles played by two evolution channels,” arXiv:2406.17397 [astro-ph.GA].
  • [2085] B. Liu and V. Bromm, “Gravitational waves from Population III binary black holes formed by dynamical capture,” Mon. Not. Roy. Astron. Soc. 495 no. 2, (2020) 2475–2495, arXiv:2003.00065 [astro-ph.CO].
  • [2086] F. Santoliquido, U. Dupletsa, J. Tissino, M. Branchesi, F. Iacovelli, G. Iorio, M. Mapelli, D. Gerosa, J. Harms, and M. Pasquato, “Classifying binary black holes from Population III – 703 – stars with the Einstein Telescope: a machine-learning approach,” arXiv:2404.10048 [astro-ph.HE].
  • [2087] C. Périgois, F. Santoliquido, Y. Bouffanais, U. N. Di Carlo, N. Giacobbo, S. Rastello, M. Mapelli, and T. Regimbau, “Gravitational background from dynamical binaries and detectability with 2G detectors,” Phys. Rev. D 105 no. 10, (2022) 103032, arXiv:2112.01119 [astro-ph.CO].
  • [2088] K. Martinovic, C. Perigois, T. Regimbau, and M. Sakellariadou, “Footprints of Population III Stars in the Gravitational-wave Background,” Astrophys. J. 940 no. 1, (2022) 29, arXiv:2109.09779 [astro-ph.SR].
  • [2089] N. Kouvatsos and M. Sakellariadou, “The impact of Population III stars on the astrophysical gravitational-wave background,” arXiv:2404.05653 [astro-ph.CO].
  • [2090] I. Dvorkin, E. Vangioni, J. Silk, J.-P. Uzan, and K. A. Olive, “Metallicity-constrained merger rates of binary black holes and the stochastic gravitational wave background,” Mon. Not. Roy. Astron. Soc. 461 no. 4, (2016) 3877–3885, arXiv:1604.04288 [astro-ph.HE].
  • [2091] K. Inayoshi, K. Kashiyama, E. Visbal, and Z. Haiman, “Gravitational wave background from Population III binary black holes consistent with cosmic reionization,” Mon. Not. Roy. Astron. Soc. 461 no. 3, (2016) 2722–2727, arXiv:1603.06921 [astro-ph.GA].
  • [2092] A. Tanikawa, G. Chiaki, T. Kinugawa, Y. Suwa, and N. Tominaga, “Can Population III stars be major origins of both merging binary black holes and extremely metal poor stars?,” Publ. Astron. Soc. Jap. 74 no. 3, (2022) 521–532–532, arXiv:2202.00230 [astro-ph.HE].
  • [2093] LIGO Scientific, Virgo Collaboration, R. Abbott et al., “Properties and Astrophysical Implications of the 150 M⊙ Binary Black Hole Merger GW190521,” Astrophys. J. Lett. 900 no. 1, (2020) L13, arXiv:2009.01190 [astro-ph.HE].
  • [2094] LIGO Scientific, VIRGO, KAGRA Collaboration, R. Abbott et al., “Search for intermediate-mass black hole binaries in the third observing run of Advanced LIGO and Advanced Virgo,” Astron. Astrophys. 659 (2022) A84, arXiv:2105.15120 [astro-ph.HE].
  • [2095] A. E. Reines, J. E. Greene, and M. Geha, “Dwarf Galaxies with Optical Signatures of Active Massive Black Holes,” Astrophys. J. 775 (2013) 116, arXiv:1308.0328 [astro-ph.CO].
  • [2096] V. F. Baldassare, A. E. Reines, E. Gallo, and J. E. Greene, “A ∼50, 000 M⊙ Solar Mass Black Hole in the Nucleus of RGG 118,” ApJ 809 (Aug., 2015) L14, arXiv:1506.07531.
  • [2097] D. D. Nguyen, A. C. Seth, M. den Brok, N. Neumayer, M. Cappellari, A. J. Barth, N. Caldwell, B. F. Williams, and B. Binder, “Improved Dynamical Constraints on the Mass of the Central Black Hole in NGC 404,” ApJ 836 (Feb., 2017) 237, arXiv:1610.09385.
  • [2098] D. D. Nguyen, A. C. Seth, N. Neumayer, S. Iguchi, M. Cappellari, J. Strader, L. Chomiuk, E. Tremou, F. Pacucci, K. Nakanishi, A. Bahramian, P. M. Nguyen, M. den Brok, C. C. Ahn, K. T. Voggel, N. Kacharov, T. Tsukui, C. K. Ly, A. Dumont, and R. Pechetti, “Improved Dynamical Constraints on the Masses of the Central Black Holes in Nearby Low-mass Early-type Galactic Nuclei and the First Black Hole Determination for NGC 205,” ApJ 872 (Feb., 2019) 104, arXiv:1901.05496.
  • [2099] J.-H. Woo, H. Cho, E. Gallo, E. Hodges-Kluck, H. A. N. Le, J. Shin, D. Son, and J. C. Horst, “A 10,000-solar-mass black hole in the nucleus of a bulgeless dwarf galaxy,” Nature Astronomy 3 (June, 2019) 755–759, arXiv:1905.00145 [astro-ph.GA].
  • [2100] H. Cho, J.-H. Woo, T. Treu, P. R. Williams, S. F. Armen, A. J. Barth, V. N. Bennert, W. Cho, A. V. Filippenko, E. Gallo, J. Geum, D. González-Buitrago, K. Gültekin, E. Hodges-Kluck, J. C. Horst, S. H. Hwang, W. Kang, M. Kim, T. Kim, D. C. Leonard, M. A. Malkan, R. P. Remigio, D. J. Sand, J. Shin, D. Son, H.-i. Sung, and V. U, “Hα Reverberation Mapping of the Intermediate-mass Active Galactic Nucleus in NGC 4395,” ApJ 921 no. 2, (Nov., 2021) 98, arXiv:2108.07756 [astro-ph.GA]. – 704 –
  • [2101] M. Mezcua, “Observational evidence for intermediate-mass black holes,” Int. J. Mod. Phys. D 26 no. 11, (2017) 1730021, arXiv:1705.09667 [astro-ph.GA].
  • [2102] J. E. Greene, J. Strader, and L. C. Ho, “Intermediate-Mass Black Holes,” Ann. Rev. Astron. Astrophys. 58 (2020) 257–312, arXiv:1911.09678 [astro-ph.GA].
  • [2103] S. Farrell, N. Webb, D. Barret, O. Godet, and J. Rodrigues, “An Intermediate-mass Black Hole of Over 500 Solar Masses in the Galaxy ESO 243-49,” Nature 460 (2009) 73–75, arXiv:1001.0567 [astro-ph.HE].
  • [2104] M. Mezcua, S. A. Farrell, J. C. Gladstone, and A. P. Lobanov, “Milliarcsec-scale radio emission of ultraluminous X-ray sources: steady jet emission from an intermediate-mass black hole?,” Mon. Not. Roy. Astron. Soc. 436 (2013) 1546, arXiv:1309.4463 [astro-ph.HE].
  • [2105] M. Mezcua, T. P. Roberts, A. D. Sutton, and A. P. Lobanov, “Radio observations of extreme ULXs: revealing the most powerful ULX radio nebula ever or the jet of an intermediate-mass black hole?,” Mon. Not. Roy. Astron. Soc. 436 (2013) 3128, arXiv:1309.5721 [astro-ph.HE].
  • [2106] M. Mezcua, T. P. Roberts, A. P. Lobanov, and A. D. Sutton, “The powerful jet of an off-nuclear intermediate-mass black hole in the spiral galaxy NGC 2276,” Mon. Not. Roy. Astron. Soc. 448 no. 2, (2015) 1893–1899, arXiv:1501.04897 [astro-ph.GA].
  • [2107] M. Mezcua, M. Kim, L. C. Ho, and C. J. Lonsdale, “The extended radio jet of an off-nuclear low-mass AGN in NGC 5252,” MNRAS 480 (Oct., 2018) L74–L78, arXiv:1807.03792.
  • [2108] P. Kaaret, A. H. Prestwich, A. Zezas, S. S. Murray, D. W. Kim, R. E. Kilgard, E. M. Schlegel, and M. J. Ward, “Chandra high-resolution camera observations of the luminous x-ray source in the starburst galaxy M82,” Mon. Not. Roy. Astron. Soc. 321 (2001) L29, arXiv:astro-ph/0009211.
  • [2109] J. M. Miller, A. C. Fabian, and M. C. Miller, “A Comparison of intermediate mass black hole candidate ULXs and stellar-mass black holes,” Astrophys. J. Lett. 614 (2004) L117–L120, arXiv:astro-ph/0406656.
  • [2110] P. Kaaret, H. Feng, and T. P. Roberts, “Ultraluminous X-Ray Sources,” Ann. Rev. Astron. Astrophys. 55 (2017) 303–341, arXiv:1703.10728 [astro-ph.HE].
  • [2111] N. Webb, D. Cseh, E. Lenc, O. Godet, D. Barret, S. Corbel, S. Farrell, R. Fender, N. Gehrels, and I. Heywood, “Radio Detections During Two State Transitions of the Intermediate Mass Black Hole HLX-1,” Science 337 (2012) 554, arXiv:1311.6918 [astro-ph.HE].
  • [2112] D. Cseh et al., “On the radio properties of the intermediate-mass black hole candidate ESO 243-49 HLX-1,” Mon. Not. Roy. Astron. Soc. 446 no. 4, (2015) 3268–3276, arXiv:1411.1306 [astro-ph.HE].
  • [2113] K. Gebhardt, R. M. Rich, and L. C. Ho, “An Intermediate-mass black hole in the globular cluster G1: Improved significance from new Keck and Hubble Space Telescope observations,” Astrophys. J. 634 (2005) 1093–1102, arXiv:astro-ph/0508251.
  • [2114] N. Lutzgendorf, M. Kissler-Patig, K. Gebhardt, H. Baumgardt, E. Noyola, B. Jalali, P. T. de Zeeuw, and N. Neumayer, “Central kinematics of the globular cluster NGC 2808: Upper limit on the mass of an intermediate-mass black hole,” Astron. Astrophys. 542 (2012) A129, arXiv:1204.4074 [astro-ph.GA].
  • [2115] N. Lutzgendorf, M. Kissler-Patig, K. Gebhardt, H. Baumgardt, E. Noyola, P. T. de Zeeuw, N. Neumayer, B. Jalali, and A. Feldmeier, “Limits on intermediate-mass black holes in six Galactic globular clusters with integral-field spectroscopy,” Astron. Astrophys. 552 (2013) A49, arXiv:1212.3475 [astro-ph.GA]. – 705 –
  • [2116] R. Pechetti, A. Seth, S. Kamann, N. Caldwell, J. Strader, M. den Brok, N. Luetzgendorf, N. Neumayer, and K. Voggel, “Detection of a 100,000 M ⊙ black hole in M31’s Most Massive Globular Cluster: A Tidally Stripped Nucleus,” ApJ 924 no. 2, (Jan., 2022) 48, arXiv:2111.08720 [astro-ph.GA].
  • [2117] M. Häberle, N. Neumayer, A. Seth, A. Bellini, M. Libralato, H. Baumgardt, M. Whitaker, A. Dumont, M. Alfaro Cuello, J. Anderson, C. Clontz, N. Kacharov, S. Kamann, A. Feldmeier-Krause, A. Milone, M. S. Nitschai, R. Pechetti, and G. van de Ven, “Fast-moving stars around an intermediate-mass black hole in Omega Centauri,” arXiv:2405.06015 [astro-ph.GA].
  • [2118] B. Kızıltan, H. Baumgardt, and A. Loeb, “An intermediate-mass black hole in the centre of the globular cluster 47 Tucanae,” Nature 542 no. 7640, (Feb., 2017) 203–205, arXiv:1702.02149 [astro-ph.GA].
  • [2119] F. Abbate, M. Spera, and M. Colpi, “Intermediate mass black holes in globular clusters: effects on jerks and jounces of millisecond pulsars,” Mon. Not. Roy. Astron. Soc. 487 no. 1, (2019) 769–781, arXiv:1905.05209 [astro-ph.HE].
  • [2120] B. B. P. Perera, B. W. Stappers, A. G. Lyne, C. G. Bassa, I. Cognard, L. Guillemot, M. Kramer, G. Theureau, and G. Desvignes, “Evidence for an intermediate-mass black hole in the globular cluster NGC 6624,” Mon. Not. Roy. Astron. Soc. 468 no. 2, (2017) 2114–2127, arXiv:1705.01612 [astro-ph.HE].
  • [2121] M. Gieles, E. Balbinot, R. I. S. M. Yaaqib, V. Hénault-Brunet, A. Zocchi, M. Peuten, and P. G. Jonker, “Mass models of NGC 6624 without an intermediate-mass black hole,” MNRAS 473 no. 4, (Feb., 2018) 4832–4839, arXiv:1709.06874 [astro-ph.GA].
  • [2122] A. Loeb and F. A. Rasio, “Collapse of primordial gas clouds and the formation of quasar black holes,” Astrophys. J. 432 (1994) 52, arXiv:astro-ph/9401026.
  • [2123] D. J. Eisenstein and A. Loeb, “Origin of quasar progenitors from the collapse of low spin cosmological perturbations,” Astrophys. J. 443 (1995) 11, arXiv:astro-ph/9401016.
  • [2124] V. Bromm and A. Loeb, “Formation of the first supermassive black holes,” Astrophys. J. 596 (2003) 34–46, arXiv:astro-ph/0212400.
  • [2125] G. Lodato and P. Natarajan, “Supermassive black hole formation during the assembly of pre-galactic discs,” Mon. Not. Roy. Astron. Soc. 371 (2006) 1813–1823, arXiv:astro-ph/0606159.
  • [2126] A. Ferrara, S. Salvadori, B. Yue, and D. R. G. Schleicher, “Initial mass function of intermediate mass black hole seeds,” Mon. Not. Roy. Astron. Soc. 443 no. 3, (2014) 2410–2425, arXiv:1406.6685 [astro-ph.GA].
  • [2127] T. E. Woods, S. Patrick, J. S. Elford, D. J. Whalen, and A. Heger, “On the Evolution of Supermassive Primordial Stars in Cosmological Flows,” Astrophys. J. 915 no. 2, (2021) 110, arXiv:2102.08963 [astro-ph.GA].
  • [2128] N. P. Herrington, D. J. Whalen, and T. E. Woods, “Modelling supermassive primordial stars with MESA,” MNRAS 521 no. 1, (May, 2023) 463–473, arXiv:2208.00008 [astro-ph.SR].
  • [2129] M. Dijkstra, M. Gronke, and D. Sobral, “Lyα Signatures From Direct Collapse Black Holes,” Astrophys. J. 823 no. 2, (2016) 74, arXiv:1602.07695 [astro-ph.GA].
  • [2130] B. Agarwal, C. D. Vecchia, J. L. Johnson, S. Khochfar, and J.-P. Paardekooper, “The First Billion Years project: birthplaces of direct collapse black holes,” Mon. Not. Roy. Astron. Soc. 443 no. 1, (2014) 648–657, arXiv:1403.5267 [astro-ph.CO].
  • [2131] M. Habouzit, M. Volonteri, M. Latif, Y. Dubois, and S. Peirani, “On the number density of ’direct collapse’ black hole seeds,” Mon. Not. Roy. Astron. Soc. 463 no. 1, (2016) 529–540, arXiv:1601.00557 [astro-ph.GA]. – 706 –
  • [2132] M. A. Latif, D. J. Whalen, S. Khochfar, N. P. Herrington, and T. E. Woods, “Turbulent Cold Flows Gave Birth to the First Quasars,” arXiv:2207.05093 [astro-ph.GA].
  • [2133] P. Natarajan, F. Pacucci, A. Ferrara, B. Agarwal, A. Ricarte, E. Zackrisson, and N. Cappelluti, “Unveiling the First Black Holes With JWST:Multi-wavelength Spectral Predictions,” Astrophys. J. 838 no. 2, (2017) 117, arXiv:1610.05312 [astro-ph.GA].
  • [2134] D. J. Whalen, M. Surace, C. Bernhardt, E. Zackrisson, F. Pacucci, B. L. Ziegler, and M. Hirschmann, “Finding Direct-Collapse Black Holes at Birth,” Astrophys. J. Lett. 897 no. 1, (2020) L16, arXiv:2005.03018 [astro-ph.GA].
  • [2135] D. J. Whalen, M. Mezcua, A. Meiksin, T. Hartwig, and M. A. Latif, “Radio Power from a Direct-Collapse Black Hole in CR7,” Astrophys. J. Lett. 896 no. 2, (2020) L45, arXiv:2004.04167 [astro-ph.GA].
  • [2136] D. J. Whalen, M. A. Latif, and M. Mezcua, “Radio Emission From a z = 10.1 Black Hole in UHZ1,” ApJ 956 no. 2, (Oct., 2023) 133, arXiv:2308.03837 [astro-ph.GA].
  • [2137] A. Bogdan et al., “Evidence for heavy-seed origin of early supermassive black holes from a z ≈ 10 X-ray quasar,” Nature Astron. 8 no. 1, (2024) 126–133, arXiv:2305.15458 [astro-ph.GA].
  • [2138] R. Maiolino et al., “A small and vigorous black hole in the early Universe,” Nature 627 no. 8002, (2024) 59–63, arXiv:2305.12492 [astro-ph.GA].
  • [2139] A. Askar, V. F. Baldassare, and M. Mezcua, “Intermediate-Mass Black Holes in Star Clusters and Dwarf Galaxies,” 11, 2023. arXiv:2311.12118 [astro-ph.GA].
  • [2140] S. F. Portegies Zwart and S. L. W. McMillan, “The Runaway growth of intermediate-mass black holes in dense star clusters,” Astrophys. J. 576 (2002) 899–907, arXiv:astro-ph/0201055.
  • [2141] J. Binney and S. Tremaine, Galactic Dynamics: Second Edition. 2008.
  • [2142] M. Giersz, N. Leigh, A. Hypki, N. Lützgendorf, and A. Askar, “MOCCA code for star cluster simulations – IV. A new scenario for intermediate mass black hole formation in globular clusters,” Mon. Not. Roy. Astron. Soc. 454 no. 3, (2015) 3150–3165, arXiv:1506.05234.
  • [2143] M. Mapelli, “Massive black hole binaries from runaway collisions: the impact of metallicity,” Mon. Not. Roy. Astron. Soc. 459 no. 4, (2016) 3432–3446, arXiv:1604.03559 [astro-ph.GA].
  • [2144] F. P. Rizzuto, T. Naab, R. Spurzem, M. Giersz, J. P. Ostriker, N. C. Stone, L. Wang, P. Berczik, and M. Rampp, “Intermediate mass black hole formation in compact young massive star clusters,” MNRAS 501 no. 4, (Mar., 2021) 5257–5273, arXiv:2008.09571 [astro-ph.GA].
  • [2145] E. González, K. Kremer, S. Chatterjee, G. Fragione, C. L. Rodriguez, N. C. Weatherford, C. S. Ye, and F. A. Rasio, “Intermediate-mass Black Holes from High Massive-star Binary Fractions in Young Star Clusters,” Astrophys. J. Lett. 908 no. 2, (2021) L29, arXiv:2012.10497 [astro-ph.HE].
  • [2146] M. Spera and M. Mapelli, “Very massive stars, pair-instability supernovae and intermediate-mass black holes with the SEVN code,” Mon. Not. Roy. Astron. Soc. 470 no. 4, (2017) 4739–4749, arXiv:1706.06109 [astro-ph.SR].
  • [2147] M. Gieles, C. Charbonnel, M. G. H. Krause, V. Hénault-Brunet, O. Agertz, H. J. G. L. M. Lamers, N. Bastian, A. Gualandris, A. Zocchi, and J. A. Petts, “Concurrent formation of supermassive stars and globular clusters: implications for early self-enrichment,” MNRAS 478 no. 2, (Aug., 2018) 2461–2479, arXiv:1804.04682 [astro-ph.GA].
  • [2148] J. Guillochon and E. Ramirez-Ruiz, “Hydrodynamical Simulations to Determine the Feeding Rate of Black Holes by the Tidal Disruption of Stars: The Importance of the Impact – 707 – Parameter and Stellar Structure,” Astrophys. J. 767 (2013) 25, arXiv:1206.2350 [astro-ph.HE]. [Erratum: Astrophys.J. 798, 64 (2015)].
  • [2148] J. Guillochon and E. Ramirez-Ruiz, “Hydrodynamical Simulations to Determine the Feeding Rate of Black Holes by the Tidal Disruption of Stars: The Importance of the Impact – 707 – Parameter and Stellar Structure,” Astrophys. J. 767 (2013) 25, arXiv:1206.2350 [astro-ph.HE]. [Erratum: Astrophys.J. 798, 64 (2015)].
  • [2149] M. MacLeod, M. Trenti, and E. Ramirez-Ruiz, “The Close Stellar Companions to Intermediate Mass Black Holes,” Astrophys. J. 819 no. 1, (2016) 70, arXiv:1508.07000 [astro-ph.HE].
  • [2150] A. Cruz-Osorio and L. Rezzolla, “Common-envelope Dynamics of a Stellar-mass Black Hole: General Relativistic Simulations,” Astrophys. J. 894 no. 2, (2020) 147, arXiv:2004.13782 [gr-qc].
  • [2151] K. Kremer, J. C. Lombardi, W. Lu, A. L. Piro, and F. A. Rasio, “Hydrodynamics of Collisions and Close Encounters between Stellar Black Holes and Main-sequence Stars,” Astrophys. J. 933 no. 2, (2022) 203, arXiv:2201.12368 [astro-ph.HE].
  • [2152] S. L. Schrøder, M. MacLeod, A. Loeb, A. Vigna-Gómez, and I. Mandel, “Explosions Driven by the Coalescence of a Compact Object with the Core of a Massive-Star Companion Inside a Common Envelope: Circumstellar Properties, Light Curves, and Population Statistics,” arXiv:1906.04189 [astro-ph.HE].
  • [2153] E. Glebbeek, E. Gaburov, S. E. de Mink, O. R. Pols, and S. F. P. Zwart, “The evolution of runaway stellar collision products,” Astron. Astrophys. 497 (2009) 255, arXiv:0902.1753 [astro-ph.SR].
  • [2154] J. Goodman and P. Hut, “Binary - single star scattering. 5. Steady state binary distribution in a homogeneous static background of single stars,” Astrophys. J. 403 (1993) 271–277.
  • [2155] G. Fragione and B. Kocsis, “Black hole mergers from an evolving population of globular clusters,” Phys. Rev. Lett. 121 no. 16, (2018) 161103, arXiv:1806.02351 [astro-ph.GA].
  • [2156] J. Bellovary, M. Volonteri, F. Governato, S. Shen, T. Quinn, and J. Wadsley, “The First Massive Black Hole Seeds and Their Hosts,” Astrophys. J. 742 (2011) 13, arXiv:1104.3858 [astro-ph.CO].
  • [2157] I. Shlosman and M. C. Begelman, “Self-gravitating accretion disks in active galactic nuclei,” Nature 329 no. 6142, (Oct., 1987) 810–812.
  • [2158] S. Nayakshin, “Massive stars in sub-parsec rings around galactic centers,” Mon. Not. Roy. Astron. Soc. 372 (2006) 143–150, arXiv:astro-ph/0512255.
  • [2159] A. Derdzinski and L. Mayer, “In-situ extreme mass ratio inspirals via sub-parsec formation and migration of stars in thin, gravitationally unstable AGN discs,” arXiv:2205.10382 [astro-ph.GA].
  • [2160] G. Fragione and A. Loeb, “Constraining the Cosmic Merger History of Intermediate-mass Black Holes with Gravitational Wave Detectors,” Astrophys. J. 944 no. 1, (2023) 81, arXiv:2212.04056 [astro-ph.HE].
  • [2161] M. A. Gurkan, J. M. Fregeau, and F. A. Rasio, “Massive black hole binaries from collisional runaways,” Astrophys. J. Lett. 640 (2006) L39–L42, arXiv:astro-ph/0512642.
  • [2162] A. Rasskazov, G. Fragione, and B. Kocsis, “Binary intermediate-mass black hole mergers in globular clusters,” Astrophys. J. 899 no. 2, (2020) 149, arXiv:1912.07681 [astro-ph.GA].
  • [2163] M. Giersz, N. Leigh, A. Hypki, N. Lützgendorf, and A. Askar, “MOCCA code for star cluster simulations - IV. A new scenario for intermediate mass black hole formation in globular clusters,” MNRAS 454 no. 3, (Dec., 2015) 3150–3165, arXiv:1506.05234 [astro-ph.GA].
  • [2164] A. Rantala, T. Naab, and N. Lahén, “FROST-CLUSTERS – I. Hierarchical star cluster assembly boosts intermediate-mass black hole formation,” arXiv:2403.10602 [astro-ph.GA]. – 708 –
  • [2165] M. A. Gürkan, J. M. Fregeau, and F. A. Rasio, “Massive Black Hole Binaries from Collisional Runaways,” ApJ 640 no. 1, (Mar., 2006) L39–L42, arXiv:astro-ph/0512642 [astro-ph].
  • [2166] P. Amaro-Seoane and M. Freitag, “Intermediate-mass black holes in colliding clusters: Implications for lower-frequency gravitational-wave astronomy,” Astrophys. J. Lett. 653 (2006) L53–L56, arXiv:astro-ph/0610478.
  • [2167] M. A. Sedda and A. Mastrobuono-Battisti, “Mergers of globular clusters in the Galactic disc: intermediate mass black hole coalescence and implications for gravitational waves detection,” arXiv:1906.05864 [astro-ph.GA].
  • [2168] A. Askar, M. B. Davies, and R. P. Church, “Formation of supermassive black holes in galactic nuclei – I. Delivering seed intermediate-mass black holes in massive stellar clusters,” Mon. Not. Roy. Astron. Soc. 502 no. 2, (2021) 2682–2700, arXiv:2006.04922.
  • [2169] Y. Shi, K. Kremer, and P. F. Hopkins, “From Seeds to Supermassive Black Holes: Capture, Growth, Migration, and Pairing in Dense Protobulge Environments,” Astrophys. J. Lett. 969 no. 2, (2024) L31, arXiv:2405.17338 [astro-ph.GA].
  • [2170] O. Fakhouri, C.-P. Ma, and M. Boylan-Kolchin, “The Merger Rates and Mass Assembly Histories of Dark Matter Haloes in the Two Millennium Simulations,” Mon. Not. Roy. Astron. Soc. 406 (2010) 2267, arXiv:1001.2304 [astro-ph.CO].
  • [2171] A. Deason, A. Wetzel, and S. Garrison-Kimmel, “Satellite Dwarf Galaxies in a Hierarchical Universe: The Prevalence of Dwarf-Dwarf Major Mergers,” Astrophys. J. 794 no. 2, (2014) 115, arXiv:1406.3344 [astro-ph.GA].
  • [2172] J. Bellovary, C. Cleary, F. Munshi, M. Tremmel, C. Christensen, A. Brooks, and T. Quinn, “Multimessenger Signatures of Massive Black Holes in Dwarf Galaxies,” Mon. Not. Roy. Astron. Soc. 482 no. 3, (2019) 2913–2923, arXiv:1806.00471 [astro-ph.GA].
  • [2173] T. Tamfal, P. R. Capelo, S. Kazantzidis, L. Mayer, D. Potter, J. Stadel, and L. M. Widrow, “Formation of LISA Black Hole Binaries in Merging Dwarf Galaxies: the Imprint of Dark Matter,” Astrophys. J. Lett. 864 no. 1, (2018) L19, arXiv:1806.11112 [astro-ph.GA].
  • [2174] F. M. Khan and K. Holley-Bockelmann, “Extremely efficient mergers of intermediate-mass black hole binaries in nucleated dwarf galaxies,” Mon. Not. Roy. Astron. Soc. 508 no. 1, (2021) 1174–1188, arXiv:2109.12129 [astro-ph.GA].
  • [2175] P. Amaro-Seoane, J. R. Gair, M. Freitag, M. Coleman Miller, I. Mandel, C. J. Cutler, and S. Babak, “Astrophysics, detection and science applications of intermediate- and extreme mass-ratio inspirals,” Class. Quant. Grav. 24 (2007) R113–R169, arXiv:astro-ph/0703495.
  • [2176] S. Konstantinidis, P. Amaro-Seoane, and K. D. Kokkotas, “Kicking massive black holes off clusters: Intermediate-mass ratio inspirals,” Astron. Astrophys. 557 (2013) A135, arXiv:1108.5175 [astro-ph.CO].
  • [2177] K. Maliszewski, M. Giersz, D. Gondek-Rosińska, A. Askar, and A. Hypki, “MOCCA-SURVEY data base II – Properties of intermediate mass black holes escaping from star clusters,” Mon. Not. Roy. Astron. Soc. 514 no. 4, (2022) 5879–5889, arXiv:2111.09223 [astro-ph.GA].
  • [2178] C. S. Reynolds, “Observational Constraints on Black Hole Spin,” Ann. Rev. Astron. Astrophys. 59 (2021) 117–154, arXiv:2011.08948 [astro-ph.HE].
  • [2179] N. C. Stone, A. H. W. Küpper, and J. P. Ostriker, “Formation of Massive Black Holes in Galactic Nuclei: Runaway Tidal Encounters,” Mon. Not. Roy. Astron. Soc. 467 no. 4, (2017) 4180–4199, arXiv:1606.01909 [astro-ph.GA].
  • [2180] A. J. Levan et al., “The environment of the binary neutron star merger GW170817,” Astrophys. J. Lett. 848 no. 2, (2017) L28, arXiv:1710.05444 [astro-ph.HE]. – 709 –
  • [2181] M. Im et al., “Distance and Properties of NGC 4993 as the Host Galaxy of the Gravitational-wave Source GW170817,” Astrophys. J. Lett. 849 no. 1, (2017) L16, arXiv:1710.05861 [astro-ph.HE].
  • [2182] I. Ebrová, M. Bı́lek, M. K. Yıldız, and J. Eliášek, “NGC 4993, the shell galaxy host of GW170817: constraints on the recent galactic merger,” Astron. Astrophys. 634 (2020) A73, arXiv:1801.01493 [astro-ph.GA].
  • [2183] C. D. Kilpatrick et al., “Hubble Space Telescope Observations of GW170817: Complete Light Curves and the Properties of the Galaxy Merger of NGC 4993,” Astrophys. J. 926 no. 1, (2022) 49, arXiv:2109.06211 [astro-ph.HE].
  • [2184] A. Goldstein et al., “An Ordinary Short Gamma-Ray Burst with Extraordinary Implications: Fermi-GBM Detection of GRB 170817A,” Astrophys. J. Lett. 848 no. 2, (2017) L14, arXiv:1710.05446 [astro-ph.HE].
  • [2185] V. Savchenko et al., “INTEGRAL Detection of the First Prompt Gamma-Ray Signal Coincident with the Gravitational-wave Event GW170817,” Astrophys. J. Lett. 848 no. 2, (2017) L15, arXiv:1710.05449 [astro-ph.HE].
  • [2186] R. Margutti et al., “The Electromagnetic Counterpart of the Binary Neutron Star Merger LIGO/VIRGO GW170817. V. Rising X-ray Emission from an Off-Axis Jet,” Astrophys. J. Lett. 848 no. 2, (2017) L20, arXiv:1710.05431 [astro-ph.HE].
  • [2187] D. A. Coulter et al., “Swope Supernova Survey 2017a (SSS17a), the Optical Counterpart to a Gravitational Wave Source,” Science 358 (2017) 1556, arXiv:1710.05452 [astro-ph.HE].
  • [2188] DES, Dark Energy Camera GW-EM Collaboration, M. Soares-Santos et al., “The Electromagnetic Counterpart of the Binary Neutron Star Merger LIGO/Virgo GW170817. I. Discovery of the Optical Counterpart Using the Dark Energy Camera,” Astrophys. J. Lett. 848 no. 2, (2017) L16, arXiv:1710.05459 [astro-ph.HE].
  • [2189] R. Chornock et al., “The Electromagnetic Counterpart of the Binary Neutron Star Merger LIGO/VIRGO GW170817. IV. Detection of Near-infrared Signatures of r-process Nucleosynthesis with Gemini-South,” Astrophys. J. Lett. 848 no. 2, (2017) L19, arXiv:1710.05454 [astro-ph.HE].
  • [2190] P. S. Cowperthwaite et al., “The Electromagnetic Counterpart of the Binary Neutron Star Merger LIGO/Virgo GW170817. II. UV, Optical, and Near-infrared Light Curves and Comparison to Kilonova Models,” Astrophys. J. Lett. 848 no. 2, (2017) L17, arXiv:1710.05840 [astro-ph.HE].
  • [2191] M. Nicholl et al., “The Electromagnetic Counterpart of the Binary Neutron Star Merger LIGO/VIRGO GW170817. III. Optical and UV Spectra of a Blue Kilonova From Fast Polar Ejecta,” Astrophys. J. Lett. 848 no. 2, (2017) L18, arXiv:1710.05456 [astro-ph.HE].
  • [2192] E. Pian et al., “Spectroscopic identification of r-process nucleosynthesis in a double neutron star merger,” Nature 551 (2017) 67–70, arXiv:1710.05858 [astro-ph.HE].
  • [2193] K. D. Alexander et al., “The Electromagnetic Counterpart of the Binary Neutron Star Merger LIGO/VIRGO GW170817. VI. Radio Constraints on a Relativistic Jet and Predictions for Late-Time Emission from the Kilonova Ejecta,” Astrophys. J. Lett. 848 no. 2, (2017) L21, arXiv:1710.05457 [astro-ph.HE].
  • [2194] D. Kasen, B. Metzger, J. Barnes, E. Quataert, and E. Ramirez-Ruiz, “Origin of the heavy elements in binary neutron-star mergers from a gravitational wave event,” Nature 551 (2017) 80, arXiv:1710.05463 [astro-ph.HE].
  • [2195] G. Mo and H.-Y. Chen, “Identifying the hosts of binary black hole and neutron star-black hole mergers with next-generation gravitational-wave detectors,” arXiv:2402.09684 [astro-ph.HE]. – 710 –
  • [2196] M. Toffano, M. Mapelli, N. Giacobbo, M. C. Artale, and G. Ghirlanda, “The host galaxies of double compact objects across cosmic time,” Mon. Not. Roy. Astron. Soc. 489 no. 4, (2019) 4622–4631, arXiv:1906.01072 [astro-ph.HE].
  • [2197] M. C. Artale, Y. Bouffanais, M. Mapelli, N. Giacobbo, N. B. Sabha, F. Santoliquido, M. Pasquato, and M. Spera, “An astrophysically motivated ranking criterion for low-latency electromagnetic follow-up of gravitational wave events,” Mon. Not. Roy. Astron. Soc. 495 no. 2, (2020) 1841–1852, arXiv:2002.11214 [astro-ph.GA].
  • [2198] S. Rinaldi and W. Del Pozzo, “Rapid localization of gravitational wave hosts with FIGARO,” Mon. Not. Roy. Astron. Soc. 517 no. 1, (2022) L5–L10, arXiv:2205.07252 [astro-ph.IM].
  • [2199] J. G. Ducoin, B. Desoubrie, F. Daigne, and N. Leroy, “Optimization of the SVOM satellite strategy for the rapid follow-up of gravitational wave events,” Mon. Not. Roy. Astron. Soc. 524 no. 3, (2023) 4000–4011, arXiv:2210.12120 [astro-ph.IM].
  • [2200] A. Colombo et al., “Multi-messenger prospects for black hole - neutron star mergers in the O4 and O5 runs,” Astron. Astrophys. 686 (2024) A265, arXiv:2310.16894 [astro-ph.HE].
  • [2201] R. O’Shaughnessy, J. M. Bellovary, A. Brooks, S. Shen, F. Governato, and C. R. Christensen, “The effects of host galaxy properties on merging compact binaries detectable by LIGO,” Mon. Not. Roy. Astron. Soc. 464 no. 3, (2017) 2831–2839, arXiv:1609.06715 [astro-ph.GA].
  • [2202] A. Lamberts, S. Garrison-Kimmel, P. Hopkins, E. Quataert, J. Bullock, C.-A. Faucher-Giguère, A. Wetzel, D. Keres, K. Drango, and R. Sanderson, “Predicting the binary black hole population of the Milky Way with cosmological simulations,” Mon. Not. Roy. Astron. Soc. 480 no. 2, (2018) 2704–2718, arXiv:1801.03099 [astro-ph.GA].
  • [2203] M. C. Artale, M. Mapelli, N. Giacobbo, N. B. Sabha, M. Spera, F. Santoliquido, and A. Bressan, “Host galaxies of merging compact objects: mass, star formation rate, metallicity and colours,” Mon. Not. Roy. Astron. Soc. 487 no. 2, (2019) 1675–1688, arXiv:1903.00083 [astro-ph.GA].
  • [2204] S. Adhikari, M. Fishbach, D. E. Holz, R. H. Wechsler, and Z. Fang, “The Binary–Host Connection: Astrophysics of Gravitational-Wave Binaries from Host Galaxy Properties,” Astrophys. J. 905 no. 1, (2020) 21, arXiv:2001.01025 [astro-ph.GA].
  • [2205] R. Perna, M. C. Artale, Y.-H. Wang, M. Mapelli, D. Lazzati, C. Sgalletta, and F. Santoliquido, “Host galaxies and electromagnetic counterparts to binary neutron star mergers across the cosmic time: detectability of GW170817-like events,” Mon. Not. Roy. Astron. Soc. 512 no. 2, (2022) 2654–2668, arXiv:2112.05202 [astro-ph.HE].
  • [2206] J. C. Rose, P. Torrey, K. H. Lee, and I. Bartos, “Where binary neutron stars merge: predictions from IllustrisTNG,” Astrophys. J. 909 no. 2, (2021) 207, arXiv:2101.10343 [astro-ph.HE].
  • [2207] Q. Chu, S. Yu, and Y. Lu, “Formation and evolution of binary neutron stars: mergers and their host galaxies,” Mon. Not. Roy. Astron. Soc. 509 no. 2, (2021) 1557–1586, arXiv:2110.04687 [astro-ph.GA].
  • [2208] A. Vijaykumar, M. Fishbach, S. Adhikari, and D. E. Holz, “Inferring host galaxy properties of LIGO-Virgo-KAGRA’s black holes,” arXiv:2312.03316 [astro-ph.HE].
  • [2209] R. S. Somerville and R. Davé, “Physical Models of Galaxy Formation in a Cosmological Framework,” A&A Rev. 53 (Aug., 2015) 51–113, arXiv:1412.2712 [astro-ph.GA].
  • [2210] D. A. Forbes, N. Bastian, M. Gieles, R. A. Crain, J. M. D. Kruijssen, S. S. Larsen, S. Ploeckinger, O. Agertz, M. Trenti, A. M. N. Ferguson, J. Pfeffer, and O. Y. Gnedin, “Globular cluster formation and evolution in the context of cosmological galaxy assembly: open questions,” Proceedings of the Royal Society of London Series A 474 no. 2210, (Feb., 2018) 20170616, arXiv:1801.05818 [astro-ph.GA]. – 711 –
  • [2211] N. Lahén, T. Naab, P. H. Johansson, B. Elmegreen, C.-Y. Hu, and S. Walch, “The Formation of Low-metallicity Globular Clusters in Dwarf Galaxy Mergers,” ApJ 879 no. 2, (July, 2019) L18, arXiv:1905.09840 [astro-ph.GA].
  • [2212] T. Bruel, C. L. Rodriguez, A. Lamberts, M. Y. Grudic, Z. Hafen, and R. Feldmann, “Great Balls of FIRE III: Modeling Black Hole Mergers from Massive Star Clusters in Simulations of Galaxies,” arXiv:2311.14855 [astro-ph.GA].
  • [2213] W. E. Harris, G. L. H. Harris, and M. Alessi, “A Catalog of Globular Cluster Systems: What Determines the Size of a Galaxy’s Globular Cluster Population?,” ApJ 772 no. 2, (Aug., 2013) 82, arXiv:1306.2247 [astro-ph.GA].
  • [2214] J. P. Brodie and J. Strader, “Extragalactic Globular Clusters and Galaxy Formation,” A&A Rev. 44 no. 1, (Sept., 2006) 193–267, arXiv:astro-ph/0602601 [astro-ph].
  • [2215] M. A. Beasley, “Globular Cluster Systems and Galaxy Formation,” in Reviews in Frontiers of Modern Astrophysics; From Space Debris to Cosmology, pp. 245–277. 2020.
  • [2215] M. A. Beasley, “Globular Cluster Systems and Galaxy Formation,” in Reviews in Frontiers of Modern Astrophysics; From Space Debris to Cosmology, pp. 245–277. 2020.
  • [2216] F. Santoliquido, M. Mapelli, M. C. Artale, and L. Boco, “Modelling the host galaxies of binary compact object mergers with observational scaling relations,” Mon. Not. Roy. Astron. Soc. 516 no. 3, (2022) 3297–3317, arXiv:2205.05099 [astro-ph.HE].
  • [2217] M. U. Kruckow, T. M. Tauris, N. Langer, M. Kramer, and R. G. Izzard, “Progenitors of gravitational wave mergers: Binary evolution with the stellar grid-based code ComBinE,” Mon. Not. Roy. Astron. Soc. 481 no. 2, (2018) 1908–1949, arXiv:1801.05433 [astro-ph.SR].
  • [2218] L. Graziani, R. Schneider, S. Marassi, W. Del Pozzo, M. Mapelli, and N. Giacobbo, “Cosmic archaeology with massive stellar black hole binaries,” Mon. Not. Roy. Astron. Soc. 495 no. 1, (2020) L81–L85, arXiv:2004.03603 [astro-ph.GA].
  • [2219] S. S. Bavera, G. Franciolini, G. Cusin, A. Riotto, M. Zevin, and T. Fragos, “Stochastic gravitational-wave background as a tool for investigating multi-channel astrophysical and primordial black-hole mergers,” Astron. Astrophys. 660 (2022) A26, arXiv:2109.05836 [astro-ph.CO].
  • [2220] C. Périgois, C. Belczynski, T. Bulik, and T. Regimbau, “StarTrack predictions of the stochastic gravitational-wave background from compact binary mergers,” Phys. Rev. D 103 no. 4, (2021) 043002, arXiv:2008.04890 [astro-ph.CO].
  • [2221] S. Clesse and J. Garcı́a-Bellido, “Detecting the gravitational wave background from primordial black hole dark matter,” Phys. Dark Univ. 18 (2017) 105–114, arXiv:1610.08479 [astro-ph.CO].
  • [2222] Z.-C. Chen, F. Huang, and Q.-G. Huang, “Stochastic Gravitational-wave Background from Binary Black Holes and Binary Neutron Stars and Implications for LISA,” Astrophys. J. 871 no. 1, (2019) 97, arXiv:1809.10360 [gr-qc].
  • [2223] S. Mukherjee and J. Silk, “Can we distinguish astrophysical from primordial black holes via the stochastic gravitational wave background?,” Mon. Not. Roy. Astron. Soc. 506 no. 3, (2021) 3977–3985, arXiv:2105.11139 [gr-qc].
  • [2224] E. Bagui and S. Clesse, “A boosted gravitational wave background for primordial black holes with broad mass distributions and thermal features,” Phys. Dark Univ. 38 (2022) 101115, arXiv:2110.07487 [astro-ph.CO].
  • [2225] L. Lehoucq, I. Dvorkin, R. Srinivasan, C. Pellouin, and A. Lamberts, “Astrophysical uncertainties in the gravitational-wave background from stellar-mass compact binary mergers,” Mon. Not. Roy. Astron. Soc. 526 no. 3, (2023) 4378–4387, arXiv:2306.09861 [astro-ph.HE]. – 712 –
  • [2226] S. Babak, C. Caprini, D. G. Figueroa, N. Karnesis, P. Marcoccia, G. Nardini, M. Pieroni, A. Ricciardone, A. Sesana, and J. Torrado, “Stochastic gravitational wave background from stellar origin binary black holes in LISA,” JCAP 08 (2023) 034, arXiv:2304.06368 [astro-ph.CO].
  • [2227] M. Spera, M. Mapelli, and A. Bressan, “The mass spectrum of compact remnants from the PARSEC stellar evolution tracks,” Mon. Not. Roy. Astron. Soc. 451 no. 4, (2015) 4086–4103, arXiv:1505.05201 [astro-ph.SR].
  • [2228] E. Abdikamalov, G. Pagliaroli, and D. Radice, “Gravitational Waves from Core-Collapse Supernovae,” arXiv:2010.04356 [astro-ph.SR].
  • [2229] B. Finkel, H. Andresen, and V. Mandic, “Stochastic gravitational-wave background from stellar core-collapse events,” Phys. Rev. D 105 no. 6, (2022) 063022, arXiv:2110.01478 [gr-qc].
  • [2230] M. Sieniawska and M. Bejger, “Continuous gravitational waves from neutron stars: current status and prospects,” Universe 5 no. 11, (2019) 217, arXiv:1909.12600 [astro-ph.HE].
  • [2231] D. Alonso, C. R. Contaldi, G. Cusin, P. G. Ferreira, and A. I. Renzini, “Noise angular power spectrum of gravitational wave background experiments,” Phys. Rev. D 101 no. 12, (2020) 124048, arXiv:2005.03001 [astro-ph.CO].
  • [2232] S. Banagiri, V. Mandic, C. Scarlata, and K. Z. Yang, “Measuring angular N-point correlations of binary black hole merger gravitational-wave events with hierarchical Bayesian inference,” Phys. Rev. D 102 no. 6, (2020) 063007, arXiv:2006.00633 [astro-ph.CO].
  • [2233] G. Mentasti, C. R. Contaldi, and M. Peloso, “Probing the galactic and extragalactic gravitational wave backgrounds with space-based interferometers,” arXiv:2312.10792 [gr-qc].
  • [2234] KAGRA, Virgo, LIGO Scientific Collaboration, R. Abbott et al., “All-sky, all-frequency directional search for persistent gravitational waves from Advanced LIGO’s and Advanced Virgo’s first three observing runs,” Phys. Rev. D 105 no. 12, (2022) 122001, arXiv:2110.09834 [gr-qc].
  • [2235] D. Agarwal, J. Suresh, S. Mitra, and A. Ain, “Angular power spectra of anisotropic stochastic gravitational wave background: Developing statistical methods and analyzing data from ground-based detectors,” Phys. Rev. D 108 no. 2, (2023) 023011, arXiv:2302.12516 [gr-qc].
  • [2236] B. Allen and A. C. Ottewill, “Detection of anisotropies in the gravitational-wave stochastic background,” Physical Review D 56 no. 2, (1997) .
  • [2237] G. Mentasti, C. R. Contaldi, and M. Peloso, “Intrinsic limits on the detection of the anisotropies of the Stochastic Gravitational Wave Background,” arXiv:2301.08074 [gr-qc].
  • [2238] M. Braglia, J. Garcia-Bellido, and S. Kuroyanagi, “Testing Primordial Black Holes with multi-band observations of the stochastic gravitational wave background,” JCAP 12 no. 12, (2021) 012, arXiv:2110.07488 [astro-ph.CO].
  • [2239] J. Alvey, U. Bhardwaj, V. Domcke, M. Pieroni, and C. Weniger, “Simulation-based inference for stochastic gravitational wave background data analysis,” Phys. Rev. D 109 no. 8, (2024) 083008, arXiv:2309.07954 [gr-qc].
  • [2240] A. Dimitriou, D. G. Figueroa, and B. Zaldivar, “Fast Likelihood-free Reconstruction of Gravitational Wave Backgrounds,” arXiv:2309.08430 [astro-ph.IM].
  • [2241] A. A. Penzias and R. W. Wilson, “A Measurement of excess antenna temperature at 4080-Mc/s,” Astrophys. J. 142 (1965) 419–421. – 713 –
  • [2242] A. Hewish, S. J. Bell, J. D. H. Pilkington, P. F. Scott, and R. A. Collins, “Observation of a rapidly pulsating radio source,” Nature 217 (1968) 709–713.
  • [2243] R. W. Klebesadel, I. B. Strong, and R. A. Olson, “Observations of Gamma-Ray Bursts of Cosmic Origin,” Astrophys. J. Lett. 182 (1973) L85–L88.
  • [2244] C. L. Cowan, F. Reines, F. B. Harrison, H. W. Kruse, and A. D. McGuire, “Detection of the free neutrino: A Confirmation,” Science 124 (1956) 103–104.
  • [2245] R. M. Bionta et al., “Observation of a Neutrino Burst in Coincidence with Supernova SN 1987a in the Large Magellanic Cloud,” Phys. Rev. Lett. 58 (1987) 1494.
  • [2246] P. A. Evans et al., “Swift and NuSTAR observations of GW170817: detection of a blue kilonova,” Science 358 (2017) 1565, arXiv:1710.05437 [astro-ph.HE].
  • [2247] I. Arcavi et al., “Optical emission from a kilonova following a gravitational-wave-detected neutron-star merger,” Nature 551 (2017) 64, arXiv:1710.05843 [astro-ph.HE].
  • [2248] V. M. Lipunov et al., “MASTER Optical Detection of the First LIGO/Virgo Neutron Star Binary Merger GW170817,” Astrophys. J. Lett. 850 no. 1, (2017) L1, arXiv:1710.05461 [astro-ph.HE].
  • [2249] N. R. Tanvir et al., “The Emergence of a Lanthanide-Rich Kilonova Following the Merger of Two Neutron Stars,” Astrophys. J. Lett. 848 no. 2, (2017) L27, arXiv:1710.05455 [astro-ph.HE].
  • [2250] S. Valenti, D. J. Sand, S. Yang, E. Cappellaro, L. Tartaglia, A. Corsi, S. W. Jha, D. E. Reichart, J. Haislip, and V. Kouprianov, “The discovery of the electromagnetic counterpart of GW170817: kilonova AT 2017gfo/DLT17ck,” Astrophys. J. Lett. 848 no. 2, (2017) L24, arXiv:1710.05854 [astro-ph.HE].
  • [2251] S. J. Smartt et al., “A kilonova as the electromagnetic counterpart to a gravitational-wave source,” Nature 551 no. 7678, (2017) 75–79, arXiv:1710.05841 [astro-ph.HE].
  • [2252] M. M. Kasliwal et al., “Illuminating Gravitational Waves: A Concordant Picture of Photons from a Neutron Star Merger,” Science 358 (2017) 1559, arXiv:1710.05436 [astro-ph.HE].
  • [2253] B. J. Shappee et al., “Early Spectra of the Gravitational Wave Source GW170817: Evolution of a Neutron Star Merger,” Science 358 (2017) 1574, arXiv:1710.05432 [astro-ph.HE].
  • [2254] J. Barnes and D. Kasen, “Effect of a High Opacity on the Light Curves of Radioactively Powered Transients from Compact Object Mergers,” Astrophys. J. 775 (2013) 18, arXiv:1303.5787 [astro-ph.HE].
  • [2255] B. D. Metzger, “Kilonovae,” Living Rev. Rel. 20 no. 1, (2017) 3, arXiv:1610.09381 [astro-ph.HE].
  • [2256] E. Troja et al., “The X-ray counterpart to the gravitational wave event GW 170817,” Nature 551 (2017) 71–74, arXiv:1710.05433 [astro-ph.HE].
  • [2257] G. Hallinan et al., “A Radio Counterpart to a Neutron Star Merger,” Science 358 (2017) 1579, arXiv:1710.05435 [astro-ph.HE].
  • [2258] J. D. Lyman et al., “The optical afterglow of the short gamma-ray burst associated with GW170817,” Nature Astron. 2 no. 9, (2018) 751–754, arXiv:1801.02669 [astro-ph.HE].
  • [2259] K. D. Alexander et al., “A Decline in the X-ray through Radio Emission from GW170817 Continues to Support an Off-Axis Structured Jet,” Astrophys. J. Lett. 863 no. 2, (2018) L18, arXiv:1805.02870 [astro-ph.HE].
  • [2260] K. P. Mooley et al., “A mildly relativistic wide-angle outflow in the neutron star merger GW170817,” Nature 554 (2018) 207, arXiv:1711.11573 [astro-ph.HE]. – 714 –
  • [2261] R. Margutti et al., “The Binary Neutron Star Event LIGO/Virgo GW170817 160 Days after Merger: Synchrotron Emission across the Electromagnetic Spectrum,” Astrophys. J. Lett. 856 no. 1, (2018) L18, arXiv:1801.03531 [astro-ph.HE].
  • [2262] E. Troja, H. van Eerten, G. Ryan, R. Ricci, J. M. Burgess, M. H. Wieringa, L. Piro, S. B. Cenko, and T. Sakamoto, “A year in the life of GW 170817: the rise and fall of a structured jet from a binary neutron star merger,” Mon. Not. Roy. Astron. Soc. 489 no. 2, (2019) 1919–1926, arXiv:1808.06617 [astro-ph.HE].
  • [2263] M. E. Burbidge, G. R. Burbidge, W. A. Fowler, and F. Hoyle, “Synthesis of the elements in stars,” Rev. Mod. Phys. 29 (1957) 547–650.
  • [2264] N. R. Tanvir, A. J. Levan, A. S. Fruchter, J. Hjorth, K. Wiersema, R. Tunnicliffe, and A. de Ugarte Postigo, “A ”kilonova” associated with short-duration gamma-ray burst 130603B,” Nature 500 (2013) 547, arXiv:1306.4971 [astro-ph.HE].
  • [2264] N. R. Tanvir, A. J. Levan, A. S. Fruchter, J. Hjorth, K. Wiersema, R. Tunnicliffe, and A. de Ugarte Postigo, “A ”kilonova” associated with short-duration gamma-ray burst 130603B,” Nature 500 (2013) 547, arXiv:1306.4971 [astro-ph.HE].
  • [2265] E. Berger, W. Fong, and R. Chornock, “An r-process Kilonova Associated with the Short-hard GRB 130603B,” Astrophys. J. Lett. 774 (2013) L23, arXiv:1306.3960 [astro-ph.HE].
  • [2266] JWST Collaboration, A. J. Levan et al., “Heavy-element production in a compact object merger observed by JWST,” Nature 626 no. 8000, (2024) 737–741, arXiv:2307.02098 [astro-ph.HE].
  • [2267] D. M. Siegel, J. Barnes, and B. D. Metzger, “Collapsars as a major source of r-process elements,” Nature 569 (2019) 241, arXiv:1810.00098 [astro-ph.HE].
  • [2268] V. A. Villar et al., “The Combined Ultraviolet, Optical, and Near-Infrared Light Curves of the Kilonova Associated with the Binary Neutron Star Merger GW170817: Unified Data Set, Analytic Models, and Physical Implications,” Astrophys. J. Lett. 851 no. 1, (2017) L21, arXiv:1710.11576 [astro-ph.HE].
  • [2269] R. Margutti and R. Chornock, “First Multimessenger Observations of a Neutron Star Merger,” Ann. Rev. Astron. Astrophys. 59 (2021) 155–202, arXiv:2012.04810 [astro-ph.HE].
  • [2270] A. Sneppen, D. Watson, R. Damgaard, K. E. Heintz, N. Vieira, P. Väisänen, and A. Mahoro, “Emergence hour-by-hour of r-process features in the kilonova AT2017gfo,” arXiv:2404.08730 [astro-ph.HE].
  • [2271] D. Watson et al., “Identification of strontium in the merger of two neutron stars,” Nature 574 no. 7779, (2019) 497–500, arXiv:1910.10510 [astro-ph.HE].
  • [2272] J. H. Gillanders, S. J. Smartt, S. A. Sim, A. Bauswein, and S. Goriely, “Modelling the spectra of the kilonova AT2017gfo – I. The photospheric epochs,” Mon. Not. Roy. Astron. Soc. 515 no. 1, (2022) 631–651, arXiv:2202.01786 [astro-ph.HE].
  • [2273] A. Perego et al., “Production of Very Light Elements and Strontium in the Early Ejecta of Neutron Star Mergers,” Astrophys. J. 925 no. 1, (2022) 22, arXiv:2009.08988 [astro-ph.HE].
  • [2274] A. Sneppen and D. Watson, “Discovery of a 760 nm P Cygni line in AT2017gfo: Identification of yttrium in the kilonova photosphere,” Astron. Astrophys. 675 (2023) A194, arXiv:2306.14942 [astro-ph.HE].
  • [2275] K. Hotokezaka, M. Tanaka, D. Kato, and G. Gaigalas, “Tellurium emission line in kilonova AT 2017gfo,” Mon. Not. Roy. Astron. Soc. 526 no. 1, (2023) L155–L159, arXiv:2307.00988 [astro-ph.HE].
  • [2276] J. H. Gillanders et al., “Heavy element nucleosynthesis associated with a gamma-ray burst,” arXiv:2308.00633 [astro-ph.HE]. – 715 –
  • [2277] W.-f. Fong, E. Berger, R. Margutti, and B. A. Zauderer, “A Decade of Short-duration Gamma-ray Burst Broadband Afterglows: Energetics, Circumburst Densities, and jet Opening Angles,” Astrophys. J. 815 no. 2, (2015) 102, arXiv:1509.02922 [astro-ph.HE].
  • [2278] A. Rowlinson et al., “Discovery of the afterglow and host galaxy of the low redshift short GRB 080905A,” Mon. Not. Roy. Astron. Soc. 408 (2010) 383–391, arXiv:1006.0487 [astro-ph.HE].
  • [2279] D. Lazzati, R. Perna, B. J. Morsony, D. López-Cámara, M. Cantiello, R. Ciolfi, B. Giacomazzo, and J. C. Workman, “Late time afterglow observations reveal a collimated relativistic jet in the ejecta of the binary neutron star merger GW170817,” Phys. Rev. Lett. 120 no. 24, (2018) 241103, arXiv:1712.03237 [astro-ph.HE].
  • [2280] G. P. Lamb et al., “The optical afterglow of GW170817 at one year post-merger,” Astrophys. J. Lett. 870 no. 2, (2019) L15, arXiv:1811.11491 [astro-ph.HE].
  • [2281] E. Troja, L. Piro, G. Ryan, H. van Eerten, R. Ricci, M. Wieringa, S. Lotti, T. Sakamoto, and S. B. Cenko, “The outflow structure of GW170817 from late-time broad-band observations,” Mon. Not. Roy. Astron. Soc. 478 no. 1, (2018) L18–L23, arXiv:1801.06516 [astro-ph.HE].
  • [2282] G. Ryan, H. van Eerten, E. Troja, L. Piro, B. O’Connor, and R. Ricci, “Modelling of Long-Term Afterglow Counterparts to Gravitational Wave Events: The Full View of GRB 170817A,” arXiv:2310.02328 [astro-ph.HE].
  • [2283] G. Ghirlanda et al., “Compact radio emission indicates a structured jet was produced by a binary neutron star merger,” Science 363 (2019) 968, arXiv:1808.00469 [astro-ph.HE].
  • [2284] K. P. Mooley, A. T. Deller, O. Gottlieb, E. Nakar, G. Hallinan, S. Bourke, D. A. Frail, A. Horesh, A. Corsi, and K. Hotokezaka, “Superluminal motion of a relativistic jet in the neutron-star merger GW170817,” Nature 561 no. 7723, (2018) 355–359, arXiv:1806.09693 [astro-ph.HE].
  • [2285] K. P. Mooley, J. Anderson, and W. Lu, “Optical superluminal motion measurement in the neutron-star merger GW170817,” Nature 610 no. 7931, (2022) 273–276, arXiv:2210.06568 [astro-ph.HE].
  • [2286] J. S. Bloom, S. R. Kulkarni, and S. G. Djorgovski, “The Observed offset distribution of gamma-ray bursts from their host galaxies: A Robust clue to the nature of the progenitors,” Astron. J. 123 (2002) 1111–1148, arXiv:astro-ph/0010176.
  • [2287] A. S. Fruchter et al., “The Differing locations of massive stellar explosions,” Nature 441 (2006) 463–468, arXiv:astro-ph/0603537.
  • [2288] S. Savaglio, K. Glazebrook, and D. L. Borgne, “The Galaxy Population Hosting Gamma-Ray Bursts,” Astrophys. J. 691 (2009) 182, arXiv:0803.2718 [astro-ph].
  • [2289] K. M. Svensson, A. J. Levan, N. R. Tanvir, A. S. Fruchter, and L. G. Strolger, “The host galaxies of core-collapse supernovae and gamma ray bursts,” Mon. Not. Roy. Astron. Soc. 405 (2010) 57, arXiv:1001.5042 [astro-ph.HE].
  • [2290] P. L. Kelly and R. P. Kirshner, “Core-Collapse Supernovae and Host Galaxy Stellar Populations,” Astrophys. J. 759 (2012) 107, arXiv:1110.1377 [astro-ph.CO].
  • [2291] A. A. Hakobyan, V. Z. Adibekyan, L. S. Aramyan, A. R. Petrosian, J. M. Gomes, G. A. Mamon, D. Kunth, and M. Turatto, “Supernovae and their host galaxies. I. The SDSS DR8 database and statistics,” Astron. Astrophys. 544 (2012) A81, arXiv:1206.5016 [astro-ph.CO].
  • [2292] I. Irani et al., “Less Than 1% of Core-collapse Supernovae in the Local Universe Occur in Elliptical Galaxies,” Astrophys. J. 927 no. 1, (2022) 10, arXiv:2110.02252 [astro-ph.HE]. – 716 –
  • [2293] M. M. Kasliwal et al., “Calcium-rich gap transients in the remote outskirts of galaxies,” Astrophys. J. 755 (2012) 161, arXiv:1111.6109 [astro-ph.HE].
  • [2294] J. D. Lyman, A. J. Levan, R. P. Church, M. B. Davies, and N. R. Tanvir, “The progenitors of calcium-rich transients are not formed in situ,” Mon. Not. Roy. Astron. Soc. 444 no. 3, (2014) 2157–2166, arXiv:1408.1424 [astro-ph.HE].
  • [2295] J. D. Lyman, L. Galbany, S. F. Sánchez, J. P. Anderson, H. Kuncarayakti, and J. L. Prieto, “Studying the environment of AT 2018cow with MUSE,” Mon. Not. Roy. Astron. Soc. 495 no. 1, (2020) 992–999, arXiv:2005.02412 [astro-ph.GA].
  • [2296] W. Fong et al., “The Electromagnetic Counterpart of the Binary Neutron Star Merger LIGO/VIRGO GW170817. VIII. A Comparison to Cosmological Short-duration Gamma-ray Bursts,” Astrophys. J. Lett. 848 no. 2, (2017) L23, arXiv:1710.05438 [astro-ph.HE].
  • [2297] W.-f. Fong et al., “The Optical Afterglow of GW170817: An Off-axis Structured Jet and Deep Constraints on a Globular Cluster Origin,” Astrophys. J. Lett. 883 no. 1, (2019) L1, arXiv:1908.08046 [astro-ph.HE].
  • [2298] Y. C. Pan et al., “The Old Host-Galaxy Environment of SSS17a, the First Electromagnetic Counterpart to a Gravitational Wave Source,” Astrophys. J. Lett. 848 no. 2, (2017) L30, arXiv:1710.05439 [astro-ph.GA].
  • [2299] A. Palmese et al., “Evidence for Dynamically Driven Formation of the GW170817 Neutron Star Binary in NGC 4993,” Astrophys. J. Lett. 849 no. 2, (2017) L34, arXiv:1710.06748 [astro-ph.HE].
  • [2300] H. F. Stevance, J. J. Eldridge, E. R. Stanway, J. Lyman, A. F. McLeod, and A. J. Levan, “End-to-end study of the host galaxy and genealogy of the first binary neutron star merger,” Nature Astron. 7 no. 4, (2023) 444–450, arXiv:2301.05236 [astro-ph.HE].
  • [2301] R. P. Church, A. J. Levan, M. B. Davies, and N. Tanvir, “Implications for the origin of short gamma-ray bursts from their observed positions around their host galaxies,” Mon. Not. Roy. Astron. Soc. 413 (2011) 2004, arXiv:1101.1088 [astro-ph.HE].
  • [2302] W.-f. Fong et al., “Short GRB Host Galaxies. I. Photometric and Spectroscopic Catalogs, Host Associations, and Galactocentric Offsets,” Astrophys. J. 940 no. 1, (2022) 56, arXiv:2206.01763 [astro-ph.GA].
  • [2303] LIGO Scientific, Virgo Collaboration, B. P. Abbott et al., “Properties of the binary neutron star merger GW170817,” Phys. Rev. X 9 no. 1, (2019) 011001, arXiv:1805.11579 [gr-qc].
  • [2304] G. Raaijmakers et al., “Constraining the dense matter equation of state with joint analysis of NICER and LIGO/Virgo measurements,” Astrophys. J. Lett. 893 no. 1, (2020) L21, arXiv:1912.11031 [astro-ph.HE].
  • [2305] M. Cantiello et al., “A Precise Distance to the Host Galaxy of the Binary Neutron Star Merger GW170817 Using Surface Brightness Fluctuations,” Astrophys. J. Lett. 854 no. 2, (2018) L31, arXiv:1801.06080 [astro-ph.GA].
  • [2306] K. Hotokezaka, E. Nakar, O. Gottlieb, S. Nissanke, K. Masuda, G. Hallinan, K. P. Mooley, and A. T. Deller, “A Hubble constant measurement from superluminal motion of the jet in GW170817,” Nature Astron. 3 no. 10, (2019) 940–944, arXiv:1806.10596 [astro-ph.CO].
  • [2307] Baikal-GVD Collaboration, A. D. Avrorin et al., “Search for High-Energy Neutrinos from GW170817 with the Baikal-GVD Neutrino Telescope,” JETP Lett. 108 no. 12, (2018) 787–790, arXiv:1810.10966 [astro-ph.HE].
  • [2308] ANTARES, IceCube, Pierre Auger, LIGO Scientific, Virgo Collaboration, A. Albert et al., “Search for High-energy Neutrinos from Binary Neutron Star Merger – 717 – GW170817 with ANTARES, IceCube, and the Pierre Auger Observatory,” Astrophys. J. Lett. 850 no. 2, (2017) L35, arXiv:1710.05839 [astro-ph.HE].
  • [2309] D. Biehl, J. Heinze, and W. Winter, “Expected neutrino fluence from short Gamma-Ray Burst 170817A and off-axis angle constraints,” Mon. Not. Roy. Astron. Soc. 476 no. 1, (2018) 1191–1197, arXiv:1712.00449 [astro-ph.HE].
  • [2310] W.-f. Fong et al., “Demographics of the Galaxies Hosting Short-duration Gamma-Ray Bursts,” Astrophys. J. 769 (2013) 56, arXiv:1302.3221 [astro-ph.HE].
  • [2311] E. Berger, “A Short GRB ’No-Host” Problem? Investigating Large Progenitor Offsets for Short GRBs with Optical Afterglows,” Astrophys. J. 722 (2010) 1946–1961, arXiv:1007.0003 [astro-ph.HE].
  • [2312] W.-F. Fong and E. Berger, “The Locations of Short Gamma-ray Bursts as Evidence for Compact Object Binary Progenitors,” Astrophys. J. 776 (2013) 18, arXiv:1307.0819 [astro-ph.HE].
  • [2313] R. L. Tunnicliffe et al., “On the nature of the ‘hostless’ short GRBs,” Mon. Not. Roy. Astron. Soc. 437 no. 2, (2014) 1495–1510, arXiv:1402.0766 [astro-ph.HE].
  • [2314] H. B. Perets and P. Beniamini, “No velocity-kicks are required to explain large-distance offsets of Ca-rich supernovae and short-GRBs,” Mon. Not. Roy. Astron. Soc. 503 no. 4, (2021) 5997–6004, arXiv:2101.11622 [astro-ph.HE].
  • [2315] N. Gaspari, A. J. Levan, A. A. Chrimes, and G. Nelemans, “The Galactic neutron star population – II. Systemic velocities and merger locations of binary neutron stars,” Mon. Not. Roy. Astron. Soc. 527 no. 1, (2023) 1101–1113, arXiv:2310.14773 [astro-ph.HE].
  • [2316] G. Hobbs, D. R. Lorimer, A. G. Lyne, and M. Kramer, “A Statistical study of 233 pulsar proper motions,” Mon. Not. Roy. Astron. Soc. 360 (2005) 974–992, arXiv:astro-ph/0504584.
  • [2317] B. Yang, Z.-P. Jin, X. Li, S. Covino, X.-Z. Zheng, K. Hotokezaka, Y.-Z. Fan, T. Piran, and D.-M. Wei, “A possible Macronova in the late afterglow of the ‘long-short’ burst GRB 060614,” Nature Commun. 6 (2015) 7323, arXiv:1503.07761 [astro-ph.HE].
  • [2318] Z.-P. Jin, K. Hotokezaka, X. Li, M. Tanaka, P. D’Avanzo, Y.-Z. Fan, S. Covino, D.-M. Wei, and T. Piran, “The Macronova in GRB 050709 and the GRB/macronova connection,” Nature Commun. 7 (2016) 12898, arXiv:1603.07869 [astro-ph.HE].
  • [2319] J. C. Rastinejad et al., “A kilonova following a long-duration gamma-ray burst at 350 Mpc,” Nature 612 no. 7939, (2022) 223–227, arXiv:2204.10864 [astro-ph.HE].
  • [2320] E. Troja et al., “A nearby long gamma-ray burst from a merger of compact objects,” Nature 612 no. 7939, (2022) 228–231, arXiv:2209.03363 [astro-ph.HE].
  • [2321] J. Yang, S. Ai, B.-B. Zhang, B. Zhang, Z.-K. Liu, X. I. Wang, Y.-H. Yang, Y.-H. Yin, Y. Li, and H.-J. Lü, “A long-duration gamma-ray burst with a peculiar origin,” Nature 612 no. 7939, (2022) 232–235, arXiv:2204.12771 [astro-ph.HE].
  • [2322] A. Mei et al., “Gigaelectronvolt emission from a compact binary merger,” Nature 612 no. 7939, (2022) 236–239, arXiv:2205.08566 [astro-ph.HE].
  • [2323] Y.-H. Yang et al., “A lanthanide-rich kilonova in the aftermath of a long gamma-ray burst,” arXiv:2308.00638 [astro-ph.HE].
  • [2324] M. J. Graham et al., “The Zwicky Transient Facility: Science Objectives,” Publ. Astron. Soc. Pac. 131 no. 1001, (2019) 078001, arXiv:1902.01945 [astro-ph.IM].
  • [2325] A. Rest, H. J. Weiland, C. W. Stubbs, S. J. Smartt, K. W. Smith, B. Stalder, A. N. Heinze, L. Denneau, and J. L. Tonry, “ATLAS: A High-cadence All-sky Survey System,” Publ. Astron. Soc. Pac. 130 no. 988, (2018) 064505. – 718 –
  • [2326] V. Lipunov et al., “Master Robotic Net,” Adv. Astron. 2010 (2010) 349171, arXiv:0907.0827 [astro-ph.HE].
  • [2327] D. Steeghs et al., “The Gravitational-wave Optical Transient Observer (GOTO): prototype performance and prospects for transient science,” Mon. Not. Roy. Astron. Soc. 511 no. 2, (2022) 2405–2422, arXiv:2110.05539 [astro-ph.IM].
  • [2328] ENGRAVE Collaboration, I. Agudo et al., “Panning for gold, but finding helium: discovery of the ultra-stripped supernova SN2019wxt from gravitational-wave follow-up observations,” Astron. Astrophys. 675 (2023) A201, arXiv:2208.09000 [astro-ph.HE].
  • [2329] F. Foucart, T. Hinderer, and S. Nissanke, “Remnant baryon mass in neutron star-black hole mergers: Predictions for binary neutron star mimickers and rapidly spinning black holes,” Phys. Rev. D 98 no. 8, (2018) 081501, arXiv:1807.00011 [astro-ph.HE].
  • [2330] V. Connaughton et al., “Fermi GBM Observations of LIGO Gravitational Wave event GW150914,” Astrophys. J. Lett. 826 no. 1, (2016) L6, arXiv:1602.03920 [astro-ph.HE].
  • [2331] J. Greiner, J. M. Burgess, V. Savchenko, and H. F. Yu, “On the FERMI-GBM event seen 0.4 s after GW150914,” Astrophys. J. Lett. 827 no. 2, (2016) L38, arXiv:1606.00314 [astro-ph.HE].
  • [2332] B. J. Kelly, Z. B. Etienne, J. Golomb, J. D. Schnittman, J. G. Baker, S. C. Noble, and G. Ryan, “Electromagnetic Emission from a Binary Black Hole Merger Remnant in Plasma: Field Alignment and Plasma Temperature,” Phys. Rev. D 103 no. 6, (2021) 063039, arXiv:2010.11259 [astro-ph.HE].
  • [2333] R. G. Martin, C. Nixon, F.-G. Xie, and A. King, “Circumbinary discs around merging stellar-mass black holes,” Mon. Not. Roy. Astron. Soc. 480 no. 4, (2018) 4732–4737, arXiv:1808.06023 [astro-ph.HE].
  • [2334] R. Perna, D. Lazzati, and W. Farr, “Limits on electromagnetic counterparts of gravitational wave-detected binary black hole mergers,” Astrophys. J. 875 no. 1, (2019) 49, arXiv:1901.04522 [astro-ph.HE].
  • [2335] M. J. Graham et al., “A Light in the Dark: Searching for Electromagnetic Counterparts to Black Hole–Black Hole Mergers in LIGO/Virgo O3 with the Zwicky Transient Facility,” Astrophys. J. 942 no. 2, (2023) 99, arXiv:2209.13004 [astro-ph.HE].
  • [2336] A. J. Levan et al., “A long-duration gamma-ray burst of dynamical origin from the nucleus of an ancient galaxy,” Nature Astron. 7 no. 8, (2023) 976–985, arXiv:2303.12912 [astro-ph.HE].
  • [2337] D. Lazzati, R. Perna, B. P. Gompertz, and A. J. Levan, “GRB 191019A: A Short Gamma-Ray Burst in Disguise from the Disk of an Active Galactic Nucleus,” Astrophys. J. Lett. 950 no. 2, (2023) L20, arXiv:2303.12935 [astro-ph.HE].
  • [2338] N. Veronesi, E. M. Rossi, S. van Velzen, and R. Buscicchio, “Detectability of a spatial correlation between stellar mass black hole mergers and active galactic nuclei in the local Universe,” Mon. Not. Roy. Astron. Soc. 514 no. 2, (2022) 2092–2097, arXiv:2203.05907 [astro-ph.HE].
  • [2339] W. Kluzniak and W. H. Lee, “The Swallowing of a quark star by a black hole,” Mon. Not. Roy. Astron. Soc. 335 (2002) L29, arXiv:astro-ph/0206511.
  • [2340] A. Drago, A. Lavagno, and G. Pagliara, “Can very compact and very massive neutron stars both exist?,” Phys. Rev. D 89 no. 4, (2014) 043014, arXiv:1309.7263 [nucl-th].
  • [2341] A. Drago, A. Lavagno, G. Pagliara, and D. Pigato, “The scenario of two families of compact stars: 1. Equations of state, mass-radius relations and binary systems,” Eur. Phys. J. A 52 no. 2, (2016) 40, arXiv:1509.02131 [astro-ph.SR]. – 719 –
  • [2342] A. Drago and G. Pagliara, “Merger of two neutron stars: predictions from the two-families scenario,” Astrophys. J. Lett. 852 no. 2, (2018) L32, arXiv:1710.02003 [astro-ph.HE].
  • [2343] R. De Pietri, A. Drago, A. Feo, G. Pagliara, M. Pasquali, S. Traversi, and G. Wiktorowicz, “Merger of compact stars in the two-families scenario,” Astrophys. J. 881 no. 2, (2019) 122, arXiv:1904.01545 [astro-ph.HE].
  • [2344] N. Bucciantini, A. Drago, G. Pagliara, S. Traversi, and A. Bauswein, “Formation and evaporation of strangelets during the merger of two compact stars,” Phys. Rev. D 106 no. 10, (2022) 103032, arXiv:1908.02501 [astro-ph.HE].
  • [2345] F. Di Clemente, A. Drago, and G. Pagliara, “Merger of a Neutron Star with a Black Hole: One-family versus Two-families Scenario,” Astrophys. J. 929 no. 1, (2022) 44, arXiv:2106.16151 [astro-ph.HE].
  • [2346] L. W. P. Mathias, F. Di Clemente, M. Bulla, and A. Drago, “Black hole–neutron star mergers: using kilonovae to constrain the equation of state,” Mon. Not. Roy. Astron. Soc. 527 no. 4, (2023) 11053–11065, arXiv:2309.00890 [astro-ph.HE].
  • [2347] Z. Miao, Z. Zhu, and D. Lai, “Quark Star Mergers: The Equation of State of Decompressed Quark Matter and Observational Signatures,” arXiv:2411.09013 [astro-ph.HE].
  • [2348] T. Dietrich, S. Bernuzzi, and W. Tichy, “Closed-form tidal approximants for binary neutron star gravitational waveforms constructed from high-resolution numerical relativity simulations,” Phys. Rev. D 96 no. 12, (2017) 121501, arXiv:1706.02969 [gr-qc].
  • [2349] A. Gonzalez et al., “Second release of the CoRe database of binary neutron star merger waveforms,” Class. Quant. Grav. 40 no. 8, (2023) 085011, arXiv:2210.16366 [gr-qc].
  • [2350] E. Loffredo et al., “Prospects for optical detections from binary neutron star mergers with the next-generation multi-messenger observatories,” Astronomy & Astrophysics 697 (2025) A36, arXiv:2411.02342 [astro-ph.HE].
  • [2351] A. Colombo, O. S. Salafia, G. Ghirlanda, F. Iacovelli, M. Mancarella, F. S. Broekgaarden, L. Nava, B. Giacomazzo, and M. Colpi, “Multi-messenger observations in the Einstein Telescope era: binary neutron star and black hole - neutron star mergers,” arXiv:2503.00116 [astro-ph.HE].
  • [2352] A. Colombo, O. S. Salafia, F. Gabrielli, G. Ghirlanda, B. Giacomazzo, A. Perego, and M. Colpi, “Multi-messenger Observations of Binary Neutron Star Mergers in the O4 Run,” Astrophys. J. 937 no. 2, (2022) 79, arXiv:2204.07592 [astro-ph.HE].
  • [2353] D. Radice, A. Perego, K. Hotokezaka, S. A. Fromm, S. Bernuzzi, and L. F. Roberts, “Binary Neutron Star Mergers: Mass Ejection, Electromagnetic Counterparts and Nucleosynthesis,” Astrophys. J. 869 no. 2, (2018) 130, arXiv:1809.11161 [astro-ph.HE].
  • [2354] C. Barbieri, O. S. Salafia, A. Perego, M. Colpi, and G. Ghirlanda, “Electromagnetic counterparts of black hole-neutron star mergers: dependence on the neutron star properties,” Eur. Phys. J. A 56 no. 1, (2020) 8, arXiv:1908.08822 [astro-ph.HE].
  • [2355] C. J. Krüger and F. Foucart, “Estimates for Disk and Ejecta Masses Produced in Compact Binary Mergers,” Phys. Rev. D 101 no. 10, (2020) 103002, arXiv:2002.07728 [astro-ph.HE].
  • [2356] K. Kawaguchi, K. Kyutoku, M. Shibata, and M. Tanaka, “Models of Kilonova/macronova Emission From Black Hole–neutron Star Mergers,” Astrophys. J. 825 no. 1, (2016) 52, arXiv:1601.07711 [astro-ph.HE].
  • [2357] A. Perego, D. Radice, and S. Bernuzzi, “AT 2017gfo: An Anisotropic and Three-component Kilonova Counterpart of GW170817,” Astrophys. J. Lett. 850 no. 2, (2017) L37, arXiv:1711.03982 [astro-ph.HE]. – 720 –
  • [2358] M. Breschi, A. Perego, S. Bernuzzi, W. Del Pozzo, V. Nedora, D. Radice, and D. Vescovi, “AT2017gfo: Bayesian inference and model selection of multicomponent kilonovae and constraints on the neutron star equation of state,” Mon. Not. Roy. Astron. Soc. 505 no. 2, (2021) 1661–1677, arXiv:2101.01201 [astro-ph.HE].
  • [2359] G. Ricigliano, A. Perego, S. Borhanian, E. Loffredo, K. Kawaguchi, S. Bernuzzi, and L. C. Lippold, “xkn: a semi-analytic framework for the modelling of kilonovae,” Mon. Not. Roy. Astron. Soc. 529 no. 1, (2024) 647–663, arXiv:2311.15709 [astro-ph.HE].
  • [2360] F. Santoliquido, M. Mapelli, Y. Bouffanais, N. Giacobbo, U. N. Di Carlo, S. Rastello, M. C. Artale, and A. Ballone, “The cosmic merger rate density evolution of compact binaries formed in young star clusters and in isolated binaries,” Astrophys. J. 898 no. 2, (2020) 152, arXiv:2004.09533 [astro-ph.HE].
  • [2361] P. Madau and T. Fragos, “Radiation Backgrounds at Cosmic Dawn: X-Rays from Compact Binaries,” Astrophys. J. 840 no. 1, (2017) 39, arXiv:1606.07887 [astro-ph.GA].
  • [2362] C. J. Neijssel, A. Vigna-Gómez, S. Stevenson, J. W. Barrett, S. M. Gaebel, F. S. Broekgaarden, S. E. de Mink, D. Szécsi, S. Vinciguerra, and I. Mandel, “The effect of the metallicity-specific star formation history on double compact object mergers,” Mon. Not. Roy. Astron. Soc. 490 no. 3, (2019) 3740–3759, arXiv:1906.08136 [astro-ph.SR].
  • [2363] A. W. Steiner, J. M. Lattimer, and E. F. Brown, “The Neutron Star Mass-Radius Relation and the Equation of State of Dense Matter,” Astrophys. J. Lett. 765 (2013) L5, arXiv:1205.6871 [nucl-th].
  • [2364] I. Bombaci and D. Logoteta, “Equation of state of dense nuclear matter and neutron star structure from nuclear chiral interactions,” Astron. Astrophys. 609 (2018) A128, arXiv:1805.11846 [astro-ph.HE].
  • [2365] D. Logoteta, A. Perego, and I. Bombaci, “Microscopic equation of state of hot nuclear matter for numerical relativity simulations,” Astron. Astrophys. 646 (2021) A55, arXiv:2012.03599 [nucl-th].
  • [2366] U. Dupletsa, J. Harms, B. Banerjee, M. Branchesi, B. Goncharov, A. Maselli, A. C. S. Oliveira, S. Ronchini, and J. Tissino, “GWFISH: A simulation software to evaluate parameter-estimation capabilities of gravitational-wave detector networks,” Astronomy and Computing 42 (Jan., 2023) 100671, arXiv:2205.02499 [gr-qc].
  • [2367] F. Iacovelli, M. Mancarella, S. Foffa, and M. Maggiore, “GWFAST: A Fisher Information Matrix Python Code for Third-generation Gravitational-wave Detectors,” Astrophys. J. Supp. 263 no. 1, (2022) 2, arXiv:2207.06910 [astro-ph.IM].
  • [2368] F. Pannarale, E. Berti, K. Kyutoku, B. D. Lackey, and M. Shibata, “Aligned spin neutron star-black hole mergers: a gravitational waveform amplitude model,” Phys. Rev. D 92 no. 8, (2015) 084050, arXiv:1509.00512 [gr-qc].
  • [2369] D. Grossman, O. Korobkin, S. Rosswog, and T. Piran, “The long-term evolution of neutron star merger remnants - II. Radioactively powered transients,” MNRAS 439 no. 1, (Mar., 2014) 757–770, arXiv:1307.2943 [astro-ph.HE].
  • [2370] D. Martin, A. Perego, A. Arcones, F. K. Thielemann, O. Korobkin, and S. Rosswog, “Neutrino-driven Winds in the Aftermath of a Neutron Star Merger: Nucleosynthesis and Electromagnetic Transients,” ApJ 813 no. 1, (Nov., 2015) 2, arXiv:1506.05048 [astro-ph.SR].
  • [2371] C. Barbieri, O. S. Salafia, M. Colpi, G. Ghirlanda, and A. Perego, “Exploring the nature of ambiguous merging systems: GW190425 in low latency,” A&A 654 (Oct., 2021) A12.
  • [2372] F. Foucart, T. Hinderer, and S. Nissanke, “Remnant baryon mass in neutron star-black hole mergers: Predictions for binary neutron star mimickers and rapidly spinning black holes,” Phys. Rev. D 98 no. 8, (Oct., 2018) 081501, arXiv:1807.00011 [astro-ph.HE]. – 721 –
  • [2373] F. Foucart, M. D. Duez, L. E. Kidder, S. M. Nissanke, H. P. Pfeiffer, and M. A. Scheel, “Numerical simulations of neutron star-black hole binaries in the near-equal-mass regime,” Phys. Rev. D 99 no. 10, (May, 2019) 103025, arXiv:1903.09166 [astro-ph.HE].
  • [2374] V. Nedora, S. Bernuzzi, D. Radice, A. Perego, A. Endrizzi, and N. Ortiz, “Spiral-wave wind for the blue kilonova,” Astrophys. J. Lett. 886 no. 2, (2019) L30, arXiv:1907.04872 [astro-ph.HE].
  • [2375] G. Ghirlanda et al., “Compact radio emission indicates a structured jet was produced by a binary neutron star merger,” Science 363 (Mar., 2019) 968–971.
  • [2376] O. S. Salafia, C. Barbieri, S. Ascenzi, and M. Toffano, “Gamma-ray burst jet propagation, development of angular structure, and the luminosity function,” A&A 636 (Jan, 2020) A102, arXiv:1907.07599 [astro-ph.HE].
  • [2377] P. C. Duffell, E. Quataert, D. Kasen, and H. Klion, “Jet Dynamics in Compact Object Mergers: GW170817 Likely Had a Successful Jet,” ApJ 866 no. 1, (Oct, 2018) 3, arXiv:1806.10616 [astro-ph.HE].
  • [2378] G. Ryan, H. van Eerten, L. Piro, and E. Troja, “Gamma-Ray Burst Afterglows in the Multimessenger Era: Numerical Models and Closure Relations,” Astrophys. J. 896 no. 2, (2020) 166, arXiv:1909.11691 [astro-ph.HE].
  • [2379] A. Corsi, L. Barsotti, E. Berti, M. Evans, I. Gupta, K. Kritos, K. Kuns, A. H. Nitz, B. J. Owen, B. Rajbhandari, J. Read, B. S. Sathyaprakash, D. H. Shoemaker, J. R. Smith, and S. Vitale, “Multi-messenger astrophysics of black holes and neutron stars as probed by ground-based gravitational wave detectors: from present to future,” Frontiers in Astronomy and Space Sciences 11 (May, 2024) 1386748, arXiv:2402.13445 [astro-ph.HE].
  • [2380] V. Mainieri, R. I. Anderson, J. Brinchmann, A. Cimatti, R. S. Ellis, V. Hill, J.-P. Kneib, A. F. McLeod, C. Opitom, M. M. Roth, P. Sanchez-Saez, R. Smiljanic, E. Tolstoy, R. Bacon, S. Randich, A. Adamo, F. Annibali, P. Arevalo, M. Audard, S. Barsanti, G. Battaglia, A. M. Bayo Aran, F. Belfiore, M. Bellazzini, E. Bellini, M. T. Beltran, L. Berni, S. Bianchi, K. Biazzo, S. Bisero, S. Bisogni, J. Bland-Hawthorn, S. Blondin, J. Bodensteiner, H. M. J. Boffin, R. Bonito, G. Bono, N. F. Bouche, D. Bowman, V. F. Braga, A. Bragaglia, M. Branchesi, A. Brucalassi, J. J. Bryant, I. Bryson, I. Busa, S. Camera, C. Carbone, G. Casali, M. Casali, V. Casasola, N. Castro, M. Catelan, L. Cavallo, C. Chiappini, M.-R. Cioni, M. Colless, L. Colzi, S. Contarini, W. Couch, F. D’Ammando, W. d’Assignies D., V. D’Orazi, R. da Silva, M. G. Dainotti, F. Damiani, C. Danielski, A. De Cia, R. S. de Jong, S. Dhawan, P. Dierickx, S. P. Driver, U. Dupletsa, S. Escoffier, A. Escorza, M. Fabrizio, G. Fiorentino, A. Fontana, F. Fontani, D. Forero Sanchez, P. Franois, F. J. Galindo-Guil, A. R. Gallazzi, D. Galli, M. Garcia, J. Garcia-Rojas, B. Garilli, R. Grand, M. G. Guarcello, N. Hazra, A. Helmi, A. Herrero, D. Iglesias, D. Ilic, V. Irsic, V. D. Ivanov, L. Izzo, P. Jablonka, B. Joachimi, D. Kakkad, S. Kamann, S. Koposov, G. Kordopatis, A. B. Kovacevic, K. Kraljic, H. Kuncarayakti, Y. Kwon, F. La Forgia, O. Lahav, C. Laigle, M. Lazzarin, R. Leaman, F. Leclercq, K.-G. Lee, D. Lee, M. D. Lehnert, P. Lira, E. Loffredo, S. Lucatello, L. Magrini, K. Maguire, G. Mahler, F. Zahra Majidi, N. Malavasi, F. Mannucci, M. Marconi, N. Martin, F. Marulli, D. Massari, T. Matsuno, J. Mattheee, S. McGee, J. Merc, T. Merle, A. Miglio, A. Migliorini, I. Minchev, D. Minniti, N. Miret-Roig, A. Monreal Ibero, F. Montano, B. T. Montet, M. Moresco, C. Moretti, L. Moscardini, A. Moya, O. Mueller, T. Nanayakkara, M. Nicholl, T. Nordlander, F. Onori, M. Padovani, A. F. Pala, S. Panda, M. Pandey-Pommier, L. Pasquini, M. Pawlak, P. J. Pessi, A. Pisani, L. C. Popovic, L. Prisinzano, R. Raddi, M. Rainer, A. Rebassa-Mansergas, J. Richard, M. Rigault, A. Rocher, D. Romano, P. Rosati, G. Sacco, R. Sanchez-Janssen, A. A. C.
  • [2381] S. Bisero, S. D. Vergani, E. Loffredo, M. Branchesi, N. Hazra, U. Dupletsa, and R. I. Anderson, “Multi-messenger observations of binary neutron star mergers: synergies between the next generation gravitational wave interferometers and wide-field, high-multiplex spectroscopic facilities,” arXiv:2507.02055 [astro-ph.HE].
  • [2382] Y. Li, I. S. Heng, M. L. Chan, X. Fan, and L. Gou, “Detection, sky localization, and early warning for binary neutron star mergers by detectors located in China of different configurations in a third generation detector network,” Phys. Rev. D 110 no. 4, (Aug., 2024) 043001, arXiv:2406.18228 [astro-ph.CO].
  • [2383] M. Cruise, M. Guainazzi, J. Aird, F. J. Carrera, E. Costantini, L. Corrales, T. Dauser, D. Eckert, F. Gastaldello, H. Matsumoto, R. Osten, P.-O. Petrucci, D. Porquet, G. W. Pratt, N. Rea, T. H. Reiprich, A. Simionescu, D. Spiga, and E. Troja, “The NewAthena mission concept in the context of the next decade of X-ray astronomy,” Nature Astronomy 9 (Jan., 2025) 36–44, arXiv:2501.03100 [astro-ph.IM].
  • [2384] R. Ciolfi, G. Stratta, M. Branchesi, B. Gendre, S. Grimm, J. Harms, G. P. Lamb, A. Martin-Carrillo, A. McCann, G. Oganesyan, E. Palazzi, S. Ronchini, A. Rossi, O. S. Salafia, L. Salmon, S. Ascenzi, A. Capone, S. Celli, S. Dall’Osso, I. Di Palma, M. Fasano, P. Fermani, D. Guetta, L. Hanlon, E. Howell, S. Paltani, L. Rezzolla, S. Vinciguerra, A. Zegarelli, L. Amati, A. Blain, E. Bozzo, S. Chaty, P. D’Avanzo, f. De Pasquale, H. Dereli-Bégué, G. Ghirlanda, A. Gomboc, D. Götz, I. Horvath, R. Hudec, L. Izzo, E. Le Floch, L. Li, F. Longo, S. Komossa, A. K. H. Kong, S. Mereghetti, R. Mignani, A. Nathanail, P. T. O’Brien, J. P. Osborne, A. Pe’er, S. Piranomonte, P. Rosati, S. Savaglio, F. Schüssler, O. Sergijenko, L. Shao, N. Tanvir, S. Turriziani, Y. Urata, M. van Putten, S. Vergani, S. Zane, and B. Zhang, “Multi-messenger astrophysics with THESEUS in the 2030s,” Experimental Astronomy 52 no. 3, (Dec., 2021) 245–275, arXiv:2104.09534 [astro-ph.IM].
  • [2385] A. H. Nitz and T. Dal Canton, “Pre-merger Localization of Compact-binary Mergers with Third-generation Observatories,” Astrophys. J. Lett. 917 no. 2, (2021) L27, arXiv:2106.15259 [astro-ph.HE].
  • [2386] B. Banerjee, G. Oganesyan, M. Branchesi, U. Dupletsa, F. Aharonian, F. Brighenti, B. Goncharov, J. Harms, M. Mapelli, S. Ronchini, and F. Santoliquido, “Pre-merger alert to detect prompt emission in very-high-energy gamma-rays from binary neutron star mergers: Einstein Telescope and Cherenkov Telescope Array synergy,” A&A 678 (Oct., 2023) A126, arXiv:2212.14007 [astro-ph.HE].
  • [2387] A. L. Miller, N. Singh, and C. Palomba, “Enabling multimessenger astronomy with continuous gravitational waves: Early warning and sky localization of binary neutron stars in the Einstein Telescope,” Phys. Rev. D 109 no. 4, (Feb., 2024) 043021, arXiv:2309.15808 [astro-ph.IM].
  • [2388] Q. Hu and J. Veitch, “Rapid Premerger Localization of Binary Neutron Stars in Third-generation Gravitational-wave Detectors,” Astrophys. J. Lett. 958 no. 2, (2023) L43, arXiv:2309.00970 [gr-qc].
  • [2389] S. S. Kimura, “Neutrinos from gamma-ray bursts,” in The Encyclopedia of Cosmology: Set 2: Frontiers in Cosmology Volume 2 Neutrino Physics and Astrophysics, pp. 433–482. World Scientific, 2024.
  • [2390] S. S. Kimura, K. Murase, P. Mészáros, and K. Kiuchi, “High-Energy Neutrino Emission from Short Gamma-Ray Bursts: Prospects for Coincident Detection with Gravitational Waves,” Astrophys. J. Lett. 848 no. 1, (2017) L4, arXiv:1708.07075 [astro-ph.HE]. – 723 –
  • [2391] E. Waxman and J. N. Bahcall, “High-energy neutrinos from cosmological gamma-ray burst fireballs,” Phys. Rev. Lett. 78 (1997) 2292–2295, arXiv:astro-ph/9701231.
  • [2392] Z.-H. Zhou and K. Wang, “High-energy Neutrino Emission Associated with GWs from Binary Black Hole Mergers in AGN Accretion Disks,” Astrophys. J. Lett. 958 no. 1, (2023) L12, arXiv:2310.15832 [astro-ph.HE].
  • [2393] J.-P. Zhu, “High-energy neutrinos from merging stellar-mass black holes in active galactic nuclei accretion disc,” Mon. Not. Roy. Astron. Soc. 528 no. 1, (2023) L88–L95, arXiv:2310.14255 [astro-ph.HE].
  • [2394] M. J. Rees and P. Meszaros, “Unsteady outflow models for cosmological gamma-ray bursts,” Astrophys. J. Lett. 430 (1994) L93–L96, arXiv:astro-ph/9404038.
  • [2395] P. Meszaros and M. J. Rees, “Optical and long wavelength afterglow from gamma-ray bursts,” Astrophys. J. 476 (1997) 232–237, arXiv:astro-ph/9606043.
  • [2396] T. Gaisser and F. Halzen, “IceCube,” Ann. Rev. Nucl. Part. Sci. 64 (2014) 101–123.
  • [2397] IceCube Collaboration, M. G. Aartsen et al., “The IceCube Neutrino Observatory: Instrumentation and Online Systems,” JINST 12 no. 03, (2017) P03012, arXiv:1612.05093 [astro-ph.IM]. [Erratum: JINST 19, E05001 (2024)].
  • [2397] IceCube Collaboration, M. G. Aartsen et al., “The IceCube Neutrino Observatory: Instrumentation and Online Systems,” JINST 12 no. 03, (2017) P03012, arXiv:1612.05093 [astro-ph.IM]. [Erratum: JINST 19, E05001 (2024)].
  • [2398] IceCube-PINGU Collaboration, M. G. Aartsen et al., “Letter of Intent: The Precision IceCube Next Generation Upgrade (PINGU),” arXiv:1401.2046 [physics.ins-det].
  • [2399] IceCube Collaboration, A. Ishihara, “The IceCube Upgrade - Design and Science Goals,” PoS ICRC2019 (2021) 1031, arXiv:1908.09441 [astro-ph.HE].
  • [2400] IceCube-Gen2 Collaboration, A. Ishihara et al., “The next generation neutrino telescope: IceCube-Gen2,” PoS ICRC2023 (2023) 994, arXiv:2308.09427 [astro-ph.HE].
  • [2401] KM3Net Collaboration, S. Adrian-Martinez et al., “Letter of intent for KM3NeT 2.0” J. Phys. G 43 no. 8, (2016) 084001, arXiv:1601.07459 [astro-ph.IM].
  • [2402] KM3NeT Collaboration, S. Aiello et al., “Observation of an ultra-high-energy cosmic neutrino with KM3NeT,” Nature 638 no. 8050, (2025) 376–382.
  • [2403] R. Dvornicky, “Overview of the baikal-gvd neutrino telescope status 2024,” in Proceedings of the RICAP 2024 Conference. 2025 - in press.
  • [2404] Baikal-GVD Collaboration, V. A. Allakhverdyan et al., “Diffuse neutrino flux measurements with the Baikal-GVD neutrino telescope,” Phys. Rev. D 107 no. 4, (2023) 042005, arXiv:2211.09447 [astro-ph.HE].
  • [2405] P-ONE Collaboration, M. Agostini et al., “The Pacific Ocean Neutrino Experiment,” Nature Astron. 4 no. 10, (2020) 913–915, arXiv:2005.09493 [astro-ph.HE].
  • [2406] Z. Ye et al., “Proposal for a neutrino telescope in South China Sea,” arXiv preprint arXiv:2207.04519 (2022) .
  • [2407] H. Zhang, Y. Cui, Y. Huang, S. Lin, Y. Liu, Z. Qiu, C. Shao, Y. Shi, C. Xie, and L. Yang, “A proposed deep sea Neutrino Observatory in the Nanhai,” arXiv:2408.05122 [astro-ph.HE].
  • [2408] T.-Q. Huang, Z. Cao, M. Chen, J. Liu, Z. Wang, X. You, and Y. Qi, “Proposal for the High Energy Neutrino Telescope,” PoS ICRC2023 (2023) 1080.
  • [2409] GRAND Collaboration, J. Álvarez-Muñiz et al., “The Giant Radio Array for Neutrino Detection (GRAND): Science and Design,” Sci. China Phys. Mech. Astron. 63 no. 1, (2020) 219501, arXiv:1810.09994 [astro-ph.HE].
  • [2410] RNO-G Collaboration, J. A. Aguilar et al., “Design and Sensitivity of the Radio Neutrino Observatory in Greenland (RNO-G),” JINST 16 no. 03, (2021) P03025, arXiv:2010.12279 [astro-ph.IM]. [Erratum: JINST 18, E03001 (2023)]. – 724 –
  • [2410] RNO-G Collaboration, J. A. Aguilar et al., “Design and Sensitivity of the Radio Neutrino Observatory in Greenland (RNO-G),” JINST 16 no. 03, (2021) P03025, arXiv:2010.12279 [astro-ph.IM]. [Erratum: JINST 18, E03001 (2023)]. – 724 –
  • [2411] ANTARES, IceCube, LIGO, Virgo Collaboration, A. Albert et al., “Search for Multimessenger Sources of Gravitational Waves and High-energy Neutrinos with Advanced LIGO during Its First Observing Run, ANTARES, and IceCube,” Astrophys. J. 870 no. 2, (2019) 134, arXiv:1810.10693 [astro-ph.HE].
  • [2412] IceCube Collaboration, M. G. Aartsen et al., “IceCube Search for Neutrinos Coincident with Compact Binary Mergers from LIGO-Virgo’s First Gravitational-wave Transient Catalog,” Astrophys. J. Lett. 898 no. 1, (2020) L10, arXiv:2004.02910 [astro-ph.HE].
  • [2413] IceCube Collaboration, R. Abbasi et al., “IceCube Search for Neutrinos Coincident with Gravitational Wave Events from LIGO/Virgo Run O3,” Astrophys. J. 944 no. 1, (2023) 80, arXiv:2208.09532 [astro-ph.HE].
  • [2414] IceCube Collaboration, R. Abbasi et al., “A Search for IceCube Sub-TeV Neutrinos Correlated with Gravitational-wave Events Detected By LIGO/Virgo,” Astrophys. J. 959 no. 2, (2023) 96, arXiv:2303.15970 [astro-ph.HE]. [Erratum: Astrophys.J. 971, 192 (2024)].
  • [2414] IceCube Collaboration, R. Abbasi et al., “A Search for IceCube Sub-TeV Neutrinos Correlated with Gravitational-wave Events Detected By LIGO/Virgo,” Astrophys. J. 959 no. 2, (2023) 96, arXiv:2303.15970 [astro-ph.HE]. [Erratum: Astrophys.J. 971, 192 (2024)].
  • [2415] IceCube Collaboration, M. G. Aartsen et al., “Extending the search for muon neutrinos coincident with gamma-ray bursts in IceCube data,” Astrophys. J. 843 no. 2, (2017) 112, arXiv:1702.06868 [astro-ph.HE].
  • [2416] IceCube Collaboration, N. Valtonen-Mattila, “Realtime Follow-up of External Alerts with the IceCube Supernova Data Acquisition System,” PoS TAUP2023 (2024) 236, arXiv:2311.10398 [astro-ph.HE].
  • [2417] IceCube Collaboration, R. Abbasi et al., “First results of low-energy neutrino follow-ups of Run O4 compact binary mergers with the IceCube Neutrino Observatory,” PoS ICRC2023 (2023) 1571, arXiv:2307.15902 [astro-ph.HE].
  • [2418] KM3NeT Collaboration, S. Aiello et al., “Searches for neutrino counterparts of gravitational waves from the LIGO/Virgo third observing run with KM3NeT,” JCAP 04 (2024) 026, arXiv:2311.03804 [astro-ph.HE].
  • [2419] J. Thwaites, S. Hori, M. Romfoe, A. Zhang, et al., “Searches for IceCube Neutrinos Coincident with Gravitational Wave Events,” arXiv preprint arXiv:2307.15327 (2023) .
  • [2420] M. Mastrodicasa, “The km3net online processing for multi-messenger alerts,” in Proceedings of the RICAP 2024 Conference. 2025 - in press.
  • [2421] T. Mukherjee, “Searching for IceCube sub-TeV neutrino counterparts to sub-threshold Gravitational Wave events,” arXiv preprint arXiv:2308.06102 (2023) .
  • [2422] B. Baret et al., “Bounding the Time Delay between High-energy Neutrinos and Gravitational-wave Transients from Gamma-ray Bursts,” Astropart. Phys. 35 (2011) 1–7, arXiv:1101.4669 [astro-ph.HE].
  • [2423] S. S. Kimura, K. Murase, I. Bartos, K. Ioka, I. S. Heng, and P. Mészáros, “Transejecta high-energy neutrino emission from binary neutron star mergers,” Phys. Rev. D 98 no. 4, (2018) 043020, arXiv:1805.11613 [astro-ph.HE].
  • [2424] K. Fang and B. D. Metzger, “High-Energy Neutrinos from Millisecond Magnetars formed from the Merger of Binary Neutron Stars,” Astrophys. J. 849 no. 2, (2017) 153, arXiv:1707.04263 [astro-ph.HE].
  • [2425] L. J. Schumacher, M. Huber, M. Agostini, M. Bustamante, F. Oikonomou, and E. Resconi, “PLEνM: A global and distributed monitoring system of high-energy astrophysical neutrinos,” PoS ICRC2021 (2021) 1185, arXiv:2107.13534 [astro-ph.IM].
  • [2426] M. Mukhopadhyay, S. S. Kimura, and K. Murase, “Gravitational wave triggered searches for high-energy neutrinos from binary neutron star mergers: Prospects for next generation detectors,” Phys. Rev. D 109 no. 4, (2024) 043053, arXiv:2310.16875 [astro-ph.HE]. – 725 –
  • [2427] M. Mukhopadhyay, S. S. Kimura, and B. D. Metzger, “High-energy neutrino signatures from pulsar remnants of binary neutron-star mergers: coincident detection prospects with gravitational waves,” arXiv:2407.04767 [astro-ph.HE].
  • [2428] M. Mukhopadhyay, K. Kotera, S. Wissel, K. Murase, and S. S. Kimura, “Ultrahigh-energy neutrino searches using next-generation gravitational wave detectors at radio neutrino detectors: GRAND, IceCube-Gen2 Radio, and RNO-G,” Phys. Rev. D 110 no. 6, (2024) 063004, arXiv:2406.19440 [astro-ph.HE].
  • [2429] K. Ackley et al., “Neutron Star Extreme Matter Observatory: A kilohertz-band gravitational-wave detector in the global network,” Publ. Astron. Soc. Austral. 37 (2020) e047, arXiv:2007.03128 [astro-ph.HE].
  • [2430] TianQin Collaboration, J. Luo et al., “TianQin: a space-borne gravitational wave detector,” Class. Quant. Grav. 33 no. 3, (2016) 035010, arXiv:1512.02076 [astro-ph.IM].
  • [2431] W.-H. Ruan, Z.-K. Guo, R.-G. Cai, and Y.-Z. Zhang, “Taiji program: Gravitational-wave sources,” Int. J. Mod. Phys. A 35 no. 17, (2020) 2050075, arXiv:1807.09495 [gr-qc].
  • [2432] LGWA Collaboration, J. Harms et al., “Lunar Gravitational-wave Antenna,” Astrophys. J. 910 no. 1, (2021) 1, arXiv:2010.13726 [gr-qc].
  • [2433] P. Ajith et al., “The Lunar Gravitational-wave Antenna: Mission Studies and Science Case,” arXiv:2404.09181 [gr-qc].
  • [2434] K. Jani and A. Loeb, “Gravitational-Wave Lunar Observatory for Cosmology,” arXiv:2007.08550 [gr-qc].
  • [2435] N. Seto, S. Kawamura, and T. Nakamura, “Possibility of direct measurement of the acceleration of the universe using 0.1-Hz band laser interferometer gravitational wave antenna in space,” Phys. Rev. Lett. 87 (2001) 221103, arXiv:astro-ph/0108011.
  • [2436] S. Kawamura et al., “The Japanese space gravitational wave antenna: DECIGO,” Class. Quant. Grav. 28 (2011) 094011.
  • [2437] S. Kawamura et al., “Current status of space gravitational wave antenna DECIGO and B-DECIGO,” PTEP 2021 no. 5, (2021) 05A105, arXiv:2006.13545 [gr-qc].
  • [2438] P. E. Dewdney, P. J. Hall, R. T. Schilizzi, and T. J. L. W. Lazio, “The Square Kilometre Array,” 8, 2009.
  • [2439] A. Sesana et al., “Unveiling the gravitational universe at µ-Hz frequencies,” Exper. Astron. 51 no. 3, (2021) 1333–1383, arXiv:1908.11391 [astro-ph.IM].
  • [2440] V. Baibhav et al., “Probing the nature of black holes: Deep in the mHz gravitational-wave sky,” Exper. Astron. 51 no. 3, (2021) 1385–1416, arXiv:1908.11390 [astro-ph.HE].
  • [2441] K. A. Kuns, H. Yu, Y. Chen, and R. X. Adhikari, “Astrophysics and cosmology with a decihertz gravitational-wave detector: TianGO,” Phys. Rev. D 102 no. 4, (2020) 043001, arXiv:1908.06004 [gr-qc].
  • [2442] M. Arca Sedda et al., “The missing link in gravitational-wave astronomy: discoveries waiting in the decihertz range,” Class. Quant. Grav. 37 no. 21, (2020) 215011, arXiv:1908.11375 [gr-qc].
  • [2443] J. Baker et al., “High angular resolution gravitational wave astronomy,” Exper. Astron. 51 no. 3, (2021) 1441–1470, arXiv:1908.11410 [astro-ph.HE].
  • [2444] S. Jaraba, J. Garcı́a-Bellido, S. Kuroyanagi, S. Ferraiuolo, and M. Braglia, “Stochastic gravitational wave background constraints from Gaia DR3 astrometry,” Mon. Not. Roy. Astron. Soc. 524 no. 3, (2023) 3609–3622, arXiv:2304.06350 [astro-ph.CO]. – 726 –
  • [2445] C. J. Moore, D. P. Mihaylov, A. Lasenby, and G. Gilmore, “Astrometric Search Method for Individually Resolvable Gravitational Wave Sources with Gaia,” Phys. Rev. Lett. 119 no. 26, (2017) 261102, arXiv:1707.06239 [astro-ph.IM].
  • [2446] M. Crosta, M. G. Lattanzi, C. Le Poncin-Lafitte, M. Gai, Q. Zhaoxiang, and A. Vecchiato, “Pinpointing gravitational waves via astrometric gravitational wave antennas,” Scientific Reports 14 (Mar., 2024) 5074. https://doi.org/10.1038/s41598-024-55671-9.
  • [2447] M. Abe, P. Adamson, M. Borcean, D. Bortoletto, K. Bridges, S. P. Carman, S. Chattopadhyay, J. Coleman, N. M. Curfman, K. DeRose, T. Deshpande, S. Dimopoulos, C. J. Foot, J. C. Frisch, B. E. Garber, S. Geer, V. Gibson, J. Glick, P. W. Graham, S. R. Hahn, R. Harnik, L. Hawkins, S. Hindley, J. M. Hogan, Y. Jiang, M. A. Kasevich, R. J. Kellett, M. Kiburg, T. Kovachy, J. D. Lykken, J. March-Russell, J. Mitchell, M. Murphy, M. Nantel, L. E. Nobrega, R. K. Plunkett, S. Rajendran, J. Rudolph, N. Sachdeva, M. Safdari, J. K. Santucci, A. G. Schwartzman, I. Shipsey, H. Swan, L. R. Valerio, A. Vasonis, Y. Wang, and T. Wilkason, “Matter-wave Atomic Gradiometer Interferometric Sensor (MAGIS-100),” Quantum Science and Technology 6 no. 4, (Oct., 2021) 044003, arXiv:2104.02835 [physics.atom-ph].
  • [2448] B. Canuel et al., “Exploring gravity with the MIGA large scale atom interferometer,” Sci. Rep. 8 no. 1, (2018) 14064, arXiv:1703.02490 [physics.atom-ph].
  • [2449] B. Canuel et al., “Technologies for the ELGAR large scale atom interferometer array,” arXiv:2007.04014 [physics.atom-ph].
  • [2450] M.-S. Zhan et al., “ZAIGA: Zhaoshan Long-baseline Atom Interferometer Gravitation Antenna,” Int. J. Mod. Phys. D 29 no. 04, (2019) 1940005, arXiv:1903.09288 [physics.atom-ph].
  • [2451] L. Badurina et al., “AION: An Atom Interferometer Observatory and Network,” JCAP 05 (2020) 011, arXiv:1911.11755 [astro-ph.CO].
  • [2452] A. Abdalla et al., “Terrestrial Very-Long-Baseline Atom Interferometry: Summary of the Second Workshop,” arXiv:2412.14960 [hep-ex].
  • [2453] G. Wang, W.-T. Ni, W.-B. Han, S.-C. Yang, and X.-Y. Zhong, “Numerical simulation of sky localization for LISA-TAIJI joint observation,” Phys. Rev. D 102 no. 2, (2020) 024089, arXiv:2002.12628 [gr-qc].
  • [2454] L.-F. Li and Z. Cao, “Post-Keplerian waveform model for binary compact object as sources of space-based gravitational wave detector and its implications,” Gen. Rel. Grav. 55 no. 6, (2023) 76, arXiv:2306.10445 [gr-qc].
  • [2455] J.-P. Zhu et al., “Kilonova Emission from Black Hole–Neutron Star Mergers. II. Luminosity Function and Implications for Target-of-opportunity Observations of Gravitational-wave Triggers and Blind Searches,” Astrophys. J. 917 no. 1, (2021) 24, arXiv:2011.02717 [astro-ph.HE].
  • [2456] S. Pandey, I. Gupta, K. Chandra, and B. S. Sathyaprakash, “The Critical Role of LIGO-India in the Era of Next-generation Observatories,” Astrophys. J. Lett. 985 no. 1, (2025) L17, arXiv:2411.10349 [gr-qc].
  • [2457] P. Fritschel, K. Kuns, J. Driggers, A. Effler, B. Lantz, D. Ottaway, S. Ballmer, K. Dooley, R. Adhikari, M. Evans, B. Farr, G. Gonzalez, P. Schmidt, and S. Raja, “Report from the LSC Post-O5 Study Group, Tech. Rep. T2200287 LIGO,”. https://dcc.ligo.org/LIGO-T2200287/public.
  • [2458] K. Breivik, C. L. Rodriguez, S. L. Larson, V. Kalogera, and F. A. Rasio, “Distinguishing Between Formation Channels for Binary Black Holes with LISA,” Astrophys. J. Lett. 830 no. 1, (2016) L18, arXiv:1606.09558 [astro-ph.GA]. – 727 –
  • [2459] J.-G. He, Y. Shao, S.-J. Gao, and X.-D. Li, “Detection Prospects of Fast-merging Gravitational Wave Sources in M31,” Astrophys. J. 953 no. 2, (2023) 153, arXiv:2307.07955 [astro-ph.HE].
  • [2460] A. Sesana, “Prospects for Multiband Gravitational-Wave Astronomy after GW150914,” Phys. Rev. Lett. 116 no. 23, (2016) 231102, arXiv:1602.06951 [gr-qc].
  • [2461] D. Gerosa, S. Ma, K. W. K. Wong, E. Berti, R. O’Shaughnessy, Y. Chen, and K. Belczynski, “Multiband gravitational-wave event rates and stellar physics,” Phys. Rev. D 99 no. 10, (2019) 103004, arXiv:1902.00021 [astro-ph.HE].
  • [2462] R. Buscicchio, J. Torrado, C. Caprini, G. Nardini, N. Karnesis, M. Pieroni, and A. Sesana, “Stellar-mass black-hole binaries in LISA: characteristics and complementarity with current-generation interferometers,” arXiv:2410.18171 [astro-ph.HE].
  • [2463] A. Klein et al., “The last three years: multiband gravitational-wave observations of stellar-mass binary black holes,” arXiv:2204.03423 [astro-ph.HE].
  • [2464] Z. Zhang and X. Chen, “The dynamics and gravitational-wave signal of a binary flying closely by a Kerr supermassive black hole,” arXiv:2402.02178 [astro-ph.HE].
  • [2465] R. Nair and T. Tanaka, “Synergy between ground and space based gravitational wave detectors. Part II: Localisation,” JCAP 08 (2018) 033, arXiv:1805.08070 [gr-qc]. [Erratum: JCAP 11, E01 (2018)].
  • [2465] R. Nair and T. Tanaka, “Synergy between ground and space based gravitational wave detectors. Part II: Localisation,” JCAP 08 (2018) 033, arXiv:1805.08070 [gr-qc]. [Erratum: JCAP 11, E01 (2018)].
  • [2466] R. Nair, S. Jhingan, and T. Tanaka, “Synergy between ground and space based gravitational wave detectors for estimation of binary coalescence parameters,” PTEP 2016 no. 5, (2016) 053E01, arXiv:1504.04108 [gr-qc].
  • [2467] H. Nakano, R. Fujita, S. Isoyama, and N. Sago, “Scope out multiband gravitational-wave observations of GW190521-like binary black holes with space gravitational wave antenna B-DECIGO,” Universe 7 no. 3, (2021) 53, arXiv:2101.06402 [gr-qc].
  • [2468] C. Liu and L. Shao, “Neutron Star–Neutron Star and Neutron Star–Black Hole Mergers: Multiband Observations and Early Warnings,” Astrophys. J. 926 no. 2, (2022) 158, arXiv:2108.08490 [astro-ph.HE].
  • [2469] T. Regimbau, “The quest for the astrophysical gravitational-wave background with terrestrial detectors,” Symmetry 14 no. 2, (2022) . https://www.mdpi.com/2073-8994/14/2/270.
  • [2470] I. Dvorkin, J.-P. Uzan, E. Vangioni, and J. Silk, “Synthetic model of the gravitational wave background from evolving binary compact objects,” Phys. Rev. D 94 no. 10, (2016) 103011, arXiv:1607.06818 [astro-ph.HE].
  • [2471] S. Staelens and G. Nelemans, “The Astrophysical Gravitational Wave Background in the mHz band is likely dominated by White Dwarf binaries,” arXiv:2310.19448 [astro-ph.HE].
  • [2472] S. Hofman and G. Nelemans, “On the uncertainty of the White Dwarf Astrophysical Gravitational Wave Background,” arXiv:2407.10642 [astro-ph.HE].
  • [2473] S. Biscoveanu, C. Talbot, E. Thrane, and R. Smith, “Measuring the primordial gravitational-wave background in the presence of astrophysical foregrounds,” Phys. Rev. Lett. 125 (2020) 241101, arXiv:2009.04418 [astro-ph.HE].
  • [2474] H. Zhong, B. Zhou, L. Reali, E. Berti, and V. Mandic, “Searching for cosmological stochastic backgrounds by notching out resolvable compact binary foregrounds with next-generation gravitational-wave detectors,” Phys. Rev. D 110 no. 6, (2024) 064047, arXiv:2406.10757 [gr-qc].
  • [2475] T. A. Trainor, “A critical review of RHIC experimental results,” Int. J. Mod. Phys. E 23 no. 08, (2014) 1430011, arXiv:1303.4774 [hep-ph]. – 728 –
  • [2476] G. Bollen, “FRIB—Facility for Rare Isotope Beams,” AIP Conf. Proc. 1224 no. 1, (2010) 432.
  • [2477] P. Hammond, I. Hawke, and N. Andersson, “Thermal aspects of neutron star mergers,” Phys. Rev. D 104 no. 10, (2021) 103006, arXiv:2108.08649 [astro-ph.HE].
  • [2478] C. Raithel, V. Paschalidis, and F. Özel, “Realistic finite-temperature effects in neutron star merger simulations,” Phys. Rev. D 104 no. 6, (2021) 063016, arXiv:2104.07226 [astro-ph.HE].
  • [2479] E. R. Most, A. Haber, S. P. Harris, Z. Zhang, M. G. Alford, and J. Noronha, “Emergence of microphysical viscosity in binary neutron star post-merger dynamics,” arXiv:2207.00442 [astro-ph.HE].
  • [2480] L. Baiotti and L. Rezzolla, “Binary neutron star mergers: a review of Einstein’s richest laboratory,” Rept. Prog. Phys. 80 no. 9, (2017) 096901, arXiv:1607.03540 [gr-qc].
  • [2481] LIGO Scientific, Virgo Collaboration, B. P. Abbott et al., “GW170817: Measurements of neutron star radii and equation of state,” Phys. Rev. Lett. 121 no. 16, (2018) 161101, arXiv:1805.11581 [gr-qc].
  • [2482] P. T. H. Pang et al., “An updated nuclear-physics and multi-messenger astrophysics framework for binary neutron star mergers,” Nature Commun. 14 no. 1, (2023) 8352, arXiv:2205.08513 [astro-ph.HE].
  • [2483] W. Kastaun and F. Galeazzi, “Properties of hypermassive neutron stars formed in mergers of spinning binaries,” Phys. Rev. D 91 no. 6, (2015) 064027, arXiv:1411.7975 [gr-qc].
  • [2484] A. Bauswein, H. T. Janka, K. Hebeler, and A. Schwenk, “Equation-of-state dependence of the gravitational-wave signal from the ring-down phase of neutron-star mergers,” Phys. Rev. D 86 (2012) 063001, arXiv:1204.1888 [astro-ph.SR].
  • [2485] K. Takami, L. Rezzolla, and L. Baiotti, “Spectral properties of the post-merger gravitational-wave signal from binary neutron stars,” Phys. Rev. D 91 no. 6, (2015) 064001, arXiv:1412.3240 [gr-qc].
  • [2486] S. Bernuzzi, T. Dietrich, and A. Nagar, “Modeling the complete gravitational wave spectrum of neutron star mergers,” Phys. Rev. Lett. 115 no. 9, (2015) 091101, arXiv:1504.01764 [gr-qc].
  • [2487] A. Bauswein and N. Stergioulas, “Unified picture of the post-merger dynamics and gravitational wave emission in neutron star mergers,” Phys. Rev. D 91 no. 12, (2015) 124056, arXiv:1502.03176 [astro-ph.SR].
  • [2488] A. Puecher, T. Dietrich, K. W. Tsang, C. Kalaghatgi, S. Roy, Y. Setyawati, and C. Van Den Broeck, “Unraveling information about supranuclear-dense matter from the complete binary neutron star coalescence process using future gravitational-wave detector networks,” Phys. Rev. D 107 no. 12, (2023) 124009, arXiv:2210.09259 [gr-qc].
  • [2489] S. Rosswog and M. B. Davies, “High resolution calculations of merging neutron stars I: model description and hydrodynamic evolution,” Mon. Not. Roy. Astron. Soc. 334 (2002) 481–497, arXiv:astro-ph/0110180.
  • [2490] M. Shibata and K. Taniguchi, “Merger of binary neutron stars to a black hole: disk mass, short gamma-ray bursts, and quasinormal mode ringing,” Phys. Rev. D 73 (2006) 064027, arXiv:astro-ph/0603145.
  • [2491] S. Bernuzzi, D. Radice, C. D. Ott, L. F. Roberts, P. Moesta, and F. Galeazzi, “How loud are neutron star mergers?,” Phys. Rev. D 94 no. 2, (2016) 024023, arXiv:1512.06397 [gr-qc].
  • [2492] E. R. Most, L. J. Papenfort, V. Dexheimer, M. Hanauske, S. Schramm, H. Stöcker, and L. Rezzolla, “Signatures of quark-hadron phase transitions in general-relativistic neutron-star mergers,” Phys. Rev. Lett. 122 no. 6, (2019) 061101, arXiv:1807.03684 [astro-ph.HE]. – 729 –
  • [2493] E. R. Most, L. Jens Papenfort, V. Dexheimer, M. Hanauske, H. Stoecker, and L. Rezzolla, “On the deconfinement phase transition in neutron-star mergers,” Eur. Phys. J. A 56 no. 2, (2020) 59, arXiv:1910.13893 [astro-ph.HE].
  • [2494] A. Kedia, H. I. Kim, I.-S. Suh, and G. J. Mathews, “Binary neutron star mergers as a probe of quark-hadron crossover equations of state,” Phys. Rev. D 106 no. 10, (2022) 103027, arXiv:2203.05461 [gr-qc].
  • [2495] Y. Fujimoto, K. Fukushima, K. Hotokezaka, and K. Kyutoku, “Gravitational Wave Signal for Quark Matter with Realistic Phase Transition,” Phys. Rev. Lett. 130 no. 9, (2023) 091404, arXiv:2205.03882 [astro-ph.HE].
  • [2496] A. Bauswein, N. Stergioulas, and H.-T. Janka, “Exploring properties of high-density matter through remnants of neutron-star mergers,” Eur. Phys. J. A 52 no. 3, (2016) 56, arXiv:1508.05493 [astro-ph.HE].
  • [2497] Y. Sekiguchi, K. Kiuchi, K. Kyutoku, and M. Shibata, “Effects of hyperons in binary neutron star mergers,” Phys. Rev. Lett. 107 (2011) 211101, arXiv:1110.4442 [astro-ph.HE].
  • [2498] D. Radice, S. Bernuzzi, W. Del Pozzo, L. F. Roberts, and C. D. Ott, “Probing Extreme-Density Matter with Gravitational Wave Observations of Binary Neutron Star Merger Remnants,” Astrophys. J. Lett. 842 no. 2, (2017) L10, arXiv:1612.06429 [astro-ph.HE].
  • [2499] A. Perego, S. Bernuzzi, and D. Radice, “Thermodynamics conditions of matter in neutron star mergers,” Eur. Phys. J. A 55 no. 8, (2019) 124, arXiv:1903.07898 [gr-qc].
  • [2500] J. Fields, A. Prakash, M. Breschi, D. Radice, S. Bernuzzi, and A. da Silva Schneider, “Thermal Effects in Binary Neutron Star Mergers,” Astrophys. J. Lett. 952 no. 2, (2023) L36, arXiv:2302.11359 [astro-ph.HE].
  • [2501] R. Harada, K. Cannon, K. Hotokezaka, and K. Kyutoku, “Testability of the quark-hadron transition using gravitational waves from merging binary neutron stars,” Phys. Rev. D 110 no. 12, (2024) 123005, arXiv:2310.13603 [astro-ph.HE].
  • [2502] M. Sieniawska, W. Turczanski, M. Bejger, and J. L. Zdunik, “Tidal deformability and other global parameters of compact stars with strong phase transitions,” Astron. Astrophys. 622 (2019) A174, arXiv:1807.11581 [astro-ph.HE].
  • [2503] S. Han and A. W. Steiner, “Tidal deformability with sharp phase transitions in (binary) neutron stars,” Phys. Rev. D 99 no. 8, (2019) 083014, arXiv:1810.10967 [nucl-th].
  • [2504] C. A. Raithel and E. R. Most, “Degeneracy in the Inference of Phase Transitions in the Neutron Star Equation of State from Gravitational Wave Data,” Phys. Rev. Lett. 130 no. 20, (2023) 201403, arXiv:2208.04294 [astro-ph.HE].
  • [2505] R. Essick, I. Legred, K. Chatziioannou, S. Han, and P. Landry, “Phase transition phenomenology with nonparametric representations of the neutron star equation of state,” Phys. Rev. D 108 no. 4, (2023) 043013, arXiv:2305.07411 [astro-ph.HE].
  • [2506] C. Mondal, M. Antonelli, F. Gulminelli, M. Mancini, J. Novak, and M. Oertel, “Detectability of a phase transition in neutron star matter with third-generation gravitational wave interferometers,” arXiv:2305.05999 [astro-ph.HE].
  • [2507] C. M. Will, Theory and Experiment in Gravitational Physics. Cambridge University Press, 9, 2018.
  • [2508] L. Shao and N. Wex, “Tests of gravitational symmetries with radio pulsars,” Sci. China Phys. Mech. Astron. 59 no. 9, (2016) 699501, arXiv:1604.03662 [gr-qc].
  • [2509] S. E. Perkins, N. Yunes, and E. Berti, “Probing Fundamental Physics with Gravitational Waves: The Next Generation,” Phys. Rev. D 103 no. 4, (2021) 044024, arXiv:2010.09010 [gr-qc]. – 730 –
  • [2510] Z. Carson and K. Yagi, “Multi-band gravitational wave tests of general relativity,” Class. Quant. Grav. 37 no. 2, (2020) 02LT01, arXiv:1905.13155 [gr-qc].
  • [2511] G. Gnocchi, A. Maselli, T. Abdelsalhin, N. Giacobbo, and M. Mapelli, “Bounding alternative theories of gravity with multiband GW observations,” Phys. Rev. D 100 no. 6, (2019) 064024, arXiv:1905.13460 [gr-qc].
  • [2512] A. Gupta, S. Datta, S. Kastha, S. Borhanian, K. G. Arun, and B. S. Sathyaprakash, “Multiparameter tests of general relativity using multiband gravitational-wave observations,” Phys. Rev. Lett. 125 no. 20, (2020) 201101, arXiv:2005.09607 [gr-qc].
  • [2513] A. Toubiana, S. Marsat, E. Barausse, S. Babak, and J. Baker, “Tests of general relativity with stellar-mass black hole binaries observed by LISA,” Phys. Rev. D 101 no. 10, (2020) 104038, arXiv:2004.03626 [gr-qc].
  • [2514] C. Liu, L. Shao, J. Zhao, and Y. Gao, “Multiband Observation of LIGO/Virgo Binary Black Hole Mergers in the Gravitational-wave Transient Catalog GWTC-1,” Mon. Not. Roy. Astron. Soc. 496 no. 1, (2020) 182–196, arXiv:2004.12096 [astro-ph.HE].
  • [2515] J. Zhao, L. Shao, Y. Gao, C. Liu, Z. Cao, and B.-Q. Ma, “Probing dipole radiation from binary neutron stars with ground-based laser-interferometer and atom-interferometer gravitational-wave observatories,” Phys. Rev. D 104 no. 8, (2021) 084008, arXiv:2106.04883 [gr-qc].
  • [2516] S. Abend et al., “Terrestrial Very-Long-Baseline Atom Interferometry: Workshop Summary,” arXiv:2310.08183 [hep-ex].
  • [2517] T. Damour and K. Nordtvedt, “General relativity as a cosmological attractor of tensor scalar theories,” Phys. Rev. Lett. 70 (1993) 2217–2219.
  • [2518] Z. Wang, J. Zhao, Z. An, L. Shao, and Z. Cao, “Simultaneous bounds on the gravitational dipole radiation and varying gravitational constant from compact binary inspirals,” Phys. Lett. B 834 (2022) 137416, arXiv:2208.11913 [gr-qc].
  • [2519] K. K. Y. Ng, M. Isi, C.-J. Haster, and S. Vitale, “Multiband gravitational-wave searches for ultralight bosons,” Phys. Rev. D 102 no. 8, (2020) 083020, arXiv:2007.12793 [gr-qc].
  • [2520] S. Vitale, “Multiband Gravitational-Wave Astronomy: Parameter Estimation and Tests of General Relativity with Space- and Ground-Based Detectors,” Phys. Rev. Lett. 117 no. 5, (2016) 051102, arXiv:1605.01037 [gr-qc].
  • [2521] S. Datta, A. Gupta, S. Kastha, K. G. Arun, and B. S. Sathyaprakash, “Tests of general relativity using multiband observations of intermediate mass binary black hole mergers,” Phys. Rev. D 103 no. 2, (2021) 024036, arXiv:2006.12137 [gr-qc].
  • [2522] R. Tso, D. Gerosa, and Y. Chen, “Optimizing LIGO with LISA forewarnings to improve black-hole spectroscopy,” Phys. Rev. D 99 no. 12, (2019) 124043, arXiv:1807.00075 [gr-qc].
  • [2523] T. Baker, E. Barausse, A. Chen, C. de Rham, M. Pieroni, and G. Tasinato, “Testing gravitational wave propagation with multiband detections,” JCAP 03 (2023) 044, arXiv:2209.14398 [gr-qc].
  • [2524] I. Harry and J. Noller, “Probing the speed of gravity with LVK, LISA, and joint observations,” Gen. Rel. Grav. 54 no. 10, (2022) 133, arXiv:2207.10096 [gr-qc].
  • [2525] A. G. Riess, S. Casertano, W. Yuan, L. M. Macri, and D. Scolnic, “Large Magellanic Cloud Cepheid Standards Provide a 1% Foundation for the Determination of the Hubble Constant and Stronger Evidence for Physics beyond ΛCDM,” Astrophys. J. 876 no. 1, (2019) 85, arXiv:1903.07603 [astro-ph.CO]. – 731 –
  • [2526] W. L. Freedman et al., “The Carnegie-Chicago Hubble Program. VIII. An Independent Determination of the Hubble Constant Based on the Tip of the Red Giant Branch,” arXiv:1907.05922 [astro-ph.CO].
  • [2527] K. C. Wong et al., “H0LiCOW – XIII. A 2.4 per cent measurement of H0 from lensed quasars: 5.3σ tension between early- and late-Universe probes,” Mon. Not. Roy. Astron. Soc. 498 no. 1, (2020) 1420–1439, arXiv:1907.04869 [astro-ph.CO].
  • [2528] W. L. Freedman, B. F. Madore, T. Hoyt, I. S. Jang, R. Beaton, M. G. Lee, A. Monson, J. Neeley, and J. Rich, “Calibration of the Tip of the Red Giant Branch (TRGB),” ApJ 891 no. 1, (2020) 57, arXiv:2002.01550 [astro-ph.GA].
  • [2529] C. J. Conselice, A. Wilkinson, K. Duncan, and A. Mortlock, “THE EVOLUTION OF GALAXY NUMBER DENSITY ATz< 8 AND ITS IMPLICATIONS,” Astrophys. J. 830 no. 2, (2016) 83.
  • [2530] I. Gupta, “Using grey sirens to resolve the Hubble–Lemaı̂tre tension,” Mon. Not. Roy. Astron. Soc. 524 no. 3, (2023) 3537–3558, arXiv:2212.00163 [gr-qc].
  • [2531] N. Muttoni, A. Mangiagli, A. Sesana, D. Laghi, W. Del Pozzo, D. Izquierdo-Villalba, and M. Rosati, “Multiband gravitational wave cosmology with stellar origin black hole binaries,” Phys. Rev. D 105 no. 4, (2022) 043509, arXiv:2109.13934 [astro-ph.CO].
  • [2532] S. Borhanian, A. Dhani, A. Gupta, K. G. Arun, and B. S. Sathyaprakash, “Dark Sirens to Resolve the Hubble–Lemaı̂tre Tension,” Astrophys. J. Lett. 905 no. 2, (2020) L28, arXiv:2007.02883 [astro-ph.CO].
  • [2533] R. Nair, S. Bose, and T. D. Saini, “Measuring the Hubble constant: Gravitational wave observations meet galaxy clustering,” Phys. Rev. D 98 no. 2, (2018) 023502, arXiv:1804.06085 [astro-ph.CO].
  • [2534] S. Bera, D. Rana, S. More, and S. Bose, “Incompleteness Matters Not: Inference of H0 from Binary Black Hole–Galaxy Cross-correlations,” Astrophys. J. 902 no. 1, (2020) 79, arXiv:2007.04271 [astro-ph.CO].
  • [2535] Z.-Q. You, X.-J. Zhu, G. Ashton, E. Thrane, and Z.-H. Zhu, “Standard-siren cosmology using gravitational waves from binary black holes,” Astrophys. J. 908 no. 2, (2021) 215, arXiv:2004.00036 [astro-ph.CO].
  • [2536] S. Mukherjee, B. D. Wandelt, S. M. Nissanke, and A. Silvestri, “Accurate precision Cosmology with redshift unknown gravitational wave sources,” Phys. Rev. D 103 no. 4, (2021) 043520, arXiv:2007.02943 [astro-ph.CO].
  • [2537] D. Chatterjee, A. Hegade K R, G. Holder, D. E. Holz, S. Perkins, K. Yagi, and N. Yunes, “Cosmology with Love: Measuring the Hubble constant using neutron star universal relations,” Phys. Rev. D 104 no. 8, (2021) 083528, arXiv:2106.06589 [gr-qc].
  • [2538] T. Yang, “Gravitational-Wave Detector Networks: Standard Sirens on Cosmology and Modified Gravity Theory,” JCAP 05 (2021) 044, arXiv:2103.01923 [astro-ph.CO].
  • [2539] J. M. Ezquiaga and D. E. Holz, “Jumping the Gap: Searching for LIGO’s Biggest Black Holes,” Astrophys. J. Lett. 909 no. 2, (2021) L23, arXiv:2006.02211 [astro-ph.HE].
  • [2540] L.-G. Zhu, L.-H. Xie, Y.-M. Hu, S. Liu, E.-K. Li, N. R. Napolitano, B.-T. Tang, J.-d. Zhang, and J. Mei, “Constraining the Hubble constant to a precision of about 1% using multi-band dark standard siren detections,” Sci. China Phys. Mech. Astron. 65 no. 5, (2022) 259811, arXiv:2110.05224 [astro-ph.CO].
  • [2541] B. C. Seymour, H. Yu, and Y. Chen, “Multiband gravitational wave cosmography with dark sirens,” Phys. Rev. D 108 no. 4, (2023) 044038, arXiv:2208.01668 [gr-qc]. – 732 –
  • [2542] Y.-Y. Dong, J.-Y. Song, S.-J. Jin, J.-F. Zhang, and X. Zhang, “Enhancing dark siren cosmology through multi-band gravitational wave synergetic observations,” arXiv:2404.18188 [astro-ph.CO].
  • [2543] Y. Harikane, M. Ouchi, M. Oguri, Y. Ono, K. Nakajima, Y. Isobe, H. Umeda, K. Mawatari, and Y. Zhang, “A Comprehensive Study of Galaxies at z ∼ 9–16 Found in the Early JWST Data: Ultraviolet Luminosity Functions and Cosmic Star Formation History at the Pre-reionization Epoch,” Astrophys. J. Suppl. 265 no. 1, (2023) , arXiv:2208.01612 [astro-ph.GA].
  • [2544] X. Fan, E. Banados, and R. A. Simcoe, “Quasars and the Intergalactic Medium at Cosmic Dawn,” arXiv:2212.06907 [astro-ph.GA].
  • [2545] R. Maiolino et al., “JADES. The diverse population of infant Black Holes at 4
  • [2546] A. D. Goulding et al., “UNCOVER: The Growth of the First Massive Black Holes from JWST/NIRSpec—Spectroscopic Redshift Confirmation of an X-Ray Luminous AGN at z = 10.1,” Astrophys. J. Lett. 955 no. 1, (2023) L24, arXiv:2308.02750 [astro-ph.GA].
  • [2547] CEERS Team Collaboration, R. L. Larson et al., “A CEERS Discovery of an Accreting Supermassive Black Hole 570 Myr after the Big Bang: Identifying a Progenitor of Massive z > 6 Quasars,” Astrophys. J. Lett. 953 no. 2, (2023) L29, arXiv:2303.08918 [astro-ph.GA].
  • [2548] O. E. Kovacs et al., “A Candidate Supermassive Black Hole in a Gravitationally Lensed Galaxy at Z ≈ 10,” Astrophys. J. Lett. 965 no. 2, (2024) L21, arXiv:2403.14745 [astro-ph.GA].
  • [2549] M. Yue, A.-C. Eilers, R. A. Simcoe, R. Mackenzie, J. Matthee, D. Kashino, R. Bordoloi, S. J. Lilly, and R. P. Naidu, “EIGER. V. Characterizing the Host Galaxies of Luminous Quasars at z ≳ 6,” ApJ 966 no. 2, (May, 2024) 176, arXiv:2309.04614 [astro-ph.GA].
  • [2550] J. E. Greene et al., “UNCOVER Spectroscopy Confirms the Surprising Ubiquity of Active Galactic Nuclei in Red Sources at z > 5,” Astrophys. J. 964 no. 1, (2024) 39.
  • [2551] Y. Shen et al., “A Catalog of Quasar Properties from SDSS DR7,” Astrophys. J. Suppl. 194 (2011) 45, arXiv:1006.5178 [astro-ph.CO].
  • [2552] J. Kormendy and L. C. Ho, “Coevolution (Or Not) of Supermassive Black Holes and Host Galaxies,” ARA&A 51 no. 1, (Aug., 2013) 511–653, arXiv:1304.7762 [astro-ph.CO].
  • [2553] M. Volonteri, M. Habouzit, and M. Colpi, “The origins of massive black holes,” Nature Rev. Phys. 3 no. 11, (2021) 732–743, arXiv:2110.10175 [astro-ph.GA].
  • [2554] LIGO Scientific, VIRGO, KAGRA Collaboration, A. G. Abac et al., “GW231123: a Binary Black Hole Merger with Total Mass 190-265 M⊙,” arXiv:2507.08219 [astro-ph.HE].
  • [2555] R. Valiante, B. Agarwal, M. Habouzit, and E. Pezzulli, “On the Formation of the First Quasars,” PASA 34 (July, 2017) e031, arXiv:1703.03808 [astro-ph.GA].
  • [2556] K. Inayoshi, E. Visbal, and Z. Haiman, “The Assembly of the First Massive Black Holes,” Ann. Rev. Astron. Astrophys. 58 (2020) 27–97, arXiv:1911.05791 [astro-ph.GA].
  • [2557] Y. Dubois, C. Pichon, M. Haehnelt, T. Kimm, A. Slyz, J. Devriendt, and D. Pogosyan, “Feeding compact bulges and supermassive black holes with low angular-momentum cosmic gas at high redshift,” Mon. Not. Roy. Astron. Soc. 423 (2012) 3616, arXiv:1112.2479 [astro-ph.CO].
  • [2558] A. Lupi, M. Colpi, B. Devecchi, G. Galanti, and M. Volonteri, “Constraining the high redshift formation of black hole seeds in nuclear star clusters with gas inflows,” Mon. Not. Roy. Astron. Soc. 442 no. 4, (2014) 3616–3626, arXiv:1406.2325 [astro-ph.GA]. – 733 –
  • [2559] E. Pezzulli, R. Valiante, and R. Schneider, “Super-Eddington growth of the first black holes,” MNRAS 458 no. 3, (May, 2016) 3047–3059, arXiv:1603.00475 [astro-ph.GA].
  • [2560] A. Trinca, R. Schneider, R. Valiante, L. Graziani, L. Zappacosta, and F. Shankar, “The low-end of the black hole mass function at cosmic dawn,” Mon. Not. Roy. Astron. Soc. 511 no. 1, (2022) 616–640, arXiv:2201.02630 [astro-ph.GA].
  • [2561] R. Valiante, M. Colpi, R. Schneider, A. Mangiagli, M. Bonetti, G. Cerini, S. Fairhurst, F. Haardt, C. Mills, and A. Sesana, “Unveiling early black hole growth with multifrequency gravitational wave observations,” Mon. Not. Roy. Astron. Soc. 500 no. 3, (2020) 4095–4109, arXiv:2010.15096 [astro-ph.GA].
  • [2562] E. Vanzella, F. Loiacono, P. Bergamini, U. Meštrić, M. Castellano, P. Rosati, M. Meneghetti, C. Grillo, F. Calura, M. Mignoli, M. Bradač, A. Adamo, G. Rihtaršič, M. Dickinson, M. Gronke, A. Zanella, F. Annibali, C. Willott, M. Messa, E. Sani, A. Acebron, A. Bolamperti, A. Comastri, R. Gilli, K. I. Caputi, M. Ricotti, C. Gruppioni, S. Ravindranath, A. Mercurio, V. Strait, N. Martis, R. Pascale, G. B. Caminha, M. Annunziatella, and M. Nonino, “An extremely metal-poor star complex in the reionization era: Approaching Population III stars with JWST,” A&A 678 (Oct., 2023) A173, arXiv:2305.14413 [astro-ph.GA].
  • [2563] X. Wang, C. Cheng, J. Ge, X.-L. Meng, E. Daddi, H. Yan, Z. Ji, Y. Jin, T. Jones, M. A. Malkan, P. Arrabal Haro, G. Brammer, M. Oguri, M. Hou, and S. Zhang, “A Strong He II λ1640 Emitter with an Extremely Blue UV Spectral Slope at z = 8.16: Presence of Population III Stars?,” ApJ 967 no. 2, (June, 2024) L42, arXiv:2212.04476 [astro-ph.GA].
  • [2564] M. Neeleman et al., “Resolved [CII] Emission from z>6 Quasar Host – Companion Galaxy Pairs,” arXiv:1907.02536 [astro-ph.GA].
  • [2565] M. A. Stone, J. Lyu, G. H. Rieke, S. Alberts, and K. N. Hainline, “Undermassive Host Galaxies of Five z ∼ 6 Luminous Quasars Detected with JWST,” ApJ 964 no. 1, (Mar., 2024) 90, arXiv:2310.18395 [astro-ph.GA].
  • [2566] Y. Harikane, Y. Zhang, K. Nakajima, M. Ouchi, Y. Isobe, Y. Ono, S. Hatano, Y. Xu, and H. Umeda, “A JWST/NIRSpec First Census of Broad-line AGNs at z = 4-7: Detection of 10 Faint AGNs with M BH 106 -108 M ⊙ and Their Host Galaxy Properties,” ApJ 959 no. 1, (Dec., 2023) 39, arXiv:2303.11946 [astro-ph.GA].
  • [2567] X. Ding, M. Onoue, J. D. Silverman, Y. Matsuoka, T. Izumi, M. A. Strauss, K. Jahnke, C. L. Phillips, J. Li, M. Volonteri, Z. Haiman, I. T. Andika, K. Aoki, S. Baba, R. Bieri, S. E. I. Bosman, C. Bottrell, A.-C. Eilers, S. Fujimoto, M. Habouzit, M. Imanishi, K. Inayoshi, K. Iwasawa, N. Kashikawa, T. Kawaguchi, K. Kohno, C.-H. Lee, A. Lupi, J. Lyu, T. Nagao, R. Overzier, J.-T. Schindler, M. Schramm, K. Shimasaku, Y. Toba, B. Trakhtenbrot, M. Trebitsch, T. Treu, H. Umehata, B. P. Venemans, M. Vestergaard, F. Walter, F. Wang, and J. Yang, “Detection of stellar light from quasar host galaxies at redshifts above 6,” Nature 621 no. 7977, (Sept., 2023) 51–55, arXiv:2211.14329 [astro-ph.GA].
  • [2568] E. Pezzulli, M. Volonteri, R. Schneider, and R. Valiante, “The sustainable growth of the first black holes,” Mon. Not. Roy. Astron. Soc. 471 no. 1, (2017) 589–595, arXiv:1706.06592 [astro-ph.GA].
  • [2569] J. A. Regan, T. P. Downes, M. Volonteri, R. Beckmann, A. Lupi, M. Trebitsch, and Y. Dubois, “Super-Eddington accretion and feedback from the first massive seed black holes,” MNRAS 486 no. 3, (July, 2019) 3892–3906, arXiv:1811.04953 [astro-ph.GA].
  • [2570] W. Massonneau, Y. Dubois, M. Volonteri, and R. S. Beckmann, “How the super-Eddington regime affects black hole spin evolution in high-redshift galaxies,” Astron. Astrophys. 669 (2023) A143, arXiv:2209.01369 [astro-ph.GA]. – 734 –
  • [2571] A. Lupi, G. Quadri, M. Volonteri, M. Colpi, and J. A. Regan, “Sustained super-Eddington accretion in high-redshift quasars,” Astron. Astrophys. 686 (2024) A256, arXiv:2312.08422 [astro-ph.GA].
  • [2572] A. Lupi, M. Volonteri, R. Decarli, S. Bovino, J. Silk, and J. Bergeron, “High-redshift quasars and their host galaxies – I. Kinematical and dynamical properties and their tracers,” Mon. Not. Roy. Astron. Soc. 488 no. 3, (2019) 4004–4022, arXiv:1901.02464 [astro-ph.GA].
  • [2573] R. Genzel, F. Eisenhauer, and S. Gillessen, “The Galactic Center Massive Black Hole and Nuclear Star Cluster,” Rev. Mod. Phys. 82 (2010) 3121–3195, arXiv:1006.0064 [astro-ph.GA].
  • [2574] Event Horizon Telescope Collaboration, K. Akiyama et al., “First Sagittarius A* Event Horizon Telescope Results. I. The Shadow of the Supermassive Black Hole in the Center of the Milky Way,” Astrophys. J. Lett. 930 no. 2, (2022) L12, arXiv:2311.08680 [astro-ph.HE].
  • [2575] Event Horizon Telescope Collaboration, K. Akiyama et al., “First M87 Event Horizon Telescope Results. V. Physical Origin of the Asymmetric Ring,” Astrophys. J. Lett. 875 no. 1, (2019) L5, arXiv:1906.11242 [astro-ph.GA].
  • [2576] LIGO Scientific, Virgo Collaboration, T. D. Abbott et al., “Improved analysis of GW150914 using a fully spin-precessing waveform Model,” Phys. Rev. X 6 no. 4, (2016) 041014, arXiv:1606.01210 [gr-qc].
  • [2577] D. Sijacki, M. Vogelsberger, S. Genel, V. Springel, P. Torrey, G. F. Snyder, D. Nelson, and L. Hernquist, “The Illustris simulation: the evolving population of black holes across cosmic time,” Mon. Not. Roy. Astron. Soc. 452 no. 1, (2015) 575–596, arXiv:1408.6842 [astro-ph.GA].
  • [2578] R. Weinberger, V. Springel, L. Hernquist, A. Pillepich, F. Marinacci, R. Pakmor, D. Nelson, S. Genel, M. Vogelsberger, J. Naiman, and P. Torrey, “Simulating galaxy formation with black hole driven thermal and kinetic feedback,” MNRAS 465 no. 3, (Mar., 2017) 3291–3308, arXiv:1607.03486 [astro-ph.GA].
  • [2579] R. Davé, D. Anglés-Alcázar, D. Narayanan, Q. Li, M. H. Rafieferantsoa, and S. Appleby, “Simba: Cosmological Simulations with Black Hole Growth and Feedback,” Mon. Not. Roy. Astron. Soc. 486 no. 2, (2019) 2827–2849, arXiv:1901.10203 [astro-ph.GA].
  • [2580] S. McAlpine, R. G. Bower, D. J. Rosario, R. A. Crain, J. Schaye, and T. Theuns, “The rapid growth phase of supermassive black holes,” Mon. Not. Roy. Astron. Soc. 481 no. 3, (2018) 3118–3128, arXiv:1805.08293 [astro-ph.GA].
  • [2581] A. Merloni and S. Heinz, “A synthesis model for AGN evolution: supermassive black holes growth and feedback modes,” Mon. Not. Roy. Astron. Soc. 388 (2008) 1011, arXiv:0805.2499 [astro-ph].
  • [2582] F. Shankar, D. H. Weinberg, and J. Miralda-Escude, “Self-Consistent Models of the AGN and Black Hole Populations: Duty Cycles, Accretion Rates, and the Mean Radiative Efficiency,” Astrophys. J. 690 (2009) 20–41, arXiv:0710.4488 [astro-ph].
  • [2583] D. Izquierdo-Villalba, M. Colpi, M. Volonteri, D. Spinoso, S. Bonoli, and A. Sesana, “Properties and merger signatures of galaxies hosting LISA coalescing massive black hole binaries,” Astron. Astrophys. 677 (2023) A123, arXiv:2305.16410 [astro-ph.GA].
  • [2584] D. Gerosa and M. Fishbach, “Hierarchical mergers of stellar-mass black holes and their gravitational-wave signatures,” Nature Astronomy 5 (July, 2021) 749–760, arXiv:2105.03439 [astro-ph.HE].
  • [2585] J. Regan and M. Volonteri, “Massive Black Hole Seeds,” Open J. Astrophys. 7 (2024) 123239, arXiv:2405.17975 [astro-ph.GA]. – 735 –
  • [2586] R. Valiante, R. Schneider, M. Volonteri, and K. Omukai, “From the first stars to the first black holes,” MNRAS 457 no. 3, (Apr., 2016) 3356–3371, arXiv:1601.07915 [astro-ph.GA].
  • [2587] A. Ricarte and P. Natarajan, “Exploring SMBH Assembly with Semi-analytic Modelling,” Mon. Not. Roy. Astron. Soc. 474 no. 2, (2018) 1995–2011, arXiv:1710.11532 [astro-ph.HE].
  • [2588] F. Sassano, R. Schneider, R. Valiante, K. Inayoshi, S. Chon, K. Omukai, L. Mayer, and P. R. Capelo, “Light, medium-weight, or heavy? The nature of the first supermassive black hole seeds,” Mon. Not. Roy. Astron. Soc. 506 no. 1, (2021) 613–632, arXiv:2106.08330 [astro-ph.GA].
  • [2589] D. Spinoso, S. Bonoli, R. Valiante, R. Schneider, and D. Izquierdo-Villalba, “Multi-flavour SMBH seeding and evolution in cosmological environments,” arXiv:2203.13846 [astro-ph.GA].
  • [2590] R. Schneider, R. Valiante, A. Trinca, L. Graziani, M. Volonteri, and R. Maiolino, “Are we surprised to find SMBHs with JWST at z ≥ 9?,” Mon. Not. Roy. Astron. Soc. 526 no. 3, (2023) 3250–3261, arXiv:2305.12504 [astro-ph.GA].
  • [2591] E. Barausse, V. Cardoso, and P. Pani, “Environmental Effects for Gravitational-wave Astrophysics,” J. Phys. Conf. Ser. 610 no. 1, (2015) 012044, arXiv:1404.7140 [astro-ph.CO].
  • [2592] N. Davari, I. T. e. Melo, D. Rozza, D. Dell’Aquila, D. D’Urso, S. Anzuinelli, L. Pesenti, and V. Sipala, “Analytical study of the merging rate of low-mass intermediate-mass black holes in preparation for the future Einstein Telescope,” Astron. Astrophys. 692 (2024) A85.
  • [2593] M. Volonteri, F. Haardt, and P. Madau, “The Assembly and Merging History of Supermassive Black Holes in Hierarchical Models of Galaxy Formation,” ApJ 582 (Jan., 2003) 559–573, astro-ph/0207276.
  • [2594] A. Sesana, M. Volonteri, and F. Haardt, “The imprint of massive black hole formation models on the LISA data stream,” MNRAS 377 no. 4, (June, 2007) 1711–1716, arXiv:astro-ph/0701556 [astro-ph].
  • [2595] E. Barausse, V. Morozova, and L. Rezzolla, “On the Mass Radiated by Coalescing Black Hole Binaries,” ApJ 758 (Oct., 2012) 63, arXiv:1206.3803 [gr-qc].
  • [2596] E. Barausse, I. Dvorkin, M. Tremmel, M. Volonteri, and M. Bonetti, “Massive Black Hole Merger Rates: The Effect of Kiloparsec Separation Wandering and Supernova Feedback,” Astrophys. J. 904 no. 1, (2020) 16, arXiv:2006.03065 [astro-ph.GA].
  • [2597] A. Ricarte and P. Natarajan, “Exploring SMBH assembly with semi-analytic modelling,” MNRAS 474 no. 2, (Feb., 2018) 1995–2011, arXiv:1710.11532 [astro-ph.HE].
  • [2598] A. Spadaro, R. Buscicchio, D. Izquierdo-Villalba, D. Gerosa, A. Klein, and G. Pratten, “Stars or gas? Constraining the hardening processes of massive black-hole binaries with LISA,” arXiv:2409.13011 [astro-ph.HE].
  • [2599] M. C. Begelman, M. Volonteri, and M. J. Rees, “Formation of supermassive black holes by direct collapse in pregalactic halos,” Mon. Not. Roy. Astron. Soc. 370 (2006) 289–298, arXiv:astro-ph/0602363.
  • [2600] P. Madau and M. J. Rees, “Massive black holes as Population III remnants,” Astrophys. J. Lett. 551 (2001) L27–L30, arXiv:astro-ph/0101223.
  • [2601] A. Cozzumbo, B. Mestichelli, M. Mirabile, L. Paiella, J. Tissino, and J. Harms, “Opportunities and limits of lunar gravitational-wave detection,” arXiv:2309.15160 [astro-ph.IM]. – 736 –
  • [2602] K. Jani, D. Shoemaker, and C. Cutler, “Detectability of intermediate-mass black holes in multiband gravitational wave astronomy,” Nature Astronomy 4 (Nov., 2019) 260–265, arXiv:1908.04985 [gr-qc].
  • [2603] A. Lewis, “GetDist: a Python package for analysing Monte Carlo samples,” arXiv:1910.13970 [astro-ph.IM].
  • [2604] S. Kuroyanagi, T. Chiba, and T. Takahashi, “Probing the Universe through the Stochastic Gravitational Wave Background,” JCAP 11 (2018) 038, arXiv:1807.00786 [astro-ph.CO].
  • [2605] A. Marriott-Best, D. Chowdhury, A. Ghoshal, and G. Tasinato, “Exploring cosmological gravitational wave backgrounds through the synergy of LISA and ET,” arXiv:2409.02886 [astro-ph.CO].
  • [2606] M. Hindmarsh, S. J. Huber, K. Rummukainen, and D. J. Weir, “Gravitational waves from the sound of a first order phase transition,” Phys. Rev. Lett. 112 (2014) 041301, arXiv:1304.2433 [hep-ph].
  • [2607] M. Hindmarsh, S. J. Huber, K. Rummukainen, and D. J. Weir, “Numerical simulations of acoustically generated gravitational waves at a first order phase transition,” Phys. Rev. D 92 no. 12, (2015) 123009, arXiv:1504.03291 [astro-ph.CO].
  • [2608] A. Kosowsky, A. Mack, and T. Kahniashvili, “Gravitational radiation from cosmological turbulence,” Phys. Rev. D 66 (2002) 024030, arXiv:astro-ph/0111483.
  • [2609] A. D. Dolgov, D. Grasso, and A. Nicolis, “Relic backgrounds of gravitational waves from cosmic turbulence,” Phys. Rev. D 66 (2002) 103505, arXiv:astro-ph/0206461.
  • [2610] C. Caprini, R. Durrer, and G. Servant, “The stochastic gravitational wave background from turbulence and magnetic fields generated by a first-order phase transition,” JCAP 12 (2009) 024, arXiv:0909.0622 [astro-ph.CO].
  • [2611] LISA Cosmology Working Group Collaboration, J. J. Blanco-Pillado, Y. Cui, S. Kuroyanagi, M. Lewicki, G. Nardini, M. Pieroni, I. Y. Rybak, L. Sousa, and J. M. Wachter, “Gravitational waves from cosmic strings in LISA: reconstruction pipeline and physics interpretation,” arXiv:2405.03740 [astro-ph.CO].
  • [2612] S. Endlich, A. Nicolis, and J. Wang, “Solid Inflation,” JCAP 10 (2013) 011, arXiv:1210.0569 [hep-th].
  • [2613] D. Cannone, G. Tasinato, and D. Wands, “Generalised tensor fluctuations and inflation,” JCAP 01 (2015) 029, arXiv:1409.6568 [astro-ph.CO].
  • [2614] N. Bartolo, D. Cannone, A. Ricciardone, and G. Tasinato, “Distinctive signatures of space-time diffeomorphism breaking in EFT of inflation,” JCAP 03 (2016) 044, arXiv:1511.07414 [astro-ph.CO].
  • [2615] J. Ellis, M. Fairbairn, G. Franciolini, G. Hütsi, A. Iovino, M. Lewicki, M. Raidal, J. Urrutia, V. Vaskonen, and H. Veermäe, “What is the source of the PTA GW signal?,” Phys. Rev. D 109 no. 2, (2024) 023522, arXiv:2308.08546 [astro-ph.CO].
  • [2616] P. D. Lasky et al., “Gravitational-wave cosmology across 29 decades in frequency,” Phys. Rev. X 6 no. 1, (2016) 011035, arXiv:1511.05994 [astro-ph.CO].
  • [2617] NANOGrav Collaboration, G. Agazie et al., “The NANOGrav 15 yr Data Set: Evidence for a Gravitational-wave Background,” Astrophys. J. Lett. 951 no. 1, (2023) L8, arXiv:2306.16213 [astro-ph.HE].
  • [2618] EPTA, InPTA: Collaboration, J. Antoniadis et al., “The second data release from the European Pulsar Timing Array - III. Search for gravitational wave signals,” Astron. Astrophys. 678 (2023) A50, arXiv:2306.16214 [astro-ph.HE]. – 737 –
  • [2619] D. J. Reardon et al., “Search for an Isotropic Gravitational-wave Background with the Parkes Pulsar Timing Array,” Astrophys. J. Lett. 951 no. 1, (2023) L6, arXiv:2306.16215 [astro-ph.HE].
  • [2620] H. Xu et al., “Searching for the Nano-Hertz Stochastic Gravitational Wave Background with the Chinese Pulsar Timing Array Data Release I,” Res. Astron. Astrophys. 23 no. 7, (2023) 075024, arXiv:2306.16216 [astro-ph.HE].
  • [2621] International Pulsar Timing Array Collaboration, G. Agazie et al., “Comparing recent PTA results on the nanohertz stochastic gravitational wave background,” arXiv:2309.00693 [astro-ph.HE].
  • [2622] D. G. Figueroa, M. Pieroni, A. Ricciardone, and P. Simakachorn, “Cosmological Background Interpretation of Pulsar Timing Array Data,” Phys. Rev. Lett. 132 no. 17, (2024) 171002, arXiv:2307.02399 [astro-ph.CO].
  • [2623] LIGO Scientific, Virgo Collaboration, B. P. Abbott et al., “GW190425: Observation of a Compact Binary Coalescence with Total Mass ∼ 3.4M⊙,” Astrophys. J. Lett. 892 no. 1, (2020) L3, arXiv:2001.01761 [astro-ph.HE].
  • [2624] LIGO Scientific, KAGRA, VIRGO Collaboration, R. Abbott et al., “Observation of Gravitational Waves from Two Neutron Star–Black Hole Coalescences,” Astrophys. J. Lett. 915 no. 1, (2021) L5, arXiv:2106.15163 [astro-ph.HE].
  • [2625] B. Patricelli, M. G. Bernardini, M. Mapelli, P. D’Avanzo, F. Santoliquido, G. Cella, M. Razzano, and E. Cuoco, “Prospects for multimessenger detection of binary neutron star mergers in the fourth LIGO–Virgo–KAGRA observing run,” Mon. Not. Roy. Astron. Soc. 513 no. 3, (2022) 4159–4168, arXiv:2204.12504 [astro-ph.HE]. [Erratum: Mon.Not.Roy.Astron.Soc. 514, 3395 (2022)].
  • [2625] B. Patricelli, M. G. Bernardini, M. Mapelli, P. D’Avanzo, F. Santoliquido, G. Cella, M. Razzano, and E. Cuoco, “Prospects for multimessenger detection of binary neutron star mergers in the fourth LIGO–Virgo–KAGRA observing run,” Mon. Not. Roy. Astron. Soc. 513 no. 3, (2022) 4159–4168, arXiv:2204.12504 [astro-ph.HE]. [Erratum: Mon.Not.Roy.Astron.Soc. 514, 3395 (2022)].
  • [2626] P. Petrov, L. P. Singer, M. W. Coughlin, V. Kumar, M. Almualla, S. Anand, M. Bulla, T. Dietrich, F. Foucart, and N. Guessoum, “Data-driven Expectations for Electromagnetic Counterpart Searches Based on LIGO/Virgo Public Alerts,” Astrophys. J. 924 no. 2, (2022) 54, arXiv:2108.07277 [astro-ph.HE].
  • [2627] S. Bhattacharjee, S. Banerjee, V. Bhalerao, P. Beniamini, S. Bose, K. Hotokezaka, A. Pai, M. Saleem, and G. Waratkar, “Joint gravitational wave-short GRB detection of binary neutron star mergers with existing and future facilities,” Mon. Not. Roy. Astron. Soc. 528 no. 3, (2024) 4255–4263, arXiv:2401.13636 [astro-ph.HE].
  • [2628] V. G. Shah, G. Narayan, H. M. L. Perkins, R. J. Foley, D. Chatterjee, B. Cousins, and P. Macias, “Predictions for electromagnetic counterparts to Neutron Star mergers discovered during LIGO-Virgo-KAGRA observing runs 4 and 5,” Mon. Not. Roy. Astron. Soc. 528 no. 2, (2024) 1109–1124, arXiv:2310.15240 [astro-ph.HE].
  • [2629] P. Fritschel, K. Kuns, J. Driggers, A. Effler, B. Lantz, D., Ottaway, S. Ballmer, K. Dooley, R. Adhikari, M. Evans, B. Farr, G. Gonzalez, P. Schmidt, and S. Raja, “Report from the LSC Post-O5 Study Group,” Tech. Rep. T2200287 (LIGO) (2022) .
  • [2630] M. Bailes et al., “Gravitational-wave physics and astronomy in the 2020s and 2030s,” Nature Rev. Phys. 3 no. 5, (2021) 344–366.
  • [2631] GSI Darmstadt Collaboration, “Gsi darmstadt fair facility.” https://www.gsi.de/en/start/fair/forschung_an_fair/kernmateriephysik.htm. Accessed on April 2, 2015, see https://doi.org/10.11588/heidok.00019205, Fig. 1.
  • [2632] P. Landry, R. Essick, and K. Chatziioannou, “Nonparametric constraints on neutron star matter with existing and upcoming gravitational wave and pulsar observations,” Phys. Rev. D 101 no. 12, (2020) 123007, arXiv:2003.04880 [astro-ph.HE].
  • [2633] I. Tews, J. Margueron, and S. Reddy, “Critical examination of constraints on the equation of – 738 – state of dense matter obtained from GW170817,” Phys. Rev. C 98 no. 4, (2018) 045804, arXiv:1804.02783 [nucl-th].
  • [2634] R. Essick, P. Landry, A. Schwenk, and I. Tews, “Detailed examination of astrophysical constraints on the symmetry energy and the neutron skin of Pb208 with minimal modeling assumptions,” Phys. Rev. C 104 no. 6, (2021) 065804, arXiv:2107.05528 [nucl-th].
  • [2635] R. Essick, I. Tews, P. Landry, and A. Schwenk, “Astrophysical Constraints on the Symmetry Energy and the Neutron Skin of Pb208 with Minimal Modeling Assumptions,” Phys. Rev. Lett. 127 no. 19, (2021) 192701, arXiv:2102.10074 [nucl-th].
  • [2636] E. Annala, T. Gorda, A. Kurkela, and A. Vuorinen, “Gravitational-wave constraints on the neutron-star-matter Equation of State,” Phys. Rev. Lett. 120 no. 17, (2018) 172703, arXiv:1711.02644 [astro-ph.HE].
  • [2637] E. L. Oter, A. Windisch, F. J. Llanes-Estrada, and M. Alford, “nEoS: Neutron Star Equation of State from hadron physics alone,” J. Phys. G 46 no. 8, (2019) 084001, arXiv:1901.05271 [gr-qc].
  • [2638] O. Komoltsev and A. Kurkela, “How Perturbative QCD Constrains the Equation of State at Neutron-Star Densities,” Phys. Rev. Lett. 128 no. 20, (2022) 202701, arXiv:2111.05350 [nucl-th].
  • [2639] J. Margueron, R. Hoffmann Casali, and F. Gulminelli, “Equation of state for dense nucleonic matter from metamodeling. I. Foundational aspects,” Phys. Rev. C 97 no. 2, (2018) 025805, arXiv:1708.06894 [nucl-th].
  • [2640] N.-B. Zhang, B.-A. Li, and J. Xu, “Combined Constraints on the Equation of State of Dense Neutron-rich Matter from Terrestrial Nuclear Experiments and Observations of Neutron Stars,” Astrophys. J. 859 no. 2, (2018) 90, arXiv:1801.06855 [nucl-th].
  • [2641] N.-B. Zhang and B.-A. Li, “Implications of the Mass M = 2.17+0.11 −0.10M⊙ of PSR J0740+6620 on the Equation of State of Super-dense Neutron-rich Nuclear Matter,” Astrophys. J. 879 no. 2, (2019) 99, arXiv:1904.10998 [nucl-th].
  • [2642] C. Y. Tsang, M. B. Tsang, P. Danielewicz, W. G. Lynch, and F. J. Fattoyev, “Impact of the neutron-star deformability on equation of state parameters,” Phys. Rev. C 102 no. 4, (2020) 045808, arXiv:2009.05239 [nucl-th].
  • [2643] G. Fiorella Burgio and A. F. Fantina, “Nuclear Equation of state for Compact Stars and Supernovae,” Astrophys. Space Sci. Libr. 457 (2018) 255–335, arXiv:1804.03020 [nucl-th].
  • [2644] F. Gulminelli and A. F. Fantina, “The Equation of State of Neutron Stars and the Role of Nuclear Experiments,” Nucl. Phys. News 31 no. 2, (2021) 9–13, arXiv:2110.02616 [astro-ph.HE].
  • [2645] P. Char, C. Mondal, F. Gulminelli, and M. Oertel, “Generalized description of neutron star matter with a nucleonic relativistic density functional,” Phys. Rev. D 108 no. 10, (2023) 103045, arXiv:2307.12364 [nucl-th].
  • [2646] Y. Lim and J. W. Holt, “Bayesian modeling of the nuclear equation of state for neutron star tidal deformabilities and GW170817,” Eur. Phys. J. A 55 no. 11, (2019) 209, arXiv:1902.05502 [nucl-th].
  • [2647] M. Dutra, O. Lourenco, J. S. Sa Martins, A. Delfino, J. R. Stone, and P. D. Stevenson, “Skyrme Interaction and Nuclear Matter Constraints,” Phys. Rev. C 85 (2012) 035201, arXiv:1202.3902 [nucl-th].
  • [2648] C. Gonzalez-Boquera, M. Centelles, X. Viñas, and L. M. Robledo, “New Gogny interaction suitable for astrophysical applications,” Phys. Lett. B 779 (2018) 195–200, arXiv:1712.06735 [nucl-th]. – 739 –
  • [2649] M. Duan and M. Urban, “Energy and angle dependence of neutrino scattering rates in proto–neutron star and supernova matter within Skyrme RPA,” Phys. Rev. C 108 no. 2, (2023) 025813, arXiv:2305.09499 [nucl-th].
  • [2650] M. Dutra, O. Lourenço, S. S. Avancini, B. V. Carlson, A. Delfino, D. P. Menezes, C. Providência, S. Typel, and J. R. Stone, “Relativistic Mean-Field Hadronic Models under Nuclear Matter Constraints,” Phys. Rev. C 90 no. 5, (2014) 055203, arXiv:1405.3633 [nucl-th].
  • [2651] B. Y. Sun, W. H. Long, J. Meng, and U. Lombardo, “Neutron star properties in density-dependent relativistic Hartree-Fock theory,” Phys. Rev. C 78 (2008) 065805, arXiv:0910.4236 [nucl-th].
  • [2652] M. Fortin, C. Providencia, A. R. Raduta, F. Gulminelli, J. L. Zdunik, P. Haensel, and M. Bejger, “Neutron star radii and crusts: uncertainties and unified equations of state,” Phys. Rev. C 94 no. 3, (2016) 035804, arXiv:1604.01944 [astro-ph.SR].
  • [2653] S. Ghosh, D. Chatterjee, and J. Schaffner-Bielich, “Imposing multi-physics constraints at different densities on the neutron Star Equation of State,” Eur. Phys. J. A 58 no. 3, (2022) 37, arXiv:2107.09371 [astro-ph.HE].
  • [2654] M. V. Beznogov and A. R. Raduta, “Bayesian inference of the dense matter equation of state built upon covariant density functionals,” Phys. Rev. C 107 no. 4, (2023) 045803, arXiv:2212.07168 [nucl-th].
  • [2655] M. V. Beznogov and A. R. Raduta, “Bayesian Survey of the Dense Matter Equation of State built upon Skyrme effective interactions,” Astrophys. J. 966 (2024) 216, arXiv:2308.15351 [astro-ph.HE].
  • [2656] S. M. A. Imam, T. Malik, C. Providência, and B. K. Agrawal, “Implications of comprehensive nuclear and astrophysics data on the equations of state of neutron star matter,” Phys. Rev. D 109 no. 10, (2024) 103025, arXiv:2401.06018 [nucl-th].
  • [2657] V. Sagun, I. Lopes, and A. Ivanytskyi, “Neutron stars meet constraints from high and low energy nuclear physics,” Nucl. Phys. A 982 (2019) 883–886, arXiv:1810.04245 [astro-ph.HE].
  • [2658] V. V. Sagun, I. Lopes, and A. I. Ivanytskyi, “The induced surface tension contribution for the equation of state of neutron stars,” Astrophys. J. 871 no. 2, (2019) 157, arXiv:1805.04976 [astro-ph.HE].
  • [2659] M. Baldo, Nuclear Methods and The Nuclear Equation of State. World Scientific, Singapore, 1999.
  • [2660] R. Machleidt, Advances in Nuclear Physics, ch. The Meson Theory of Nuclear Forces and Nuclear Structure, pp. 189–376. Springer US, 1989.
  • [2661] P. M. M. Maessen, T. A. Rijken and J. J. de Swart, “Soft-core baryon-baryon one-boson-exchange models. II. Hyperon-nucleon potential,” Phys. Rev. C 40 (1989) 226.
  • [2662] J. Haidenbauer and U.-G. Meissner, “Jülich hyperon-nucleon model revisited,” Phys. Rev. C 72 (2005) 044005.
  • [2663] W. N. Cottingham, M. Lacombe, B. Loiseau, J. M. Richard, and R. Vinh Mau, “Nucleon nucleon interaction from pion nucleon phase shift analysis,” Phys. Rev. D 8 (1973) 800–819.
  • [2664] I. E. Lagaris and V. R. Pandharipande, “PHENOMENOLOGICAL TWO NUCLEON INTERACTION OPERATOR,” Nucl. Phys. A 359 (1981) 331–348.
  • [2665] R. B. Wiringa, V. G. J. Stoks, and R. Schiavilla, “An Accurate nucleon-nucleon potential with charge independence breaking,” Phys. Rev. C 51 (1995) 38–51, arXiv:nucl-th/9408016. – 740 –
  • [2666] S. Weinberg, “Nuclear forces from chiral Lagrangians,” Phys. Lett. B 251 (Nov., 1990) 288–292.
  • [2667] S. Weinberg, “Effective chiral Lagrangians for nucleon-pion interactions and nuclear forces,” Nucl. Phys. B 363 (Sept., 1991) 3–18.
  • [2668] E. Epelbaum, H.-W. Hammer, and U.-G. Meißner, “Modern theory of nuclear forces,” Rev. Mod. Phys. 81 (Oct., 2009) 1773–1825, arXiv:0811.1338 [nucl-th].
  • [2669] L. Kadanoff and G. Baym, Quantum Statistical Mechanics. W.A. Benjamin Inc., 1962.
  • [2670] W. H. Dickhoff and D. Van Neck, Many-Body Theory Exposed! Propagator Description of Quantum Mechanics in Many-Body Systems (2ND Edition). World Scientific Press, 2008.
  • [2671] A. Akmal, V. R. Pandharipande, and D. G. Ravenhall, “Equation of state of nucleon matter and neutron star structure,” Phys. Rev. C 58 (1998) 1804–1828, nucl-th/9804027.
  • [2672] S. Fantoni and A. Fabrocini, “Correlated basis function theory for fermion systems,” in Lecture Notes in Physics, Berlin Springer Verlag, J. Navarro and A. Polls, eds., vol. 510 of Lecture Notes in Physics, Berlin Springer Verlag, p. 119. 1998.
  • [2673] R. B. Wiringa, S. C. Pieper, J. Carlson, and V. R. Pandharipande, “Quantum monte carlo calculations of a = 8 nuclei,” Phys. Rev. C 62 (Jun, 2000) 014001. https://link.aps.org/doi/10.1103/PhysRevC.62.014001.
  • [2674] S. Gandolfi, A. Y. Illarionov, K. E. Schmidt, F. Pederiva, and S. Fantoni, “Quantum Monte Carlo calculation of the equation of state of neutron matter,” Phys. Rev. C 79 no. 5, (May, 2009) 054005, arXiv:0903.2610 [nucl-th].
  • [2675] J. M. Alarcón and J. A. Oller, “Nuclear matter from the ladder resummation in terms of the experimental nucleon-nucleon scattering amplitudes,” Phys. Rev. C 107 no. 4, (2023) 044319, arXiv:2212.05092 [nucl-th].
  • [2676] S. K. Bogner, R. J. Furnstahl, and A. Schwenk, “From low-momentum interactions to nuclear structure,” Prog. Part. Nucl. Phys. 65 (2010) 94–147, arXiv:0912.3688 [nucl-th].
  • [2677] C. Drischler, J. W. Holt, and C. Wellenhofer, “Chiral Effective Field Theory and the High-Density Nuclear Equation of State,” Ann. Rev. Nucl. Part. Sci. 71 (2021) 403–432, arXiv:2101.01709 [nucl-th].
  • [2678] M. Oertel, M. Hempel, T. Klähn, and S. Typel, “Equations of state for supernovae and compact stars,” Rev. Mod. Phys. 89 no. 1, (2017) 015007, arXiv:1610.03361 [astro-ph.HE].
  • [2679] G. F. Burgio, H.-J. Schulze, I. Vidaña, and J.-B. Wei, “Neutron stars and the nuclear equation of state,” Prog. Part. Nucl. Phys. 120 (2021) 103879, arXiv:2105.03747 [nucl-th].
  • [2680] N. K. Glendenning, “Neutron Stars Are Giant Hypernuclei?,” Astrophys. J. 293 (1985) 470–493.
  • [2681] S. Maedan, “Influence of current mass on the spatially inhomogeneous chiral condensate,” Prog. Theor. Phys. 123 (2010) 285–302, arXiv:0908.0594 [hep-ph].
  • [2682] M. Oertel, C. Providência, F. Gulminelli, and A. R. Raduta, “Hyperons in neutron star matter within relativistic mean-field models,” J. Phys. G 42 no. 7, (2015) 075202, arXiv:1412.4545 [nucl-th].
  • [2683] D. Chatterjee and I. Vidaña, “Do hyperons exist in the interior of neutron stars?,” Eur. Phys. J. A 52 (2016) 29.
  • [2684] L. Tolos, M. Centelles, and A. Ramos, “Equation of State for Nucleonic and Hyperonic Neutron Stars with Mass and Radius Constraints,” Astrophys. J. 834 no. 1, (2017) 3, arXiv:1610.00919 [astro-ph.HE]. – 741 –
  • [2685] M. Fortin, S. S. Avancini, C. Providência, and I. Vidaña, “Hypernuclei and massive neutron stars,” Phys. Rev. C 95 no. 6, (2017) 065803, arXiv:1701.06373 [nucl-th].
  • [2686] A. Sedrakian, J.-J. Li, and F. Weber, “Heavy baryons in compact stars,” Prog. Part. Nucl. Phys. 131 (2023) 104041, arXiv:2212.01086 [nucl-th].
  • [2687] A. R. Raduta, “∆-admixed neutron stars: Spinodal instabilities and dUrca processes,” Phys. Lett. B 814 (2021) 136070, arXiv:2101.03718 [nucl-th].
  • [2688] A. Gal, E. V. Hungerford, and D. J. Millener, “Strangeness in nuclear physics,” Rev. Mod. Phys. 88 no. 3, (2016) 035004, arXiv:1605.00557 [nucl-th].
  • [2689] A. Drago, A. Lavagno, G. Pagliara, and D. Pigato, “Early appearance of ∆ isobars in neutron stars,” Phys. Rev. C 90 no. 6, (2014) 065809, arXiv:1407.2843 [astro-ph.SR].
  • [2690] S. Weissenborn, D. Chatterjee, and J. Schaffner-Bielich, “Hyperons and massive neutron stars: the role of hyperon potentials,” Nucl. Phys. A 881 (2012) 62–77, arXiv:1111.6049 [astro-ph.HE].
  • [2691] S. Weissenborn, D. Chatterjee, and J. Schaffner-Bielich, “Hyperons and massive neutron stars: vector repulsion and SU(3) symmetry,” Phys. Rev. C 85 no. 6, (2012) 065802, arXiv:1112.0234 [astro-ph.HE]. [Erratum: Phys.Rev.C 90, 019904 (2014)].
  • [2691] S. Weissenborn, D. Chatterjee, and J. Schaffner-Bielich, “Hyperons and massive neutron stars: vector repulsion and SU(3) symmetry,” Phys. Rev. C 85 no. 6, (2012) 065802, arXiv:1112.0234 [astro-ph.HE]. [Erratum: Phys.Rev.C 90, 019904 (2014)].
  • [2692] M. G. Alford, K. Rajagopal, and F. Wilczek, “QCD at finite baryon density: Nucleon droplets and color superconductivity,” Phys. Lett. B 422 (1998) 247–256, arXiv:hep-ph/9711395.
  • [2693] C. Manuel and M. H. G. Tytgat, “Masses of the Goldstone modes in the CFL phase of QCD at finite density,” Phys. Lett. B 479 (2000) 190–200, arXiv:hep-ph/0001095.
  • [2694] M. G. Alford, S. Han, and M. Prakash, “Generic conditions for stable hybrid stars,” Phys. Rev. D 88 no. 8, (2013) 083013, arXiv:1302.4732 [astro-ph.SR].
  • [2695] J. L. Zdunik and P. Haensel, “Maximum mass of neutron stars and strange neutron-star cores,” Astron. Astrophys. 551 (2013) A61, arXiv:1211.1231 [astro-ph.SR].
  • [2696] D. Blaschke and N. Chamel, “Phases of dense matter in compact stars,” Astrophys. Space Sci. Libr. 457 (2018) 337–400, arXiv:1803.01836 [nucl-th].
  • [2697] L. McLerran and S. Reddy, “Quarkyonic Matter and Neutron Stars,” Phys. Rev. Lett. 122 no. 12, (2019) 122701, arXiv:1811.12503 [nucl-th].
  • [2698] J. Margueron, H. Hansen, P. Proust, and G. Chanfray, “Quarkyonic stars with isospin-flavor asymmetry,” Phys. Rev. C 104 no. 5, (2021) 055803, arXiv:2103.10209 [nucl-th].
  • [2699] R. Somasundaram and J. Margueron, “Impact of massive neutron star radii on the nature of phase transitions in dense matter,” EPL 138 no. 1, (2022) 14002, arXiv:2104.13612 [astro-ph.HE].
  • [2700] C. Hoyos, N. Jokela, and A. Vuorinen, “Holographic approach to compact stars and their binary mergers,” Prog. Part. Nucl. Phys. 126 (2022) 103972, arXiv:2112.08422 [hep-th].
  • [2701] N. Kovensky, A. Poole, and A. Schmitt, “Building a realistic neutron star from holography,” Phys. Rev. D 105 no. 3, (2022) 034022, arXiv:2111.03374 [hep-ph].
  • [2702] E. S. Fraga, A. Kurkela, and A. Vuorinen, “Interacting quark matter equation of state for compact stars,” Astrophys. J. Lett. 781 no. 2, (2014) L25, arXiv:1311.5154 [nucl-th].
  • [2703] M. Järvinen, “Holographic modeling of nuclear matter and neutron stars,” Eur. Phys. J. C 82 no. 4, (2022) 282, arXiv:2110.08281 [hep-ph].
  • [2704] C. Hoyos, D. Rodrı́guez Fernández, N. Jokela, and A. Vuorinen, “Holographic quark matter and neutron stars,” Phys. Rev. Lett. 117 no. 3, (2016) 032501, arXiv:1603.02943 [hep-ph]. – 742 –
  • [2705] K. Otto, M. Oertel, and B.-J. Schaefer, “Hybrid and quark star matter based on a nonperturbative equation of state,” Phys. Rev. D 101 no. 10, (2020) 103021, arXiv:1910.11929 [hep-ph].
  • [2706] K. Otto, M. Oertel, and B.-J. Schaefer, “Nonperturbative quark matter equations of state with vector interactions,” Eur. Phys. J. ST 229 no. 22-23, (2020) 3629–3649, arXiv:2007.07394 [hep-ph].
  • [2707] M. Leonhardt, M. Pospiech, B. Schallmo, J. Braun, C. Drischler, K. Hebeler, and A. Schwenk, “Symmetric nuclear matter from the strong interaction,” Phys. Rev. Lett. 125 no. 14, (2020) 142502, arXiv:1907.05814 [nucl-th].
  • [2708] C. J. Horowitz, D. K. Berry, C. M. Briggs, M. E. Caplan, A. Cumming, and A. S. Schneider, “Disordered nuclear pasta, magnetic field decay, and crust cooling in neutron stars,” Phys. Rev. Lett. 114 no. 3, (2015) 031102, arXiv:1410.2197 [astro-ph.HE].
  • [2709] J. A. Pons, D. Vigano’, and N. Rea, “A highly resistive layer within the crust of X-ray pulsars limits their spin periods,” Nature Phys. 9 (2013) 431–434, arXiv:1304.6546 [astro-ph.SR].
  • [2710] M. Gearheart, W. G. Newton, J. Hooker, and B.-A. Li, “Upper limits on the observational effects of nuclear pasta in neutron stars,” Mon. Not. Roy. Astron. Soc. 418 (2011) 2343–2349, arXiv:1106.4875 [astro-ph.SR].
  • [2711] B. Haskell and A. Sedrakian, “Superfluidity and Superconductivity in Neutron Stars,” Astrophys. Space Sci. Libr. 457 (2018) 401–454, arXiv:1709.10340 [astro-ph.HE].
  • [2712] D. G. Ravenhall, C. J. Pethick, and J. R. Wilson, “Structure of matter below nuclear saturation density,” Phys. Rev. Lett. 50 (Jun, 1983) 2066–2069.
  • [2713] J. W. Negele and D. Vautherin, “Neutron star matter at subnuclear densities,” Nucl. Phys. A 207 (1973) 298–320.
  • [2714] F. Grill, J. Margueron, and N. Sandulescu, “The Cluster structure of the inner crust of neutron stars in the Hartree-Fock-Bogoliubov approach,” Phys. Rev. C 84 (2011) 065801, arXiv:1107.4275 [nucl-th].
  • [2715] H. Pais and J. R. Stone, “Exploring the Nuclear Pasta Phase in Core-Collapse Supernova Matter,” Phys. Rev. Lett. 109 (2012) 151101.
  • [2716] F. J. Fattoyev, C. J. Horowitz, and B. Schuetrumpf, “Quantum Nuclear Pasta and Nuclear Symmetry Energy,” Phys. Rev. C 95 no. 5, (2017) 055804, arXiv:1703.01433 [nucl-th].
  • [2717] G. Baym, H. A. Bethe, and C. Pethick, “Neutron star matter,” Nucl. Phys. A 175 (1971) 225–271.
  • [2718] G. Baym, C. Pethick, and P. Sutherland, “The Ground state of matter at high densities: Equation of state and stellar models,” Astrophys. J. 170 (1971) 299–317.
  • [2719] F. Douchin and P. Haensel, “A unified equation of state of dense matter and neutron star structure,” Astron. Astrophys. 380 (2001) 151, arXiv:astro-ph/0111092.
  • [2720] Y. Lim and J. W. Holt, “Structure of neutron star crusts from new Skyrme effective interactions constrained by chiral effective field theory,” Phys. Rev. C 95 no. 6, (2017) 065805, arXiv:1702.02898 [nucl-th].
  • [2721] F. Gulminelli and A. R. Raduta, “Unified treatment of subsaturation stellar matter at zero and finite temperature,” Phys. Rev. C 92 no. 5, (2015) 055803, arXiv:1504.04493 [nucl-th].
  • [2722] T. Carreau, F. Gulminelli, N. Chamel, A. F. Fantina, and J. M. Pearson, “Crystallization of the inner crust of a neutron star and the influence of shell effects,” Astron. Astrophys. 635 (2020) A84, arXiv:1912.01265 [astro-ph.HE]. – 743 –
  • [2723] L. E. Balliet, W. G. Newton, S. Cantu, and S. Budimir, “Prior Probability Distributions of Neutron Star Crust Models,” Astrophys. J. 918 no. 2, (2021) 79, arXiv:2009.07696 [astro-ph.HE].
  • [2724] H. Dinh Thi, A. F. Fantina, and F. Gulminelli, “The proto-neutron star inner crust in a multi-component plasma approach,” Astron. Astrophys. 677 (2023) A174, arXiv:2309.01527 [astro-ph.HE].
  • [2725] G. Grams, R. Somasundaram, J. Margueron, and S. Reddy, “Properties of the neutron star crust: Quantifying and correlating uncertainties with improved nuclear physics,” Phys. Rev. C 105 no. 3, (2022) 035806, arXiv:2110.00441 [nucl-th].
  • [2726] L. Scurto, H. Pais, and F. Gulminelli, “Strong magnetic fields and pasta phases reexamined,” Phys. Rev. C 107 no. 4, (2023) 045806, arXiv:2212.09355 [nucl-th].
  • [2727] B. K. Sharma, M. Centelles, X. Viñas, M. Baldo, and G. F. Burgio, “Unified equation of state for neutron stars on a microscopic basis,” Astron. Astrophys. 584 (2015) A103, arXiv:1506.00375 [nucl-th].
  • [2728] M. Shelley and A. Pastore, “Systematic analysis of inner crust composition using the extended Thomas-Fermi approximation with pairing correlations,” Phys. Rev. C 103 no. 3, (2021) 035807, arXiv:2104.02408 [nucl-th].
  • [2729] J. M. Pearson, N. Chamel, A. Y. Potekhin, A. F. Fantina, C. Ducoin, A. K. Dutta, and S. Goriely, “Unified equations of state for cold non-accreting neutron stars with Brussels–Montreal functionals – I. Role of symmetry energy,” Mon. Not. Roy. Astron. Soc. 481 no. 3, (2018) 2994–3026, arXiv:1903.04981 [astro-ph.HE]. [Erratum: Mon.Not.Roy.Astron.Soc. 486, 768 (2019)].
  • [2729] J. M. Pearson, N. Chamel, A. Y. Potekhin, A. F. Fantina, C. Ducoin, A. K. Dutta, and S. Goriely, “Unified equations of state for cold non-accreting neutron stars with Brussels–Montreal functionals – I. Role of symmetry energy,” Mon. Not. Roy. Astron. Soc. 481 no. 3, (2018) 2994–3026, arXiv:1903.04981 [astro-ph.HE]. [Erratum: Mon.Not.Roy.Astron.Soc. 486, 768 (2019)].
  • [2730] J. M. Pearson and N. Chamel, “Unified equations of state for cold nonaccreting neutron stars with Brussels-Montreal functionals. III. Inclusion of microscopic corrections to pasta phases,” Phys. Rev. C 105 no. 1, (2022) 015803.
  • [2731] N. N. Shchechilin, J. M. Pearson, and N. Chamel, “Nuclear Pasta in Cold Non-Accreting Neutron Stars: Symmetry Energy Effects,” Phys. Sci. Forum 7 no. 1, (2023) 10.
  • [2732] F. Sebille, V. de la Mota, and S. Figerou, “Probing the microscopic nuclear matter self-organization processes in the neutron star crust,” Phys. Rev. C 84 (2011) 055801.
  • [2733] D. Barba-González, C. Albertus, and M. A. Pérez-Garcı́a, “Crystallization in single- and multicomponent neutron star crusts,” Phys. Rev. C 106 (Dec, 2022) 065806. https://link.aps.org/doi/10.1103/PhysRevC.106.065806.
  • [2734] D. Barba-González, C. Albertus, and M. Ángeles Pérez-Garcı́a, “Virialized equation of state for warm and dense stellar plasmas in proto-neutron stars and Supernova matter,” arXiv:2312.16252 [astro-ph.HE].
  • [2735] R. Nandi and S. Schramm, “Transport Properties of the Nuclear Pasta Phase with Quantum Molecular Dynamics,” Astrophys. J. 852 no. 2, (2018) 135, arXiv:1709.09793 [astro-ph.HE].
  • [2736] T. Maruyama, G. Watanabe, and S. Chiba, “Molecular Dynamics for Dense Matter,” PTEP 2012 (2012) 01A201, arXiv:1207.1160 [nucl-th].
  • [2737] P. Mehta, R. Nandi, R. d. O. Gomes, V. Dexheimer, and J. Steinheimer, “Low Density Neutron Star Matter with Quantum Molecular Dynamics: The Role of Isovector Interactions,” Universe 8 no. 7, (2022) 380, arXiv:2110.08916 [nucl-th].
  • [2738] P. Haensel, A. Y. Potekhin, and D. G. Yakovlev, Neutron stars 1: Equation of state and structure, vol. 326. Springer, New York, USA, 2007.
  • [2739] N. Chamel and P. Haensel, “Physics of Neutron Star Crusts,” Living Rev. Rel. 11 (2008) 10, arXiv:0812.3955 [astro-ph]. – 744 –
  • [2740] CompOSE Core Team Collaboration, S. Typel et al., “CompOSE Reference Manual,” Eur. Phys. J. A 58 no. 11, (2022) 221, arXiv:2203.03209 [astro-ph.HE].
  • [2741] M. Ferreira and C. Providência, “Neutron Star Properties: Quantifying the Effect of the Crust–Core Matching Procedure,” Universe 6 no. 11, (2020) 220.
  • [2742] L. Suleiman, M. Fortin, J. L. Zdunik, and P. Haensel, “Influence of the crust on the neutron star macrophysical quantities and universal relations,” Phys. Rev. C 104 no. 1, (2021) 015801, arXiv:2106.12845 [astro-ph.HE].
  • [2743] A. F. Fantina, N. Chamel, J. M. Pearson, and S. Goriely, “Neutron star properties with unified equations of state of dense matter,” A&A 559 (Nov., 2013) A128.
  • [2744] F. Grill, H. Pais, C. Providência, I. Vidaña, and S. S. Avancini, “Equation of state and thickness of the inner crust of neutron stars,” Phys. Rev. C 90 no. 4, (2014) 045803, arXiv:1404.2753 [nucl-th].
  • [2745] L. Scurto, H. Pais, and F. Gulminelli, “General predictions of neutron star properties using unified relativistic mean-field equations of state,” Phys. Rev. D 109 no. 10, (2024) 103015, arXiv:2402.15548 [nucl-th].
  • [2746] S. Typel, M. Oertel, and T. Klähn, “CompOSE CompStar online supernova equations of state harmonising the concert of nuclear physics and astrophysics compose.obspm.fr,” Phys. Part. Nucl. 46 no. 4, (2015) 633–664, arXiv:1307.5715 [astro-ph.SR].
  • [2747] P. J. Davis, H. D. Thi, A. F. Fantina, F. Gulminelli, M. Oertel, and L. Suleiman, “Inference of neutron-star properties with unified crust-core equations of state for parameter estimation,” Astron. Astrophys. 687 (2024) A44, arXiv:2406.14906 [astro-ph.HE].
  • [2748] D. A. Baiko and A. A. Kozhberov, “Anisotropic crystal structure of magnetized neutron star crust,” Mon. Not. Roy. Astron. Soc. 470 (2017) 517, arXiv:1704.05322 [astro-ph.HE].
  • [2749] M. Bocquet, S. Bonazzola, E. Gourgoulhon, and J. Novak, “Rotating neutron star models with magnetic field,” Astron. Astrophys. 301 (1995) 757, arXiv:gr-qc/9503044.
  • [2750] A. G. Pili, N. Bucciantini, and L. Del Zanna, “General Relativistic Equilibrium Models of Magnetized Neutron Stars,” Int. J. Mod. Phys. Conf. Ser. 28 (2014) 1460202, arXiv:1311.7528 [astro-ph.HE].
  • [2751] D. Chatterjee, T. Elghozi, J. Novak, and M. Oertel, “Consistent neutron star models with magnetic field dependent equations of state,” Mon. Not. Roy. Astron. Soc. 447 (2015) 3785, arXiv:1410.6332 [astro-ph.HE].
  • [2752] F. J. Llanes-Estrada and G. M. Navarro, “Cubic neutrons,” Mod. Phys. Lett. A 27 (2012) 1250033, arXiv:1108.1859 [nucl-th].
  • [2753] N. K. Glendenning, “Phase transitions and crystalline structures in neutron star cores,” Physics Reports 342 no. 6, (2001) 393–447.
  • [2754] T. F. Motta, J. Bernhardt, M. Buballa, and C. S. Fischer, “Toward a stability analysis of inhomogeneous phases in QCD,” Phys. Rev. D 108 no. 11, (2023) 114019, arXiv:2306.09749 [hep-ph].
  • [2755] C. Constantinou, B. Muccioli, M. Prakash, and J. M. Lattimer, “Thermal properties of supernova matter: The bulk homogeneous phase,” Phys. Rev. C 89 no. 6, (2014) 065802, arXiv:1402.6348 [astro-ph.SR].
  • [2756] C. Constantinou, B. Muccioli, M. Prakash, and J. M. Lattimer, “Thermal properties of hot and dense matter with finite range interactions,” Phys. Rev. C 92 no. 2, (2015) 025801, arXiv:1504.03982 [astro-ph.SR].
  • [2757] A. R. Raduta, M. V. Beznogov, and M. Oertel, “Bayesian inference of thermal effects in – 745 – dense matter within the covariant density functional theory,” Phys. Lett. B 853 (2024) 138696, arXiv:2402.14593 [nucl-th].
  • [2758] A. R. Raduta, F. Nacu, and M. Oertel, “Equations of state for hot neutron stars,” Eur. Phys. J. A 57 no. 12, (2021) 329, arXiv:2109.00251 [nucl-th].
  • [2759] S. Banik, M. Hempel, and D. Bandyopadhyay, “New Hyperon Equations of State for Supernovae and Neutron Stars in Density-dependent Hadron Field Theory,” Astrophys. J. Suppl. 214 no. 2, (2014) 22, arXiv:1404.6173 [astro-ph.HE].
  • [2760] M. Marques, M. Oertel, M. Hempel, and J. Novak, “New temperature dependent hyperonic equation of state: Application to rotating neutron star models and I-Q relations,” Phys. Rev. C 96 no. 4, (2017) 045806, arXiv:1706.02913 [nucl-th].
  • [2761] M. Oertel, F. Gulminelli, C. Providência, and A. R. Raduta, “Hyperons in neutron stars and supernova cores,” Eur. Phys. J. A 52 no. 3, (2016) 50, arXiv:1601.00435 [nucl-th].
  • [2762] V. Dexheimer, “Tabulated Neutron Star Equations of State Modeled within the Chiral Mean Field Model,” Publ. Astron. Soc. Austral. 34 (2017) E006, arXiv:1708.08342 [astro-ph.HE].
  • [2763] A. R. Raduta, M. Oertel, and A. Sedrakian, “Proto-neutron stars with heavy baryons and universal relations,” Mon. Not. Roy. Astron. Soc. 499 no. 1, (2020) 914–931, arXiv:2008.00213 [nucl-th].
  • [2764] H. Kochankovski, A. Ramos, and L. Tolos, “Equation of state for hot hyperonic neutron star matter,” Mon. Not. Roy. Astron. Soc. 517 no. 1, (2022) 507–517, arXiv:2206.11266 [astro-ph.HE]. [Erratum: Mon.Not.Roy.Astron.Soc. 518, 6376].
  • [2764] H. Kochankovski, A. Ramos, and L. Tolos, “Equation of state for hot hyperonic neutron star matter,” Mon. Not. Roy. Astron. Soc. 517 no. 1, (2022) 507–517, arXiv:2206.11266 [astro-ph.HE]. [Erratum: Mon.Not.Roy.Astron.Soc. 518, 6376].
  • [2765] A. R. Raduta, “Equations of state for hot neutron stars-II. The role of exotic particle degrees of freedom,” Eur. Phys. J. A 58 no. 6, (2022) 115, arXiv:2205.03177 [nucl-th].
  • [2766] K. Hotokezaka, K. Kiuchi, K. Kyutoku, T. Muranushi, Y.-i. Sekiguchi, M. Shibata, and K. Taniguchi, “Remnant massive neutron stars of binary neutron star mergers: Evolution process and gravitational waveform,” Phys. Rev. D 88 (2013) 044026, arXiv:1307.5888 [astro-ph.HE].
  • [2767] S. Huth, C. Wellenhofer, and A. Schwenk, “New equations of state constrained by nuclear physics, observations, and QCD calculations of high-density nuclear matter,” Phys. Rev. C 103 no. 2, (2021) 025803, arXiv:2009.08885 [nucl-th].
  • [2768] C. A. Raithel, F. Ozel, and D. Psaltis, “Finite-temperature extension for cold neutron star equations of state,” Astrophys. J. 875 no. 1, (2019) 12, arXiv:1902.10735 [astro-ph.HE].
  • [2769] R. Essick, I. Tews, P. Landry, S. Reddy, and D. E. Holz, “Direct Astrophysical Tests of Chiral Effective Field Theory at Supranuclear Densities,” Phys. Rev. C 102 no. 5, (2020) 055803, arXiv:2004.07744 [astro-ph.HE].
  • [2770] H. Dinh Thi, C. Mondal, and F. Gulminelli, “The Nuclear Matter Density Functional under the Nucleonic Hypothesis,” Universe 7 no. 10, (2021) 373, arXiv:2109.09675 [astro-ph.HE].
  • [2771] J. Ghiglieri, A. Kurkela, M. Strickland, and A. Vuorinen, “Perturbative Thermal QCD: Formalism and Applications,” Phys. Rept. 880 (2020) 1–73, arXiv:2002.10188 [hep-ph].
  • [2772] O. Komoltsev, R. Somasundaram, T. Gorda, A. Kurkela, J. Margueron, and I. Tews, “Equation of state at neutron-star densities and beyond from perturbative QCD,” Phys. Rev. D 109 no. 9, (2024) 094030, arXiv:2312.14127 [nucl-th].
  • [2773] A. Kurkela, “Thoughts about the utility of perturbative QCD in the cores of neutron stars – contribution to a roundtable discussion on neutron stars and QCD,” EPJ Web Conf. 274 (2022) 07008, arXiv:2211.11414 [hep-ph]. – 746 –
  • [2774] B. T. Reed, F. J. Fattoyev, C. J. Horowitz, and J. Piekarewicz, “Density Dependence of the Symmetry Energy in the Post PREX-CREX Era,” arXiv:2305.19376 [nucl-th].
  • [2775] C. Mondal and F. Gulminelli, “Nucleonic metamodeling in light of multimessenger, PREX-II, and CREX data,” Phys. Rev. C 107 no. 1, (2023) 015801, arXiv:2209.05177 [nucl-th].
  • [2776] P. Demorest, T. Pennucci, S. Ransom, M. Roberts, and J. Hessels, “Shapiro Delay Measurement of A Two Solar Mass Neutron Star,” Nature 467 (2010) 1081–1083, arXiv:1010.5788 [astro-ph.HE].
  • [2777] NANOGrav Collaboration, Z. Arzoumanian et al., “The NANOGrav 11-year Data Set: High-precision timing of 45 Millisecond Pulsars,” Astrophys. J. Suppl. 235 no. 2, (2018) 37, arXiv:1801.01837 [astro-ph.HE].
  • [2778] M. C. Miller et al., “PSR J0030+0451 Mass and Radius from NICER Data and Implications for the Properties of Neutron Star Matter,” Astrophys. J. Lett. 887 no. 1, (2019) L24, arXiv:1912.05705 [astro-ph.HE].
  • [2779] T. E. Riley et al., “A NICER View of PSR J0030+0451: Millisecond Pulsar Parameter Estimation,” Astrophys. J. Lett. 887 no. 1, (2019) L21, arXiv:1912.05702 [astro-ph.HE].
  • [2780] M. C. Miller et al., “The Radius of PSR J0740+6620 from NICER and XMM-Newton Data,” Astrophys. J. Lett. 918 no. 2, (2021) L28, arXiv:2105.06979 [astro-ph.HE].
  • [2781] T. E. Riley et al., “A NICER View of the Massive Pulsar PSR J0740+6620 Informed by Radio Timing and XMM-Newton Spectroscopy,” Astrophys. J. Lett. 918 no. 2, (2021) L27, arXiv:2105.06980 [astro-ph.HE].
  • [2782] K. Chatziioannou, “Neutron star tidal deformability and equation of state constraints,” Gen. Rel. Grav. 52 no. 11, (2020) 109, arXiv:2006.03168 [gr-qc].
  • [2783] T. Damour, “The Motion of Compact Bodies and Gravitational Radiation,” Fundam. Theor. Phys. 9 (1984) 89–106.
  • [2784] T. Hinderer, “Tidal Love numbers of neutron stars,” Astrophys. J. 677 (2008) 1216–1220, arXiv:0711.2420 [astro-ph].
  • [2785] E. Poisson and C. M. Will, Gravity. 2014.
  • [2786] W. G. Laarakkers and E. Poisson, “Quadrupole moments of rotating neutron stars,” Astrophys. J. 512 (1999) 282–287, arXiv:gr-qc/9709033.
  • [2787] L. Suleiman and J. Read, “Quasi-universal relations in the context of future neutron star detections,” arXiv:2402.01948 [astro-ph.HE].
  • [2788] R. Kashyap, A. Dhani, and B. Sathyaprakash, “Systematic errors due to quasiuniversal relations in binary neutron stars and their correction for unbiased model selection,” Phys. Rev. D 106 no. 12, (2022) 123001, arXiv:2209.02757 [gr-qc].
  • [2789] M. Ferreira, M. Fortin, T. Malik, B. K. Agrawal, and C. Providência, “Empirical constraints on the high-density equation of state from multimessenger observables,” Phys. Rev. D 101 no. 4, (2020) 043021, arXiv:1912.11131 [nucl-th].
  • [2790] M. Ferreira and C. Providência, “Constraints on high density equation of state from maximum neutron star mass,” Phys. Rev. D 104 no. 6, (2021) 063006, arXiv:2110.00305 [nucl-th].
  • [2791] N. K. Patra, S. M. A. Imam, B. K. Agrawal, A. Mukherjee, and T. Malik, “Nearly model-independent constraints on dense matter equation of state in a Bayesian approach,” Phys. Rev. D 106 no. 4, (2022) 043024, arXiv:2203.08521 [nucl-th].
  • [2792] T. Malik, M. Ferreira, B. K. Agrawal, and C. Providência, “Relativistic Description of Dense Matter Equation of State and Compatibility with Neutron Star Observables: A Bayesian Approach,” Astrophys. J. 930 no. 1, (2022) 17, arXiv:2201.12552 [nucl-th]. – 747 –
  • [2793] T. Malik, M. Ferreira, M. B. Albino, and C. Providência, “Spanning the full range of neutron star properties within a microscopic description,” Phys. Rev. D 107 no. 10, (2023) 103018, arXiv:2301.08169 [nucl-th].
  • [2794] S. Traversi, P. Char, and G. Pagliara, “Bayesian Inference of Dense Matter Equation of State within Relativistic Mean Field Models using Astrophysical Measurements,” Astrophys. J. 897 (2020) 165, arXiv:2002.08951 [astro-ph.HE].
  • [2795] C. Mondal and F. Gulminelli, “Can we decipher the composition of the core of a neutron star?,” Phys. Rev. D 105 no. 8, (2022) 083016, arXiv:2111.04520 [nucl-th].
  • [2796] D. G. Yakovlev and C. J. Pethick, “Neutron star cooling,” Ann. Rev. Astron. Astrophys. 42 (2004) 169–210, arXiv:astro-ph/0402143.
  • [2797] D. a. Barta, “Fundamental and higher-order excited modes of radial oscillation of neutron stars for various types of cold nucleonic and hyperonic matter,” Class. Quant. Grav. 38 no. 18, (2021) 185002, arXiv:1908.02808 [gr-qc].
  • [2798] A. Marino, C. Dehman, K. Kovlakas, N. Rea, J. A. Pons, and D. Viganò, “Constraints on the dense matter equation of state from young and cold isolated neutron stars,” arXiv:2404.05371 [astro-ph.HE].
  • [2799] P. Ribes, A. Ramos, L. Tolos, C. Gonzalez-Boquera, and M. Centelles, “Interplay between ∆ Particles and Hyperons in Neutron Stars,” Astrophys. J. 883 (2019) 168, arXiv:1907.08583 [astro-ph.HE].
  • [2800] J. J. Li and A. Sedrakian, “Implications from GW170817 for ∆-isobar Admixed Hypernuclear Compact Stars,” Astrophys. J. Lett. 874 no. 2, (2019) L22, arXiv:1904.02006 [nucl-th].
  • [2801] R. Nandi, P. Char, and S. Pal, “Constraining the relativistic mean-field model equations of state with gravitational wave observations,” Phys. Rev. C 99 no. 5, (2019) 052802, arXiv:1809.07108 [astro-ph.HE].
  • [2802] B. Biswas, P. Char, R. Nandi, and S. Bose, “Towards mitigation of apparent tension between nuclear physics and astrophysical observations by improved modeling of neutron star matter,” Phys. Rev. D 103 no. 10, (2021) 103015, arXiv:2008.01582 [astro-ph.HE].
  • [2803] T. Malik and C. Providência, “Bayesian inference of signatures of hyperons inside neutron stars,” Phys. Rev. D 106 no. 6, (2022) 063024, arXiv:2205.15843 [nucl-th].
  • [2804] L. Tolos, M. Centelles, and A. Ramos, “The Equation of State for the Nucleonic and Hyperonic Core of Neutron Stars,” Publ. Astron. Soc. Austral. 34 (8, 2017) e065, arXiv:1708.08681 [astro-ph.HE].
  • [2805] H. Güven, K. Bozkurt, E. Khan, and J. Margueron, “Multimessenger and multiphysics Bayesian inference for the GW170817 binary neutron star merger,” Phys. Rev. C 102 no. 1, (2020) 015805, arXiv:2001.10259 [nucl-th].
  • [2806] M. G. Alford and A. Sedrakian, “Compact stars with sequential QCD phase transitions,” Phys. Rev. Lett. 119 no. 16, (2017) 161104, arXiv:1706.01592 [astro-ph.HE].
  • [2807] D. Blaschke, D. E. Alvarez-Castillo, A. Ayriyan, H. Grigorian, N. K. Largani, and F. Weber, Astrophysical Aspects of General Relativistic Mass Twin Stars, ch. Chapter 7, pp. 207–256. World Scientific Publishing, Jan, 2020. arXiv:1906.02522 [astro-ph].
  • [2808] V. Paschalidis, K. Yagi, D. Alvarez-Castillo, D. B. Blaschke, and A. Sedrakian, “Implications from GW170817 and I-Love-Q relations for relativistic hybrid stars,” Phys. Rev. D 97 no. 8, (2018) 084038, arXiv:1712.00451 [astro-ph.HE].
  • [2809] G. F. Burgio, A. Drago, G. Pagliara, H. J. Schulze, and J. B. Wei, “Are Small Radii of Compact Stars Ruled out by GW170817/AT2017gfo?,” Astrophys. J. 860 no. 2, (2018) 139, arXiv:1803.09696 [astro-ph.HE]. – 748 –
  • [2810] S. Postnikov, M. Prakash, and J. M. Lattimer, “Tidal Love Numbers of Neutron and Self-Bound Quark Stars,” Phys. Rev. D 82 (2010) 024016, arXiv:1004.5098 [astro-ph.SR].
  • [2811] J.-E. Christian, A. Zacchi, and J. Schaffner-Bielich, “Signals in the tidal deformability for phase transitions in compact stars with constraints from GW170817,” Phys. Rev. D 99 no. 2, (2019) 023009, arXiv:1809.03333 [astro-ph.HE].
  • [2812] G. Montana, L. Tolos, M. Hanauske, and L. Rezzolla, “Constraining twin stars with GW170817,” Phys. Rev. D 99 no. 10, (2019) 103009, arXiv:1811.10929 [astro-ph.HE].
  • [2813] E. Annala, T. Gorda, A. Kurkela, J. Nättilä, and A. Vuorinen, “Evidence for quark-matter cores in massive neutron stars,” Nature Phys. 16 no. 9, (2020) 907–910, arXiv:1903.09121 [astro-ph.HE].
  • [2814] P. T. H. Pang, L. Sivertsen, R. Somasundaram, T. Dietrich, S. Sen, I. Tews, M. Coughlin, and C. Van Den Broeck, “Probing Quarkyonic Matter in Neutron Stars with the Bayesian Nuclear-Physics Multi-Messenger Astrophysics Framework,” arXiv:2308.15067 [nucl-th].
  • [2815] J. Takatsy, P. Kovacs, G. Wolf, and J. Schaffner-Bielich, “What neutron stars tell about the hadron-quark phase transition: A Bayesian study,” Phys. Rev. D 108 no. 4, (2023) 043002, arXiv:2303.00013 [astro-ph.HE].
  • [2816] J.-E. Christian and J. Schaffner-Bielich, “Twin Stars and the Stiffness of the Nuclear Equation of State: Ruling Out Strong Phase Transitions below 1.7n0 with the New NICER Radius Measurements,” Astrophys. J. Lett. 894 no. 1, (2020) L8, arXiv:1912.09809 [astro-ph.HE].
  • [2817] C. Y. Tsang, M. B. Tsang, P. Danielewicz, W. G. Lynch, and F. J. Fattoyev, “Insights on Skyrme parameters from GW170817,” Phys. Lett. B 796 (2019) 1–5, arXiv:1905.02601 [nucl-th].
  • [2818] Z. Zhu, A. Li, and T. Liu, “A Bayesian Inference of a Relativistic Mean-field Model of Neutron Star Matter from Observations of NICER and GW170817/AT2017gfo,” Astrophys. J. 943 no. 2, (2023) 163, arXiv:2211.02007 [astro-ph.HE].
  • [2819] C. Huang, G. Raaijmakers, A. L. Watts, L. Tolos, and C. Providência, “Constraining fundamental nuclear physics parameters using neutron star mass-radius measurements I: Nucleonic models,” arXiv:2303.17518 [astro-ph.HE].
  • [2820] R. F. Sawyer and A. Soni, “Transport of neutrinos in hot neutron star matter,” Astrophys. J. 230 (1979) 859–869.
  • [2821] D. Radice and I. Hawke, “Turbulence modelling in neutron star merger simulations,” Liv. Rev. Comput. Astrophys. 10 no. 1, (2024) 1, arXiv:2402.03224 [astro-ph.HE].
  • [2822] R. F. Sawyer, “Bulk viscosity of hot neutron-star matter and the maximum rotation rates of neutron stars,” Phys. Rev. D 39 (1989) 3804–3806.
  • [2823] M. G. Alford and S. P. Harris, “Damping of density oscillations in neutrino-transparent nuclear matter,” Phys. Rev. C 100 no. 3, (2019) 035803, arXiv:1907.03795 [nucl-th].
  • [2824] M. G. Alford and A. Haber, “Strangeness-changing Rates and Hyperonic Bulk Viscosity in Neutron Star Mergers,” Phys. Rev. C 103 no. 4, (2021) 045810, arXiv:2009.05181 [nucl-th].
  • [2825] M. Alford, A. Harutyunyan, and A. Sedrakian, “Bulk viscosity from Urca processes: npeµ matter in the neutrino-trapped regime,” Phys. Rev. D 104 no. 10, (2021) 103027, arXiv:2108.07523 [astro-ph.HE].
  • [2826] M. Alford, A. Harutyunyan, and A. Sedrakian, “Bulk Viscous Damping of Density Oscillations in Neutron Star Mergers,” Particles 3 no. 2, (2020) 500–517, arXiv:2006.07975 [nucl-th]. – 749 –
  • [2827] M. Alford, A. Harutyunyan, and A. Sedrakian, “Bulk viscosity from Urca processes: npeµ matter in the neutrino-transparent regime,” Phys. Rev. D 108 no. 8, (2023) 083019, arXiv:2306.13591 [nucl-th].
  • [2828] L. Suleiman, M. Oertel, and M. Mancini, “Modified Urca neutrino emissivity at finite temperature,” Phys. Rev. C 108 no. 3, (2023) 035803, arXiv:2308.09819 [nucl-th].
  • [2829] M. Alford, A. Harutyunyan, and A. Sedrakian, “Bulk Viscosity of Relativistic npeµ Matter in Neutron-Star Mergers,” Particles 5 no. 3, (2022) 361–376, arXiv:2209.04717 [astro-ph.HE].
  • [2830] M. G. Alford, S. Mahmoodifar, and K. Schwenzer, “Large amplitude behavior of the bulk viscosity of dense matter,” J. Phys. G 37 (2010) 125202, arXiv:1005.3769 [nucl-th].
  • [2831] M. G. Alford, S. Han, and K. Schwenzer, “Phase conversion dissipation in multicomponent compact stars,” Phys. Rev. C 91 no. 5, (2015) 055804, arXiv:1404.5279 [astro-ph.SR].
  • [2832] S. W. Bruenn, “Stellar core collapse: Numerical model and infall epoch,” Astrophys. J. Suppl. 58 (1985) 771–841.
  • [2833] S. Reddy, M. Prakash, and J. M. Lattimer, “Neutrino interactions in hot and dense matter,” Phys. Rev. D58 (1998) 013009.
  • [2834] G. Martinez-Pinedo, T. Fischer, A. Lohs, and L. Huther, “Charged-current weak interaction processes in hot and dense matter and its impact on the spectra of neutrinos emitted from proto-neutron star cooling,” Phys. Rev. Lett. 109 (2012) 251104.
  • [2835] L. F. Roberts and S. Reddy, “Charged current neutrino interactions in hot and dense matter,” Phys. Rev. C95 no. 4, (2017) 045807.
  • [2836] M. Oertel, A. Pascal, M. Mancini, and J. Novak, “Improved neutrino-nucleon interactions in dense and hot matter for numerical simulations,” Phys. Rev. C 102 no. 3, (2020) 035802, arXiv:2003.02152 [astro-ph.HE].
  • [2837] B. Fore and S. Reddy, “Pions in hot dense matter and their astrophysical implications,” Phys. Rev. C 101 no. 3, (2020) 035809, arXiv:1911.02632 [astro-ph.HE].
  • [2838] N. Iwamoto, “Neutrino emissivities and mean free paths of degenerate quark matter,” Annals Phys. 141 (1982) 1–49.
  • [2839] M. Järvinen, E. Kiritsis, F. Nitti, and E. Préau, “Holographic neutrino transport in dense strongly-coupled matter,” arXiv:2306.00192 [astro-ph.HE].
  • [2840] T. Fischer, G. Guo, A. A. Dzhioev, G. Martı́nez-Pinedo, M.-R. Wu, A. Lohs, and Y.-Z. Qian, “Neutrino signal from proto-neutron star evolution: Effects of opacities from charged-current–neutrino interactions and inverse neutron decay,” Phys. Rev. C 101 no. 2, (2020) 025804, arXiv:1804.10890 [astro-ph.HE].
  • [2841] L. F. Roberts, S. Reddy, and G. Shen, “Medium modification of the charged current neutrino opacity and its implications,” Phys. Rev. C86 (2012) 065803.
  • [2842] M. G. Alford and S. P. Harris, “Beta equilibrium in neutron star mergers,” Phys. Rev. C 98 no. 6, (2018) 065806, arXiv:1803.00662 [nucl-th].
  • [2843] T. A. Thompson, A. Burrows, and P. A. Pinto, “Shock breakout in core-collapse supernovae and its neutrino signature,” Astrophys. J. 592 (2003) 434, arXiv:astro-ph/0211194.
  • [2844] C. J. Horowitz and A. Schwenk, “The Neutrino response of low-density neutron matter from the virial expansion,” Phys. Lett. B642 (2006) 326–332.
  • [2845] I. Vidana, D. Logoteta, and I. Bombaci, “Effect of chiral nuclear forces on the neutrino mean free path in hot neutron matter,” Phys. Rev. C 106 no. 3, (2022) 035804, arXiv:2206.10190 [nucl-th]. – 750 –
  • [2846] G. Sigl, “Nucleon spin fluctuations and neutrino - nucleon energy transfer in supernovae,” Phys. Rev. D 56 (1997) 3179–3190, arXiv:astro-ph/9703056.
  • [2847] S. Hannestad and G. Raffelt, “Supernova neutrino opacity from nucleon-nucleon Bremsstrahlung and related processes,” Astrophys. J. 507 (1998) 339–352.
  • [2848] A. Sedrakian and A. E. L. Dieperink, “Coherent neutrino radiation in supernovae at two loops,” Phys. Rev. D 62 (2000) 083002, arXiv:astro-ph/0002228.
  • [2849] C. Hanhart, D. R. Phillips, and S. Reddy, “Neutrino and axion emissivities of neutron stars from nucleon-nucleon scattering data,” Phys. Lett. B 499 (2001) 9–15, arXiv:astro-ph/0003445.
  • [2850] A. Bartl, C. J. Pethick, and A. Schwenk, “Supernova matter at subnuclear densities as a resonant Fermi gas: Enhancement of neutrino rates,” Phys. Rev. Lett. 113 (2014) 081101, arXiv:1403.4114 [nucl-th].
  • [2851] G. Guo and G. Martı́nez-Pinedo, “Chiral effective field theory description of neutrino nucleon-nucleon Bremsstrahlung in supernova matter,” Astrophys. J. 887 (2019) 58, arXiv:1905.13634 [astro-ph.HE].
  • [2852] H.-T. Janka, K. Langanke, A. Marek, G. Martinez-Pinedo, and B. Mueller, “Theory of Core-Collapse Supernovae,” Phys. Rept. 442 (2007) 38–74, arXiv:astro-ph/0612072.
  • [2853] K. Langanke, G. Martı́nez-Pinedo, and R. Zegers, “Electron capture in stars,” Rept. Prog. Phys. 84 no. 6, (2021) 066301, arXiv:2009.01750 [nucl-th].
  • [2854] C. Sullivan, E. O’Connor, R. G. T. Zegers, T. Grubb, and S. M. Austin, “The Sensitivity of Core-Collapse Supernovae to Nuclear Electron Capture,” Astrophys. J. 816 no. 1, (2016) 44, arXiv:1508.07348 [astro-ph.HE].
  • [2855] R. Titus, C. Sullivan, R. G. T. Zegers, B. A. Brown, and B. Gao, “Impact of electron-captures on nuclei near N = 50 on core-collapse supernovae,” J. Phys. G 45 no. 1, (2018) 014004.
  • [2856] A. Pascal, S. Giraud, A. F. Fantina, F. Gulminelli, J. Novak, M. Oertel, and A. R. Raduta, “Impact of electron capture rates for nuclei far from stability on core-collapse supernovae,” Phys. Rev. C 101 no. 1, (2020) 015803, arXiv:1906.05114 [astro-ph.HE].
  • [2857] K. Langanke, G. Martinez-Pinedo, J. M. Sampaio, D. J. Dean, W. R. Hix, O. E. B. Messer, A. Mezzacappa, M. Liebendoerfer, H. T. Janka, and M. Rampp, “Electron capture rates on nuclei and implications for stellar core collapse,” Phys. Rev. Lett. 90 (2003) 241102, arXiv:astro-ph/0302459.
  • [2858] A. R. Raduta, F. Gulminelli, and M. Oertel, “Stellar electron capture rates on neutron-rich nuclei and their impact on stellar core collapse,” Phys. Rev. C 95 no. 2, (2017) 025805, arXiv:1611.01744 [nucl-th].
  • [2859] R. Titus et al., “Constraints for stellar electron-capture rates on 86 Kr via the 86 Kr(t,3 He+γ)86 Br reaction and the implications for core-collapse supernovae,” Phys. Rev. C 100 (2019) 045805, arXiv:1908.03985 [nucl-ex].
  • [2860] A. A. Dzhioev, K. Langanke, G. Martı́nez-Pinedo, A. I. Vdovin, and C. Stoyanov, “Unblocking of stellar electron captures for neutron-rich N = 50 nuclei at finite temperature,” Phys. Rev. C 101 no. 2, (2020) 025805, arXiv:1910.03335 [nucl-th].
  • [2861] S. Giraud, R. G. T. Zegers, B. A. Brown, J. M. Gabler, J. Lesniak, J. Rebenstock, E. M. Ney, J. Engel, A. Ravlić, and N. Paar, “Finite-temperature electron-capture rates for neutron-rich nuclei near N=50 and effects on core-collapse supernova simulations,” Phys. Rev. C 105 no. 5, (2022) 055801, arXiv:2112.01626 [nucl-th]. – 751 –
  • [2862] E. Litvinova and C. Robin, “Impact of complex many-body correlations on electron capture in thermally excited nuclei around 78 Ni,” Phys. Rev. C 103 no. 2, (2021) 024326, arXiv:2011.04203 [nucl-th].
  • [2863] S. Furusawa, H. Nagakura, K. Sumiyoshi, C. Kato, and S. Yamada, “Dependence of weak interaction rates on the nuclear composition during stellar core collapse,” Phys. Rev. C 95 no. 2, (2017) 025809, arXiv:1701.08414 [astro-ph.HE].
  • [2864] E. O’Connor, “An Open-Source Neutrino Radiation Hydrodynamics Code for Core-Collapse Supernovae,” Astrophys. J. Suppl. 219 no. 2, (2015) 24.
  • [2865] H. H.-Y. Ng, P. C.-K. Cheong, A. T.-L. Lam, and T. G. F. Li, “General-relativistic radiation transport scheme in Gmunu II: Implementation of novel microphysical library for neutrino radiation – Weakhub,” arXiv:2309.03526 [astro-ph.HE].
  • [2866] M. Arnould, S. Goriely, and K. Takahashi, “The r-process of stellar nucleosynthesis: astrophysics and nuclear physics achievements and mysteries,” Phys. Repts. 450 (2007) 97.
  • [2867] J. Cowan, C. Sneden, J. Lawler, A. Aprahamian, M. Wiescher, K. Langanke, G. Martı́nez-Pinedo, and F.-K. Thielemann, “Origin of the heaviest elements: The rapid neutron-capture process,” Rev. Mod. Phys. 93 (2021) 015002.
  • [2868] S. Goriely, “Towards more accurate and reliable predictions for nuclear applications,” Eur. Phys. J. A 51 (2015) 172. https://dipot.ulb.ac.be/dspace/bitstream/2013/222890/3/EPJA2015-15172-2.pdf.
  • [2869] S. Hilaire, S. Goriely, S. Péru, N. Dubray, M. Dupuis, and E. Bauge, “Nuclear reaction inputs based on effective interactions,” Eur. Phys. J. A 52 (2016) 336.
  • [2870] D. Lunney, J. Pearson, and C. Thibault, “Recent trends in the determination of nuclear masses,” Rev. Mod. Phys. 75 no. 3, (2003) 1021.
  • [2871] I. Kullmann, S. Goriely, O. Just, A. Bauswein, and H.-T. Janka, “Impact of systematic nuclear uncertainties on the composition and decay heat of the dynamical and disk ejecta of compact binary mergers,” MNRAS 523 (2023) 2551.
  • [2872] M. Wang, W. Huang, F. Kondev, G. Audi, and S. Naimi, “The AME2020 atomic mass evaluation (II),” Chinese Physics C 45 (2021) 030003.
  • [2873] J. M. Pearson, “The quest for a microscopic nuclear mass formula,” Hyp. Int. 132 (2001) 59.
  • [2874] M. Bender, P.-H. Heenen, and P.-G. Reinhard, “Self-consistent mean-field models for nuclear structure,” Rev. Mod. Phys. 75 (2003) 121–180.
  • [2875] S. Goriely, N. Chamel, and J. M. Pearson, “Further explorations of Skyrme-Hartree-Fock-Bogoliubov mass formulas. XVI: inclusion of self-energy effects in pairing,” Phys. Rev. C 93 (2016) 034337.
  • [2876] W. Ryssens, G. Scamps, S. Goriely, and M. Bender, “Skyrme-Hartree-Fock-Bogoliubov mass models on a 3D mesh: breaking time-reversal symmetry,” Eur. Phys. J. A 58 (2022) 246.
  • [2877] S. Goriely, S. Hilaire, M. Girod, and S. Péru, “First gogny hatree-fock-bogoliubov nuclear mass model,” Phys. Rev. Lett. 102 (2009) 242501–242504.
  • [2878] M. Arnould and S. Goriely, “Astronuclear physics: A tale of the atomic nuclei in the skies,” Prog. Part. Nucl. Phys. 112 (2020) 103766.
  • [2879] T. Suzuki, “Nuclear weak rates and nuclear weak processes in stars,” Prog. Part. Nucl. Phys. 126 (2022) 103974.
  • [2880] F. Kondev, M. Wang, W. Huang, S. Naimi, and G. Audi, “The nubase2020 evaluation of nuclear physics properties,” Chinese Physics C 45 (2021) 030001. – 752 –
  • [2881] P. Möller, B. Pfeiffer, and K.-L. Kratz, “New calculations of gross beta-decay properties for astrophysical applications: Speeding-up the classical r process,” Phys. Rev. C 67 (2003) 055802.
  • [2882] H. Klapdor, J. Metzinger, and T. Oda, “Beta-decay half-lives of neutron-rich nuclei,” At. Data Nuc. Data Tables 31 (1984) 81.
  • [2883] T. Marketin, L. Huther, and G. Martinez-Pinedo, “Large-scale evaluation of beta-decay rates of r-process nuclei with the inclusion of first-forbidden transitions,” Phys. Rev. C 93 (2016) 025805.
  • [2884] E. M. Ney, J. Engel, T. Li, and N. Schunck, “Global description of β− decay with the axially deformed skyrme finite-amplitude method: Extension to odd-mass and odd-odd nuclei,” Phys. Rev. C 102 (Sep, 2020) 034326. https://link.aps.org/doi/10.1103/PhysRevC.102.034326.
  • [2885] F. Minato, Z. Niu, and H. Liang, “Calculation of β-decay half-lives within a skyrme-hartree-fock-bogoliubov energy density functional with the proton-neutron quasiparticle random-phase approximation and isoscalar pairing strengths optimized by a bayesian method,” Physical Review C 106 (2022) 024306.
  • [2886] S. Goriely, “The fundamental role of fission during r-process nucleosynthesis in neutron star mergers,” Eur. Phys. J. A 51 (2015) 22.
  • [2887] M. Martini, S. Péru, and S. Goriely, “Gamow-teller strength in deformed nuclei within the self-consistent charge-exchange quasiparticle random-phase approximation with the gogny force,” Phys. Rev. C 89 (2014) 044306.
  • [2888] E. Litvinova, C. Robin, and H. Wibowo, “Temperature dependence of nuclear spin-isospin response and beta decay in hot astrophysical environments,” Phys. Lett. B 800 (2020) 135134.
  • [2889] C. Robin and E. Litvinova, “Time-reversed particle-vibration loops and nuclear gamow-teller response,” Phys. Rev. Lett. 123 (2019) 202501.
  • [2890] A. Koning, S. Hilaire, and S. Goriely, “TALYS: modeling of nuclear reactions,” Eur. Phys. J. A 59 no. 6, (2023) 131. [Erratum: Eur.Phys.J.A 59, 146 (2023)].
  • [2890] A. Koning, S. Hilaire, and S. Goriely, “TALYS: modeling of nuclear reactions,” Eur. Phys. J. A 59 no. 6, (2023) 131. [Erratum: Eur.Phys.J.A 59, 146 (2023)].
  • [2891] S. Goriely, S. Hilaire, S. Péru, and K. Sieja, “Gogny-HFB+QRPA dipole strength function and its application to radiative nucleon capture cross section,” Phys. Rev. C 98 (2018) 014327.
  • [2892] S. Goriely, P. Dimitriou, M. Wiedeking, T. Belgya, R. Firestone, J. Kopecky, M. Krticka, V. Plujko, R. Schwengner, S. Siem, H. Utsunomiya, S. Hilaire, S. Péru, Y. S. Cho, D. M. Filipescu, N. Iwamoto, T. Kawano, V. Varlamov, and R. Xu, “Reference database for photon strength functions,” Eur. Phys. J. A 55 (2019) 172.
  • [2893] S. Goriely and J.-P. Delaroche, “The isovector imaginary neutron potential: a key ingredient for the r-process nucleosynthesis,” Phys. Lett. B 653 (2007) 178.
  • [2894] S. Goriely, S. Hilaire, and A. J. Koning, “Improved microscopic nuclear level densities within the hfb plus combinatorial method,” Phys. Rev. C 78 (2008) 064307.
  • [2895] A. J. Koning, S. Hilaire, and S. Goriely, “Global and local level density models and their impact on nuclear reaction calculations,” Nucl. Phys. A 810 (2008) 13.
  • [2896] R. Capote, M. Herman, P. Oblozinsky, P. Young, S. Goriely, T. Belgya, A. Ignatyuk, A. Koning, S. Hilaire, V. Plujko, M. Avrigeanu, O. Bersillon, M. Chadwick, T. Fukahori, Z. Ge, Y. Han, S. Kailas, J. Kopecky, V. Maslov, G. Reffo, M. Sin, E. Soukhovitskii, and P. Talou, “Reference Input Parameter Library (RIPL-3),” Nuclear Data Sheets 110 (2009) 3107. – 753 –
  • [2897] Y. Xu and S. Goriely, “Systematic study of the direct neutron capture,” Phys. Rev. C 86 (2012) 045801.
  • [2898] Y. Xu, S. Goriely, A. J. Koning, and S. Hilaire, “Systematic study of neutron capture including the compound, pre-equilibrium, and direct mechanisms,” Phys. Rev. C 90 (Aug, 2014) 024604. http://link.aps.org/doi/10.1103/PhysRevC.90.024604.
  • [2899] K. Sieja and S. Goriely, “Shell-model based study of the direct capture in neutron-rich nuclei,” Eur. Phys. J. A 57 (2021) 110.
  • [2900] D. Rochman, S. Goriely, A. Koning, and H.Ferroukhi, “Radiative neutron capture: Hauser feshbach vs.statistical resonances,” Phys. Lett. B 764 (2017) 109.
  • [2901] M. Shibata and K. Taniguchi, “Merger of black hole and neutron star in general relativity: Tidal disruption, torus mass, and gravitational waves,” Phys. Rev. D 77 (2008) 084015, arXiv:0711.1410 [gr-qc].
  • [2902] F. Pannarale, E. Berti, K. Kyutoku, B. D. Lackey, and M. Shibata, “Gravitational-wave cutoff frequencies of tidally disruptive neutron star-black hole binary mergers,” Phys. Rev. D 92 no. 8, (2015) 081504, arXiv:1509.06209 [gr-qc].
  • [2903] K. Kawaguchi, K. Kyutoku, H. Nakano, and M. Shibata, “Extracting the cutoff frequency in the gravitational-wave spectrum of black hole-neutron star mergers,” arXiv:1709.02754 [astro-ph.HE].
  • [2904] S. Ma, H. Yu, and Y. Chen, “Excitation of f-modes during mergers of spinning binary neutron star,” Phys. Rev. D 101 no. 12, (2020) 123020, arXiv:2003.02373 [gr-qc].
  • [2905] H.-J. Kuan and K. D. Kokkotas, “Last three seconds: Packed message delivered by tides in binary neutron star mergers,” Phys. Rev. D 108 no. 6, (2023) 063026, arXiv:2309.04622 [gr-qc].
  • [2906] E. E. Flanagan and E. Racine, “Gravitomagnetic resonant excitation of Rossby modes in coalescing neutron star binaries,” Phys. Rev. D 75 (2007) 044001, arXiv:gr-qc/0601029.
  • [2907] P. Landry and E. Poisson, “Gravitomagnetic response of an irrotational body to an applied tidal field,” Phys. Rev. D 91 no. 10, (2015) 104026, arXiv:1504.06606 [gr-qc].
  • [2908] P. K. Gupta, J. Steinhoff, and T. Hinderer, “Relativistic effective action of dynamical gravitomagnetic tides for slowly rotating neutron stars,” Phys. Rev. Res. 3 no. 1, (2021) 013147, arXiv:2011.03508 [gr-qc].
  • [2909] P. Pani, L. Gualtieri, and V. Ferrari, “Tidal Love numbers of a slowly spinning neutron star,” Phys. Rev. D 92 no. 12, (2015) 124003, arXiv:1509.02171 [gr-qc].
  • [2910] P. Arras and N. N. Weinberg, “Urca reactions during neutron star inspiral,” Mon. Not. Roy. Astron. Soc. 486 no. 1, (2019) 1424–1436, arXiv:1806.04163 [astro-ph.HE].
  • [2911] T. Celora, I. Hawke, P. C. Hammond, N. Andersson, and G. L. Comer, “Formulating bulk viscosity for neutron star simulations,” Phys. Rev. D 105 no. 10, (2022) 103016, arXiv:2202.01576 [astro-ph.HE].
  • [2912] E. M. Kantor, M. E. Gusakov, and K. Y. Kraav, “Role of particle diffusion in shaping the gravitational wave signal from neutron star inspirals,” Phys. Rev. D 109 no. 12, (2024) 123025, arXiv:2406.00729 [astro-ph.HE].
  • [2913] M. V. S. Saketh, Z. Zhou, S. Ghosh, J. Steinhoff, and D. Chatterjee, “Investigating tidal heating in neutron stars via gravitational Raman scattering,” arXiv:2407.08327 [gr-qc].
  • [2914] N. Andersson and P. Pnigouras, “The g-mode spectrum of reactive neutron star cores,” Mon. Not. Roy. Astron. Soc. 489 no. 3, (2019) 4043–4048, arXiv:1905.00010 [gr-qc]. – 754 –
  • [2915] H.-J. Kuan, C. J. Krüger, A. G. Suvorov, and K. D. Kokkotas, “Constraining equation-of-state groups from g-mode asteroseismology,” Mon. Not. Roy. Astron. Soc. 513 no. 3, (2022) 4045–4056, arXiv:2204.08492 [gr-qc].
  • [2916] H.-J. Kuan, A. G. Suvorov, and K. D. Kokkotas, “Measuring spin in coalescing binaries of neutron stars showing double precursors,” Astron. Astrophys. 676 (2023) A59, arXiv:2304.07170 [astro-ph.HE].
  • [2917] A. R. Counsell, F. Gittins, and N. Andersson, “The impact of nuclear reactions on the neutron-star g-mode spectrum,” Mon. Not. Roy. Astron. Soc. 531 no. 1, (2024) 1721–1729, arXiv:2310.13586 [astro-ph.HE].
  • [2918] J. L. Ripley, A. Hegade K. R., and N. Yunes, “Probing internal dissipative processes of neutron stars with gravitational waves during the inspiral of neutron star binaries,” Phys. Rev. D 108 no. 10, (2023) 103037, arXiv:2306.15633 [gr-qc].
  • [2919] J. L. Ripley, A. Hegade K. R., R. S. Chandramouli, and N. Yunes, “First constraint on the dissipative tidal deformability of neutron stars,” arXiv:2312.11659 [gr-qc].
  • [2920] A. Hegade K. R., J. L. Ripley, and N. Yunes, “Dissipative tidal effects to next-to-leading order and constraints on the dissipative tidal deformability using gravitational wave data,” arXiv:2407.02584 [gr-qc].
  • [2921] A. L. Watts et al., “Colloquium : Measuring the neutron star equation of state using x-ray timing,” Rev. Mod. Phys. 88 no. 2, (2016) 021001, arXiv:1602.01081 [astro-ph.HE].
  • [2922] M. Alford, M. Braby, M. W. Paris, and S. Reddy, “Hybrid stars that masquerade as neutron stars,” Astrophys. J. 629 (2005) 969–978, arXiv:nucl-th/0411016.
  • [2923] C. A. Raithel and E. R. Most, “Tidal deformability doppelgänger: Implications of a low-density phase transition in the neutron star equation of state,” Phys. Rev. D 108 no. 2, (2023) 023010, arXiv:2208.04295 [astro-ph.HE].
  • [2924] R. Gamba, M. Breschi, S. Bernuzzi, M. Agathos, and A. Nagar, “Waveform systematics in the gravitational-wave inference of tidal parameters and equation of state from binary neutron star signals,” Phys. Rev. D 103 no. 12, (2021) 124015, arXiv:2009.08467 [gr-qc].
  • [2925] A. Puecher, A. Samajdar, and T. Dietrich, “Measuring tidal effects with the Einstein Telescope: A design study,” Phys. Rev. D 108 no. 2, (2023) 023018, arXiv:2304.05349 [astro-ph.IM].
  • [2926] T. Carreau, F. Gulminelli, and J. Margueron, “Bayesian analysis of the crust-core transition with a compressible liquid-drop model,” Eur. Phys. J. A 55 no. 10, (2019) 188, arXiv:1902.07032 [nucl-th].
  • [2927] M. L. Warren, S. M. Couch, E. P. O’Connor, and V. Morozova, “Constraining Properties of the Next Nearby Core-collapse Supernova with Multimessenger Signals,” Astrophys. J. 898 no. 2, (2020) 139, arXiv:1912.03328 [astro-ph.HE].
  • [2928] B. D. Lackey, K. Kyutoku, M. Shibata, P. R. Brady, and J. L. Friedman, “Extracting equation of state parameters from black hole-neutron star mergers: aligned-spin black holes and a preliminary waveform model,” Phys. Rev. D 89 no. 4, (2014) 043009, arXiv:1303.6298 [gr-qc].
  • [2929] N. Sarin, H. V. Peiris, D. J. Mortlock, J. Alsing, S. M. Nissanke, and S. M. Feeney, “Measuring the nuclear equation of state with neutron star-black hole mergers,” arXiv:2311.05689 [gr-qc].
  • [2930] S. M. A. Imam, A. Mukherjee, B. K. Agrawal, and G. Banerjee, “Direct mapping of tidal deformability to the isoscalar and isovector nuclear matter parameters,” Phys. Rev. C 109 no. 2, (2024) 025804, arXiv:2305.11007 [nucl-th]. – 755 –
  • [2931] W.-J. Xie and B.-A. Li, “Bayesian Inference of the Symmetry Energy of Superdense Neutron-rich Matter from Future Radius Measurements of Massive Neutron Stars,” Astrophys. J. 899 no. 1, (2020) 4, arXiv:2005.07216 [astro-ph.HE].
  • [2932] A. Sabatucci, O. Benhar, A. Maselli, and C. Pacilio, “Sensitivity of neutron star observations to three-nucleon forces,” Phys. Rev. D 106 no. 8, (2022) 083010, arXiv:2206.11286 [astro-ph.HE].
  • [2933] H. Rose, N. Kunert, T. Dietrich, P. T. H. Pang, R. Smith, C. Van Den Broeck, S. Gandolfi, and I. Tews, “Revealing the strength of three-nucleon interactions with the proposed Einstein Telescope,” Phys. Rev. C 108 no. 2, (2023) 025811, arXiv:2303.11201 [astro-ph.HE].
  • [2934] D. Neill, R. Preston, W. G. Newton, and D. Tsang, “Constraining the Nuclear Symmetry Energy with Multimessenger Resonant Shattering Flares,” Phys. Rev. Lett. 130 no. 11, (2023) 112701, arXiv:2208.00994 [astro-ph.HE].
  • [2935] K. Chatziioannou and S. Han, “Studying strong phase transitions in neutron stars with gravitational waves,” Phys. Rev. D 101 no. 4, (2020) 044019, arXiv:1911.07091 [gr-qc].
  • [2936] H.-Y. Chen, P. M. Chesler, and A. Loeb, “Searching for exotic cores with binary neutron star inspirals,” Astrophys. J. Lett. 893 no. 1, (2020) L4, arXiv:1909.04096 [astro-ph.HE].
  • [2937] P. T. H. Pang, T. Dietrich, I. Tews, and C. Van Den Broeck, “Parameter estimation for strong phase transitions in supranuclear matter using gravitational-wave astronomy,” Phys. Rev. Res. 2 no. 3, (2020) 033514, arXiv:2006.14936 [astro-ph.HE].
  • [2938] P. Landry and K. Chakravarti, “Prospects for constraining twin stars with next-generation gravitational-wave detectors,” arXiv:2212.09733 [astro-ph.HE].
  • [2939] A. Bauswein, S. Blacker, G. Lioutas, T. Soultanis, V. Vijayan, and N. Stergioulas, “Systematics of prompt black-hole formation in neutron star mergers,” Phys. Rev. D 103 no. 12, (2021) 123004, arXiv:2010.04461 [astro-ph.HE].
  • [2940] P. Jaikumar, A. Semposki, M. Prakash, and C. Constantinou, “g-mode oscillations in hybrid stars: A tale of two sounds,” Phys. Rev. D 103 no. 12, (2021) 123009, arXiv:2101.06349 [nucl-th].
  • [2941] H. Yu and N. N. Weinberg, “Dynamical tides in coalescing superfluid neutron star binaries with hyperon cores and their detectability with third generation gravitational-wave detectors,” Mon. Not. Roy. Astron. Soc. 470 no. 1, (2017) 350–360, arXiv:1705.04700 [astro-ph.HE].
  • [2942] H. Spruit and E. S. Phinney, “Birth kicks as the origin of pulsar rotation,” Nature 393 (1998) 139–141, arXiv:astro-ph/9803201.
  • [2943] D. I. Jones, “Gravitational waves from rotating neutron stars,” Class. Quant. Grav. 19 (2002) 1255–1266, arXiv:gr-qc/0111007.
  • [2944] R. Prix, “Gravitational Waves from Spinning Neutron Stars,” Astrophys. Space Sci. Lib. 357 (2009) 651–685.
  • [2945] P. D. Lasky, “Gravitational Waves from Neutron Stars: A Review,” Publ. Astron. Soc. Austral. 32 (2015) e034, arXiv:1508.06643 [astro-ph.HE].
  • [2946] K. Glampedakis and L. Gualtieri, “Gravitational waves from single neutron stars: an advanced detector era survey,” Astrophys. Space Sci. Libr. 457 (2018) 673–736, arXiv:1709.07049 [astro-ph.HE].
  • [2947] LIGO Scientific, VIRGO Collaboration, C. Palomba, “Searches for continuous gravitational wave signals and stochastic backgrounds in LIGO and VIRGO data,” in 46th Rencontres de Moriond on Gravitational Waves and Experimental Gravity, pp. 27–34. 2011. arXiv:1201.3176 [astro-ph.IM]. – 756 –
  • [2948] R. Tenorio, D. Keitel, and A. M. Sintes, “Search Methods for Continuous Gravitational-Wave Signals from Unknown Sources in the Advanced-Detector Era,” Universe 7 no. 12, (2021) 474, arXiv:2111.12575 [gr-qc].
  • [2949] O. J. Piccinni, “Status and Perspectives of Continuous Gravitational Wave Searches,” Galaxies 10 no. 3, (2022) 72, arXiv:2202.01088 [gr-qc].
  • [2950] K. Wette, “Searches for continuous gravitational waves from neutron stars: A twenty-year retrospective,” Astropart. Phys. 153 (2023) 102880, arXiv:2305.07106 [gr-qc].
  • [2951] K. Riles, “Searches for continuous-wave gravitational radiation,” Living Rev. Rel. 26 no. 1, (2023) 3, arXiv:2206.06447 [astro-ph.HE].
  • [2952] B. Haskell and M. Bejger, “Astrophysics with continuous gravitational waves,” Nature Astron. 7 no. 10, (2023) 1160–1170.
  • [2953] D. I. Jones and K. Riles, “Multimessenger observations and the science enabled: Continuous waves and their progenitors, equation of state of dense matter,” arXiv:2403.02066 [astro-ph.HE].
  • [2954] N. K. Johnson-McDaniel and B. J. Owen, “Maximum elastic deformations of relativistic stars,” Phys. Rev. D 88 (2013) 044004, arXiv:1208.5227 [astro-ph.SR].
  • [2955] F. Gittins, “Gravitational waves from neutron-star mountains,” Class. Quant. Grav. 41 no. 4, (2024) 043001, arXiv:2401.01670 [gr-qc].
  • [2956] C. J. Horowitz and K. Kadau, “The Breaking Strain of Neutron Star Crust and Gravitational Waves,” Phys. Rev. Lett. 102 (2009) 191102, arXiv:0904.1986 [astro-ph.SR].
  • [2957] G. Ushomirsky, C. Cutler, and L. Bildsten, “Deformations of accreting neutron star crusts and gravitational wave emission,” Mon. Not. Roy. Astron. Soc. 319 (2000) 902, arXiv:astro-ph/0001136.
  • [2958] B. Haskell, D. I. Jones, and N. Andersson, “Mountains on Neutron Stars: Accreted vs. Non-Accreted crusts,” Mon. Not. Roy. Astron. Soc. 373 (2006) 1423–1439, arXiv:astro-ph/0609438.
  • [2959] F. Gittins, N. Andersson, and D. I. Jones, “Modelling neutron star mountains,” Mon. Not. Roy. Astron. Soc. 500 no. 4, (2020) 5570–5582, arXiv:2009.12794 [astro-ph.HE].
  • [2960] J. A. Morales and C. J. Horowitz, “Neutron star crust can support a large ellipticity,” Mon. Not. Roy. Astron. Soc. 517 no. 4, (2022) 5610–5616, arXiv:2209.03222 [gr-qc].
  • [2961] R. Smoluchowski and D. O. Welch, “Progressive Deformation of the Crust of Pulsars,” Phys. Rev. Lett. 24 (1970) 1191–1192.
  • [2962] P. B. Jones, “Nature of fault planes in solid neutron star matter,” Astrophys. J. 595 (2003) 342–345, arXiv:astro-ph/0210207.
  • [2963] A. I. Chugunov and C. J. Horowitz, “Breaking stress of neutron star crust,” Mon. Not. Roy. Astron. Soc. 407 (2010) L54–L58, arXiv:1006.2279 [astro-ph.SR].
  • [2964] G. Woan, M. D. Pitkin, B. Haskell, D. I. Jones, and P. D. Lasky, “Evidence for a Minimum Ellipticity in Millisecond Pulsars,” Astrophys. J. Lett. 863 no. 2, (2018) L40, arXiv:1806.02822 [astro-ph.HE].
  • [2965] J. Papaloizou and J. E. Pringle, “Non-radial oscillations of rotating stars and their relevance to the short-period oscillations of cataclysmic variables,” Mon. Not. Roy. Astron. Soc. 182 (1978) 423–442.
  • [2966] R. V. Wagoner, “GRAVITATIONAL RADIATION FROM ACCRETING NEUTRON STARS,” Astrophys. J. 278 (1984) 345–348. – 757 –
  • [2967] N. Andersson, K. D. Kokkotas, and N. Stergioulas, “On the relevance of the r mode instability for accreting neutron stars and white dwarfs,” Astrophys. J. 516 (1999) 307, arXiv:astro-ph/9806089.
  • [2968] M. A. Alpar, A. F. Cheng, M. A. Ruderman, and J. Shaham, “A new class of radio pulsars,” Nature 300 no. 5894, (Dec., 1982) 728.
  • [2969] V. Radhakrishnan and G. Srinivasan, “On the origin of the recently discovered ultra-rapid pulsar,” Curr. Sci. 51 (Dec., 1982) 1096.
  • [2970] N. Singh, B. Haskell, D. Mukherjee, and T. Bulik, “Asymmetric accretion and thermal ‘mountains’ in magnetized neutron star crusts,” Mon. Not. Roy. Astron. Soc. 493 no. 3, (2020) 3866–3878, arXiv:1908.05038 [astro-ph.HE].
  • [2971] E. L. Osborne and D. I. Jones, “Gravitational waves from magnetically-induced thermal neutron star mountains,” Mon. Not. Roy. Astron. Soc. 494 no. 2, (2020) 2839–2850, arXiv:1910.04453 [astro-ph.HE].
  • [2972] T. J. Hutchins and D. I. Jones, “Gravitational radiation from thermal mountains on accreting neutron stars: sources of temperature non-axisymmetry,” Mon. Not. Roy. Astron. Soc. 522 no. 1, (2023) 226–251, arXiv:2212.07452 [astro-ph.HE].
  • [2973] A. F. Fantina, S. De Ridder, N. Chamel, and F. Gulminelli, “Crystallization of the outer crust of a non-accreting neutron star,” Astron. Astrophys. 633 (2020) A149, arXiv:1912.02849 [astro-ph.HE].
  • [2974] LIGO Scientific, VIRGO, KAGRA Collaboration, R. Abbott et al., “Searches for Gravitational Waves from Known Pulsars at Two Harmonics in the Second and Third LIGO-Virgo Observing Runs,” Astrophys. J. 935 no. 1, (2022) 1, arXiv:2111.13106 [astro-ph.HE].
  • [2975] M. Sieniawska and D. I. Jones, “Gravitational waves from spinning neutron stars as not-quite-standard sirens,” Mon. Not. Roy. Astron. Soc. 509 no. 4, (2021) 5179–5187, arXiv:2108.11710 [astro-ph.HE].
  • [2976] B. J. Owen, “Maximum elastic deformations of compact stars with exotic equations of state,” Phys. Rev. Lett. 95 (2005) 211101, arXiv:astro-ph/0503399.
  • [2977] N. Seto, “Gravitational wave astrometry for rapidly rotating neutron stars and estimation of their distances,” Phys. Rev. D 71 (2005) 123002, arXiv:astro-ph/0505545.
  • [2978] M. Sieniawska, D. I. Jones, and A. L. Miller, “Measuring neutron star distances and properties with gravitational-wave parallax,” Mon. Not. Roy. Astron. Soc. 521 no. 2, (2023) 1924–1930, arXiv:2212.07506 [astro-ph.HE].
  • [2979] M. Bejger, T. Bulik, and P. Haensel, “Moments of inertia of the binary pulsars J0737-3039A,B and the dense matter EOS,” Mon. Not. Roy. Astron. Soc. 364 (2005) 635, arXiv:astro-ph/0508105.
  • [2980] J. M. Lattimer and B. F. Schutz, “Constraining the equation of state with moment of inertia measurements,” Astrophys. J. 629 (2005) 979–984, arXiv:astro-ph/0411470.
  • [2981] C. A. Raithel, F. Ozel, and D. Psaltis, “Model-Independent Inference of Neutron Star Radii from Moment of Inertia Measurements,” Phys. Rev. C 93 no. 3, (2016) 032801, arXiv:1603.06594 [astro-ph.HE]. [Addendum: Phys.Rev.C 93, 049905 (2016)].
  • [2981] C. A. Raithel, F. Ozel, and D. Psaltis, “Model-Independent Inference of Neutron Star Radii from Moment of Inertia Measurements,” Phys. Rev. C 93 no. 3, (2016) 032801, arXiv:1603.06594 [astro-ph.HE]. [Addendum: Phys.Rev.C 93, 049905 (2016)].
  • [2982] S. K. Greif, K. Hebeler, J. M. Lattimer, C. J. Pethick, and A. Schwenk, “Equation of state constraints from nuclear physics, neutron star masses, and future moment of inertia measurements,” Astrophys. J. 901 no. 2, (2020) 155, arXiv:2005.14164 [astro-ph.HE].
  • [2983] S. Chandrasekhar and E. Fermi, “Problems of Gravitational Stability in the Presence of a Magnetic Field,” Astrophys. J. 118 (1953) 116. [Erratum: Astrophys.J. 122, 208 (1955)]. – 758 –
  • [2983] S. Chandrasekhar and E. Fermi, “Problems of Gravitational Stability in the Presence of a Magnetic Field,” Astrophys. J. 118 (1953) 116. [Erratum: Astrophys.J. 122, 208 (1955)]. – 758 –
  • [2984] A. V. Bilous et al., “A NICER View of PSR J0030+0451: Evidence for a Global-scale Multipolar Magnetic Field,” Astrophys. J. Lett. 887 no. 1, (2019) L23, arXiv:1912.05704 [astro-ph.HE].
  • [2985] S. Vinciguerra et al., “An Updated Mass–Radius Analysis of the 2017–2018 NICER Data Set of PSR J0030+0451,” Astrophys. J. 961 no. 1, (2024) 62, arXiv:2308.09469 [astro-ph.HE].
  • [2986] B. Haskell, L. Samuelsson, K. Glampedakis, and N. Andersson, “Modelling magnetically deformed neutron stars,” Mon. Not. Roy. Astron. Soc. 385 (2008) 531–542, arXiv:0705.1780 [astro-ph].
  • [2987] K. H. Prendergast, “The Equilibrium of a Self-Gravitating Incompressible Fluid Sphere with a Magnetic Field. I.,” Astrophys. J. 123 (May, 1956) 498.
  • [2988] R. J. Tayler, “The adiabatic stability of stars containing magnetic fields-I.Toroidal fields,” Mon. Not. Roy. Astron. Soc. 161 (Jan., 1973) 365.
  • [2989] J. Braithwaite, “The stability of toroidal fields in stars,” Astron. Astrophys. 453 (2006) 687, arXiv:astro-ph/0512182.
  • [2990] J. Braithwaite, “The stability of poloidal magnetic fields in rotating stars,” Astron. Astrophys. 469 (2007) 275, arXiv:0705.0185 [astro-ph].
  • [2991] J. Braithwaite and A. Nordlund, “Stable magnetic fields in stellar interiors,” Astron. Astrophys. 450 (2006) 1077, arXiv:astro-ph/0510316.
  • [2992] T. Akgun and I. Wasserman, “Toroidal Magnetic Fields in Type II Superconducting Neutron Stars,” Mon. Not. Roy. Astron. Soc. 383 (2008) 1551–1580, arXiv:0705.2195 [astro-ph].
  • [2993] R. Ciolfi, V. Ferrari, L. Gualtieri, and J. A. Pons, “Relativistic models of magnetars: the twisted-torus magnetic field configuration,” Mon. Not. Roy. Astron. Soc. 397 (2009) 913, arXiv:0903.0556 [astro-ph.SR].
  • [2994] S. K. Lander and D. I. Jones, “Are there any stable magnetic fields in barotropic stars?,” Mon. Not. Roy. Astron. Soc. 424 (2012) 482, arXiv:1202.2339 [astro-ph.SR].
  • [2995] J. P. Mitchell, J. Braithwaite, A. Reisenegger, H. Spruit, J. A. Valdivia, and N. Langer, “Instability of magnetic equilibria in barotropic stars,” Mon. Not. Roy. Astron. Soc. 447 no. 2, (Feb., 2015) 1213, arXiv:1411.7252 [astro-ph.SR].
  • [2996] N. A. Moraga, F. Castillo, A. Reisenegger, J. A. Valdivia, and M. E. Gusakov, “Magneto-thermal evolution in the cores of adolescent neutron stars: The Grad-Shafranov equilibrium is never reached in the ’strong-coupling’ regime,” arXiv:2309.14182 [astro-ph.HE].
  • [2997] G. Baym, C. Pethick, and D. Pines, “Superfluidity in Neutron Stars,” Nature 224 no. 5220, (Nov., 1969) 673–674.
  • [2998] C. Cutler, “Gravitational waves from neutron stars with large toroidal B fields,” Phys. Rev. D 66 (2002) 084025, arXiv:gr-qc/0206051.
  • [2999] K. Glampedakis, D. I. Jones, and L. Samuelsson, “Gravitational waves from color-magnetic ‘mountains’ in neutron stars,” Phys. Rev. Lett. 109 (2012) 081103, arXiv:1204.3781 [astro-ph.SR].
  • [3000] E. F. Brown and L. Bildsten, “The Ocean and crust of a rapidly accreting neutron star: Implications for magnetic field evolution and thermonuclear flashes,” Astrophys. J. 496 (1998) 915, arXiv:astro-ph/9710261.
  • [3001] D. J. B. Payne, A. Melatos, and E. S. Phinney, “Gravitational waves from an accreting neutron star with a magnetic mountain,” AIP Conf. Proc. 686 no. 1, (2003) 92–95. – 759 –
  • [3002] A. Melatos and D. J. B. Payne, “Gravitational radiation from an accreting millisecond pulsar with a magnetically confined mountain,” Astrophys. J. 623 (2005) 1044–1050, arXiv:astro-ph/0503287.
  • [3003] D. J. B. Payne and A. Melatos, “Burial of the polar magnetic field of an accreting neutron star. II. Hydromagnetic stability of axisymmetric equilibria,” Mon. Not. Roy. Astron. Soc. 376 (2007) 609–624, arXiv:astro-ph/0703203.
  • [3004] M. Vigelius and A. Melatos, “Three-dimensional stability of magnetically confined mountains on accreting neutron stars,” Mon. Not. Roy. Astron. Soc. 386 (2008) 1294, arXiv:0802.3238 [astro-ph].
  • [3005] M. Vigelius and A. Melatos, “Resistive relaxation of a magnetically confined mountain on an accreting neutron star,” Mon. Not. Roy. Astron. Soc. 395 (2009) 1985, arXiv:0902.4484 [astro-ph.HE].
  • [3006] K. Wette, M. Vigelius, and A. Melatos, “Sinking of a magnetically confined mountain on an accreting neutron star,” Mon. Not. Roy. Astron. Soc. 402 (2010) 1099, arXiv:0910.5064 [astro-ph.HE].
  • [3007] M. Priymak, A. Melatos, and D. J. B. Payne, “Quadrupole moment of a magnetically confined mountain on an accreting neutron star: effect of the equation of state,” Mon. Not. Roy. Astron. Soc. 417 (2011) 2696, arXiv:1109.1040 [astro-ph.HE].
  • [3008] K. Fujisawa, S. Kisaka, and Y. Kojima, “Magnetically confined mountains on accreting neutron stars with multipole magnetic fields,” Mon. Not. Roy. Astron. Soc. 516 no. 4, (2022) 5196–5208, arXiv:2209.04352 [astro-ph.HE].
  • [3009] P. N. McDermott, H. M. van Horn, and C. J. Hansen, “Nonradial Oscillations of Neutron Stars,” Astrophys. J. 325 (Feb., 1988) 725.
  • [3010] S. Chandrasekhar, “Solutions of two problems in the theory of gravitational radiation,” Phys. Rev. Lett. 24 (1970) 611–615.
  • [3011] J. L. Friedman and B. F. Schutz, “Secular instability of rotating Newtonian stars,” Astrophys. J. 222 (1978) 281.
  • [3012] N. Andersson and K. D. Kokkotas, “The R mode instability in rotating neutron stars,” Int. J. Mod. Phys. D 10 (2001) 381–442, arXiv:gr-qc/0010102.
  • [3013] N. Andersson, “Gravitational waves from instabilities in relativistic stars,” Class. Quant. Grav. 20 (2003) R105, arXiv:astro-ph/0211057.
  • [3014] J. Provost, G. Berthomieu, and A. Rocca, “Low Frequency Oscillations of a Slowly Rotating Star - Quasi Toroidal Modes,” Astron. Astrophys. 94 (Jan., 1981) 126.
  • [3015] H. Saio, “R-mode oscillations in uniformly rotating stars,” Astrophys. J. 256 (May, 1982) 717–735.
  • [3016] N. Andersson, “A New class of unstable modes of rotating relativistic stars,” Astrophys. J. 502 (1998) 708–713, arXiv:gr-qc/9706075.
  • [3017] J. L. Friedman and S. M. Morsink, “Axial instability of rotating relativistic stars,” Astrophys. J. 502 (1998) 714–720, arXiv:gr-qc/9706073.
  • [3018] W. Unno, Y. Osaki, H. Ando, H. Saio, and H. Shibahashi, Nonradial oscillations of stars. 1989.
  • [3019] J. R. Ipser and L. Lindblom, “The Oscillations of Rapidly Rotating Newtonian Stellar Models. II. Dissipative Effects,” Astrophys. J. 373 (May, 1991) 213.
  • [3020] Y. Kojima, “Quasitoroidal oscillations in rotating relativistic stars,” Mon. Not. Roy. Astron. Soc. 293 (1998) 49–52, arXiv:gr-qc/9709003. – 760 –
  • [3021] H. R. Beyer and K. D. Kokkotas, “On the r-mode spectrum of relativistic stars,” Mon. Not. Roy. Astron. Soc. 308 (1999) 745–750, arXiv:gr-qc/9903019.
  • [3022] P. Arras, E. E. Flanagan, S. M. Morsink, A. K. Schenk, S. A. Teukolsky, and I. Wasserman, “Saturation of the R mode instability,” Astrophys. J. 591 (2003) 1129–1151, arXiv:astro-ph/0202345.
  • [3023] N. Andersson and F. Gittins, “Formulating the r-mode Problem for Slowly Rotating Neutron Stars,” Astrophys. J. 945 no. 2, (2023) 139, arXiv:2212.04837 [gr-qc].
  • [3024] L. Lindblom, B. J. Owen, and S. M. Morsink, “Gravitational radiation instability in hot young neutron stars,” Phys. Rev. Lett. 80 (1998) 4843–4846, arXiv:gr-qc/9803053.
  • [3025] N. Andersson, K. D. Kokkotas, and B. F. Schutz, “Gravitational radiation limit on the spin of young neutron stars,” Astrophys. J. 510 (1999) 846, arXiv:astro-ph/9805225.
  • [3026] A. Idrisy, B. J. Owen, and D. I. Jones, “R-mode frequencies of slowly rotating relativistic neutron stars with realistic equations of state,” Phys. Rev. D 91 no. 2, (2015) 024001, arXiv:1410.7360 [gr-qc].
  • [3027] S. Caride, R. Inta, B. J. Owen, and B. Rajbhandari, “How to search for gravitational waves from r-modes of known pulsars,” Phys. Rev. D 100 no. 6, (2019) 064013, arXiv:1907.04946 [gr-qc].
  • [3028] LIGO Scientific, Virgo, KAGRA Collaboration, R. Abbott et al., “Constraints from LIGO O3 Data on Gravitational-wave Emission Due to R-modes in the Glitching Pulsar PSR J0537–6910,” Astrophys. J. 922 no. 1, (2021) 71, arXiv:2104.14417 [astro-ph.HE].
  • [3029] N. Andersson, D. Antonopoulou, C. M. Espinoza, B. Haskell, and W. C. G. Ho, “The Enigmatic Spin Evolution of PSR J0537–6910: r-modes, Gravitational Waves, and the Case for Continued Timing,” Astrophys. J. 864 no. 2, (2018) 137, arXiv:1711.05550 [astro-ph.HE].
  • [3030] B. J. Owen, L. Lindblom, C. Cutler, B. F. Schutz, A. Vecchio, and N. Andersson, “Gravitational waves from hot young rapidly rotating neutron stars,” Phys. Rev. D 58 (1998) 084020, arXiv:gr-qc/9804044.
  • [3031] A. L. Piro, B. Giacomazzo, and R. Perna, “The Fate of Neutron Star Binary Mergers,” Astrophys. J. Lett. 844 no. 2, (2017) L19, arXiv:1704.08697 [astro-ph.HE].
  • [3032] T. Dietrich, T. Hinderer, and A. Samajdar, “Interpreting Binary Neutron Star Mergers: Describing the Binary Neutron Star Dynamics, Modelling Gravitational Waveforms, and Analyzing Detections,” Gen. Rel. Grav. 53 no. 3, (2021) 27, arXiv:2004.02527 [gr-qc].
  • [3033] S. Bernuzzi, “Neutron Star Merger Remnants,” Gen. Rel. Grav. 52 no. 11, (2020) 108, arXiv:2004.06419 [astro-ph.HE].
  • [3034] A. Bauswein and H. T. Janka, “Measuring neutron-star properties via gravitational waves from binary mergers,” Phys. Rev. Lett. 108 (2012) 011101, arXiv:1106.1616 [astro-ph.SR].
  • [3035] A. Bauswein, N.-U. F. Bastian, D. B. Blaschke, K. Chatziioannou, J. A. Clark, T. Fischer, and M. Oertel, “Identifying a first-order phase transition in neutron star mergers through gravitational waves,” Phys. Rev. Lett. 122 no. 6, (2019) 061102, arXiv:1809.01116 [astro-ph.HE].
  • [3036] LIGO Scientific, Virgo Collaboration, B. P. Abbott et al., “Search for Post-merger Gravitational Waves from the Remnant of the Binary Neutron Star Merger GW170817,” Astrophys. J. Lett. 851 no. 1, (2017) L16, arXiv:1710.09320 [astro-ph.HE].
  • [3037] LIGO Scientific, Virgo Collaboration, B. P. Abbott et al., “Search for gravitational waves from a long-lived remnant of the binary neutron star merger GW170817,” Astrophys. J. 875 no. 2, (2019) 160, arXiv:1810.02581 [gr-qc]. – 761 –
  • [3038] M. Breschi, R. Gamba, S. Borhanian, G. Carullo, and S. Bernuzzi, “Kilohertz Gravitational Waves from Binary Neutron Star Mergers: Inference of Postmerger Signals with the Einstein Telescope,” arXiv:2205.09979 [gr-qc].
  • [3039] P. J. Easter, P. D. Lasky, A. R. Casey, L. Rezzolla, and K. Takami, “Computing Fast and Reliable Gravitational Waveforms of Binary Neutron Star Merger Remnants,” Phys. Rev. D 100 no. 4, (2019) 043005, arXiv:1811.11183 [gr-qc].
  • [3040] K. W. Tsang, T. Dietrich, and C. Van Den Broeck, “Modeling the postmerger gravitational wave signal and extracting binary properties from future binary neutron star detections,” Phys. Rev. D 100 no. 4, (2019) 044047, arXiv:1907.02424 [gr-qc].
  • [3041] M. Breschi, S. Bernuzzi, F. Zappa, M. Agathos, A. Perego, D. Radice, and A. Nagar, “kiloHertz gravitational waves from binary neutron star remnants: time-domain model and constraints on extreme matter,” Phys. Rev. D 100 no. 10, (2019) 104029, arXiv:1908.11418 [gr-qc].
  • [3042] T. Soultanis, A. Bauswein, and N. Stergioulas, “Analytic models of the spectral properties of gravitational waves from neutron star merger remnants,” Phys. Rev. D 105 no. 4, (2022) 043020, arXiv:2111.08353 [astro-ph.HE].
  • [3043] M. Breschi, S. Bernuzzi, K. Chakravarti, A. Camilletti, A. Prakash, and A. Perego, “Kilohertz Gravitational Waves From Binary Neutron Star Mergers: Numerical-relativity Informed Postmerger Model,” arXiv:2205.09112 [gr-qc].
  • [3044] K. Chatziioannou, J. A. Clark, A. Bauswein, M. Millhouse, T. B. Littenberg, and N. Cornish, “Inferring the post-merger gravitational wave emission from binary neutron star coalescences,” Phys. Rev. D 96 no. 12, (2017) 124035, arXiv:1711.00040 [gr-qc].
  • [3045] M. C. Tringali, A. Puecher, C. Lazzaro, R. Ciolfi, M. Drago, B. Giacomazzo, G. Vedovato, and G. A. Prodi, “Minimally modeled characterization method of postmerger gravitational wave emission from binary neutron star coalescences,” arXiv:2304.12831 [gr-qc].
  • [3046] P. L. Espino, G. Bozzola, and V. Paschalidis, “Quantifying uncertainties in general relativistic magnetohydrodynamic codes,” Phys. Rev. D 107 no. 10, (2023) 104059, arXiv:2210.13481 [gr-qc].
  • [3047] S. Bernuzzi, A. Nagar, S. Balmelli, T. Dietrich, and M. Ujevic, “Quasiuniversal properties of neutron star mergers,” Phys. Rev. Lett. 112 (2014) 201101, arXiv:1402.6244 [gr-qc].
  • [3048] A. Bauswein and N. Stergioulas, “Semi-analytic derivation of the threshold mass for prompt collapse in binary neutron star mergers,” Mon. Not. Roy. Astron. Soc. 471 no. 4, (2017) 4956–4965, arXiv:1702.02567 [astro-ph.HE].
  • [3049] M. Breschi, S. Bernuzzi, D. Godzieba, A. Perego, and D. Radice, “Constraints on the Maximum Densities of Neutron Stars from Postmerger Gravitational Waves with Third-Generation Observations,” Phys. Rev. Lett. 128 no. 16, (2022) 161102, arXiv:2110.06957 [gr-qc].
  • [3050] M. Wijngaarden, K. Chatziioannou, A. Bauswein, J. A. Clark, and N. J. Cornish, “Probing neutron stars with the full premerger and postmerger gravitational wave signal from binary coalescences,” Phys. Rev. D 105 no. 10, (2022) 104019, arXiv:2202.09382 [gr-qc].
  • [3051] M. Breschi, G. Carullo, and S. Bernuzzi, “Pre/post-merger consistency test for gravitational signals from binary neutron star mergers,” Accepted in MDPI Particles (1, 2023) , arXiv:2301.09672 [gr-qc].
  • [3052] A. Bauswein, N. Stergioulas, and H. T. Janka, “Revealing the high-density equation of state through binary neutron star mergers,” Phys. Rev. D 90 no. 2, (2014) 023002, arXiv:1403.5301 [astro-ph.SR]. – 762 –
  • [3053] P. Landry and R. Essick, “Nonparametric inference of the neutron star equation of state from gravitational wave observations,” Phys. Rev. D 99 no. 8, (2019) 084049, arXiv:1811.12529 [gr-qc].
  • [3054] R. Essick, P. Landry, and D. E. Holz, “Nonparametric Inference of Neutron Star Composition, Equation of State, and Maximum Mass with GW170817,” Phys. Rev. D 101 no. 6, (2020) 063007, arXiv:1910.09740 [astro-ph.HE].
  • [3055] M. Breschi, R. Gamba, and S. Bernuzzi, “Bayesian inference of multimessenger astrophysical data: Methods and applications to gravitational waves,” Phys. Rev. D 104 no. 4, (2021) 042001, arXiv:2102.00017 [gr-qc].
  • [3056] K. Takami, L. Rezzolla, and L. Baiotti, “Constraining the Equation of State of Neutron Stars from Binary Mergers,” J. Phys. Conf. Ser. 600 no. 1, (2015) 012056.
  • [3057] A. Bauswein, O. Just, H.-T. Janka, and N. Stergioulas, “Neutron-star radius constraints from GW170817 and future detections,” Astrophys. J. Lett. 850 no. 2, (2017) L34, arXiv:1710.06843 [astro-ph.HE].
  • [3058] D. Radice, “General-Relativistic Large-Eddy Simulations of Binary Neutron Star Mergers,” Astrophys. J. Lett. 838 no. 1, (2017) L2, arXiv:1703.02046 [astro-ph.HE].
  • [3059] S. Blacker, N.-U. F. Bastian, A. Bauswein, D. B. Blaschke, T. Fischer, M. Oertel, T. Soultanis, and S. Typel, “Constraining the onset density of the hadron-quark phase transition with gravitational-wave observations,” Phys. Rev. D 102 no. 12, (2020) 123023, arXiv:2006.03789 [astro-ph.HE].
  • [3060] A. Prakash, D. Radice, D. Logoteta, A. Perego, V. Nedora, I. Bombaci, R. Kashyap, S. Bernuzzi, and A. Endrizzi, “Signatures of deconfined quark phases in binary neutron star mergers,” Phys. Rev. D 104 no. 8, (2021) 083029, arXiv:2106.07885 [astro-ph.HE].
  • [3061] G. Rivieccio, D. Guerra, M. Ruiz, and J. A. Font, “Gravitational-wave imprints of nonconvex dynamics in binary neutron star mergers,” Phys. Rev. D 109 no. 6, (2024) 064032, arXiv:2401.06849 [astro-ph.HE].
  • [3062] M. Chabanov and L. Rezzolla, “Numerical modelling of bulk viscosity in neutron stars,” arXiv:2311.13027 [gr-qc].
  • [3063] A. Bauswein, H. T. Janka, and R. Oechslin, “Testing Approximations of Thermal Effects in Neutron Star Merger Simulations,” Phys. Rev. D 82 (2010) 084043, arXiv:1006.3315 [astro-ph.SR].
  • [3064] C. A. Raithel and V. Paschalidis, “Detectability of Finite-Temperature Effects From Neutron Star Mergers with Next-Generation Gravitational Wave Detectors,” arXiv:2312.14046 [astro-ph.HE].
  • [3065] V. Villa-Ortega, A. Lorenzo-Medina, J. Calderón Bustillo, M. Ruiz, D. Guerra, P. Cerdá-Duran, and J. A. Font, “Self-consistent treatment of thermal effects in neutron-star post-mergers: observational implications for third-generation gravitational-wave detectors,” arXiv:2310.20378 [gr-qc].
  • [3066] C. A. Raithel and V. Paschalidis, “Influence of stellar compactness on finite-temperature effects in neutron star merger simulations,” Phys. Rev. D 108 no. 8, (2023) 083029, arXiv:2306.13144 [astro-ph.HE].
  • [3067] D. Pesios, I. Koutalios, D. Kugiumtzis, and N. Stergioulas, “Predicting Binary Neutron Star Postmerger Spectra Using Artificial Neural Networks,” arXiv:2405.09468 [gr-qc].
  • [3068] K. Kiuchi, K. Kyutoku, Y. Sekiguchi, M. Shibata, and T. Wada, “High resolution numerical-relativity simulations for the merger of binary magnetized neutron stars,” Phys. Rev. D 90 (2014) 041502, arXiv:1407.2660 [astro-ph.HE]. – 763 –
  • [3069] B. Giacomazzo, J. Zrake, P. Duffell, A. I. MacFadyen, and R. Perna, “Producing Magnetar Magnetic Fields in the Merger of Binary Neutron Stars,” Astrophys. J. 809 no. 1, (2015) 39, arXiv:1410.0013 [astro-ph.HE].
  • [3070] K. Kiuchi, P. Cerdá-Durán, K. Kyutoku, Y. Sekiguchi, and M. Shibata, “Efficient magnetic-field amplification due to the Kelvin-Helmholtz instability in binary neutron star mergers,” Phys. Rev. D 92 no. 12, (2015) 124034, arXiv:1509.09205 [astro-ph.HE].
  • [3071] K. Kiuchi, K. Kyutoku, Y. Sekiguchi, and M. Shibata, “Global simulations of strongly magnetized remnant massive neutron stars formed in binary neutron star mergers,” Phys. Rev. D 97 no. 12, (2018) 124039, arXiv:1710.01311 [astro-ph.HE].
  • [3072] R. Ciolfi, W. Kastaun, B. Giacomazzo, A. Endrizzi, D. M. Siegel, and R. Perna, “General relativistic magnetohydrodynamic simulations of binary neutron star mergers forming a long-lived neutron star,” Phys. Rev. D 95 no. 6, (2017) 063016, arXiv:1701.08738 [astro-ph.HE].
  • [3073] R. Ciolfi, W. Kastaun, J. V. Kalinani, and B. Giacomazzo, “First 100 ms of a long-lived magnetized neutron star formed in a binary neutron star merger,” Phys. Rev. D 100 no. 2, (2019) 023005, arXiv:1904.10222 [astro-ph.HE].
  • [3074] J. Bamber, A. Tsokaros, M. Ruiz, and S. L. Shapiro, “Post-merger gravitational wave signals from binary neutron stars: Effect of the magnetic field,” arXiv:2411.00943 [gr-qc].
  • [3075] A. Tsokaros, J. Bamber, M. Ruiz, and S. L. Shapiro, “Masking equation of state effects in binary neutron star mergers,” arXiv:2411.00939 [gr-qc].
  • [3076] M. Shibata and K. Kiuchi, “Gravitational waves from remnant massive neutron stars of binary neutron star merger: Viscous hydrodynamics effects,” Phys. Rev. D 95 no. 12, (2017) 123003, arXiv:1705.06142 [astro-ph.HE].
  • [3077] M. Shibata, “Constraining nuclear equations of state using gravitational waves from hypermassive neutron stars,” Phys. Rev. Lett. 94 (2005) 201101, arXiv:gr-qc/0504082.
  • [3078] K. Hotokezaka, K. Kyutoku, H. Okawa, M. Shibata, and K. Kiuchi, “Binary Neutron Star Mergers: Dependence on the Nuclear Equation of State,” Phys. Rev. D 83 (2011) 124008, arXiv:1105.4370 [astro-ph.HE].
  • [3079] A. Bauswein, T. W. Baumgarte, and H. T. Janka, “Prompt merger collapse and the maximum mass of neutron stars,” Phys. Rev. Lett. 111 no. 13, (2013) 131101, arXiv:1307.5191 [astro-ph.SR].
  • [3080] S. D. Tootle, L. J. Papenfort, E. R. Most, and L. Rezzolla, “Quasi-universal Behavior of the Threshold Mass in Unequal-mass, Spinning Binary Neutron Star Mergers,” Astrophys. J. Lett. 922 no. 1, (2021) L19, arXiv:2109.00940 [gr-qc].
  • [3081] M. Kölsch, T. Dietrich, M. Ujevic, and B. Bruegmann, “Investigating the mass-ratio dependence of the prompt-collapse threshold with numerical-relativity simulations,” Phys. Rev. D 106 no. 4, (2022) 044026, arXiv:2112.11851 [gr-qc].
  • [3082] M. Agathos, F. Zappa, S. Bernuzzi, A. Perego, M. Breschi, and D. Radice, “Inferring Prompt Black-Hole Formation in Neutron Star Mergers from Gravitational-Wave Data,” Phys. Rev. D 101 no. 4, (2020) 044006, arXiv:1908.05442 [gr-qc].
  • [3083] S. Köppel, L. Bovard, and L. Rezzolla, “A General-relativistic Determination of the Threshold Mass to Prompt Collapse in Binary Neutron Star Mergers,” Astrophys. J. Lett. 872 no. 1, (2019) L16, arXiv:1901.09977 [gr-qc].
  • [3084] A. Perego, D. Logoteta, D. Radice, S. Bernuzzi, R. Kashyap, A. Das, S. Padamata, and A. Prakash, “Probing the Incompressibility of Nuclear Matter at Ultrahigh Density through the Prompt Collapse of Asymmetric Neutron Star Binaries,” Phys. Rev. Lett. 129 no. 3, (2022) 032701, arXiv:2112.05864 [astro-ph.HE]. – 764 –
  • [3085] Y. Sekiguchi, K. Kiuchi, K. Kyutoku, and M. Shibata, “Dynamical mass ejection from binary neutron star mergers: Radiation-hydrodynamics study in general relativity,” Phys. Rev. D 91 no. 6, (2015) 064059, arXiv:1502.06660 [astro-ph.HE].
  • [3086] L. Lehner, S. L. Liebling, C. Palenzuela, O. L. Caballero, E. O’Connor, M. Anderson, and D. Neilsen, “Unequal mass binary neutron star mergers and multimessenger signals,” Class. Quant. Grav. 33 no. 18, (2016) 184002, arXiv:1603.00501 [gr-qc].
  • [3087] J. A. Clark, A. Bauswein, N. Stergioulas, and D. Shoemaker, “Observing Gravitational Waves From The Post-Merger Phase Of Binary Neutron Star Coalescence,” Class. Quant. Grav. 33 no. 8, (2016) 085003, arXiv:1509.08522 [astro-ph.HE].
  • [3088] D. Martynov et al., “Exploring the sensitivity of gravitational wave detectors to neutron star physics,” Phys. Rev. D 99 no. 10, (2019) 102004, arXiv:1901.03885 [astro-ph.IM].
  • [3089] H. Yang, V. Paschalidis, K. Yagi, L. Lehner, F. Pretorius, and N. Yunes, “Gravitational wave spectroscopy of binary neutron star merger remnants with mode stacking,” Phys. Rev. D 97 no. 2, (2018) 024049, arXiv:1707.00207 [gr-qc].
  • [3090] M. Miravet-Tenés, D. Guerra, M. Ruiz, P. Cerdá-Durán, and J. A. Font, “Identifying thermal effects in neutron star merger remnants with model-agnostic waveform reconstructions and third-generation detectors,” arXiv:2401.02493 [gr-qc].
  • [3091] H. T. Janka and E. Mueller, “Neutrino heating, convection, and the mechanism of Type-II supernova explosions.,” Astron. Astrophys. 306 (1996) 167.
  • [3092] H.-T. Janka, “Explosion Mechanisms of Core-Collapse Supernovae,” Ann. Rev. Nucl. Part. Sci. 62 (2012) 407–451, arXiv:1206.2503 [astro-ph.SR].
  • [3093] D. Vartanyan, A. Burrows, T. Wang, M. S. B. Coleman, and C. J. White, “Gravitational-wave signature of core-collapse supernovae,” Phys. Rev. D 107 no. 10, (2023) 103015, arXiv:2302.07092 [astro-ph.HE].
  • [3094] J. C. Wheeler, D. L. Meier, and J. R. Wilson, “Asymmetric supernovae from magneto-centrifugal jets,” Astrophys. J. 568 (2002) 807, arXiv:astro-ph/0112020.
  • [3095] S. Akiyama, J. C. Wheeler, D. L. Meier, and I. Lichtenstadt, “The magnetorotational instability in core collapse supernova explosions,” Astrophys. J. 584 (2003) 954–970, arXiv:astro-ph/0208128.
  • [3096] P. Cerdá-Durán, N. DeBrye, M. A. Aloy, J. A. Font, and M. Obergaulinger, “Gravitational wave signatures in black-hole-forming core collapse,” Astrophys. J. Lett. 779 (2013) L18, arXiv:1310.8290 [astro-ph.SR].
  • [3097] A. Burrows, D. Vartanyan, and T. Wang, “Black Hole Formation Accompanied by the Supernova Explosion of a 40 M ⊙ Progenitor Star,” Astrophys. J. 957 no. 2, (2023) 68, arXiv:2308.05798 [astro-ph.SR].
  • [3098] A. Torres-Forné, P. Cerdá-Durán, A. Passamonti, and J. A. Font, “Towards asteroseismology of core-collapse supernovae with gravitational-wave observations – I. Cowling approximation,” Mon. Not. Roy. Astron. Soc. 474 no. 4, (2018) 5272–5286, arXiv:1708.01920 [astro-ph.SR].
  • [3099] A. Torres-Forné, P. Cerdá-Durán, A. Passamonti, M. Obergaulinger, and J. A. Font, “Towards asteroseismology of core-collapse supernovae with gravitational wave observations – II. Inclusion of space–time perturbations,” Mon. Not. Roy. Astron. Soc. 482 no. 3, (2019) 3967–3988, arXiv:1806.11366 [astro-ph.HE].
  • [3100] H. Sotani and T. Takiwaki, “Gravitational wave asteroseismology with protoneutron stars,” Phys. Rev. D 94 no. 4, (2016) 044043, arXiv:1608.01048 [astro-ph.HE].
  • [3101] H. Sotani, T. Takiwaki, and H. Togashi, “Universal relation for supernova gravitational waves,” Phys. Rev. D 104 no. 12, (2021) 123009, arXiv:2110.03131 [astro-ph.HE]. – 765 –
  • [3102] P. Mösta, S. Richers, C. D. Ott, R. Haas, A. L. Piro, K. Boydstun, E. Abdikamalov, C. Reisswig, and E. Schnetter, “Magnetorotational Core-Collapse Supernovae in Three Dimensions,” Astrophys. J. Lett. 785 (2014) L29, arXiv:1403.1230 [astro-ph.HE].
  • [3103] E. J. Lentz, S. W. Bruenn, W. R. Hix, A. Mezzacappa, O. E. B. Messer, E. Endeve, J. M. Blondin, J. A. Harris, P. Marronetti, and K. N. Yakunin, “Three-dimensional Core-collapse Supernova Simulated Using a 15 M⊙ Progenitor,” Astrophys. J. Lett. 807 no. 2, (2015) L31, arXiv:1505.05110 [astro-ph.SR].
  • [3104] H. Andresen, B. Müller, E. Müller, and H.-T. Janka, “Gravitational Wave Signals from 3D Neutrino Hydrodynamics Simulations of Core-Collapse Supernovae,” Mon. Not. Roy. Astron. Soc. 468 no. 2, (2017) 2032–2051, arXiv:1607.05199 [astro-ph.HE].
  • [3105] A. Burrows, D. Radice, and D. Vartanyan, “Three-dimensional supernova explosion simulations of 9-, 10-, 11-, 12-, and 13-M⊙ stars,” Mon. Not. Roy. Astron. Soc. 485 no. 3, (2019) 3153–3168, arXiv:1902.00547 [astro-ph.SR].
  • [3106] A. Burrows, D. Radice, D. Vartanyan, H. Nagakura, M. A. Skinner, and J. Dolence, “The Overarching Framework of Core-Collapse Supernova Explosions as Revealed by 3D Fornax Simulations,” Mon. Not. Roy. Astron. Soc. 491 no. 2, (2020) 2715–2735, arXiv:1909.04152 [astro-ph.HE].
  • [3107] T. Kuroda, A. Arcones, T. Takiwaki, and K. Kotake, “Magnetorotational Explosion of A Massive Star Supported by Neutrino Heating in General Relativistic Three Dimensional Simulations,” Astrophys. J. 896 no. 2, (2020) 102, arXiv:2003.02004 [astro-ph.HE].
  • [3108] J. Powell and B. Müller, “Three-dimensional core-collapse supernova simulations of massive and rotating progenitors,” Mon. Not. Roy. Astron. Soc. 494 no. 4, (2020) 4665–4675, arXiv:2002.10115 [astro-ph.HE].
  • [3109] M. Obergaulinger and M.-A. Aloy, “Magnetorotational core collapse of possible GRB progenitors. III. Three-dimensional models,” Mon. Not. Roy. Astron. Soc. 503 no. 4, (2021) 4942–4963, arXiv:2008.07205 [astro-ph.HE].
  • [3110] D. Vartanyan, M. S. B. Coleman, and A. Burrows, “The collapse and three-dimensional explosion of three-dimensional massive-star supernova progenitor models,” Mon. Not. Roy. Astron. Soc. 510 no. 4, (2022) 4689–4705, arXiv:2109.10920 [astro-ph.SR].
  • [3111] T. Bruel, M.-A. Bizouard, M. Obergaulinger, P. Maturana-Russel, A. Torres-Forné, P. Cerdá-Durán, N. Christensen, J. A. Font, and R. Meyer, “Inference of protoneutron star properties in core-collapse supernovae from a gravitational-wave detector network,” Phys. Rev. D 107 no. 8, (2023) 083029, arXiv:2301.10019 [astro-ph.HE].
  • [3112] A. Torres-Forné, P. Cerdá-Durán, M. Obergaulinger, B. Müller, and J. A. Font, “Universal Relations for Gravitational-Wave Asteroseismology of Protoneutron Stars,” Phys. Rev. Lett. 123 no. 5, (2019) 051102, arXiv:1902.10048 [gr-qc]. [Erratum: Phys.Rev.Lett. 127, 239901 (2021)].
  • [3112] A. Torres-Forné, P. Cerdá-Durán, M. Obergaulinger, B. Müller, and J. A. Font, “Universal Relations for Gravitational-Wave Asteroseismology of Protoneutron Stars,” Phys. Rev. Lett. 123 no. 5, (2019) 051102, arXiv:1902.10048 [gr-qc]. [Erratum: Phys.Rev.Lett. 127, 239901 (2021)].
  • [3113] P. Jakobus, B. Müller, A. Heger, S. Zha, J. Powell, A. Motornenko, J. Steinheimer, and H. Stoecker, “Gravitational Waves from a Core g Mode in Supernovae as Probes of the High-Density Equation of State,” Phys. Rev. Lett. 131 no. 19, (2023) 191201, arXiv:2301.06515 [astro-ph.HE].
  • [3114] N. E. Wolfe, C. Fröhlich, J. M. Miller, A. Torres-Forné, and P. Cerdá-Durán, “Gravitational Wave Eigenfrequencies from Neutrino-driven Core-collapse Supernovae,” Astrophys. J. 954 no. 2, (2023) 161, arXiv:2303.16962 [astro-ph.HE].
  • [3115] M. Szczepanczyk et al., “Detecting and reconstructing gravitational waves from the next galactic core-collapse supernova in the advanced detector era,” Phys. Rev. D 104 no. 10, (2021) 102002, arXiv:2104.06462 [astro-ph.HE]. – 766 –
  • [3116] W. Li et al., “Nearby Supernova Rates from the Lick Observatory Supernova Search. II. The Observed Luminosity Functions and Fractions of Supernovae in a Complete Sample,” Mon. Not. Roy. Astron. Soc. 412 (2011) 1441, arXiv:1006.4612 [astro-ph.SR].
  • [3117] R. Chapman, N. R. Tanvir, R. S. Priddey, and A. J. Levan, “How common are long Gamma-Ray Bursts in the Local Universe?,” Mon. Not. Roy. Astron. Soc. 382 (2007) 21, arXiv:0708.2106 [astro-ph].
  • [3118] K. Rozwadowska, F. Vissani, and E. Cappellaro, “On the rate of core collapse supernovae in the milky way,” New Astron. 83 (2021) 101498, arXiv:2009.03438 [astro-ph.HE].
  • [3119] S. Ando, J. F. Beacom, and H. Yuksel, “Detection of neutrinos from supernovae in nearby galaxies,” Phys. Rev. Lett. 95 (2005) 171101, arXiv:astro-ph/0503321.
  • [3120] S. E. Gossan, P. Sutton, A. Stuver, M. Zanolin, K. Gill, and C. D. Ott, “Observing Gravitational Waves from Core-Collapse Supernovae in the Advanced Detector Era,” Phys. Rev. D 93 no. 4, (2016) 042002, arXiv:1511.02836 [astro-ph.HE].
  • [3121] T. Kuroda, T. Fischer, T. Takiwaki, and K. Kotake, “Core-collapse Supernova Simulations and the Formation of Neutron Stars, Hybrid Stars, and Black Holes,” ApJ 924 no. 1, (Jan., 2022) 38, arXiv:2109.01508 [astro-ph.HE].
  • [3122] N. K. Largani, T. Fischer, and N. U. F. Bastian, “Constraining the Onset Density for the QCD Phase Transition with the Neutrino Signal from Core-collapse Supernovae,” Astrophys. J. 964 no. 2, (2024) 143, arXiv:2304.12316 [astro-ph.HE].
  • [3123] B. Dasgupta, T. Fischer, S. Horiuchi, M. Liebendörfer, A. Mirizzi, I. Sagert, and J. Schaffner-Bielich, “Detecting the QCD phase transition in the next Galactic supernova neutrino burst,” Phys. Rev. D 81 no. 10, (May, 2010) 103005, arXiv:0912.2568 [astro-ph.HE].
  • [3124] T. Fischer, M.-R. Wu, B. Wehmeyer, N.-U. F. Bastian, G. Martı́nez-Pinedo, and F.-K. Thielemann, “Core-collapse Supernova Explosions Driven by the Hadron-quark Phase Transition as a Rare r-process Site,” ApJ 894 no. 1, (May, 2020) 9, arXiv:2003.00972 [astro-ph.HE].
  • [3125] F.-K. Thielemann, J. Isern, A. Perego, and P. von Ballmoos, “Nucleosynthesis in Supernovae,”.
  • [3126] F. Matteucci, “Modelling the chemical evolution of the Milky Way,” Astron. Astrophys. Rev. 29 no. 1, (2021) 5, arXiv:2106.13145 [astro-ph.GA].
  • [3127] A. Arcones and F.-K. Thielemann, “Origin of the elements,” Astron. Astrophys. Rev. 31 no. 1, (2023) 1.
  • [3128] D. Eichler, M. Livio, T. Piran, and D. N. Schramm, “Nucleosynthesis, Neutrino Bursts and Gamma-Rays from Coalescing Neutron Stars,” Nature 340 (1989) 126–128.
  • [3129] S. Rosswog and M. Liebendoerfer, “High resolution calculations of merging neutron stars. 2: Neutrino emission,” Mon. Not. Roy. Astron. Soc. 342 (2003) 673, arXiv:astro-ph/0302301.
  • [3130] A. Burrows, “Colloquium: Perspectives on core-collapse supernova theory,” Rev. Mod. Phys. 85 (2013) 245, arXiv:1210.4921 [astro-ph.SR].
  • [3131] J. Lippuner and L. F. Roberts, “r-Process Lanthanide Production and Heating Rates in Kilonovae,” Astrophys. J. 815 no. 2, (2015) 82, arXiv:1508.03133 [astro-ph.HE].
  • [3132] S. A. Giuliani, G. Martı́nez-Pinedo, M.-R. Wu, and L. M. Robledo, “Fission and the r -process nucleosynthesis of translead nuclei in neutron star mergers,” Phys. Rev. C 102 no. 4, (2020) 045804, arXiv:1904.03733 [nucl-th]. – 767 –
  • [3133] A. Perego, F.-K. Thielemann, and G. Cescutti, r-Process Nucleosynthesis from Compact Binary Mergers. 2021. arXiv:2109.09162 [astro-ph.HE].
  • [3134] S. Curtis, K. Ebinger, C. Fröhlich, M. Hempel, A. Perego, M. Liebendörfer, and F.-K. Thielemann, “PUSHing Core-Collapse Supernovae to Explosions in Spherical Symmetry III: Nucleosynthesis Yields,” Astrophys. J. 870 no. 1, (2019) 2, arXiv:1805.00498 [astro-ph.SR].
  • [3135] S. Ghosh, N. Wolfe, and C. Fröhlich, “PUSHing Core-collapse Supernovae to Explosions in Spherical Symmetry. V. Equation of State Dependency of Explosion Properties, Nucleosynthesis Yields, and Compact Remnants,” Astrophys. J. 929 no. 1, (2022) 43, arXiv:2107.13016 [astro-ph.HE].
  • [3136] N. J. Hammer, H. T. Janka, and E. Mueller, “Three-Dimensional Simulations of Mixing Instabilities in Supernova Explosions,” Astrophys. J. 714 (2010) 1371–1385, arXiv:0908.3474 [astro-ph.SR].
  • [3137] A. Wongwathanarat, E. Müller, and H. T. Janka, “Three-Dimensional Simulations of Core-Collapse Supernovae: From Shock Revival to Shock Breakout,” Astron. Astrophys. 577 (2015) A48, arXiv:1409.5431 [astro-ph.HE].
  • [3138] D. Vartanyan, A. Burrows, D. Radice, A. M. Skinner, and J. Dolence, “A Successful 3D Core-Collapse Supernova Explosion Model,” Mon. Not. Roy. Astron. Soc. 482 no. 1, (2019) 351–369, arXiv:1809.05106 [astro-ph.HE].
  • [3139] M. A. Sandoval, W. R. Hix, O. E. B. Messer, E. J. Lentz, and J. A. Harris, “Three-dimensional Core-collapse Supernova Simulations with 160 Isotopic Species Evolved to Shock Breakout,” Astrophys. J. 921 no. 2, (2021) 113, arXiv:2106.01389 [astro-ph.HE].
  • [3140] R. D. Hoffman, S. E. Woosley, and Y. Z. Qian, “Nucleosynthesis in neutrino driven winds: 2. Implications for heavy element synthesis,” Astrophys. J. 482 (1997) 951, arXiv:astro-ph/9611097.
  • [3141] H. T. Janka, “Neutrino Emission from Supernovae,” arXiv:1702.08713 [astro-ph.HE].
  • [3142] T. Fischer, S. C. Whitehouse, A. Mezzacappa, F. K. Thielemann, and M. Liebendorfer, “Protoneutron star evolution and the neutrino driven wind in general relativistic neutrino radiation hydrodynamics simulations,” Astron. Astrophys. 517 (2010) A80, arXiv:0908.1871 [astro-ph.HE].
  • [3143] L. Hudepohl, B. Muller, H. T. Janka, A. Marek, and G. G. Raffelt, “Neutrino Signal of Electron-Capture Supernovae from Core Collapse to Cooling,” Phys. Rev. Lett. 104 (2010) 251101, arXiv:0912.0260 [astro-ph.SR]. [Erratum: Phys.Rev.Lett. 105, 249901 (2010)].
  • [3143] L. Hudepohl, B. Muller, H. T. Janka, A. Marek, and G. G. Raffelt, “Neutrino Signal of Electron-Capture Supernovae from Core Collapse to Cooling,” Phys. Rev. Lett. 104 (2010) 251101, arXiv:0912.0260 [astro-ph.SR]. [Erratum: Phys.Rev.Lett. 105, 249901 (2010)].
  • [3144] Y. Z. Qian and S. E. Woosley, “Nucleosynthesis in neutrino driven winds: 1. The Physical conditions,” Astrophys. J. 471 (1996) 331–351, arXiv:astro-ph/9611094.
  • [3145] G. Martı́nez-Pinedo, T. Fischer, and L. Huther, “Supernova neutrinos and nucleosynthesis,” J. Phys. G 41 (2014) 044008, arXiv:1309.5477 [astro-ph.HE].
  • [3146] A. Perego, M. Hempel, C. Fröhlich, K. Ebinger, M. Eichler, J. Casanova, M. Liebendoerfer, and F. K. Thielemann, “Pushing Core-collapse Supernovae to Explosions in Spherical Symmetry. i. the Model and the Case of sn 1987a,” Astrophys. J. 806 no. 2, (2015) 275, arXiv:1501.02845 [astro-ph.SR].
  • [3147] G. Martı́nez-Pinedo, T. Fischer, K. Langanke, A. Lohs, A. Sieverding, and M.-R. Wu, Neutrinos and Their Impact on Core-Collapse Supernova Nucleosynthesis. 2017.
  • [3148] G. Martinez-Pinedo, T. Fischer, A. Lohs, and L. Huther, “Charged-current weak interaction processes in hot and dense matter and its impact on the spectra of neutrinos emitted from – 768 – proto-neutron star cooling,” Phys. Rev. Lett. 109 (2012) 251104, arXiv:1205.2793 [astro-ph.HE].
  • [3149] A. Arcones and F. K. Thielemann, “Neutrino-driven wind simulations and nucleosynthesis of heavy elements,” J. Phys. G 40 (2013) 013201, arXiv:1207.2527 [astro-ph.SR].
  • [3150] S. Wanajo, B. Müller, H.-T. Janka, and A. Heger, “Nucleosynthesis in the Innermost Ejecta of Neutrino-driven Supernova Explosions in Two Dimensions,” Astrophys. J. 852 no. 1, (2018) 40, arXiv:1701.06786 [astro-ph.SR].
  • [3151] A. Arcones and G. Martinez-Pinedo, “Dynamical r-process studies within the neutrino-driven wind scenario and its sensitivity to the nuclear physics input,” Phys. Rev. C 83 (2011) 045809, arXiv:1008.3890 [astro-ph.SR].
  • [3152] K. Hotokezaka, T. Piran, and M. Paul, “Short-lived 244 Pu Points to Compact Binary Mergers as Sites for Heavy r-process Nucleosynthesis,” Nature Phys. 11 (2015) 1042, arXiv:1510.00711 [astro-ph.HE].
  • [3153] C. Winteler, R. Kaeppeli, A. Perego, A. Arcones, N. Vasset, N. Nishimura, M. Liebendoerfer, and F.-K. Thielemann, “Magneto-rotationally driven Supernovae as the origin of early galaxy r-process elements?,” Astrophys. J. Lett. 750 (2012) L22, arXiv:1203.0616 [astro-ph.SR].
  • [3154] P. Mösta, L. F. Roberts, G. Halevi, C. D. Ott, J. Lippuner, R. Haas, and E. Schnetter, “R-process Nucleosynthesis from Three-Dimensional Magnetorotational Core-Collapse Supernovae,” Astrophys. J. 864 no. 2, (2018) 171, arXiv:1712.09370 [astro-ph.HE].
  • [3155] M. Reichert, M. Bugli, J. Guilet, M. Obergaulinger, M. A. Aloy, and A. Arcones, “Nucleosynthesis in magnetorotational supernovae: impact of the magnetic field configuration,” Mon. Not. Roy. Astron. Soc. 529 no. 4, (2024) 3197–3209, arXiv:2401.14402 [astro-ph.HE].
  • [3156] S.-i. Fujimoto, M.-a. Hashimoto, K. Kotake, and S. Yamada, “Heavy element nucleosynthesis in a collapsar,” Astrophys. J. 656 (2007) 382–392, arXiv:astro-ph/0602460.
  • [3157] B. Côté et al., “Neutron Star Mergers Might not be the Only Source of r-Process Elements in the Milky Way,” Astrophys. J. 875 no. 2, (2019) 106, arXiv:1809.03525 [astro-ph.HE].
  • [3158] K. Ebinger, S. Curtis, C. Fröhlich, M. Hempel, A. Perego, M. Liebendörfer, and F.-K. Thielemann, “PUSHing Core-collapse Supernovae to Explosions in Spherical Symmetry. II. Explodability and Remnant Properties,” Astrophys. J. 870 no. 1, (2019) 1, arXiv:1804.03182 [astro-ph.SR].
  • [3159] T. Kuroda, K. Kotake, K. Hayama, and T. Takiwaki, “Correlated Signatures of Gravitational-Wave and Neutrino Emission in Three-Dimensional General-Relativistic Core-Collapse Supernova Simulations,” Astrophys. J. 851 no. 1, (2017) 62, arXiv:1708.05252 [astro-ph.HE].
  • [3160] O. Halim, C. Casentini, M. Drago, V. Fafone, K. Scholberg, C. F. Vigorito, and G. Pagliaroli, “Multimessenger analysis strategy for core-collapse supernova search: gravitational waves and low-energy neutrinos,” JCAP 11 (2021) 021, arXiv:2107.02050 [astro-ph.HE].
  • [3161] K. Nakamura, S. Horiuchi, M. Tanaka, K. Hayama, T. Takiwaki, and K. Kotake, “Multimessenger signals of long-term core-collapse supernova simulations: synergetic observation strategies,” Mon. Not. Roy. Astron. Soc. 461 no. 3, (2016) 3296–3313, arXiv:1602.03028 [astro-ph.HE].
  • [3162] SNEWS Collaboration, S. Al Kharusi et al., “SNEWS 2.0: a next-generation supernova early warning system for multi-messenger astronomy,” New J. Phys. 23 no. 3, (2021) 031201, arXiv:2011.00035 [astro-ph.HE]. – 769 –
  • [3163] E. Lovegrove and S. E. Woosley, “Very Low Energy Supernovae from Neutrino Mass Loss,” Astrophys. J. 769 (2013) 109, arXiv:1303.5055 [astro-ph.HE].
  • [3164] S. J. Smartt, J. J. Eldridge, R. M. Crockett, and J. R. Maund, “The death of massive stars I. Observational constraints on the progenitors of type II-P supernovae,” Mon. Not. Roy. Astron. Soc. 395 (2009) 1409, arXiv:0809.0403 [astro-ph].
  • [3165] O. E. Andersen, S. Zha, A. da Silva Schneider, A. Betranhandy, S. M. Couch, and E. P. O’Connor, “Equation of State Dependence of Gravitational Waves in Core-Collapse Supernovae,” arXiv:2106.09734 [astro-ph.HE].
  • [3166] V. Morozova, D. Radice, A. Burrows, and D. Vartanyan, “The gravitational wave signal from core-collapse supernovae,” Astrophys. J. 861 no. 1, (2018) 10, arXiv:1801.01914 [astro-ph.HE].
  • [3167] R. D. Murphy, A. Casallas-Lagos, A. Mezzacappa, M. Zanolin, R. E. Landfield, E. J. Lentz, P. Marronetti, J. M. Antelis, and C. Moreno, “Dependence of the reconstructed core-collapse supernova gravitational wave high-frequency feature on the nuclear equation of state in real interferometric data,” Phys. Rev. D 110 no. 8, (2024) 083006, arXiv:2406.01784 [astro-ph.HE].
  • [3168] L. F. Roberts, G. Shen, V. Cirigliano, J. A. Pons, S. Reddy, and S. E. Woosley, “Proto-Neutron Star Cooling with Convection: The Effect of the Symmetry Energy,” Phys. Rev. Lett. 108 (2012) 061103, arXiv:1112.0335 [astro-ph.HE].
  • [3169] T. Fischer, M. Hempel, I. Sagert, Y. Suwa, and J. Schaffner-Bielich, “Symmetry energy impact in simulations of core-collapse supernovae,” Eur. Phys. J. A 50 (2014) 46, arXiv:1307.6190 [astro-ph.HE].
  • [3170] S. M. Couch, “The Dependence of the Neutrino Mechanism of Core-Collapse Supernovae on the Equation of State,” Astrophys. J. 765 (2013) 29, arXiv:1206.4724 [astro-ph.HE].
  • [3171] A. S. Schneider, L. F. Roberts, C. D. Ott, and E. O’connor, “Equation of state effects in the core collapse of a 20-M⊙ star,” Phys. Rev. C 100 no. 5, (2019) 055802, arXiv:1906.02009 [astro-ph.HE].
  • [3172] K. Nakazato, F. Nakanishi, M. Harada, Y. Koshio, Y. Suwa, K. Sumiyoshi, A. Harada, M. Mori, and R. A. Wendell, “Observing Supernova Neutrino Light Curves with Super-Kamiokande. II. Impact of the Nuclear Equation of State,” Astrophys. J. 925 no. 1, (2022) 98, arXiv:2108.03009 [astro-ph.HE].
  • [3173] A. Mezzacappa et al., “Core collapse supernova gravitational wave emission for progenitors of 9.6, 15, and 25M⊙,” Phys. Rev. D 107 no. 4, (2023) 043008, arXiv:2208.10643 [astro-ph.SR].
  • [3174] C. D. Ott, S. Ou, J. E. Tohline, and A. Burrows, “One-armed spiral instability in a slowly rotating, post-bounce supernova core,” Astrophys. J. Lett. 625 (2005) L119–L122, arXiv:astro-ph/0503187.
  • [3175] S. Shibagaki, T. Kuroda, K. Kotake, and T. Takiwaki, “Characteristic Time Variability of Gravitational-Wave and Neutrino Signals from Three-dimensional Simulations of Non-Rotating and Rapidly Rotating Stellar Core-Collapse,” Mon. Not. Roy. Astron. Soc. 502 no. 2, (2021) 3066–3084, arXiv:2010.03882 [astro-ph.HE].
  • [3176] M. Bugli, J. Guilet, T. Foglizzo, and M. Obergaulinger, “Three-dimensional core-collapse supernovae with complex magnetic structures – II. Rotational instabilities and multimessenger signatures,” Mon. Not. Roy. Astron. Soc. 520 no. 4, (2023) 5622–5634, arXiv:2210.05012 [astro-ph.HE].
  • [3177] G. Ghirlanda and R. Salvaterra, “The Cosmic History of Long Gamma Ray Bursts,” arXiv:2206.06390 [astro-ph.HE]. – 770 –
  • [3178] M. H. P. M. Van Putten, A. Levinson, F. Frontera, C. Guidorzi, L. Amati, and M. Della Valle, “Prospects for multi-messenger extended emission from core-collapse supernovae in the Local Universe,” Eur. Phys. J. Plus 134 no. 10, (2019) 537, arXiv:1709.04455 [astro-ph.HE].
  • [3179] D. M. Siegel, A. Agarwal, J. Barnes, B. D. Metzger, M. Renzo, and V. A. Villar, ““Super-kilonovae” from Massive Collapsars as Signatures of Black Hole Birth in the Pair-instability Mass Gap,” Astrophys. J. 941 no. 1, (2022) 100, arXiv:2111.03094 [astro-ph.HE].
  • [3180] P. Meszaros and E. Waxman, “TeV neutrinos from successful and choked gamma-ray bursts,” Phys. Rev. Lett. 87 (2001) 171102, arXiv:astro-ph/0103275.
  • [3181] S. Ando and J. F. Beacom, “Revealing the supernova-gamma-ray burst connection with TeV neutrinos,” Phys. Rev. Lett. 95 (2005) 061103, arXiv:astro-ph/0502521.
  • [3182] N. Senno, K. Murase, and P. Meszaros, “Choked Jets and Low-Luminosity Gamma-Ray Bursts as Hidden Neutrino Sources,” Phys. Rev. D 93 no. 8, (2016) 083003, arXiv:1512.08513 [astro-ph.HE].
  • [3183] P. B. Denton and I. Tamborra, “Exploring the Properties of Choked Gamma-ray Bursts with IceCube’s High-energy Neutrinos,” Astrophys. J. 855 no. 1, (2018) 37, arXiv:1711.00470 [astro-ph.HE].
  • [3184] M. Fasano, S. Celli, D. Guetta, A. Capone, A. Zegarelli, and I. Di Palma, “Estimating the neutrino flux from choked gamma-ray bursts,” JCAP 09 (2021) 044, arXiv:2101.03502 [astro-ph.HE].
  • [3185] J. M. Lattimer and D. N. Schramm, “Black-hole-neutron-star collisions,” Astrophys. J. Lett. 192 (1974) L145.
  • [3186] S. Rosswog, T. Piran, and E. Nakar, “The multi-messenger picture of compact object encounters: binary mergers versus dynamical collisions,” Mon. Not. Roy. Astron. Soc. 430 (2013) 2585, arXiv:1204.6240 [astro-ph.HE].
  • [3187] F. Foucart, R. Haas, M. D. Duez, E. O’Connor, C. D. Ott, L. Roberts, L. E. Kidder, J. Lippuner, H. P. Pfeiffer, and M. A. Scheel, “Low mass binary neutron star mergers : gravitational waves and neutrino emission,” Phys. Rev. D 93 no. 4, (2016) 044019, arXiv:1510.06398 [astro-ph.HE].
  • [3188] D. Radice, S. Bernuzzi, and A. Perego, “The Dynamics of Binary Neutron Star Mergers and GW170817,” Ann. Rev. Nucl. Part. Sci. 70 (2020) 95–119, arXiv:2002.03863 [astro-ph.HE].
  • [3189] S. Rosswog, M. Liebendoerfer, F. K. Thielemann, M. B. Davies, W. Benz, and T. Piran, “Mass ejection in neutron star mergers,” Astron. Astrophys. 341 (1999) 499–526, arXiv:astro-ph/9811367.
  • [3190] K. Hotokezaka, K. Kiuchi, K. Kyutoku, H. Okawa, Y.-i. Sekiguchi, M. Shibata, and K. Taniguchi, “Mass ejection from the merger of binary neutron stars,” Phys. Rev. D 87 (2013) 024001, arXiv:1212.0905 [astro-ph.HE].
  • [3191] A. Bauswein, S. Goriely, and H. T. Janka, “Systematics of dynamical mass ejection, nucleosynthesis, and radioactively powered electromagnetic signals from neutron-star mergers,” Astrophys. J. 773 (2013) 78, arXiv:1302.6530 [astro-ph.SR].
  • [3192] S. Wanajo, Y. Sekiguchi, N. Nishimura, K. Kiuchi, K. Kyutoku, and M. Shibata, “Production of all the r-process nuclides in the dynamical ejecta of neutron star mergers,” Astrophys. J. Lett. 789 (2014) L39, arXiv:1402.7317 [astro-ph.SR].
  • [3193] V. Nedora, S. Bernuzzi, D. Radice, B. Daszuta, A. Endrizzi, A. Perego, A. Prakash, M. Safarzadeh, F. Schianchi, and D. Logoteta, “Numerical Relativity Simulations of the – 771 – Neutron Star Merger GW170817: Long-Term Remnant Evolutions, Winds, Remnant Disks, and Nucleosynthesis,” Astrophys. J. 906 no. 2, (2021) 98, arXiv:2008.04333 [astro-ph.HE].
  • [3194] D. Radice, F. Galeazzi, J. Lippuner, L. F. Roberts, C. D. Ott, and L. Rezzolla, “Dynamical Mass Ejection from Binary Neutron Star Mergers,” Mon. Not. Roy. Astron. Soc. 460 no. 3, (2016) 3255–3271, arXiv:1601.02426 [astro-ph.HE].
  • [3195] Y. Sekiguchi, K. Kiuchi, K. Kyutoku, M. Shibata, and K. Taniguchi, “Dynamical mass ejection from the merger of asymmetric binary neutron stars: Radiation-hydrodynamics study in general relativity,” Phys. Rev. D 93 no. 12, (2016) 124046, arXiv:1603.01918 [astro-ph.HE].
  • [3196] V. Nedora, D. Radice, S. Bernuzzi, A. Perego, B. Daszuta, A. Endrizzi, A. Prakash, and F. Schianchi, “Dynamical ejecta synchrotron emission as a possible contributor to the changing behaviour of GRB170817A afterglow,” Mon. Not. Roy. Astron. Soc. 506 no. 4, (2021) 5908–5915, arXiv:2104.04537 [astro-ph.HE].
  • [3197] E. Nakar and T. Piran, “Radio Remnants of Compact Binary Mergers - the Electromagnetic Signal that will follow the Gravitational Waves,” Nature 478 (2011) 82–84, arXiv:1102.1020 [astro-ph.HE].
  • [3198] R. Fernández and B. D. Metzger, “Delayed outflows from black hole accretion tori following neutron star binary coalescence,” Mon. Not. Roy. Astron. Soc. 435 (2013) 502, arXiv:1304.6720 [astro-ph.HE].
  • [3199] D. M. Siegel, R. Ciolfi, and L. Rezzolla, “Magnetically driven winds from differentially rotating neutron stars and X-ray afterglows of short gamma-ray bursts,” Astrophys. J. Lett. 785 (2014) L6, arXiv:1401.4544 [astro-ph.HE].
  • [3200] R. Ciolfi and J. V. Kalinani, “Magnetically Driven Baryon Winds from Binary Neutron Star Merger Remnants and the Blue Kilonova of 2017 August,” Astrophys. J. Lett. 900 no. 2, (2020) L35, arXiv:2004.11298 [astro-ph.HE].
  • [3201] S. Fahlman and R. Fernández, “Long-term 3D MHD simulations of black hole accretion discs formed in neutron star mergers,” Mon. Not. Roy. Astron. Soc. 513 no. 2, (2022) 2689–2707, arXiv:2204.03005 [astro-ph.HE].
  • [3202] K. Kiuchi, A. Reboul-Salze, M. Shibata, and Y. Sekiguchi, “A large-scale magnetic field produced by a solar-like dynamo in binary neutron star mergers,” Nature Astron. 8 no. 3, (2024) 298–307, arXiv:2306.15721 [astro-ph.HE].
  • [3203] S. Bernuzzi et al., “Accretion-induced prompt black hole formation in asymmetric neutron star mergers, dynamical ejecta and kilonova signals,” Mon. Not. Roy. Astron. Soc. 497 no. 2, (2020) 1488–1507, arXiv:2003.06015 [astro-ph.HE].
  • [3204] T. Dietrich and M. Ujevic, “Modeling dynamical ejecta from binary neutron star mergers and implications for electromagnetic counterparts,” Class. Quant. Grav. 34 no. 10, (2017) 105014, arXiv:1612.03665 [gr-qc].
  • [3205] V. Nedora, F. Schianchi, S. Bernuzzi, D. Radice, B. Daszuta, A. Endrizzi, A. Perego, A. Prakash, and F. Zappa, “Mapping dynamical ejecta and disk masses from numerical relativity simulations of neutron star mergers,” Class. Quant. Grav. 39 no. 1, (2022) 015008, arXiv:2011.11110 [astro-ph.HE].
  • [3206] O. Just, A. Bauswein, R. A. Pulpillo, S. Goriely, and H. T. Janka, “Comprehensive nucleosynthesis analysis for ejecta of compact binary mergers,” Mon. Not. Roy. Astron. Soc. 448 no. 1, (2015) 541–567, arXiv:1406.2687 [astro-ph.SR].
  • [3207] M.-R. Wu, R. Fernández, G. Martı́nez-Pinedo, and B. D. Metzger, “Production of the entire range of r-process nuclides by black hole accretion disc outflows from neutron star mergers,” – 772 – Mon. Not. Roy. Astron. Soc. 463 no. 3, (2016) 2323–2334, arXiv:1607.05290 [astro-ph.HE].
  • [3208] A. Perego, S. Rosswog, R. M. Cabezón, O. Korobkin, R. Käppeli, A. Arcones, and M. Liebendörfer, “Neutrino-driven winds from neutron star merger remnants,” Mon. Not. Roy. Astron. Soc. 443 no. 4, (2014) 3134–3156, arXiv:1405.6730 [astro-ph.HE].
  • [3209] J. Lippuner, R. Fernández, L. F. Roberts, F. Foucart, D. Kasen, B. D. Metzger, and C. D. Ott, “Signatures of hypermassive neutron star lifetimes on r-process nucleosynthesis in the disc ejecta from neutron star mergers,” Mon. Not. Roy. Astron. Soc. 472 no. 1, (2017) 904–918, arXiv:1703.06216 [astro-ph.HE].
  • [3210] L.-X. Li and B. Paczynski, “Transient events from neutron star mergers,” Astrophys. J. Lett. 507 (1998) L59, arXiv:astro-ph/9807272.
  • [3211] B. D. Metzger, G. Martinez-Pinedo, S. Darbha, E. Quataert, A. Arcones, D. Kasen, R. Thomas, P. Nugent, I. V. Panov, and N. T. Zinner, “Electromagnetic Counterparts of Compact Object Mergers Powered by the Radioactive Decay of R-process Nuclei,” Mon. Not. Roy. Astron. Soc. 406 (2010) 2650, arXiv:1001.5029 [astro-ph.HE].
  • [3212] B. D. Metzger, “Kilonovae,” Living Rev. Rel. 23 no. 1, (2020) 1, arXiv:1910.01617 [astro-ph.HE].
  • [3213] L. F. Roberts, D. Kasen, W. H. Lee, and E. Ramirez-Ruiz, “Electromagnetic Transients Powered by Nuclear Decay in the Tidal Tails of Coalescing Compact Binaries,” Astrophys. J. Lett. 736 (2011) L21, arXiv:1104.5504 [astro-ph.HE].
  • [3214] D. Kasen, N. R. Badnell, and J. Barnes, “Opacities and Spectra of the r-process Ejecta from Neutron Star Mergers,” Astrophys. J. 774 (2013) 25, arXiv:1303.5788 [astro-ph.HE].
  • [3215] M. Tanaka and K. Hotokezaka, “Radiative Transfer Simulations of Neutron Star Merger Ejecta,” Astrophys. J. 775 (2013) 113, arXiv:1306.3742 [astro-ph.HE].
  • [3216] R. T. Wollaeger, O. Korobkin, C. J. Fontes, S. K. Rosswog, W. P. Even, C. L. Fryer, J. Sollerman, A. L. Hungerford, D. R. van Rossum, and A. B. Wollaber, “Impact of ejecta morphology and composition on the electromagnetic signatures of neutron star mergers,” Mon. Not. Roy. Astron. Soc. 478 no. 3, (2018) 3298–3334, arXiv:1705.07084 [astro-ph.HE].
  • [3217] M. Tanaka et al., “Kilonova from post-merger ejecta as an optical and near-infrared counterpart of GW170817,” Publ. Astron. Soc. Jap. 69 no. 6, (2017) psx12, arXiv:1710.05850 [astro-ph.HE].
  • [3218] M. Bulla, “POSSIS: predicting spectra, light curves and polarization for multi-dimensional models of supernovae and kilonovae,” Mon. Not. Roy. Astron. Soc. 489 no. 4, (2019) 5037–5045, arXiv:1906.04205 [astro-ph.HE].
  • [3219] L. J. Shingles, C. E. Collins, V. Vijayan, A. Flörs, O. Just, G. Leck, Z. Xiong, A. Bauswein, G. Martı́nez-Pinedo, and S. A. Sim, “Self-consistent 3D Radiative Transfer for Kilonovae: Directional Spectra from Merger Simulations,” Astrophys. J. Lett. 954 no. 2, (2023) L41, arXiv:2306.17612 [astro-ph.HE].
  • [3220] M. W. Coughlin et al., “Constraints on the neutron star equation of state from AT2017gfo using radiative transfer simulations,” Mon. Not. Roy. Astron. Soc. 480 no. 3, (2018) 3871–3878, arXiv:1805.09371 [astro-ph.HE].
  • [3221] M. Cusinato, F. M. Guercilena, A. Perego, D. Logoteta, D. Radice, S. Bernuzzi, and S. Ansoldi, “Neutrino emission from binary neutron star mergers: characterizing light curves and mean energies,” European Physical Journal A 58 (2022) 99, arXiv:2111.13005.
  • [3222] S. S. Kimura, K. Murase, P. Mészáros, and K. Kiuchi, “High-energy Neutrino Emission from – 773 – Short Gamma-Ray Bursts: Prospects for Coincident Detection with Gravitational Waves,” ApJ 848 no. 1, (Oct., 2017) L4, arXiv:1708.07075 [astro-ph.HE].
  • [3223] J. de Jesús Mendoza-Temis, M.-R. Wu, G. Martı́nez-Pinedo, K. Langanke, A. Bauswein, and H.-T. Janka, “Nuclear robustness of the r process in neutron-star mergers,” Phys. Rev. C 92 no. 5, (2015) 055805, arXiv:1409.6135 [astro-ph.HE].
  • [3224] S. Rosswog, U. Feindt, O. Korobkin, M. R. Wu, J. Sollerman, A. Goobar, and G. Martinez-Pinedo, “Detectability of compact binary merger macronovae,” Class. Quant. Grav. 34 no. 10, (2017) 104001, arXiv:1611.09822 [astro-ph.HE].
  • [3225] A. Dhani, D. Radice, J. Schütte-Engel, S. Gardner, B. Sathyaprakash, D. Logoteta, A. Perego, and R. Kashyap, “Prospects for direct detection of black hole formation in neutron star mergers with next-generation gravitational-wave detectors,” Phys. Rev. D 109 no. 4, (2024) 044071, arXiv:2306.06177 [gr-qc].
  • [3226] O. S. Salafia, M. E. Ravasio, G. Ghirlanda, and I. Mandel, “The short gamma-ray burst population in a quasi-universal jet scenario,” Astron. Astrophys. 680 (2023) A45, arXiv:2306.15488 [astro-ph.HE].
  • [3227] B. Margalit and B. D. Metzger, “Constraining the Maximum Mass of Neutron Stars From Multi-Messenger Observations of GW170817,” Astrophys. J. Lett. 850 no. 2, (2017) L19, arXiv:1710.05938 [astro-ph.HE].
  • [3228] D. Radice, A. Perego, F. Zappa, and S. Bernuzzi, “GW170817: Joint Constraint on the Neutron Star Equation of State from Multimessenger Observations,” Astrophys. J. Lett. 852 no. 2, (2018) L29, arXiv:1711.03647 [astro-ph.HE].
  • [3229] S. De, D. Finstad, J. M. Lattimer, D. A. Brown, E. Berger, and C. M. Biwer, “Tidal Deformabilities and Radii of Neutron Stars from the Observation of GW170817,” Phys. Rev. Lett. 121 no. 9, (2018) 091102, arXiv:1804.08583 [astro-ph.HE]. [Erratum: Phys.Rev.Lett. 121, 259902 (2018)].
  • [3229] S. De, D. Finstad, J. M. Lattimer, D. A. Brown, E. Berger, and C. M. Biwer, “Tidal Deformabilities and Radii of Neutron Stars from the Observation of GW170817,” Phys. Rev. Lett. 121 no. 9, (2018) 091102, arXiv:1804.08583 [astro-ph.HE]. [Erratum: Phys.Rev.Lett. 121, 259902 (2018)].
  • [3230] D. Radice and L. Dai, “Multimessenger Parameter Estimation of GW170817,” Eur. Phys. J. A 55 no. 4, (2019) 50, arXiv:1810.12917 [astro-ph.HE].
  • [3231] M. W. Coughlin, T. Dietrich, B. Margalit, and B. D. Metzger, “Multimessenger Bayesian parameter inference of a binary neutron star merger,” Mon. Not. Roy. Astron. Soc. 489 no. 1, (2019) L91–L96, arXiv:1812.04803 [astro-ph.HE].
  • [3232] C. D. Capano, I. Tews, S. M. Brown, B. Margalit, S. De, S. Kumar, D. A. Brown, B. Krishnan, and S. Reddy, “Stringent constraints on neutron-star radii from multimessenger observations and nuclear theory,” Nature Astron. 4 no. 6, (2020) 625–632, arXiv:1908.10352 [astro-ph.HE].
  • [3233] T. Dietrich, M. W. Coughlin, P. T. H. Pang, M. Bulla, J. Heinzel, L. Issa, I. Tews, and S. Antier, “Multimessenger constraints on the neutron-star equation of state and the Hubble constant,” Science 370 no. 6523, (2020) 1450–1453, arXiv:2002.11355 [astro-ph.HE].
  • [3234] P. T. H. Pang, I. Tews, M. W. Coughlin, M. Bulla, C. Van Den Broeck, and T. Dietrich, “Nuclear Physics Multimessenger Astrophysics Constraints on the Neutron Star Equation of State: Adding NICER’s PSR J0740+6620 Measurement,” Astrophys. J. 922 no. 1, (2021) 14, arXiv:2105.08688 [astro-ph.HE].
  • [3235] S. Huth et al., “Constraining Neutron-Star Matter with Microscopic and Macroscopic Collisions,” Nature 606 (2022) 276–280, arXiv:2107.06229 [nucl-th].
  • [3236] R. Dudi, A. Adhikari, B. Brügmann, T. Dietrich, K. Hayashi, K. Kawaguchi, K. Kiuchi, K. Kyutoku, M. Shibata, and W. Tichy, “Investigating GW190425 with numerical-relativity simulations,” Phys. Rev. D 106 no. 8, (2022) 084039, arXiv:2109.04063 [astro-ph.HE]. – 774 –
  • [3237] A. Camilletti, L. Chiesa, G. Ricigliano, A. Perego, L. C. Lippold, S. Padamata, S. Bernuzzi, D. Radice, D. Logoteta, and F. M. Guercilena, “Numerical relativity simulations of the neutron star merger GW190425: microphysics and mass ratio effects,” arXiv:2204.05336 [astro-ph.HE].
  • [3238] D. Radice, G. Ricigliano, M. Bhattacharya, A. Perego, F. J. Fattoyev, and K. Murase, “What if GW190425 did not produce a black hole promptly?,” Mon. Not. Roy. Astron. Soc. 528 no. 4, (2024) 5836–5844, arXiv:2309.15195 [astro-ph.HE].
  • [3239] S. Biscoveanu, E. Thrane, and S. Vitale, “Constraining short gamma-ray burst jet properties with gravitational waves and gamma rays,” Astrophys. J. 893 (2020) 38, arXiv:1911.01379 [astro-ph.HE].
  • [3240] M. Breschi, R. Gamba, G. Carullo, D. Godzieba, S. Bernuzzi, A. Perego, and D. Radice, “Bayesian inference of multimessenger astrophysical data: Joint and coherent inference of gravitational waves and kilonovae,” arXiv:2401.03750 [astro-ph.HE].
  • [3241] R. Fernández, F. Foucart, D. Kasen, J. Lippuner, D. Desai, and L. F. Roberts, “Dynamics, nucleosynthesis, and kilonova signature of black hole—neutron star merger ejecta,” Class. Quant. Grav. 34 no. 15, (2017) 154001, arXiv:1612.04829 [astro-ph.HE].
  • [3242] O. Just, V. Vijayan, Z. Xiong, S. Goriely, T. Soultanis, A. Bauswein, J. Guilet, H. T. Janka, H.-T. Janka, and G. Martı́nez-Pinedo, “End-to-end Kilonova Models of Neutron Star Mergers with Delayed Black Hole Formation,” Astrophys. J. Lett. 951 no. 1, (2023) L12, arXiv:2302.10928 [astro-ph.HE].
  • [3243] M.-R. Wu, Y.-Z. Qian, G. Martinez-Pinedo, T. Fischer, and L. Huther, “Effects of neutrino oscillations on nucleosynthesis and neutrino signals for an 18 M supernova model,” Phys. Rev. D 91 no. 6, (2015) 065016, arXiv:1412.8587 [astro-ph.HE].
  • [3244] A. Mirizzi, I. Tamborra, H.-T. Janka, N. Saviano, K. Scholberg, R. Bollig, L. Hudepohl, and S. Chakraborty, “Supernova Neutrinos: Production, Oscillations and Detection,” Riv. Nuovo Cim. 39 no. 1-2, (2016) 1–112, arXiv:1508.00785 [astro-ph.HE].
  • [3245] M.-R. Wu, I. Tamborra, O. Just, and H.-T. Janka, “Imprints of neutrino-pair flavor conversions on nucleosynthesis in ejecta from neutron-star merger remnants,” Phys. Rev. D 96 no. 12, (2017) 123015, arXiv:1711.00477 [astro-ph.HE].
  • [3246] Y.-L. Zhu, A. Perego, and G. C. McLaughlin, “Matter Neutrino Resonance Transitions above a Neutron Star Merger Remnant,” Phys. Rev. D 94 no. 10, (2016) 105006, arXiv:1607.04671 [hep-ph].
  • [3247] M. Frensel, M.-R. Wu, C. Volpe, and A. Perego, “Neutrino Flavor Evolution in Binary Neutron Star Merger Remnants,” Phys. Rev. D 95 no. 2, (2017) 023011, arXiv:1607.05938 [astro-ph.HE].
  • [3248] E. E. Flanagan and T. Hinderer, “Constraining neutron star tidal Love numbers with gravitational wave detectors,” Phys. Rev. D 77 (2008) 021502, arXiv:0709.1915 [astro-ph].
  • [3249] J. Vines, E. E. Flanagan, and T. Hinderer, “Post-1-Newtonian tidal effects in the gravitational waveform from binary inspirals,” Phys. Rev. D 83 (2011) 084051, arXiv:1101.1673 [gr-qc].
  • [3250] Q. Henry, G. Faye, and L. Blanchet, “Tidal effects in the gravitational-wave phase evolution of compact binary systems to next-to-next-to-leading post-Newtonian order,” Phys. Rev. D 102 no. 4, (2020) 044033, arXiv:2005.13367 [gr-qc]. [Erratum: Phys.Rev.D 108, 089901 (2023)].
  • [3250] Q. Henry, G. Faye, and L. Blanchet, “Tidal effects in the gravitational-wave phase evolution of compact binary systems to next-to-next-to-leading post-Newtonian order,” Phys. Rev. D 102 no. 4, (2020) 044033, arXiv:2005.13367 [gr-qc]. [Erratum: Phys.Rev.D 108, 089901 (2023)].
  • [3251] T. Hinderer et al., “Effects of neutron-star dynamic tides on gravitational waveforms within the effective-one-body approach,” Phys. Rev. Lett. 116 no. 18, (2016) 181101, arXiv:1602.00599 [gr-qc]. – 775 –
  • [3252] J. Steinhoff, T. Hinderer, A. Buonanno, and A. Taracchini, “Dynamical Tides in General Relativity: Effective Action and Effective-One-Body Hamiltonian,” Phys. Rev. D 94 no. 10, (2016) 104028, arXiv:1608.01907 [gr-qc].
  • [3253] T. Pitre and E. Poisson, “General relativistic dynamical tides in binary inspirals without modes,” Phys. Rev. D 109 no. 6, (2024) 064004, arXiv:2311.04075 [gr-qc].
  • [3254] P. Schmidt and T. Hinderer, “Frequency domain model of f-mode dynamic tides in gravitational waveforms from compact binary inspirals,” Phys. Rev. D 100 no. 2, (2019) 021501, arXiv:1905.00818 [gr-qc].
  • [3255] A. Abac, T. Dietrich, A. Buonanno, J. Steinhoff, and M. Ujevic, “New and robust gravitational-waveform model for high-mass-ratio binary neutron star systems with dynamical tidal effects,” Phys. Rev. D 109 no. 2, (2024) 024062, arXiv:2311.07456 [gr-qc].
  • [3256] G. Pratten, P. Schmidt, and N. Williams, “Impact of Dynamical Tides on the Reconstruction of the Neutron Star Equation of State,” Phys. Rev. Lett. 129 no. 8, (2022) 081102, arXiv:2109.07566 [astro-ph.HE].
  • [3257] G. Pratten, P. Schmidt, and T. Hinderer, “Gravitational-Wave Asteroseismology with Fundamental Modes from Compact Binary Inspirals,” Nature Commun. 11 no. 1, (2020) 2553, arXiv:1905.00817 [gr-qc].
  • [3258] N. Williams, G. Pratten, and P. Schmidt, “Prospects for distinguishing dynamical tides in inspiralling binary neutron stars with third generation gravitational-wave detectors,” Phys. Rev. D 105 no. 12, (2022) 123032, arXiv:2203.00623 [astro-ph.HE].
  • [3259] D. Lai and Y. Wu, “Resonant Tidal Excitations of Inertial Modes in Coalescing Neutron Star Binaries,” Phys. Rev. D 74 (2006) 024007, arXiv:astro-ph/0604163.
  • [3260] E. Poisson, “Gravitomagnetic tidal resonance in neutron-star binary inspirals,” Phys. Rev. D 101 no. 10, (2020) 104028, arXiv:2003.10427 [gr-qc].
  • [3261] P. K. Gupta, J. Steinhoff, and T. Hinderer, “Effect of dynamical gravitomagnetic tides on measurability of tidal parameters for binary neutron stars using gravitational waves,” Phys. Rev. D 108 no. 12, (2023) 124040, arXiv:2302.11274 [gr-qc].
  • [3262] A. Passamonti, N. Andersson, and P. Pnigouras, “Dynamical tides in neutron stars: The impact of the crust,” Mon. Not. Roy. Astron. Soc. 504 no. 1, (2021) 1273–1293, arXiv:2012.09637 [astro-ph.HE].
  • [3263] H.-J. Kuan, A. G. Suvorov, and K. D. Kokkotas, “General-relativistic treatment of tidal g-mode resonances in coalescing binaries of neutron stars – I. Theoretical framework and crust breaking,” Mon. Not. Roy. Astron. Soc. 506 no. 2, (2021) 2985–2998, arXiv:2106.16123 [gr-qc].
  • [3264] W. Xu and D. Lai, “Resonant Tidal Excitation of Oscillation Modes in Merging Binary Neutron Stars: Inertial-Gravity Modes,” Phys. Rev. D 96 no. 8, (2017) 083005, arXiv:1708.01839 [astro-ph.HE].
  • [3265] H. Yu, N. N. Weinberg, P. Arras, J. Kwon, and T. Venumadhav, “Beyond the linear tide: impact of the non-linear tidal response of neutron stars on gravitational waveforms from binary inspirals,” Mon. Not. Roy. Astron. Soc. 519 no. 3, (2023) 4325–4343, arXiv:2211.07002 [gr-qc].
  • [3266] J. Steinhoff, T. Hinderer, T. Dietrich, and F. Foucart, “Spin effects on neutron star fundamental-mode dynamical tides: Phenomenology and comparison to numerical simulations,” Phys. Rev. Res. 3 no. 3, (2021) 033129, arXiv:2103.06100 [gr-qc].
  • [3267] G. Castro, L. Gualtieri, A. Maselli, and P. Pani, “Impact and detectability of spin-tidal – 776 – couplings in neutron star inspirals,” Phys. Rev. D 106 no. 2, (2022) 024011, arXiv:2204.12510 [gr-qc].
  • [3268] T. Abdelsalhin, L. Gualtieri, and P. Pani, “Post-Newtonian spin-tidal couplings for compact binaries,” Phys. Rev. D 98 no. 10, (2018) 104046, arXiv:1805.01487 [gr-qc].
  • [3269] A. Hegade K. R., J. L. Ripley, and N. Yunes, “Dynamical tidal response of nonrotating relativistic stars,” Phys. Rev. D 109 no. 10, (2024) 104064, arXiv:2403.03254 [gr-qc].
  • [3270] J.-S. Wang and D. Lai, “Evolution of inspiralling neutron star binaries: effects of tidal interactions and orbital eccentricities,” Phys. Rev. D 102 no. 8, (2020) 083005, arXiv:2009.08300 [astro-ph.HE].
  • [3271] H. Yang, “Inspiralling eccentric binary neutron stars: Orbital motion and tidal resonance,” Phys. Rev. D 100 no. 6, (2019) 064023, arXiv:1904.11089 [gr-qc].
  • [3272] G. Pratten et al., “Computationally efficient models for the dominant and subdominant harmonic modes of precessing binary black holes,” Phys. Rev. D 103 no. 10, (2021) 104056, arXiv:2004.06503 [gr-qc].
  • [3273] C. Garcı́a-Quirós, M. Colleoni, S. Husa, H. Estellés, G. Pratten, A. Ramos-Buades, M. Mateu-Lucena, and R. Jaume, “Multimode frequency-domain model for the gravitational wave signal from nonprecessing black-hole binaries,” Phys. Rev. D 102 no. 6, (2020) 064002, arXiv:2001.10914 [gr-qc].
  • [3274] L. Pompili et al., “Laying the foundation of the effective-one-body waveform models SEOBNRv5: Improved accuracy and efficiency for spinning nonprecessing binary black holes,” Phys. Rev. D 108 no. 12, (2023) 124035, arXiv:2303.18039 [gr-qc].
  • [3275] A. Ramos-Buades, A. Buonanno, H. Estellés, M. Khalil, D. P. Mihaylov, S. Ossokine, L. Pompili, and M. Shiferaw, “SEOBNRv5PHM: Next generation of accurate and efficient multipolar precessing-spin effective-one-body waveforms for binary black holes,” arXiv:2303.18046 [gr-qc].
  • [3276] A. Dhani, S. Völkel, A. Buonanno, H. Estelles, J. Gair, H. P. Pfeiffer, L. Pompili, and A. Toubiana, “Systematic Biases in Estimating the Properties of Black Holes Due to Inaccurate Gravitational-Wave Models,” arXiv:2404.05811 [gr-qc].
  • [3277] S. Akcay, S. Bernuzzi, F. Messina, A. Nagar, N. Ortiz, and P. Rettegno, “Effective-one-body multipolar waveform for tidally interacting binary neutron stars up to merger,” Phys. Rev. D 99 no. 4, (2019) 044051, arXiv:1812.02744 [gr-qc].
  • [3278] K. Chatziioannou, N. Cornish, A. Klein, and N. Yunes, “Spin-Precession: Breaking the Black Hole–Neutron Star Degeneracy,” Astrophys. J. Lett. 798 no. 1, (2015) L17, arXiv:1402.3581 [gr-qc].
  • [3279] J. E. Thompson, E. Fauchon-Jones, S. Khan, E. Nitoglia, F. Pannarale, T. Dietrich, and M. Hannam, “Modeling the gravitational wave signature of neutron star black hole coalescences,” Phys. Rev. D 101 no. 12, (2020) 124059, arXiv:2002.08383 [gr-qc].
  • [3280] A. Matas et al., “Aligned-spin neutron-star–black-hole waveform model based on the effective-one-body approach and numerical-relativity simulations,” Phys. Rev. D 102 no. 4, (2020) 043023, arXiv:2004.10001 [gr-qc].
  • [3281] A. Gonzalez, R. Gamba, M. Breschi, F. Zappa, G. Carullo, S. Bernuzzi, and A. Nagar, “Numerical-relativity-informed effective-one-body model for black-hole–neutron-star mergers with higher modes and spin precession,” Phys. Rev. D 107 no. 8, (2023) 084026, arXiv:2212.03909 [gr-qc].
  • [3282] T. A. Clarke, L. Chastain, P. D. Lasky, and E. Thrane, “Nuclear Physics with Gravitational Waves from Neutron Stars Disrupted by Black Holes,” Astrophys. J. Lett. 949 no. 1, (2023) L6, arXiv:2302.09711 [gr-qc]. – 777 –
  • [3283] L. R. Weih, M. Hanauske, and L. Rezzolla, “Postmerger Gravitational-Wave Signatures of Phase Transitions in Binary Mergers,” Phys. Rev. Lett. 124 no. 17, (2020) 171103, arXiv:1912.09340 [gr-qc].
  • [3284] S. Bose, K. Chakravarti, L. Rezzolla, B. S. Sathyaprakash, and K. Takami, “Neutron-star Radius from a Population of Binary Neutron Star Mergers,” Phys. Rev. Lett. 120 no. 3, (2018) 031102, arXiv:1705.10850 [gr-qc].
  • [3285] V. Vijayan, N. Rahman, A. Bauswein, G. Martı́nez-Pinedo, and I. L. Arbina, “Impact of pions on binary neutron star mergers,” Phys. Rev. D 108 no. 2, (2023) 023020, arXiv:2302.12055 [astro-ph.HE].
  • [3286] I. Legred, Y. Kim, N. Deppe, K. Chatziioannou, F. Foucart, F. Hébert, and L. E. Kidder, “Simulating neutron stars with a flexible enthalpy-based equation of state parametrization in spectre,” Phys. Rev. D 107 no. 12, (2023) 123017, arXiv:2301.13818 [astro-ph.HE].
  • [3287] L. Rezzolla and O. Zanotti, Relativistic Hydrodynamics. Oxford University Press, Oxford, 2013.
  • [3288] M. Shibata, Numerical Relativity. World Scientific, Singapore, 2016.
  • [3289] D. Radice, L. Rezzolla, and F. Galeazzi, “Beyond second-order convergence in simulations of binary neutron stars in full general-relativity,” Mon. Not. Roy. Astron. Soc. 437 (2014) L46–L50, arXiv:1306.6052 [gr-qc].
  • [3290] K. Hotokezaka, K. Kyutoku, H. Okawa, and M. Shibata, “Exploring tidal effects of coalescing binary neutron stars in numerical relativity. II. Long-term simulations,” Phys. Rev. D 91 no. 6, (2015) 064060, arXiv:1502.03457 [gr-qc].
  • [3291] K. Kiuchi, K. Kawaguchi, K. Kyutoku, Y. Sekiguchi, M. Shibata, and K. Taniguchi, “Sub-radian-accuracy gravitational waveforms of coalescing binary neutron stars in numerical relativity,” Phys. Rev. D 96 no. 8, (2017) 084060, arXiv:1708.08926 [astro-ph.HE].
  • [3292] S. Bernuzzi and T. Dietrich, “Gravitational waveforms from binary neutron star mergers with high-order weighted-essentially-nonoscillatory schemes in numerical relativity,” Phys. Rev. D 94 no. 6, (2016) 064062, arXiv:1604.07999 [gr-qc].
  • [3293] T. Dietrich, D. Radice, S. Bernuzzi, F. Zappa, A. Perego, B. Brügmann, S. V. Chaurasia, R. Dudi, W. Tichy, and M. Ujevic, “CoRe database of binary neutron star merger waveforms,” Class. Quant. Grav. 35 no. 24, (2018) 24LT01, arXiv:1806.01625 [gr-qc].
  • [3294] K. Kiuchi, K. Kawaguchi, K. Kyutoku, Y. Sekiguchi, and M. Shibata, “Sub-radian-accuracy gravitational waves from coalescing binary neutron stars in numerical relativity. II. Systematic study on the equation of state, binary mass, and mass ratio,” Phys. Rev. D 101 no. 8, (2020) 084006, arXiv:1907.03790 [astro-ph.HE].
  • [3295] G. Doulis, F. Atteneder, S. Bernuzzi, and B. Brügmann, “Entropy-limited higher-order central scheme for neutron star merger simulations,” Phys. Rev. D 106 no. 2, (2022) 024001, arXiv:2202.08839 [gr-qc].
  • [3296] T. Dietrich, S. Bernuzzi, B. Bruegmann, and W. Tichy, “High-resolution numerical relativity simulations of spinning binary neutron star mergers,” in 26th Euromicro International Conference on Parallel, Distributed and Network-based Processing, pp. 682–689. 2018. arXiv:1803.07965 [gr-qc].
  • [3297] F. Foucart et al., “Gravitational waveforms from spectral Einstein code simulations: Neutron star-neutron star and low-mass black hole-neutron star binaries,” Phys. Rev. D 99 no. 4, (2019) 044008, arXiv:1812.06988 [gr-qc].
  • [3298] M. Bugner, T. Dietrich, S. Bernuzzi, A. Weyhausen, and B. Brügmann, “Solving 3D – 778 – relativistic hydrodynamical problems with weighted essentially nonoscillatory discontinuous Galerkin methods,” Phys. Rev. D 94 no. 8, (2016) 084004, arXiv:1508.07147 [gr-qc].
  • [3299] N. Deppe et al., “Simulating magnetized neutron stars with discontinuous Galerkin methods,” Phys. Rev. D 105 no. 12, (2022) 123031, arXiv:2109.12033 [gr-qc].
  • [3300] M. Dumbser, F. Fambri, E. Gaburro, and A. Reinarz, “On glm curl cleaning for a first order reduction of the ccz4 formulation of the einstein field equations,” Journal of Computational Physics 404 (2020) 109088. https://www.sciencedirect.com/science/article/pii/S0021999119307934.
  • [3301] F. Guercilena, D. Radice, and L. Rezzolla, “Entropy-limited hydrodynamics: a novel approach to relativistic hydrodynamics,” Comput. Astrophys. Cosmol. 4 no. 1, (2017) 3, arXiv:1612.06251 [gr-qc].
  • [3302] L. Baiotti, T. Damour, B. Giacomazzo, A. Nagar, and L. Rezzolla, “Accurate numerical simulations of inspiralling binary neutron stars and their comparison with effective-one-body analytical models,” Phys. Rev. D 84 (2011) 024017, arXiv:1103.3874 [gr-qc].
  • [3303] R. Haas et al., “Simulations of inspiraling and merging double neutron stars using the Spectral Einstein Code,” Phys. Rev. D 93 no. 12, (2016) 124062, arXiv:1604.00782 [gr-qc].
  • [3304] N. T. Bishop, R. Gomez, L. Lehner, and J. Winicour, “Cauchy-characteristic extraction in numerical relativity,” Phys. Rev. D 54 (1996) 6153–6165, arXiv:gr-qc/9705033.
  • [3305] H. Gieg, F. Schianchi, M. Ujevic, and T. Dietrich, “On the Role of Muons in Binary Neutron Star Mergers: First Simulations,” arXiv:2409.04420 [gr-qc].
  • [3306] Y. Kim and E. R. Most, “General-relativistic Bondi-Hoyle-Lyttleton accretion in a toroidally magnetized medium,” arXiv:2409.12359 [astro-ph.HE].
  • [3307] F. Foucart, “Neutrino transport in general relativistic neutron star merger simulations,” Liv. Rev. Comput. Astrophys. 9 no. 1, (2023) 1, arXiv:2209.02538 [astro-ph.HE].
  • [3308] L. Sun, M. Ruiz, S. L. Shapiro, and A. Tsokaros, “Jet launching from binary neutron star mergers: Incorporating neutrino transport and magnetic fields,” Phys. Rev. D 105 no. 10, (May, 2022) 104028, arXiv:2202.12901 [astro-ph.HE].
  • [3309] S. Rosswog, “The multi-messenger picture of compact binary mergers,” Int. J. Mod. Phys. D 24 no. 05, (2015) 1530012, arXiv:1501.02081 [astro-ph.HE].
  • [3310] S. A. Balbus and J. F. Hawley, “A powerful local shear instability in weakly magnetized disks. 1. Linear analysis. 2. Nonlinear evolution,” Astrophys. J. 376 (1991) 214–233.
  • [3311] D. M. Siegel, R. Ciolfi, A. I. Harte, and L. Rezzolla, “Magnetorotational instability in relativistic hypermassive neutron stars,” Phys. Rev. D 87 no. 12, (2013) 121302, arXiv:1302.4368 [gr-qc].
  • [3312] B. Giacomazzo, L. Rezzolla, and L. Baiotti, “Accurate evolutions of inspiralling and magnetized neutron-stars: Equal-mass binaries,” Phys. Rev. D 83 (2011) 044014, arXiv:1009.2468 [gr-qc].
  • [3313] L. Rezzolla, B. Giacomazzo, L. Baiotti, J. Granot, C. Kouveliotou, and M. A. Aloy, “The missing link: Merging neutron stars naturally produce jet-like structures and can power short Gamma-Ray Bursts,” Astrophys. J. Lett. 732 (2011) L6, arXiv:1101.4298 [astro-ph.HE].
  • [3314] D. Price and S. Rosswog, “Producing ultra-strong magnetic fields in neutron star mergers,” Science 312 (2006) 719, arXiv:astro-ph/0603845.
  • [3315] R. D. Blandford and R. L. Znajek, “Electromagnetic extractions of energy from Kerr black holes,” Mon. Not. Roy. Astron. Soc. 179 (1977) 433–456. – 779 –
  • [3316] D. M. Siegel and B. D. Metzger, “Three-Dimensional General-Relativistic Magnetohydrodynamic Simulations of Remnant Accretion Disks from Neutron Star Mergers: Outflows and r -Process Nucleosynthesis,” Phys. Rev. Lett. 119 no. 23, (Dec., 2017) 231102, arXiv:1705.05473 [astro-ph.HE].
  • [3317] P. Mösta, D. Radice, R. Haas, E. Schnetter, and S. Bernuzzi, “A Magnetar Engine for Short GRBs and Kilonovae,” ApJ 901 no. 2, (Oct., 2020) L37, arXiv:2003.06043 [astro-ph.HE].
  • [3318] K. Kiuchi, A. Reboul-Salze, M. Shibata, and Y. Sekiguchi, “A large-scale magnetic field via PLACEHOLDERalphaPLACEHOLDEROmega dynamo in binary neutron star mergers,” arXiv:2306.15721 [astro-ph.HE].
  • [3319] D. Radice, “Binary Neutron Star Merger Simulations with a Calibrated Turbulence Model,” Symmetry 12 no. 8, (2020) 1249, arXiv:2005.09002 [astro-ph.HE].
  • [3320] D. Viganò, R. Aguilera-Miret, F. Carrasco, B. Miñano, and C. Palenzuela, “General relativistic MHD large eddy simulations with gradient subgrid-scale model,” Phys. Rev. D 101 no. 12, (2020) 123019, arXiv:2004.00870 [gr-qc].
  • [3321] R. Aguilera-Miret, D. Viganò, F. Carrasco, B. Miñano, and C. Palenzuela, “Turbulent magnetic-field amplification in the first 10 milliseconds after a binary neutron star merger: Comparing high-resolution and large-eddy simulations,” Phys. Rev. D 102 no. 10, (2020) 103006, arXiv:2009.06669 [gr-qc].
  • [3322] T. Celora, N. Andersson, I. Hawke, and G. L. Comer, “Covariant approach to relativistic large-eddy simulations: The fibration picture,” Phys. Rev. D 104 no. 8, (2021) 084090, arXiv:2107.01083 [gr-qc].
  • [3323] T. Celora, M. J. Hatton, I. Hawke, and N. Andersson, “Covariant approach to relativistic large-eddy simulations: Lagrangian filtering,” arXiv:2405.13593 [astro-ph.HE].
  • [3324] C. Palenzuela, L. Lehner, M. Ponce, S. L. Liebling, M. Anderson, D. Neilsen, and P. Motl, “Electromagnetic and Gravitational Outputs from Binary-Neutron-Star Coalescence,” Phys. Rev. Lett. 111 no. 6, (Aug., 2013) 061105, arXiv:1301.7074 [gr-qc].
  • [3325] K. Dionysopoulou, D. Alic, and L. Rezzolla, “General-relativistic resistive-magnetohydrodynamic simulations of binary neutron stars,” Phys. Rev. D 92 no. 8, (2015) 084064, arXiv:1502.02021 [gr-qc].
  • [3326] E. R. Most, S. P. Harris, C. Plumberg, M. G. Alford, J. Noronha, J. Noronha-Hostler, F. Pretorius, H. Witek, and N. Yunes, “Projecting the likely importance of weak-interaction-driven bulk viscosity in neutron star mergers,” Mon. Not. Roy. Astron. Soc. 509 no. 1, (2021) 1096–1108, arXiv:2107.05094 [astro-ph.HE].
  • [3327] L. Shao, “Degeneracy in Studying the Supranuclear Equation of State and Modified Gravity with Neutron Stars,” AIP Conf. Proc. 2127 no. 1, (2019) 020016, arXiv:1901.07546 [gr-qc].
  • [3328] A. A. Starobinsky, “Disappearing cosmological constant in f(R) gravity,” JETP Lett. 86 (2007) 157–163, arXiv:0706.2041 [astro-ph].
  • [3329] S. S. Yazadjiev, D. D. Doneva, K. D. Kokkotas, and K. V. Staykov, “Non-perturbative and self-consistent models of neutron stars in R-squared gravity,” JCAP 06 (2014) 003, arXiv:1402.4469 [gr-qc].
  • [3330] G. Raaijmakers et al., “A NICER view of PSR J0030+0451: Implications for the dense matter equation of state,” Astrophys. J. Lett. 887 no. 1, (2019) L22, arXiv:1912.05703 [astro-ph.HE].
  • [3331] T. Salmi et al., “The Radius of the High Mass Pulsar PSR J0740+6620 With 3.6 Years of NICER Data,” arXiv:2406.14466 [astro-ph.HE]. – 780 –
  • [3332] L. Sagunski, J. Zhang, M. C. Johnson, L. Lehner, M. Sakellariadou, S. L. Liebling, C. Palenzuela, and D. Neilsen, “Neutron star mergers as a probe of modifications of general relativity with finite-range scalar forces,” Phys. Rev. D 97 no. 6, (Mar., 2018) 064016, arXiv:1709.06634 [gr-qc].
  • [3333] E. Lope-Oter and F. J. Llanes-Estrada, “Maximum latent heat of neutron star matter independently of General Relativity,” Phys. Rev. C 105 (2022) L052801, arXiv:2103.10799 [nucl-th].
  • [3334] H.-J. Kuan, A. G. Suvorov, D. D. Doneva, and S. S. Yazadjiev, “Gravitational Waves from Accretion-Induced Descalarization in Massive Scalar-Tensor Theory,” Phys. Rev. Lett. 129 no. 12, (2022) 121104, arXiv:2203.03672 [gr-qc].
  • [3335] D. D. Doneva, C. J. Krüger, K. V. Staykov, and P. Y. Yordanov, “Neutron stars in Gauss-Bonnet gravity – nonlinear scalarization and gravitational phase transitions,” arXiv:2306.16988 [gr-qc].
  • [3336] C. A. Raithel and E. R. Most, “Characterizing the Breakdown of Quasi-universality in Postmerger Gravitational Waves from Binary Neutron Star Mergers,” Astrophys. J. Lett. 933 no. 2, (2022) L39, arXiv:2201.03594 [astro-ph.HE].
  • [3337] H. O. Silva, A. M. Holgado, A. Cárdenas-Avendaño, and N. Yunes, “Astrophysical and theoretical physics implications from multimessenger neutron star observations,” Phys. Rev. Lett. 126 no. 18, (2021) 181101, arXiv:2004.01253 [gr-qc].
  • [3338] A. Maselli, V. Cardoso, V. Ferrari, L. Gualtieri, and P. Pani, “Equation-of-state-independent relations in neutron stars,” Phys. Rev. D 88 no. 2, (2013) 023007, arXiv:1304.2052 [gr-qc].
  • [3339] C. Afle et al., “Measuring the properties of f-mode oscillations of a protoneutron star by third-generation gravitational-wave detectors,” Phys. Rev. D 107 no. 12, (2023) 123005, arXiv:2304.04283 [astro-ph.IM].
  • [3340] J. L. Blázquez-Salcedo, L. M. González-Romero, F. S. Khoo, J. Kunz, and V. Preut, “Universal relations for quasinormal modes of neutron stars in R2 gravity,” Phys. Rev. D 106 no. 4, (2022) 044007, arXiv:2205.03283 [gr-qc].
  • [3341] C. M. Will, Theory and Experiment in Gravitational Physics. Cambridge University Press, 2 ed., 2018.
  • [3342] X. Zhang, J. Yu, T. Liu, W. Zhao, and A. Wang, “Testing Brans-Dicke gravity using the Einstein telescope,” Phys. Rev. D 95 no. 12, (2017) 124008, arXiv:1703.09853 [gr-qc].
  • [3343] A. B. Quintana, F. J. Llanes-Estrada, and O. M. Carretero, “Galaxy rotation favors prolate dark matter haloes,” Phys. Rev. D 107 no. 8, (2023) 083524, arXiv:2204.06384 [astro-ph.GA].
  • [3344] F. Anzuini et al., “Improved treatment of dark matter capture in neutron stars III: nucleon and exotic targets,” JCAP 11 no. 11, (2021) 056, arXiv:2108.02525 [hep-ph].
  • [3345] D. R. Karkevandi, S. Shakeri, V. Sagun, and O. Ivanytskyi, “Bosonic dark matter in neutron stars and its effect on gravitational wave signal,” Phys. Rev. D 105 no. 2, (2022) 023001, arXiv:2109.03801 [astro-ph.HE].
  • [3346] N. Rutherford, G. Raaijmakers, C. Prescod-Weinstein, and A. Watts, “Constraining bosonic asymmetric dark matter with neutron star mass-radius measurements,” Phys. Rev. D 107 no. 10, (2023) 103051, arXiv:2208.03282 [astro-ph.HE].
  • [3347] L. Tolos, J. Schaffner-Bielich, and Y. Dengler, “Dark Compact Planets,” Phys. Rev. D 92 (2015) 123002, arXiv:1507.08197 [astro-ph.HE]. [Erratum: Phys.Rev.D 103, 109901 (2021)]. – 781 –
  • [3347] L. Tolos, J. Schaffner-Bielich, and Y. Dengler, “Dark Compact Planets,” Phys. Rev. D 92 (2015) 123002, arXiv:1507.08197 [astro-ph.HE]. [Erratum: Phys.Rev.D 103, 109901 (2021)]. – 781 –
  • [3348] Y. Dengler, J. Schaffner-Bielich, and L. Tolos, “Second Love number of dark compact planets and neutron stars with dark matter,” Phys. Rev. D 105 no. 4, (2022) 043013, arXiv:2111.06197 [astro-ph.HE].
  • [3349] M. Baryakhtar et al., “Dark Matter In Extreme Astrophysical Environments,” in Snowmass 2021. 3, 2022. arXiv:2203.07984 [hep-ph].
  • [3350] M. Ángeles Pérez-Garcı́a, H. Grigorian, C. Albertus, D. Barba, and J. Silk, “Cooling of neutron stars admixed with light dark matter: A case study,” Physics Letters B 827 (Apr., 2022) 136937. http://dx.doi.org/10.1016/j.physletb.2022.136937.
  • [3351] D. B.-G. C. A. D. Suárez and M. A. Pérez-Garcı́a, “Gravitational wave emission in binary neutron star early post-merger within a dark environment,” Submitted to journal for refereeing (2024) .
  • [3352] M. Mariani, C. Albertus, M. d. R. Alessandroni, M. G. Orsaria, M. Á. Pérez-Garcı́a, and I. F. Ranea-Sandoval, “Constraining self-interacting fermionic dark matter in admixed neutron stars using multimessenger astronomy,” MNRAS 527 no. 3, (Jan., 2024) 6795–6806, arXiv:2311.14004 [astro-ph.HE].
  • [3353] A. Herrero, M. A. Pérez-Garcı́a, J. Silk, and C. Albertus, “Dark matter and bubble nucleation in old neutron stars,” Phys. Rev. D 100 no. 10, (2019) 103019, arXiv:1905.00893 [hep-ph].
  • [3354] M. Hippert, E. Dillingham, H. Tan, D. Curtin, J. Noronha-Hostler, and N. Yunes, “Dark matter or regular matter in neutron stars? How to tell the difference from the coalescence of compact objects,” Phys. Rev. D 107 no. 11, (2023) 115028, arXiv:2211.08590 [astro-ph.HE].
  • [3355] D. Noordhuis, A. Prabhu, C. Weniger, and S. J. Witte, “Axion Clouds around Neutron Stars,” arXiv:2307.11811 [hep-ph].
  • [3356] W.-Y. Ai, J. S. Cruz, B. Garbrecht, and C. Tamarit, “Consequences of the order of the limit of infinite spacetime volume and the sum over topological sectors for CP violation in the strong interactions,” Phys. Lett. B 822 (2021) 136616, arXiv:2001.07152 [hep-th].
  • [3357] G. Schierholz, “Absence of strong CP violation,” arXiv:2403.13508 [hep-ph].
  • [3358] Y. Nakamura and G. Schierholz, “The strong CP problem solved by itself due to long-distance vacuum effects,” Nucl. Phys. B 986 (2023) 116063, arXiv:2106.11369 [hep-ph].
  • [3359] O. Ivanytskyi, V. Sagun, and I. Lopes, “Neutron stars: New constraints on asymmetric dark matter,” Phys. Rev. D 102 no. 6, (2020) 063028, arXiv:1910.09925 [astro-ph.HE].
  • [3360] E. Giangrandi, V. Sagun, O. Ivanytskyi, C. Providência, and T. Dietrich, “The Effects of Self-interacting Bosonic Dark Matter on Neutron Star Properties,” Astrophys. J. 953 no. 1, (2023) 115, arXiv:2209.10905 [astro-ph.HE].
  • [3361] M. F. Barbat, J. Schaffner-Bielich, and L. Tolos, “Comprehensive study of compact stars with dark matter,” Phys. Rev. D 110 no. 2, (2024) 023013, arXiv:2404.12875 [astro-ph.HE].
  • [3362] V. Sagun, G. Panotopoulos, and I. Lopes, “Asteroseismology: radial oscillations of neutron stars with realistic equation of state,” Phys. Rev. D 101 no. 6, (2020) 063025, arXiv:2002.12209 [astro-ph.HE].
  • [3363] F. J. Fattoyev, C. J. Horowitz, J. Piekarewicz, and B. Reed, “GW190814: Impact of a 2.6 solar mass neutron star on the nucleonic equations of state,” Phys. Rev. C 102 no. 6, (2020) 065805, arXiv:2007.03799 [nucl-th].
  • [3364] V. Doroshenko, V. Suleimanov, G. Pühlhofer, and A. Santangelo, “A strangely light neutron star within a supernova remnant,” Nature Astronomy (2022) . – 782 –
  • [3365] V. Sagun, E. Giangrandi, T. Dietrich, O. Ivanytskyi, R. Negreiros, and C. Providência, “What Is the Nature of the HESS J1731-347 Compact Object?,” Astrophys. J. 958 no. 1, (2023) 49, arXiv:2306.12326 [astro-ph.HE].
  • [3366] A. Ávila, E. Giangrandi, V. Sagun, O. Ivanytskyi, and C. Providência, “Rapid neutron star cooling triggered by dark matter,” Mon. Not. Roy. Astron. Soc. 528 no. 4, (2024) 6319–6328, arXiv:2309.03894 [astro-ph.HE].
  • [3367] J. Ellis, A. Hektor, G. Hütsi, K. Kannike, L. Marzola, M. Raidal, and V. Vaskonen, “Search for Dark Matter Effects on Gravitational Signals from Neutron Star Mergers,” Phys. Lett. B 781 (2018) 607–610, arXiv:1710.05540 [astro-ph.CO].
  • [3368] T. Dietrich, D. Radice, S. Bernuzzi, F. Zappa, A. Perego, B. Brueugmann, S. V. Chaurasia, R. Dudi, W. Tichy, and M. Ujevic, “Core database of binary neutron star merger waveforms and its application in waveform development,” 2018. https://arxiv.org/abs/1806.01625.
  • [3369] H. R. Rüter, V. Sagun, W. Tichy, and T. Dietrich, “Quasiequilibrium configurations of binary systems of dark matter admixed neutron stars,” Phys. Rev. D 108 no. 12, (2023) 124080, arXiv:2301.03568 [gr-qc].
  • [3370] M. Limongi, L. Roberti, A. Chieffi, and K. Nomoto, “Evolution and Final Fate of Solar Metallicity Stars in the Mass Range 7-15 M⊙. I. The Transition from Asymptotic Giant Branch to Super-AGB Stars, Electron Capture, and Core-collapse Supernova Progenitors,” Astrophys. J. Suppl. 270 no. 2, (2024) 29, arXiv:2312.00107 [astro-ph.SR].
  • [3371] S. Miyaji, K. Nomoto, K. Yokoi, and D. Sugimoto, “Supernova triggered by electron captures.,” Publ. Astron. Soc. Japan 32 (Jan., 1980) 303–329.
  • [3372] J. Isern, R. Canal, and J. Labay, “The Outcome of Explosive Ignition of ONeMg Cores: Supernovae, Neutron Stars, or “Iron” White Dwarfs?,” Astrophys. J. Lett. 372 (May, 1991) L83.
  • [3372] J. Isern, R. Canal, and J. Labay, “The Outcome of Explosive Ignition of ONeMg Cores: Supernovae, Neutron Stars, or “Iron” White Dwarfs?,” Astrophys. J. Lett. 372 (May, 1991) L83.
  • [3373] S. Jones, F. K. Röpke, R. Pakmor, I. R. Seitenzahl, S. T. Ohlmann, and P. V. F. Edelmann, “Do electron-capture supernovae make neutron stars? First multidimensional hydrodynamic simulations of the oxygen deflagration,” Astron. Astrophys. 593 (2016) A72, arXiv:1602.05771 [astro-ph.SR].
  • [3374] K. Nomoto and S.-C. Leung, “Electron Capture Supernovae from Super Asymptotic Giant Branch Stars,” in Handbook of Supernovae, A. W. Alsabti and P. Murdin, eds., p. 483. Springer, 2017.
  • [3375] K. Nomoto, “Evolution of 8–10 Msun Stars toward Electron Capture Supernovae. II. Collapse of an O + NE + MG Core,” Astrophys. J. 322 (Nov., 1987) 206.
  • [3376] F. S. Kitaura, H.-T. Janka, and W. Hillebrandt, “Explosions of O-Ne-Mg cores, the Crab supernova, and subluminous type II-P supernovae,” Astron. Astrophys. 450 (2006) 345–350, arXiv:astro-ph/0512065.
  • [3377] S. Zha, S.-C. Leung, T. Suzuki, and K. Nomoto, “Evolution of ONeMg Core in Super-AGB Stars towards Electron-Capture Supernovae: Effects of Updated Electron-Capture Rate,” arXiv:1907.04184 [astro-ph.HE].
  • [3378] S. Zha, E. P. O’Connor, S. M. Couch, S.-C. Leung, and K. Nomoto, “Hydrodynamic simulations of electron-capture supernovae: progenitor and dimension dependence,” Mon. Not. Roy. Astron. Soc. 513 no. 1, (2022) 1317–1328, arXiv:2112.15257 [astro-ph.HE].
  • [3379] H. A. Bethe and J. R. Wilson, “Revival of a stalled supernova shock by neutrino heating,” Astrophys. J. 295 (1985) 14–23.
  • [3380] M. Herant, W. Benz, W. R. Hix, C. L. Fryer, and S. A. Colgate, “Inside the supernova: A Powerful convective engine,” Astrophys. J. 435 (1994) 339, arXiv:astro-ph/9404024. – 783 –
  • [3381] A. Burrows, J. Hayes, and B. A. Fryxell, “On the nature of core collapse supernova explosions,” Astrophys. J. 450 (1995) 830, arXiv:astro-ph/9506061.
  • [3382] K. Kotake, K. Sato, and K. Takahashi, “Explosion mechanism, neutrino burst, and gravitational wave in core-collapse supernovae,” Rept. Prog. Phys. 69 (2006) 971–1144, arXiv:astro-ph/0509456.
  • [3383] H. T. Janka, T. Melson, and A. Summa, “Physics of Core-Collapse Supernovae in Three Dimensions: a Sneak Preview,” Ann. Rev. Nucl. Part. Sci. 66 (2016) 341–375, arXiv:1602.05576 [astro-ph.SR].
  • [3384] H. T. Janka, “Neutrino-driven Explosions,” arXiv:1702.08825 [astro-ph.HE].
  • [3385] J. M. Blondin, A. Mezzacappa, and C. DeMarino, “Stability of standing accretion shocks, with an eye toward core collapse supernovae,” Astrophys. J. 584 (2003) 971–980, arXiv:astro-ph/0210634.
  • [3386] Y. Suwa, K. Kotake, T. Takiwaki, S. C. Whitehouse, M. Liebendoerfer, and K. Sato, “Explosion geometry of a rotating 13 M⊙ star driven by the SASI-aided neutrino-heating supernova mechanism,” Publ. Astron. Soc. Jap. 62 (2010) L49–L53, arXiv:0912.1157 [astro-ph.HE].
  • [3387] E. Muller, H. T. Janka, and A. Wongwathanarat, “Parametrized 3D models of neutrino-driven supernova explosions: Neutrino emission asymmetries and gravitational-wave signals,” Astron. Astrophys. 537 (2012) A63, arXiv:1106.6301 [astro-ph.SR].
  • [3388] Y. Suwa, T. Takiwaki, K. Kotake, T. Fischer, M. Liebendörfer, and K. Sato, “On the Importance of the Equation of State for the Neutrino-Driven Supernova Explosion Mechanism,” Astrophys. J. 764 (2013) 99, arXiv:1206.6101 [astro-ph.HE].
  • [3389] E. J. Lentz, A. Mezzacappa, O. E. Bronson Messer, W. R. Hix, and S. W. Bruenn, “Interplay of Neutrino Opacities in Core-collapse Supernova Simulations,” Astrophys. J. 760 (2012) 94, arXiv:1206.1086 [astro-ph.SR].
  • [3390] A. Summa, F. Hanke, H.-T. Janka, T. Melson, A. Marek, and B. Müller, “Progenitor-dependent Explosion Dynamics in Self-consistent, Axisymmetric Simulations of Neutrino-driven Core-collapse Supernovae,” Astrophys. J. 825 no. 1, (2016) 6, arXiv:1511.07871 [astro-ph.SR].
  • [3391] S. W. Bruenn et al., “The Development of Explosions in Axisymmetric AB INITIO Core-Collapse Supernova Simulations of 12-25 M⊙ Stars,” Astrophys. J. 818 no. 2, (2016) 123, arXiv:1409.5779 [astro-ph.SR].
  • [3392] A. Mezzacappa, E. Endeve, O. E. Bronson Messer, and S. W. Bruenn, “Physical, numerical, and computational challenges of modeling neutrino transport in core-collapse supernovae,” Liv. Rev. Comput. Astrophys. 6 no. 1, (2020) 4, arXiv:2010.09013 [astro-ph.HE].
  • [3393] R. Bollig, N. Yadav, D. Kresse, H. T. Janka, B. Müller, and A. Heger, “Self-consistent 3D Supernova Models From −7 Minutes to +7 s: A 1-bethe Explosion of a ∼19 M⊙ Progenitor,” Astrophys. J. 915 no. 1, (2021) 28, arXiv:2010.10506 [astro-ph.HE].
  • [3394] F.-K. Thielemann, M.-A. Hashimoto, and K. Nomoto, “Explosive Nucleosynthesis in SN 1987A. II. Composition, Radioactivities, and the Neutron Star Mass,” Astrophys. J. 349 (Jan., 1990) 222.
  • [3395] S. E. Woosley and T. A. Weaver, “The Evolution and explosion of massive stars. 2. Explosive hydrodynamics and nucleosynthesis,” Astrophys. J. Suppl. 101 (1995) 181–235.
  • [3396] M. Limongi and A. Chieffi, “Evolution, explosion and nucleosynthesis of core collapse supernovae,” Astrophys. J. 592 (2003) 404–433, arXiv:astro-ph/0304185. – 784 –
  • [3397] M. Ugliano, H. T. Janka, A. Marek, and A. Arcones, “Progenitor-Explosion Connection and Remnant Birth Masses for Neutrino-Driven Supernovae of Iron-Core Progenitors,” Astrophys. J. 757 (2012) 69, arXiv:1602.06327 [astro-ph.HE].
  • [3398] G. Rakavy and G. Shaviv, “Instabilities in Highly Evolved Stellar Models,” Astrophys. J. 148 (June, 1967) 803.
  • [3399] M. Limongi and A. Chieffi, “Presupernova Evolution and Explosive Nucleosynthesis of Rotating Massive Stars in the Metallicity Range −3 ≤ [Fe/H] ≤ 0,” Astrophys. J. Suppl. 237 no. 1, (2018) 13, arXiv:1805.09640 [astro-ph.SR].
  • [3400] S. J. Smartt, “Observational constraints on the progenitors of core-collapse supernovae : the case for missing high mass stars,” Publ. Astron. Soc. Austral. 32 (2015) e016, arXiv:1504.02635 [astro-ph.SR].
  • [3401] S. J. Smartt, “Progenitors of core-collapse supernovae,” Ann. Rev. Astron. Astrophys. 47 (2009) 63–106, arXiv:0908.0700 [astro-ph.SR].
  • [3402] L. Dessart, D. J. Hillier, S. Woosley, E. Livne, R. Waldman, S.-C. Yoon, and N. Langer, “Inferring supernova IIb/Ib/Ic ejecta properties from light curves and spectra: Correlations from radiative-transfer models,” Mon. Not. Roy. Astron. Soc. 458 no. 2, (2016) 1618–1635, arXiv:1602.06280 [astro-ph.SR].
  • [3403] H.-T. Janka, “Neutrino-Driven Explosions,” in Handbook of Supernovae, A. W. Alsabti and P. Murdin, eds., p. 1095. Springer, 2017.
  • [3404] K. Kotake and T. Kuroda, “Gravitational Waves from Core-Collapse Supernovae,” in Handbook of Supernovae, A. W. Alsabti and P. Murdin, eds., p. 1671. Springer, 2017.
  • [3405] E. P. O’Connor and S. M. Couch, “Exploring Fundamentally Three-dimensional Phenomena in High-fidelity Simulations of Core-collapse Supernovae,” Astrophys. J. 865 no. 2, (2018) 81, arXiv:1807.07579 [astro-ph.HE].
  • [3406] B. Müller, “Hydrodynamics of core-collapse supernovae and their progenitors,” Living Reviews in Computational Astrophysics 6 no. 1, (June, 2020) 3, arXiv:2006.05083 [astro-ph.SR].
  • [3407] L. Blanchet, T. Damour, and G. Schaefer, “Postnewtonian hydrodynamics and postnewtonian gravitational wave generation for numerical relativity,” Mon. Not. Roy. Astron. Soc. 242 (1990) 289–305.
  • [3408] Müller, E. and H. Janka, “Gravitational radiation from convective instabilities in Type II supernova explosions.,” Astron. & Astrophys. 317 (#jan#, 1997) 140–163. http://esoads.eso.org/abs/1997A%26A...317..140M.
  • [3409] S. Scheidegger, T. Fischer, and M. Liebendoerfer, “Gravitational waves from 3D MHD core collapse simulations,” Astron. Astrophys. 490 (2008) 231, arXiv:0709.0168 [astro-ph].
  • [3410] S. Richers and M. Sen, Fast Flavor Transformations, pp. 1–17. 2022. arXiv:2207.03561 [astro-ph.HE].
  • [3411] I. Tamborra and S. Shalgar, “New Developments in Flavor Evolution of a Dense Neutrino Gas,” Ann. Rev. Nucl. Part. Sci. 71 (2021) 165–188, arXiv:2011.01948 [astro-ph.HE].
  • [3412] F. Capozzi and N. Saviano, “Neutrino Flavor Conversions in High-Density Astrophysical and Cosmological Environments,” Universe 8 no. 2, (2022) 94, arXiv:2202.02494 [hep-ph].
  • [3413] T. Fischer, G. Guo, K. Langanke, G. Martinez-Pinedo, Y.-Z. Qian, and M.-R. Wu, “Neutrinos and nucleosynthesis of elements,” Prog. Part. Nucl. Phys. 137 (2024) 104107, arXiv:2308.03962 [astro-ph.HE].
  • [3414] H.-T. Janka and A. Bauswein, Dynamics and Equation of State Dependencies of Relevance – 785 – for Nucleosynthesis in Supernovae and Neutron Star Mergers, pp. 1–98. 2023. arXiv:2212.07498 [astro-ph.HE].
  • [3415] N. Langer, “Presupernova Evolution of Massive Single and Binary Stars,” Ann. Rev/ Astron. Astrophys. 50 (Sept., 2012) 107–164, arXiv:1206.5443 [astro-ph.SR]. http://esoads.eso.org/abs/2012ARA%26A..50..107L.
  • [3416] M. Limongi, “Supernovae from massive stars,” arXiv:1706.01913 [astro-ph.SR].
  • [3417] A. W. Alsabti and P. Murdin, eds., Handbook of Supernovae. Springer, 2017.
  • [3418] A. Burrows and J. Goshy, “A Theory of supernova explosions,” Astrophys. J. Lett. 416 (1993) L75–L78.
  • [3419] D. Radice, E. Abdikamalov, C. D. Ott, P. Mösta, S. M. Couch, and L. F. Roberts, “Turbulence in Core-Collapse Supernovae,” J. Phys. G 45 no. 5, (2018) 053003, arXiv:1710.01282 [astro-ph.HE].
  • [3420] T. Foglizzo, P. Galletti, L. Scheck, and H. T. Janka, “Instability of a stalled accretion shock: evidence for the advective-acoustic cycle,” Astrophys. J. 654 (2007) 1006–1021, arXiv:astro-ph/0606640.
  • [3421] T. Foglizzo, L. Scheck, and H. T. Janka, “Neutrino-driven convection versus advection in core collapse supernovae,” Astrophys. J. 652 (2006) 1436–1450, arXiv:astro-ph/0507636.
  • [3422] J. M. Blondin and A. Mezzacappa, “Pulsar spins from an instability in the accretion shock of supernovae,” Nature 445 (2007) 58, arXiv:astro-ph/0611680.
  • [3423] J. Nordhaus, T. Brandt, A. Burrows, and A. Almgren, “The Hydrodynamic Origin of Neutron Star Kicks,” Mon. Not. Roy. Astron. Soc. 423 (2012) 1805, arXiv:1112.3342 [astro-ph.SR].
  • [3424] K. Nakamura, T. Takiwaki, and K. Kotake, “Long-term Simulations of Multi-Dimensional Core-collapse Supernovae: Implications for Neutron Star Kicks,” Publ. Astron. Soc. Jap. 71 no. 5, (2019) Publications of the Astronomical Society of Japan, Volume 71, Issue 5, October 2019, 98, https://doi.org/10.1093/pasj/psz080, arXiv:1904.08088 [astro-ph.HE].
  • [3425] M. S. B. Coleman and A. Burrows, “Kicks and induced spins of neutron stars at birth,” Mon. Not. Roy. Astron. Soc. 517 no. 3, (2022) 3938–3961, arXiv:2209.02711 [astro-ph.HE].
  • [3426] I. Tamborra and K. Murase, “Neutrinos from Supernovae,” Space Sci. Rev. 214 no. 1, (2018) 31.
  • [3427] H. Nagakura, A. Burrows, D. Radice, and D. Vartanyan, “A systematic study of proto-neutron star convection in three-dimensional core-collapse supernova simulations,” Mon. Not. Roy. Astron. Soc. 492 no. 4, (2020) 5764–5779, arXiv:1912.07615 [astro-ph.HE].
  • [3428] R. M. Cabezón, K.-C. Pan, M. Liebendörfer, T. Kuroda, K. Ebinger, O. Heinimann, F.-K. Thielemann, and A. Perego, “Core-collapse supernovae in the hall of mirrors. A three-dimensional code-comparison project,” Astron. Astrophys. 619 (2018) A118, arXiv:1806.09184 [astro-ph.HE].
  • [3429] A. Burrows, T. Wang, and D. Vartanyan, “Physical Correlations and Predictions Emerging from Modern Core-collapse Supernova Theory,” Astrophys. J. Lett. 964 no. 1, (2024) L16, arXiv:2401.06840 [astro-ph.HE].
  • [3430] T. A. Thompson, P. Chang, and E. Quataert, “Magnetar spindown, hyper-energetic supernovae, and gamma ray bursts,” Astrophys. J. 611 (2004) 380–393, arXiv:astro-ph/0401555.
  • [3431] T. A. Thompson, E. Quataert, and A. Burrows, “Viscosity and rotation in core - collapse supernovae,” Astrophys. J. 620 (2005) 861–877, arXiv:astro-ph/0403224. – 786 –
  • [3432] J. Powell, B. Mueller, D. R. Aguilera-Dena, and N. Langer, “Three dimensional magnetorotational core-collapse supernova explosions of a 39 solar mass progenitor star,” arXiv:2212.00200 [astro-ph.HE].
  • [3433] P. Mösta, C. D. Ott, D. Radice, L. F. Roberts, E. Schnetter, and R. Haas, “A large scale dynamo and magnetoturbulence in rapidly rotating core-collapse supernovae,” Nature 528 (2015) 376, arXiv:1512.00838 [astro-ph.HE].
  • [3434] T. Fischer, M.-R. Wu, B. Wehmeyer, N.-U. F. Bastian, G. Martı́nez-Pinedo, and F.-K. Thielemann, “Core-collapse Supernova Explosions Driven by the Hadron-quark Phase Transition as a Rare r-process Site,” Astrophys. J. 894 no. 1, (2020) 9, arXiv:2003.00972 [astro-ph.HE].
  • [3435] P. Jakobus, B. Mueller, A. Heger, A. Motornenko, J. Steinheimer, and H. Stoecker, “The role of the hadron-quark phase transition in core-collapse supernovae,” Mon. Not. Roy. Astron. Soc. 516 no. 2, (2022) 2554–2574, arXiv:2204.10397 [astro-ph.HE].
  • [3436] T. Fischer, P. Carenza, B. Fore, M. Giannotti, A. Mirizzi, and S. Reddy, “Observable signatures of enhanced axion emission from protoneutron stars,” Phys. Rev. D 104 no. 10, (2021) 103012, arXiv:2108.13726 [hep-ph].
  • [3437] A. MacFadyen and S. E. Woosley, “Collapsars: Gamma-ray bursts and explosions in ’failed supernovae’,” Astrophys. J. 524 (1999) 262, arXiv:astro-ph/9810274.
  • [3438] A. I. MacFadyen, S. E. Woosley, and A. Heger, “Supernovae, jets, and collapsars,” Astrophys. J. 550 (2001) 410, arXiv:astro-ph/9910034.
  • [3439] B. D. Metzger, D. Giannios, T. A. Thompson, N. Bucciantini, and E. Quataert, “The Proto-Magnetar Model for Gamma-Ray Bursts,” Mon. Not. Roy. Astron. Soc. 413 (2011) 2031, arXiv:1012.0001 [astro-ph.HE].
  • [3440] B. Müller, “Neutrino Emission as Diagnostics of Core-Collapse Supernovae,” Ann. Rev. Nucl. Part. Sci. 69 (2019) 253–278, arXiv:1904.11067 [astro-ph.HE].
  • [3441] M. Limongi, O. Straniero, and A. Chieffi, “Massive stars in the range rm 13-25 m odot: evolution and nucleosynthesis. 2. The solar metallicity models,” Astrophys. J. Suppl. 129 (2000) 625, arXiv:astro-ph/0003401.
  • [3442] L. N. Machado et al., “Pre-supernova Alert System for Super-Kamiokande,” Astrophys. J. 935 no. 1, (2022) 40, arXiv:2205.09881 [hep-ex].
  • [3443] G. G. Raffelt, “Muon-neutrino and tau-neutrino spectra formation in supernovae,” Astrophys. J. 561 (2001) 890–914, arXiv:astro-ph/0105250.
  • [3444] T. Yokozawa, M. Asano, T. Kayano, Y. Suwa, N. Kanda, Y. Koshio, and M. R. Vagins, “Probing the Rotation of Core-collapse Supernova With a Concurrent Analysis of Gravitational Waves and Neutrinos,” Astrophys. J. 811 no. 2, (2015) 86, arXiv:1410.2050 [astro-ph.HE].
  • [3445] S. Richers, C. D. Ott, E. Abdikamalov, E. O’Connor, and C. Sullivan, “Equation of State Effects on Gravitational Waves from Rotating Core Collapse,” Phys. Rev. D 95 no. 6, (2017) 063019, arXiv:1701.02752 [astro-ph.HE].
  • [3446] H. T. Janka and W. Hillebrandt, “Neutrino emission from type II supernovae : an analysis of the spectra.,” Astron. & Astrophys. 224 (Oct., 1989) 49–56.
  • [3447] M. T. Keil, G. G. Raffelt, and H.-T. Janka, “Monte Carlo study of supernova neutrino spectra formation,” Astrophys. J. 590 (2003) 971–991, arXiv:astro-ph/0208035.
  • [3448] I. Tamborra, B. Muller, L. Hudepohl, H.-T. Janka, and G. Raffelt, “High-resolution supernova neutrino spectra represented by a simple fit,” Phys. Rev. D 86 (2012) 125031, arXiv:1211.3920 [astro-ph.SR]. – 787 –
  • [3449] B. Müller and H.-T. Janka, “A New Multi-Dimensional General Relativistic Neutrino Hydrodynamics Code for Core-Collapse Supernovae IV. The Neutrino Signal,” Astrophys. J. 788 (2014) 82, arXiv:1402.3415 [astro-ph.SR].
  • [3450] A. Burrows, “On detecting stellar collapse with neutrinos,” Astrophys. J. 283 (1984) 848–852.
  • [3451] T. Lund, A. Wongwathanarat, H.-T. Janka, E. Muller, and G. Raffelt, “Fast time variations of supernova neutrino signals from 3-dimensional models,” Phys. Rev. D 86 (2012) 105031, arXiv:1208.0043 [astro-ph.HE].
  • [3452] I. Tamborra, F. Hanke, B. Müller, H.-T. Janka, and G. Raffelt, “Neutrino signature of supernova hydrodynamical instabilities in three dimensions,” Phys. Rev. Lett. 111 no. 12, (2013) 121104, arXiv:1307.7936 [astro-ph.SR].
  • [3453] I. Tamborra, G. Raffelt, F. Hanke, H.-T. Janka, and B. Mueller, “Neutrino emission characteristics and detection opportunities based on three-dimensional supernova simulations,” Phys. Rev. D 90 no. 4, (2014) 045032, arXiv:1406.0006 [astro-ph.SR].
  • [3454] L. Walk, I. Tamborra, H.-T. Janka, and A. Summa, “Identifying rotation in SASI-dominated core-collapse supernovae with a neutrino gyroscope,” Phys. Rev. D 98 no. 12, (2018) 123001, arXiv:1807.02366 [astro-ph.HE].
  • [3455] I. Tamborra, F. Hanke, H.-T. Janka, B. Müller, G. G. Raffelt, and A. Marek, “Self-sustained asymmetry of lepton-number emission: A new phenomenon during the supernova shock-accretion phase in three dimensions,” Astrophys. J. 792 no. 2, (2014) 96, arXiv:1402.5418 [astro-ph.SR].
  • [3456] L. Walk, I. Tamborra, H.-T. Janka, and A. Summa, “Effects of the standing accretion-shock instability and the lepton-emission self-sustained asymmetry in the neutrino emission of rotating supernovae,” Phys. Rev. D 100 no. 6, (2019) 063018, arXiv:1901.06235 [astro-ph.HE].
  • [3457] Z. Lin, C. Lunardini, M. Zanolin, K. Kotake, and C. Richardson, “Detectability of standing accretion shock instabilities activity in supernova neutrino signals,” Phys. Rev. D 101 no. 12, (2020) 123028, arXiv:1911.10656 [astro-ph.HE].
  • [3458] B. Dasgupta, T. Fischer, S. Horiuchi, M. Liebendorfer, A. Mirizzi, I. Sagert, and J. Schaffner-Bielich, “Detecting the QCD phase transition in the next Galactic supernova neutrino burst,” Phys. Rev. D 81 (2010) 103005, arXiv:0912.2568 [astro-ph.HE].
  • [3459] T. Fischer, I. Sagert, G. Pagliara, M. Hempel, J. Schaffner-Bielich, T. Rauscher, F. K. Thielemann, R. Kappeli, G. Martinez-Pinedo, and M. Liebendorfer, “Core-collapse supernova explosions triggered by a quark-hadron phase transition during the early post-bounce phase,” Astrophys. J. Suppl. 194 (2011) 39, arXiv:1011.3409 [astro-ph.HE].
  • [3460] L. Johns, H. Nagakura, G. M. Fuller, and A. Burrows, “Neutrino oscillations in supernovae: angular moments and fast instabilities,” Phys. Rev. D 101 no. 4, (2020) 043009, arXiv:1910.05682 [hep-ph].
  • [3461] E. Grohs, S. Richers, S. M. Couch, F. Foucart, J. Froustey, J. P. Kneller, and G. C. McLaughlin, “Two-moment Neutrino Flavor Transformation with Applications to the Fast Flavor Instability in Neutron Star Mergers,” Astrophys. J. 963 no. 1, (2024) 11, arXiv:2309.00972 [astro-ph.HE].
  • [3462] H. Nagakura, L. Johns, A. Burrows, and G. M. Fuller, “Where, when, and why: Occurrence of fast-pairwise collective neutrino oscillation in three-dimensional core-collapse supernova models,” Phys. Rev. D 104 no. 8, (2021) 083025, arXiv:2108.07281 [astro-ph.HE].
  • [3463] S. Richers, H. Duan, M.-R. Wu, S. Bhattacharyya, M. Zaizen, M. George, C.-Y. Lin, and Z. Xiong, “Code comparison for fast flavor instability simulations,” Phys. Rev. D 106 no. 4, (2022) 043011, arXiv:2205.06282 [astro-ph.HE]. – 788 –
  • [3464] J. Ehring, S. Abbar, H.-T. Janka, G. Raffelt, and I. Tamborra, “Fast neutrino flavor conversion in core-collapse supernovae: A parametric study in 1D models,” Phys. Rev. D 107 no. 10, (2023) 103034, arXiv:2301.11938 [astro-ph.HE].
  • [3465] J. Ehring, S. Abbar, H.-T. Janka, G. Raffelt, and I. Tamborra, “Fast Neutrino Flavor Conversions Can Help and Hinder Neutrino-Driven Explosions,” Phys. Rev. Lett. 131 no. 6, (2023) 061401, arXiv:2305.11207 [astro-ph.HE].
  • [3466] J. W. Murphy, C. D. Ott, and A. Burrows, “A Model for Gravitational Wave Emission from Neutrino-Driven Core-Collapse Supernovae,” Astrophys. J. 707 (2009) 1173–1190, arXiv:0907.4762 [astro-ph.SR].
  • [3467] B. Mueller, H.-T. Janka, and A. Marek, “A New Multi-Dimensional General Relativistic Neutrino Hydrodynamics Code of Core-Collapse Supernovae III. Gravitational Wave Signals from Supernova Explosion Models,” Astrophys. J. 766 (2013) 43, arXiv:1210.6984 [astro-ph.SR].
  • [3468] K. N. Yakunin et al., “Gravitational Waves from Core Collapse Supernovae,” Class. Quant. Grav. 27 (2010) 194005, arXiv:1005.0779 [gr-qc].
  • [3469] T. Kuroda, T. Takiwaki, and K. Kotake, “A New Multi-Energy Neutrino Radiation-Hydrodynamics Code in Full General Relativity and Its Application to Gravitational Collapse of Massive Stars,” Astrophys. J. Suppl. 222 no. 2, (2016) 20, arXiv:1501.06330 [astro-ph.HE].
  • [3470] K.-C. Pan, M. Liebendörfer, S. M. Couch, and F.-K. Thielemann, “Equation of State Dependent Dynamics and Multi-messenger Signals from Stellar-mass Black Hole Formation,” Astrophys. J. 857 no. 1, (2018) 13, arXiv:1710.01690 [astro-ph.HE].
  • [3471] J. Powell and B. Müller, “Gravitational Wave Emission from 3D Explosion Models of Core-Collapse Supernovae with Low and Normal Explosion Energies,” Mon. Not. Roy. Astron. Soc. 487 no. 1, (2019) 1178–1190, arXiv:1812.05738 [astro-ph.HE].
  • [3472] D. Radice, V. Morozova, A. Burrows, D. Vartanyan, and H. Nagakura, “Characterizing the Gravitational Wave Signal from Core-Collapse Supernovae,” Astrophys. J. Lett. 876 no. 1, (2019) L9, arXiv:1812.07703 [astro-ph.HE].
  • [3473] A. Mezzacappa et al., “Gravitational-wave signal of a core-collapse supernova explosion of a 15 M⊙ star,” Phys. Rev. D 102 no. 2, (2020) 023027, arXiv:2007.15099 [astro-ph.HE].
  • [3474] R. Jardine, J. Powell, and B. Müller, “Gravitational wave signals from 2D core–collapse supernova models with rotation and magnetic fields,” Mon. Not. Roy. Astron. Soc. 510 no. 4, (2022) 5535–5552, arXiv:2105.01315 [astro-ph.HE].
  • [3475] S. Scheidegger, R. Kaeppeli, S. C. Whitehouse, T. Fischer, and M. Liebendoerfer, “The Influence of Model Parameters on the Prediction of Gravitational wave Signals from Stellar Core Collapse,” Astron. Astrophys. 514 (2010) A51, arXiv:1001.1570 [astro-ph.HE].
  • [3476] H. Andresen, E. Müller, H. T. Janka, A. Summa, K. Gill, and M. Zanolin, “Gravitational waves from 3D core-collapse supernova models: The impact of moderate progenitor rotation,” Mon. Not. Roy. Astron. Soc. 486 no. 2, (2019) 2238–2253, arXiv:1810.07638 [astro-ph.HE].
  • [3477] K.-C. Pan, M. Liebendörfer, S. M. Couch, and F.-K. Thielemann, “Stellar Mass Black Hole Formation and Multimessenger Signals from Three-dimensional Rotating Core-collapse Supernova Simulations,” Astrophys. J. 914 no. 2, (2021) 140, arXiv:2010.02453 [astro-ph.HE].
  • [3478] H. Dimmelmeier, C. D. Ott, A. Marek, and H. T. Janka, “The Gravitational Wave Burst Signal from Core Collapse of Rotating Stars,” Phys. Rev. D 78 (2008) 064056, arXiv:0806.4953 [astro-ph]. – 789 –
  • [3479] E. Abdikamalov, S. Gossan, A. M. DeMaio, and C. D. Ott, “Measuring the Angular Momentum Distribution in Core-Collapse Supernova Progenitors with Gravitational Waves,” Phys. Rev. D 90 no. 4, (2014) 044001, arXiv:1311.3678 [astro-ph.SR].
  • [3480] A. Marek, H. T. Janka, and E. Mueller, “Equation-of-State Dependent Features in Shock-Oscillation Modulated Neutrino and Gravitational-Wave Signals from Supernovae,” Astron. Astrophys. 496 (2009) 475, arXiv:0808.4136 [astro-ph].
  • [3481] H. Sotani, T. Kuroda, T. Takiwaki, and K. Kotake, “Dependence of the outer boundary condition on protoneutron star asteroseismology with gravitational-wave signatures,” Phys. Rev. D 99 no. 12, (2019) 123024, arXiv:1906.04354 [astro-ph.HE].
  • [3482] H. Sotani and T. Takiwaki, “Avoided crossing in gravitational wave spectra from protoneutron star,” Mon. Not. Roy. Astron. Soc. 498 no. 3, (2020) 3503–3512, arXiv:2008.00419 [astro-ph.HE].
  • [3483] J. R. Westernacher-Schneider, E. O’Connor, E. O’Sullivan, I. Tamborra, M.-R. Wu, S. M. Couch, and F. Malmenbeck, “Multimessenger Asteroseismology of Core-Collapse Supernovae,” Phys. Rev. D 100 no. 12, (2019) 123009, arXiv:1907.01138 [astro-ph.HE].
  • [3484] M. C. Rodriguez, I. F. Ranea-Sandoval, C. Chirenti, and D. Radice, “Three approaches for the classification of protoneutron star oscillation modes,” Mon. Not. Roy. Astron. Soc. 523 no. 2, (2023) 2236–2246, arXiv:2304.00033 [astro-ph.HE].
  • [3485] H. Sotani and T. Takiwaki, “Dimension dependence of numerical simulations on gravitational waves from protoneutron stars,” Phys. Rev. D 102 no. 2, (2020) 023028, arXiv:2004.09871 [astro-ph.HE].
  • [3486] M. Mori, Y. Suwa, and T. Takiwaki, “Long-term gravitational wave asteroseismology of supernovae: From core collapse to 20 seconds postbounce,” Phys. Rev. D 107 no. 8, (2023) 083015, arXiv:2302.00292 [astro-ph.HE].
  • [3487] S. Zha, O. E. Andersen, and E. P. O’Connor, “Unveiling the nature of gravitational-wave emission in core-collapse supernovae with perturbative analysis,” Phys. Rev. D 109 no. 8, (2024) 083023, arXiv:2403.02067 [astro-ph.HE].
  • [3488] P. Jakobus, B. Mueller, and A. Heger, “Convection and the Core g-mode in Proto-Compact Stars – A detailed analysis,” arXiv:2405.01449 [astro-ph.HE].
  • [3489] R. Raynaud, P. Cerdá-Durán, and J. Guilet, “Gravitational wave signature of proto-neutron star convection: I. MHD numerical simulations,” arXiv:2103.12445 [astro-ph.SR].
  • [3490] T. Kuroda, T. Takiwaki, and K. Kotake, “Gravitational Wave Signatures from Low-mode Spiral Instabilities in Rapidly Rotating Supernova Cores,” Phys. Rev. D 89 no. 4, (2014) 044011, arXiv:1304.4372 [astro-ph.HE].
  • [3491] S. Shibagaki, T. Kuroda, K. Kotake, and T. Takiwaki, “A New Gravitational Wave Signature of Low-T/|W| Instability in Rapidly Rotating Stellar Core Collapse,” Mon. Not. Roy. Astron. Soc. 493 no. 1, (2020) L138–L142, arXiv:1909.09730 [astro-ph.HE].
  • [3492] T. Takiwaki, K. Kotake, and T. Foglizzo, “Insights into non-axisymmetric instabilities in three-dimensional rotating supernova models with neutrino and gravitational-wave signatures,” Mon. Not. Roy. Astron. Soc. 508 no. 1, (2021) 966–985, arXiv:2107.02933 [astro-ph.HE].
  • [3493] C. J. Richardson, M. Zanolin, H. Andresen, M. J. Szczepańczyk, K. Gill, and A. Wongwathanarat, “Modeling core-collapse supernovae gravitational-wave memory in laser interferometric data,” Phys. Rev. D 105 no. 10, (2022) 103008, arXiv:2109.01582 [astro-ph.HE].
  • [3494] K. D. Kokkotas and B. G. Schmidt, “Quasinormal modes of stars and black holes,” Living Rev. Rel. 2 (1999) 2, arXiv:gr-qc/9909058. – 790 –
  • [3495] S. Zha, E. P. O’Connor, M.-c. Chu, L.-M. Lin, and S. M. Couch, “Gravitational-wave Signature of a First-order Quantum Chromodynamics Phase Transition in Core-Collapse Supernovae,” Phys. Rev. Lett. 125 no. 5, (2020) 051102, arXiv:2007.04716 [astro-ph.HE].
  • [3496] T. Kuroda, T. Fischer, T. Takiwaki, and K. Kotake, “Core-collapse Supernova Simulations and the Formation of Neutron Stars, Hybrid Stars, and Black Holes,” Astrophys. J. 924 no. 1, (2022) 38, arXiv:2109.01508 [astro-ph.HE].
  • [3497] S. Zha and E. O’Connor, “Impact of rotation on the multimessenger signatures of a hadron-quark phase transition in core-collapse supernovae,” Phys. Rev. D 106 no. 12, (2022) 123037, arXiv:2209.12418 [astro-ph.HE].
  • [3498] W. D. Arnett, “Type I supernovae. I - Analytic solutions for the early part of the light curve,” Astrophys. J. 253 (1982) 785–797.
  • [3499] A. Gal-Yam, “Observational and Physical Classification of Supernovae,” arXiv:1611.09353 [astro-ph.HE].
  • [3500] J. P. Anderson et al., “Characterizing the V-band light-curves of hydrogen-rich type II supernovae,” Astrophys. J. 786 (2014) 67, arXiv:1403.7091 [astro-ph.HE].
  • [3501] N. Smith, “Interacting Supernovae: Types IIn and Ibn,” arXiv:1612.02006 [astro-ph.HE].
  • [3502] A. V. Filippenko, “Supernova 1987K: Type II in Youth, Type Ib in Old Age,” Astron. J. 96 (Dec., 1988) 1941.
  • [3503] E. Cappellaro et al., “Supernova rates from the SUDARE VST-OmegaCAM search - I. Rates per unit volume,” Astron. Astrophys. 584 (2015) A62, arXiv:1509.04496 [astro-ph.CO].
  • [3504] N. Elias-Rosa et al., “Dead or Alive? Long-term evolution of SN 2015bh (SNhunt275),” Mon. Not. Roy. Astron. Soc. 463 no. 4, (2016) 3894–3920, arXiv:1606.09024 [astro-ph.SR].
  • [3505] S. D. Van Dyk et al., “Identifying the SN 2022acko progenitor with JWST,” Mon. Not. Roy. Astron. Soc. 524 no. 2, (2023) 2186–2194, arXiv:2302.00274 [astro-ph.HE].
  • [3506] J. R. Maund et al., “The Yellow Supergiant Progenitor of the Type II Supernova 2011dh in M51,” Astrophys. J. Lett. 739 (2011) L37, arXiv:1106.2565 [astro-ph.SR].
  • [3507] S. D. Van Dyk et al., “The Progenitor of Supernova 2011dh/PTF11eon in Messier 51,” Astrophys. J. Lett. 741 (2011) L28, arXiv:1106.2897 [astro-ph.CO].
  • [3508] A. Gal-Yam et al., “On the progenitor of SN 2005gl and the nature of Type IIn supernovae,” Astrophys. J. 656 (2007) 372–381, arXiv:astro-ph/0608029.
  • [3509] N. Elias-Rosa, S. D. Van Dyk, S. Benetti, E. Cappellaro, N. Smith, R. Kotak, M. Turatto, A. V. Filippenko, G. Pignata, O. D. Fox, L. Galbany, S. González-Gaitán, M. Miluzio, L. A. G. Monard, and M. Ergon, “The Type IIn Supernova SN 2010bt: The Explosion of a Star in Outburst,” Astrophys. J. 860 no. 1, (June, 2018) 68, arXiv:1805.02188 [astro-ph.SR].
  • [3510] O. Yaron et al., “Confined Dense Circumstellar Material Surrounding a Regular Type II Supernova: The Unique Flash-Spectroscopy Event of SN 2013fs,” Nature Phys. 13 (2017) 510, arXiv:1701.02596 [astro-ph.HE].
  • [3511] C. D. Kilpatrick et al., “SN 2023ixf in Messier 101: A Variable Red Supergiant as the Progenitor Candidate to a Type II Supernova,” Astrophys. J. Lett. 952 no. 1, (2023) L23, arXiv:2306.04722 [astro-ph.SR].
  • [3512] R. Gilmozzi, A. Cassatella, J. Clavel, C. Fransson, R. Gonzalez, C. Gry, N. Panagia, A. Talavera, and W. Wamsteker, “The progenitor of SN1987A,” Nature 328 no. 6128, (July, 1987) 318–320. – 791 –
  • [3513] G. Sonneborn, B. Altner, and R. P. Kirshner, “The Progenitor of SN 1987A: Spatially Resolved Ultraviolet Spectroscopy of the Supernova Field,” Astrophys. J. Lett. 323 (Dec., 1987) L35.
  • [3514] G. L. White and D. F. Malin, “Possible binary star progenitor for SN1987A,” Nature 327 no. 6117, (May, 1987) 36–38.
  • [3515] D. Arnett, “Massive Star Evolution and SN 1987A,” Astrophys. J. 383 (Dec., 1991) 295.
  • [3516] S. E. Woosley, P. A. Pinto, P. G. Martin, and T. A. Weaver, “Supernova 1987A in the Large Magellanic Cloud: The Explosion of a approximately 20 Msun Star Which Has Experienced Mass Loss?,” Astrophys. J. 318 (July, 1987) 664.
  • [3517] W. D. Arnett, J. N. Bahcall, R. P. Kirshner, and S. E. Woosley, “SUPERNOVA SN1987A,” Ann. Rev. Astron. Astrophys. 27 (1989) 629–700.
  • [3518] R. McCray, “Supernova 1987a revisited,” Ann. Rev. Astron. Astrophys. 31 (1993) 175–216.
  • [3519] L. B. Lucy, I. J. Danziger, C. Gouiffes, and P. Bouchet, “Dust Condensation in the Ejecta of SN 1987 A,” in IAU Colloq. 120: Structure and Dynamics of the Interstellar Medium, G. Tenorio-Tagle, M. Moles, and J. Melnick, eds., vol. 350, p. 164. Springer Berlin, Heidelberg, 1989.
  • [3520] P. F. Roche, D. K. Aitken, C. H. Smith, and S. D. James, “Old cold dust heated by supernova 1987A,” Nature 337 no. 6207, (Feb., 1989) 533–535.
  • [3521] J. E. Felten and E. Dwek, “Infrared and optical evidence for a dust cloud behind supernova 1987A,” Nature 339 no. 6220, (May, 1989) 123–125.
  • [3522] L. B. Lucy, I. J. Danziger, C. Gouiffes, and P. Bouchet, “Dust Condensation in the Ejecta of Supernova 1987A - Part Two,” in Supernovae, S. E. Woosley, ed., p. 82. Jan., 1991.
  • [3523] R. Indebetouw et al., “Dust Production and Particle Acceleration in Supernova 1987A Revealed with ALMA,” Astrophys. J. Lett. 782 no. 1, (2014) L2, arXiv:1312.4086 [astro-ph.SR].
  • [3524] K. Scholberg, “Supernova Neutrino Detection,” Ann. Rev. Nucl. Part. Sci. 62 (2012) 81–103, arXiv:1205.6003 [astro-ph.IM].
  • [3525] G. Zanardo et al., “Spectral and morphological analysis of the remnant of Supernova 1987A with ALMA and ATCA,” Astrophys. J. 796 no. 2, (2014) 82, arXiv:1409.7811 [astro-ph.HE].
  • [3526] M. Matsuura et al., “ALMA spectral survey of Supernova 1987A – molecular inventory, chemistry, dynamics and explosive nucleosynthesis,” Mon. Not. Roy. Astron. Soc. 469 no. 3, (2017) 3347–3362, arXiv:1704.02324 [astro-ph.SR].
  • [3527] C. Fransson et al., “Emission lines due to ionizing radiation from a compact object in the remnant of Supernova 1987A,” Science 383 no. 6685, (2024) 898–903, arXiv:2403.04386 [astro-ph.HE].
  • [3528] S. D. Van Dyk, “Supernova Progenitors Observed with HST,” in Handbook of Supernovae, A. W. Alsabti and P. Murdin, eds., p. 693. Springer, 2017.
  • [3529] J. J. Eldridge, M. Fraser, S. J. Smartt, J. R. Maund, and R. M. Crockett, “The death of massive stars - II. Observational constraints on the progenitors of type Ibc supernovae,” Mon. Not. Roy. Astron. Soc. 436 (2013) 774, arXiv:1301.1975 [astro-ph.SR].
  • [3530] J. P. Anderson, S. M. Habergham, P. A. James, and M. Hamuy, “Progenitor mass constraints for core-collapse supernovae from correlations with host galaxy star formation,” Mon. Not. Roy. Astron. Soc. 424 (2012) 1372, arXiv:1205.3802 [astro-ph.CO]. – 792 –
  • [3531] J. J. Eldridge and J. R. Maund, “The disappearance of the helium-giant progenitor of the type Ib supernova iPTF13bvn and constraints on its companion,” Mon. Not. Roy. Astron. Soc. 461 no. 1, (2016) L117–L121, arXiv:1604.05050 [astro-ph.SR].
  • [3532] C. D. Kilpatrick et al., “A cool and inflated progenitor candidate for the Type Ib supernova 2019yvr at 2.6 yr before explosion,” Mon. Not. Roy. Astron. Soc. 504 no. 2, (2021) 2073–2093, arXiv:2101.03206 [astro-ph.HE].
  • [3533] C. D. Kilpatrick et al., “A Potential Progenitor for the Type Ic Supernova 2017ein,” Mon. Not. Roy. Astron. Soc. 480 no. 2, (2018) 2072–2084, arXiv:1808.02989 [astro-ph.SR].
  • [3534] S. D. Van Dyk et al., “SN 2017ein and the Possible First Identification of a Type Ic Supernova Progenitor,” Astrophys. J. 860 no. 2, (2018) 90, arXiv:1803.01050 [astro-ph.SR].
  • [3535] D. Xiang et al., “Observations of SN 2017ein Reveal Shock Breakout Emission and A Massive Progenitor Star for a Type Ic Supernova,” Astrophys. J. 871 no. 2, (2019) 176, arXiv:1812.03076 [astro-ph.HE].
  • [3536] Y. Cai, A. Reguitti, G. Valerin, and X. Wang, “Gap Transients Interacting with Circumstellar Medium,” Universe 8 no. 10, (2022) 493, arXiv:2209.11815 [astro-ph.SR].
  • [3537] S. E. Woosley and J. S. Bloom, “The Supernova Gamma-Ray Burst Connection,” Ann. Rev. Astron. Astrophys. 44 (2006) 507–556, arXiv:astro-ph/0609142.
  • [3538] A. Gal-Yam, “Luminous Supernovae,” Science 337 (2012) 927, arXiv:1208.3217 [astro-ph.CO].
  • [3539] M. Modjaz, Y. Q. Liu, F. B. Bianco, and O. Graur, “The Spectral SN-GRB Connection: Systematic Spectral Comparisons between Type Ic Supernovae, and broad-lined Type Ic Supernovae with and without Gamma-Ray Bursts,” Astrophys. J. 832 no. 2, (2016) 108, arXiv:1509.07124 [astro-ph.HE].
  • [3540] T. J. Galama et al., “Discovery of the peculiar supernova 1998bw in the error box of GRB 980425,” Nature 395 (1998) 670, arXiv:astro-ph/9806175.
  • [3541] G. Pignata et al., “SN 2009bb: a Peculiar Broad-Lined Type Ic Supernova,” Astrophys. J. 728 (2011) 14, arXiv:1011.6126 [astro-ph.SR].
  • [3542] A. Corsi et al., “A Search for Relativistic Ejecta in a Sample of ZTF Broad-lined Type Ic Supernovae,” Astrophys. J. 953 no. 2, (2023) 179, arXiv:2210.09536 [astro-ph.HE].
  • [3543] M. Nicholl, “Superluminous supernovae: an explosive decade,” Astron. Geophys. 62 no. 5, (2021) 5.34–5.42, arXiv:2109.08697 [astro-ph.HE].
  • [3544] R. M. Quimby, G. Aldering, J. C. Wheeler, P. Hoflich, C. W. Akerlof, and E. S. Rykoff, “SN 2005ap: A Most Brilliant Explosion,” Astrophys. J. Lett. 668 (2007) L99, arXiv:0709.0302 [astro-ph].
  • [3545] C. Frohmaier et al., “From core collapse to superluminous: The rates of massive stellar explosions from the Palomar Transient Factory,” Mon. Not. Roy. Astron. Soc. 500 no. 4, (2020) 5142–5158, arXiv:2010.15270 [astro-ph.HE].
  • [3546] H. Umeda and K. Nomoto, “How much Ni-56 can be produced in Core-Collapse Supernovae? Evolution and Explosions of 30-100 Msun Stars,” Astrophys. J. 673 (2008) 1014, arXiv:0707.2598 [astro-ph].
  • [3547] L. Dessart, D. J. Hillier, R. Waldman, E. Livne, and S. Blondin, “Super-luminous supernovae: 56Ni power versus magnetar radiation,” Mon. Not. Roy. Astron. Soc. 426 (2012) L76–L80, arXiv:1208.1214 [astro-ph.SR].
  • [3548] S. E. Woosley, S. Blinnikov, and A. Heger, “Pulsational pair instability as an explanation for the most luminous supernovae,” Nature 450 (2007) 390, arXiv:0710.3314 [astro-ph]. – 793 –
  • [3549] D. Kasen and L. Bildsten, “Supernova Light Curves Powered by Young Magnetars,” Astrophys. J. 717 (2010) 245–249, arXiv:0911.0680 [astro-ph.HE].
  • [3550] F. Taddia et al., “Analysis of broad-lined Type Ic supernovae from the (intermediate) Palomar Transient Factory,” Astron. Astrophys. 621 (2019) A71, arXiv:1811.09544 [astro-ph.HE].
  • [3551] P. K. Blanchard, E. Berger, M. Nicholl, and V. A. Villar, “The Pre-explosion Mass Distribution of Hydrogen-poor Superluminous Supernova Progenitors and New Evidence for a Mass–Spin Correlation,” Astrophys. J. 897 no. 2, (2020) 114, arXiv:2002.09508 [astro-ph.HE].
  • [3552] S. E. Woosley, “Bright Supernovae from Magnetar Birth,” Astrophys. J. Lett. 719 (2010) L204, arXiv:0911.0698 [astro-ph.HE].
  • [3553] L.-J. Wang, Y.-H. Han, D. Xu, S.-Q. Wang, Z.-G. Dai, X.-F. Wu, and J.-Y. Wei, “Solving the 56 Ni puzzle of magnetar-powered broad-lined type Ic supernovae,” Astrophys. J. 831 no. 1, (2016) 41, arXiv:1608.05482 [astro-ph.HE].
  • [3554] C. Inserra et al., “Super Luminous Ic Supernovae: catching a magnetar by the tail,” Astrophys. J. 770 (2013) 128, arXiv:1304.3320 [astro-ph.HE].
  • [3555] S. Q. Wang, L. J. Wang, and Z. G. Dai, “The Energy Sources of Superluminous Supernovae,” Res. Astron. Astrophys. 19 no. 5, (2019) 063, arXiv:1902.07943 [astro-ph.HE].
  • [3556] A. Jerkstrand et al., “Long-duration superluminous supernovae at late times,” Astrophys. J. 835 no. 1, (2017) 13, arXiv:1608.02994 [astro-ph.HE].
  • [3557] D. Lazzati, B. J. Morsony, C. H. Blackwell, and M. C. Begelman, “Unifying the Zoo of Jet-Driven Stellar Explosions,” Astrophys. J. 750 (2012) 68, arXiv:1111.0970 [astro-ph.HE].
  • [3558] A. Gilkis, N. Soker, and O. Papish, “Explaining the most energetic supernovae with an inefficient jet-feedback mechanism,” Astrophys. J. 826 no. 2, (2016) 178, arXiv:1511.01471 [astro-ph.HE].
  • [3559] J. Barnes, P. C. Duffell, Y. Liu, M. Modjaz, F. B. Bianco, D. Kasen, and A. I. MacFadyen, “A GRB and Broad-lined Type Ic Supernova from a Single Central Engine,” Astrophys. J. 860 no. 1, (2018) 38, arXiv:1708.02630 [astro-ph.HE].
  • [3560] N. Soker and A. Gilkis, “Magnetar-powered superluminous supernovae must first be exploded by jets,” Astrophys. J. 851 no. 2, (2017) 95, arXiv:1708.08356 [astro-ph.HE].
  • [3561] M. Eisenberg, O. Gottlieb, and E. Nakar, “Observational signatures of stellar explosions driven by relativistic jets,” Mon. Not. Roy. Astron. Soc. 517 no. 1, (2022) 582–596, arXiv:2201.08432 [astro-ph.HE].
  • [3562] N. Soker, “The Role of Jets in Exploding Supernovae and in Shaping their Remnants,” Res. Astron. Astrophys. 22 no. 12, (2022) 122003, arXiv:2208.04875 [astro-ph.HE].
  • [3563] L. Wang and J. C. Wheeler, “Spectropolarimetry of Supernovae,” Ann. Rev. Astron. Astrophys. 46 (2008) 433–474, arXiv:0811.1054 [astro-ph].
  • [3564] S. Taubenberger et al., “Nebular emission-line profiles of Type Ib/c Supernovae - probing the ejecta asphericity,” Mon. Not. Roy. Astron. Soc. 397 (2009) 677, arXiv:0904.4632 [astro-ph.CO].
  • [3565] R. Chornock et al., “The Transitional Stripped-Envelope SN 2008ax: Spectral Evolution and Evidence for Large Asphericity,” Astrophys. J. 739 (2011) 41, arXiv:1001.2775 [astro-ph.SR].
  • [3566] C. Inserra, M. Bulla, S. A. Sim, and S. J. Smartt, “Spectropolarimetry of superluminous – 794 – supernovae: insight into their geometry,” Astrophys. J. 831 (2016) 79, arXiv:1607.02353 [astro-ph.HE].
  • [3567] S. Saito, M. Tanaka, T. J. Moriya, M. Bulla, G. Leloudas, C. Inserra, C.-H. Lee, K. S. Kawabata, and P. Mazzali, “Late-Phase Spectropolarimetric Observations of Superluminous Supernova SN 2017egm to Probe the Geometry of the Inner Ejecta,” Astrophys. J. 894 no. 2, (2020) 154, arXiv:2004.03140 [astro-ph.HE].
  • [3568] A. Heger, C. L. Fryer, S. E. Woosley, N. Langer, and D. H. Hartmann, “How massive single stars end their life,” Astrophys. J. 591 (2003) 288–300, arXiv:astro-ph/0212469.
  • [3569] C. S. Kochanek, J. F. Beacom, M. D. Kistler, J. L. Prieto, K. Z. Stanek, T. A. Thompson, and H. Yuksel, “A Survey About Nothing: Monitoring a Million Supergiants for Failed Supernovae,” Astrophys. J. 684 (2008) 1336–1342, arXiv:0802.0456 [astro-ph].
  • [3570] B. Davies and E. R. Beasor, “The ‘red supergiant problem’: the upper luminosity boundary of Type II supernova progenitors,” Mon. Not. Roy. Astron. Soc. 493 no. 1, (2020) 468–476, arXiv:2001.06020 [astro-ph.SR].
  • [3571] C. S. Kochanek, “On the red supergiant problem,” Mon. Not. R. Astron. Soc. 493 no. 4, (Apr., 2020) 4945–4949, arXiv:2001.07216 [astro-ph.SR].
  • [3572] S. M. Adams, C. S. Kochanek, J. R. Gerke, and K. Z. Stanek, “The search for failed supernovae with the Large Binocular Telescope: constraints from 7 yr of data,” Mon. Not. Roy. Astron. Soc. 469 no. 2, (2017) 1445–1455, arXiv:1610.02402 [astro-ph.SR].
  • [3573] J. M. M. Neustadt, C. S. Kochanek, K. Z. Stanek, C. M. Basinger, T. Jayasinghe, C. T. Garling, S. M. Adams, and J. Gerke, “The search for failed supernovae with the Large Binocular Telescope: a new candidate and the failed SN fraction with 11 yr of data,” Mon. Not. Roy. Astron. Soc. 508 no. 1, (2021) 516–528, arXiv:2104.03318 [astro-ph.SR].
  • [3574] S. M. Adams, C. S. Kochanek, J. R. Gerke, K. Z. Stanek, and X. Dai, “The search for failed supernovae with the Large Binocular Telescope: confirmation of a disappearing star,” Mon. Not. Roy. Astron. Soc. 468 no. 4, (2017) 4968–4981, arXiv:1609.01283 [astro-ph.SR].
  • [3575] C. S. Kochanek, J. M. M. Neustadt, and K. Z. Stanek, “The Search for Failed Supernovae with the Large Binocular Telescope: The Mid-infrared Counterpart to N6946-BH1,” Astrophys. J. 962 no. 2, (2024) 145, arXiv:2310.01514 [astro-ph.HE].
  • [3576] S. M. Adams, C. S. Kochanek, J. F. Beacom, M. R. Vagins, and K. Z. Stanek, “Observing the Next Galactic Supernova,” Astrophys. J. 778 (2013) 164, arXiv:1306.0559 [astro-ph.HE].
  • [3577] C. D. Ott, C. Reisswig, E. Schnetter, E. O’Connor, U. Sperhake, F. Loffler, P. Diener, E. Abdikamalov, I. Hawke, and A. Burrows, “Dynamics and Gravitational Wave Signature of Collapsar Formation,” Phys. Rev. Lett. 106 (2011) 161103, arXiv:1012.1853 [astro-ph.HE].
  • [3578] E. Cappellaro, R. Evans, and M. Turatto, “A new determination of supernova rates and a comparison with indicators for galactic star formation,” Astron. Astrophys. 351 (1999) 459, arXiv:astro-ph/9904225.
  • [3579] J. Leaman, W. Li, R. Chornock, and A. V. Filippenko, “Nearby Supernova Rates from the Lick Observatory Supernova Search. I. The Methods and Database,” Mon. Not. Roy. Astron. Soc. 412 (2011) 1419, arXiv:1006.4611 [astro-ph.SR].
  • [3580] O. Graur, F. B. Bianco, M. Modjaz, I. Shivvers, A. V. Filippenko, W. Li, and N. Smith, “Loss revisited. ii. the relative rates of different types of supernovae vary between low-and high-mass galaxies,” The Astrophysical Journal 837 no. 2, (2017) 121.
  • [3581] E. C. Bellm, S. R. Kulkarni, M. J. Graham, R. Dekany, R. M. Smith, R. Riddle, F. J. Masci, G. Helou, T. A. Prince, S. M. Adams, et al., “The zwicky transient facility: system overview, – 795 – performance, and first results,” Publications of the Astronomical Society of the Pacific 131 no. 995, (2018) 018002.
  • [3582] J. Tonry, L. Denneau, H. Flewelling, A. Heinze, C. Onken, S. J. Smartt, B. Stalder, H. Weiland, and C. Wolf, “The atlas all-sky stellar reference catalog,” The Astrophysical Journal 867 no. 2, (2018) 105.
  • [3583] R. Barbon, V. Buondi, E. Cappellaro, and M. Turatto, “VizieR Online Data Catalog: Asiago Supernova Catalogue (Version 2008-Mar).” Vizier on-line data catalog: Ii/283. originally published in: Astron. astrophys. suppl. ser. 139, 531 (1999); updated version 2008-03, Feb, 2008.
  • [3583] R. Barbon, V. Buondi, E. Cappellaro, and M. Turatto, “VizieR Online Data Catalog: Asiago Supernova Catalogue (Version 2008-Mar).” Vizier on-line data catalog: Ii/283. originally published in: Astron. astrophys. suppl. ser. 139, 531 (1999); updated version 2008-03, Feb, 2008.
  • [3584] E. Kankare et al., “Core-collapse supernova subtypes in luminous infrared galaxies,” Astron. Astrophys. 649 (2021) A134, arXiv:2102.13512 [astro-ph.SR].
  • [3585] F. Mannucci, M. Della Valle, and N. Panagia, “How many supernovae are we missing at high redshift?,” Mon. Not. Roy. Astron. Soc. 377 (2007) 1229–1235, arXiv:astro-ph/0702355.
  • [3586] S. Mattila, T. Dahlén, A. Efstathiou, E. Kankare, J. Melinder, A. Alonso-Herrero, M. Pérez-Torres, S. Ryder, P. Väisänen, and G. Östlin, “Core-collapse supernovae missed by optical surveys,” The Astrophysical Journal 756 no. 2, (2012) 111.
  • [3587] J. E. Jencson et al., “The SPIRITS sample of Luminous Infrared Transients: Uncovering Hidden Supernovae and Dusty Stellar Outbursts in Nearby Galaxies,” Astrophys. J. 886 (2019) 40, arXiv:1901.00871 [astro-ph.HE].
  • [3588] O. D. Fox et al., “A Spitzer survey for dust-obscured supernovae,” Mon. Not. Roy. Astron. Soc. 506 no. 3, (2021) 4199–4209, arXiv:2106.09733 [astro-ph.HE].
  • [3589] M. Pérez-Torres, S. Mattila, A. Alonso-Herrero, S. Aalto, and A. Efstathiou, “Star formation and nuclear activity in luminous infrared galaxies: an infrared through radio review,” Astron. & Astrophys.r 29 no. 1, (Dec., 2021) 2, arXiv:2010.05072 [astro-ph.GA].
  • [3590] C. Kochanek, M. Pahre, E. Falco, J. Huchra, J. Mader, T. Jarrett, T. Chester, R. Cutri, and S. Schneider, “The k-band galaxy luminosity function,” The Astrophysical Journal 560 no. 2, (2001) 566.
  • [3591] I. D. Karachentsev, V. E. Karachentseva, W. K. Huchtmeier, and D. I. Makarov, “A catalog of neighboring galaxies,” The Astronomical Journal 127 no. 4, (2004) 2031.
  • [3592] R. C. Kennicutt, Jr., J. C. Lee, J. G. Funes S. J., S. Sakai, and S. Akiyama, “An H-alpha Imaging Survey of Galaxies in the Local 11 Mpc Volume,” Astrophys. J. Suppl. 178 (2008) 247, arXiv:0807.2035 [astro-ph].
  • [3593] Local Volume Legacy Team Collaboration, J. C. Lee, A. G. de Paz, C. Tremonti, and R. Kennicutt, “UV/H-alpha Turmoil,” ASP Conf. Ser. 440 (2011) 179, arXiv:1011.2181 [astro-ph.CO].
  • [3594] M. T. Botticella, S. J. Smartt, R. C. Kennicutt, Jr., E. Cappellaro, M. Sereno, and J. C. Lee, “A comparison between star formation rate diagnostics and rate of core collapse supernovae within 11 Mpc,” Astron. Astrophys. 537 (2012) A132, arXiv:1111.1692 [astro-ph.CO].
  • [3595] M. Relano, R. C. J. Kennicutt, J. J. Eldridge, J. C. Lee, and S. Verley, “On how leakage can affect the Star Formation Rate estimation using Halpha luminosity,” Mon. Not. Roy. Astron. Soc. 423 (2012) 2933, arXiv:1204.4502 [astro-ph.CO].
  • [3596] M. S. Bothwell, R. C. Kenicutt, B. D. Johnson, Y. Wu, J. C. Lee, D. Dale, C. Engelbracht, D. Calzetti, and E. Skillman, “The Star Formation Rate Distribution Function of the Local Universe,” Mon. Not. Roy. Astron. Soc. 415 (2011) 1815, arXiv:1104.0929 [astro-ph.CO].
  • [3597] A. M. Hopkins and J. F. Beacom, “On the normalisation of the cosmic star formation history,” Astrophys. J. 651 (2006) 142–154, arXiv:astro-ph/0601463. – 796 –
  • [3598] S. Cole, P. Norberg, C. M. Baugh, C. S. Frenk, J. Bland-Hawthorn, T. Bridges, R. Cannon, M. Colless, C. Collins, W. Couch, et al., “The 2df galaxy redshift survey: near-infrared galaxy luminosity functions,” Monthly Notices of the Royal Astronomical Society 326 no. 1, (2001) 255–273.
  • [3599] I. K. Baldry and K. Glazebrook, “Constraints on a universal stellar initial mass function from ultraviolet to near-infrared galaxy luminosity densities,” The Astrophysical Journal 593 no. 1, (2003) 258.
  • [3600] R. A. Fesen, M. C. Hammell, J. Morse, R. A. Chevalier, K. J. Borkowski, M. A. Dopita, C. L. Gerardy, S. S. Lawrence, J. C. Raymond, and S. van den Bergh, “The expansion asymmetry and age of the cassiopeia a supernova remnant,” Astrophys. J. 645 (2006) 283–292, arXiv:astro-ph/0603371.
  • [3601] K. J. Luken et al., “Radio Observations of Supernova Remnant G1.9+0.3” Mon. Not. Roy. Astron. Soc. 492 no. 2, (2020) 2606–2621, arXiv:1912.01771 [astro-ph.GA].
  • [3602] D. Green and S. Gull, “Two new young galactic supernova remnants,” Nature 312 no. 5994, (1984) 527–529.
  • [3603] S. Reynolds, “Evolution of the youngest galactic supernova remnant g1. 9+ 0.3,” Chandra Proposal (2018) 5389.
  • [3604] D. A. Green, “A revised catalogue of 294 Galactic supernova remnants,” J. Astrophys. Astron. 40 no. 4, (2019) 36, arXiv:1907.02638 [astro-ph.GA].
  • [3605] D. H. Clark and F. R. Stephenson, The historical supernovae. 1977.
  • [3606] D. A. Green, “Historical supernovae in the galaxy from ad 1006,” Handbook of Supernovae (2017) 37.
  • [3607] N. Smith, “The Crab Nebula and the class of Type IIn-P supernovae caused by sub-energetic electron capture explosions,” Mon. Not. Roy. Astron. Soc. 434 (2013) 102, arXiv:1304.0689 [astro-ph.HE].
  • [3608] R. Kothes, “A Thorough Investigation of Distance and Age of the Pulsar Wind Nebula 3C58,” Astron. Astrophys. 560 (2013) A18, arXiv:1307.8384 [astro-ph.GA].
  • [3609] G. A. Tammann, W. Loeffler, and A. Schroder, “The Galactic supernova rate,” Astrophys. J. Suppl. 92 (1994) 487–493.
  • [3610] C. T. Murphey, J. W. Hogan, B. D. Fields, and G. Narayan, “Witnessing history: sky distribution, detectability, and rates of naked-eye Milky Way supernovae,” Mon. Not. Roy. Astron. Soc. 507 no. 1, (2021) 927–943, arXiv:2012.06552 [astro-ph.SR].
  • [3611] E. Cappellaro, M. Turatto, Benetti, D. Y. Tsvetkov, O. S. Bartunov, and I. N. Makarova, “The rate of supernovae. 2. The selection effects and the frequencies per unit blue luminosity,” Astron. Astrophys. 273 (1993) 383, arXiv:astro-ph/9302017.
  • [3612] S. van den Bergh and R. D. McClure, “Rediscussion of extragalactic supernova rates derived from evans’s 1980-1988 observations,” Astrophysical Journal, Part 1 (ISSN 0004-637X), vol. 425, no. 1, p. 205-209 425 (1994) 205–209.
  • [3613] B. C. Reed, “New estimates of the solar-neighborhood massive-stars birthrate and the Galactic supernova rate,” Astron. J. 130 (2005) 1652–1657, arXiv:astro-ph/0506708.
  • [3614] D. A. Leahy and S. Ranasinghe, “Evolutionary Models for 15 Galactic Supernova Remnants with New Distances,” Astrophys. J. 866 no. 1, (2018) 9, arXiv:1808.04716 [astro-ph.GA].
  • [3615] R. Diehl et al., “Radioactive Al-26 and massive stars in the galaxy,” Nature 439 (2006) 45–47, arXiv:astro-ph/0601015.
  • [3616] P. Van Der Kruit, The Galaxy, p. 27. Springer Dordrecht, 1987. – 797 –
  • [3617] R. Evans, S. van den Bergh, and R. D. McClure, “Revised Supernova Rates in Shapley-Ames Galaxies,” Astrophys. J. 345 (Oct., 1989) 752.
  • [3618] P. C. van der Kruit, “Comparison of the Galaxy with External Spiral Galaxies,” in The Galaxy, G. Gilmore and B. Carswell, eds., vol. 207 of NATO Advanced Study Institute (ASI) Series C, p. 27. Jan., 1987.
  • [3619] M. M. Hohle, R. Neuhaeuser, and B. F. Schutz, “Masses and Luminosities of O and B - type stars and red super giants,” Astron. Nachr. 331 (2010) 349, arXiv:1003.2335 [astro-ph.SR].
  • [3620] R. M. Cutri, M. F. Skrutskie, S. van Dyk, C. A. Beichman, J. M. Carpenter, T. Chester, L. Cambresy, T. Evans, J. Fowler, J. Gizis, E. Howard, J. Huchra, T. Jarrett, E. L. Kopan, J. D. Kirkpatrick, R. M. Light, K. A. Marsh, H. McCallon, S. Schneider, R. Stiening, M. Sykes, M. Weinberg, W. A. Wheaton, S. Wheelock, and N. Zacarias, 2MASS All Sky Catalog of point sources. 2003.
  • [3621] M. A. C. Perryman et al., “The Hipparcos catalogue,” Astron. Astrophys. 323 (1997) L49–L52.
  • [3622] G. Bertelli, A. Bressan, C. Chiosi, F. Fagotto, and E. Nasi, “Theoretical isochrones from models with new radiative opacities,” Astron. Astrophys. Suppl. Ser. 106 (1994) 275–302.
  • [3623] A. Claret, “New grids of stellar models including tidal-evolution constants up to carbon burning. IV. From 0.8 to 125M⊙: high metallicities (Z = 0.04-0.10),” Astron. & Astrophys. 467 no. 3, (June, 2007) 1389–1396.
  • [3624] G. Schaller, D. Schaerer, G. Meynet, and A. Maeder, “New grids of stellar models from 0.8 to 120 solar masses at Z = 0.020 and Z = 0.001,” Astron. Astrophys. Suppl. Ser. 96 (1992) 269.
  • [3625] E. F. Keane and M. Kramer, “On the birthrates of Galactic neutron stars,” Mon. Not. Roy. Astron. Soc. 391 (2008) 2009, arXiv:0810.1512 [astro-ph].
  • [3626] C. Kouveliotou et al., “An X-ray pulsar with a superstrong magnetic field in the soft gamma-ray repeater SGR 1806-20.,” Nature 393 (1998) 235–237.
  • [3627] J. van Paradijs, R. E. Taam, and E. P. J. van den Heuvel, “On the nature of the ’anomalous’ 6-s X-ray pulsars,” Astron. & Astrophys. 299 (July, 1995) L41.
  • [3628] C.-A. Faucher-Giguere and V. M. Kaspi, “Birth and evolution of isolated radio pulsars,” Astrophys. J. 643 (2006) 332–355, arXiv:astro-ph/0512585.
  • [3629] D. R. Lorimer et al., “The Parkes multibeam pulsar survey: VI. Discovery and timing of 142 pulsars and a Galactic population analysis,” Mon. Not. Roy. Astron. Soc. 372 (2006) 777–800, arXiv:astro-ph/0607640.
  • [3630] N. Vranesevic et al., “Pulsar birthrate from Parkes multi-beam survey,” Astrophys. J. Lett. 617 (2004) L139–L142, arXiv:astro-ph/0310201.
  • [3631] R. Gill and J. Heyl, “The Birthrate of Magnetars,” Mon. Not. Roy. Astron. Soc. 381 (2007) 52, arXiv:astro-ph/0703346.
  • [3632] S. B. Popov, R. Turolla, and A. Possenti, “A tale of two populations: rotating radio transients and x-ray dim isolated neutron stars,” Mon. Not. Roy. Astron. Soc. 369 (2006) L23–L26, arXiv:astro-ph/0603258.
  • [3633] D. A. Leahy, S. Ranasinghe, and M. Gelowitz, “Evolutionary Models for 43 Galactic Supernova Remnants with Distances and X-ray Spectra,” Astrophys. J. Suppl. 248 no. 1, (2020) 16, arXiv:2003.08998 [astro-ph.HE].
  • [3634] A. G. W. Cameron and J. W. Truran, “The Supernova Trigger for Formation of the Solar System,” Icarus 30 no. 3, (Mar., 1977) 447–461. – 798 –
  • [3635] J. M. Scalo, “The stellar initial mass function,” Fundamentals of cosmic physics 11 (1986) 1–278.
  • [3636] M. Limongi and A. Chieffi, “The nucleosynthesis of Al-26 and Fe-60 in solar metallicity stars extending in mass from 11 to 120 solar masses: the hydrostatic and explosive contributions,” Astrophys. J. 647 (2006) 483–500, arXiv:astro-ph/0604297.
  • [3637] A. Borghese, “Exploring the neutron star zoo: An observational review,” IAU Symp. 363 (2020) 51–60, arXiv:2405.02368 [astro-ph.HE].
  • [3638] D. R. Lorimer and M. Kramer, Handbook of Pulsar Astronomy, vol. 4. 2004.
  • [3639] R. F. Archibald et al., “A High Braking Index for a Pulsar,” Astrophys. J. Lett. 819 no. 1, (2016) L16, arXiv:1603.00305 [astro-ph.HE].
  • [3640] R. N. Manchester, G. B. Hobbs, A. Teoh, and M. Hobbs, “The Australia Telescope National Facility pulsar catalogue,” Astron. J. 129 (2005) 1993, arXiv:astro-ph/0412641.
  • [3641] F. Coti Zelati, N. Rea, J. A. Pons, S. Campana, and P. Esposito, “Systematic study of magnetar outbursts,” Mon. Not. Roy. Astron. Soc. 474 no. 1, (2018) 961–1017, arXiv:1710.04671 [astro-ph.HE].
  • [3642] A. Philippov, A. Timokhin, and A. Spitkovsky, “Origin of Pulsar Radio Emission,” Phys. Rev. Lett. 124 no. 24, (2020) 245101, arXiv:2001.02236 [astro-ph.HE].
  • [3643] A. K. Harding, “Pulsar high-energy emission models,” PoS HEASA2021 (2022) 047.
  • [3644] H. Ding, A. T. Deller, E. Fonseca, I. H. Stairs, B. Stappers, and A. Lyne, “The Orbital-decay Test of General Relativity to the 2% Level with 6 yr VLBA Astrometry of the Double Neutron Star PSR J1537+1155,” Astrophys. J. Lett. 921 no. 1, (2021) L19, arXiv:2110.10590 [astro-ph.HE].
  • [3645] M. Antonelli, A. Montoli, and P. Pizzochero, Insights Into the Physics of Neutron Star Interiors from Pulsar Glitches, pp. 219–281. World Scientific, 2022. arXiv:2301.12769 [astro-ph.HE]. https://doi.org/10.1142/9789811220944_0007.
  • [3646] R. N. Manchester, “Pulsar Glitches,” IAU Symp. 337 (2017) 197–202, arXiv:1801.04332 [astro-ph.HE].
  • [3647] D. Antonopoulou, B. Haskell, and C. M. Espinoza, “Pulsar glitches: observations and physical interpretation,” Reports on Progress in Physics 85 no. 12, (Dec., 2022) 126901.
  • [3648] B. Haskell and A. Melatos, “Models of Pulsar Glitches,” Int. J. Mod. Phys. D 24 no. 03, (2015) 1530008, arXiv:1502.07062 [astro-ph.SR].
  • [3649] M. Antonelli, A. Basu, and B. Haskell, “Stochastic processes for pulsar timing noise: fluctuations in the internal and external torques,” Mon. Not. R. Astron. Soc. 520 no. 2, (Apr., 2023) 2813–2828, arXiv:2206.10416 [astro-ph.HE].
  • [3650] G. Yim and D. I. Jones, “Transient gravitational waves from pulsar post-glitch recoveries,” Mon. Not. Roy. Astron. Soc. 498 no. 3, (2020) 3138–3152, arXiv:2007.05893 [astro-ph.HE].
  • [3651] G. Yim and D. I. Jones, “Gravitational waves from small spin-up and spin-down events of neutron stars,” Mon. Not. Roy. Astron. Soc. 518 no. 3, (2023) 4322–4329, arXiv:2204.12869 [astro-ph.HE].
  • [3652] B. Haskell and D. I. Jones, “Glitching pulsars as gravitational wave sources,” Astroparticle Physics 157 (May, 2024) 102921, arXiv:2311.04586 [astro-ph.HE].
  • [3653] P. Esposito, N. Rea, and G. L. Israel, “Magnetars: A Short Review and Some Sparse Considerations,” in Timing Neutron Stars: Pulsations, Oscillations and Explosions, T. M. Belloni, M. Méndez, and C. Zhang, eds., vol. 461 of Astrophysics and Space Science Library, pp. 97–142. Jan., 2021. arXiv:1803.05716 [astro-ph.HE]. – 799 –
  • [3654] V. M. Kaspi and A. Beloborodov, “Magnetars,” Ann. Rev. Astron. Astrophys. 55 (2017) 261–301, arXiv:1703.00068 [astro-ph.HE].
  • [3655] S. Mereghetti et al., “A magnetar giant flare in the nearby starburst galaxy M82,” arXiv:2312.14645 [astro-ph.HE].
  • [3656] A. Patruno and A. L. Watts, “Accreting Millisecond X-Ray Pulsars,” Astrophys. Space Sci. Libr. 461 (2020) 143–208, arXiv:1206.2727 [astro-ph.HE].
  • [3657] A. Papitto et al., “Swings between rotation and accretion power in a millisecond binary pulsar,” Nature 501 (2013) 517–520, arXiv:1305.3884 [astro-ph.HE].
  • [3658] F. Ambrosino et al., “Optical pulsations from a transitional millisecond pulsar,” Nature Astron. 1 no. 12, (2017) 854–858, arXiv:1709.01946 [astro-ph.HE].
  • [3659] A. G. Suvorov, A. Mastrano, and U. Geppert, “Gravitational radiation from neutron stars deformed by crustal Hall drift,” Mon. Not. R. Astron. Soc. 459 no. 3, (July, 2016) 3407–3418, arXiv:1604.04305 [astro-ph.HE].
  • [3660] F. Gittins and N. Andersson, “Modelling neutron star mountains in relativity,” Mon. Not. R. Astron. Soc. 507 no. 1, (Oct., 2021) 116–128, arXiv:2105.06493 [astro-ph.HE].
  • [3661] N. Andersson and K. D. Kokkotas, “Towards gravitational wave asteroseismology,” MNRAS 299 no. 4, (Oct., 1998) 1059–1068, arXiv:gr-qc/9711088 [gr-qc].
  • [3662] B. Haskell, “R-modes in neutron stars: Theory and observations,” International Journal of Modern Physics E 24 no. 9, (Aug., 2015) 1541007, arXiv:1509.04370 [astro-ph.HE].
  • [3663] F. J. Fattoyev, C. J. Horowitz, and H. Lu, “Crust breaking and the limiting rotational frequency of neutron stars,” arXiv:1804.04952 [astro-ph.HE].
  • [3664] F. Gittins and N. Andersson, “Population Synthesis of Accreting Neutron Stars Emitting Gravitational Waves,” Mon. Not. Roy. Astron. Soc. 488 no. 1, (2019) 99–110, arXiv:1811.00550 [astro-ph.HE].
  • [3665] Y. Zhang, M. A. Papa, B. Krishnan, and A. L. Watts, “Search for Continuous Gravitational Waves from Scorpius X-1 in LIGO O2 Data,” Astrophys. J. Lett. 906 no. 2, (2021) L14, arXiv:2011.04414 [astro-ph.HE].
  • [3666] LIGO Scientific, KAGRA, VIRGO Collaboration, R. Abbott et al., “Model-based Cross-correlation Search for Gravitational Waves from the Low-mass X-Ray Binary Scorpius X-1 in LIGO O3 Data,” Astrophys. J. Lett. 941 no. 2, (2022) L30, arXiv:2209.02863 [astro-ph.HE].
  • [3667] M. Priymak, A. Melatos, and P. D. Lasky, “Cyclotron line signatures of thermal and magnetic mountains from accreting neutron stars,” Mon. Not. R. Astron. Soc. 445 no. 3, (Dec., 2014) 2710–2724, arXiv:1409.3327 [astro-ph.HE].
  • [3668] B. Haskell, M. Priymak, A. Patruno, M. Oppenoorth, A. Melatos, and P. D. Lasky, “Detecting gravitational waves from mountains on neutron stars in the Advanced Detector Era,” Mon. Not. Roy. Astron. Soc. 450 no. 3, (2015) 2393–2403, arXiv:1501.06039 [astro-ph.SR].
  • [3669] N. Sarin, P. D. Lasky, and G. Ashton, “Interpreting the X-ray afterglows of gamma-ray bursts with radiative losses and millisecond magnetars,” Mon. Not. Roy. Astron. Soc. 499 no. 4, (2020) 5986–5992, arXiv:2008.05745 [astro-ph.HE].
  • [3670] H. Gao, B. Zhang, and H.-J. Lü, “Constraints on binary neutron star merger product from short GRB observations,” Phys. Rev. D 93 no. 4, (2016) 044065, arXiv:1511.00753 [astro-ph.HE].
  • [3671] S. Dall’Osso and L. Stella, “Millisecond Magnetars,” in Astrophysics and Space Science – 800 – Library, S. Bhattacharyya, A. Papitto, and D. Bhattacharya, eds., vol. 465 of Astrophysics and Space Science Library, pp. 245–280. Jan., 2022. arXiv:2103.10878 [astro-ph.HE].
  • [3672] A. Sur and B. Haskell, “Gravitational waves from mountains in newly born millisecond magnetars,” Mon. Not. R. Astron. Soc. 502 no. 4, (Apr., 2021) 4680–4688, arXiv:2010.15574 [astro-ph.HE].
  • [3673] C. Palomba, “Gravitational radiation from young magnetars: Preliminary results,” A&A 367 (Feb., 2001) 525–531.
  • [3674] L. Stella, S. Dall’Osso, G. Israel, and A. Vecchio, “Gravitational radiation from newborn magnetars,” Astrophys. J. Lett. 634 (2005) L165–L168, arXiv:astro-ph/0511068.
  • [3675] S. Dall’Osso, L. Stella, and C. Palomba, “Neutron star bulk viscosity, ‘spin-flip’ and GW emission of newly born magnetars,” Mon. Not. Roy. Astron. Soc. 480 no. 1, (2018) 1353–1362, arXiv:1806.11164 [astro-ph.HE].
  • [3676] A. Rowlinson, P. T. O’Brien, B. D. Metzger, N. R. Tanvir, and A. J. Levan, “Signatures of magnetar central engines in short GRB light curves,” Mon. Not. R. Astron. Soc. 430 no. 2, (Apr., 2013) 1061–1087, arXiv:1301.0629 [astro-ph.HE].
  • [3677] N. Bucciantini, B. D. Metzger, T. A. Thompson, and E. Quataert, “Short GRBs with Extended Emission from Magnetar Birth: Jet Formation and Collimation,” Mon. Not. Roy. Astron. Soc. 419 (2012) 1537, arXiv:1106.4668 [astro-ph.HE].
  • [3678] H.-J. Lü, Y. Yuan, L. Lan, B.-B. Zhang, J.-H. Zou, Z.-K. Peng, J. Shen, Y.-F. Liang, X.-G. Wang, and E.-W. Liang, “Evidence for gravitational-wave dominated emission in the central engine of short GRB 200219A,” Astrophys. J. Lett. 898 no. 1, (2020) L6, arXiv:2007.01124 [astro-ph.HE].
  • [3679] M. G. Bernardini, “Gamma-ray bursts and magnetars: Observational signatures and predictions,” JHEAp 7 (2015) 64–72.
  • [3680] P. D. Lasky, B. Haskell, V. Ravi, E. J. Howell, and D. M. Coward, “Nuclear equation of state from observations of short gamma-ray burst remnants,” Phys. Rev. D 89 no. 4, (Feb., 2014) 047302, arXiv:1311.1352 [astro-ph.HE].
  • [3681] L. Keer and D. I. Jones, “Developing a model for neutron star oscillations following starquakes,” Mon. Not. Roy. Astron. Soc. 446 (2015) 865–891, arXiv:1408.1249 [astro-ph.SR].
  • [3682] W. C. G. Ho, D. I. Jones, N. Andersson, and C. M. Espinoza, “Gravitational waves from transient neutron star f-mode oscillations,” Phys. Rev. D 101 no. 10, (2020) 103009, arXiv:2003.12082 [gr-qc].
  • [3683] P. M. Meyers, A. Melatos, and N. J. O’Neill, “Parameter estimation of a two-component neutron star model with spin wandering,” Mon. Not. Roy. Astron. Soc. 502 no. 3, (2021) 3113–3127, arXiv:2101.12421 [astro-ph.HE].
  • [3684] G. Yim, L. Shao, and R. Xu, “High-priority targets for transient gravitational waves from glitching pulsars,” Mon. Not. Roy. Astron. Soc. 532 no. 4, (2024) 3893–3913, arXiv:2406.00283 [astro-ph.HE].
  • [3685] LIGO Scientific, KAGRA, VIRGO Collaboration, R. Abbott et al., “Narrowband Searches for Continuous and Long-duration Transient Gravitational Waves from Known Pulsars in the LIGO-Virgo Third Observing Run,” Astrophys. J. 932 no. 2, (2022) 133, arXiv:2112.10990 [gr-qc].
  • [3686] R. S. L. Hansen, M. Lindner, and O. Scholer, “Timing the neutrino signal of a Galactic supernova,” Phys. Rev. D 101 no. 12, (2020) 123018, arXiv:1904.11461 [hep-ph].
  • [3687] LIGO Scientific, Virgo Collaboration, B. P. Abbott et al., “A First Targeted Search for Gravitational-Wave Bursts from Core-Collapse Supernovae in Data of First-Generation – 801 – Laser Interferometer Detectors,” Phys. Rev. D 94 no. 10, (2016) 102001, arXiv:1605.01785 [gr-qc].
  • [3688] LIGO Scientific, Virgo Collaboration, B. P. Abbott et al., “Optically targeted search for gravitational waves emitted by core-collapse supernovae during the first and second observing runs of advanced LIGO and advanced Virgo,” Phys. Rev. D 101 no. 8, (2020) 084002, arXiv:1908.03584 [astro-ph.HE].
  • [3689] M. J. Szczepańczyk et al., “An Optically Targeted Search for Gravitational Waves emitted by Core-Collapse Supernovae during the Third Observing Run of Advanced LIGO and Advanced Virgo,” arXiv:2305.16146 [astro-ph.HE].
  • [3690] Super-Kamiokande Collaboration, M. Ikeda et al., “Search for Supernova Neutrino Bursts at Super-Kamiokande,” Astrophys. J. 669 (2007) 519–524, arXiv:0706.2283 [astro-ph].
  • [3691] Hyper-Kamiokande Collaboration, K. Abe et al., “Supernova Model Discrimination with Hyper-Kamiokande,” Astrophys. J. 916 no. 1, (2021) 15, arXiv:2101.05269 [astro-ph.IM].
  • [3692] S. Klimenko et al., “Method for detection and reconstruction of gravitational wave transients with networks of advanced detectors,” Phys. Rev. D 93 no. 4, (2016) 042004, arXiv:1511.05999 [gr-qc].
  • [3693] P. J. Sutton et al., “X-Pipeline: An Analysis package for autonomous gravitational-wave burst searches,” New J. Phys. 12 (2010) 053034, arXiv:0908.3665 [gr-qc].
  • [3694] A. Macquet, M.-A. Bizouard, N. Christensen, and M. Coughlin, “Long-duration transient gravitational-wave search pipeline,” Phys. Rev. D 104 no. 10, (2021) 102005, arXiv:2108.10588 [astro-ph.IM].
  • [3695] N. J. Cornish, T. B. Littenberg, B. Bécsy, K. Chatziioannou, J. A. Clark, S. Ghonge, and M. Millhouse, “BayesWave analysis pipeline in the era of gravitational wave observations,” Phys. Rev. D 103 no. 4, (2021) 044006, arXiv:2011.09494 [gr-qc].
  • [3696] LIGO Scientific, Virgo Collaboration, B. P. Abbott et al., “All-Sky Search for Short Gravitational-Wave Bursts in the Second Advanced LIGO and Advanced Virgo Run,” Phys. Rev. D 100 no. 2, (2019) 024017, arXiv:1905.03457 [gr-qc].
  • [3697] Z. Lin, A. Rijal, C. Lunardini, M. D. Morales, and M. Zanolin, “Characterizing a supernova’s standing accretion shock instability with neutrinos and gravitational waves,” Phys. Rev. D 107 no. 8, (2023) 083017, arXiv:2211.07878 [astro-ph.HE].
  • [3698] C. J. Richardson, H. Andresen, A. Mezzacappa, M. Zanolin, M. G. Benjamin, P. Marronetti, E. J. Lentz, and M. J. Szczepanczyk, “Detecting Gravitational Wave Memory in the Next Galactic Core-Collapse Supernova,” arXiv:2404.02131 [astro-ph.HE].
  • [3699] J. Powell and B. Müller, “The gravitational-wave emission from the explosion of a 15 solar mass star with rotation and magnetic fields,” arXiv:2406.09691 [astro-ph.HE].
  • [3700] P. Astone, P. Cerdá-Durán, I. Di Palma, M. Drago, F. Muciaccia, C. Palomba, and F. Ricci, “New method to observe gravitational waves emitted by core collapse supernovae,” Phys. Rev. D 98 no. 12, (2018) 122002, arXiv:1812.05363 [astro-ph.IM].
  • [3701] M. L. Chan, I. S. Heng, and C. Messenger, “Detection and classification of supernova gravitational wave signals: A deep learning approach,” Phys. Rev. D 102 no. 4, (2020) 043022, arXiv:1912.13517 [astro-ph.HE].
  • [3702] M. Cavaglia, S. Gaudio, T. Hansen, K. Staats, M. Szczepanczyk, and M. Zanolin, “Improving the background of gravitational-wave searches for core collapse supernovae: A machine learning approach,” Mach. Learn. Sci. Tech. 1 (2020) 015005, arXiv:2002.04591 [astro-ph.IM]. – 802 –
  • [3703] M. López Portilla, I. D. Palma, M. Drago, P. Cerdá-Durán, and F. Ricci, “Deep learning for core-collapse supernova detection,” Phys. Rev. D 103 no. 6, (2021) 063011, arXiv:2011.13733 [astro-ph.IM].
  • [3704] S. Mukherjee, G. Nurbek, and O. Valdez, “Study of efficient methods of detection and reconstruction of gravitational waves from nonrotating 3D general relativistic core collapse supernovae explosion using multilayer signal estimation method,” Phys. Rev. D 103 no. 10, (2021) 103008.
  • [3705] D. Lopez, V. Gayathri, A. Pai, I. S. Heng, C. Messenger, and S. K. Gupta, “Utilizing Gaussian mixture models in all-sky searches for short-duration gravitational wave bursts,” Phys. Rev. D 105 no. 6, (2022) 063024, arXiv:2112.06608 [gr-qc].
  • [3706] J. M. Antelis, M. Cavaglia, T. Hansen, M. D. Morales, C. Moreno, S. Mukherjee, M. J. Szczepańczyk, and M. Zanolin, “Using supervised learning algorithms as a follow-up method in the search of gravitational waves from core-collapse supernovae,” Phys. Rev. D 105 no. 8, (2022) 084054, arXiv:2111.07219 [gr-qc].
  • [3707] A. Iess, E. Cuoco, F. Morawski, C. Nicolaou, and O. Lahav, “LSTM and CNN application for core-collapse supernova search in gravitational wave real data,” Astron. Astrophys. 669 (2023) A42, arXiv:2301.09387 [astro-ph.IM].
  • [3708] A. C. Lagos, J. M. Antelis, C. Moreno, M. Zanolin, A. Mezzacappa, and M. J. Szczepańczyk, “Characterizing the temporal evolution of the high-frequency gravitational wave emission for a core collapse supernova with laser interferometric data: A neural network approach,” Phys. Rev. D 108 no. 8, (2023) 084027, arXiv:2304.11498 [gr-qc].
  • [3709] J. Powell, A. Iess, M. Llorens-Monteagudo, M. Obergaulinger, B. Müller, A. Torres-Forné, E. Cuoco, and J. A. Font, “Determining the core-collapse supernova explosion mechanism with current and future gravitational-wave observatories,” Phys. Rev. D 109 no. 6, (Mar., 2024) 063019, arXiv:2311.18221 [astro-ph.HE].
  • [3710] J. Perez, S. Klimenko, M. Szczepanczyk, T. Mishra, and LIGO Team, “Dedicated Core Collapse Supernovae search using the ML-enhanced Coherent WaveBurst search algorithm,” in APS April Meeting Abstracts, vol. 2023 of APS Meeting Abstracts, p. JJ01.003. Jan., 2023.
  • [3711] S. Nunes, G. Escrig, O. G. Freitas, J. A. Font, T. Fernandes, A. Onofre, and A. Torres-Forné, “Deep-Learning Classification and Parameter Inference of Rotational Core-Collapse Supernovae,” arXiv:2403.04938 [astro-ph.HE].
  • [3712] E. Cuoco et al., “Enhancing Gravitational-Wave Science with Machine Learning,” Mach. Learn. Sci. Tech. 2 no. 1, (2021) 011002, arXiv:2005.03745 [astro-ph.HE].
  • [3713] I. S. Heng, “Rotating stellar core-collapse waveform decomposition: A principal component analysis approach,” Class. Quant. Grav. 26 (2009) 105005, arXiv:0810.5707 [gr-qc].
  • [3714] C. Rover, M.-A. Bizouard, N. Christensen, H. Dimmelmeier, I. S. Heng, and R. Meyer, “Bayesian reconstruction of gravitational wave burst signals from simulations of rotating stellar core collapse and bounce,” Phys. Rev. D 80 (2009) 102004, arXiv:0909.1093 [gr-qc].
  • [3715] J. Powell, S. E. Gossan, J. Logue, and I. S. Heng, “Inferring the core-collapse supernova explosion mechanism with gravitational waves,” Phys. Rev. D 94 no. 12, (2016) 123012, arXiv:1610.05573 [astro-ph.HE].
  • [3716] S. Suvorova, J. Powell, and A. Melatos, “Reconstructing Gravitational Wave Core-Collapse Supernova Signals with Dynamic Time Warping,” Phys. Rev. D 99 no. 12, (2019) 123012, arXiv:1901.02535 [astro-ph.IM].
  • [3717] N. Raza, J. McIver, G. Dálya, and P. Raffai, “Prospects for reconstructing the gravitational-wave signals from core-collapse supernovae with Advanced LIGO-Virgo and the – 803 – BayesWave algorithm,” Phys. Rev. D 106 no. 6, (2022) 063014, arXiv:2203.08960 [astro-ph.HE].
  • [3718] Y. Yuan, X.-L. Fan, H.-J. Lü, Y.-Y. Sun, and K. Lin, “Waveform reconstruction of core-collapse supernova gravitational waves with ensemble empirical mode decomposition,” Mon. Not. Roy. Astron. Soc. 529 no. 4, (2024) 3235–3243, arXiv:2309.06011 [astro-ph.HE].
  • [3719] J. Logue, C. D. Ott, I. S. Heng, P. Kalmus, and J. H. C. Scargill, “Inferring Core-Collapse Supernova Physics with Gravitational Waves,” Phys. Rev. D 86 (2012) 044023, arXiv:1202.3256 [gr-qc].
  • [3720] J. Powell, M. Szczepanczyk, and I. S. Heng, “Inferring the core-collapse supernova explosion mechanism with three-dimensional gravitational-wave simulations,” Phys. Rev. D 96 no. 12, (2017) 123013, arXiv:1709.00955 [astro-ph.HE].
  • [3721] A. Saiz-Pérez, A. Torres-Forné, and J. A. Font, “Classification of core-collapse supernova explosions with learned dictionaries,” Mon. Not. Roy. Astron. Soc. 512 no. 3, (2022) 3815–3827, arXiv:2110.12941 [gr-qc].
  • [3722] K. Hayama, T. Kuroda, K. Nakamura, and S. Yamada, “Circular Polarizations of Gravitational Waves from Core-Collapse Supernovae: A Clear Indication of Rapid Rotation,” Phys. Rev. Lett. 116 no. 15, (2016) 151102, arXiv:1606.01520 [astro-ph.HE].
  • [3723] M. L. Chan and K. Hayama, “Estimate of the detectability of the circular polarization signature of supernova gravitational waves using the Stokes parameters,” Phys. Rev. D 103 no. 10, (2021) 103024, arXiv:2008.01984 [astro-ph.HE].
  • [3724] M.-A. Bizouard, P. Maturana-Russel, A. Torres-Forné, M. Obergaulinger, P. Cerdá-Durán, N. Christensen, J. A. Font, and R. Meyer, “Inference of protoneutron star properties from gravitational-wave data in core-collapse supernovae,” Phys. Rev. D 103 no. 6, (2021) 063006, arXiv:2012.00846 [gr-qc].
  • [3725] J. Powell and B. Müller, “Inferring astrophysical parameters of core-collapse supernovae from their gravitational-wave emission,” Phys. Rev. D 105 no. 6, (2022) 063018, arXiv:2201.01397 [astro-ph.HE].
  • [3726] M. Takeda et al., “Application of the Hilbert-Huang transform for analyzing standing-accretion-shock-instability induced gravitational waves in a core-collapse supernova,” Phys. Rev. D 104 no. 8, (2021) 084063, arXiv:2107.05213 [astro-ph.HE].
  • [3727] H. Kawahara, T. Kuroda, T. Takiwaki, K. Hayama, and K. Kotake, “A Linear and Quadratic Time–Frequency Analysis of Gravitational Waves from Core-collapse Supernovae,” Astrophys. J. 867 no. 2, (2018) 126, arXiv:1810.00334 [astro-ph.HE].
  • [3728] F. Maione, R. De Pietri, A. Feo, and F. Löffler, “Spectral analysis of gravitational waves from binary neutron star merger remnants,” Phys. Rev. D 96 (2017) 063011, arXiv:1707.03368 [gr-qc].
  • [3729] W. J. Engels, R. Frey, and C. D. Ott, “Multivariate Regression Analysis of Gravitational Waves from Rotating Core Collapse,” Phys. Rev. D 90 no. 12, (2014) 124026, arXiv:1406.1164 [gr-qc].
  • [3730] K. Hayama, S. Desai, K. Kotake, S. D. Mohanty, M. Rakhmanov, T. Summerscales, and S. Yoshida, “Determination of the angular momentum distribution of supernovae from gravitational wave observations,” Class. Quant. Grav. 25 (2008) 184022, arXiv:0807.4514 [gr-qc].
  • [3731] C. Afle and D. A. Brown, “Inferring physical properties of stellar collapse by third-generation gravitational-wave detectors,” Phys. Rev. D 103 no. 2, (2021) 023005, arXiv:2010.00719 [astro-ph.IM]. – 804 –
  • [3732] C. Pastor-Marcos, P. Cerdá-Durán, D. Walker, A. Torres-Forné, E. Abdikamalov, S. Richers, and J. A. Font, “Bayesian inference from gravitational waves in fast-rotating, core-collapse supernovae,” Phys. Rev. D 109 no. 6, (2024) 063028, arXiv:2308.03456 [astro-ph.HE].
  • [3733] L. O. Villegas, C. Moreno, M. A. Pajkos, M. Zanolin, and J. M. Antelis, “Asymptotic expansions for the maximum likelihood estimation errors of the rotating parameter of the gravitational wave from core-collapse supernovae,” arXiv:2304.01267 [gr-qc].
  • [3734] M. C. Edwards, “Classifying the Equation of State from Rotating Core Collapse Gravitational Waves with Deep Learning,” Phys. Rev. D 103 no. 2, (2021) 024025, arXiv:2009.07367 [astro-ph.IM].
  • [3735] A. Mitra, B. Shukirgaliyev, Y. S. Abylkairov, and E. Abdikamalov, “Exploring Supernova Gravitational Waves with Machine Learning,” arXiv:2209.14542 [astro-ph.HE].
  • [3736] O. Gottlieb, A. Levinson, and Y. Levin, “In LIGO’s Sight? Vigorous Coherent Gravitational Waves from Cooled Collapsar Disks,” Astrophys. J. Lett. 972 no. 1, (2024) L4, arXiv:2406.19452 [astro-ph.HE].
  • [3737] O. H. Wilson and W. C. G. Ho, “Gravitational waves from glitch-induced f-mode oscillations in quark and neutron stars,” Phys. Rev. D 109 no. 8, (2024) 083006, arXiv:2403.09489 [gr-qc].
  • [3738] LIGO Scientific, VIRGO, KAGRA Collaboration, R. Abbott et al., “Search for gravitational-wave transients associated with magnetar bursts in Advanced LIGO and Advanced Virgo data from the third observing run,” arXiv:2210.10931 [astro-ph.HE].
  • [3739] P. Kalmus, K. C. Cannon, S. Marka, and B. J. Owen, “Stacking Gravitational Wave Signals from Soft Gamma Repeater Bursts,” Phys. Rev. D 80 (2009) 042001, arXiv:0904.4906 [astro-ph.HE].
  • [3740] F. Dubath, S. Foffa, M. A. Gasparini, M. Maggiore, and R. Sturani, “Experimental signatures of gravitational wave bursters,” Phys. Rev. D 71 (2005) 124003, arXiv:gr-qc/0410057.
  • [3741] A. Macquet, M.-A. Bizouard, E. Burns, N. Christensen, M. Coughlin, Z. Wadiasingh, and G. Younes, “Search for Long-duration Gravitational-wave Signals Associated with Magnetar Giant Flares,” Astrophys. J. 918 no. 2, (2021) 80, arXiv:2105.02086 [gr-qc].
  • [3742] P. Leaci and R. Prix, “Directed searches for continuous gravitational waves from binary systems: parameter-space metrics and optimal Scorpius X-1 sensitivity,” Phys. Rev. D 91 no. 10, (2015) 102003, arXiv:1502.00914 [gr-qc].
  • [3743] P. Leaci, P. Astone, S. D’Antonio, S. Frasca, C. Palomba, O. Piccinni, and S. Mastrogiovanni, “Novel directed search strategy to detect continuous gravitational waves from neutron stars in low- and high-eccentricity binary systems,” Phys. Rev. D 95 no. 12, (2017) 122001, arXiv:1607.08751 [astro-ph.IM].
  • [3744] LIGO Scientific, VIRGO, KAGRA, Virgo Collaboration, R. Abbott et al., “Searches for Continuous Gravitational Waves from Young Supernova Remnants in the Early Third Observing Run of Advanced LIGO and Virgo,” Astrophys. J. 921 no. 1, (2021) 80, arXiv:2105.11641 [astro-ph.HE].
  • [3745] KAGRA, LIGO Scientific, VIRGO Collaboration, R. Abbott et al., “Search for continuous gravitational wave emission from the Milky Way center in O3 LIGO-Virgo data,” Phys. Rev. D 106 no. 4, (2022) 042003, arXiv:2204.04523 [astro-ph.HE].
  • [3746] J. T. Whelan et al., “Search for Gravitational Waves from Scorpius X-1 in LIGO O3 Data with Corrected Orbital Ephemeris,” Astrophys. J. 949 no. 2, (2023) 117, arXiv:2302.10338 [astro-ph.HE]. – 805 –
  • [3747] KAGRA, LIGO Scientific, VIRGO Collaboration, R. Abbott et al., “All-sky search for continuous gravitational waves from isolated neutron stars using Advanced LIGO and Advanced Virgo O3 data,” Phys. Rev. D 106 no. 10, (2022) 102008, arXiv:2201.00697 [gr-qc].
  • [3748] K. Kashiyama and K. Ioka, “Magnetar Asteroseismology with Long-Term Gravitational Waves,” Phys. Rev. D 83 (2011) 081302, arXiv:1102.4830 [astro-ph.HE].
  • [3749] S. Dall’Osso, S. N. Shore, and L. Stella, “Early evolution of newly born magnetars with a strong toroidal field,” Mon. Not. Roy. Astron. Soc. 398 (2009) 1869, arXiv:0811.4311 [astro-ph].
  • [3750] P. M. Woods and C. Thompson, “Soft gamma repeaters and anomalous x-ray pulsars: Magnetar candidates,” arXiv:astro-ph/0406133.
  • [3751] P. Beniamini, K. Hotokezaka, A. van der Horst, and C. Kouveliotou, “Formation Rates and Evolution Histories of Magnetars,” Mon. Not. Roy. Astron. Soc. 487 no. 1, (2019) 1426–1438, arXiv:1903.06718 [astro-ph.HE].
  • [3752] C. M. Will, “The Confrontation between General Relativity and Experiment,” Living Rev. Rel. 17 (2014) 4, arXiv:1403.7377 [gr-qc].
  • [3753] J. Soldateschi and N. Bucciantini, “Detectability of Continuous Gravitational Waves from Magnetically Deformed Neutron Stars,” Galaxies 9 no. 4, (2021) 101, arXiv:2110.06039 [astro-ph.HE].
  • [3754] L. Sun, A. Melatos, S. Suvorova, W. Moran, and R. J. Evans, “Hidden Markov model tracking of continuous gravitational waves from young supernova remnants,” Phys. Rev. D 97 no. 4, (2018) 043013, arXiv:1710.00460 [astro-ph.IM].
  • [3755] A. Mukherjee, C. Messenger, and K. Riles, “Accretion-induced spin-wandering effects on the neutron star in Scorpius X-1: Implications for continuous gravitational wave searches,” Phys. Rev. D 97 no. 4, (2018) 043016, arXiv:1710.06185 [gr-qc].
  • [3756] P. Astone, A. Colla, S. D’Antonio, S. Frasca, and C. Palomba, “Method for all-sky searches of continuous gravitational wave signals using the frequency-Hough transform,” Phys. Rev. D 90 no. 4, (2014) 042002, arXiv:1407.8333 [astro-ph.IM].
  • [3757] J. Moragues, L. M. Modafferi, R. Tenorio, and D. Keitel, “Prospects for detecting transient quasi-monochromatic gravitational waves from glitching pulsars with current and future detectors,” Mon. Not. Roy. Astron. Soc. 519 no. 4, (2023) 5161–5176, arXiv:2210.09907 [astro-ph.HE].
  • [3758] A. Miller et al., “Method to search for long duration gravitational wave transients from isolated neutron stars using the generalized frequency-Hough transform,” Phys. Rev. D 98 no. 10, (2018) 102004, arXiv:1810.09784 [astro-ph.IM].
  • [3759] A. L. Miller et al., “How effective is machine learning to detect long transient gravitational waves from neutron stars in a real search?,” Phys. Rev. D 100 no. 6, (2019) 062005, arXiv:1909.02262 [astro-ph.IM].
  • [3760] L. M. Modafferi, R. Tenorio, and D. Keitel, “Convolutional neural network search for long-duration transient gravitational waves from glitching pulsars,” Phys. Rev. D 108 no. 2, (2023) 023005, arXiv:2303.16720 [astro-ph.HE].
  • [3761] F. Attadio, L. Ricca, M. Serra, C. Palomba, P. Astone, S. Dall’Osso, S. D. Pra, M. D. Giovanni, L. D’Onofrio, P. Leaci, F. Muciaccia, L. Pierini, and F. S. Tehrani, “A neural networks method to search for long transient gravitational waves,” 2024. https://arxiv.org/abs/2407.02391.
  • [3762] L. Pierini, “Improving agnostic searches of Gravitational Waves from Neutron Star – 806 – instabilities using image filtering,” IAU Symp. 363 (2020) 352–353, arXiv:2209.07276 [astro-ph.IM].
  • [3763] S. S. Menon, D. Guetta, and S. Dall’Osso, “UV Signatures of Magnetar Formation and Their Crucial Role for GW Detection,” Astrophys. J. 955 no. 1, (2023) 12, arXiv:2305.07761 [astro-ph.HE].
  • [3764] C. L. Fryer, E. Burns, A. Hungerford, S. Safi-Harb, R. T. Wollaeger, R. S. Miller, M. Negro, S. Anandagoda, and D. H. Hartmann, “Multimessenger Diagnostics of the Engine behind Core-collapse Supernovae,” Astrophys. J. 956 no. 1, (2023) 19, arXiv:2305.06134 [astro-ph.HE].
  • [3765] K. Hirata, T. Kajita, M. Koshiba, M. Nakahata, Y. Oyama, N. Sato, A. Suzuki, M. Takita, Y. Totsuka, T. Kifune, T. Suda, K. Takahashi, T. Tanimori, K. Miyano, M. Yamada, E. W. Beier, L. R. Feldscher, S. B. Kim, A. K. Mann, F. M. Newcomer, R. van, W. Zhang, and B. G. Cortez, “Observation of a neutrino burst from the supernova SN1987A,” Phys. Rev. Lett. 58 no. 14, (Apr., 1987) 1490–1493.
  • [3766] P. Bouchet, I. J. Danziger, C. Gouiffes, M. della Valle, and A. Moneti, “SN 1987A: Observations at Later Phases,” in IAU Colloq. 145: Supernovae and Supernova Remnants, T. S. Kuhn, ed., p. 201. Jan., 1996.
  • [3767] J. P. Gardner et al., “The James Webb Space Telescope,” Space Sci. Rev. 123 (2006) 485, arXiv:astro-ph/0606175.
  • [3768] G. Pagliaroli, F. Vissani, E. Coccia, and W. Fulgione, “Neutrinos from Supernovae as a Trigger for Gravitational Wave Search,” Phys. Rev. Lett. 103 (2009) 031102, arXiv:0903.1191 [hep-ph].
  • [3769] R. Tomas, D. Semikoz, G. G. Raffelt, M. Kachelriess, and A. S. Dighe, “Supernova pointing with low-energy and high-energy neutrino detectors,” Phys. Rev. D 68 (2003) 093013, arXiv:hep-ph/0307050.
  • [3770] J. F. Beacom and P. Vogel, “Can a supernova be located by its neutrinos?,” Phys. Rev. D 60 (1999) 033007, arXiv:astro-ph/9811350.
  • [3771] T. Lund, A. Marek, C. Lunardini, H.-T. Janka, and G. Raffelt, “Fast time variations of supernova neutrino fluxes and their detectability,” Phys. Rev. D 82 (2010) 063007, arXiv:1006.1889 [astro-ph.HE].
  • [3772] S. Horiuchi, K. Nakamura, T. Takiwaki, and K. Kotake, “Estimating the core compactness of massive stars with Galactic supernova neutrinos,” J. Phys. G 44 no. 11, (2017) 114001, arXiv:1708.08513 [astro-ph.HE].
  • [3773] K. Nakazato and H. Suzuki, “A New Approach to Mass and Radius of Neutron Stars with Supernova Neutrinos,” Astrophys. J. 891 (2020) 156, arXiv:2002.03300 [astro-ph.HE].
  • [3774] Hyper-Kamiokande Collaboration, K. Abe et al., “Hyper-Kamiokande Design Report,” arXiv:1805.04163 [physics.ins-det].
  • [3775] DUNE Collaboration, B. Abi et al., “Supernova neutrino burst detection with the Deep Underground Neutrino Experiment,” Eur. Phys. J. C 81 no. 5, (2021) 423, arXiv:2008.06647 [hep-ex].
  • [3776] M. Mukhopadhyay, C. Lunardini, F. X. Timmes, and K. Zuber, “Presupernova neutrinos: directional sensitivity and prospects for progenitor identification,” Astrophys. J. 899 no. 2, (2020) 153, arXiv:2004.02045 [astro-ph.HE].
  • [3777] C. Kato, K. Ishidoshiro, and T. Yoshida, “Theoretical prediction of presupernova neutrinos and their detection,” Ann. Rev. Nucl. Part. Sci. 70 (2020) 121–145, arXiv:2006.02519 [astro-ph.HE]. – 807 –
  • [3778] JUNO Collaboration, A. Abusleme et al., “Real-time Monitoring for the Next Core-Collapse Supernova in JUNO,” arXiv:2309.07109 [hep-ex].
  • [3779] IceCube-Gen2 Collaboration, M. G. Aartsen et al., “IceCube-Gen2: the window to the extreme Universe,” J. Phys. G 48 no. 6, (2021) 060501, arXiv:2008.04323 [astro-ph.HE].
  • [3780] KM3NeT Collaboration, S. Aiello et al., “Implementation and first results of the KM3NeT real-time core-collapse supernova neutrino search,” Eur. Phys. J. C 82 no. 4, (2022) 317, arXiv:2109.05890 [astro-ph.HE].
  • [3781] A. Coleiro, M. Colomer Molla, D. Dornic, M. Lincetto, and V. Kulikovskiy, “Combining neutrino experimental light-curves for pointing to the next galactic core-collapse supernova,” Eur. Phys. J. C 80 no. 9, (2020) 856, arXiv:2003.04864 [astro-ph.HE].
  • [3782] T. Piran, E. Nakar, P. Mazzali, and E. Pian, “Relativistic Jets in Core-collapse Supernovae,” Astrophys. J. Lett. 871 no. 2, (Feb., 2019) L25.
  • [3783] L. Izzo et al., “Signatures of a jet cocoon in early spectra of a supernova associated with a γ-ray burst,” Nature 565 (2019) 324, arXiv:1901.05500 [astro-ph.HE].
  • [3784] D. Guetta, A. Langella, S. Gagliardini, and M. Della Valle, “Low- and High-energy Neutrinos from SN 2023ixf in M101,” Astrophys. J. Lett. 955 no. 1, (2023) L9, arXiv:2306.14717 [astro-ph.HE].
  • [3785] K. Murase, T. A. Thompson, B. C. Lacki, and J. F. Beacom, “New Class of High-Energy Transients from Crashes of Supernova Ejecta with Massive Circumstellar Material Shells,” Phys. Rev. D 84 (2011) 043003, arXiv:1012.2834 [astro-ph.HE].
  • [3786] A. Kheirandish and K. Murase, “Detecting High-energy Neutrino Minibursts from Local Supernovae with Multiple Neutrino Observatories,” Astrophys. J. Lett. 956 no. 1, (2023) L8, arXiv:2204.08518 [astro-ph.HE].
  • [3787] D. Tsuna, Y. Takei, and T. Shigeyama, “Precursors of Supernovae from Mass Eruption: Prospects for Early Warning of Nearby Core-collapse Supernovae,” Astrophys. J. 945 no. 2, (2023) 104, arXiv:2208.08256 [astro-ph.HE].
  • [3788] S. E. Gossan, E. D. Hall, and S. M. Nissanke, “Optimizing the third generation of gravitational-wave observatories for galactic astrophysics,” The Astrophysical Journal 926 no. 2, (Feb., 2022) 231. http://dx.doi.org/10.3847/1538-4357/ac4164.
  • [3789] B. J. Shappee et al., “The Man Behind the Curtain: X-rays Drive the UV through NIR Variability in the 2013 AGN Outburst in NGC 2617,” Astrophys. J. 788 (2014) 48, arXiv:1310.2241 [astro-ph.HE].
  • [3790] N. Kaiser et al., “Pan-STARRS: A Large Synoptic Survey Telescope Array,” Proc. SPIE Int. Soc. Opt. Eng. 4836 (2002) 154–164.
  • [3791] N. M. Law et al., “The Palomar Transient Factory: System Overview, Performance and First Results,” Publ. Astron. Soc. Pac. 121 (2009) 1395, arXiv:0906.5350 [astro-ph.IM].
  • [3792] F. J. Masci et al., “The Zwicky Transient Facility: Data Processing, Products, and Archive,” Publ. Astron. Soc. Pac. 131 no. 995, (2018) 018003.
  • [3793] R. Ragazzoni, S. Di Rosa, M. Dima, C. Arcidiacono, P. Cerpelloni, J. Farinato, D. Magrin, and S. Zaggia, “Current status of MezzoCielo: a design aiming to a large aperture, extremely wide field of view telescope,” in Ground-based and Airborne Telescopes IX, H. K. Marshall, J. Spyromilio, and T. Usuda, eds., vol. 12182 of Society of Photo-Optical Instrumentation Engineers (SPIE) Conference Series, p. 121820H. Aug., 2022.
  • [3794] S. Ben-Ami, Y. Shvartzvald, E. Waxman, U. Netzer, Y. Yaniv, V. M. Algranatti, A. Gal-Yam, O. Lapid, E. Ofek, J. Topaz, I. Arcavi, A. Asif, S. Azaria, E. Bahalul, M. F. Barschke, B. Bastian-Querner, D. Berge, V. D. Berlea, R. Buehler, L. Dittmar, A. Gelman, G. Giavitto, O. Guttman, J. M. Haces Crespo, D. Heilbrunn, A. Kachergincky, – 808 – N. Kaipachery, M. Kowalski, S. R. Kulkarni, S. Kumar, D. Küsters, T. Liran, Y. Miron-Salomon, Z. Mor, A. Nir, G. Nitzan, S. Philipp, A. Porelli, I. Sagiv, J. Schliwinski, T. Sprecher, N. De Simone, N. Stern, N. C. Stone, B. Trakhtenbrot, M. Vasilev, J. J. Watson, and F. Zappon, “The scientific payload of the Ultraviolet Transient Astronomy Satellite (ULTRASAT),” in Space Telescopes and Instrumentation 2022: Ultraviolet to Gamma Ray, J.-W. A. den Herder, S. Nikzad, and K. Nakazawa, eds., vol. 12181 of Society of Photo-Optical Instrumentation Engineers (SPIE) Conference Series, p. 1218105. Aug., 2022. arXiv:2208.00159 [astro-ph.IM].
  • [3795] L. Amati, P. O’Brien, D. Goetz, E. Bozzo, C. Tenzer, F. Frontera, C. Guidorzi, M. Hernanz, N. Masetti, V. Reglero, et al., “The Transient High-Energy Sky and Early Universe Surveyor (THESEUS),” Adv. Space Res. 62 no. 1, (2018) 191–244.
  • [3796] S. J. Smartt et al., “PESSTO : survey description and products from the first data release by the Public ESO Spectroscopic Survey of Transient Objects,” Astron. Astrophys. 579 (2015) A40, arXiv:1411.0299 [astro-ph.SR].
  • [3797] P. Schipani, S. Campana, R. Claudi, M. Aliverti, A. Baruffolo, S. Ben-Ami, G. Capasso, R. Cosentino, F. D’Alessio, P. D’Avanzo, O. Hershko, H. Kuncarayakti, M. Landoni, M. Munari, G. Pignata, K. Radhakrishnan, A. Rubin, S. Scuderi, F. Vitali, D. Young, J. Achrén, J. A. Araiza-Durán, I. Arcavi, F. Battaini, A. Brucalassi, R. Bruch, E. Cappellaro, M. Colapietro, M. Della Valle, R. Di Benedetto, S. D’Orsi, A. Gal-Yam, M. Genoni, M. Hernandez Dı́az, J. Kotilainen, G. Li Causi, L. Lessio, L. Marty, S. Mattila, M. Rappaport, D. Ricci, M. Riva, B. Salasnich, S. Savarese, S. Smartt, R. Zanmar Sanchez, M. Stritzinger, G. Umbriaco, H. Pérez Ventura, L. Pasquini, M. Schöller, H. U. Kaüfl, M. Accardo, L. Mehrgan, E. Pompei, and I. Saviane, “Progress on the SOXS transients chaser for the ESO-NTT,” in Ground-based and Airborne Instrumentation for Astronomy IX, C. J. Evans, J. J. Bryant, and K. Motohara, eds., vol. 12184 of Society of Photo-Optical Instrumentation Engineers (SPIE) Conference Series, p. 121840O. Aug., 2022. arXiv:2209.07192 [astro-ph.IM].
  • [3798] R. Gilmozzi and J. Spyromilio, “The European Extremely Large Telescope (E-ELT),” The Messenger 127 (Mar., 2007) 11.
  • [3799] M. Johns, P. McCarthy, K. Raybould, A. Bouchez, A. Farahani, J. Filgueira, G. Jacoby, S. Shectman, and M. Sheehan, “Giant Magellan Telescope: overview,” in Ground-based and Airborne Telescopes IV, L. M. Stepp, R. Gilmozzi, and H. J. Hall, eds., vol. 8444 of Society of Photo-Optical Instrumentation Engineers (SPIE) Conference Series, p. 84441H. Sept., 2012.
  • [3800] G. H. Sanders, “The Thirty Meter Telescope (TMT): An International Observatory,” Journal of Astrophysics and Astronomy 34 no. 2, (June, 2013) 81–86.
  • [3801] WST Collaboration, V. Mainieri et al., “The Wide-field Spectroscopic Telescope (WST) Science White Paper,” arXiv:2403.05398 [astro-ph.IM].
  • [3802] J. M. Apellaniz, A. Sota, N. R. Walborn, E. J. Alfaro, R. H. Barba, N. I. Morrell, R. C. Gamen, J. I. Arias, and M. P. Ordaz, “The Galactic O-Star Spectroscopic Survey (GOSSS),” arXiv:1010.5680 [astro-ph.SR].
  • [3803] P. Marchant and J. Bodensteiner, “The Evolution of Massive Binary Stars,” arXiv:2311.01865 [astro-ph.SR].
  • [3804] O. H. Ramı́rez-Agudelo et al., “The VLT-FLAMES Tarantula Survey XII. Rotational velocities of the single O-type stars,” Astron. Astrophys. 560 (2013) A29, arXiv:1309.2929 [astro-ph.SR].
  • [3805] A. Schootemeijer, D. J. Lennon, M. Garcia, N. Langer, B. Hastings, and C. Schürmann, “A census of OBe stars in nearby metal-poor dwarf galaxies reveals a high fraction of extreme rotators,” Astron. & Astrophys. 667 (Nov., 2022) A100, arXiv:2209.04943 [astro-ph.GA]. – 809 –
  • [3806] W. L. F. Marcolino, J. C. Bouret, F. Martins, D. J. Hillier, T. Lanz, and C. Escolano, “Analysis of Galactic late-type O dwarfs: more constraints on the weak wind problem,” Astron. Astrophys. 498 (2009) 837, arXiv:0902.1833 [astro-ph.SR].
  • [3807] V. Ramachandran, W. R. Hamann, L. M. Oskinova, J. S. Gallagher, R. Hainich, T. Shenar, A. A. C. Sander, H. Todt, and L. Fulmer, “Testing massive star evolution, star formation history, and feedback at low metallicity. Spectroscopic analysis of OB stars in the SMC Wing,” Astron. & Astrophys. 625 (May, 2019) A104, arXiv:1903.01762 [astro-ph.SR].
  • [3808] N. Smith and S. P. Owocki, “On the role of continuum-driven eruptions in the evolution of very massive stars and Population III stars,” Astrophys. J. Lett. 645 (2006) L45–L48, arXiv:astro-ph/0606174.
  • [3809] C. Weidner, P. Kroupa, and J. Pflamm-Altenburg, “Top-heavy integrated galactic stellar initial mass functions (IGIMFs) in starbursts,” Mon. Not. Roy. Astron. Soc. 412 (2011) 979, arXiv:1011.3814 [astro-ph.CO].
  • [3810] F. R. N. Schneider, H. Sana, C. J. Evans, J. M. Bestenlehner, N. Castro, L. Fossati, G. Gräfener, N. Langer, O. H. Ramı́rez-Agudelo, C. Sabı́n-Sanjulián, S. Simón-Dı́az, F. Tramper, P. A. Crowther, A. de Koter, S. E. de Mink, P. L. Dufton, M. Garcia, M. Gieles, V. Hénault-Brunet, A. Herrero, R. G. Izzard, V. Kalari, D. J. Lennon, J. Maı́z Apellániz, N. Markova, F. Najarro, P. Podsiadlowski, J. Puls, W. D. Taylor, J. T. van Loon, J. S. Vink, and C. Norman, “An excess of massive stars in the local 30 Doradus starburst,” Science 359 no. 6371, (Jan., 2018) 69–71, arXiv:1801.03107 [astro-ph.SR].
  • [3811] P. Podsiadlowski and P. C. Joss, “An alternative binary model for SN1987A,” Nature 338 no. 6214, (Mar., 1989) 401–403.
  • [3812] A. Menon and A. Heger, “The quest for blue supergiants: binary merger models for the evolution of the progenitor of SN 1987A,” Mon. Not. Roy. Astron. Soc. 469 no. 4, (2017) 4649–4664, arXiv:1703.04918 [astro-ph.SR].
  • [3813] J. R. Maund, S. J. Smartt, R. P. Kudritzki, P. Podsiadlowski, and G. F. Gilmore, “The Massive binary companion star to the progenitor of supernova 1993J,” Nature 427 (2004) 129–131, arXiv:astro-ph/0401090.
  • [3814] U. Dupletsa, J. Harms, B. Banerjee, M. Branchesi, B. Goncharov, A. Maselli, A. C. S. Oliveira, S. Ronchini, and J. Tissino, “gwfish: A simulation software to evaluate parameter-estimation capabilities of gravitational-wave detector networks,” Astron. Comput. 42 (2023) 100671, arXiv:2205.02499 [gr-qc].
  • [3815] E. E. Flanagan and S. A. Hughes, “Measuring gravitational waves from binary black hole coalescences: 2. The Waves’ information and its extraction, with and without templates,” Phys. Rev. D 57 (1998) 4566–4587, arXiv:gr-qc/9710129.
  • [3816] C. Cutler and M. Vallisneri, “LISA detections of massive black hole inspirals: Parameter extraction errors due to inaccurate template waveforms,” Phys. Rev. D 76 (2007) 104018, arXiv:0707.2982 [gr-qc].
  • [3817] L. Lindblom, B. J. Owen, and D. A. Brown, “Model Waveform Accuracy Standards for Gravitational Wave Data Analysis,” Phys. Rev. D 78 (2008) 124020, arXiv:0809.3844 [gr-qc].
  • [3818] L. Lindblom, “Use and Abuse of the Model Waveform Accuracy Standards,” Phys. Rev. D 80 (2009) 064019, arXiv:0907.0457 [gr-qc].
  • [3819] T. Damour, A. Nagar, and M. Trias, “Accuracy and effectualness of closed-form, frequency-domain waveforms for non-spinning black hole binaries,” Phys. Rev. D 83 (2011) 024006, arXiv:1009.5998 [gr-qc].
  • [3820] K. Chatziioannou, A. Klein, N. Yunes, and N. Cornish, “Constructing Gravitational Waves – 810 – from Generic Spin-Precessing Compact Binary Inspirals,” Phys. Rev. D 95 no. 10, (2017) 104004, arXiv:1703.03967 [gr-qc].
  • [3821] A. Toubiana and J. R. Gair, “Indistinguishability criterion and estimating the presence of biases,” arXiv:2401.06845 [gr-qc].
  • [3822] Q. Hu and J. Veitch, “Assessing the model waveform accuracy of gravitational waves,” Phys. Rev. D 106 no. 4, (2022) 044042, arXiv:2205.08448 [gr-qc].
  • [3823] M. Pürrer and C.-J. Haster, “Gravitational waveform accuracy requirements for future ground-based detectors,” Phys. Rev. Res. 2 no. 2, (2020) 023151, arXiv:1912.10055 [gr-qc].
  • [3824] E. Berti, A. Buonanno, and C. M. Will, “Estimating spinning binary parameters and testing alternative theories of gravity with LISA,” Phys. Rev. D 71 (2005) 084025, arXiv:gr-qc/0411129.
  • [3825] V. Kapil, L. Reali, R. Cotesta, and E. Berti, “Systematic bias from waveform modeling for binary black hole populations in next-generation gravitational wave detectors,” Phys. Rev. D 109 no. 10, (2024) 104043, arXiv:2404.00090 [gr-qc].
  • [3826] C. B. Owen, C.-J. Haster, S. Perkins, N. J. Cornish, and N. Yunes, “Waveform accuracy and systematic uncertainties in current gravitational wave observations,” Phys. Rev. D 108 no. 4, (2023) 044018, arXiv:2301.11941 [gr-qc].
  • [3827] LIGO Scientific, Virgo Collaboration, B. P. Abbott et al., “GWTC-1: A Gravitational-Wave Transient Catalog of Compact Binary Mergers Observed by LIGO and Virgo during the First and Second Observing Runs,” Phys. Rev. X 9 no. 3, (2019) 031040, arXiv:1811.12907 [astro-ph.HE].
  • [3828] LIGO Scientific, Virgo Collaboration, B. P. Abbott et al., “Effects of waveform model systematics on the interpretation of GW150914,” Class. Quant. Grav. 34 no. 10, (2017) 104002, arXiv:1611.07531 [gr-qc].
  • [3829] LIGO Scientific, Virgo Collaboration, R. Abbott et al., “GW190412: Observation of a Binary-Black-Hole Coalescence with Asymmetric Masses,” Phys. Rev. D 102 no. 4, (2020) 043015, arXiv:2004.08342 [astro-ph.HE].
  • [3830] D. Ferguson, K. Jani, P. Laguna, and D. Shoemaker, “Assessing the readiness of numerical relativity for LISA and 3G detectors,” Phys. Rev. D 104 no. 4, (2021) 044037, arXiv:2006.04272 [gr-qc].
  • [3831] M. van de Meent and H. P. Pfeiffer, “Intermediate mass-ratio black hole binaries: Applicability of small mass-ratio perturbation theory,” Phys. Rev. Lett. 125 no. 18, (2020) 181101, arXiv:2006.12036 [gr-qc].
  • [3832] B. Wardell, A. Pound, N. Warburton, J. Miller, L. Durkan, and A. Le Tiec, “Gravitational waveforms for compact binaries from second-order self-force theory,” arXiv:2112.12265 [gr-qc].
  • [3833] O. Burke, G. A. Piovano, N. Warburton, P. Lynch, L. Speri, C. Kavanagh, B. Wardell, A. Pound, L. Durkan, and J. Miller, “Accuracy Requirements: Assessing the Importance of First Post-Adiabatic Terms for Small-Mass-Ratio Binaries,” arXiv:2310.08927 [gr-qc].
  • [3834] A. Antonelli, O. Burke, and J. R. Gair, “Noisy neighbours: inference biases from overlapping gravitational-wave signals,” Mon. Not. Roy. Astron. Soc. 507 no. 4, (2021) 5069–5086, arXiv:2104.01897 [gr-qc].
  • [3835] N. Kunert, P. T. H. Pang, I. Tews, M. W. Coughlin, and T. Dietrich, “Quantifying modeling uncertainties when combining multiple gravitational-wave detections from binary neutron star sources,” Phys. Rev. D 105 no. 6, (2022) L061301, arXiv:2110.11835 [astro-ph.HE]. – 811 –
  • [3836] N. Kunert, J. Gair, P. T. H. Pang, and T. Dietrich, “The impact of gravitational waveform model systematics on the measurement of the Hubble Constant,” arXiv:2405.18158 [gr-qc].
  • [3837] C. J. Moore, E. Finch, R. Buscicchio, and D. Gerosa, “Testing general relativity with gravitational-wave catalogs: the insidious nature of waveform systematics,” arXiv:2103.16486 [gr-qc].
  • [3838] C. J. Moore and J. R. Gair, “Novel Method for Incorporating Model Uncertainties into Gravitational Wave Parameter Estimates,” Phys. Rev. Lett. 113 (2014) 251101, arXiv:1412.3657 [gr-qc].
  • [3839] J. R. Gair and C. J. Moore, “Quantifying and mitigating bias in inference on gravitational wave source populations,” Phys. Rev. D 91 no. 12, (2015) 124062, arXiv:1504.02767 [gr-qc].
  • [3840] C. J. Moore, C. P. L. Berry, A. J. K. Chua, and J. R. Gair, “Improving gravitational-wave parameter estimation using Gaussian process regression,” Phys. Rev. D 93 no. 6, (2016) 064001, arXiv:1509.04066 [gr-qc].
  • [3841] Z. Doctor, B. Farr, D. E. Holz, and M. Pürrer, “Statistical Gravitational Waveform Models: What to Simulate Next?,” Phys. Rev. D 96 no. 12, (2017) 123011, arXiv:1706.05408 [astro-ph.HE].
  • [3842] D. Williams, I. S. Heng, J. Gair, J. A. Clark, and B. Khamesra, “Precessing numerical relativity waveform surrogate model for binary black holes: A Gaussian process regression approach,” Phys. Rev. D 101 no. 6, (2020) 063011, arXiv:1903.09204 [gr-qc].
  • [3843] T. Andrade, R. Gamba, and J. Trenado, “Actively Learning Numerical Relativity,” arXiv:2311.11311 [gr-qc].
  • [3844] S. Khan, “Probabilistic model for the gravitational wave signal from merging black holes,” Phys. Rev. D 109 no. 10, (2024) 104045, arXiv:2403.11534 [gr-qc].
  • [3845] J. S. Read, “Waveform uncertainty quantification and interpretation for gravitational-wave astronomy,” Class. Quant. Grav. 40 no. 13, (2023) 135002, arXiv:2301.06630 [gr-qc].
  • [3846] L. Pompili, A. Buonanno, and M. Pürrer, “Accounting for Numerical-Relativity Calibration Uncertainty in Gravitational-Wave Modeling and Inference,” arXiv:2410.16859 [gr-qc].
  • [3847] M. Shibata and K. Uryu, “Simulation of merging binary neutron stars in full general relativity: Gamma = two case,” Phys. Rev. D 61 (2000) 064001, arXiv:gr-qc/9911058.
  • [3848] F. Pretorius, “Numerical relativity using a generalized harmonic decomposition,” Class. Quant. Grav. 22 (2005) 425–452, arXiv:gr-qc/0407110.
  • [3849] M. Campanelli, C. O. Lousto, P. Marronetti, and Y. Zlochower, “Accurate evolutions of orbiting black-hole binaries without excision,” Phys. Rev. Lett. 96 (2006) 111101, arXiv:gr-qc/0511048.
  • [3850] J. G. Baker, J. Centrella, D.-I. Choi, M. Koppitz, and J. van Meter, “Gravitational wave extraction from an inspiraling configuration of merging black holes,” Phys. Rev. Lett. 96 (2006) 111102, arXiv:gr-qc/0511103.
  • [3851] H. Friedrich, “On the hyperbolicity of Einstein’s and other gauge field equations,” Comm. Math. Phys. 100 no. 4, (1985) 525–543. http://www.springerlink.com/content/w602g633428x8365.
  • [3852] D. Garfinkle, “Harmonic coordinate method for simulating generic singularities,” Phys. Rev. D 65 (2002) 044029, arXiv:gr-qc/0110013.
  • [3853] L. Lindblom, M. A. Scheel, L. E. Kidder, R. Owen, and O. Rinne, “A New generalized – 812 – harmonic evolution system,” Class. Quant. Grav. 23 (2006) S447–S462, arXiv:gr-qc/0512093.
  • [3854] T. W. Baumgarte and S. L. Shapiro, “On the numerical integration of Einstein’s field equations,” Phys. Rev. D 59 (1998) 024007, arXiv:gr-qc/9810065.
  • [3855] M. Shibata and T. Nakamura, “Evolution of three-dimensional gravitational waves: Harmonic slicing case,” Phys. Rev. D 52 (1995) 5428–5444.
  • [3856] S. Bernuzzi and D. Hilditch, “Constraint violation in free evolution schemes: Comparing BSSNOK with a conformal decomposition of Z4,” Phys. Rev. D 81 (2010) 084003, arXiv:0912.2920 [gr-qc].
  • [3857] D. Hilditch, S. Bernuzzi, M. Thierfelder, Z. Cao, W. Tichy, and B. Bruegmann, “Compact binary evolutions with the Z4c formulation,” Phys. Rev. D 88 (2013) 084057, arXiv:1212.2901 [gr-qc].
  • [3858] D. Alic, C. Bona-Casas, C. Bona, L. Rezzolla, and C. Palenzuela, “Conformal and covariant formulation of the Z4 system with constraint-violation damping,” Phys. Rev. D 85 (2012) 064040, arXiv:1106.2254 [gr-qc].
  • [3859] D. Alic, W. Kastaun, and L. Rezzolla, “Constraint damping of the conformal and covariant formulation of the Z4 system in simulations of binary neutron stars,” Phys. Rev. D 88 no. 6, (2013) 064049, arXiv:1307.7391 [gr-qc].
  • [3860] C. Bona, J. Masso, E. Seidel, and J. Stela, “A New formalism for numerical relativity,” Phys. Rev. Lett. 75 (1995) 600–603, arXiv:gr-qc/9412071.
  • [3861] M. Alcubierre, “Hyperbolic slicings of space-time: Singularity avoidance and gauge shocks,” Class. Quant. Grav. 20 (2003) 607–624, arXiv:gr-qc/0210050.
  • [3862] J. R. van Meter, J. G. Baker, M. Koppitz, and D.-I. Choi, “How to move a black hole without excision: Gauge conditions for the numerical evolution of a moving puncture,” Phys. Rev. D 73 (2006) 124011, arXiv:gr-qc/0605030.
  • [3863] C. Gundlach and J. M. Martin-Garcia, “Well-posedness of formulations of the Einstein equations with dynamical lapse and shift conditions,” Phys. Rev. D 74 (2006) 024016, arXiv:gr-qc/0604035.
  • [3864] B. Szilágyi, L. Lindblom, and M. A. Scheel, “Simulations of binary black hole mergers using spectral methods,” Phys. Rev. D 80 no. 12, (Dec., 2009) 124010, arXiv:0909.3557 [gr-qc].
  • [3865] Y. Chen, N. Deppe, L. E. Kidder, and S. A. Teukolsky, “Efficient simulations of high-spin black holes with a new gauge,” Phys. Rev. D 104 no. 8, (2021) 084046, arXiv:2108.02331 [gr-qc].
  • [3866] N. Rosato, J. Healy, and C. O. Lousto, “Adapted gauge to small mass ratio binary black hole evolutions,” Phys. Rev. D 103 no. 10, (2021) 104068, arXiv:2103.09326 [gr-qc].
  • [3867] M. A. Scheel, H. P. Pfeiffer, L. Lindblom, L. E. Kidder, O. Rinne, and S. A. Teukolsky, “Solving Einstein’s equations with dual coordinate frames,” Phys. Rev. D 74 (2006) 104006, arXiv:gr-qc/0607056.
  • [3868] M. Hannam, S. Husa, D. Pollney, B. Bruegmann, and N. O’Murchadha, “Geometry and regularity of moving punctures,” Phys. Rev. Lett. 99 (2007) 241102, arXiv:gr-qc/0606099.
  • [3869] B. Bruegmann, J. A. Gonzalez, M. Hannam, S. Husa, U. Sperhake, and W. Tichy, “Calibration of Moving Puncture Simulations,” Phys. Rev. D 77 (2008) 024027, arXiv:gr-qc/0610128.
  • [3870] Z. B. Etienne, “Improved moving-puncture techniques for compact binary simulations,” Phys. Rev. D 110 no. 6, (2024) 064045, arXiv:2404.01137 [gr-qc]. – 813 –
  • [3871] S. Husa, J. A. Gonzalez, M. Hannam, B. Bruegmann, and U. Sperhake, “Reducing phase error in long numerical binary black hole evolutions with sixth order finite differencing,” Class. Quant. Grav. 25 (2008) 105006, arXiv:0706.0740 [gr-qc].
  • [3872] R. Haas et al., “The Einstein Toolkit,” Oct., 2022. https://doi.org/10.5281/zenodo.7245853. To find out more, visit http://einsteintoolkit.org.
  • [3873] M. Boyle et al., “The SXS Collaboration catalog of binary black hole simulations,” Class. Quant. Grav. 36 no. 19, (2019) 195006, arXiv:1904.04831 [gr-qc].
  • [3874] F. Banyuls, J. A. Font, J. M. Ibáñez, J. M. Martı́, and J. A. Miralles, “Numerical {3 + 1} General Relativistic Hydrodynamics: A Local Characteristic Approach,” Astroph. J. 476 no. 1, (Feb., 1997) 221–231.
  • [3875] D. Radice, L. Rezzolla, and F. Galeazzi, “High-Order Fully General-Relativistic Hydrodynamics: new Approaches and Tests,” Class. Quant. Grav. 31 (2014) 075012, arXiv:1312.5004 [gr-qc].
  • [3876] E. R. Most, L. J. Papenfort, and L. Rezzolla, “Beyond second-order convergence in simulations of magnetized binary neutron stars with realistic microphysics,” Mon. Not. Roy. Astron. Soc. 490 no. 3, (2019) 3588–3600, arXiv:1907.10328 [astro-ph.HE].
  • [3877] S. Rosswog and P. Diener, “SPHINCS BSSN: A general relativistic Smooth Particle Hydrodynamics code for dynamical spacetimes,” Class. Quant. Grav. 38 no. 11, (2021) 115002, arXiv:2012.13954 [gr-qc].
  • [3878] M. B. Deaton, M. D. Duez, F. Foucart, E. O’Connor, C. D. Ott, L. E. Kidder, C. D. Muhlberger, M. A. Scheel, and B. Szilagyi, “Black Hole-Neutron Star Mergers with a Hot Nuclear Equation of State: Outflow and Neutrino-Cooled Disk for a Low-Mass, High-Spin Case,” Astrophys. J. 776 (2013) 47, arXiv:1304.3384 [astro-ph.HE].
  • [3879] C. Palenzuela, S. L. Liebling, D. Neilsen, L. Lehner, O. L. Caballero, E. O’Connor, and M. Anderson, “Effects of the microphysical Equation of State in the mergers of magnetized Neutron Stars With Neutrino Cooling,” Phys. Rev. D 92 no. 4, (2015) 044045, arXiv:1505.01607 [gr-qc].
  • [3880] J. S. Read, B. D. Lackey, B. J. Owen, and J. L. Friedman, “Constraints on a phenomenologically parameterized neutron-star equation of state,” Phys. Rev. D 79 (2009) 124032, arXiv:0812.2163 [astro-ph].
  • [3881] L. Lindblom, “Spectral Representations of Neutron-Star Equations of State,” Phys. Rev. D 82 (2010) 103011, arXiv:1009.0738 [astro-ph.HE].
  • [3882] F. Foucart, M. D. Duez, A. Gudinas, F. Hebert, L. E. Kidder, H. P. Pfeiffer, and M. A. Scheel, “Smooth Equations of State for High-Accuracy Simulations of Neutron Star Binaries,” Phys. Rev. D 100 no. 10, (2019) 104048, arXiv:1908.05277 [gr-qc].
  • [3883] M. Anderson, E. W. Hirschmann, L. Lehner, S. L. Liebling, P. M. Motl, D. Neilsen, C. Palenzuela, and J. E. Tohline, “Magnetized Neutron Star Mergers and Gravitational Wave Signals,” Phys. Rev. Lett. 100 (2008) 191101, arXiv:0801.4387 [gr-qc].
  • [3884] S. Chawla, M. Anderson, M. Besselman, L. Lehner, S. L. Liebling, P. M. Motl, and D. Neilsen, “Mergers of Magnetized Neutron Stars with Spinning Black Holes: Disruption, Accretion and Fallback,” Phys. Rev. Lett. 105 (2010) 111101, arXiv:1006.2839 [gr-qc].
  • [3885] Z. B. Etienne, Y. T. Liu, and S. L. Shapiro, “Relativistic magnetohydrodynamics in dynamical spacetimes: A new AMR implementation,” Phys. Rev. D 82 (2010) 084031, arXiv:1007.2848 [astro-ph.HE].
  • [3886] M. Shibata, S. Fujibayashi, and Y. Sekiguchi, “Long-term evolution of a merger-remnant – 814 – neutron star in general relativistic magnetohydrodynamics: Effect of magnetic winding,” Phys. Rev. D 103 no. 4, (2021) 043022, arXiv:2102.01346 [astro-ph.HE].
  • [3887] M. Ponce, C. Palenzuela, L. Lehner, and S. L. Liebling, “Interaction of misaligned magnetospheres in the coalescence of binary neutron stars,” Phys. Rev. D 90 no. 4, (2014) 044007, arXiv:1404.0692 [gr-qc].
  • [3888] M. Ruffert, H.-T. Janka, and G. Schaefer, “Coalescing neutron stars - a step towards physical models. I. Hydrodynamic evolution and gravitational-wave emission.,” Astron.Astroph. 311 (July, 1996) 532–566, astro-ph/9509006.
  • [3889] K. S. Thorne, “Relativistic radiative transfer - Moment formalisms,” Mon. Not. R. Astron. Soc. 194 (Feb., 1981) 439–473.
  • [3890] M. Shibata, K. Kiuchi, Y. Sekiguchi, and Y. Suwa, “Truncated Moment Formalism for Radiation Hydrodynamics in Numerical Relativity,” Progress of Theoretical Physics 125 (June, 2011) 1255, arXiv:1104.3937 [astro-ph.HE].
  • [3891] F. Foucart, E. O’Connor, L. Roberts, L. E. Kidder, H. P. Pfeiffer, and M. A. Scheel, “Impact of an improved neutrino energy estimate on outflows in neutron star merger simulations,” Phys. Rev. D 94 no. 12, (2016) 123016, arXiv:1607.07450 [astro-ph.HE].
  • [3892] D. Radice, S. Bernuzzi, A. Perego, and R. Haas, “A new moment-based general-relativistic neutrino-radiation transport code: Methods and first applications to neutron star mergers,” Mon. Not. Roy. Astron. Soc. 512 no. 1, (2022) 1499–1521, arXiv:2111.14858 [astro-ph.HE].
  • [3893] F. Foucart, M. D. Duez, F. Hebert, L. E. Kidder, H. P. Pfeiffer, and M. A. Scheel, “Monte-Carlo neutrino transport in neutron star merger simulations,” Astrophys. J. Lett. 902 (2020) L27, arXiv:2008.08089 [astro-ph.HE].
  • [3894] J. M. Miller, B. R. Ryan, J. C. Dolence, A. Burrows, C. J. Fontes, C. L. Fryer, O. Korobkin, J. Lippuner, M. R. . Mumpower, and R. T. Wollaeger, “Full Transport Model of GW170817-Like Disk Produces a Blue Kilonova,” Phys. Rev. D 100 no. 2, (2019) 023008, arXiv:1905.07477 [astro-ph.HE].
  • [3895] H. Witek, L. Gualtieri, and P. Pani, “Towards numerical relativity in scalar Gauss-Bonnet gravity: 3 + 1 decomposition beyond the small-coupling limit,” Phys. Rev. D 101 no. 12, (2020) 124055, arXiv:2004.00009 [gr-qc].
  • [3896] H. P. Pfeiffer and J. W. York, Jr., “Extrinsic curvature and the Einstein constraints,” Phys. Rev. D 67 (2003) 044022, arXiv:gr-qc/0207095.
  • [3897] K. Taniguchi, T. W. Baumgarte, J. A. Faber, and S. L. Shapiro, “Quasiequilibrium sequences of black-hole-neutron-star binaries in general relativity,” Phys. Rev. D 74 (2006) 041502, arXiv:gr-qc/0609053.
  • [3898] H. P. Pfeiffer, L. E. Kidder, M. A. Scheel, and S. A. Teukolsky, “A Multidomain spectral method for solving elliptic equations,” Comput. Phys. Commun. 152 (2003) 253–273, arXiv:gr-qc/0202096.
  • [3899] M. Ansorg, B. Bruegmann, and W. Tichy, “A Single-domain spectral method for black hole puncture data,” Phys. Rev. D 70 (2004) 064011, arXiv:gr-qc/0404056.
  • [3900] M. Ansorg, “A Double-domain spectral method for black hole excision data,” Phys. Rev. D 72 (2005) 024018, arXiv:gr-qc/0505059.
  • [3901] E. Gourgoulhon, P. Grandclement, J.-A. Marck, J. Novak, and K. Taniguchi, “Lorene.” LORENE,http://www.lorene.obspm.fr.
  • [3902] P. Grandclement, “Accurate and realistic initial data for black hole-neutron star binaries,” Phys. Rev. D 74 (2006) 124002, arXiv:gr-qc/0609044. [Erratum: Phys.Rev.D 75, 129903 (2007)]. – 815 –
  • [3902] P. Grandclement, “Accurate and realistic initial data for black hole-neutron star binaries,” Phys. Rev. D 74 (2006) 124002, arXiv:gr-qc/0609044. [Erratum: Phys.Rev.D 75, 129903 (2007)]. – 815 –
  • [3903] F. Foucart, L. E. Kidder, H. P. Pfeiffer, and S. A. Teukolsky, “Initial data for black hole-neutron star binaries: A Flexible, high-accuracy spectral method,” Phys. Rev. D 77 (2008) 124051, arXiv:0804.3787 [gr-qc].
  • [3904] P. Grandclement, “Kadath: A Spectral solver for theoretical physics,” J. Comput. Phys. 229 (2010) 3334–3357, arXiv:0909.1228 [gr-qc].
  • [3905] S. Ossokine, F. Foucart, H. P. Pfeiffer, M. Boyle, and B. Szilágyi, “Improvements to the construction of binary black hole initial data,” Class. Quant. Grav. 32 (2015) 245010, arXiv:1506.01689 [gr-qc].
  • [3906] N. Tacik et al., “Binary Neutron Stars with Arbitrary Spins in Numerical Relativity,” Phys. Rev. D 92 no. 12, (2015) 124012, arXiv:1508.06986 [gr-qc]. [Erratum: Phys.Rev.D 94, 049903 (2016)].
  • [3906] N. Tacik et al., “Binary Neutron Stars with Arbitrary Spins in Numerical Relativity,” Phys. Rev. D 92 no. 12, (2015) 124012, arXiv:1508.06986 [gr-qc]. [Erratum: Phys.Rev.D 94, 049903 (2016)].
  • [3907] T. Dietrich, N. Moldenhauer, N. K. Johnson-McDaniel, S. Bernuzzi, C. M. Markakis, B. Brügmann, and W. Tichy, “Binary Neutron Stars with Generic Spin, Eccentricity, Mass ratio, and Compactness - Quasi-equilibrium Sequences and First Evolutions,” Phys. Rev. D 92 no. 12, (2015) 124007, arXiv:1507.07100 [gr-qc].
  • [3908] W. Tichy, A. Rashti, T. Dietrich, R. Dudi, and B. Brügmann, “Constructing binary neutron star initial data with high spins, high compactnesses, and high mass ratios,” Phys. Rev. D 100 no. 12, (2019) 124046, arXiv:1910.09690 [gr-qc].
  • [3909] L. J. Papenfort, S. D. Tootle, P. Grandclément, E. R. Most, and L. Rezzolla, “New public code for initial data of unequal-mass, spinning compact-object binaries,” Phys. Rev. D 104 no. 2, (2021) 024057, arXiv:2103.09911 [gr-qc].
  • [3910] A. Rashti, F. M. Fabbri, B. Brügmann, S. V. Chaurasia, T. Dietrich, M. Ujevic, and W. Tichy, “New pseudospectral code for the construction of initial data,” Phys. Rev. D 105 no. 10, (2022) 104027, arXiv:2109.14511 [gr-qc].
  • [3911] N. L. Vu et al., “A scalable elliptic solver with task-based parallelism for the SpECTRE numerical relativity code,” Phys. Rev. D 105 no. 8, (2022) 084027, arXiv:2111.06767 [gr-qc].
  • [3912] K. Uryu and A. Tsokaros, “A new code for equilibriums and quasiequilibrium initial data of compact objects,” Phys. Rev. D 85 (2012) 064014, arXiv:1108.3065 [gr-qc].
  • [3913] A. Tsokaros, K. Uryū, and L. Rezzolla, “New code for quasiequilibrium initial data of binary neutron stars: Corotating, irrotational, and slowly spinning systems,” Phys. Rev. D 91 no. 10, (2015) 104030, arXiv:1502.05674 [gr-qc].
  • [3914] K. Uryu, S. Yoshida, E. Gourgoulhon, C. Markakis, K. Fujisawa, A. Tsokaros, K. Taniguchi, and Y. Eriguchi, “New code for equilibriums and quasiequilibrium initial data of compact objects. IV. Rotating relativistic stars with mixed poloidal and toroidal magnetic fields,” Phys. Rev. D 100 no. 12, (2019) 123019, arXiv:1906.10393 [gr-qc].
  • [3915] T. Assumpcao, L. R. Werneck, T. P. Jacques, and Z. B. Etienne, “Fast hyperbolic relaxation elliptic solver for numerical relativity: Conformally flat, binary puncture initial data,” Phys. Rev. D 105 no. 10, (2022) 104037, arXiv:2111.02424 [gr-qc].
  • [3916] G. Lovelace, “Reducing spurious gravitational radiation in binary-black-hole simulations by using conformally curved initial data,” Class. Quant. Grav. 26 (2009) 114002, arXiv:0812.3132 [gr-qc].
  • [3917] V. Varma, M. A. Scheel, and H. P. Pfeiffer, “Comparison of binary black hole initial data sets,” Phys. Rev. D 98 no. 10, (2018) 104011, arXiv:1808.08228 [gr-qc].
  • [3918] A. H. Mroue et al., “Catalog of 174 Binary Black Hole Simulations for Gravitational Wave Astronomy,” Phys. Rev. Lett. 111 no. 24, (2013) 241104, arXiv:1304.6077 [gr-qc]. – 816 –
  • [3919] K. Jani, J. Healy, J. A. Clark, L. London, P. Laguna, and D. Shoemaker, “Georgia Tech Catalog of Gravitational Waveforms,” Class. Quant. Grav. 33 no. 20, (2016) 204001, arXiv:1605.03204 [gr-qc].
  • [3920] A. Ramos-Buades, S. Husa, G. Pratten, H. Estellés, C. Garcı́a-Quirós, M. Mateu-Lucena, M. Colleoni, and R. Jaume, “First survey of spinning eccentric black hole mergers: Numerical relativity simulations, hybrid waveforms, and parameter estimation,” Phys. Rev. D 101 no. 8, (2020) 083015, arXiv:1909.11011 [gr-qc].
  • [3921] G. Pratten, S. Husa, C. Garcia-Quiros, M. Colleoni, A. Ramos-Buades, H. Estelles, and R. Jaume, “Setting the cornerstone for a family of models for gravitational waves from compact binaries: The dominant harmonic for nonprecessing quasicircular black holes,” Phys. Rev. D 102 no. 6, (2020) 064001, arXiv:2001.11412 [gr-qc].
  • [3922] J. Healy and C. O. Lousto, “Fourth RIT binary black hole simulations catalog: Extension to eccentric orbits,” Phys. Rev. D 105 no. 12, (2022) 124010, arXiv:2202.00018 [gr-qc].
  • [3923] A. V. Joshi, S. G. Rosofsky, R. Haas, and E. A. Huerta, “Numerical relativity higher order gravitational waveforms of eccentric, spinning, non-precessing binary black hole mergers,” arXiv:2210.01852 [gr-qc].
  • [3924] A. Ramos-Buades, M. van de Meent, H. P. Pfeiffer, H. R. Rüter, M. A. Scheel, M. Boyle, and L. E. Kidder, “Eccentric binary black holes: Comparing numerical relativity and small mass-ratio perturbation theory,” Phys. Rev. D 106 no. 12, (2022) 124040, arXiv:2209.03390 [gr-qc].
  • [3925] V. Varma, S. E. Field, M. A. Scheel, J. Blackman, L. E. Kidder, and H. P. Pfeiffer, “Surrogate model of hybridized numerical relativity binary black hole waveforms,” Phys. Rev. D 99 no. 6, (2019) 064045, arXiv:1812.07865 [gr-qc].
  • [3926] V. Varma, S. E. Field, M. A. Scheel, J. Blackman, D. Gerosa, L. C. Stein, L. E. Kidder, and H. P. Pfeiffer, “Surrogate models for precessing binary black hole simulations with unequal masses,” Phys. Rev. Research. 1 (2019) 033015, arXiv:1905.09300 [gr-qc].
  • [3927] J. Yoo, V. Varma, M. Giesler, M. A. Scheel, C.-J. Haster, H. P. Pfeiffer, L. E. Kidder, and M. Boyle, “Targeted large mass ratio numerical relativity surrogate waveform model for GW190814,” Phys. Rev. D 106 no. 4, (2022) 044001, arXiv:2203.10109 [gr-qc].
  • [3928] E. Hamilton, L. London, J. E. Thompson, E. Fauchon-Jones, M. Hannam, C. Kalaghatgi, S. Khan, F. Pannarale, and A. Vano-Vinuales, “Model of gravitational waves from precessing black-hole binaries through merger and ringdown,” Phys. Rev. D 104 no. 12, (2021) 124027, arXiv:2107.08876 [gr-qc].
  • [3929] M. A. Scheel, M. Giesler, D. A. Hemberger, G. Lovelace, K. Kuper, M. Boyle, B. Szilágyi, and L. E. Kidder, “Improved methods for simulating nearly extremal binary black holes,” Class. Quant. Grav. 32 no. 10, (2015) 105009, arXiv:1412.1803 [gr-qc].
  • [3930] Y. Zlochower, J. Healy, C. O. Lousto, and I. Ruchlin, “Evolutions of Nearly Maximally Spinning Black Hole Binaries Using the Moving Puncture Approach,” Phys. Rev. D 96 no. 4, (2017) 044002, arXiv:1706.01980 [gr-qc].
  • [3931] M. Dhesi, H. R. Rüter, A. Pound, L. Barack, and H. P. Pfeiffer, “Worldtube excision method for intermediate-mass-ratio inspirals: Scalar-field toy model,” Phys. Rev. D 104 no. 12, (2021) 124002, arXiv:2109.03531 [gr-qc].
  • [3932] LISA Consortium Waveform Working Group Collaboration, N. Afshordi et al., “Waveform Modelling for the Laser Interferometer Space Antenna,” arXiv:2311.01300 [gr-qc].
  • [3933] C. O. Lousto and J. Healy, “Exploring the Small Mass Ratio Binary Black Hole Merger via Zeno’s Dichotomy Approach,” Phys. Rev. Lett. 125 no. 19, (2020) 191102, arXiv:2006.04818 [gr-qc]. – 817 –
  • [3934] C. O. Lousto and J. Healy, “Study of the Intermediate Mass Ratio Black Hole Binary Merger up to 1000:1 with Numerical Relativity,” arXiv:2203.08831 [gr-qc].
  • [3935] N. A. Wittek et al., “Worldtube excision method for intermediate-mass-ratio inspirals: Scalar-field model in 3+1 dimensions,” Phys. Rev. D 108 no. 2, (2023) 024041, arXiv:2304.05329 [gr-qc].
  • [3936] N. A. Wittek, A. Pound, H. P. Pfeiffer, and L. Barack, “Worldtube excision method for intermediate-mass-ratio inspirals: self-consistent evolution in a scalar-charge model,” arXiv:2403.08864 [gr-qc].
  • [3937] R. Gamba, M. Breschi, G. Carullo, S. Albanesi, P. Rettegno, S. Bernuzzi, and A. Nagar, “GW190521 as a dynamical capture of two nonspinning black holes,” Nature Astron. 7 no. 1, (2023) 11–17, arXiv:2106.05575 [gr-qc].
  • [3938] A. Bonino, P. Schmidt, and G. Pratten, “Mapping eccentricity evolutions between numerical relativity and effective-one-body gravitational waveforms,” Phys. Rev. D 110 (2024) 104002, arXiv:2404.18875 [gr-qc].
  • [3939] “SXS gravitational waveforms database.” https://data.black-holes.org/waveforms/catalog.html.
  • [3940] V. Paschalidis, “General relativistic simulations of compact binary mergers as engines for short gamma-ray bursts,” Class.Quant.Grav. 34 no. 8, (Apr., 2017) 084002, arXiv:1611.01519 [astro-ph.HE].
  • [3941] M. Shibata and K. Hotokezaka, “Merger and Mass Ejection of Neutron-Star Binaries,” Ann. Rev. Nucl. Part. Sci. 69 (2019) 41–64, arXiv:1908.02350 [astro-ph.HE].
  • [3942] F. Foucart, “A brief overview of black hole-neutron star mergers,” Front. Astron. Space Sci. 7 (2020) 46, arXiv:2006.10570 [astro-ph.HE].
  • [3943] K. Kyutoku, M. Shibata, and K. Taniguchi, “Coalescence of black hole–neutron star binaries,” Living Rev. Rel. 24 no. 1, (2021) 5, arXiv:2110.06218 [astro-ph.HE].
  • [3944] K. Kyutoku, M. Shibata, and K. Taniguchi, “Gravitational waves from nonspinning black hole-neutron star binaries: dependence on equations of state,” Phys. Rev. D 82 (2010) 044049, arXiv:1008.1460 [astro-ph.HE]. [Erratum: Phys.Rev.D 84, 049902 (2011)].
  • [3944] K. Kyutoku, M. Shibata, and K. Taniguchi, “Gravitational waves from nonspinning black hole-neutron star binaries: dependence on equations of state,” Phys. Rev. D 82 (2010) 044049, arXiv:1008.1460 [astro-ph.HE]. [Erratum: Phys.Rev.D 84, 049902 (2011)].
  • [3945] K. Kyutoku, H. Okawa, M. Shibata, and K. Taniguchi, “Gravitational waves from spinning black hole-neutron star binaries: dependence on black hole spins and on neutron star equations of state,” Phys. Rev. D 84 (2011) 064018, arXiv:1108.1189 [astro-ph.HE].
  • [3946] K. Kawaguchi, K. Kyutoku, H. Nakano, H. Okawa, M. Shibata, and K. Taniguchi, “Black hole-neutron star binary merger: Dependence on black hole spin orientation and equation of state,” Phys. Rev. D 92 no. 2, (2015) 024014, arXiv:1506.05473 [astro-ph.HE].
  • [3947] M. D. Duez, F. Foucart, L. E. Kidder, C. D. Ott, and S. A. Teukolsky, “Equation of state effects in black hole-neutron star mergers,” Class. Quant. Grav. 27 (2010) 114106, arXiv:0912.3528 [astro-ph.HE].
  • [3948] M. Ruiz, S. L. Shapiro, and A. Tsokaros, “Multimessenger Binary Mergers Containing Neutron Stars: Gravitational Waves, Jets, and γ-Ray Bursts,” Front. Astron. Space Sci. 8 (2021) 39, arXiv:2102.03366 [astro-ph.HE].
  • [3949] B. Khamesra, M. Gracia-Linares, and P. Laguna, “Black hole–neutron star binary mergers: the imprint of tidal deformations and debris,” Class. Quant. Grav. 38 no. 18, (2021) 185008, arXiv:2101.10252 [astro-ph.HE].
  • [3950] F. Zappa, S. Bernuzzi, F. Pannarale, M. Mapelli, and N. Giacobbo, “Black-Hole Remnants from Black-Hole–Neutron-Star Mergers,” Phys. Rev. Lett. 123 no. 4, (2019) 041102, arXiv:1903.11622 [gr-qc]. – 818 –
  • [3951] K. Hayashi, K. Kawaguchi, K. Kiuchi, K. Kyutoku, and M. Shibata, “Properties of the remnant disk and the dynamical ejecta produced in low-mass black hole-neutron star mergers,” Phys. Rev. D 103 no. 4, (2021) 043007, arXiv:2010.02563 [astro-ph.HE].
  • [3952] K. Hayashi, K. Kiuchi, K. Kyutoku, Y. Sekiguchi, and M. Shibata, “General-relativistic neutrino-radiation magnetohydrodynamics simulation of seconds-long black hole-neutron star mergers: Dependence on initial magnetic field strength, configuration, and neutron-star equation of state,” arXiv:2211.07158 [astro-ph.HE].
  • [3953] K. Hayashi, S. Fujibayashi, K. Kiuchi, K. Kyutoku, Y. Sekiguchi, and M. Shibata, “General-relativistic neutrino-radiation magnetohydrodynamic simulation of seconds-long black hole-neutron star mergers,” Phys. Rev. D 106 no. 2, (2022) 023008, arXiv:2111.04621 [astro-ph.HE].
  • [3954] E. R. Most, L. J. Papenfort, S. D. Tootle, and L. Rezzolla, “On accretion discs formed in MHD simulations of black hole–neutron star mergers with accurate microphysics,” Mon. Not. Roy. Astron. Soc. 506 no. 3, (2021) 3511–3526, arXiv:2106.06391 [astro-ph.HE].
  • [3955] F. Foucart et al., “High-accuracy waveforms for black hole-neutron star systems with spinning black holes,” Phys. Rev. D 103 no. 6, (2021) 064007, arXiv:2010.14518 [gr-qc].
  • [3956] B. C. Stephens, W. E. East, and F. Pretorius, “Eccentric Black Hole-Neutron Star Mergers,” Astrophys. J. Lett. 737 (2011) L5, arXiv:1105.3175 [astro-ph.HE].
  • [3957] R. Gold, S. Bernuzzi, M. Thierfelder, B. Brugmann, and F. Pretorius, “Eccentric binary neutron star mergers,” Phys. Rev. D 86 (2012) 121501, arXiv:1109.5128 [gr-qc].
  • [3958] F. Pannarale, “Black hole remnant of black hole-neutron star coalescing binaries with arbitrary black hole spin,” Phys. Rev. D 89 no. 4, (2014) 044045, arXiv:1311.5931 [gr-qc].
  • [3959] K. Takami, L. Rezzolla, and L. Baiotti, “Spectral properties of the post-merger gravitational-wave signal from binary neutron stars,” Phys.Rev.D 91 no. 6, (Mar., 2015) 064001, arXiv:1412.3240 [gr-qc].
  • [3960] A. Henkel, F. Foucart, G. Raaijmakers, and S. Nissanke, “A study of the agreement between binary neutron star ejecta models derived from numerical relativity simulations,” arXiv:2207.07658 [astro-ph.HE].
  • [3961] K. Kiuchi, Y. Sekiguchi, K. Kyutoku, M. Shibata, K. Taniguchi, and T. Wada, “High resolution magnetohydrodynamic simulation of black hole-neutron star merger: Mass ejection and short gamma ray bursts,” Phys. Rev. D 92 no. 6, (2015) 064034, arXiv:1506.06811 [astro-ph.HE].
  • [3962] V. Paschalidis, M. Ruiz, and S. L. Shapiro, “Relativistic Simulations of Black Hole–neutron Star Coalescence: the jet Emerges,” Astrophys. J. Lett. 806 no. 1, (2015) L14, arXiv:1410.7392 [astro-ph.HE].
  • [3963] M. Ruiz, R. N. Lang, V. Paschalidis, and S. L. Shapiro, “Binary Neutron Star Mergers: a jet Engine for Short Gamma-ray Bursts,” Astrophys. J. Lett. 824 no. 1, (2016) L6, arXiv:1604.02455 [astro-ph.HE].
  • [3964] D. M. Siegel and B. D. Metzger, “Three-dimensional GRMHD Simulations of Neutrino-cooled Accretion Disks from Neutron Star Mergers,” Astrophys. J. 858 no. 1, (May, 2018) 52, arXiv:1711.00868 [astro-ph.HE].
  • [3965] I. M. Christie, A. Lalakos, A. Tchekhovskoy, R. Fernández, F. Foucart, E. Quataert, and D. Kasen, “The Role of Magnetic Field Geometry in the Evolution of Neutron Star Merger Accretion Discs,” Mon. Not. R. Astron. Soc. 490 no. 4, (2019) 4811–4825, arXiv:1907.02079 [astro-ph.HE]. – 819 –
  • [3966] J. Barnes and D. Kasen, “Effect of a High Opacity on the Light Curves of Radioactively Powered Transients from Compact Object Mergers,” Astrophys. J. 775 (Sept., 2013) 18, arXiv:1303.5787 [astro-ph.HE].
  • [3967] S. Wanajo, Y. Sekiguchi, N. Nishimura, K. Kiuchi, K. Kyutoku, and M. Shibata, “Production of All the r-process Nuclides in the Dynamical Ejecta of Neutron Star Mergers,” Astrophys. J. Lett. 789 no. 2, (July, 2014) L39, arXiv:1402.7317 [astro-ph.SR].
  • [3968] S. Fujibayashi, K. Kiuchi, S. Wanajo, K. Kyutoku, Y. Sekiguchi, and M. Shibata, “Comprehensive Study of Mass Ejection and Nucleosynthesis in Binary Neutron Star Mergers Leaving Short-lived Massive Neutron Stars,” Astrophys. J. 942 no. 1, (2023) 39, arXiv:2205.05557 [astro-ph.HE].
  • [3969] T. Fischer, N.-U. Bastian, D. Blaschke, M. Cierniak, M. Hempel, T. Klähn, G. Martı́nez-Pinedo, W. G. Newton, G. Röpke, and S. Typel, “The state of matter in simulations of core-collapse supernovae – Reflections and recent developments,” Publ. Astron. Soc. Austral. 34 (2017) 67, arXiv:1711.07411 [astro-ph.HE].
  • [3970] D. Vartanyan and A. Burrows, “Gravitational waves from neutrino emission asymmetries in core-collapse supernovae,” The Astrophysical Journal 901 no. 2, (Sep, 2020) 108. https://dx.doi.org/10.3847/1538-4357/abafac.
  • [3971] S. R. Lau, G. Lovelace, and H. P. Pfeiffer, “Implicit-explicit (IMEX) evolution of single black holes,” Phys. Rev. D 84 (2011) 084023, arXiv:1105.3922 [gr-qc].
  • [3972] L. T. Buchman, H. P. Pfeiffer, M. A. Scheel, and B. Szilagyi, “Simulations of non-equal mass black hole binaries with spectral methods,” Phys. Rev. D 86 (2012) 084033, arXiv:1206.3015 [gr-qc].
  • [3973] D. A. Hemberger, M. A. Scheel, L. E. Kidder, B. Szilágyi, G. Lovelace, N. W. Taylor, and S. A. Teukolsky, “Dynamical Excision Boundaries in Spectral Evolutions of Binary Black Hole Spacetimes,” Class. Quant. Grav. 30 (2013) 115001, arXiv:1211.6079 [gr-qc].
  • [3974] S. Brandt and B. Bruegmann, “A Simple construction of initial data for multiple black holes,” Phys. Rev. Lett. 78 (1997) 3606–3609, arXiv:gr-qc/9703066.
  • [3975] M. Caudill, G. B. Cook, J. D. Grigsby, and H. P. Pfeiffer, “Circular orbits and spin in black-hole initial data,” Phys. Rev. D 74 (2006) 064011, arXiv:gr-qc/0605053.
  • [3976] R. J. Gleiser, C. O. Nicasio, R. H. Price, and J. Pullin, “Evolving the Bowen-York initial data for spinning black holes,” Phys. Rev. D 57 (1998) 3401–3407, arXiv:gr-qc/9710096.
  • [3977] S. Dain, C. O. Lousto, and R. Takahashi, “New conformally flat initial data for spinning black holes,” Phys. Rev. D 65 (2002) 104038, arXiv:gr-qc/0201062.
  • [3978] S. Dain, C. O. Lousto, and Y. Zlochower, “Extra-Large Remnant Recoil Velocities and Spins from Near-Extremal-Bowen-York-Spin Black-Hole Binaries,” Phys. Rev. D 78 (2008) 024039, arXiv:0803.0351 [gr-qc].
  • [3979] G. Lovelace, R. Owen, H. P. Pfeiffer, and T. Chu, “Binary-black-hole initial data with nearly-extremal spins,” Phys. Rev. D 78 (2008) 084017, arXiv:0805.4192 [gr-qc].
  • [3980] G. Lovelace, M. A. Scheel, and B. Szilagyi, “Simulating merging binary black holes with nearly extremal spins,” Phys. Rev. D 83 (2011) 024010, arXiv:1010.2777 [gr-qc].
  • [3981] G. Lovelace et al., “Nearly extremal apparent horizons in simulations of merging black holes,” Class. Quant. Grav. 32 no. 6, (2015) 065007, arXiv:1411.7297 [gr-qc].
  • [3982] J. Healy, C. O. Lousto, I. Ruchlin, and Y. Zlochower, “Evolutions of unequal mass, highly spinning black hole binaries,” Phys. Rev. D 97 no. 10, (2018) 104026, arXiv:1711.09041 [gr-qc]. – 820 –
  • [3983] H. P. Pfeiffer, D. A. Brown, L. E. Kidder, L. Lindblom, G. Lovelace, and M. A. Scheel, “Reducing orbital eccentricity in binary black hole simulations,” Class. Quant. Grav. 24 (2007) S59–S82, arXiv:gr-qc/0702106.
  • [3984] S. Husa, M. Hannam, J. A. Gonzalez, U. Sperhake, and B. Bruegmann, “Reducing eccentricity in black-hole binary evolutions with initial parameters from post-Newtonian inspiral,” Phys. Rev. D 77 (2008) 044037, arXiv:0706.0904 [gr-qc].
  • [3985] A. Buonanno, L. E. Kidder, A. H. Mroue, H. P. Pfeiffer, and A. Taracchini, “Reducing orbital eccentricity of precessing black-hole binaries,” Phys. Rev. D 83 (2011) 104034, arXiv:1012.1549 [gr-qc].
  • [3986] W. Tichy and P. Marronetti, “A Simple method to set up low eccentricity initial data for moving puncture simulations,” Phys. Rev. D 83 (2011) 024012, arXiv:1010.2936 [gr-qc].
  • [3987] M. Purrer, S. Husa, and M. Hannam, “An Efficient iterative method to reduce eccentricity in numerical-relativity simulations of compact binary inspiral,” Phys. Rev. D 85 (2012) 124051, arXiv:1203.4258 [gr-qc].
  • [3988] A. Ramos-Buades, S. Husa, and G. Pratten, “Simple procedures to reduce eccentricity of binary black hole simulations,” Phys. Rev. D 99 no. 2, (2019) 023003, arXiv:1810.00036 [gr-qc].
  • [3989] S. Habib, A. Ramos-Buades, E. A. Huerta, S. Husa, R. Haas, and Z. Etienne, “Initial Data and Eccentricity Reduction Toolkit for Binary Black Hole Numerical Relativity Waveforms,” Class. Quant. Grav. 38 no. 12, (2021) 125007, arXiv:2011.08878 [gr-qc].
  • [3990] I. Hinder, F. Herrmann, P. Laguna, and D. Shoemaker, “Comparisons of eccentric binary black hole simulations with post-Newtonian models,” Phys. Rev. D 82 (2010) 024033, arXiv:0806.1037 [gr-qc].
  • [3991] T. Islam, V. Varma, J. Lodman, S. E. Field, G. Khanna, M. A. Scheel, H. P. Pfeiffer, D. Gerosa, and L. E. Kidder, “Eccentric binary black hole surrogate models for the gravitational waveform and remnant properties: comparable mass, nonspinning case,” Phys. Rev. D 103 no. 6, (2021) 064022, arXiv:2101.11798 [gr-qc].
  • [3992] A. Ciarfella, J. Healy, C. O. Lousto, and H. Nakano, “Eccentricity estimation from initial data for numerical relativity simulations,” Phys. Rev. D 106 no. 10, (2022) 104035, arXiv:2206.13532 [gr-qc].
  • [3993] C. A. Raithel and V. Paschalidis, “Improving the convergence order of binary neutron star merger simulations in the Baumgarte- Shapiro-Shibata-Nakamura formulation,” Phys. Rev. D 106 no. 2, (2022) 023015, arXiv:2204.00698 [gr-qc].
  • [3994] P. L. Espino, A. Prakash, D. Radice, and D. Logoteta, “Revealing phase transition in dense matter with gravitational wave spectroscopy of binary neutron star mergers,” Phys. Rev. D 109 no. 12, (2024) 123009, arXiv:2301.03619 [astro-ph.HE].
  • [3995] M. Ujevic, H. Gieg, F. Schianchi, S. V. Chaurasia, I. Tews, and T. Dietrich, “Reverse phase transitions in binary neutron-star systems with exotic-matter cores,” Phys. Rev. D 107 no. 2, (Jan., 2023) 024025, arXiv:2211.04662 [gr-qc].
  • [3996] A. Bauswein, R. Oechslin, and H. T. Janka, “Discriminating strange star mergers from neutron star mergers by gravitational-wave measurements,” Phys. Rev. D. 81 no. 2, (Jan., 2010) 024012, arXiv:0910.5169 [astro-ph.SR].
  • [3997] M. Bezares, M. Bošković, S. Liebling, C. Palenzuela, P. Pani, and E. Barausse, “Gravitational waves and kicks from the merger of unequal mass, highly compact boson stars,” Phys. Rev. D 105 no. 6, (2022) 064067, arXiv:2201.06113 [gr-qc].
  • [3998] O. Gottlieb et al., “Large-scale Evolution of Seconds-long Relativistic Jets from Black – 821 – Hole–Neutron Star Mergers,” Astrophys. J. Lett. 954 no. 1, (2023) L21, arXiv:2306.14947 [astro-ph.HE].
  • [3999] S. Curtis, J. M. Miller, C. Frohlich, T. Sprouse, N. Lloyd-Ronning, and M. Mumpower, “Nucleosynthesis in Outflows from Black Hole-Neutron Star Merger Disks With Full GRνRMHD,” arXiv:2212.10691 [astro-ph.HE].
  • [4000] L. E. Kidder et al., “SpECTRE: A Task-based Discontinuous Galerkin Code for Relativistic Astrophysics,” J. Comput. Phys. 335 (2017) 84–114, arXiv:1609.00098 [astro-ph.HE].
  • [4001] J. Moxon, M. A. Scheel, S. A. Teukolsky, N. Deppe, N. Fischer, F. Hébert, L. E. Kidder, and W. Throwe, “The SpECTRE Cauchy-characteristic evolution system for rapid, precise waveform extraction,” arXiv:2110.08635 [gr-qc].
  • [4002] N. Deppe, W. Throwe, L. E. Kidder, N. L. Fischer, F. Hébert, J. Moxon, C. Armaza, G. S. Bonilla, P. Kumar, G. Lovelace, E. O’Shea, H. P. Pfeiffer, M. A. Scheel, S. A. Teukolsky, I. Anantpurkar, M. Boyle, F. Foucart, M. Giesler, J. S. Guo, D. A. B. Iozzo, Y. Kim, I. Legred, D. Li, A. Macedo, D. Melchor, M. Morales, K. C. Nelli, T. Ramirez, H. R. Rüter, J. Sanchez, S. Thomas, N. A. Wittek, and T. Wlodarczyk, “Spectre,” July, 2021. https://doi.org/10.5281/zenodo.5083825.
  • [4003] M. Fernando, D. Neilsen, Y. Zlochower, E. W. Hirschmann, and H. Sundar, “Massively parallel simulations of binary black holes with Dendro-GR,” arXiv:2211.11575 [gr-qc].
  • [4004] B. Daszuta, F. Zappa, W. Cook, D. Radice, S. Bernuzzi, and V. Morozova, “GR-Athena++: Puncture Evolutions on Vertex-centered Oct-tree Adaptive Mesh Refinement,” Astrophys. J. Supp. 257 no. 2, (2021) 25, arXiv:2101.08289 [gr-qc].
  • [4005] A. J. Peterson, D. Willcox, and P. Moesta, “Code generation for AMReX with applications to numerical relativity,” arXiv:2301.08354 [gr-qc].
  • [4006] C. Reisswig and D. Pollney, “Notes on the integration of numerical relativity waveforms,” Class. Quant. Grav. 28 (2011) 195015, arXiv:1006.1632 [gr-qc].
  • [4007] M. Shibata, K. Kiuchi, and Y.-i. Sekiguchi, “General relativistic viscous hydrodynamics of differentially rotating neutron stars,” Phys. Rev. D 95 no. 8, (2017) 083005, arXiv:1703.10303 [astro-ph.HE].
  • [4008] C. Palenzuela, S. Liebling, and B. Miñano, “Large eddy simulations of magnetized mergers of neutron stars with neutrinos,” Phys. Rev. D 105 no. 10, (2022) 103020, arXiv:2204.02721 [gr-qc].
  • [4009] A. Buonanno and B. Sathyaprakash, Sources of Gravitational Waves: Theory and Observations, pp. 287–346. 10, 2014. arXiv:1410.7832 [gr-qc].
  • [4010] W. D. Goldberger, “Les Houches lectures on effective field theories and gravitational radiation,” in Les Houches Summer School - Session 86: Particle Physics and Cosmology: The Fabric of Spacetime. 1, 2007. arXiv:hep-ph/0701129.
  • [4011] S. Foffa and R. Sturani, “Effective field theory methods to model compact binaries,” Class. Quant. Grav. 31 no. 4, (2014) 043001, arXiv:1309.3474 [gr-qc].
  • [4012] M. Levi, “Effective Field Theories of Post-Newtonian Gravity: A comprehensive review,” Rept. Prog. Phys. 83 no. 7, (2020) 075901, arXiv:1807.01699 [hep-th].
  • [4013] L. Blanchet, “Analyzing Gravitational Waves with General Relativity,” Comptes Rendus Physique 20 (2019) 507–520, arXiv:1902.09801 [gr-qc].
  • [4014] L. Blanchet, G. Faye, Q. Henry, F. Larrouturou, and D. Trestini, “Gravitational-Wave Phasing of Quasicircular Compact Binary Systems to the Fourth-and-a-Half Post-Newtonian Order,” Phys. Rev. Lett. 131 no. 12, (2023) 121402, arXiv:2304.11185 [gr-qc]. – 822 –
  • [4015] Q. Henry, “Complete gravitational-waveform amplitude modes for quasicircular compact binaries to the 3.5PN order,” Phys. Rev. D 107 no. 4, (2023) 044057, arXiv:2210.15602 [gr-qc].
  • [4016] Q. Henry, S. Marsat, and M. Khalil, “Spin contributions to the gravitational-waveform modes for spin-aligned binaries at the 3.5PN order,” arXiv:2209.00374 [gr-qc].
  • [4017] K. Chatziioannou, E. Poisson, and N. Yunes, “Tidal heating and torquing of a Kerr black hole to next-to-leading order in the tidal coupling,” Phys. Rev. D 87 no. 4, (2013) 044022, arXiv:1211.1686 [gr-qc].
  • [4018] K. G. Arun, A. Buonanno, G. Faye, and E. Ochsner, “Higher-order spin effects in the amplitude and phase of gravitational waveforms emitted by inspiraling compact binaries: Ready-to-use gravitational waveforms,” Phys. Rev. D 79 (2009) 104023, arXiv:0810.5336 [gr-qc]. [Erratum: Phys.Rev.D 84, 049901 (2011)].
  • [4018] K. G. Arun, A. Buonanno, G. Faye, and E. Ochsner, “Higher-order spin effects in the amplitude and phase of gravitational waveforms emitted by inspiraling compact binaries: Ready-to-use gravitational waveforms,” Phys. Rev. D 79 (2009) 104023, arXiv:0810.5336 [gr-qc]. [Erratum: Phys.Rev.D 84, 049901 (2011)].
  • [4019] E. Poisson, “Gravitational waves from inspiraling compact binaries: The Quadrupole moment term,” Phys. Rev. D 57 (1998) 5287–5290, arXiv:gr-qc/9709032.
  • [4020] L. A. Gergely and Z. Keresztes, “Gravitational radiation reaction in compact binary systems: Contribution of the quadrupole - monopole interaction,” Phys. Rev. D 67 (2003) 024020, arXiv:gr-qc/0211027.
  • [4021] P. Jaranowski and G. Schäfer, “Dimensional regularization of local singularities in the 4th post-Newtonian two-point-mass Hamiltonian,” Phys. Rev. D 87 (2013) 081503, arXiv:1303.3225 [gr-qc].
  • [4022] P. Jaranowski and G. Schäfer, “Derivation of local-in-time fourth post-Newtonian ADM Hamiltonian for spinless compact binaries,” Phys. Rev. D 92 no. 12, (2015) 124043, arXiv:1508.01016 [gr-qc].
  • [4023] T. Damour, P. Jaranowski, and G. Schäfer, “Fourth post-Newtonian effective one-body dynamics,” Phys. Rev. D 91 no. 8, (2015) 084024, arXiv:1502.07245 [gr-qc].
  • [4024] T. Damour, P. Jaranowski, and G. Schäfer, “Conservative dynamics of two-body systems at the fourth post-Newtonian approximation of general relativity,” Phys. Rev. D 93 no. 8, (2016) 084014, arXiv:1601.01283 [gr-qc].
  • [4025] L. Bernard, L. Blanchet, A. Bohé, G. Faye, and S. Marsat, “Fokker action of nonspinning compact binaries at the fourth post-Newtonian approximation,” Phys. Rev. D 93 no. 8, (2016) 084037, arXiv:1512.02876 [gr-qc].
  • [4026] L. Bernard, L. Blanchet, A. Bohé, G. Faye, and S. Marsat, “Energy and periastron advance of compact binaries on circular orbits at the fourth post-Newtonian order,” Phys. Rev. D 95 no. 4, (2017) 044026, arXiv:1610.07934 [gr-qc].
  • [4027] T. Marchand, L. Bernard, L. Blanchet, and G. Faye, “Ambiguity-Free Completion of the Equations of Motion of Compact Binary Systems at the Fourth Post-Newtonian Order,” Phys. Rev. D 97 no. 4, (2018) 044023, arXiv:1707.09289 [gr-qc].
  • [4028] L. Bernard, L. Blanchet, G. Faye, and T. Marchand, “Center-of-Mass Equations of Motion and Conserved Integrals of Compact Binary Systems at the Fourth Post-Newtonian Order,” Phys. Rev. D 97 no. 4, (2018) 044037, arXiv:1711.00283 [gr-qc].
  • [4029] S. Foffa and R. Sturani, “Dynamics of the gravitational two-body problem at fourth post-Newtonian order and at quadratic order in the Newton constant,” Phys. Rev. D 87 no. 6, (2013) 064011, arXiv:1206.7087 [gr-qc].
  • [4030] S. Foffa and R. Sturani, “Conservative dynamics of binary systems to fourth Post-Newtonian order in the EFT approach I: Regularized Lagrangian,” Phys. Rev. D 100 no. 2, (2019) 024047, arXiv:1903.05113 [gr-qc]. – 823 –
  • [4031] J. Blümlein, A. Maier, P. Marquard, and G. Schäfer, “Fourth post-Newtonian Hamiltonian dynamics of two-body systems from an effective field theory approach,” Nucl. Phys. B 955 (2020) 115041, arXiv:2003.01692 [gr-qc].
  • [4032] A. K. Leibovich, B. A. Pardo, and Z. Yang, “Radiation Reaction for Non-Spinning Bodies at 4.5PN in the Effective Field Theory Approach,” arXiv:2302.11016 [gr-qc].
  • [4033] J. Blümlein, A. Maier, P. Marquard, and G. Schäfer, “The fifth-order post-Newtonian Hamiltonian dynamics of two-body systems from an effective field theory approach: potential contributions,” Nucl. Phys. B 965 (2021) 115352, arXiv:2010.13672 [gr-qc].
  • [4034] L. Blanchet, S. Foffa, F. Larrouturou, and R. Sturani, “Logarithmic tail contributions to the energy function of circular compact binaries,” Phys. Rev. D 101 no. 8, (2020) 084045, arXiv:1912.12359 [gr-qc].
  • [4035] Y. Itoh and T. Futamase, “New derivation of a third postNewtonian equation of motion for relativistic compact binaries without ambiguity,” Phys. Rev. D 68 (2003) 121501, arXiv:gr-qc/0310028.
  • [4036] S. M. Kopeikin, “The equations of motion of extended bodies in general-relativity with conservative corrections and radiation damping taken into account,” Astron. Zh. 62 (1985) 889.
  • [4037] K. Thorne, “Multipole Expansions of Gravitational Radiation,” Rev. Mod. Phys. 52 (1980) 299–339.
  • [4038] A. Einstein, “Über Gravitationswellen,” Sitzungsber. Preuss. Akad. Wiss. Berlin (Math. Phys. ) 1918 (1918) 154–167.
  • [4039] L. Blanchet, G. Faye, B. R. Iyer, and B. Joguet, “Gravitational wave inspiral of compact binary systems to 7/2 postNewtonian order,” Phys. Rev. D 65 (2002) 061501, arXiv:gr-qc/0105099. [Erratum: Phys.Rev.D 71, 129902 (2005)].
  • [4039] L. Blanchet, G. Faye, B. R. Iyer, and B. Joguet, “Gravitational wave inspiral of compact binary systems to 7/2 postNewtonian order,” Phys. Rev. D 65 (2002) 061501, arXiv:gr-qc/0105099. [Erratum: Phys.Rev.D 71, 129902 (2005)].
  • [4040] G. Faye, S. Marsat, L. Blanchet, and B. R. Iyer, “The third and a half post-Newtonian gravitational wave quadrupole mode for quasi-circular inspiralling compact binaries,” Class. Quant. Grav. 29 (2012) 175004, arXiv:1204.1043 [gr-qc].
  • [4041] G. Faye, L. Blanchet, and B. R. Iyer, “Non-linear multipole interactions and gravitational-wave octupole modes for inspiralling compact binaries to third-and-a-half post-Newtonian order,” Class. Quant. Grav. 32 no. 4, (2015) 045016, arXiv:1409.3546 [gr-qc].
  • [4042] L. Blanchet, G. Faye, B. R. Iyer, and S. Sinha, “The Third post-Newtonian gravitational wave polarisations and associated spherical harmonic modes for inspiralling compact binaries in quasi-circular orbits,” Class. Quant. Grav. 25 (2008) 165003, arXiv:0802.1249 [gr-qc]. [Erratum: Class.Quant.Grav. 29, 239501 (2012)].
  • [4042] L. Blanchet, G. Faye, B. R. Iyer, and S. Sinha, “The Third post-Newtonian gravitational wave polarisations and associated spherical harmonic modes for inspiralling compact binaries in quasi-circular orbits,” Class. Quant. Grav. 25 (2008) 165003, arXiv:0802.1249 [gr-qc]. [Erratum: Class.Quant.Grav. 29, 239501 (2012)].
  • [4043] Q. Henry, G. Faye, and L. Blanchet, “The current-type quadrupole moment and gravitational-wave mode (ℓ, m) = (2, 1) of compact binary systems at the third post-Newtonian order,” Class. Quant. Grav. 38 no. 18, (2021) 185004, arXiv:2105.10876 [gr-qc].
  • [4044] T. Marchand, Q. Henry, F. Larrouturou, S. Marsat, G. Faye, and L. Blanchet, “The mass quadrupole moment of compact binary systems at the fourth post-Newtonian order,” Class. Quant. Grav. 37 no. 21, (2020) 215006, arXiv:2003.13672 [gr-qc].
  • [4045] F. Larrouturou, Q. Henry, L. Blanchet, and G. Faye, “The quadrupole moment of compact binaries to the fourth post-Newtonian order: I. Non-locality in time and infra-red divergencies,” Class. Quant. Grav. 39 no. 11, (2022) 115007, arXiv:2110.02240 [gr-qc].
  • [4046] F. Larrouturou, L. Blanchet, Q. Henry, and G. Faye, “The quadrupole moment of compact binaries to the fourth post-Newtonian order: II. Dimensional regularization and – 824 – renormalization,” Class. Quant. Grav. 39 no. 11, (2022) 115008, arXiv:2110.02243 [gr-qc].
  • [4047] L. Blanchet, G. Faye, and F. Larrouturou, “The quadrupole moment of compact binaries to the fourth post-Newtonian order: from source to canonical moment,” Class. Quant. Grav. 39 no. 19, (2022) 195003, arXiv:2204.11293 [gr-qc].
  • [4048] D. Trestini, F. Larrouturou, and L. Blanchet, “The Quadrupole Moment of Compact Binaries to the Fourth post-Newtonian Order: Relating the Harmonic and Radiative Metrics,” arXiv:2209.02719 [gr-qc].
  • [4049] D. Trestini and L. Blanchet, “Gravitational-Wave Tails of Memory,” arXiv:2301.09395 [gr-qc].
  • [4050] T. Marchand, L. Blanchet, and G. Faye, “Gravitational-wave tail effects to quartic non-linear order,” Class. Quant. Grav. 33 no. 24, (2016) 244003, arXiv:1607.07601 [gr-qc].
  • [4051] L. Blanchet, G. Faye, Q. Henry, F. Larrouturou, and D. Trestini, “Gravitational Wave Flux and Quadrupole Modes from Quasi-Circular Non-Spinning Compact Binaries to the Fourth Post-Newtonian Order,” arXiv:2304.11186 [gr-qc].
  • [4052] F. Messina and A. Nagar, “Parametrized-4.5PN TaylorF2 approximants and tail effects to quartic nonlinear order from the effective one body formalism,” Phys. Rev. D 95 no. 12, (2017) 124001, arXiv:1703.08107 [gr-qc]. [Erratum: Phys.Rev.D 96, 049907 (2017)].
  • [4052] F. Messina and A. Nagar, “Parametrized-4.5PN TaylorF2 approximants and tail effects to quartic nonlinear order from the effective one body formalism,” Phys. Rev. D 95 no. 12, (2017) 124001, arXiv:1703.08107 [gr-qc]. [Erratum: Phys.Rev.D 96, 049907 (2017)].
  • [4053] A. K. Leibovich, N. T. Maia, I. Z. Rothstein, and Z. Yang, “Second post-Newtonian order radiative dynamics of inspiralling compact binaries in the Effective Field Theory approach,” Phys. Rev. D 101 no. 8, (2020) 084058, arXiv:1912.12546 [gr-qc].
  • [4054] C. M. Will and A. G. Wiseman, “Gravitational radiation from compact binary systems: Gravitational wave forms and energy loss to second postNewtonian order,” Phys. Rev. D 54 (1996) 4813–4848, arXiv:gr-qc/9608012.
  • [4055] E. Poisson and M. Sasaki, “Gravitational radiation from a particle in circular orbit around a black hole. 5: Black hole absorption and tail corrections,” Phys. Rev. D 51 (1995) 5753–5767, arXiv:gr-qc/9412027.
  • [4056] H. Tagoshi, S. Mano, and E. Takasugi, “PostNewtonian expansion of gravitational waves from a particle in circular orbits around a rotating black hole: Effects of black hole absorption,” Prog. Theor. Phys. 98 (1997) 829–850, arXiv:gr-qc/9711072.
  • [4057] K. Alvi, “Energy and angular momentum flow into a black hole in a binary,” Phys. Rev. D 64 (2001) 104020, arXiv:gr-qc/0107080.
  • [4058] M. V. S. Saketh, J. Steinhoff, J. Vines, and A. Buonanno, “Modeling horizon absorption in spinning binary black holes using effective worldline theory,” arXiv:2212.13095 [gr-qc].
  • [4059] L. E. Kidder, “Coalescing binary systems of compact objects to postNewtonian 5/2 order. 5. Spin effects,” Phys. Rev. D 52 (1995) 821–847, arXiv:gr-qc/9506022.
  • [4060] L. A. Gergely and Z. Keresztes, “Spinning compact binary dynamics and chameleon orbits,” Phys. Rev. D 91 no. 2, (2015) 024012, arXiv:1411.4057 [gr-qc].
  • [4061] L. A. Gergely, Z. I. Perjes, and M. Vasuth, “Spin effects in gravitational radiation back reaction. 3. Compact binaries with two spinning components,” Phys. Rev. D 58 (1998) 124001, arXiv:gr-qc/9808063.
  • [4062] L. A. Gergely, “Spin spin effects in radiating compact binaries,” Phys. Rev. D 61 (2000) 024035, arXiv:gr-qc/9911082.
  • [4063] G. Faye, L. Blanchet, and A. Buonanno, “Higher-order spin effects in the dynamics of compact binaries. I. Equations of motion,” Phys. Rev. D 74 (2006) 104033, arXiv:gr-qc/0605139. – 825 –
  • [4064] L. Blanchet, A. Buonanno, and G. Faye, “Higher-order spin effects in the dynamics of compact binaries. II. Radiation field,” Phys. Rev. D 74 (2006) 104034, arXiv:gr-qc/0605140. [Erratum: Phys.Rev.D 75, 049903 (2007), Erratum: Phys.Rev.D 81, 089901 (2010)].
  • [4064] L. Blanchet, A. Buonanno, and G. Faye, “Higher-order spin effects in the dynamics of compact binaries. II. Radiation field,” Phys. Rev. D 74 (2006) 104034, arXiv:gr-qc/0605140. [Erratum: Phys.Rev.D 75, 049903 (2007), Erratum: Phys.Rev.D 81, 089901 (2010)].
  • [4064] L. Blanchet, A. Buonanno, and G. Faye, “Higher-order spin effects in the dynamics of compact binaries. II. Radiation field,” Phys. Rev. D 74 (2006) 104034, arXiv:gr-qc/0605140. [Erratum: Phys.Rev.D 75, 049903 (2007), Erratum: Phys.Rev.D 81, 089901 (2010)].
  • [4065] A. Bohé, S. Marsat, and L. Blanchet, “Next-to-next-to-leading order spin–orbit effects in the gravitational wave flux and orbital phasing of compact binaries,” Class. Quant. Grav. 30 (2013) 135009, arXiv:1303.7412 [gr-qc].
  • [4066] A. Bohe, S. Marsat, G. Faye, and L. Blanchet, “Next-to-next-to-leading order spin-orbit effects in the near-zone metric and precession equations of compact binaries,” Class. Quant. Grav. 30 (2013) 075017, arXiv:1212.5520 [gr-qc].
  • [4067] R. A. Porto and I. Z. Rothstein, “The Hyperfine Einstein-Infeld-Hoffmann potential,” Phys. Rev. Lett. 97 (2006) 021101, arXiv:gr-qc/0604099.
  • [4068] R. A. Porto and I. Z. Rothstein, “Spin(1)Spin(2) Effects in the Motion of Inspiralling Compact Binaries at Third Order in the Post-Newtonian Expansion,” Phys. Rev. D 78 (2008) 044012, arXiv:0802.0720 [gr-qc]. [Erratum: Phys.Rev.D 81, 029904 (2010)].
  • [4068] R. A. Porto and I. Z. Rothstein, “Spin(1)Spin(2) Effects in the Motion of Inspiralling Compact Binaries at Third Order in the Post-Newtonian Expansion,” Phys. Rev. D 78 (2008) 044012, arXiv:0802.0720 [gr-qc]. [Erratum: Phys.Rev.D 81, 029904 (2010)].
  • [4069] R. A. Porto and I. Z. Rothstein, “Next to Leading Order Spin(1)Spin(1) Effects in the Motion of Inspiralling Compact Binaries,” Phys. Rev. D 78 (2008) 044013, arXiv:0804.0260 [gr-qc]. [Erratum: Phys.Rev.D 81, 029905 (2010)].
  • [4069] R. A. Porto and I. Z. Rothstein, “Next to Leading Order Spin(1)Spin(1) Effects in the Motion of Inspiralling Compact Binaries,” Phys. Rev. D 78 (2008) 044013, arXiv:0804.0260 [gr-qc]. [Erratum: Phys.Rev.D 81, 029905 (2010)].
  • [4070] M. Levi and Z. Yin, “Completing the fifth PN precision frontier via the EFT of spinning gravitating objects,” JHEP 04 (2023) 079, arXiv:2211.14018 [hep-th].
  • [4071] S. Marsat, A. Bohé, L. Blanchet, and A. Buonanno, “Next-to-leading tail-induced spin–orbit effects in the gravitational radiation flux of compact binaries,” Class. Quant. Grav. 31 (2014) 025023, arXiv:1307.6793 [gr-qc].
  • [4072] N. T. Maia, C. R. Galley, A. K. Leibovich, and R. A. Porto, “Radiation reaction for spinning bodies in effective field theory I: Spin-orbit effects,” Phys. Rev. D 96 no. 8, (2017) 084064, arXiv:1705.07934 [gr-qc].
  • [4073] N. T. Maia, C. R. Galley, A. K. Leibovich, and R. A. Porto, “Radiation reaction for spinning bodies in effective field theory II: Spin-spin effects,” Phys. Rev. D 96 no. 8, (2017) 084065, arXiv:1705.07938 [gr-qc].
  • [4074] R. A. Porto, A. Ross, and I. Z. Rothstein, “Spin induced multipole moments for the gravitational wave amplitude from binary inspirals to 2.5 Post-Newtonian order,” JCAP 09 (2012) 028, arXiv:1203.2962 [gr-qc].
  • [4075] C. K. Mishra, A. Kela, K. G. Arun, and G. Faye, “Ready-to-use post-Newtonian gravitational waveforms for binary black holes with nonprecessing spins: An update,” Phys. Rev. D 93 no. 8, (2016) 084054, arXiv:1601.05588 [gr-qc].
  • [4076] N. Siemonsen, J. Steinhoff, and J. Vines, “Gravitational waves from spinning binary black holes at the leading post-Newtonian orders at all orders in spin,” Phys. Rev. D 97 no. 12, (2018) 124046, arXiv:1712.08603 [gr-qc].
  • [4077] T. Damour, A. Gopakumar, and B. R. Iyer, “Phasing of gravitational waves from inspiralling eccentric binaries,” Phys. Rev. D 70 (2004) 064028, arXiv:gr-qc/0404128.
  • [4078] R.-M. Memmesheimer, A. Gopakumar, and G. Schaefer, “Third post-Newtonian accurate generalized quasi-Keplerian parametrization for compact binaries in eccentric orbits,” Phys. Rev. D 70 (2004) 104011, arXiv:gr-qc/0407049.
  • [4079] K. G. Arun, L. Blanchet, B. R. Iyer, and M. S. S. Qusailah, “Tail effects in the 3PN gravitational wave energy flux of compact binaries in quasi-elliptical orbits,” Phys. Rev. D 77 (2008) 064034, arXiv:0711.0250 [gr-qc]. – 826 –
  • [4080] K. G. Arun, L. Blanchet, B. R. Iyer, and M. S. S. Qusailah, “Inspiralling compact binaries in quasi-elliptical orbits: The Complete 3PN energy flux,” Phys. Rev. D 77 (2008) 064035, arXiv:0711.0302 [gr-qc].
  • [4081] K. G. Arun, L. Blanchet, B. R. Iyer, and S. Sinha, “Third post-Newtonian angular momentum flux and the secular evolution of orbital elements for inspiralling compact binaries in quasi-elliptical orbits,” Phys. Rev. D 80 (2009) 124018, arXiv:0908.3854 [gr-qc].
  • [4082] G. Cho, S. Tanay, A. Gopakumar, and H. M. Lee, “Generalized quasi-Keplerian solution for eccentric, nonspinning compact binaries at 4PN order and the associated inspiral-merger-ringdown waveform,” Phys. Rev. D 105 no. 6, (2022) 064010, arXiv:2110.09608 [gr-qc].
  • [4083] C. K. Mishra, K. G. Arun, and B. R. Iyer, “Third post-Newtonian gravitational waveforms for compact binary systems in general orbits: Instantaneous terms,” Phys. Rev. D 91 no. 8, (2015) 084040, arXiv:1501.07096 [gr-qc].
  • [4084] Y. Boetzel, C. K. Mishra, G. Faye, A. Gopakumar, and B. R. Iyer, “Gravitational-wave amplitudes for compact binaries in eccentric orbits at the third post-Newtonian order: Tail contributions and postadiabatic corrections,” Phys. Rev. D 100 no. 4, (2019) 044018, arXiv:1904.11814 [gr-qc].
  • [4085] M. Ebersold, Y. Boetzel, G. Faye, C. K. Mishra, B. R. Iyer, and P. Jetzer, “Gravitational-wave amplitudes for compact binaries in eccentric orbits at the third post-Newtonian order: Memory contributions,” Phys. Rev. D 100 no. 8, (2019) 084043, arXiv:1906.06263 [gr-qc].
  • [4086] A. Klein and P. Jetzer, “Spin effects in the phasing of gravitational waves from binaries on eccentric orbits,” Phys. Rev. D 81 (2010) 124001, arXiv:1005.2046 [gr-qc].
  • [4087] M. Tessmer, J. Hartung, and G. Schafer, “Motion and gravitational wave forms of eccentric compact binaries with orbital-angular-momentum-aligned spins under next-to-leading order in spin-orbit and leading order in spin(1)-spin(2) and spin-squared couplings,” Class. Quant. Grav. 27 (2010) 165005, arXiv:1003.2735 [gr-qc].
  • [4088] M. Tessmer, J. Hartung, and G. Schafer, “Aligned Spins: Orbital Elements, Decaying Orbits, and Last Stable Circular Orbit to high post-Newtonian Orders,” Class. Quant. Grav. 30 (2013) 015007, arXiv:1207.6961 [gr-qc].
  • [4089] M. Khalil, A. Buonanno, J. Steinhoff, and J. Vines, “Radiation-reaction force and multipolar waveforms for eccentric, spin-aligned binaries in the effective-one-body formalism,” Phys. Rev. D 104 no. 2, (2021) 024046, arXiv:2104.11705 [gr-qc].
  • [4090] Q. Henry and M. Khalil, “Spin effects in gravitational waveforms and fluxes for binaries on eccentric orbits to the third post-Newtonian order,” arXiv:2308.13606 [gr-qc].
  • [4091] L. A. Gergely, “Spinning compact binary inspiral: Independent variables and dynamically preserved spin configurations,” Phys. Rev. D 81 (2010) 084025, arXiv:0912.0459 [gr-qc].
  • [4092] L. A. Gergely, “Spinning compact binary inspiral II: Conservative angular dynamics,” Phys. Rev. D 82 (2010) 104031, arXiv:1005.5330 [gr-qc].
  • [4093] A. Klein, “EFPE: Efficient fully precessing eccentric gravitational waveforms for binaries with long inspirals,” arXiv:2106.10291 [gr-qc].
  • [4094] K. Paul and C. K. Mishra, “Spin effects in Spherical Harmonic Modes of Gravitational Waves from Eccentric Compact Binary Inspirals,” arXiv:2211.04155 [gr-qc].
  • [4095] Z. Liu, R. A. Porto, and Z. Yang, “Spin Effects in the Effective Field Theory Approach to Post-Minkowskian Conservative Dynamics,” JHEP 06 (2021) 012, arXiv:2102.10059 [hep-th]. – 827 –
  • [4096] G. U. Jakobsen, G. Mogull, J. Plefka, and J. Steinhoff, “SUSY in the sky with gravitons,” JHEP 01 (2022) 027, arXiv:2109.04465 [hep-th].
  • [4097] Z. Bern, J. Parra-Martinez, R. Roiban, M. S. Ruf, C.-H. Shen, M. P. Solon, and M. Zeng, “Scattering Amplitudes and Conservative Binary Dynamics at O(G4 ),” Phys. Rev. Lett. 126 no. 17, (2021) 171601, arXiv:2101.07254 [hep-th].
  • [4098] P. H. Damgaard, E. R. Hansen, L. Planté, and P. Vanhove, “Classical observables from the exponential representation of the gravitational S-matrix,” JHEP 09 (2023) 183, arXiv:2307.04746 [hep-th].
  • [4099] R. Aoude, K. Haddad, and A. Helset, “Classical Gravitational Spinning-Spinless Scattering at O(G2S∞),” Phys. Rev. Lett. 129 no. 14, (2022) 141102, arXiv:2205.02809 [hep-th].
  • [4100] D. Bini, T. Damour, S. De Angelis, A. Geralico, A. Herderschee, R. Roiban, and F. Teng, “Gravitational Waveform: A Tale of Two Formalisms,” arXiv:2402.06604 [hep-th].
  • [4101] A. Georgoudis, C. Heissenberg, and R. Russo, “Post-Newtonian Multipoles from the Next-to-Leading Post-Minkowskian Gravitational Waveform,” arXiv:2402.06361 [hep-th].
  • [4102] A. Brandhuber, G. R. Brown, G. Chen, S. De Angelis, J. Gowdy, and G. Travaglini, “One-loop gravitational bremsstrahlung and waveforms from a heavy-mass effective field theory,” JHEP 06 (2023) 048, arXiv:2303.06111 [hep-th].
  • [4103] M. V. S. Saketh, Z. Zhou, and M. M. Ivanov, “Dynamical tidal response of Kerr black holes from scattering amplitudes,” Phys. Rev. D 109 no. 6, (2024) 064058, arXiv:2307.10391 [hep-th].
  • [4104] G. U. Jakobsen, G. Mogull, J. Plefka, and B. Sauer, “Tidal effects and renormalization at fourth post-Minkowskian order,” Phys. Rev. D 109 no. 4, (2024) L041504, arXiv:2312.00719 [hep-th].
  • [4105] J. Blümlein, A. Maier, P. Marquard, and G. Schäfer, “The fifth-order post-Newtonian Hamiltonian dynamics of two-body systems from an effective field theory approach,” Nucl. Phys. B 983 (2022) 115900, arXiv:2110.13822 [gr-qc]. [Erratum: Nucl.Phys.B 985, 115991 (2022)].
  • [4105] J. Blümlein, A. Maier, P. Marquard, and G. Schäfer, “The fifth-order post-Newtonian Hamiltonian dynamics of two-body systems from an effective field theory approach,” Nucl. Phys. B 983 (2022) 115900, arXiv:2110.13822 [gr-qc]. [Erratum: Nucl.Phys.B 985, 115991 (2022)].
  • [4106] G. L. Almeida, S. Foffa, and R. Sturani, “Gravitational radiation contributions to the two-body scattering angle,” Phys. Rev. D 107 no. 2, (2023) 024020, arXiv:2209.11594 [gr-qc].
  • [4107] G. L. Almeida, A. Müller, S. Foffa, and R. Sturani, “Conservative binary dynamics from gravitational tail emission processes,” Phys. Rev. D 108 no. 12, (2023) 124010, arXiv:2307.05327 [gr-qc].
  • [4108] Q. Henry and F. Larrouturou, “Conservative tail and failed-tail effects at the fifth post-Newtonian order,” Phys. Rev. D 108 no. 8, (2023) 084048, arXiv:2307.05860 [gr-qc].
  • [4109] N. Yunes, K. G. Arun, E. Berti, and C. M. Will, “Post-Circular Expansion of Eccentric Binary Inspirals: Fourier-Domain Waveforms in the Stationary Phase Approximation,” Phys. Rev. D 80 no. 8, (2009) 084001, arXiv:0906.0313 [gr-qc]. [Erratum: Phys.Rev.D 89, 109901 (2014)].
  • [4109] N. Yunes, K. G. Arun, E. Berti, and C. M. Will, “Post-Circular Expansion of Eccentric Binary Inspirals: Fourier-Domain Waveforms in the Stationary Phase Approximation,” Phys. Rev. D 80 no. 8, (2009) 084001, arXiv:0906.0313 [gr-qc]. [Erratum: Phys.Rev.D 89, 109901 (2014)].
  • [4110] S. Tanay, M. Haney, and A. Gopakumar, “Frequency and time domain inspiral templates for comparable mass compact binaries in eccentric orbits,” Phys. Rev. D 93 no. 6, (2016) 064031, arXiv:1602.03081 [gr-qc].
  • [4111] B. Moore, M. Favata, K. G. Arun, and C. K. Mishra, “Gravitational-wave phasing for low-eccentricity inspiralling compact binaries to 3PN order,” Phys. Rev. D 93 no. 12, (2016) 124061, arXiv:1605.00304 [gr-qc]. – 828 –
  • [4112] S. Tiwari, G. Achamveedu, M. Haney, and P. Hemantakumar, “Ready-to-use Fourier domain templates for compact binaries inspiraling along moderately eccentric orbits,” Phys. Rev. D 99 no. 12, (2019) 124008, arXiv:1905.07956 [gr-qc].
  • [4113] B. Moore, T. Robson, N. Loutrel, and N. Yunes, “Towards a Fourier domain waveform for non-spinning binaries with arbitrary eccentricity,” Class. Quant. Grav. 35 no. 23, (2018) 235006, arXiv:1807.07163 [gr-qc].
  • [4114] B. Moore and N. Yunes, “A 3PN Fourier Domain Waveform for Non-Spinning Binaries with Moderate Eccentricity,” Class. Quant. Grav. 36 no. 18, (2019) 185003, arXiv:1903.05203 [gr-qc].
  • [4115] A. Klein, Y. Boetzel, A. Gopakumar, P. Jetzer, and L. de Vittori, “Fourier domain gravitational waveforms for precessing eccentric binaries,” Phys. Rev. D 98 no. 10, (2018) 104043, arXiv:1801.08542 [gr-qc].
  • [4116] M. Vasuth, Z. Keresztes, A. Mihaly, and L. A. Gergely, “Gravitational radiation reaction in compact binary systems: Contribution of the magnetic dipole - magnetic dipole interaction,” Phys. Rev. D 68 (2003) 124006, arXiv:gr-qc/0308051.
  • [4117] Q. Henry, F. Larrouturou, and C. Le Poncin-Lafitte, “Electromagnetic fields in compact binaries: a post-Newtonian approach,” arXiv:2303.17536 [gr-qc].
  • [4118] N. Warburton, A. Pound, B. Wardell, J. Miller, and L. Durkan, “Gravitational-Wave Energy Flux for Compact Binaries through Second Order in the Mass Ratio,” Phys. Rev. Lett. 127 no. 15, (2021) 151102, arXiv:2107.01298 [gr-qc].
  • [4119] T. Damour, “GRAVITATIONAL RADIATION AND THE MOTION OF COMPACT BODIES,” in Les Houches Summer School on Gravitational Radiation. 8, 1982.
  • [4120] A. Bourgoin, C. Le Poncin-Lafitte, S. Mathis, and M.-C. Angonin, “Dipolar magnetic fields in binaries and gravitational waves,” in Semaine de l’astrophysique française 2021. 9, 2021. arXiv:2109.06611 [gr-qc].
  • [4121] N. Warburton, B. Wardell, D. Trestini, Q. Henry, A. Pound, L. Blanchet, L. Durkan, G. Faye, and J. Miller, “Comparison of 4.5PN and 2SF gravitational energy fluxes from quasicircular compact binaries,” arXiv:2407.00366 [gr-qc].
  • [4122] E. Poisson, A. Pound, and I. Vega, “The Motion of point particles in curved spacetime,” Living Rev. Rel. 14 (2011) 7, arXiv:1102.0529 [gr-qc].
  • [4123] A. I. Harte, “Motion in classical field theories and the foundations of the self-force problem,” Fund. Theor. Phys. 179 (2015) 327–398, arXiv:1405.5077 [gr-qc].
  • [4124] A. Pound, “Motion of small objects in curved spacetimes: An introduction to gravitational self-force,” Fund. Theor. Phys. 179 (2015) 399–486, arXiv:1506.06245 [gr-qc].
  • [4125] A. Pound and B. Wardell, “Black hole perturbation theory and gravitational self-force,” arXiv:2101.04592 [gr-qc].
  • [4126] Y. Mino, M. Sasaki, and T. Tanaka, “Gravitational radiation reaction to a particle motion,” Phys. Rev. D 55 (1997) 3457–3476, arXiv:gr-qc/9606018.
  • [4127] T. C. Quinn and R. M. Wald, “An Axiomatic approach to electromagnetic and gravitational radiation reaction of particles in curved space-time,” Phys. Rev. D 56 (1997) 3381–3394, arXiv:gr-qc/9610053.
  • [4128] S. L. Detweiler, “Radiation reaction and the selfforce for a point mass in general relativity,” Phys. Rev. Lett. 86 (2001) 1931–1934, arXiv:gr-qc/0011039.
  • [4129] S. L. Detweiler and B. F. Whiting, “Selfforce via a Green’s function decomposition,” Phys. Rev. D 67 (2003) 024025, arXiv:gr-qc/0202086. – 829 –
  • [4130] S. E. Gralla and R. M. Wald, “A Rigorous Derivation of Gravitational Self-force,” Class. Quant. Grav. 25 (2008) 205009, arXiv:0806.3293 [gr-qc]. [Erratum: Class.Quant.Grav. 28, 159501 (2011)].
  • [4130] S. E. Gralla and R. M. Wald, “A Rigorous Derivation of Gravitational Self-force,” Class. Quant. Grav. 25 (2008) 205009, arXiv:0806.3293 [gr-qc]. [Erratum: Class.Quant.Grav. 28, 159501 (2011)].
  • [4131] A. Pound, “Self-consistent gravitational self-force,” Phys. Rev. D 81 (2010) 024023, arXiv:0907.5197 [gr-qc].
  • [4132] S. E. Gralla, “Gauge and Averaging in Gravitational Self-force,” Phys. Rev. D 84 (2011) 084050, arXiv:1104.5635 [gr-qc].
  • [4133] A. I. Harte, “Mechanics of extended masses in general relativity,” Class. Quant. Grav. 29 (2012) 055012, arXiv:1103.0543 [gr-qc].
  • [4134] S. Detweiler, “Gravitational radiation reaction and second order perturbation theory,” Phys. Rev. D 85 (2012) 044048, arXiv:1107.2098 [gr-qc].
  • [4135] A. Pound, “Second-order gravitational self-force,” Phys. Rev. Lett. 109 (2012) 051101, arXiv:1201.5089 [gr-qc].
  • [4136] S. E. Gralla, “Second Order Gravitational Self Force,” Phys. Rev. D 85 (2012) 124011, arXiv:1203.3189 [gr-qc].
  • [4137] A. Pound, “Nonlinear gravitational self-force: second-order equation of motion,” Phys. Rev. D 95 no. 10, (2017) 104056, arXiv:1703.02836 [gr-qc].
  • [4138] S. D. Upton and A. Pound, “Second-order gravitational self-force in a highly regular gauge,” Phys. Rev. D 103 no. 12, (2021) 124016, arXiv:2101.11409 [gr-qc].
  • [4139] T. Regge and J. A. Wheeler, “Stability of a Schwarzschild singularity,” Phys. Rev. 108 (1957) 1063–1069.
  • [4140] F. J. Zerilli, “Gravitational field of a particle falling in a schwarzschild geometry analyzed in tensor harmonics,” Phys. Rev. D 2 (1970) 2141–2160.
  • [4141] S. A. Teukolsky, “Perturbations of a rotating black hole. 1. Fundamental equations for gravitational electromagnetic and neutrino field perturbations,” Astrophys. J. 185 (1973) 635–647.
  • [4142] R. M. Wald, “On perturbations of a Kerr black hole,” J. Math. Phys. 14 no. 10, (1973) 1453–1461.
  • [4143] P. L. Chrzanowski, “Vector Potential and Metric Perturbations of a Rotating Black Hole,” Phys. Rev. D 11 (1975) 2042–2062.
  • [4144] R. M. Wald, “Construction of Solutions of Gravitational, Electromagnetic, Or Other Perturbation Equations from Solutions of Decoupled Equations,” Phys. Rev. Lett. 41 (1978) 203–206.
  • [4145] L. S. Kegeles and J. M. Cohen, “CONSTRUCTIVE PROCEDURE FOR PERTURBATIONS OF SPACE-TIMES,” Phys. Rev. D 19 (1979) 1641–1664.
  • [4146] M. Campanelli and C. O. Lousto, “Second order gauge invariant gravitational perturbations of a Kerr black hole,” Phys. Rev. D 59 (1999) 124022, arXiv:gr-qc/9811019.
  • [4147] M. Sasaki and H. Tagoshi, “Analytic black hole perturbation approach to gravitational radiation,” Living Rev. Rel. 6 (2003) 6, arXiv:gr-qc/0306120.
  • [4148] K. Martel and E. Poisson, “Gravitational perturbations of the Schwarzschild spacetime: A Practical covariant and gauge-invariant formalism,” Phys. Rev. D 71 (2005) 104003, arXiv:gr-qc/0502028.
  • [4149] L. Barack and C. O. Lousto, “Perturbations of Schwarzschild black holes in the Lorenz gauge: Formulation and numerical implementation,” Phys. Rev. D 72 (2005) 104026, arXiv:gr-qc/0510019. – 830 –
  • [4150] D. Brizuela, J. M. Martin-Garcia, and M. Tiglio, “A Complete gauge-invariant formalism for arbitrary second-order perturbations of a Schwarzschild black hole,” Phys. Rev. D 80 (2009) 024021, arXiv:0903.1134 [gr-qc].
  • [4151] S. R. Green, S. Hollands, and P. Zimmerman, “Teukolsky formalism for nonlinear Kerr perturbations,” Class. Quant. Grav. 37 no. 7, (2020) 075001, arXiv:1908.09095 [gr-qc].
  • [4152] S. R. Dolan, C. Kavanagh, and B. Wardell, “Gravitational Perturbations of Rotating Black Holes in Lorenz Gauge,” Phys. Rev. Lett. 128 no. 15, (2022) 151101, arXiv:2108.06344 [gr-qc].
  • [4153] A. Spiers, A. Pound, and J. Moxon, “Second-order Teukolsky formalism in Kerr spacetime: Formulation and nonlinear source,” Phys. Rev. D 108 no. 6, (2023) 064002, arXiv:2305.19332 [gr-qc].
  • [4154] A. Spiers, A. Pound, and B. Wardell, “Second-order perturbations of the Schwarzschild spacetime: practical, covariant and gauge-invariant formalisms,” arXiv:2306.17847 [gr-qc].
  • [4155] A. J. K. Chua, M. L. Katz, N. Warburton, and S. A. Hughes, “Rapid generation of fully relativistic extreme-mass-ratio-inspiral waveform templates for LISA data analysis,” Phys. Rev. Lett. 126 no. 5, (2021) 051102, arXiv:2008.06071 [gr-qc].
  • [4156] J. Miller and A. Pound, “Two-timescale evolution of extreme-mass-ratio inspirals: waveform generation scheme for quasicircular orbits in Schwarzschild spacetime,” Phys. Rev. D 103 no. 6, (2021) 064048, arXiv:2006.11263 [gr-qc].
  • [4157] S. A. Hughes, N. Warburton, G. Khanna, A. J. K. Chua, and M. L. Katz, “Adiabatic waveforms for extreme mass-ratio inspirals via multivoice decomposition in time and frequency,” Phys. Rev. D 103 no. 10, (2021) 104014, arXiv:2102.02713 [gr-qc]. [Erratum: Phys.Rev.D 107, 089901 (2023)].
  • [4157] S. A. Hughes, N. Warburton, G. Khanna, A. J. K. Chua, and M. L. Katz, “Adiabatic waveforms for extreme mass-ratio inspirals via multivoice decomposition in time and frequency,” Phys. Rev. D 103 no. 10, (2021) 104014, arXiv:2102.02713 [gr-qc]. [Erratum: Phys.Rev.D 107, 089901 (2023)].
  • [4158] M. L. Katz, A. J. K. Chua, L. Speri, N. Warburton, and S. A. Hughes, “Fast extreme-mass-ratio-inspiral waveforms: New tools for millihertz gravitational-wave data analysis,” Phys. Rev. D 104 no. 6, (2021) 064047, arXiv:2104.04582 [gr-qc].
  • [4159] S. Isoyama, R. Fujita, A. J. K. Chua, H. Nakano, A. Pound, and N. Sago, “Adiabatic Waveforms from Extreme-Mass-Ratio Inspirals: An Analytical Approach,” Phys. Rev. Lett. 128 no. 23, (2022) 231101, arXiv:2111.05288 [gr-qc].
  • [4160] T. Hinderer and E. E. Flanagan, “Two timescale analysis of extreme mass ratio inspirals in Kerr. I. Orbital Motion,” Phys. Rev. D 78 (2008) 064028, arXiv:0805.3337 [gr-qc].
  • [4161] M. Van De Meent and N. Warburton, “Fast Self-forced Inspirals,” Class. Quant. Grav. 35 no. 14, (2018) 144003, arXiv:1802.05281 [gr-qc].
  • [4162] W. Schmidt, “Celestial mechanics in Kerr space-time,” Class. Quant. Grav. 19 (2002) 2743, arXiv:gr-qc/0202090.
  • [4163] Y. Mino, “Perturbative approach to an orbital evolution around a supermassive black hole,” Phys. Rev. D 67 (2003) 084027, arXiv:gr-qc/0302075.
  • [4164] R. Fujita and W. Hikida, “Analytical solutions of bound timelike geodesic orbits in Kerr spacetime,” Class. Quant. Grav. 26 (2009) 135002, arXiv:0906.1420 [gr-qc].
  • [4165] R. Grossman, J. Levin, and G. Perez-Giz, “The harmonic structure of generic Kerr orbits,” Phys. Rev. D 85 (2012) 023012, arXiv:1105.5811 [gr-qc].
  • [4166] L. V. Drummond and S. A. Hughes, “Precisely computing bound orbits of spinning bodies around black holes. I. General framework and results for nearly equatorial orbits,” Phys. Rev. D 105 no. 12, (2022) 124040, arXiv:2201.13334 [gr-qc]. – 831 –
  • [4167] L. V. Drummond and S. A. Hughes, “Precisely computing bound orbits of spinning bodies around black holes. II. Generic orbits,” Phys. Rev. D 105 no. 12, (2022) 124041, arXiv:2201.13335 [gr-qc].
  • [4168] V. Skoupy, G. Lukes-Gerakopoulos, L. V. Drummond, and S. A. Hughes, “Asymptotic gravitational-wave fluxes from a spinning test body on generic orbits around a Kerr black hole,” Phys. Rev. D 108 no. 4, (2023) 044041, arXiv:2303.16798 [gr-qc].
  • [4169] V. Witzany and G. A. Piovano, “Analytic solutions for the motion of spinning particles near spherically symmetric black holes and exotic compact objects,” arXiv:2308.00021 [gr-qc].
  • [4170] P. A. Sundararajan, G. Khanna, S. A. Hughes, and S. Drasco, “Towards adiabatic waveforms for inspiral into Kerr black holes: II. Dynamical sources and generic orbits,” Phys. Rev. D 78 (2008) 024022, arXiv:0803.0317 [gr-qc].
  • [4171] E. Barausse, A. Buonanno, S. A. Hughes, G. Khanna, S. O’Sullivan, and Y. Pan, “Modeling multipolar gravitational-wave emission from small mass-ratio mergers,” Phys. Rev. D 85 (2012) 024046, arXiv:1110.3081 [gr-qc].
  • [4172] A. Taracchini, A. Buonanno, G. Khanna, and S. A. Hughes, “Small mass plunging into a Kerr black hole: Anatomy of the inspiral-merger-ringdown waveforms,” Phys. Rev. D 90 no. 8, (2014) 084025, arXiv:1404.1819 [gr-qc].
  • [4173] N. E. M. Rifat, S. E. Field, G. Khanna, and V. Varma, “Surrogate model for gravitational wave signals from comparable and large-mass-ratio black hole binaries,” Phys. Rev. D 101 no. 8, (2020) 081502, arXiv:1910.10473 [gr-qc].
  • [4174] T. Islam, S. E. Field, S. A. Hughes, G. Khanna, V. Varma, M. Giesler, M. A. Scheel, L. E. Kidder, and H. P. Pfeiffer, “Surrogate model for gravitational wave signals from nonspinning, comparable-to large-mass-ratio black hole binaries built on black hole perturbation theory waveforms calibrated to numerical relativity,” Phys. Rev. D 106 no. 10, (2022) 104025, arXiv:2204.01972 [gr-qc].
  • [4175] W. H. Press and S. A. Teukolsky, “Perturbations of a Rotating Black Hole. II. Dynamical Stability of the Kerr Metric,” Astrophys. J. 185 (1973) 649–674.
  • [4176] S. A. Teukolsky and W. H. Press, “Perturbations of a rotating black hole. III - Interaction of the hole with gravitational and electromagnet ic radiation,” Astrophys. J. 193 (1974) 443–461.
  • [4177] D. V. Gal’tsov, “Radiation reaction in the Kerr gravitational field,” J. Phys. A 15 (1982) 3737–3749.
  • [4178] T. Nakamura, K. Oohara, and Y. Kojima, “General Relativistic Collapse to Black Holes and Gravitational Waves from Black Holes,” Prog. Theor. Phys. Suppl. 90 (1987) 1–218.
  • [4179] C. Cutler, D. Kennefick, and E. Poisson, “Gravitational radiation reaction for bound motion around a Schwarzschild black hole,” Phys. Rev. D 50 (1994) 3816–3835.
  • [4180] H. Tagoshi, “PostNewtonian expansion of gravitational waves from a particle in slightly eccentric orbit around a rotating black hole,” Prog. Theor. Phys. 93 (1995) 307–333. [Erratum: Prog.Theor.Phys. 118, 577–579 (2007)].
  • [4180] H. Tagoshi, “PostNewtonian expansion of gravitational waves from a particle in slightly eccentric orbit around a rotating black hole,” Prog. Theor. Phys. 93 (1995) 307–333. [Erratum: Prog.Theor.Phys. 118, 577–579 (2007)].
  • [4181] S. Mano, H. Suzuki, and E. Takasugi, “Analytic solutions of the Teukolsky equation and their low frequency expansions,” Prog. Theor. Phys. 95 (1996) 1079–1096, arXiv:gr-qc/9603020.
  • [4182] Y. Mino, M. Sasaki, M. Shibata, H. Tagoshi, and T. Tanaka, “Black hole perturbation: Chapter 1,” Prog. Theor. Phys. Suppl. 128 (1997) 1–121, arXiv:gr-qc/9712057.
  • [4183] S. A. Hughes, “The Evolution of circular, nonequatorial orbits of Kerr black holes due to gravitational wave emission,” Phys. Rev. D 61 no. 8, (2000) 084004, arXiv:gr-qc/9910091. [Erratum: Phys.Rev.D 63, 049902 (2001), Erratum: Phys.Rev.D 65, 069902 (2002), – 832 – Erratum: Phys.Rev.D 67, 089901 (2003), Erratum: Phys.Rev.D 78, 109902 (2008), Erratum: Phys.Rev.D 90, 109904 (2014)].
  • [4183] S. A. Hughes, “The Evolution of circular, nonequatorial orbits of Kerr black holes due to gravitational wave emission,” Phys. Rev. D 61 no. 8, (2000) 084004, arXiv:gr-qc/9910091. [Erratum: Phys.Rev.D 63, 049902 (2001), Erratum: Phys.Rev.D 65, 069902 (2002), – 832 – Erratum: Phys.Rev.D 67, 089901 (2003), Erratum: Phys.Rev.D 78, 109902 (2008), Erratum: Phys.Rev.D 90, 109904 (2014)].
  • [4183] S. A. Hughes, “The Evolution of circular, nonequatorial orbits of Kerr black holes due to gravitational wave emission,” Phys. Rev. D 61 no. 8, (2000) 084004, arXiv:gr-qc/9910091. [Erratum: Phys.Rev.D 63, 049902 (2001), Erratum: Phys.Rev.D 65, 069902 (2002), – 832 – Erratum: Phys.Rev.D 67, 089901 (2003), Erratum: Phys.Rev.D 78, 109902 (2008), Erratum: Phys.Rev.D 90, 109904 (2014)].
  • [4183] S. A. Hughes, “The Evolution of circular, nonequatorial orbits of Kerr black holes due to gravitational wave emission,” Phys. Rev. D 61 no. 8, (2000) 084004, arXiv:gr-qc/9910091. [Erratum: Phys.Rev.D 63, 049902 (2001), Erratum: Phys.Rev.D 65, 069902 (2002), – 832 – Erratum: Phys.Rev.D 67, 089901 (2003), Erratum: Phys.Rev.D 78, 109902 (2008), Erratum: Phys.Rev.D 90, 109904 (2014)].
  • [4183] S. A. Hughes, “The Evolution of circular, nonequatorial orbits of Kerr black holes due to gravitational wave emission,” Phys. Rev. D 61 no. 8, (2000) 084004, arXiv:gr-qc/9910091. [Erratum: Phys.Rev.D 63, 049902 (2001), Erratum: Phys.Rev.D 65, 069902 (2002), – 832 – Erratum: Phys.Rev.D 67, 089901 (2003), Erratum: Phys.Rev.D 78, 109902 (2008), Erratum: Phys.Rev.D 90, 109904 (2014)].
  • [4183] S. A. Hughes, “The Evolution of circular, nonequatorial orbits of Kerr black holes due to gravitational wave emission,” Phys. Rev. D 61 no. 8, (2000) 084004, arXiv:gr-qc/9910091. [Erratum: Phys.Rev.D 63, 049902 (2001), Erratum: Phys.Rev.D 65, 069902 (2002), – 832 – Erratum: Phys.Rev.D 67, 089901 (2003), Erratum: Phys.Rev.D 78, 109902 (2008), Erratum: Phys.Rev.D 90, 109904 (2014)].
  • [4184] L. S. Finn and K. S. Thorne, “Gravitational waves from a compact star in a circular, inspiral orbit, in the equatorial plane of a massive, spinning black hole, as observed by LISA,” Phys. Rev. D 62 (2000) 124021, arXiv:gr-qc/0007074.
  • [4185] K. Glampedakis and D. Kennefick, “Zoom and whirl: Eccentric equatorial orbits around spinning black holes and their evolution under gravitational radiation reaction,” Phys. Rev. D 66 (2002) 044002, arXiv:gr-qc/0203086.
  • [4186] K. Martel, “Gravitational wave forms from a point particle orbiting a Schwarzschild black hole,” Phys. Rev. D 69 (2004) 044025, arXiv:gr-qc/0311017.
  • [4187] E. Poisson, “Absorption of mass and angular momentum by a black hole: Time-domain formalisms for gravitational perturbations, and the small-hole / slow-motion approximation,” Phys. Rev. D 70 (2004) 084044, arXiv:gr-qc/0407050.
  • [4188] S. Drasco, E. E. Flanagan, and S. A. Hughes, “Computing inspirals in Kerr in the adiabatic regime. I. The Scalar case,” Class. Quant. Grav. 22 (2005) S801–846, arXiv:gr-qc/0505075.
  • [4189] S. Drasco and S. A. Hughes, “Gravitational wave snapshots of generic extreme mass ratio inspirals,” Phys. Rev. D 73 no. 2, (2006) 024027, arXiv:gr-qc/0509101. [Erratum: Phys.Rev.D 88, 109905 (2013), Erratum: Phys.Rev.D 90, 109905 (2014)].
  • [4189] S. Drasco and S. A. Hughes, “Gravitational wave snapshots of generic extreme mass ratio inspirals,” Phys. Rev. D 73 no. 2, (2006) 024027, arXiv:gr-qc/0509101. [Erratum: Phys.Rev.D 88, 109905 (2013), Erratum: Phys.Rev.D 90, 109905 (2014)].
  • [4189] S. Drasco and S. A. Hughes, “Gravitational wave snapshots of generic extreme mass ratio inspirals,” Phys. Rev. D 73 no. 2, (2006) 024027, arXiv:gr-qc/0509101. [Erratum: Phys.Rev.D 88, 109905 (2013), Erratum: Phys.Rev.D 90, 109905 (2014)].
  • [4190] N. Sago, T. Tanaka, W. Hikida, and H. Nakano, “Adiabatic radiation reaction to the orbits in Kerr spacetime,” Prog. Theor. Phys. 114 (2005) 509–514, arXiv:gr-qc/0506092.
  • [4191] N. Sago, T. Tanaka, W. Hikida, K. Ganz, and H. Nakano, “The Adiabatic evolution of orbital parameters in the Kerr spacetime,” Prog. Theor. Phys. 115 (2006) 873–907, arXiv:gr-qc/0511151.
  • [4192] Y. Mino, “Self-force in the radiation reaction formula,” Prog. Theor. Phys. 113 (2005) 733–761, arXiv:gr-qc/0506003.
  • [4193] S. A. Hughes, S. Drasco, E. E. Flanagan, and J. Franklin, “Gravitational radiation reaction and inspiral waveforms in the adiabatic limit,” Phys. Rev. Lett. 94 (2005) 221101, arXiv:gr-qc/0504015.
  • [4194] P. A. Sundararajan, G. Khanna, and S. A. Hughes, “Towards adiabatic waveforms for inspiral into Kerr black holes. I. A New model of the source for the time domain perturbation equation,” Phys. Rev. D 76 (2007) 104005, arXiv:gr-qc/0703028.
  • [4195] K. Ganz, W. Hikida, H. Nakano, N. Sago, and T. Tanaka, “Adiabatic Evolution of Three ‘Constants’ of Motion for Greatly Inclined Orbits in Kerr Spacetime,” Prog. Theor. Phys. 117 (2007) 1041–1066, arXiv:gr-qc/0702054.
  • [4196] R. Fujita, W. Hikida, and H. Tagoshi, “An Efficient Numerical Method for Computing Gravitational Waves Induced by a Particle Moving on Eccentric Inclined Orbits around a Kerr Black Hole,” Prog. Theor. Phys. 121 (2009) 843–874, arXiv:0904.3810 [gr-qc].
  • [4197] R. Fujita and B. R. Iyer, “Spherical harmonic modes of 5.5 post-Newtonian gravitational wave polarisations and associated factorised resummed waveforms for a particle in circular orbit around a Schwarzschild black hole,” Phys. Rev. D 82 (2010) 044051, arXiv:1005.2266 [gr-qc].
  • [4198] Y. Pan, A. Buonanno, R. Fujita, E. Racine, and H. Tagoshi, “Post-Newtonian factorized multipolar waveforms for spinning, non-precessing black-hole binaries,” Phys. Rev. D 83 (2011) 064003, arXiv:1006.0431 [gr-qc]. [Erratum: Phys.Rev.D 87, 109901 (2013)].
  • [4198] Y. Pan, A. Buonanno, R. Fujita, E. Racine, and H. Tagoshi, “Post-Newtonian factorized multipolar waveforms for spinning, non-precessing black-hole binaries,” Phys. Rev. D 83 (2011) 064003, arXiv:1006.0431 [gr-qc]. [Erratum: Phys.Rev.D 87, 109901 (2013)].
  • [4199] A. Zenginoglu and G. Khanna, “Null infinity waveforms from extreme-mass-ratio inspirals in Kerr spacetime,” Phys. Rev. X 1 (2011) 021017, arXiv:1108.1816 [gr-qc]. – 833 –
  • [4200] R. Fujita, “Gravitational Waves from a Particle in Circular Orbits around a Schwarzschild Black Hole to the 22nd Post-Newtonian Order,” Prog. Theor. Phys. 128 (2012) 971–992, arXiv:1211.5535 [gr-qc].
  • [4201] S. Isoyama, R. Fujita, H. Nakano, N. Sago, and T. Tanaka, “Evolution of the Carter constant for resonant inspirals into a Kerr black hole: I. The scalar case,” PTEP 2013 no. 6, (2013) 063E01, arXiv:1302.4035 [gr-qc].
  • [4202] R. Fujita, “Gravitational Waves from a Particle in Circular Orbits around a Rotating Black Hole to the 11th Post-Newtonian Order,” PTEP 2015 no. 3, (2015) 033E01, arXiv:1412.5689 [gr-qc].
  • [4203] A. G. Shah, “Gravitational-wave flux for a particle orbiting a Kerr black hole to 20th post-Newtonian order: a numerical approach,” Phys. Rev. D 90 no. 4, (2014) 044025, arXiv:1403.2697 [gr-qc].
  • [4204] N. Sago and R. Fujita, “Calculation of radiation reaction effect on orbital parameters in Kerr spacetime,” PTEP 2015 no. 7, (2015) 073E03, arXiv:1505.01600 [gr-qc].
  • [4205] S. E. Gralla, S. A. Hughes, and N. Warburton, “Inspiral into Gargantua,” Class. Quant. Grav. 33 no. 15, (2016) 155002, arXiv:1603.01221 [gr-qc]. [Erratum: Class.Quant.Grav. 37, 109501 (2020)].
  • [4205] S. E. Gralla, S. A. Hughes, and N. Warburton, “Inspiral into Gargantua,” Class. Quant. Grav. 33 no. 15, (2016) 155002, arXiv:1603.01221 [gr-qc]. [Erratum: Class.Quant.Grav. 37, 109501 (2020)].
  • [4206] S. Isoyama, R. Fujita, H. Nakano, N. Sago, and T. Tanaka, ““Flux-balance formulae” for extreme mass-ratio inspirals,” PTEP 2019 no. 1, (2019) 013E01, arXiv:1809.11118 [gr-qc].
  • [4207] O. Burke, J. R. Gair, and J. Simón, “Transition from Inspiral to Plunge: A Complete Near-Extremal Trajectory and Associated Waveform,” Phys. Rev. D 101 no. 6, (2020) 064026, arXiv:1909.12846 [gr-qc].
  • [4208] R. Fujita and M. Shibata, “Extreme mass ratio inspirals on the equatorial plane in the adiabatic order,” Phys. Rev. D 102 no. 6, (2020) 064005, arXiv:2008.13554 [gr-qc].
  • [4209] C. Munna, C. R. Evans, S. Hopper, and E. Forseth, “Determination of new coefficients in the angular momentum and energy fluxes at infinity to 9PN order for eccentric Schwarzschild extreme-mass-ratio inspirals using mode-by-mode fitting,” Phys. Rev. D 102 no. 2, (2020) 024047, arXiv:2005.03044 [gr-qc].
  • [4210] C. Munna and C. R. Evans, “Eccentric-orbit extreme-mass-ratio-inspiral radiation II: 1PN correction to leading-logarithm and subleading-logarithm flux sequences and the entire perturbative 4PN flux,” Phys. Rev. D 102 no. 10, (2020) 104006, arXiv:2009.01254 [gr-qc].
  • [4211] L. Barack and A. Ori, “Mode sum regularization approach for the selfforce in black hole space-time,” Phys. Rev. D 61 (2000) 061502, arXiv:gr-qc/9912010.
  • [4212] L. Barack, Y. Mino, H. Nakano, A. Ori, and M. Sasaki, “Calculating the gravitational selfforce in Schwarzschild space-time,” Phys. Rev. Lett. 88 (2002) 091101, arXiv:gr-qc/0111001.
  • [4213] L. Barack and A. Ori, “Regularization parameters for the selfforce in Schwarzschild space-time. 2. Gravitational and electromagnetic cases,” Phys. Rev. D 67 (2003) 024029, arXiv:gr-qc/0209072.
  • [4214] L. Barack and A. Ori, “Gravitational selfforce on a particle orbiting a Kerr black hole,” Phys. Rev. Lett. 90 (2003) 111101, arXiv:gr-qc/0212103.
  • [4215] L. Barack and N. Sago, “Gravitational self force on a particle in circular orbit around a Schwarzschild black hole,” Phys. Rev. D 75 (2007) 064021, arXiv:gr-qc/0701069.
  • [4216] L. Barack, D. A. Golbourn, and N. Sago, “m-Mode Regularization Scheme for the Self Force in Kerr Spacetime,” Phys. Rev. D 76 (2007) 124036, arXiv:0709.4588 [gr-qc]. – 834 –
  • [4217] I. Vega and S. L. Detweiler, “Regularization of fields for self-force problems in curved spacetime: Foundations and a time-domain application,” Phys. Rev. D 77 (2008) 084008, arXiv:0712.4405 [gr-qc].
  • [4218] M. Casals, S. R. Dolan, A. C. Ottewill, and B. Wardell, “Self-Force Calculations with Matched Expansions and Quasinormal Mode Sums,” Phys. Rev. D 79 (2009) 124043, arXiv:0903.0395 [gr-qc].
  • [4219] L. Barack and N. Sago, “Gravitational self-force on a particle in eccentric orbit around a Schwarzschild black hole,” Phys. Rev. D 81 (2010) 084021, arXiv:1002.2386 [gr-qc].
  • [4220] T. S. Keidl, A. G. Shah, J. L. Friedman, D.-H. Kim, and L. R. Price, “Gravitational Self-force in a Radiation Gauge,” Phys. Rev. D 82 no. 12, (2010) 124012, arXiv:1004.2276 [gr-qc]. [Erratum: Phys.Rev.D 90, 109902 (2014)].
  • [4220] T. S. Keidl, A. G. Shah, J. L. Friedman, D.-H. Kim, and L. R. Price, “Gravitational Self-force in a Radiation Gauge,” Phys. Rev. D 82 no. 12, (2010) 124012, arXiv:1004.2276 [gr-qc]. [Erratum: Phys.Rev.D 90, 109902 (2014)].
  • [4221] A. G. Shah, T. S. Keidl, J. L. Friedman, D.-H. Kim, and L. R. Price, “Conservative, gravitational self-force for a particle in circular orbit around a Schwarzschild black hole in a Radiation Gauge,” Phys. Rev. D 83 (2011) 064018, arXiv:1009.4876 [gr-qc].
  • [4222] S. R. Dolan and L. Barack, “Self-force via m-mode regularization and 2+1D evolution: III. Gravitational field on Schwarzschild spacetime,” Phys. Rev. D 87 (2013) 084066, arXiv:1211.4586 [gr-qc].
  • [4223] S. Akcay, N. Warburton, and L. Barack, “Frequency-domain algorithm for the Lorenz-gauge gravitational self-force,” Phys. Rev. D 88 no. 10, (2013) 104009, arXiv:1308.5223 [gr-qc].
  • [4224] A. Pound, C. Merlin, and L. Barack, “Gravitational self-force from radiation-gauge metric perturbations,” Phys. Rev. D 89 no. 2, (2014) 024009, arXiv:1310.1513 [gr-qc].
  • [4225] C. Merlin and A. G. Shah, “Self-force from reconstructed metric perturbations: numerical implementation in Schwarzschild spacetime,” Phys. Rev. D 91 no. 2, (2015) 024005, arXiv:1410.2998 [gr-qc].
  • [4226] T. Osburn, E. Forseth, C. R. Evans, and S. Hopper, “Lorenz gauge gravitational self-force calculations of eccentric binaries using a frequency domain procedure,” Phys. Rev. D 90 no. 10, (2014) 104031, arXiv:1409.4419 [gr-qc].
  • [4227] S. Isoyama, L. Barack, S. R. Dolan, A. Le Tiec, H. Nakano, A. G. Shah, T. Tanaka, and N. Warburton, “Gravitational Self-Force Correction to the Innermost Stable Circular Equatorial Orbit of a Kerr Black Hole,” Phys. Rev. Lett. 113 no. 16, (2014) 161101, arXiv:1404.6133 [gr-qc].
  • [4228] B. Wardell, C. R. Galley, A. Zenginoğlu, M. Casals, S. R. Dolan, and A. C. Ottewill, “Self-force via Green functions and worldline integration,” Phys. Rev. D 89 no. 8, (2014) 084021, arXiv:1401.1506 [gr-qc].
  • [4229] B. Wardell and N. Warburton, “Applying the effective-source approach to frequency-domain self-force calculations: Lorenz-gauge gravitational perturbations,” Phys. Rev. D 92 no. 8, (2015) 084019, arXiv:1505.07841 [gr-qc].
  • [4230] M. van de Meent and A. G. Shah, “Metric perturbations produced by eccentric equatorial orbits around a Kerr black hole,” Phys. Rev. D 92 no. 6, (2015) 064025, arXiv:1506.04755 [gr-qc].
  • [4231] M. van de Meent, “Gravitational self-force on eccentric equatorial orbits around a Kerr black hole,” Phys. Rev. D 94 no. 4, (2016) 044034, arXiv:1606.06297 [gr-qc].
  • [4232] C. Merlin, A. Ori, L. Barack, A. Pound, and M. van de Meent, “Completion of metric reconstruction for a particle orbiting a Kerr black hole,” Phys. Rev. D 94 no. 10, (2016) 104066, arXiv:1609.01227 [gr-qc].
  • [4233] M. van De Meent, “The mass and angular momentum of reconstructed metric perturbations,” Class. Quant. Grav. 34 no. 12, (2017) 124003, arXiv:1702.00969 [gr-qc]. – 835 –
  • [4234] M. van de Meent, “Gravitational self-force on generic bound geodesics in Kerr spacetime,” Phys. Rev. D 97 no. 10, (2018) 104033, arXiv:1711.09607 [gr-qc].
  • [4235] N. Warburton, S. Akcay, L. Barack, J. R. Gair, and N. Sago, “Evolution of inspiral orbits around a Schwarzschild black hole,” Phys. Rev. D 85 (2012) 061501, arXiv:1111.6908 [gr-qc].
  • [4236] K. A. Lackeos and L. M. Burko, “Self-forced gravitational waveforms for Extreme and Intermediate mass ratio inspirals,” Phys. Rev. D 86 (2012) 084055, arXiv:1206.1452 [gr-qc].
  • [4237] T. Osburn, N. Warburton, and C. R. Evans, “Highly eccentric inspirals into a black hole,” Phys. Rev. D 93 no. 6, (2016) 064024, arXiv:1511.01498 [gr-qc].
  • [4238] P. Lynch, M. van de Meent, and N. Warburton, “Eccentric self-forced inspirals into a rotating black hole,” Class. Quant. Grav. 39 no. 14, (2022) 145004, arXiv:2112.05651 [gr-qc].
  • [4239] P. Lynch, M. van de Meent, and N. Warburton, “Self-forced inspirals with spin-orbit precession,” arXiv:2305.10533 [gr-qc].
  • [4240] V. Toomani, P. Zimmerman, A. Spiers, S. Hollands, A. Pound, and S. R. Green, “New metric reconstruction scheme for gravitational self-force calculations,” Class. Quant. Grav. 39 no. 1, (2022) 015019, arXiv:2108.04273 [gr-qc].
  • [4241] R. Panosso Macedo, B. Leather, N. Warburton, B. Wardell, and A. Zenginoğlu, “Hyperboloidal method for frequency-domain self-force calculations,” Phys. Rev. D 105 no. 10, (2022) 104033, arXiv:2202.01794 [gr-qc].
  • [4242] L. Barack and P. Giudice, “Time-domain metric reconstruction for self-force applications,” Phys. Rev. D 95 no. 10, (2017) 104033, arXiv:1702.04204 [gr-qc].
  • [4243] S. A. Hughes, “(Sort of) testing relativity with extreme mass ratio inspirals,” AIP Conf. Proc. 873 no. 1, (2006) 233–240, arXiv:gr-qc/0608140.
  • [4244] O. Long and L. Barack, “Time-domain metric reconstruction for hyperbolic scattering,” Phys. Rev. D 104 no. 2, (2021) 024014, arXiv:2105.05630 [gr-qc].
  • [4245] P. Canizares and C. F. Sopuerta, “Simulations of Extreme-Mass-Ratio Inspirals Using Pseudospectral Methods,” J. Phys. Conf. Ser. 154 (2009) 012053, arXiv:0811.0294 [gr-qc].
  • [4246] P. Canizares and C. F. Sopuerta, “Modelling Extreme-Mass-Ratio Inspirals using Pseudospectral Methods,” in 12th Marcel Grossmann Meeting on General Relativity, pp. 841–843. 1, 2010. arXiv:1001.4697 [gr-qc].
  • [4247] P. Canizares and C. F. Sopuerta, “Time-domain modelling of Extreme-Mass-Ratio Inspirals for the Laser Interferometer Space Antenna,” J. Phys. Conf. Ser. 314 (2011) 012075, arXiv:1103.2149 [gr-qc].
  • [4248] S. E. Field, J. S. Hesthaven, and S. R. Lau, “Discontinuous Galerkin method for computing gravitational waveforms from extreme mass ratio binaries,” Class. Quant. Grav. 26 (2009) 165010, arXiv:0902.1287 [gr-qc].
  • [4249] P. Diener, I. Vega, B. Wardell, and S. Detweiler, “Self-consistent orbital evolution of a particle around a Schwarzschild black hole,” Phys. Rev. Lett. 108 (2012) 191102, arXiv:1112.4821 [gr-qc].
  • [4250] C. Markakis, M. F. O’Boyle, P. D. Brubeck, and L. Barack, “Discontinuous collocation methods and gravitational self-force applications,” Class. Quant. Grav. 38 no. 7, (2021) 075031, arXiv:1406.4865 [math.NA]. – 836 –
  • [4251] L. J. G. Da Silva, R. Panosso Macedo, J. E. Thompson, J. A. V. Kroon, L. Durkan, and O. Long, “Hyperboloidal discontinuous time-symmetric numerical algorithm with higher order jumps for gravitational self-force computations in the time domain,” arXiv:2306.13153 [gr-qc].
  • [4252] M. F. O’Boyle, C. Markakis, L. J. G. Da Silva, R. Panosso Macedo, and J. A. V. Kroon, “Conservative Evolution of Black Hole Perturbations with Time-Symmetric Numerical Methods,” arXiv:2210.02550 [gr-qc].
  • [4253] C. Markakis, S. Bray, and A. Zenginoğlu, “Symmetric integration of the 1+1 Teukolsky equation on hyperboloidal foliations of Kerr spacetimes,” arXiv:2303.08153 [gr-qc].
  • [4254] M. F. O’Boyle and C. Markakis, “Discontinuous collocation and symmetric integration methods for distributionally-sourced hyperboloidal partial differential equations,” arXiv:2308.02385 [math.NA].
  • [4255] M. Casals, S. Dolan, A. C. Ottewill, and B. Wardell, “Self-Force and Green Function in Schwarzschild spacetime via Quasinormal Modes and Branch Cut,” Phys. Rev. D 88 (2013) 044022, arXiv:1306.0884 [gr-qc].
  • [4256] M. Casals, B. C. Nolan, A. C. Ottewill, and B. Wardell, “Regularized calculation of the retarded Green function in a Schwarzschild spacetime,” Phys. Rev. D 100 no. 10, (2019) 104037, arXiv:1910.02567 [gr-qc].
  • [4257] H. Yang, F. Zhang, A. Zimmerman, and Y. Chen, “Scalar Green function of the Kerr spacetime,” Phys. Rev. D 89 no. 6, (2014) 064014, arXiv:1311.3380 [gr-qc].
  • [4258] C. O’Toole, A. Ottewill, and B. Wardell, “Characteristic formulation of the Regge-Wheeler and Zerilli Green functions,” Phys. Rev. D 103 (2021) 124022, arXiv:2010.15818 [gr-qc].
  • [4259] E. Rosenthal, “Second-order gravitational self-force,” Phys. Rev. D 74 (2006) 084018, arXiv:gr-qc/0609069.
  • [4260] A. Pound, “Nonlinear gravitational self-force. I. Field outside a small body,” Phys. Rev. D 86 (2012) 084019, arXiv:1206.6538 [gr-qc].
  • [4261] A. Pound, “Gauge and motion in perturbation theory,” Phys. Rev. D 92 no. 4, (2015) 044021, arXiv:1506.02894 [gr-qc].
  • [4262] A. Pound and J. Miller, “Practical, covariant puncture for second-order self-force calculations,” Phys. Rev. D 89 no. 10, (2014) 104020, arXiv:1403.1843 [gr-qc].
  • [4263] N. Warburton and B. Wardell, “Applying the effective-source approach to frequency-domain self-force calculations,” Phys. Rev. D 89 no. 4, (2014) 044046, arXiv:1311.3104 [gr-qc].
  • [4264] A. Pound, “Second-order perturbation theory: problems on large scales,” Phys. Rev. D 92 no. 10, (2015) 104047, arXiv:1510.05172 [gr-qc].
  • [4265] J. Miller, B. Wardell, and A. Pound, “Second-order perturbation theory: the problem of infinite mode coupling,” Phys. Rev. D 94 no. 10, (2016) 104018, arXiv:1608.06783 [gr-qc].
  • [4266] J. Miller, The second-order gravitational self-force. PhD thesis, Southampton U., 2017.
  • [4267] L. Durkan and N. Warburton, “Slow evolution of the metric perturbation due to a quasicircular inspiral into a Schwarzschild black hole,” Phys. Rev. D 106 no. 8, (2022) 084023, arXiv:2206.08179 [gr-qc].
  • [4268] A. Pound, B. Wardell, N. Warburton, and J. Miller, “Second-Order Self-Force Calculation of Gravitational Binding Energy in Compact Binaries,” Phys. Rev. Lett. 124 no. 2, (2020) 021101, arXiv:1908.07419 [gr-qc].
  • [4269] J. Mathews, A. Pound, and B. Wardell, “Self-force calculations with a spinning secondary,” Phys. Rev. D 105 no. 8, (2022) 084031, arXiv:2112.13069 [gr-qc]. – 837 –
  • [4270] Y. Mino, M. Shibata, and T. Tanaka, “Gravitational waves induced by a spinning particle falling into a rotating black hole,” Phys. Rev. D 53 (1996) 622–634. [Erratum: Phys.Rev.D 59, 047502 (1999)].
  • [4270] Y. Mino, M. Shibata, and T. Tanaka, “Gravitational waves induced by a spinning particle falling into a rotating black hole,” Phys. Rev. D 53 (1996) 622–634. [Erratum: Phys.Rev.D 59, 047502 (1999)].
  • [4271] T. Tanaka, Y. Mino, M. Sasaki, and M. Shibata, “Gravitational waves from a spinning particle in circular orbits around a rotating black hole,” Phys. Rev. D 54 (1996) 3762–3777, arXiv:gr-qc/9602038.
  • [4272] W.-B. Han, “Gravitational Radiations from a Spinning Compact Object around a supermassive Kerr black hole in circular orbit,” Phys. Rev. D 82 (2010) 084013, arXiv:1008.3324 [gr-qc].
  • [4273] E. Harms, G. Lukes-Gerakopoulos, S. Bernuzzi, and A. Nagar, “Asymptotic gravitational wave fluxes from a spinning particle in circular equatorial orbits around a rotating black hole,” Phys. Rev. D 93 no. 4, (2016) 044015, arXiv:1510.05548 [gr-qc]. [Addendum: Phys.Rev.D 100, 129901 (2019)].
  • [4273] E. Harms, G. Lukes-Gerakopoulos, S. Bernuzzi, and A. Nagar, “Asymptotic gravitational wave fluxes from a spinning particle in circular equatorial orbits around a rotating black hole,” Phys. Rev. D 93 no. 4, (2016) 044015, arXiv:1510.05548 [gr-qc]. [Addendum: Phys.Rev.D 100, 129901 (2019)].
  • [4274] E. Harms, G. Lukes-Gerakopoulos, S. Bernuzzi, and A. Nagar, “Spinning test body orbiting around a Schwarzschild black hole: Circular dynamics and gravitational-wave fluxes,” Phys. Rev. D 94 no. 10, (2016) 104010, arXiv:1609.00356 [gr-qc].
  • [4275] N. Warburton, T. Osburn, and C. R. Evans, “Evolution of small-mass-ratio binaries with a spinning secondary,” Phys. Rev. D 96 no. 8, (2017) 084057, arXiv:1708.03720 [gr-qc].
  • [4276] G. Lukes-Gerakopoulos, E. Harms, S. Bernuzzi, and A. Nagar, “Spinning test-body orbiting around a Kerr black hole: circular dynamics and gravitational-wave fluxes,” Phys. Rev. D 96 no. 6, (2017) 064051, arXiv:1707.07537 [gr-qc].
  • [4277] A. Nagar, F. Messina, C. Kavanagh, G. Lukes-Gerakopoulos, N. Warburton, S. Bernuzzi, and E. Harms, “Factorization and resummation: A new paradigm to improve gravitational wave amplitudes. III: the spinning test-body terms,” Phys. Rev. D 100 no. 10, (2019) 104056, arXiv:1907.12233 [gr-qc].
  • [4278] S. Akcay, S. R. Dolan, C. Kavanagh, J. Moxon, N. Warburton, and B. Wardell, “Dissipation in extreme-mass ratio binaries with a spinning secondary,” Phys. Rev. D 102 no. 6, (2020) 064013, arXiv:1912.09461 [gr-qc].
  • [4279] O. Zelenka, G. Lukes-Gerakopoulos, V. Witzany, and O. Kopáček, “Growth of resonances and chaos for a spinning test particle in the Schwarzschild background,” Phys. Rev. D 101 no. 2, (2020) 024037, arXiv:1911.00414 [gr-qc].
  • [4280] V. Witzany, “Hamilton-Jacobi equation for spinning particles near black holes,” Phys. Rev. D 100 no. 10, (2019) 104030, arXiv:1903.03651 [gr-qc].
  • [4281] G. A. Piovano, A. Maselli, and P. Pani, “Extreme mass ratio inspirals with spinning secondary: a detailed study of equatorial circular motion,” Phys. Rev. D 102 no. 2, (2020) 024041, arXiv:2004.02654 [gr-qc].
  • [4282] G. A. Piovano, R. Brito, A. Maselli, and P. Pani, “Assessing the detectability of the secondary spin in extreme mass-ratio inspirals with fully relativistic numerical waveforms,” Phys. Rev. D 104 no. 12, (2021) 124019, arXiv:2105.07083 [gr-qc].
  • [4283] V. Skoupý and G. Lukes-Gerakopoulos, “Spinning test body orbiting around a Kerr black hole: Eccentric equatorial orbits and their asymptotic gravitational-wave fluxes,” Phys. Rev. D 103 no. 10, (2021) 104045, arXiv:2102.04819 [gr-qc].
  • [4284] V. Skoupý and G. Lukes-Gerakopoulos, “Adiabatic equatorial inspirals of a spinning body into a Kerr black hole,” Phys. Rev. D 105 no. 8, (2022) 084033, arXiv:2201.07044 [gr-qc].
  • [4285] J. Steinhoff and D. Puetzfeld, “Influence of internal structure on the motion of test bodies in extreme mass ratio situations,” Phys. Rev. D 86 (2012) 044033, arXiv:1205.3926 [gr-qc]. – 838 –
  • [4286] M. Rahman and A. Bhattacharyya, “Prospects for determining the nature of the secondaries of extreme mass-ratio inspirals using the spin-induced quadrupole deformation,” Phys. Rev. D 107 no. 2, (2023) 024006, arXiv:2112.13869 [gr-qc].
  • [4287] S.-C. Yang, R.-D. Tang, X.-Y. Zhong, Y.-H. Zhang, and W.-B. Han, “Recognizing the constitution of small bodies in extreme-mass-ratio inspirals by gravitational waves,” arXiv:2209.01110 [gr-qc].
  • [4288] T. Tanaka, “Gravitational radiation reaction,” Prog. Theor. Phys. Suppl. 163 (2006) 120–145, arXiv:gr-qc/0508114.
  • [4289] J. Levin and G. Perez-Giz, “A Periodic Table for Black Hole Orbits,” Phys. Rev. D 77 (2008) 103005, arXiv:0802.0459 [gr-qc].
  • [4290] T. A. Apostolatos, G. Lukes-Gerakopoulos, and G. Contopoulos, “How to Observe a Non-Kerr Spacetime Using Gravitational Waves,” Phys. Rev. Lett. 103 (2009) 111101, arXiv:0906.0093 [gr-qc].
  • [4291] E. E. Flanagan and T. Hinderer, “Transient resonances in the inspirals of point particles into black holes,” Phys. Rev. Lett. 109 (2012) 071102, arXiv:1009.4923 [gr-qc].
  • [4292] J. Brink, M. Geyer, and T. Hinderer, “Orbital resonances around Black holes,” Phys. Rev. Lett. 114 no. 8, (2015) 081102, arXiv:1304.0330 [gr-qc].
  • [4293] U. Ruangsri and S. A. Hughes, “Census of transient orbital resonances encountered during binary inspiral,” Phys. Rev. D 89 no. 8, (2014) 084036, arXiv:1307.6483 [gr-qc].
  • [4294] J. Brink, M. Geyer, and T. Hinderer, “Astrophysics of resonant orbits in the Kerr metric,” Phys. Rev. D 91 no. 8, (2015) 083001, arXiv:1501.07728 [gr-qc].
  • [4295] C. P. L. Berry, R. H. Cole, P. Cañizares, and J. R. Gair, “Importance of transient resonances in extreme-mass-ratio inspirals,” Phys. Rev. D 94 no. 12, (2016) 124042, arXiv:1608.08951 [gr-qc].
  • [4296] D. P. Mihaylov and J. R. Gair, “Transition of EMRIs through resonance: corrections to higher order in the on-resonance flux modification,” J. Math. Phys. 58 no. 11, (2017) 112501, arXiv:1706.06639 [gr-qc].
  • [4297] G. Lukes-Gerakopoulos and V. Witzany, “Non-linear effects in EMRI dynamics and their imprints on gravitational waves,” arXiv:2103.06724 [gr-qc].
  • [4298] J. Gair, N. Yunes, and C. M. Bender, “Resonances in Extreme Mass-Ratio Inspirals: Asymptotic and Hyperasymptotic Analysis,” J. Math. Phys. 53 (2012) 032503, arXiv:1111.3605 [gr-qc].
  • [4299] E. E. Flanagan, S. A. Hughes, and U. Ruangsri, “Resonantly enhanced and diminished strong-field gravitational-wave fluxes,” Phys. Rev. D 89 no. 8, (2014) 084028, arXiv:1208.3906 [gr-qc].
  • [4300] M. van de Meent, “Conditions for Sustained Orbital Resonances in Extreme Mass Ratio Inspirals,” Phys. Rev. D 89 no. 8, (2014) 084033, arXiv:1311.4457 [gr-qc].
  • [4301] A. G. M. Lewis, A. Zimmerman, and H. P. Pfeiffer, “Fundamental frequencies and resonances from eccentric and precessing binary black hole inspirals,” Class. Quant. Grav. 34 no. 12, (2017) 124001, arXiv:1611.03418 [gr-qc].
  • [4302] Z. Nasipak and C. R. Evans, “Resonant self-force effects in extreme-mass-ratio binaries: A scalar model,” Phys. Rev. D 104 no. 8, (2021) 084011, arXiv:2105.15188 [gr-qc].
  • [4303] Z. Nasipak, “Adiabatic evolution due to the conservative scalar self-force during orbital resonances,” Phys. Rev. D 106 no. 6, (2022) 064042, arXiv:2207.02224 [gr-qc]. – 839 –
  • [4304] P. Gupta, L. Speri, B. Bonga, A. J. K. Chua, and T. Tanaka, “Modeling transient resonances in extreme-mass-ratio inspirals,” Phys. Rev. D 106 no. 10, (2022) 104001, arXiv:2205.04808 [gr-qc].
  • [4305] A. Buonanno and T. Damour, “Transition from inspiral to plunge in binary black hole coalescences,” Phys. Rev. D 62 (2000) 064015, arXiv:gr-qc/0001013.
  • [4306] A. Ori and K. S. Thorne, “The Transition from inspiral to plunge for a compact body in a circular equatorial orbit around a massive, spinning black hole,” Phys. Rev. D 62 (2000) 124022, arXiv:gr-qc/0003032.
  • [4307] P. A. Sundararajan, “The Transition from adiabatic inspiral to geodesic plunge for a compact object around a massive Kerr black hole: Generic orbits,” Phys. Rev. D 77 (2008) 124050, arXiv:0803.4482 [gr-qc].
  • [4308] M. Kesden, “Transition from adiabatic inspiral to plunge into a spinning black hole,” Phys. Rev. D 83 (2011) 104011, arXiv:1101.3749 [gr-qc].
  • [4309] A. Apte and S. A. Hughes, “Exciting black hole modes via misaligned coalescences: I. Inspiral, transition, and plunge trajectories using a generalized Ori-Thorne procedure,” Phys. Rev. D 100 no. 8, (2019) 084031, arXiv:1901.05901 [gr-qc].
  • [4310] G. Compère, K. Fransen, and C. Jonas, “Transition from inspiral to plunge into a highly spinning black hole,” Class. Quant. Grav. 37 no. 9, (2020) 095013, arXiv:1909.12848 [gr-qc].
  • [4311] G. Compère and L. Küchler, “Asymptotically matched quasi-circular inspiral and transition-to-plunge in the small mass ratio expansion,” SciPost Phys. 13 no. 2, (2022) 043, arXiv:2112.02114 [gr-qc].
  • [4312] A. Folacci and M. Ould El Hadj, “Multipolar gravitational waveforms and ringdowns generated during the plunge from the innermost stable circular orbit into a Schwarzschild black hole,” Phys. Rev. D 98 no. 8, (2018) 084008, arXiv:1806.01577 [gr-qc].
  • [4313] B. Rom and R. Sari, “Extreme mass-ratio binary black hole merger: Characteristics of the test-particle limit,” Phys. Rev. D 106 no. 10, (2022) 104040, arXiv:2204.11738 [gr-qc].
  • [4314] G. Compère and L. Küchler, “Self-consistent adiabatic inspiral and transition motion,” Phys. Rev. Lett. 126 no. 24, (2021) 241106, arXiv:2102.12747 [gr-qc].
  • [4315] T. Osburn and N. Nishimura, “New self-force method via elliptic partial differential equations for Kerr inspiral models,” Phys. Rev. D 106 no. 4, (2022) 044056, arXiv:2206.07031 [gr-qc].
  • [4316] S. R. Dolan, L. Durkan, C. Kavanagh, and B. Wardell, “Metric perturbations of Kerr spacetime in Lorenz gauge: Circular equatorial orbits,” arXiv:2306.16459 [gr-qc].
  • [4317] S. Hopper, “Unbound motion on a Schwarzschild background: Practical approaches to frequency domain computations,” Phys. Rev. D 97 no. 6, (2018) 064007, arXiv:1706.05455 [gr-qc].
  • [4318] S. Hopper and V. Cardoso, “Scattering of point particles by black holes: gravitational radiation,” Phys. Rev. D 97 no. 4, (2018) 044031, arXiv:1706.02791 [gr-qc].
  • [4319] L. Barack and O. Long, “Self-force correction to the deflection angle in black-hole scattering: A scalar charge toy model,” Phys. Rev. D 106 no. 10, (2022) 104031, arXiv:2209.03740 [gr-qc].
  • [4320] O. Long, Self-force in hyperbolic black hole encounters. PhD thesis, Southampton U., 2022. arXiv:2209.03836 [gr-qc].
  • [4321] L. Barack et al., “Comparison of post-Minkowskian and self-force expansions: Scattering in – 840 – a scalar charge toy model,” Phys. Rev. D 108 no. 2, (2023) 024025, arXiv:2304.09200 [hep-th].
  • [4322] C. Whittall and L. Barack, “Frequency-domain approach to self-force in hyperbolic scattering,” Phys. Rev. D 108 no. 6, (2023) 064017, arXiv:2305.09724 [gr-qc].
  • [4323] R. Gonzo and C. Shi, “Boundary to bound dictionary for generic Kerr orbits,” arXiv:2304.06066 [hep-th].
  • [4324] S. E. Field, C. R. Galley, J. S. Hesthaven, J. Kaye, and M. Tiglio, “Fast prediction and evaluation of gravitational waveforms using surrogate models,” Phys. Rev. X 4 no. 3, (2014) 031006, arXiv:1308.3565 [gr-qc].
  • [4325] J. Blackman, S. E. Field, M. A. Scheel, C. R. Galley, D. A. Hemberger, P. Schmidt, and R. Smith, “A Surrogate Model of Gravitational Waveforms from Numerical Relativity Simulations of Precessing Binary Black Hole Mergers,” Phys. Rev. D 95 no. 10, (2017) 104023, arXiv:1701.00550 [gr-qc].
  • [4326] M. Tiglio and A. Villanueva, “Reduced order and surrogate models for gravitational waves,” Living Rev. Rel. 25 no. 1, (2022) 2, arXiv:2101.11608 [gr-qc].
  • [4327] J. Blackman, S. E. Field, C. R. Galley, B. Szilágyi, M. A. Scheel, M. Tiglio, and D. A. Hemberger, “Fast and Accurate Prediction of Numerical Relativity Waveforms from Binary Black Hole Coalescences Using Surrogate Models,” Phys. Rev. Lett. 115 no. 12, (2015) 121102, arXiv:1502.07758 [gr-qc].
  • [4328] J. Blackman, S. E. Field, M. A. Scheel, C. R. Galley, C. D. Ott, M. Boyle, L. E. Kidder, H. P. Pfeiffer, and B. Szilágyi, “Numerical relativity waveform surrogate model for generically precessing binary black hole mergers,” Phys. Rev. D 96 no. 2, (2017) 024058, arXiv:1705.07089 [gr-qc].
  • [4329] M. Walker, V. Varma, G. Lovelace, and M. A. Scheel, “Numerical-relativity surrogate modeling with nearly extremal black-hole spins,” Class. Quant. Grav. 40 no. 5, (2023) 055003, arXiv:2208.02927 [gr-qc].
  • [4330] T. Islam, S. E. Field, and G. Khanna, “Remnant black hole properties from numerical-relativity-informed perturbation theory and implications for waveform modelling,” arXiv:2301.07215 [gr-qc].
  • [4331] J. Yoo et al., “Numerical relativity surrogate model with memory effects and post-Newtonian hybridization,” Phys. Rev. D 108 no. 6, (2023) 064027, arXiv:2306.03148 [gr-qc].
  • [4332] A. Buonanno and T. Damour, “Effective one-body approach to general relativistic two-body dynamics,” Phys. Rev. D 59 (1999) 084006, arXiv:gr-qc/9811091.
  • [4333] T. Damour, P. Jaranowski, and G. Schaefer, “On the determination of the last stable orbit for circular general relativistic binaries at the third postNewtonian approximation,” Phys. Rev. D 62 (2000) 084011, arXiv:gr-qc/0005034.
  • [4334] T. Damour, “Coalescence of two spinning black holes: an effective one-body approach,” Phys. Rev. D 64 (2001) 124013, arXiv:gr-qc/0103018.
  • [4335] R. Cotesta, A. Buonanno, A. Bohé, A. Taracchini, I. Hinder, and S. Ossokine, “Enriching the Symphony of Gravitational Waves from Binary Black Holes by Tuning Higher Harmonics,” Phys. Rev. D 98 no. 8, (2018) 084028, arXiv:1803.10701 [gr-qc].
  • [4336] Y. Pan, A. Buonanno, M. Boyle, L. T. Buchman, L. E. Kidder, H. P. Pfeiffer, and M. A. Scheel, “Inspiral-merger-ringdown multipolar waveforms of nonspinning black-hole binaries using the effective-one-body formalism,” Phys. Rev. D 84 (2011) 124052, arXiv:1106.1021 [gr-qc].
  • [4337] A. Taracchini, Y. Pan, A. Buonanno, E. Barausse, M. Boyle, T. Chu, G. Lovelace, H. P. Pfeiffer, and M. A. Scheel, “Prototype effective-one-body model for nonprecessing spinning – 841 – inspiral-merger-ringdown waveforms,” Phys. Rev. D 86 (2012) 024011, arXiv:1202.0790 [gr-qc].
  • [4338] A. Taracchini et al., “Effective-one-body model for black-hole binaries with generic mass ratios and spins,” Phys. Rev. D 89 no. 6, (2014) 061502, arXiv:1311.2544 [gr-qc].
  • [4339] T. Damour and A. Nagar, “A new analytic representation of the ringdown waveform of coalescing spinning black hole binaries,” Phys. Rev. D 90 no. 2, (2014) 024054, arXiv:1406.0401 [gr-qc].
  • [4340] W. Del Pozzo and A. Nagar, “Analytic family of post-merger template waveforms,” Phys. Rev. D 95 no. 12, (2017) 124034, arXiv:1606.03952 [gr-qc].
  • [4341] T. Damour and A. Nagar, “New effective-one-body description of coalescing nonprecessing spinning black-hole binaries,” Phys. Rev. D 90 no. 4, (2014) 044018, arXiv:1406.6913 [gr-qc].
  • [4342] R. Gamba, S. Akçay, S. Bernuzzi, and J. Williams, “Effective-one-body waveforms for precessing coalescing compact binaries with post-Newtonian twist,” Phys. Rev. D 106 no. 2, (2022) 024020, arXiv:2111.03675 [gr-qc].
  • [4343] E. Barausse and A. Buonanno, “An Improved effective-one-body Hamiltonian for spinning black-hole binaries,” Phys. Rev. D 81 (2010) 084024, arXiv:0912.3517 [gr-qc].
  • [4344] S. Ossokine et al., “Multipolar Effective-One-Body Waveforms for Precessing Binary Black Holes: Construction and Validation,” Phys. Rev. D 102 no. 4, (2020) 044055, arXiv:2004.09442 [gr-qc].
  • [4345] D. Chiaramello and A. Nagar, “Faithful analytical effective-one-body waveform model for spin-aligned, moderately eccentric, coalescing black hole binaries,” Phys. Rev. D 101 no. 10, (2020) 101501, arXiv:2001.11736 [gr-qc].
  • [4346] A. Nagar, A. Bonino, and P. Rettegno, “Effective one-body multipolar waveform model for spin-aligned, quasicircular, eccentric, hyperbolic black hole binaries,” Phys. Rev. D 103 no. 10, (2021) 104021, arXiv:2101.08624 [gr-qc].
  • [4347] A. Nagar and P. Rettegno, “Next generation: Impact of high-order analytical information on effective one body waveform models for noncircularized, spin-aligned black hole binaries,” Phys. Rev. D 104 no. 10, (2021) 104004, arXiv:2108.02043 [gr-qc].
  • [4348] A. Placidi, S. Albanesi, A. Nagar, M. Orselli, S. Bernuzzi, and G. Grignani, “Exploiting Newton-factorized, 2PN-accurate waveform multipoles in effective-one-body models for spin-aligned noncircularized binaries,” Phys. Rev. D 105 no. 10, (2022) 104030, arXiv:2112.05448 [gr-qc].
  • [4349] A. Ramos-Buades, A. Buonanno, M. Khalil, and S. Ossokine, “Effective-one-body multipolar waveforms for eccentric binary black holes with nonprecessing spins,” Phys. Rev. D 105 no. 4, (2022) 044035, arXiv:2112.06952 [gr-qc].
  • [4350] A. Gamboa, M. Khalil, and A. Buonanno, “Third post-Newtonian dynamics for eccentric orbits and aligned spins in the effective-one-body waveform model SEOBNRv5EHM,” arXiv:2412.12831 [gr-qc].
  • [4351] A. Gamboa et al., “Accurate waveforms for eccentric, aligned-spin binary black holes: The multipolar effective-one-body model SEOBNRv5EHM,” arXiv:2412.12823 [gr-qc].
  • [4352] A. Antonelli, M. van de Meent, A. Buonanno, J. Steinhoff, and J. Vines, “Quasicircular inspirals and plunges from nonspinning effective-one-body Hamiltonians with gravitational self-force information,” Phys. Rev. D 101 no. 2, (2020) 024024, arXiv:1907.11597 [gr-qc].
  • [4353] A. Albertini, A. Nagar, A. Pound, N. Warburton, B. Wardell, L. Durkan, and J. Miller, “Comparing second-order gravitational self-force, numerical relativity, and effective one body – 842 – waveforms from inspiralling, quasicircular, and nonspinning black hole binaries,” Phys. Rev. D 106 no. 8, (2022) 084061, arXiv:2208.01049 [gr-qc].
  • [4354] A. Albertini, A. Nagar, A. Pound, N. Warburton, B. Wardell, L. Durkan, and J. Miller, “Comparing second-order gravitational self-force and effective one body waveforms from inspiralling, quasicircular and nonspinning black hole binaries. II. The large-mass-ratio case,” Phys. Rev. D 106 no. 8, (2022) 084062, arXiv:2208.02055 [gr-qc].
  • [4355] M. van de Meent, A. Buonanno, D. P. Mihaylov, S. Ossokine, L. Pompili, N. Warburton, A. Pound, B. Wardell, L. Durkan, and J. Miller, “Enhancing the SEOBNRv5 effective-one-body waveform model with second-order gravitational self-force fluxes,” Phys. Rev. D 108 no. 12, (2023) 124038, arXiv:2303.18026 [gr-qc].
  • [4356] A. Antonelli, A. Buonanno, J. Steinhoff, M. van de Meent, and J. Vines, “Energetics of two-body Hamiltonians in post-Minkowskian gravity,” Phys. Rev. D 99 no. 10, (2019) 104004, arXiv:1901.07102 [gr-qc].
  • [4357] M. Khalil, A. Buonanno, J. Steinhoff, and J. Vines, “Energetics and scattering of gravitational two-body systems at fourth post-Minkowskian order,” Phys. Rev. D 106 no. 2, (2022) 024042, arXiv:2204.05047 [gr-qc].
  • [4358] A. Buonanno, G. Mogull, R. Patil, and L. Pompili, “Post-Minkowskian Theory Meets the Spinning Effective-One-Body Approach for Bound-Orbit Waveforms,” arXiv:2405.19181 [gr-qc].
  • [4359] F.-L. Julié and N. Deruelle, “Two-body problem in Scalar-Tensor theories as a deformation of General Relativity : an Effective-One-Body approach,” Phys. Rev. D 95 no. 12, (2017) 124054, arXiv:1703.05360 [gr-qc].
  • [4360] M. Khalil, N. Sennett, J. Steinhoff, J. Vines, and A. Buonanno, “Hairy binary black holes in Einstein-Maxwell-dilaton theory and their effective-one-body description,” Phys. Rev. D 98 no. 10, (2018) 104010, arXiv:1809.03109 [gr-qc].
  • [4361] F.-L. Julié, “Gravitational radiation from compact binary systems in Einstein-Maxwell-dilaton theories,” JCAP 10 (2018) 033, arXiv:1809.05041 [gr-qc].
  • [4362] L. Bernard, “Dynamics of compact binary systems in scalar-tensor theories: Equations of motion to the third post-Newtonian order,” Phys. Rev. D 98 no. 4, (2018) 044004, arXiv:1802.10201 [gr-qc].
  • [4363] F.-L. Julié and E. Berti, “Post-Newtonian dynamics and black hole thermodynamics in Einstein-scalar-Gauss-Bonnet gravity,” Phys. Rev. D 100 no. 10, (2019) 104061, arXiv:1909.05258 [gr-qc].
  • [4364] T. Jain, P. Rettegno, M. Agathos, A. Nagar, and L. Turco, “Effective one body Hamiltonian in scalar-tensor gravity at third post-Newtonian order,” arXiv:2211.15580 [gr-qc].
  • [4365] F.-L. Julié, V. Baibhav, E. Berti, and A. Buonanno, “Third post-Newtonian effective-one-body Hamiltonian in scalar-tensor and Einstein-scalar-Gauss-Bonnet gravity,” arXiv:2212.13802 [gr-qc].
  • [4366] T. Jain, “Nonlocal-in-time effective one body Hamiltonian in scalar-tensor gravity at third post-Newtonian order,” arXiv:2301.01070 [gr-qc].
  • [4367] B. D. Lackey, M. Pürrer, A. Taracchini, and S. Marsat, “Surrogate model for an aligned-spin effective one body waveform model of binary neutron star inspirals using Gaussian process regression,” Phys. Rev. D 100 no. 2, (2019) 024002, arXiv:1812.08643 [gr-qc].
  • [4368] R. Cotesta, S. Marsat, and M. Pürrer, “Frequency domain reduced order model of aligned-spin effective-one-body waveforms with higher-order modes,” Phys. Rev. D 101 no. 12, (2020) 124040, arXiv:2003.12079 [gr-qc]. – 843 –
  • [4369] S. Schmidt, M. Breschi, R. Gamba, G. Pagano, P. Rettegno, G. Riemenschneider, S. Bernuzzi, A. Nagar, and W. Del Pozzo, “Machine Learning Gravitational Waves from Binary Black Hole Mergers,” Phys. Rev. D 103 no. 4, (2021) 043020, arXiv:2011.01958 [gr-qc].
  • [4370] S. Khan and R. Green, “Gravitational-wave surrogate models powered by artificial neural networks,” Phys. Rev. D 103 no. 6, (2021) 064015, arXiv:2008.12932 [gr-qc].
  • [4371] G. Riemenschneider, P. Rettegno, M. Breschi, A. Albertini, R. Gamba, S. Bernuzzi, and A. Nagar, “Assessment of consistent next-to-quasicircular corrections and postadiabatic approximation in effective-one-body multipolar waveforms for binary black hole coalescences,” Phys. Rev. D 104 no. 10, (2021) 104045, arXiv:2104.07533 [gr-qc].
  • [4372] L. M. Thomas, G. Pratten, and P. Schmidt, “Accelerating multimodal gravitational waveforms from precessing compact binaries with artificial neural networks,” Phys. Rev. D 106 no. 10, (2022) 104029, arXiv:2205.14066 [gr-qc].
  • [4373] A. Nagar and P. Rettegno, “Efficient effective one body time-domain gravitational waveforms,” Phys. Rev. D 99 no. 2, (2019) 021501, arXiv:1805.03891 [gr-qc].
  • [4374] D. P. Mihaylov, S. Ossokine, A. Buonanno, and A. Ghosh, “Fast post-adiabatic waveforms in the time domain: Applications to compact binary coalescences in LIGO and Virgo,” Phys. Rev. D 104 no. 12, (2021) 124087, arXiv:2105.06983 [gr-qc].
  • [4375] R. Gamba, S. Bernuzzi, and A. Nagar, “Fast, faithful, frequency-domain effective-one-body waveforms for compact binary coalescences,” Phys. Rev. D 104 no. 8, (2021) 084058, arXiv:2012.00027 [gr-qc].
  • [4376] A. Le Tiec, A. H. Mroue, L. Barack, A. Buonanno, H. P. Pfeiffer, N. Sago, and A. Taracchini, “Periastron Advance in Black Hole Binaries,” Phys. Rev. Lett. 107 (2011) 141101, arXiv:1106.3278 [gr-qc].
  • [4377] T. Hinderer et al., “Periastron advance in spinning black hole binaries: comparing effective-one-body and Numerical Relativity,” Phys. Rev. D 88 no. 8, (2013) 084005, arXiv:1309.0544 [gr-qc].
  • [4378] T. Damour, A. Nagar, D. Pollney, and C. Reisswig, “Energy versus Angular Momentum in Black Hole Binaries,” Phys. Rev. Lett. 108 (2012) 131101, arXiv:1110.2938 [gr-qc].
  • [4379] A. Nagar, T. Damour, C. Reisswig, and D. Pollney, “Energetics and phasing of nonprecessing spinning coalescing black hole binaries,” Phys. Rev. D 93 no. 4, (2016) 044046, arXiv:1506.08457 [gr-qc].
  • [4380] A. Nagar, G. Pratten, G. Riemenschneider, and R. Gamba, “Multipolar effective one body model for nonspinning black hole binaries,” Phys. Rev. D 101 no. 2, (2020) 024041, arXiv:1904.09550 [gr-qc].
  • [4381] S. Ossokine, T. Dietrich, E. Foley, R. Katebi, and G. Lovelace, “Assessing the Energetics of Spinning Binary Black Hole Systems,” Phys. Rev. D 98 no. 10, (2018) 104057, arXiv:1712.06533 [gr-qc].
  • [4382] M. Khalil, J. Steinhoff, J. Vines, and A. Buonanno, “Fourth post-Newtonian effective-one-body Hamiltonians with generic spins,” Phys. Rev. D 101 no. 10, (2020) 104034, arXiv:2003.04469 [gr-qc].
  • [4383] A. Nagar, P. Rettegno, R. Gamba, and S. Bernuzzi, “Effective-one-body waveforms from dynamical captures in black hole binaries,” Phys. Rev. D 103 no. 6, (2021) 064013, arXiv:2009.12857 [gr-qc].
  • [4384] P. Rettegno, G. Pratten, L. M. Thomas, P. Schmidt, and T. Damour, “Strong-field scattering of two spinning black holes: Numerical relativity versus post-Minkowskian gravity,” Phys. Rev. D 108 no. 12, (2023) 124016, arXiv:2307.06999 [gr-qc]. – 844 –
  • [4385] S. Albanesi, A. Rashti, F. Zappa, R. Gamba, W. Cook, B. Daszuta, S. Bernuzzi, A. Nagar, and D. Radice, “Scattering and dynamical capture of two black holes: synergies between numerical and analytical methods,” arXiv:2405.20398 [gr-qc].
  • [4386] P. Ajith et al., “Phenomenological template family for black-hole coalescence waveforms,” Class. Quant. Grav. 24 (2007) S689–S700, arXiv:0704.3764 [gr-qc].
  • [4387] L. London, S. Khan, E. Fauchon-Jones, C. Garcı́a, M. Hannam, S. Husa, X. Jiménez-Forteza, C. Kalaghatgi, F. Ohme, and F. Pannarale, “First higher-multipole model of gravitational waves from spinning and coalescing black-hole binaries,” Phys. Rev. Lett. 120 no. 16, (2018) 161102, arXiv:1708.00404 [gr-qc].
  • [4388] S. Khan, K. Chatziioannou, M. Hannam, and F. Ohme, “Phenomenological model for the gravitational-wave signal from precessing binary black holes with two-spin effects,” Phys. Rev. D 100 no. 2, (2019) 024059, arXiv:1809.10113 [gr-qc].
  • [4389] S. Khan, F. Ohme, K. Chatziioannou, and M. Hannam, “Including higher order multipoles in gravitational-wave models for precessing binary black holes,” Phys. Rev. D 101 no. 2, (2020) 024056, arXiv:1911.06050 [gr-qc].
  • [4390] J. E. Thompson, E. Hamilton, L. London, S. Ghosh, P. Kolitsidou, C. Hoy, and M. Hannam, “PhenomXO4a: a phenomenological gravitational-wave model for precessing black-hole binaries with higher multipoles and asymmetries,” Phys. Rev. D 109 no. 6, (2024) 063012, arXiv:2312.10025 [gr-qc].
  • [4391] A. Buonanno, Y.-b. Chen, and M. Vallisneri, “Detecting gravitational waves from precessing binaries of spinning compact objects: Adiabatic limit,” Phys. Rev. D 67 (2003) 104025, arXiv:gr-qc/0211087. [Erratum: Phys.Rev.D 74, 029904 (2006)].
  • [4391] A. Buonanno, Y.-b. Chen, and M. Vallisneri, “Detecting gravitational waves from precessing binaries of spinning compact objects: Adiabatic limit,” Phys. Rev. D 67 (2003) 104025, arXiv:gr-qc/0211087. [Erratum: Phys.Rev.D 74, 029904 (2006)].
  • [4392] P. Schmidt, M. Hannam, S. Husa, and P. Ajith, “Tracking the precession of compact binaries from their gravitational-wave signal,” Phys. Rev. D 84 (2011) 024046, arXiv:1012.2879 [gr-qc].
  • [4393] M. Boyle, R. Owen, and H. P. Pfeiffer, “A geometric approach to the precession of compact binaries,” Phys. Rev. D 84 (2011) 124011, arXiv:1110.2965 [gr-qc].
  • [4394] P. Schmidt, M. Hannam, and S. Husa, “Towards models of gravitational waveforms from generic binaries: A simple approximate mapping between precessing and non-precessing inspiral signals,” Phys. Rev. D 86 (2012) 104063, arXiv:1207.3088 [gr-qc].
  • [4395] H. Estellés, A. Ramos-Buades, S. Husa, C. Garcı́a-Quirós, M. Colleoni, L. Haegel, and R. Jaume, “Phenomenological time domain model for dominant quadrupole gravitational wave signal of coalescing binary black holes,” Phys. Rev. D 103 no. 12, (2021) 124060, arXiv:2004.08302 [gr-qc].
  • [4396] H. Estellés, S. Husa, M. Colleoni, D. Keitel, M. Mateu-Lucena, C. Garcı́a-Quirós, A. Ramos-Buades, and A. Borchers, “Time-domain phenomenological model of gravitational-wave subdominant harmonics for quasicircular nonprecessing binary black hole coalescences,” Phys. Rev. D 105 no. 8, (2022) 084039, arXiv:2012.11923 [gr-qc].
  • [4397] H. Estellés, M. Colleoni, C. Garcı́a-Quirós, S. Husa, D. Keitel, M. Mateu-Lucena, M. d. L. Planas, and A. Ramos-Buades, “New twists in compact binary waveform modeling: A fast time-domain model for precession,” Phys. Rev. D 105 no. 8, (2022) 084040, arXiv:2105.05872 [gr-qc].
  • [4398] A. Albertini, A. Nagar, P. Rettegno, S. Albanesi, and R. Gamba, “Waveforms and fluxes: Towards a self-consistent effective one body waveform model for nonprecessing, coalescing black-hole binaries for third generation detectors,” Phys. Rev. D 105 no. 8, (2022) 084025, arXiv:2111.14149 [gr-qc].
  • [4399] A. Ramos-Buades, P. Schmidt, G. Pratten, and S. Husa, “Validity of common modeling – 845 – approximations for precessing binary black holes with higher-order modes,” Phys. Rev. D 101 no. 10, (2020) 103014, arXiv:2001.10936 [gr-qc].
  • [4400] S. Ghosh, P. Kolitsidou, and M. Hannam, “First frequency-domain phenomenological model of the multipole asymmetry in gravitational-wave signals from binary-black-hole coalescence,” Phys. Rev. D 109 no. 2, (2024) 024061, arXiv:2310.16980 [gr-qc].
  • [4401] X. Liu, Z. Cao, and Z.-H. Zhu, “Effective-one-body numerical-relativity waveform model for eccentric spin-precessing binary black hole coalescence,” Class. Quant. Grav. 41 no. 19, (2024) 195019, arXiv:2310.04552 [gr-qc].
  • [4402] R. Gamba, D. Chiaramello, and S. Neogi, “Towards efficient Effective One Body models for generic, non-planar orbits,” arXiv:2404.15408 [gr-qc].
  • [4403] G. Pappas and T. A. Apostolatos, “Revising the multipole moments of numerical spacetimes, and its consequences,” Phys. Rev. Lett. 108 (2012) 231104, arXiv:1201.6067 [gr-qc].
  • [4404] G. Pappas and T. P. Sotiriou, “Multipole moments in scalar-tensor theory of gravity,” Phys. Rev. D 91 no. 4, (2015) 044011, arXiv:1412.3494 [gr-qc].
  • [4405] G. Pappas, D. D. Doneva, T. P. Sotiriou, S. S. Yazadjiev, and K. D. Kokkotas, “Multipole moments and universal relations for scalarized neutron stars,” Phys. Rev. D 99 no. 10, (2019) 104014, arXiv:1812.01117 [gr-qc].
  • [4406] P. Pani and E. Berti, “Slowly rotating neutron stars in scalar-tensor theories,” Phys. Rev. D 90 no. 2, (2014) 024025, arXiv:1405.4547 [gr-qc].
  • [4407] S. M. Brown, “Tidal Deformability of Neutron Stars in Scalar-tensor Theories of Gravity,” Astrophys. J. 958 no. 2, (2023) 125, arXiv:2210.14025 [gr-qc].
  • [4408] G. Creci, T. Hinderer, and J. Steinhoff, “Tidal properties of neutron stars in scalar-tensor theories of gravity,” arXiv:2308.11323 [gr-qc].
  • [4409] J. L. Blázquez-Salcedo, Z. Altaha Motahar, D. D. Doneva, F. S. Khoo, J. Kunz, S. Mojica, K. V. Staykov, and S. S. Yazadjiev, “Quasinormal modes of compact objects in alternative theories of gravity,” Eur. Phys. J. Plus 134 no. 1, (2019) 46, arXiv:1810.09432 [gr-qc].
  • [4410] J. L. Blázquez-Salcedo, C. F. B. Macedo, V. Cardoso, V. Ferrari, L. Gualtieri, F. S. Khoo, J. Kunz, and P. Pani, “Perturbed black holes in Einstein-dilaton-Gauss-Bonnet gravity: Stability, ringdown, and gravitational-wave emission,” Phys. Rev. D 94 no. 10, (2016) 104024, arXiv:1609.01286 [gr-qc].
  • [4411] J. L. Blázquez-Salcedo, F. S. Khoo, and J. Kunz, “Quasinormal modes of Einstein-Gauss-Bonnet-dilaton black holes,” Phys. Rev. D 96 no. 6, (2017) 064008, arXiv:1706.03262 [gr-qc].
  • [4412] Z. Altaha Motahar, J. L. Blázquez-Salcedo, D. D. Doneva, J. Kunz, and S. S. Yazadjiev, “Axial quasinormal modes of scalarized neutron stars with massive self-interacting scalar field,” Phys. Rev. D 99 no. 10, (2019) 104006, arXiv:1902.01277 [gr-qc].
  • [4413] K. V. Staykov, J. L. Blázquez-Salcedo, D. D. Doneva, J. Kunz, P. Nedkova, and S. S. Yazadjiev, “Axial perturbations of hairy Gauss-Bonnet black holes with a massive self-interacting scalar field,” Phys. Rev. D 105 no. 4, (2022) 044040, arXiv:2112.00703 [gr-qc].
  • [4414] J. L. Blázquez-Salcedo, D. D. Doneva, S. Kahlen, J. Kunz, P. Nedkova, and S. S. Yazadjiev, “Polar quasinormal modes of the scalarized Einstein-Gauss-Bonnet black holes,” Phys. Rev. D 102 no. 2, (2020) 024086, arXiv:2006.06006 [gr-qc].
  • [4415] J. L. Blázquez-Salcedo, F. Scen Khoo, and J. Kunz, “Ultra-long-lived quasi-normal modes of neutron stars in massive scalar-tensor gravity,” EPL 130 no. 5, (2020) 50002, arXiv:2001.09117 [gr-qc]. – 846 –
  • [4416] A. K.-W. Chung, P. Wagle, and N. Yunes, “Spectral method for the gravitational perturbations of black holes: Schwarzschild background case,” Phys. Rev. D 107 no. 12, (2023) 124032, arXiv:2302.11624 [gr-qc].
  • [4417] L. Hui, A. Podo, L. Santoni, and E. Trincherini, “An analytic approach to quasinormal modes for coupled linear systems,” JHEP 03 (2023) 060, arXiv:2210.10788 [gr-qc].
  • [4418] D. Li, P. Wagle, Y. Chen, and N. Yunes, “Perturbations of Spinning Black Holes beyond General Relativity: Modified Teukolsky Equation,” Phys. Rev. X 13 no. 2, (2023) 021029, arXiv:2206.10652 [gr-qc].
  • [4419] M. Zilhao, H. Witek, U. Sperhake, V. Cardoso, L. Gualtieri, C. Herdeiro, and A. Nerozzi, “Numerical relativity for D dimensional axially symmetric space-times: formalism and code tests,” Phys. Rev. D 81 (2010) 084052, arXiv:1001.2302 [gr-qc].
  • [4420] M. Okounkova, L. C. Stein, M. A. Scheel, and D. A. Hemberger, “Numerical binary black hole mergers in dynamical Chern-Simons gravity: Scalar field,” Phys. Rev. D 96 no. 4, (2017) 044020, arXiv:1705.07924 [gr-qc].
  • [4421] R. Cayuso and L. Lehner, “Nonlinear, noniterative treatment of EFT-motivated gravity,” Phys. Rev. D 102 no. 8, (2020) 084008, arXiv:2005.13720 [gr-qc].
  • [4422] M. Bezares, M. Crisostomi, C. Palenzuela, and E. Barausse, “K-dynamics: well-posed 1+1 evolutions in K-essence,” JCAP 03 (2021) 072, arXiv:2008.07546 [gr-qc].
  • [4423] N. Franchini, M. Bezares, E. Barausse, and L. Lehner, “Fixing the dynamical evolution in scalar-Gauss-Bonnet gravity,” Phys. Rev. D 106 no. 6, (2022) 064061, arXiv:2206.00014 [gr-qc].
  • [4424] A. Spiers, A. Maselli, and T. P. Sotiriou, “Measuring scalar charge with compact binaries: High accuracy modelling with self-force,” arXiv:2310.02315 [gr-qc].
  • [4425] A. Maselli, N. Franchini, L. Gualtieri, and T. P. Sotiriou, “Detecting scalar fields with Extreme Mass Ratio Inspirals,” Phys. Rev. Lett. 125 no. 14, (2020) 141101, arXiv:2004.11895 [gr-qc].
  • [4426] A. Maselli, N. Franchini, L. Gualtieri, T. P. Sotiriou, S. Barsanti, and P. Pani, “Detecting fundamental fields with LISA observations of gravitational waves from extreme mass-ratio inspirals,” Nature Astron. 6 no. 4, (2022) 464–470, arXiv:2106.11325 [gr-qc].
  • [4427] S. Barsanti, N. Franchini, L. Gualtieri, A. Maselli, and T. P. Sotiriou, “Extreme mass-ratio inspirals as probes of scalar fields: Eccentric equatorial orbits around Kerr black holes,” Phys. Rev. D 106 no. 4, (2022) 044029, arXiv:2203.05003 [gr-qc].
  • [4428] S. Barsanti, A. Maselli, T. P. Sotiriou, and L. Gualtieri, “Detecting Massive Scalar Fields with Extreme Mass-Ratio Inspirals,” Phys. Rev. Lett. 131 no. 5, (2023) 051401, arXiv:2212.03888 [gr-qc].
  • [4429] C. F. Sopuerta and N. Yunes, “Extreme and Intermediate-Mass Ratio Inspirals in Dynamical Chern-Simons Modified Gravity,” Phys. Rev. D 80 (2009) 064006, arXiv:0904.4501 [gr-qc].
  • [4430] P. Pani, V. Cardoso, and L. Gualtieri, “Gravitational waves from extreme mass-ratio inspirals in Dynamical Chern-Simons gravity,” Phys. Rev. D 83 (2011) 104048, arXiv:1104.1183 [gr-qc].
  • [4431] V. Cardoso, S. Chakrabarti, P. Pani, E. Berti, and L. Gualtieri, “Floating and sinking: The Imprint of massive scalars around rotating black holes,” Phys. Rev. Lett. 107 (2011) 241101, arXiv:1109.6021 [gr-qc].
  • [4432] N. Yunes, P. Pani, and V. Cardoso, “Gravitational Waves from Quasicircular Extreme Mass-Ratio Inspirals as Probes of Scalar-Tensor Theories,” Phys. Rev. D 85 (2012) 102003, arXiv:1112.3351 [gr-qc]. – 847 –
  • [4433] P. Canizares, J. R. Gair, and C. F. Sopuerta, “Testing Chern-Simons Modified Gravity with Gravitational-Wave Detections of Extreme-Mass-Ratio Binaries,” Phys. Rev. D 86 (2012) 044010, arXiv:1205.1253 [gr-qc].
  • [4434] P. Zimmerman, “Gravitational self-force in scalar-tensor gravity,” Phys. Rev. D 92 no. 6, (2015) 064051, arXiv:1507.04076 [gr-qc].
  • [4435] L. Bernard, “Dynamics of compact binary systems in scalar-tensor theories: II. Center-of-mass and conserved quantities to 3PN order,” Phys. Rev. D 99 no. 4, (2019) 044047, arXiv:1812.04169 [gr-qc].
  • [4436] L. Bernard, L. Blanchet, and D. Trestini, “Gravitational waves in scalar-tensor theory to one-and-a-half post-Newtonian order,” JCAP 08 no. 08, (2022) 008, arXiv:2201.10924 [gr-qc].
  • [4437] N. Sennett, S. Marsat, and A. Buonanno, “Gravitational waveforms in scalar-tensor gravity at 2PN relative order,” Phys. Rev. D 94 no. 8, (2016) 084003, arXiv:1607.01420 [gr-qc].
  • [4438] F. Taherasghari and C. M. Will, “Compact binary systems in Einstein-Æther gravity: Direct integration of the relaxed field equations to 2.5 post-Newtonian order,” Phys. Rev. D 108 no. 12, (2023) 124026, arXiv:2308.13243 [gr-qc].
  • [4439] F.-L. Julié, H. O. Silva, E. Berti, and N. Yunes, “Black hole sensitivities in Einstein-scalar-Gauss-Bonnet gravity,” Phys. Rev. D 105 no. 12, (2022) 124031, arXiv:2202.01329 [gr-qc].
  • [4440] N. Sennett, L. Shao, and J. Steinhoff, “Effective action model of dynamically scalarizing binary neutron stars,” Phys. Rev. D 96 no. 8, (2017) 084019, arXiv:1708.08285 [gr-qc].
  • [4441] N. Sennett and A. Buonanno, “Modeling dynamical scalarization with a resummed post-Newtonian expansion,” Phys. Rev. D 93 no. 12, (2016) 124004, arXiv:1603.03300 [gr-qc].
  • [4442] L. Sampson, N. Yunes, N. Cornish, M. Ponce, E. Barausse, A. Klein, C. Palenzuela, and L. Lehner, “Projected Constraints on Scalarization with Gravitational Waves from Neutron Star Binaries,” Phys. Rev. D 90 no. 12, (2014) 124091, arXiv:1407.7038 [gr-qc].
  • [4443] L. Sampson, N. Cornish, and N. Yunes, “Mismodeling in gravitational-wave astronomy: The trouble with templates,” Phys. Rev. D 89 no. 6, (2014) 064037, arXiv:1311.4898 [gr-qc].
  • [4444] F.-L. Julié, L. Pompili, and A. Buonanno, “Inspiral-merger-ringdown waveforms in Einstein-scalar-Gauss-Bonnet gravity within the effective-one-body formalism,” arXiv:2406.13654 [gr-qc].
  • [4445] S. E. Gralla, “On the Ambiguity in Relativistic Tidal Deformability,” Class. Quant. Grav. 35 no. 8, (2018) 085002, arXiv:1710.11096 [gr-qc].
  • [4446] G. Creci, T. Hinderer, and J. Steinhoff, “Tidal response from scattering and the role of analytic continuation,” Phys. Rev. D 104 no. 12, (2021) 124061, arXiv:2108.03385 [gr-qc]. [Erratum: Phys.Rev.D 105, 109902 (2022)].
  • [4446] G. Creci, T. Hinderer, and J. Steinhoff, “Tidal response from scattering and the role of analytic continuation,” Phys. Rev. D 104 no. 12, (2021) 124061, arXiv:2108.03385 [gr-qc]. [Erratum: Phys.Rev.D 105, 109902 (2022)].
  • [4447] E. Babichev and C. Deffayet, “An introduction to the Vainshtein mechanism,” Class. Quant. Grav. 30 (2013) 184001, arXiv:1304.7240 [gr-qc].
  • [4448] A. Coates and F. M. Ramazanoğlu, “Treatments and placebos for the pathologies of effective field theories,” arXiv:2307.07743 [gr-qc].
  • [4449] P. Ajith et al., “A Template bank for gravitational waveforms from coalescing binary black holes. I. Non-spinning binaries,” Phys. Rev. D 77 (2008) 104017, arXiv:0710.2335 [gr-qc]. [Erratum: Phys.Rev.D 79, 129901 (2009)].
  • [4449] P. Ajith et al., “A Template bank for gravitational waveforms from coalescing binary black holes. I. Non-spinning binaries,” Phys. Rev. D 77 (2008) 104017, arXiv:0710.2335 [gr-qc]. [Erratum: Phys.Rev.D 79, 129901 (2009)].
  • [4450] P. Ajith, “Gravitational-wave data analysis using binary black-hole waveforms,” Class. Quant. Grav. 25 (2008) 114033, arXiv:0712.0343 [gr-qc]. – 848 –
  • [4451] E. Harms, S. Bernuzzi, and B. Brügmann, “Numerical solution of the 2+1 Teukolsky equation on a hyperboloidal and horizon penetrating foliation of Kerr and application to late-time decays,” Class. Quant. Grav. 30 (2013) 115013, arXiv:1301.1591 [gr-qc].
  • [4452] A. Buonanno, B. Iyer, E. Ochsner, Y. Pan, and B. S. Sathyaprakash, “Comparison of post-Newtonian templates for compact binary inspiral signals in gravitational-wave detectors,” Phys. Rev. D 80 (2009) 084043, arXiv:0907.0700 [gr-qc].
  • [4453] B. Mikoczi, M. Vasuth, and L. A. Gergely, “Self-interaction spin effects in inspiralling compact binaries,” Phys. Rev. D 71 (2005) 124043, arXiv:astro-ph/0504538.
  • [4454] T. Damour and P. Jaranowski, “Four-loop static contribution to the gravitational interaction potential of two point masses,” Phys. Rev. D 95 no. 8, (2017) 084005, arXiv:1701.02645 [gr-qc].
  • [4455] R. O’Shaughnessy, B. Vaishnav, J. Healy, Z. Meeks, and D. Shoemaker, “Efficient asymptotic frame selection for binary black hole spacetimes using asymptotic radiation,” Phys. Rev. D 84 (2011) 124002, arXiv:1109.5224 [gr-qc].
  • [4456] A. Bohé et al., “Improved effective-one-body model of spinning, nonprecessing binary black holes for the era of gravitational-wave astrophysics with advanced detectors,” Phys. Rev. D 95 no. 4, (2017) 044028, arXiv:1611.03703 [gr-qc].
  • [4457] M. Kesden, D. Gerosa, R. O’Shaughnessy, E. Berti, and U. Sperhake, “Effective potentials and morphological transitions for binary black-hole spin precession,” Phys. Rev. Lett. 114 no. 8, (2015) 081103, arXiv:1411.0674 [gr-qc].
  • [4458] D. Gerosa, M. Kesden, U. Sperhake, E. Berti, and R. O’Shaughnessy, “Multi-timescale analysis of phase transitions in precessing black-hole binaries,” Phys. Rev. D 92 (2015) 064016, arXiv:1506.03492 [gr-qc].
  • [4459] K. Chatziioannou, E. Poisson, and N. Yunes, “Improved next-to-leading order tidal heating and torquing of a Kerr black hole,” Phys. Rev. D 94 no. 8, (2016) 084043, arXiv:1608.02899 [gr-qc].
  • [4460] K. Chatziioannou, A. Klein, N. Cornish, and N. Yunes, “Analytic Gravitational Waveforms for Generic Precessing Binary Inspirals,” Phys. Rev. Lett. 118 no. 5, (2017) 051101, arXiv:1606.03117 [gr-qc].
  • [4461] M. Colleoni, F. A. R. Vidal, N. K. Johnson-McDaniel, T. Dietrich, M. Haney, and G. Pratten, “IMRPhenomXP NRTidalv2: An improved frequency-domain precessing binary neutron star waveform model,” (11, 2023) , arXiv:2311.15978 [gr-qc].
  • [4462] M. Khalil, A. Buonanno, H. Estelles, D. P. Mihaylov, S. Ossokine, L. Pompili, and A. Ramos-Buades, “Theoretical groundwork supporting the precessing-spin two-body dynamics of the effective-one-body waveform models SEOBNRv5,” Phys. Rev. D 108 no. 12, (2023) 124036, arXiv:2303.18143 [gr-qc].
  • [4463] P. Rettegno, F. Martinetti, A. Nagar, D. Bini, G. Riemenschneider, and T. Damour, “Comparing Effective One Body Hamiltonians for spin-aligned coalescing binaries,” Phys. Rev. D 101 no. 10, (2020) 104027, arXiv:1911.10818 [gr-qc].
  • [4464] T. Damour, P. Jaranowski, and G. Schaefer, “Effective one body approach to the dynamics of two spinning black holes with next-to-leading order spin-orbit coupling,” Phys. Rev. D 78 (2008) 024009, arXiv:0803.0915 [gr-qc].
  • [4465] A. Nagar, “Effective one body Hamiltonian of two spinning black-holes with next-to-next-to-leading order spin-orbit coupling,” Phys. Rev. D 84 (2011) 084028, arXiv:1106.4349 [gr-qc]. [Erratum: Phys.Rev.D 88, 089901 (2013)].
  • [4465] A. Nagar, “Effective one body Hamiltonian of two spinning black-holes with next-to-next-to-leading order spin-orbit coupling,” Phys. Rev. D 84 (2011) 084028, arXiv:1106.4349 [gr-qc]. [Erratum: Phys.Rev.D 88, 089901 (2013)].
  • [4466] S. Balmelli and T. Damour, “New effective-one-body Hamiltonian with next-to-leading order spin-spin coupling,” Phys. Rev. D 92 no. 12, (2015) 124022, arXiv:1509.08135 [gr-qc]. – 849 –
  • [4467] E. Barausse, E. Racine, and A. Buonanno, “Hamiltonian of a spinning test-particle in curved spacetime,” Phys. Rev. D 80 (2009) 104025, arXiv:0907.4745 [gr-qc]. [Erratum: Phys.Rev.D 85, 069904 (2012)].
  • [4467] E. Barausse, E. Racine, and A. Buonanno, “Hamiltonian of a spinning test-particle in curved spacetime,” Phys. Rev. D 80 (2009) 104025, arXiv:0907.4745 [gr-qc]. [Erratum: Phys.Rev.D 85, 069904 (2012)].
  • [4468] E. Barausse and A. Buonanno, “Extending the effective-one-body Hamiltonian of black-hole binaries to include next-to-next-to-leading spin-orbit couplings,” Phys. Rev. D 84 (2011) 104027, arXiv:1107.2904 [gr-qc].
  • [4469] E. Berti and A. Klein, “Mixing of spherical and spheroidal modes in perturbed Kerr black holes,” Phys. Rev. D 90 no. 6, (2014) 064012, arXiv:1408.1860 [gr-qc].
  • [4470] S. Akcay, R. Gamba, and S. Bernuzzi, “Hybrid post-Newtonian effective-one-body scheme for spin-precessing compact-binary waveforms up to merger,” Phys. Rev. D 103 no. 2, (2021) 024014, arXiv:2005.05338 [gr-qc].
  • [4471] Y. Pan, A. Buonanno, A. Taracchini, L. E. Kidder, A. H. Mroué, H. P. Pfeiffer, M. A. Scheel, and B. Szilágyi, “Inspiral-merger-ringdown waveforms of spinning, precessing black-hole binaries in the effective-one-body formalism,” Phys. Rev. D 89 no. 8, (2014) 084006, arXiv:1307.6232 [gr-qc].
  • [4472] S. Babak, A. Taracchini, and A. Buonanno, “Validating the effective-one-body model of spinning, precessing binary black holes against numerical relativity,” Phys. Rev. D 95 no. 2, (2017) 024010, arXiv:1607.05661 [gr-qc].
  • [4473] T. Hinderer and S. Babak, “Foundations of an effective-one-body model for coalescing binaries on eccentric orbits,” Phys. Rev. D 96 no. 10, (2017) 104048, arXiv:1707.08426 [gr-qc].
  • [4474] Z. Cao and W.-B. Han, “Waveform model for an eccentric binary black hole based on the effective-one-body-numerical-relativity formalism,” Phys. Rev. D 96 no. 4, (2017) 044028, arXiv:1708.00166 [gr-qc].
  • [4475] X. Liu, Z. Cao, and L. Shao, “Validating the Effective-One-Body Numerical-Relativity Waveform Models for Spin-aligned Binary Black Holes along Eccentric Orbits,” Phys. Rev. D 101 no. 4, (2020) 044049, arXiv:1910.00784 [gr-qc].
  • [4476] A. Bonino, R. Gamba, P. Schmidt, A. Nagar, G. Pratten, M. Breschi, P. Rettegno, and S. Bernuzzi, “Inferring eccentricity evolution from observations of coalescing binary black holes,” Phys. Rev. D 107 no. 6, (2023) 064024, arXiv:2207.10474 [gr-qc].
  • [4477] A. Nagar, G. Riemenschneider, and G. Pratten, “Impact of Numerical Relativity information on effective-one-body waveform models,” Phys. Rev. D 96 no. 8, (2017) 084045, arXiv:1703.06814 [gr-qc].
  • [4478] A. Nagar, G. Riemenschneider, G. Pratten, P. Rettegno, and F. Messina, “Multipolar effective one body waveform model for spin-aligned black hole binaries,” Phys. Rev. D 102 no. 2, (2020) 024077, arXiv:2001.09082 [gr-qc].
  • [4479] F. Messina, A. Maldarella, and A. Nagar, “Factorization and resummation: A new paradigm to improve gravitational wave amplitudes. II: the higher multipolar modes,” Phys. Rev. D 97 no. 8, (2018) 084016, arXiv:1801.02366 [gr-qc].
  • [4480] A. Nagar, P. Rettegno, R. Gamba, A. Albertini, and S. Bernuzzi, “TEOBResumS: Analytic systematics in next-generation of effective-one-body gravitational waveform models for future observations,” arXiv:2304.09662 [gr-qc].
  • [4481] S. Albanesi, A. Nagar, S. Bernuzzi, A. Placidi, and M. Orselli, “Assessment of effective-one-body radiation reactions for generic planar orbits,” Phys. Rev. D 105 no. 10, (2022) 104031, arXiv:2202.10063 [gr-qc].
  • [4482] T. Damour and N. Deruelle, “General relativistic celestial mechanics of binary systems. I. – 850 – The post-Newtonian motion.,” Ann. Inst. Henri Poincaré Phys. Théor 43 no. 1, (Jan., 1985) 107–132.
  • [4483] G. Schäfer and N. Wex, “Second post-Newtonian motion of compact binaries,” Physics Letters A 174 no. 3, (Mar., 1993) 196–205.
  • [4484] C. Konigsdorffer and A. Gopakumar, “Phasing of gravitational waves from inspiralling eccentric binaries at the third-and-a-half post-Newtonian order,” Phys. Rev. D 73 (2006) 124012, arXiv:gr-qc/0603056.
  • [4485] N. Wex, “The second post-Newtonian motion of compact binary-star systems with spin,” Classical and Quantum Gravity 12 no. 4, (Apr., 1995) 983–1005.
  • [4486] C. Konigsdorffer and A. Gopakumar, “Post-Newtonian accurate parametric solution to the dynamics of spinning compact binaries in eccentric orbits: The Leading order spin-orbit interaction,” Phys. Rev. D 71 (2005) 024039, arXiv:gr-qc/0501011.
  • [4487] Z. Keresztes, B. Mikoczi, and L. A. Gergely, “The Kepler equation for inspiralling compact binaries,” Phys. Rev. D 72 (2005) 104022, arXiv:astro-ph/0510602.
  • [4488] J. Majar and M. Vasuth, “Gravitational waveforms for spinning compact binaries,” Phys. Rev. D 77 (2008) 104005, arXiv:0806.2273 [gr-qc].
  • [4489] N. J. Cornish and J. Shapiro Key, “Computing waveforms for spinning compact binaries in quasi-eccentric orbits,” Phys. Rev. D 82 (2010) 044028, arXiv:1004.5322 [gr-qc]. [Erratum: Phys.Rev.D 84, 029901 (2011)].
  • [4489] N. J. Cornish and J. Shapiro Key, “Computing waveforms for spinning compact binaries in quasi-eccentric orbits,” Phys. Rev. D 82 (2010) 044028, arXiv:1004.5322 [gr-qc]. [Erratum: Phys.Rev.D 84, 029901 (2011)].
  • [4490] P. Csizmadia, G. Debreczeni, I. Racz, and M. Vasuth, “Gravitational waves from spinning eccentric binaries,” Class. Quant. Grav. 29 (2012) 245002, arXiv:1207.0001 [gr-qc].
  • [4491] B. Ireland, O. Birnholtz, H. Nakano, E. West, and M. Campanelli, “Eccentric Binary Black Holes with Spin via the Direct Integration of the Post-Newtonian Equations of Motion,” Phys. Rev. D 100 no. 2, (2019) 024015, arXiv:1904.03443 [gr-qc].
  • [4492] N. Loutrel and N. Yunes, “Hereditary Effects in Eccentric Compact Binary Inspirals to Third Post-Newtonian Order,” Class. Quant. Grav. 34 no. 4, (2017) 044003, arXiv:1607.05409 [gr-qc].
  • [4493] N. Loutrel, S. Liebersbach, N. Yunes, and N. Cornish, “The eccentric behavior of inspiralling compact binaries,” Class. Quant. Grav. 36 no. 2, (2019) 025004, arXiv:1810.03521 [gr-qc].
  • [4494] J. N. Arredondo, A. Klein, and N. Yunes, “Efficient Gravitational-Wave Model for Fully-Precessing and Moderately-Eccentric, Compact Binary Inspirals,” arXiv:2402.06804 [gr-qc].
  • [4495] G. Morras, G. Pratten, and P. Schmidt, “pyEFPE: An improved post-Newtonian waveform model for inspiralling precessing-eccentric compact binaries,” (2, 2025) , arXiv:2502.03929 [gr-qc].
  • [4496] S. Mukherjee, S. Datta, S. Tiwari, K. S. Phukon, and S. Bose, “Toward establishing the presence or absence of horizons in coalescing binaries of compact objects by using their gravitational wave signals,” Phys. Rev. D 106 no. 10, (2022) 104032, arXiv:2202.08661 [gr-qc].
  • [4497] E. Poisson, “Metric of a tidally distorted, nonrotating black hole,” Phys. Rev. Lett. 94 (2005) 161103, arXiv:gr-qc/0501032.
  • [4498] W. D. Goldberger, J. Li, and I. Z. Rothstein, “Non-conservative effects on spinning black holes from world-line effective field theory,” JHEP 06 (2021) 053, arXiv:2012.14869 [hep-th]. – 851 –
  • [4499] S. Comeau and E. Poisson, “Tidal interaction of a small black hole in the field of a large Kerr black hole,” Phys. Rev. D 80 (2009) 087501, arXiv:0908.4518 [gr-qc].
  • [4500] N. Yunes and J. Gonzalez, “Metric of a tidally perturbed spinning black hole,” Phys. Rev. D 73 no. 2, (2006) 024010, arXiv:gr-qc/0510076. [Erratum: Phys.Rev.D 89, 089902 (2014)].
  • [4500] N. Yunes and J. Gonzalez, “Metric of a tidally perturbed spinning black hole,” Phys. Rev. D 73 no. 2, (2006) 024010, arXiv:gr-qc/0510076. [Erratum: Phys.Rev.D 89, 089902 (2014)].
  • [4501] D. Brown, S. Fairhurst, B. Krishnan, R. A. Mercer, R. K. Kopparapu, L. Santamaria, and J. T. Whelan, “Data formats for numerical relativity waves,” arXiv:0709.0093 [gr-qc].
  • [4502] S. Isoyama and H. Nakano, “Post-Newtonian templates for binary black-hole inspirals: the effect of the horizon fluxes and the secular change in the black-hole masses and spins,” Class. Quant. Grav. 35 no. 2, (2018) 024001, arXiv:1705.03869 [gr-qc].
  • [4503] C. Kavanagh, A. C. Ottewill, and B. Wardell, “Analytical high-order post-Newtonian expansions for extreme mass ratio binaries,” Phys. Rev. D 92 no. 8, (2015) 084025, arXiv:1503.02334 [gr-qc].
  • [4504] N. Yunes, A. Buonanno, S. A. Hughes, M. Coleman Miller, and Y. Pan, “Modeling Extreme Mass Ratio Inspirals within the Effective-One-Body Approach,” Phys. Rev. Lett. 104 (2010) 091102, arXiv:0909.4263 [gr-qc].
  • [4505] N. Yunes, A. Buonanno, S. A. Hughes, Y. Pan, E. Barausse, M. C. Miller, and W. Throwe, “Extreme Mass-Ratio Inspirals in the Effective-One-Body Approach: Quasi-Circular, Equatorial Orbits around a Spinning Black Hole,” Phys. Rev. D 83 (2011) 044044, arXiv:1009.6013 [gr-qc]. [Erratum: Phys.Rev.D 88, 109904 (2013)].
  • [4505] N. Yunes, A. Buonanno, S. A. Hughes, Y. Pan, E. Barausse, M. C. Miller, and W. Throwe, “Extreme Mass-Ratio Inspirals in the Effective-One-Body Approach: Quasi-Circular, Equatorial Orbits around a Spinning Black Hole,” Phys. Rev. D 83 (2011) 044044, arXiv:1009.6013 [gr-qc]. [Erratum: Phys.Rev.D 88, 109904 (2013)].
  • [4506] A. Nagar and S. Akcay, “Horizon-absorbed energy flux in circularized, nonspinning black-hole binaries and its effective-one-body representation,” Phys. Rev. D 85 (2012) 044025, arXiv:1112.2840 [gr-qc].
  • [4507] S. Mukherjee, S. Datta, K. S. Phukon, and S. Bose, “A phenomenological gravitational waveform model of binary black holes incorporating horizon fluxes,” arXiv:2311.17554 [gr-qc].
  • [4508] J. Blackman, B. Szilagyi, C. R. Galley, and M. Tiglio, “Sparse Representations of Gravitational Waves from Precessing Compact Binaries,” Phys. Rev. Lett. 113 no. 2, (2014) 021101, arXiv:1401.7038 [gr-qc].
  • [4509] D. Ferguson, “Optimizing the placement of numerical relativity simulations using a mismatch predicting neural network,” Phys. Rev. D 107 no. 2, (2023) 024034, arXiv:2209.15144 [gr-qc].
  • [4510] D. Gerosa, F. Hébert, and L. C. Stein, “Black-hole kicks from numerical-relativity surrogate models,” Phys. Rev. D 97 no. 10, (2018) 104049, arXiv:1802.04276 [gr-qc].
  • [4511] L. Speri, M. L. Katz, A. J. K. Chua, S. A. Hughes, N. Warburton, J. E. Thompson, C. E. A. Chapman-Bird, and J. R. Gair, “Fast and Fourier: Extreme Mass Ratio Inspiral Waveforms in the Frequency Domain,” arXiv:2307.12585 [gr-qc].
  • [4512] A. J. K. Chua, C. J. Moore, and J. R. Gair, “Augmented kludge waveforms for detecting extreme-mass-ratio inspirals,” Phys. Rev. D 96 no. 4, (2017) 044005, arXiv:1705.04259 [gr-qc].
  • [4513] M. Boyle, L. E. Kidder, S. Ossokine, and H. P. Pfeiffer, “Gravitational-wave modes from precessing black-hole binaries,” arXiv:1409.4431 [gr-qc].
  • [4514] C. Kalaghatgi and M. Hannam, “Investigating the effect of in-plane spin directions for precessing binary black hole systems,” Phys. Rev. D 103 no. 2, (2021) 024024, arXiv:2008.09957 [gr-qc].
  • [4515] L. M. Thomas, P. Schmidt, and G. Pratten, “New effective precession spin for modeling multimodal gravitational waveforms in the strong-field regime,” Phys. Rev. D 103 no. 8, (2021) 083022, arXiv:2012.02209 [gr-qc]. – 852 –
  • [4516] M. Fernando, D. Neilsen, H. Lim, E. Hirschmann, and H. Sundar, “Massively Parallel Simulations of Binary Black Hole Intermediate-Mass-Ratio Inspirals,” arXiv:1807.06128 [gr-qc].
  • [4517] N. Loutrel, S. Mukherjee, A. Maselli, and P. Pani, “Analytical model of precessing binaries using post-Newtonian theory in the extreme mass-ratio limit I: General Formalism,” arXiv:2402.08883 [gr-qc].
  • [4518] L. Küchler, G. Compère, L. Durkan, and A. Pound, “Self-force framework for transition-to-plunge waveforms,” arXiv:2405.00170 [gr-qc].
  • [4519] P. Bourg, A. Pound, S. D. Upton, and R. Panosso Macedo, “Simple, efficient method of calculating the Detweiler-Whiting singular field to very high order,” arXiv:2404.10082 [gr-qc].
  • [4520] P. Bourg, B. Leather, M. Casals, A. Pound, and B. Wardell, “Implementation of a GHZ-Teukolsky puncture scheme for gravitational self-force calculations,” arXiv:2403.12634 [gr-qc].
  • [4521] A. Nagar, R. Gamba, P. Rettegno, V. Fantini, and S. Bernuzzi, “Effective-one-body waveform model for non-circularized, planar, coalescing black hole binaries: the importance of radiation reaction,” arXiv:2404.05288 [gr-qc].
  • [4522] A. Albertini, R. Gamba, A. Nagar, and S. Bernuzzi, “Effective-one-body waveforms for extreme-mass-ratio binaries: Consistency with second-order gravitational self-force quasicircular results and extension to nonprecessing spins and eccentricity,” Phys. Rev. D 109 no. 4, (2024) 044022, arXiv:2310.13578 [gr-qc].
  • [4523] G. Carullo, S. Albanesi, A. Nagar, R. Gamba, S. Bernuzzi, T. Andrade, and J. Trenado, “Unveiling the Merger Structure of Black Hole Binaries in Generic Planar Orbits,” Phys. Rev. Lett. 132 no. 10, (2024) 101401, arXiv:2309.07228 [gr-qc].
  • [4524] A. Placidi, P. Rettegno, and A. Nagar, “Gravitational spin-orbit coupling through the third-subleading post-Newtonian order: Exploring spin-gauge flexibility,” Phys. Rev. D 109 no. 8, (2024) 084065, arXiv:2401.12290 [gr-qc].
  • [4525] J. E. Vines and E. E. Flanagan, “Post-1-Newtonian quadrupole tidal interactions in binary systems,” Phys. Rev. D 88 (2013) 024046, arXiv:1009.4919 [gr-qc].
  • [4526] D. Bini, T. Damour, and G. Faye, “Effective action approach to higher-order relativistic tidal interactions in binary systems and their effective one body description,” Phys. Rev. D 85 (2012) 124034, arXiv:1202.3565 [gr-qc].
  • [4527] T. Damour, A. Nagar, and L. Villain, “Measurability of the tidal polarizability of neutron stars in late-inspiral gravitational-wave signals,” Phys. Rev. D 85 (2012) 123007, arXiv:1203.4352 [gr-qc].
  • [4528] B. Banihashemi and J. Vines, “Gravitomagnetic tidal effects in gravitational waves from neutron star binaries,” Phys. Rev. D 101 no. 6, (2020) 064003, arXiv:1805.07266 [gr-qc].
  • [4529] Q. Henry, G. Faye, and L. Blanchet, “Tidal effects in the equations of motion of compact binary systems to next-to-next-to-leading post-Newtonian order,” Phys. Rev. D 101 no. 6, (2020) 064047, arXiv:1912.01920 [gr-qc].
  • [4530] Q. Henry, G. Faye, and L. Blanchet, “Hamiltonian for tidal interactions in compact binary systems to next-to-next-to-leading post-Newtonian order,” Phys. Rev. D 102 no. 12, (2020) 124074, arXiv:2009.12332 [gr-qc].
  • [4531] P. Landry, “Rotational-tidal phasing of the binary neutron star waveform,” arXiv:1805.01882 [gr-qc].
  • [4532] A. Nagar, F. Messina, P. Rettegno, D. Bini, T. Damour, A. Geralico, S. Akcay, and S. Bernuzzi, “Nonlinear-in-spin effects in effective-one-body waveform models of – 853 – spin-aligned, inspiralling, neutron star binaries,” Phys. Rev. D 99 no. 4, (2019) 044007, arXiv:1812.07923 [gr-qc].
  • [4533] D. Lai, “Resonant oscillations and tidal heating in coalescing binary neutron stars,” Mon. Not. Roy. Astron. Soc. 270 (1994) 611, arXiv:astro-ph/9404062.
  • [4534] A. Reisenegger, “Multipole moments of stellar oscillation modes,” Astrophys. J. 432 (1994) 296.
  • [4535] K. D. Kokkotas and G. Schaefer, “Tidal and tidal resonant effects in coalescing binaries,” Mon. Not. Roy. Astron. Soc. 275 (1995) 301, arXiv:gr-qc/9502034.
  • [4536] W. C. G. Ho and D. Lai, “Resonant tidal excitations of rotating neutron stars in coalescing binaries,” Mon. Not. Roy. Astron. Soc. 308 (1999) 153, arXiv:astro-ph/9812116.
  • [4537] T. Dietrich and T. Hinderer, “Comprehensive comparison of numerical relativity and effective-one-body results to inform improvements in waveform models for binary neutron star systems,” Phys. Rev. D 95 no. 12, (2017) 124006, arXiv:1702.02053 [gr-qc].
  • [4538] T. Venumadhav, A. Zimmerman, and C. M. Hirata, “The stability of tidally deformed neutron stars to three- and four-mode coupling,” Astrophys. J. 781 (2014) 23, arXiv:1307.2890 [astro-ph.HE].
  • [4539] N. N. Weinberg, P. Arras, and J. Burkart, “An instability due to the nonlinear coupling of p-modes to g-modes: Implications for coalescing neutron star binaries,” Astrophys. J. 769 (2013) 121, arXiv:1302.2292 [astro-ph.SR].
  • [4540] N. N. Weinberg, “Growth rate of the tidal p-mode g-mode instability in coalescing binary neutron stars,” Astrophys. J. 819 no. 2, (2016) 109, arXiv:1509.06975 [astro-ph.SR].
  • [4541] B. S. Sathyaprakash and S. V. Dhurandhar, “Choice of filters for the detection of gravitational waves from coalescing binaries,” Phys. Rev. D 44 no. 12, (Dec., 1991) 3819–3834.
  • [4542] K. Kawaguchi, K. Kiuchi, K. Kyutoku, Y. Sekiguchi, M. Shibata, and K. Taniguchi, “Frequency-domain gravitational waveform models for inspiraling binary neutron stars,” Phys. Rev. D 97 no. 4, (2018) 044044, arXiv:1802.06518 [gr-qc].
  • [4543] T. Narikawa, N. Uchikata, K. Kawaguchi, K. Kiuchi, K. Kyutoku, M. Shibata, and H. Tagoshi, “Reanalysis of the binary neutron star mergers GW170817 and GW190425 using numerical-relativity calibrated waveform models,” Phys. Rev. Res. 2 no. 4, (2020) 043039, arXiv:1910.08971 [gr-qc].
  • [4544] W. Kastaun and F. Ohme, “Numerical inside view of hypermassive remnant models for GW170817,” Phys. Rev. D 104 no. 2, (2021) 023001, arXiv:2103.01586 [astro-ph.HE].
  • [4545] T. Whittaker, W. E. East, S. R. Green, L. Lehner, and H. Yang, “Using machine learning to parametrize postmerger signals from binary neutron stars,” Phys. Rev. D 105 no. 12, (2022) 124021, arXiv:2201.06461 [gr-qc].
  • [4546] E. Thrane et al., “Long gravitational-wave transients and associated detection strategies for a network of terrestrial interferometers,” Phys. Rev. D 83 (2011) 083004, arXiv:1012.2150 [astro-ph.IM].
  • [4547] S. Suvorova, L. Sun, A. Melatos, W. Moran, and R. J. Evans, “Hidden Markov model tracking of continuous gravitational waves from a neutron star with wandering spin,” Phys. Rev. D 93 no. 12, (2016) 123009, arXiv:1606.02412 [astro-ph.IM].
  • [4548] L. Sun and A. Melatos, “Application of hidden Markov model tracking to the search for long-duration transient gravitational waves from the remnant of the binary neutron star merger GW170817,” Phys. Rev. D 99 no. 12, (2019) 123003, arXiv:1810.03577 [astro-ph.IM]. – 854 –
  • [4549] M. Oliver, D. Keitel, and A. M. Sintes, “Adaptive transient Hough method for long-duration gravitational wave transients,” Phys. Rev. D 99 no. 10, (2019) 104067, arXiv:1901.01820 [gr-qc].
  • [4550] LSC Collaboration, P. B. Covas et al., “Identification and mitigation of narrow spectral artifacts that degrade searches for persistent gravitational waves in the first two observing runs of Advanced LIGO,” Phys. Rev. D 97 no. 8, (2018) 082002, arXiv:1801.07204 [astro-ph.IM].
  • [4551] T. Dietrich, M. Ujevic, W. Tichy, S. Bernuzzi, and B. Bruegmann, “Gravitational waves and mass ejecta from binary neutron star mergers: Effect of the mass-ratio,” Phys. Rev. D 95 no. 2, (2017) 024029, arXiv:1607.06636 [gr-qc].
  • [4552] C. Garcı́a-Quirós, S. Husa, M. Mateu-Lucena, and A. Borchers, “Accelerating the evaluation of inspiral–merger–ringdown waveforms with adapted grids,” Class. Quant. Grav. 38 no. 1, (2021) 015006, arXiv:2001.10897 [gr-qc].
  • [4553] J. Tissino, G. Carullo, M. Breschi, R. Gamba, S. Schmidt, and S. Bernuzzi, “Combining effective-one-body accuracy and reduced-order-quadrature speed for binary neutron star merger parameter estimation with machine learning,” Phys. Rev. D 107 no. 8, (2023) 084037, arXiv:2210.15684 [gr-qc].
  • [4554] K. Chatziioannou, “Uncertainty limits on neutron star radius measurements with gravitational waves,” Phys. Rev. D 105 no. 8, (2022) 084021, arXiv:2108.12368 [gr-qc].
  • [4555] C. Chirenti, R. Gold, and M. C. Miller, “Gravitational waves from f-modes excited by the inspiral of highly eccentric neutron star binaries,” Astrophys. J. 837 no. 1, (2017) 67, arXiv:1612.07097 [astro-ph.HE].
  • [4556] M. Vallisneri, “Prospects for gravitational wave observations of neutron star tidal disruption in neutron star / black hole binaries,” Phys. Rev. Lett. 84 (2000) 3519, arXiv:gr-qc/9912026.
  • [4557] M. Shibata, K. Kyutoku, T. Yamamoto, and K. Taniguchi, “Gravitational waves from black hole-neutron star binaries I: Classification of waveforms,” Phys. Rev. D 79 (2009) 044030, arXiv:0902.0416 [gr-qc]. [Erratum: Phys.Rev.D 85, 127502 (2012)].
  • [4557] M. Shibata, K. Kyutoku, T. Yamamoto, and K. Taniguchi, “Gravitational waves from black hole-neutron star binaries I: Classification of waveforms,” Phys. Rev. D 79 (2009) 044030, arXiv:0902.0416 [gr-qc]. [Erratum: Phys.Rev.D 85, 127502 (2012)].
  • [4558] M. Shibata and K. Taniguchi, “Coalescence of Black Hole-Neutron Star Binaries,” Living Rev. Rel. 14 (2011) 6.
  • [4559] B. D. Lackey, K. Kyutoku, M. Shibata, P. R. Brady, and J. L. Friedman, “Extracting equation of state parameters from black hole-neutron star mergers. I. Nonspinning black holes,” Phys. Rev. D 85 (2012) 044061, arXiv:1109.3402 [astro-ph.HE].
  • [4560] F. Pannarale, E. Berti, K. Kyutoku, and M. Shibata, “Nonspinning black hole-neutron star mergers: a model for the amplitude of gravitational waveforms,” Phys. Rev. D 88 no. 8, (2013) 084011, arXiv:1307.5111 [gr-qc].
  • [4561] S. Bernuzzi, A. Nagar, T. Dietrich, and T. Damour, “Modeling the Dynamics of Tidally Interacting Binary Neutron Stars up to the Merger,” Phys. Rev. Lett. 114 no. 16, (2015) 161103, arXiv:1412.4553 [gr-qc].
  • [4562] F. Gittins, R. Matur, N. Andersson, and I. Hawke, “Problematic systematics in neutron-star merger simulations,” (9, 2024) , arXiv:2409.13468 [gr-qc].
  • [4563] Z. B. Etienne, Y. T. Liu, V. Paschalidis, and S. L. Shapiro, “General relativistic simulations of black hole-neutron star mergers: Effects of magnetic fields,” Phys. Rev. D 85 (2012) 064029, arXiv:1112.0568 [astro-ph.HE].
  • [4564] Y. Huang, C.-J. Haster, S. Vitale, V. Varma, F. Foucart, and S. Biscoveanu, “Statistical and systematic uncertainties in extracting the source properties of neutron star - black hole – 855 – binaries with gravitational waves,” Phys. Rev. D 103 no. 8, (2021) 083001, arXiv:2005.11850 [gr-qc].
  • [4565] F. Di Clemente, M. Casolino, A. Drago, M. Lattanzi, and C. Ratti, “Strange quark matter as dark matter: 40 yr later, a reappraisal,” Mon. Not. Roy. Astron. Soc. 537 no. 2, (2025) 1056–1069, arXiv:2404.12094 [hep-ph].
  • [4566] S. R. Coleman, “Q-balls,” Nucl. Phys. B 262 no. 2, (1985) 263. [Addendum: Nucl.Phys.B 269, 744 (1986)].
  • [4566] S. R. Coleman, “Q-balls,” Nucl. Phys. B 262 no. 2, (1985) 263. [Addendum: Nucl.Phys.B 269, 744 (1986)].
  • [4567] T. D. Lee and Y. Pang, “Fermion Soliton Stars and Black Holes,” Phys. Rev. D 35 (1987) 3678.
  • [4568] L. Del Grosso, G. Franciolini, P. Pani, and A. Urbano, “Fermion soliton stars,” Phys. Rev. D 108 no. 4, (2023) 044024, arXiv:2301.08709 [gr-qc].
  • [4569] L. Del Grosso and P. Pani, “Fermion soliton stars with asymmetric vacua,” Phys. Rev. D 108 no. 6, (2023) 064042, arXiv:2308.15921 [gr-qc].
  • [4570] G. Morras et al., “Analysis of a subsolar-mass compact binary candidate from the second observing run of Advanced LIGO,” Phys. Dark Univ. 42 (2023) 101285, arXiv:2301.11619 [gr-qc].
  • [4571] J. M. Diego, “Constraining the abundance of primordial black holes with gravitational lensing of gravitational waves at LIGO frequencies,” Phys. Rev. D 101 no. 12, (2020) 123512, arXiv:1911.05736 [astro-ph.CO].
  • [4572] R. O. Hansen, “Postnewtonian gravitational radiation from point masses in a hyperbolic Kepler orbit,” Phys. Rev. D 5 (1972) 1021–1023.
  • [4573] M. Turner, “Gravitational radiation from point-masses in unbound orbits - Newtonian results,” ApJ 216 (Sept., 1977) 610–619.
  • [4574] M. Turner and C. M. Will, “Post-Newtonian gravitational bremsstrahlung,” Astrophys. J. 220 (1978) 1107–1124.
  • [4575] S. Capozziello, M. De Laurentis, F. De Paolis, G. Ingrosso, and A. Nucita, “Gravitational waves from hyperbolic encounters,” Mod. Phys. Lett. A 23 (2008) 99–107, arXiv:0801.0122 [gr-qc].
  • [4576] L. De Vittori, P. Jetzer, and A. Klein, “Gravitational wave energy spectrum of hyperbolic encounters,” Phys. Rev. D 86 (2012) 044017, arXiv:1207.5359 [gr-qc].
  • [4577] D. Bini and T. Damour, “Gravitational radiation reaction along general orbits in the effective one-body formalism,” Phys. Rev. D 86 (2012) 124012, arXiv:1210.2834 [gr-qc].
  • [4578] T. Damour, F. Guercilena, I. Hinder, S. Hopper, A. Nagar, and L. Rezzolla, “Strong-Field Scattering of Two Black Holes: Numerics Versus Analytics,” Phys. Rev. D 89 no. 8, (2014) 081503, arXiv:1402.7307 [gr-qc].
  • [4579] L. De Vittori, A. Gopakumar, A. Gupta, and P. Jetzer, “Gravitational waves from spinning compact binaries in hyperbolic orbits,” Phys. Rev. D90 no. 12, (2014) 124066, arXiv:1410.6311 [gr-qc].
  • [4580] G. Cho, A. Gopakumar, M. Haney, and H. M. Lee, “Gravitational waves from compact binaries in post-Newtonian accurate hyperbolic orbits,” Phys. Rev. D 98 no. 2, (2018) 024039, arXiv:1807.02380 [gr-qc].
  • [4581] M. Gröbner, P. Jetzer, M. Haney, S. Tiwari, and W. Ishibashi, “A note on the gravitational wave energy spectrum of parabolic and hyperbolic encounters,” Class. Quant. Grav. 37 no. 6, (2020) 067002, arXiv:2001.05187 [gr-qc]. – 856 –
  • [4582] S. Hopper, A. Nagar, and P. Rettegno, “Strong-field scattering of two spinning black holes: Numerics versus analytics,” Phys. Rev. D 107 no. 12, (2023) 124034, arXiv:2204.10299 [gr-qc].
  • [4583] M. Caldarola, S. Kuroyanagi, S. Nesseris, and J. Garcia-Bellido, “Effects of orbital precession on hyperbolic encounters,” Phys. Rev. D 109 no. 6, (2024) 064001, arXiv:2307.00915 [gr-qc].
  • [4584] A. Roskill, M. Caldarola, S. Kuroyanagi, and S. Nesseris, “Mass octupole and current quadrupole corrections to gravitational wave emission from close hyperbolic encounters,” arXiv:2310.07439 [gr-qc].
  • [4585] M. Teuscher, A. Barrau, and K. Martineau, “Elementary considerations on gravitational waves from hyperbolic encounters,” arXiv:2402.10706 [gr-qc].
  • [4586] G. Morrás, J. Garcı́a-Bellido, and S. Nesseris, “Search for black hole hyperbolic encounters with gravitational wave detectors,” Phys. Dark Univ. 35 (2022) 100932, arXiv:2110.08000 [astro-ph.HE].
  • [4587] S. Bini, S. Tiwari, Y. Xu, L. Smith, M. Ebersold, G. Principe, M. Haney, P. Jetzer, and G. A. Prodi, “Search for hyperbolic encounters of compact objects in the third LIGO-Virgo-KAGRA observing run,” Phys. Rev. D 109 no. 4, (2024) 042009, arXiv:2311.06630 [gr-qc].
  • [4588] S. Dandapat, M. Ebersold, A. Susobhanan, P. Rana, A. Gopakumar, S. Tiwari, M. Haney, H. M. Lee, and N. Kolhe, “Gravitational waves from black-hole encounters: Prospects for ground and galaxy-based observatories,” Phys. Rev. D 108 no. 2, (2023) 024013, arXiv:2305.19318 [gr-qc].
  • [4589] M. Kerachian, S. Mukherjee, G. Lukes-Gerakopoulos, and S. Mitra, “Detectability of stochastic gravitational wave background from weakly hyperbolic encounters,” Astron. Astrophys. 684 (2024) A17, arXiv:2311.16634 [gr-qc].
  • [4590] E. Codazzo, M. Di Giovanni, and J. Harms, “Gravitational wave signals from long-lasting binary–single black hole encounters,” Eur. Phys. J. Plus 139 no. 1, (2024) 40, arXiv:2311.18032 [gr-qc].
  • [4591] N. Turok, “Grand Unified Strings and Galaxy Formation,” Nucl. Phys. B 242 (1984) 520–541.
  • [4592] J. J. Blanco-Pillado and K. D. Olum, “Form of cosmic string cusps,” Phys. Rev. D 59 (1999) 063508, arXiv:gr-qc/9810005. [Erratum: Phys.Rev.D 103, 029902 (2021)].
  • [4592] J. J. Blanco-Pillado and K. D. Olum, “Form of cosmic string cusps,” Phys. Rev. D 59 (1999) 063508, arXiv:gr-qc/9810005. [Erratum: Phys.Rev.D 103, 029902 (2021)].
  • [4593] K. D. Olum and J. J. Blanco-Pillado, “Field theory simulation of Abelian Higgs cosmic string cusps,” Phys. Rev. D 60 (1999) 023503, arXiv:gr-qc/9812040.
  • [4594] T. Damour and A. Vilenkin, “Gravitational radiation from cosmic (super)strings: Bursts, stochastic background, and observational windows,” Phys. Rev. D 71 (2005) 063510, arXiv:hep-th/0410222.
  • [4595] P. Auclair, D. A. Steer, and T. Vachaspati, “Repeated gravitational wave bursts from cosmic strings,” Phys. Rev. D 108 no. 12, (2023) 123540, arXiv:2306.08331 [gr-qc].
  • [4596] S. W. Hawking, “Black Holes From Cosmic Strings,” Phys. Lett. B 231 (1989) 237–239.
  • [4597] S. W. Hawking, “Gravitational radiation from collapsing cosmic string loops,” Phys. Lett. B 246 (1990) 36–38.
  • [4598] T. Helfer, J. C. Aurrekoetxea, and E. A. Lim, “Cosmic String Loop Collapse in Full General Relativity,” Phys. Rev. D 99 no. 10, (2019) 104028, arXiv:1808.06678 [gr-qc].
  • [4599] J. C. Aurrekoetxea, T. Helfer, and E. A. Lim, “Coherent Gravitational Waveforms and – 857 – Memory from Cosmic String Loops,” Class. Quant. Grav. 37 no. 20, (2020) 204001, arXiv:2002.05177 [gr-qc].
  • [4600] J. C. Aurrekoetxea, C. Hoy, and M. Hannam, “Revisiting the Cosmic String Origin of GW190521,” Phys. Rev. Lett. 132 no. 18, (2024) 181401, arXiv:2312.03860 [gr-qc].
  • [4601] A. Polnarev and R. Zembowicz, “Formation of Primordial Black Holes by Cosmic Strings,” Phys. Rev. D 43 (1991) 1106–1109.
  • [4602] R. N. Hansen, M. Christensen, and A. L. Larsen, “Cosmic string loops collapsing to black holes,” Int. J. Mod. Phys. A 15 (2000) 4433–4446, arXiv:gr-qc/9902048.
  • [4603] L. Del Grosso, P. Pani, and A. Urbano, “Compact objects in and beyond the standard model from nonperturbative vacuum scalarization,” Phys. Rev. D 109 no. 9, (2024) 095006, arXiv:2401.06716 [hep-ph].
  • [4604] T. Damour, M. Soffel, and C.-m. Xu, “General relativistic celestial mechanics. 2. Translational equations of motion,” Phys. Rev. D 45 (1992) 1017–1044.
  • [4605] R. F. Diedrichs, N. Becker, C. Jockel, J.-E. Christian, L. Sagunski, and J. Schaffner-Bielich, “Tidal deformability of fermion-boson stars: Neutron stars admixed with ultralight dark matter,” Phys. Rev. D 108 no. 6, (2023) 064009, arXiv:2303.04089 [gr-qc].
  • [4606] J. Garcı́a-Bellido and S. Nesseris, “Gravitational wave energy emission and detection rates of Primordial Black Hole hyperbolic encounters,” Phys. Dark Univ. 21 (2018) 61–69, arXiv:1711.09702 [astro-ph.HE].
  • [4607] J. J. Blanco-Pillado, K. D. Olum, and B. Shlaer, “Cosmic string loop shapes,” Phys. Rev. D 92 no. 6, (2015) 063528, arXiv:1508.02693 [astro-ph.CO].
  • [4608] J. W. Murphy, C. D. Ott, and A. Burrows, “A Model for Gravitational Wave Emission from Neutrino-Driven Core-Collapse Supernovae,” ApJ 707 (Dec., 2009) 1173–1190, arXiv:0907.4762 [astro-ph.SR].
  • [4609] K. N. Yakunin, P. Marronetti, A. Mezzacappa, S. W. Bruenn, C.-T. Lee, M. A. Chertkow, W. R. Hix, J. M. Blondin, E. J. Lentz, O. E. B. Messer, and S. Yoshida, “Gravitational waves from core collapse supernovae,” Classical and Quantum Gravity 27 no. 19, (Oct., 2010) 194005, arXiv:1005.0779 [gr-qc].
  • [4610] B. Müller, H.-T. Janka, and A. Marek, “A New Multi-dimensional General Relativistic Neutrino Hydrodynamics Code of Core-collapse Supernovae. III. Gravitational Wave Signals from Supernova Explosion Models,” ApJ 766 (Mar., 2013) 43, arXiv:1210.6984 [astro-ph.SR].
  • [4611] T. Kuroda, T. Takiwaki, and K. Kotake, “Gravitational wave signatures from low-mode spiral instabilities in rapidly rotating supernova cores,” Phys. Rev. D 89 no. 4, (Feb., 2014) 044011, arXiv:1304.4372 [astro-ph.HE].
  • [4612] K. N. Yakunin, A. Mezzacappa, P. Marronetti, S. Yoshida, S. W. Bruenn, W. R. Hix, E. J. Lentz, O. E. Bronson Messer, J. A. Harris, E. Endeve, J. M. Blondin, and E. J. Lingerfelt, “Gravitational wave signatures of ab initio two-dimensional core collapse supernova explosion models for 12 -25 M? stars,” Phys. Rev. D 92 no. 8, (Oct., 2015) 084040, arXiv:1505.05824 [astro-ph.HE].
  • [4613] T. Kuroda, K. Kotake, and T. Takiwaki, “A New Gravitational-wave Signature from Standing Accretion Shock Instability in Supernovae,” ApJ 829 (Sept., 2016) L14, arXiv:1605.09215 [astro-ph.HE].
  • [4614] H. Andresen, B. Müller, E. Müller, and H.-T. Janka, “Gravitational wave signals from 3D neutrino hydrodynamics simulations of core-collapse supernovae,” MNRAS 468 (June, 2017) 2032–2051, arXiv:1607.05199 [astro-ph.HE]. – 858 –
  • [4615] B. Müller, “Gravitational Waves from Core-Collapse Supernovae,” arXiv:1703.04633 [astro-ph.HE].
  • [4616] T. Kuroda, K. Kotake, K. Hayama, and T. Takiwaki, “Correlated Signatures of Gravitational-Wave and Neutrino Emission in Three-Dimensional General-Relativistic Core-Collapse Supernova Simulations,” ArXiv e-prints (Aug., 2017) , arXiv:1708.05252 [astro-ph.HE].
  • [4617] T. Takiwaki and K. Kotake, “Anisotropic emission of neutrino and gravitational-wave signals from rapidly rotating core-collapse supernovae,” MNRAS (Jan., 2018) , arXiv:1711.01905 [astro-ph.HE].
  • [4618] V. Morozova, D. Radice, A. Burrows, and D. Vartanyan, “The Gravitational Wave Signal from Core-collapse Supernovae,” ApJ 861 (July, 2018) 10, arXiv:1801.01914 [astro-ph.HE].
  • [4619] D. Radice, V. Morozova, A. Burrows, D. Vartanyan, and H. Nagakura, “Characterizing the Gravitational Wave Signal from Core-collapse Supernovae,” ApJ 876 no. 1, (May, 2019) L9, arXiv:1812.07703 [astro-ph.HE].
  • [4620] K. Hayama, T. Kuroda, K. Kotake, and T. Takiwaki, “Circular polarization of gravitational waves from non-rotating supernova cores: a new probe into the pre-explosion hydrodynamics,” ArXiv e-prints (Feb., 2018) , arXiv:1802.03842 [astro-ph.HE].
  • [4621] A. Burrows, J. Hayes, and B. A. Fryxell, “On the Nature of Core-Collapse Supernova Explosions,” ApJ 450 (Sept., 1995) 830, astro-ph/9506061.
  • [4622] A. Marek, H.-T. Janka, and E. Müller, “Equation-of-state dependent features in shock-oscillation modulated neutrino and gravitational-wave signals from supernovae,” A&A 496 (Mar., 2009) 475–494, arXiv:0808.4136.
  • [4623] A. Burrows and J. Hayes, “Pulsar Recoil and Gravitational Radiation Due to Asymmetrical Stellar Collapse and Explosion,” Phys. Rev. Lett. 76 no. 3, (Jan., 1996) 352–355, arXiv:astro-ph/9511106 [astro-ph].
  • [4624] D. Vartanyan and A. Burrows, “Gravitational Waves from Neutrino Emission Asymmetries in Core-collapse Supernovae,” ApJ 901 no. 2, (Oct., 2020) 108, arXiv:2007.07261 [astro-ph.HE].
  • [4625] M. Mukhopadhyay, C. Cardona, and C. Lunardini, “The neutrino gravitational memory from a core collapse supernova: phenomenology and physics potential,” JCAP 07 (2021) 055, arXiv:2105.05862 [astro-ph.HE].
  • [4626] C. J. Richardson, M. Zanolin, H. Andresen, M. J. Szczepańczyk, K. Gill, and A. Wongwathanarat, “Modeling core-collapse supernovae gravitational-wave memory in laser interferometric data,” Phys. Rev. D 105 no. 10, (May, 2022) 103008, arXiv:2109.01582 [astro-ph.HE].
  • [4627] M. Mukhopadhyay, Z. Lin, and C. Lunardini, “Memory-triggered supernova neutrino detection,” Phys. Rev. D 106 no. 4, (Aug., 2022) 043020, arXiv:2110.14657 [astro-ph.HE].
  • [4628] P. G. Bergmann, “Comments on the scalar tensor theory,” Int. J. Theor. Phys. 1 (1968) 25–36.
  • [4629] R. V. Wagoner, “Scalar tensor theory and gravitational waves,” Phys. Rev. D 1 (1970) 3209–3216.
  • [4630] C. A. R. Herdeiro and E. Radu, “Asymptotically flat black holes with scalar hair: a review,” Int. J. Mod. Phys. D 24 no. 09, (2015) 1542014, arXiv:1504.08209 [gr-qc].
  • [4631] T. Jacobson, “Primordial black hole evolution in tensor scalar cosmology,” Phys. Rev. Lett. 83 (1999) 2699–2702, arXiv:astro-ph/9905303. – 859 –
  • [4632] K. Clough, P. G. Ferreira, and M. Lagos, “Growth of massive scalar hair around a Schwarzschild black hole,” Phys. Rev. D 100 no. 6, (2019) 063014, arXiv:1904.12783 [gr-qc].
  • [4633] T. Damour and G. Esposito-Farèse, “Tensor multiscalar theories of gravitation,” Class. Quant. Grav. 9 (1992) 2093–2176.
  • [4634] S. Mirshekari and C. M. Will, “Compact binary systems in scalar-tensor gravity: Equations of motion to 2.5 post-Newtonian order,” Phys. Rev. D 87 no. 8, (2013) 084070, arXiv:1301.4680 [gr-qc].
  • [4635] R. N. Lang, “Compact binary systems in scalar-tensor gravity. II. Tensor gravitational waves to second post-Newtonian order,” Phys. Rev. D 89 no. 8, (2014) 084014, arXiv:1310.3320 [gr-qc].
  • [4636] R. N. Lang, “Compact binary systems in scalar-tensor gravity. III. Scalar waves and energy flux,” Phys. Rev. D 91 no. 8, (2015) 084027, arXiv:1411.3073 [gr-qc].
  • [4637] L. Bernard, “Dipolar tidal effects in scalar-tensor theories,” Phys. Rev. D 101 no. 2, (2020) 021501, arXiv:1906.10735 [gr-qc].
  • [4638] O. Schön and D. D. Doneva, “Tensor-multiscalar gravity: Equations of motion to 2.5 post-Newtonian order,” Phys. Rev. D 105 no. 6, (2022) 064034, arXiv:2112.07388 [gr-qc].
  • [4639] L. Bernard, E. Dones, and S. Mougiakakos, “Tidal effects up to next-to-next-to leading post-Newtonian order in massless scalar-tensor theories,” arXiv:2310.19679 [gr-qc].
  • [4640] K. Yagi, L. C. Stein, N. Yunes, and T. Tanaka, “Post-Newtonian, Quasi-Circular Binary Inspirals in Quadratic Modified Gravity,” Phys. Rev. D 85 (2012) 064022, arXiv:1110.5950 [gr-qc]. [Erratum: Phys.Rev.D 93, 029902 (2016)].
  • [4640] K. Yagi, L. C. Stein, N. Yunes, and T. Tanaka, “Post-Newtonian, Quasi-Circular Binary Inspirals in Quadratic Modified Gravity,” Phys. Rev. D 85 (2012) 064022, arXiv:1110.5950 [gr-qc]. [Erratum: Phys.Rev.D 93, 029902 (2016)].
  • [4641] N. Loutrel, T. Tanaka, and N. Yunes, “Spin-Precessing Black Hole Binaries in Dynamical Chern-Simons Gravity,” Phys. Rev. D 98 no. 6, (2018) 064020, arXiv:1806.07431 [gr-qc].
  • [4642] B. Shiralilou, T. Hinderer, S. Nissanke, N. Ortiz, and H. Witek, “Nonlinear curvature effects in gravitational waves from inspiralling black hole binaries,” Phys. Rev. D 103 no. 12, (2021) L121503, arXiv:2012.09162 [gr-qc].
  • [4643] B. Shiralilou, T. Hinderer, S. M. Nissanke, N. Ortiz, and H. Witek, “Post-Newtonian gravitational and scalar waves in scalar-Gauss–Bonnet gravity,” Class. Quant. Grav. 39 no. 3, (2022) 035002, arXiv:2105.13972 [gr-qc].
  • [4644] N. Loutrel and N. Yunes, “Parity violation in spin-precessing binaries: Gravitational waves from the inspiral of black holes in dynamical Chern-Simons gravity,” Phys. Rev. D 106 no. 6, (2022) 064009, arXiv:2205.02675 [gr-qc].
  • [4645] Z. Lyu, N. Jiang, and K. Yagi, “Constraints on Einstein-dilation-Gauss-Bonnet gravity from black hole-neutron star gravitational wave events,” Phys. Rev. D 105 no. 6, (2022) 064001, arXiv:2201.02543 [gr-qc]. [Erratum: Phys.Rev.D 106, 069901 (2022), Erratum: Phys.Rev.D 106, 069901 (2022)].
  • [4645] Z. Lyu, N. Jiang, and K. Yagi, “Constraints on Einstein-dilation-Gauss-Bonnet gravity from black hole-neutron star gravitational wave events,” Phys. Rev. D 105 no. 6, (2022) 064001, arXiv:2201.02543 [gr-qc]. [Erratum: Phys.Rev.D 106, 069901 (2022), Erratum: Phys.Rev.D 106, 069901 (2022)].
  • [4645] Z. Lyu, N. Jiang, and K. Yagi, “Constraints on Einstein-dilation-Gauss-Bonnet gravity from black hole-neutron star gravitational wave events,” Phys. Rev. D 105 no. 6, (2022) 064001, arXiv:2201.02543 [gr-qc]. [Erratum: Phys.Rev.D 106, 069901 (2022), Erratum: Phys.Rev.D 106, 069901 (2022)].
  • [4646] F.-L. Julié, “On the motion of hairy black holes in Einstein-Maxwell-dilaton theories,” JCAP 01 (2018) 026, arXiv:1711.10769 [gr-qc].
  • [4647] N. Sennett, R. Brito, A. Buonanno, V. Gorbenko, and L. Senatore, “Gravitational-Wave Constraints on an Effective Field-Theory Extension of General Relativity,” Phys. Rev. D 102 no. 4, (2020) 044056, arXiv:1912.09917 [gr-qc].
  • [4648] M. Accettulli Huber, A. Brandhuber, S. De Angelis, and G. Travaglini, “From amplitudes to gravitational radiation with cubic interactions and tidal effects,” Phys. Rev. D 103 no. 4, (2021) 045015, arXiv:2012.06548 [hep-th]. – 860 –
  • [4649] M. Ponce, C. Palenzuela, E. Barausse, and L. Lehner, “Electromagnetic outflows in a class of scalar-tensor theories: Binary neutron star coalescence,” Phys. Rev. D 91 no. 8, (2015) 084038, arXiv:1410.0638 [gr-qc].
  • [4650] J. Bamber, J. C. Aurrekoetxea, K. Clough, and P. G. Ferreira, “Black hole merger simulations in wave dark matter environments,” Phys. Rev. D 107 no. 2, (2023) 024035, arXiv:2210.09254 [gr-qc].
  • [4651] J. C. Aurrekoetxea, K. Clough, J. Bamber, and P. G. Ferreira, “The effect of wave dark matter on equal mass black hole mergers,” arXiv:2311.18156 [gr-qc].
  • [4652] J. Cayuso, N. Ortiz, and L. Lehner, “Fixing extensions to general relativity in the nonlinear regime,” Phys. Rev. D 96 no. 8, (2017) 084043, arXiv:1706.07421 [gr-qc].
  • [4653] G. Allwright and L. Lehner, “Towards the nonlinear regime in extensions to GR: assessing possible options,” Class. Quant. Grav. 36 no. 8, (2019) 084001, arXiv:1808.07897 [gr-qc].
  • [4654] G. Lara, M. Bezares, and E. Barausse, “UV completions, fixing the equations, and nonlinearities in k-essence,” Phys. Rev. D 105 no. 6, (2022) 064058, arXiv:2112.09186 [gr-qc].
  • [4655] R. Cayuso, P. Figueras, T. França, and L. Lehner, “Self-Consistent Modeling of Gravitational Theories beyond General Relativity,” Phys. Rev. Lett. 131 no. 11, (2023) 111403.
  • [4656] R. Cayuso, A. Kuntz, M. Bezares, and E. Barausse, “Scalar emission from neutron star-black hole binaries in scalar-tensor theories with kinetic screening,” Phys. Rev. D 110 no. 10, (2024) 104071, arXiv:2410.16367 [gr-qc].
  • [4657] A. Held and H. Lim, “Nonlinear evolution of quadratic gravity in 3+1 dimensions,” Phys. Rev. D 108 no. 10, (2023) 104025, arXiv:2306.04725 [gr-qc].
  • [4658] M. Corman, L. Lehner, W. E. East, and G. Dideron, “Nonlinear studies of modifications to general relativity: Comparing different approaches,” Phys. Rev. D 110 no. 8, (2024) 084048, arXiv:2405.15581 [gr-qc].
  • [4659] J. L. Blázquez-Salcedo, D. D. Doneva, S. Kahlen, J. Kunz, P. Nedkova, and S. S. Yazadjiev, “Axial perturbations of the scalarized Einstein-Gauss-Bonnet black holes,” Phys. Rev. D 101 no. 10, (2020) 104006, arXiv:2003.02862 [gr-qc].
  • [4660] L. Pierini and L. Gualtieri, “Quasi-normal modes of rotating black holes in Einstein-dilaton Gauss-Bonnet gravity: the first order in rotation,” Phys. Rev. D 103 (2021) 124017, arXiv:2103.09870 [gr-qc].
  • [4661] T. Evstafyeva, M. Agathos, and J. L. Ripley, “Measuring the ringdown scalar polarization of gravitational waves in Einstein scalar Gauss-Bonnet gravity,” arXiv:2212.11359 [gr-qc].
  • [4662] M. Srivastava, Y. Chen, and S. Shankaranarayanan, “Analytical computation of quasinormal modes of slowly rotating black holes in dynamical Chern-Simons gravity,” Phys. Rev. D 104 no. 6, (2021) 064034, arXiv:2106.06209 [gr-qc].
  • [4663] O. J. Tattersall, “Quasi-Normal Modes of Hairy Scalar Tensor Black Holes: Odd Parity,” Class. Quant. Grav. 37 no. 11, (2020) 115007, arXiv:1911.07593 [gr-qc].
  • [4664] C. de Rham, J. Francfort, and J. Zhang, “Black Hole Gravitational Waves in the Effective Field Theory of Gravity,” Phys. Rev. D 102 no. 2, (2020) 024079, arXiv:2005.13923 [hep-th].
  • [4665] A. Hussain and A. Zimmerman, “Approach to computing spectral shifts for black holes beyond Kerr,” Phys. Rev. D 106 no. 10, (2022) 104018, arXiv:2206.10653 [gr-qc].
  • [4666] P. A. Cano, K. Fransen, T. Hertog, and S. Maenaut, “Universal Teukolsky equations and black hole perturbations in higher-derivative gravity,” Phys. Rev. D 108 no. 2, (2023) 024040, arXiv:2304.02663 [gr-qc]. – 861 –
  • [4667] D. Li, A. Hussain, P. Wagle, Y. Chen, N. Yunes, and A. Zimmerman, “Isospectrality breaking in the Teukolsky formalism,” arXiv:2310.06033 [gr-qc].
  • [4668] P. Wagle, D. Li, Y. Chen, and N. Yunes, “Perturbations of spinning black holes in dynamical Chern-Simons gravity I. Slow rotation equations,” arXiv:2311.07706 [gr-qc].
  • [4669] A. K.-W. Chung, P. Wagle, and N. Yunes, “Spectral method for metric perturbations of black holes: Kerr background case in general relativity,” Phys. Rev. D 109 no. 4, (2024) 044072, arXiv:2312.08435 [gr-qc].
  • [4670] J. L. Blázquez-Salcedo, F. S. Khoo, J. Kunz, and L. M. González-Romero, “Quasinormal modes of Kerr black holes using a spectral decomposition of the metric perturbations,” Phys. Rev. D 109 no. 6, (2024) 064028, arXiv:2312.10754 [gr-qc].
  • [4671] A. K.-W. Chung and N. Yunes, “Ringing out General Relativity: Quasi-normal mode frequencies for black holes of any spin in modified gravity,” arXiv:2405.12280 [gr-qc].
  • [4672] A. K.-W. Chung and N. Yunes, “Quasi-normal mode frequencies and gravitational perturbations of black holes with any subextremal spin in modified gravity through METRICS: the scalar-Gauss-Bonnet gravity case,” arXiv:2406.11986 [gr-qc].
  • [4673] F.-L. Julié, “Reducing the two-body problem in scalar-tensor theories to the motion of a test particle : a scalar-tensor effective-one-body approach,” Phys. Rev. D 97 no. 2, (2018) 024047, arXiv:1709.09742 [gr-qc].
  • [4674] N. Cornish, L. Sampson, N. Yunes, and F. Pretorius, “Gravitational Wave Tests of General Relativity with the Parameterized Post-Einsteinian Framework,” Phys. Rev. D 84 (2011) 062003, arXiv:1105.2088 [gr-qc].
  • [4675] N. Loutrel, P. Pani, and N. Yunes, “Parametrized post-Einsteinian framework for precessing binaries,” Phys. Rev. D 107 no. 4, (2023) 044046, arXiv:2210.10571 [gr-qc].
  • [4676] L. Jenks, L. Choi, M. Lagos, and N. Yunes, “Parametrized parity violation in gravitational wave propagation,” Phys. Rev. D 108 no. 4, (2023) 044023, arXiv:2305.10478 [gr-qc].
  • [4677] A. K. Mehta, A. Buonanno, R. Cotesta, A. Ghosh, N. Sennett, and J. Steinhoff, “Tests of general relativity with gravitational-wave observations using a flexible theory-independent method,” Phys. Rev. D 107 no. 4, (2023) 044020, arXiv:2203.13937 [gr-qc].
  • [4678] E. Maggio, H. O. Silva, A. Buonanno, and A. Ghosh, “Tests of general relativity in the nonlinear regime: A parametrized plunge-merger-ringdown gravitational waveform model,” Phys. Rev. D 108 no. 2, (2023) 024043, arXiv:2212.09655 [gr-qc].
  • [4679] A. Ghosh, R. Brito, and A. Buonanno, “Constraints on quasinormal-mode frequencies with LIGO-Virgo binary–black-hole observations,” Phys. Rev. D 103 no. 12, (2021) 124041, arXiv:2104.01906 [gr-qc].
  • [4680] H. O. Silva, A. Ghosh, and A. Buonanno, “Black-hole ringdown as a probe of higher-curvature gravity theories,” Phys. Rev. D 107 no. 4, (2023) 044030, arXiv:2205.05132 [gr-qc].
  • [4681] A. Maselli, P. Pani, L. Gualtieri, and E. Berti, “Parametrized ringdown spin expansion coefficients: a data-analysis framework for black-hole spectroscopy with multiple events,” Phys. Rev. D 101 no. 2, (2020) 024043, arXiv:1910.12893 [gr-qc].
  • [4682] A. Maselli, S. Yi, L. Pierini, V. Vellucci, L. Reali, L. Gualtieri, and E. Berti, “Black hole spectroscopy beyond Kerr: agnostic and theory-based tests with next-generation interferometers,” arXiv:2311.14803 [gr-qc].
  • [4683] O. Sarbach, E. Barausse, and J. A. Preciado-López, “Well-posed Cauchy formulation for Einstein-æther theory,” Class. Quant. Grav. 36 no. 16, (2019) 165007, arXiv:1902.05130 [gr-qc]. – 862 –
  • [4684] D. Garfinkle, C. Eling, and T. Jacobson, “Numerical simulations of gravitational collapse in Einstein-aether theory,” Phys. Rev. D 76 (2007) 024003, arXiv:gr-qc/0703093.
  • [4685] F. Torsello, M. Kocic, M. Högås, and E. Mörtsell, “Covariant BSSN formulation in bimetric relativity,” Class. Quant. Grav. 37 no. 2, (2020) 025013, arXiv:1904.07869 [gr-qc]. [Erratum: Class.Quant.Grav. 37, 079501 (2020)].
  • [4685] F. Torsello, M. Kocic, M. Högås, and E. Mörtsell, “Covariant BSSN formulation in bimetric relativity,” Class. Quant. Grav. 37 no. 2, (2020) 025013, arXiv:1904.07869 [gr-qc]. [Erratum: Class.Quant.Grav. 37, 079501 (2020)].
  • [4686] M. Kocic, F. Torsello, M. Högås, and E. Mörtsell, “Initial data and first evolutions of dust clouds in bimetric relativity,” Class. Quant. Grav. 37 no. 16, (2020) 165010.
  • [4687] C. de Rham, J. Kożuszek, A. J. Tolley, and T. Wiseman, “Dynamical formulation of ghost-free massive gravity,” Phys. Rev. D 108 no. 8, (2023) 084052, arXiv:2302.04876 [hep-th].
  • [4688] N. J. Cornish, “Fast Fisher Matrices and Lazy Likelihoods,” (7, 2010) , arXiv:1007.4820 [gr-qc].
  • [4689] B. Zackay, L. Dai, and T. Venumadhav, “Relative Binning and Fast Likelihood Evaluation for Gravitational Wave Parameter Estimation,” arXiv:1806.08792 [astro-ph.IM].
  • [4690] N. J. Cornish, “Heterodyned likelihood for rapid gravitational wave parameter inference,” Phys. Rev. D 104 no. 10, (2021) 104054, arXiv:2109.02728 [gr-qc].
  • [4691] N. Leslie, L. Dai, and G. Pratten, “Mode-by-mode relative binning: Fast likelihood estimation for gravitational waveforms with spin-orbit precession and multiple harmonics,” Phys. Rev. D 104 no. 12, (2021) 123030, arXiv:2109.09872 [astro-ph.IM].
  • [4692] H. Antil, S. E. Field, F. Herrmann, R. H. Nochetto, and M. Tiglio, “Two-step greedy algorithm for reduced order quadratures,” J. Sci. Comput. 57 (2013) 604–637, arXiv:1210.0577 [cs.NA].
  • [4693] P. Canizares, S. E. Field, J. R. Gair, and M. Tiglio, “Gravitational wave parameter estimation with compressed likelihood evaluations,” Phys. Rev. D 87 no. 12, (2013) 124005, arXiv:1304.0462 [gr-qc].
  • [4694] R. Smith, S. E. Field, K. Blackburn, C.-J. Haster, M. Pürrer, V. Raymond, and P. Schmidt, “Fast and accurate inference on gravitational waves from precessing compact binaries,” Phys. Rev. D 94 no. 4, (2016) 044031, arXiv:1604.08253 [gr-qc].
  • [4695] S. Vinciguerra, J. Veitch, and I. Mandel, “Accelerating gravitational wave parameter estimation with multi-band template interpolation,” Class. Quant. Grav. 34 no. 11, (2017) 115006, arXiv:1703.02062 [gr-qc].
  • [4696] S. Morisaki, “Accelerating parameter estimation of gravitational waves from compact binary coalescence using adaptive frequency resolutions,” Phys. Rev. D 104 no. 4, (2021) 044062, arXiv:2104.07813 [gr-qc].
  • [4697] Y. Bouffanais and E. K. Porter, “Bayesian inference for binary neutron star inspirals using a Hamiltonian Monte Carlo algorithm,” Phys. Rev. D 100 no. 10, (2019) 104023, arXiv:1810.07443 [gr-qc].
  • [4698] S. R. Green and J. Gair, “Complete parameter inference for GW150914 using deep learning,” Mach. Learn. Sci. Tech. 2 no. 3, (2021) 03LT01, arXiv:2008.03312 [astro-ph.IM].
  • [4699] M. Dax, S. R. Green, J. Gair, J. H. Macke, A. Buonanno, and B. Schölkopf, “Real-Time Gravitational Wave Science with Neural Posterior Estimation,” Phys. Rev. Lett. 127 no. 24, (2021) 241103, arXiv:2106.12594 [gr-qc].
  • [4700] M. Dax, S. R. Green, J. Gair, M. Pürrer, J. Wildberger, J. H. Macke, A. Buonanno, and B. Schölkopf, “Neural Importance Sampling for Rapid and Reliable Gravitational-Wave Inference,” Phys. Rev. Lett. 130 no. 17, (2023) 171403, arXiv:2210.05686 [gr-qc]. – 863 –
  • [4701] S. E. Field, C. R. Galley, F. Herrmann, J. S. Hesthaven, E. Ochsner, and M. Tiglio, “Reduced basis catalogs for gravitational wave templates,” Phys. Rev. Lett. 106 (2011) 221102, arXiv:1101.3765 [gr-qc].
  • [4702] K. Cannon, C. Hanna, and D. Keppel, “Interpolating compact binary waveforms using the singular value decomposition,” Phys. Rev. D 85 (2012) 081504, arXiv:1108.5618 [gr-qc].
  • [4703] S. Droz, D. J. Knapp, E. Poisson, and B. J. Owen, “Gravitational waves from inspiraling compact binaries: Validity of the stationary phase approximation to the Fourier transform,” Phys. Rev. D 59 (1999) 124016, arXiv:gr-qc/9901076.
  • [4704] A. Klein, N. Cornish, and N. Yunes, “Fast Frequency-domain Waveforms for Spin-Precessing Binary Inspirals,” Phys. Rev. D 90 (2014) 124029, arXiv:1408.5158 [gr-qc].
  • [4705] R. J. E. Smith, K. Cannon, C. Hanna, D. Keppel, and I. Mandel, “Towards Rapid Parameter Estimation on Gravitational Waves from Compact Binaries using Interpolated Waveforms,” Phys. Rev. D 87 no. 12, (2013) 122002, arXiv:1211.1254 [astro-ph.HE].
  • [4706] K. Cannon, J. D. Emberson, C. Hanna, D. Keppel, and H. Pfeiffer, “Interpolation in waveform space: enhancing the accuracy of gravitational waveform families using numerical relativity,” Phys. Rev. D 87 no. 4, (2013) 044008, arXiv:1211.7095 [gr-qc].
  • [4707] M. Pürrer, “Frequency domain reduced order models for gravitational waves from aligned-spin compact binaries,” Class. Quant. Grav. 31 no. 19, (2014) 195010, arXiv:1402.4146 [gr-qc].
  • [4708] M. Pürrer, “Frequency domain reduced order model of aligned-spin effective-one-body waveforms with generic mass-ratios and spins,” Phys. Rev. D 93 no. 6, (2016) 064041, arXiv:1512.02248 [gr-qc].
  • [4709] P. Canizares, S. E. Field, J. Gair, V. Raymond, R. Smith, and M. Tiglio, “Accelerated gravitational-wave parameter estimation with reduced order modeling,” Phys. Rev. Lett. 114 no. 7, (2015) 071104, arXiv:1404.6284 [gr-qc].
  • [4710] B. D. Lackey, S. Bernuzzi, C. R. Galley, J. Meidam, and C. Van Den Broeck, “Effective-one-body waveforms for binary neutron stars using surrogate models,” Phys. Rev. D 95 no. 10, (2017) 104036, arXiv:1610.04742 [gr-qc].
  • [4711] S. Marsat, J. G. Baker, and T. Dal Canton, “Exploring the Bayesian parameter estimation of binary black holes with LISA,” Phys. Rev. D 103 no. 8, (2021) 083011, arXiv:2003.00357 [gr-qc].
  • [4712] B. Gadre, M. Pürrer, S. E. Field, S. Ossokine, and V. Varma, “A fully precessing higher-mode surrogate model of effective-one-body waveforms,” arXiv:2203.00381 [gr-qc].
  • [4713] M. C. Digman and N. J. Cornish, “Parameter Estimation for Stellar-Origin Black Hole Mergers In LISA,” arXiv:2212.04600 [gr-qc].
  • [4714] A. J. K. Chua, C. R. Galley, and M. Vallisneri, “Reduced-order modeling with artificial neurons for gravitational-wave inference,” Phys. Rev. Lett. 122 no. 21, (2019) 211101, arXiv:1811.05491 [astro-ph.IM].
  • [4715] Y. Setyawati, M. Pürrer, and F. Ohme, “Regression methods in waveform modeling: a comparative study,” Class. Quant. Grav. 37 no. 7, (2020) 075012, arXiv:1909.10986 [astro-ph.IM].
  • [4716] J. Lee, S. H. Oh, K. Kim, G. Cho, J. J. Oh, E. J. Son, and H. M. Lee, “Deep learning model on gravitational waveforms in merging and ringdown phases of binary black hole coalescences,” Phys. Rev. D 103 no. 12, (2021) 123023, arXiv:2101.05685 [astro-ph.IM].
  • [4717] C.-H. Liao and F.-L. Lin, “Deep generative models of gravitational waveforms via conditional autoencoder,” Phys. Rev. D 103 no. 12, (2021) 124051, arXiv:2101.06685 [astro-ph.IM]. – 864 –
  • [4718] E. A. Huerta et al., “Eccentric, nonspinning, inspiral, Gaussian-process merger approximant for the detection and characterization of eccentric binary black hole mergers,” Phys. Rev. D 97 no. 2, (2018) 024031, arXiv:1711.06276 [gr-qc].
  • [4719] P. Nousi, S.-C. Fragkouli, N. Passalis, P. Iosif, T. Apostolatos, G. Pappas, N. Stergioulas, and A. Tefas, “Autoencoder-driven Spiral Representation Learning for Gravitational Wave Surrogate Modelling,” arXiv:2107.04312 [cs.LG].
  • [4720] S.-C. Fragkouli, P. Nousi, N. Passalis, P. Iosif, N. Stergioulas, and A. Tefas, “Deep Residual Error and Bag-of-Tricks Learning for Gravitational Wave Surrogate Modeling,” arXiv:2203.08434 [astro-ph.IM].
  • [4721] A. Khan, E. A. Huerta, and H. Zheng, “Interpretable AI forecasting for numerical relativity waveforms of quasicircular, spinning, nonprecessing binary black hole mergers,” Phys. Rev. D 105 no. 2, (2022) 024024, arXiv:2110.06968 [gr-qc].
  • [4722] D. Barsotti, F. Cerino, M. Tiglio, and A. Villanueva, “Gravitational wave surrogates through automated machine learning,” Class. Quant. Grav. 39 no. 8, (2022) 085011, arXiv:2110.08901 [gr-qc].
  • [4723] F. F. Freitas, C. A. R. Herdeiro, A. P. Morais, A. Onofre, R. Pasechnik, E. Radu, N. Sanchis-Gual, and R. Santos, “Generating gravitational waveform libraries of exotic compact binaries with deep learning,” arXiv:2203.01267 [gr-qc].
  • [4724] B. Keith, A. Khadse, and S. E. Field, “Learning orbital dynamics of binary black hole systems from gravitational wave measurements,” Phys. Rev. Res. 3 no. 4, (2021) 043101, arXiv:2102.12695 [gr-qc].
  • [4725] N. Christensen and R. Meyer, “Parameter estimation with gravitational waves,” Rev. Mod. Phys. 94 no. 2, (2022) 025001, arXiv:2204.04449 [gr-qc].
  • [4726] B. F. Schutz, “Networks of gravitational wave detectors and three figures of merit,” Class. Quant. Grav. 28 (2011) 125023, arXiv:1102.5421 [astro-ph.IM].
  • [4727] P. Jaranowski, A. Krolak, and B. F. Schutz, “Data analysis of gravitational - wave signals from spinning neutron stars. 1. The Signal and its detection,” Phys. Rev. D 58 (1998) 063001, arXiv:gr-qc/9804014.
  • [4728] C. Cutler, “Angular resolution of the LISA gravitational wave detector,” Phys. Rev. D 57 (1998) 7089–7102, arXiv:gr-qc/9703068.
  • [4729] N. J. Cornish and S. L. Larson, “LISA data analysis: Source identification and subtraction,” Phys. Rev. D 67 (2003) 103001, arXiv:astro-ph/0301548.
  • [4730] E. Racine, “Analysis of spin precession in binary black hole systems including quadrupole-monopole interaction,” Phys. Rev. D 78 (2008) 044021, arXiv:0803.1820 [gr-qc].
  • [4731] N. V. Krishnendu, K. G. Arun, and C. K. Mishra, “Testing the binary black hole nature of a compact binary coalescence,” Phys. Rev. Lett. 119 no. 9, (2017) 091101, arXiv:1701.06318 [gr-qc].
  • [4732] G. Ashton et al., “Nested sampling for physical scientists,” Nature 2 (2022) 39, arXiv:2205.15570 [stat.CO].
  • [4733] R. Smith et al., “Bayesian inference for gravitational waves from binary neutron star mergers in third-generation observatories,” arXiv:2103.12274 [gr-qc].
  • [4734] T. Wouters, P. T. H. Pang, T. Dietrich, and C. Van Den Broeck, “Robust parameter estimation within minutes on gravitational wave signals from binary neutron star inspirals,” (4, 2024) 17, arXiv:2404.11397 [astro-ph.IM]. – 865 –
  • [4735] C. L. Rodriguez, B. Farr, W. M. Farr, and I. Mandel, “Inadequacies of the Fisher Information Matrix in gravitational-wave parameter estimation,” Phys. Rev. D 88 no. 8, (2013) 084013, arXiv:1308.1397 [astro-ph.IM].
  • [4736] T. Robson, N. J. Cornish, and C. Liu, “The construction and use of LISA sensitivity curves,” Class. Quant. Grav. 36 no. 10, (2019) 105011, arXiv:1803.01944 [astro-ph.HE].
  • [4737] S. Borhanian, “Gwbench: a novel fisher information package for gravitational-wave benchmarking,” Classical and Quantum Gravity 38 no. 17, (Aug., 2021) 175014. http://dx.doi.org/10.1088/1361-6382/ac1618.
  • [4738] M. L. Chan, C. Messenger, I. S. Heng, and M. Hendry, “Binary Neutron Star Mergers and Third Generation Detectors: Localization and Early Warning,” Phys. Rev. D 97 no. 12, (2018) 123014, arXiv:1803.09680 [astro-ph.HE].
  • [4739] Y. Li, I. S. Heng, M. L. Chan, C. Messenger, and X. Fan, “Exploring the sky localization and early warning capabilities of third generation gravitational wave detectors in three-detector network configurations,” Phys. Rev. D 105 no. 4, (2022) 043010, arXiv:2109.07389 [astro-ph.IM].
  • [4740] A. Begnoni, S. Anselmi, M. Pieroni, A. Renzi, and A. Ricciardone, “Detectability and Parameter Estimation for Einstein Telescope Configurations with GWJulia,” arXiv:2506.21530 [astro-ph.CO].
  • [4741] LIGO Scientific Collaboration, Virgo Collaboration, and KAGRA Collaboration, “LVK Algorithm Library - LALSuite.” Free software (gpl), 2018.
  • [4742] K. Wette, “SWIGLAL: Python and Octave interfaces to the LALSuite gravitational-wave data analysis libraries,” SoftwareX 12 (2020) 100634, arXiv:2012.09552 [astro-ph.IM].
  • [4743] C. C. Margossian, “A review of automatic differentiation and its efficient implementation,” WIREs Data Mining and Knowledge Discovery 9 no. 4, (Mar., 2019) . http://dx.doi.org/10.1002/WIDM.1305.
  • [4744] J. Bradbury, R. Frostig, P. Hawkins, M. J. Johnson, C. Leary, D. Maclaurin, G. Necula, A. Paszke, J. VanderPlas, S. Wanderman-Milne, and Q. Zhang, “JAX: composable transformations of Python+NumPy programs,” 2018. http://github.com/google/jax.
  • [4745] J. Revels, M. Lubin, and T. Papamarkou, “Forward-Mode Automatic Differentiation in Julia,” arXiv:1607.07892 [cs.MS].
  • [4746] H.-Y. Chen, “Systematic Uncertainty of Standard Sirens from the Viewing Angle of Binary Neutron Star Inspirals,” Phys. Rev. Lett. 125 no. 20, (2020) 201301, arXiv:2006.02779 [astro-ph.HE].
  • [4747] H.-Y. Chen, C. Talbot, and E. A. Chase, “Mitigating the Counterpart Selection Effect for Standard Sirens,” Phys. Rev. Lett. 132 no. 19, (2024) 191003, arXiv:2307.10402 [astro-ph.CO].
  • [4748] J. M. S. de Souza and R. Sturani, “GWDALI: A Fisher-matrix based software for gravitational wave parameter-estimation beyond Gaussian approximation,” Astron. Comput. 45 (2023) 100759, arXiv:2307.10154 [gr-qc].
  • [4749] E. Sellentin, M. Quartin, and L. Amendola, “Breaking the spell of Gaussianity: forecasting with higher order Fisher matrices,” Mon. Not. Roy. Astron. Soc. 441 no. 2, (2014) 1831–1840, arXiv:1401.6892 [astro-ph.CO].
  • [4750] Z. Wang, C. Liu, J. Zhao, and L. Shao, “Extending the Fisher Information Matrix in Gravitational-wave Data Analysis,” Astrophys. J. 932 no. 2, (2022) 102, arXiv:2203.02670 [gr-qc]. – 866 –
  • [4751] Z. I. Botev, “The normal law under linear restrictions: Simulation and estimation via minimax tilting,” Journal of the Royal Statistical Society Series B: Statistical Methodology 79 no. 1, (2016) 125–148. http://dx.doi.org/10.1111/rssb.12162.
  • [4752] R. J. E. Smith, G. Ashton, A. Vajpeyi, and C. Talbot, “Massively parallel Bayesian inference for transient gravitational-wave astronomy,” Mon. Not. Roy. Astron. Soc. 498 no. 3, (2020) 4492–4502, arXiv:1909.11873 [gr-qc].
  • [4753] T. A. Callister, “Observed Gravitational-Wave Populations,” arXiv:2410.19145 [astro-ph.HE].
  • [4754] J. R. Gair, A. Antonelli, and R. Barbieri, “A Fisher matrix for gravitational-wave population inference,” Mon. Not. Roy. Astron. Soc. 519 no. 2, (2022) 2736–2753, arXiv:2205.07893 [gr-qc].
  • [4755] V. De Renzis, F. Iacovelli, D. Gerosa, M. Mancarella, and C. Pacilio, “Forecasting the population properties of merging black holes,” arXiv:2410.17325 [astro-ph.HE].
  • [4756] C. Talbot, A. Farah, S. Galaudage, J. Golomb, and H. Tong, “GWPopulation: Hardware agnostic population inference for compact binaries and beyond,” arXiv:2409.14143 [astro-ph.IM].
  • [4757] C. Talbot and J. Golomb, “Growing pains: understanding the impact of likelihood uncertainty on hierarchical Bayesian inference for gravitational-wave astronomy,” Mon. Not. Roy. Astron. Soc. 526 no. 3, (2023) 3495–3503, arXiv:2304.06138 [astro-ph.IM].
  • [4758] F. Iacovelli, E. Belgacem, M. Maggiore, M. Mancarella, and N. Muttoni, “Combining underground and on-surface third-generation gravitational-wave interferometers,” JCAP 10 (2024) 085, arXiv:2408.14946 [gr-qc].
  • [4759] M. Maggiore, F. Iacovelli, E. Belgacem, M. Mancarella, and N. Muttoni, “Comparison of global networks of third-generation gravitational-wave detectors,” arXiv:2411.05754 [gr-qc].
  • [4760] P. Ajith, “Addressing the spin question in gravitational-wave searches: Waveform templates for inspiralling compact binaries with nonprecessing spins,” Phys. Rev. D 84 (2011) 084037, arXiv:1107.1267 [gr-qc].
  • [4761] C. V. Vishveshwara, “Scattering of Gravitational Radiation by a Schwarzschild Black-hole,” Nature 227 (1970) 936–938.
  • [4762] W. H. Press, “Long Wave Trains of Gravitational Waves from a Vibrating Black Hole,” Astrophys. J. Lett. 170 (1971) L105–L108.
  • [4763] E. Berti, V. Cardoso, and A. O. Starinets, “Quasinormal modes of black holes and black branes,” Class. Quant. Grav. 26 (2009) 163001, arXiv:0905.2975 [gr-qc].
  • [4764] W. Israel, “Event horizons in static vacuum space-times,” Phys. Rev. 164 (1967) 1776–1779.
  • [4765] B. Carter, “Axisymmetric Black Hole Has Only Two Degrees of Freedom,” Phys. Rev. Lett. 26 (1971) 331–333.
  • [4766] S. W. Hawking, “Black holes in general relativity,” Commun. Math. Phys. 25 (1972) 152–166.
  • [4767] D. C. Robinson, “Uniqueness of the Kerr black hole,” Phys. Rev. Lett. 34 (1975) 905–906.
  • [4768] R. P. Kerr, “Gravitational field of a spinning mass as an example of algebraically special metrics,” Phys. Rev. Lett. 11 (1963) 237–238.
  • [4769] S. A. Teukolsky, “The Kerr Metric,” Class. Quant. Grav. 32 no. 12, (2015) 124006, arXiv:1410.2130 [gr-qc].
  • [4770] S. A. Teukolsky, “Rotating black holes - separable wave equations for gravitational and electromagnetic perturbations,” Phys. Rev. Lett. 29 (1972) 1114–1118. – 867 –
  • [4771] E. Barausse and T. P. Sotiriou, “Perturbed Kerr Black Holes can probe deviations from General Relativity,” Phys. Rev. Lett. 101 (2008) 099001, arXiv:0803.3433 [gr-qc].
  • [4772] N. Franchini and S. H. Völkel, “Testing General Relativity with Black Hole Quasi-Normal Modes,” arXiv:2305.01696 [gr-qc].
  • [4773] E. Berti, K. Yagi, H. Yang, and N. Yunes, “Extreme Gravity Tests with Gravitational Waves from Compact Binary Coalescences: (II) Ringdown,” Gen. Rel. Grav. 50 no. 5, (2018) 49, arXiv:1801.03587 [gr-qc].
  • [4774] L. London, D. Shoemaker, and J. Healy, “Modeling ringdown: Beyond the fundamental quasinormal modes,” Phys. Rev. D 90 no. 12, (2014) 124032, arXiv:1404.3197 [gr-qc]. [Erratum: Phys.Rev.D 94, 069902 (2016)].
  • [4774] L. London, D. Shoemaker, and J. Healy, “Modeling ringdown: Beyond the fundamental quasinormal modes,” Phys. Rev. D 90 no. 12, (2014) 124032, arXiv:1404.3197 [gr-qc]. [Erratum: Phys.Rev.D 94, 069902 (2016)].
  • [4775] L. T. London, “Modeling ringdown. II. Aligned-spin binary black holes, implications for data analysis and fundamental theory,” Phys. Rev. D 102 no. 8, (2020) 084052, arXiv:1801.08208 [gr-qc].
  • [4776] S. Borhanian, K. G. Arun, H. P. Pfeiffer, and B. S. Sathyaprakash, “Comparison of post-Newtonian mode amplitudes with numerical relativity simulations of binary black holes,” Class. Quant. Grav. 37 no. 6, (2020) 065006, arXiv:1901.08516 [gr-qc].
  • [4777] M. H.-Y. Cheung, E. Berti, V. Baibhav, and R. Cotesta, “Extracting linear and nonlinear quasinormal modes from black hole merger simulations,” Phys. Rev. D 109 no. 4, (2024) 044069, arXiv:2310.04489 [gr-qc].
  • [4778] E. Berti, V. Cardoso, and C. M. Will, “On gravitational-wave spectroscopy of massive black holes with the space interferometer LISA,” Phys. Rev. D 73 (2006) 064030, arXiv:gr-qc/0512160.
  • [4779] “Kerr qnm frequencies.” https://pages.jh.edu/eberti2/ringdown/.
  • [4780] L. London and E. Fauchon-Jones, “On modeling for Kerr black holes: Basis learning, QNM frequencies, and spherical-spheroidal mixing coefficients,” Class. Quant. Grav. 36 no. 23, (2019) 235015, arXiv:1810.03550 [gr-qc].
  • [4781] L. C. Stein, “qnm: A Python package for calculating Kerr quasinormal modes, separation constants, and spherical-spheroidal mixing coefficients,” J. Open Source Softw. 4 no. 42, (2019) 1683, arXiv:1908.10377 [gr-qc].
  • [4782] E. Barausse, V. Morozova, and L. Rezzolla, “On the mass radiated by coalescing black-hole binaries,” Astrophys. J. 758 (2012) 63, arXiv:1206.3803 [gr-qc]. [Erratum: Astrophys.J. 786, 76 (2014)].
  • [4782] E. Barausse, V. Morozova, and L. Rezzolla, “On the mass radiated by coalescing black-hole binaries,” Astrophys. J. 758 (2012) 63, arXiv:1206.3803 [gr-qc]. [Erratum: Astrophys.J. 786, 76 (2014)].
  • [4783] V. Varma, D. Gerosa, L. C. Stein, F. Hébert, and H. Zhang, “High-accuracy mass, spin, and recoil predictions of generic black-hole merger remnants,” Phys. Rev. Lett. 122 no. 1, (2019) 011101, arXiv:1809.09125 [gr-qc].
  • [4784] M. Boschini et al., “Extending black-hole remnant surrogate models to extreme mass ratios,” Phys. Rev. D 108 no. 8, (2023) 084015, arXiv:2307.03435 [gr-qc].
  • [4785] M. Isi and W. M. Farr, “Analyzing black-hole ringdowns,” arXiv:2107.05609 [gr-qc].
  • [4786] G. Carullo, W. Del Pozzo, and J. Veitch, “Observational Black Hole Spectroscopy: A time-domain multimode analysis of GW150914,” Phys. Rev. D 99 no. 12, (2019) 123029, arXiv:1902.07527 [gr-qc]. [Erratum: Phys.Rev.D 100, 089903 (2019)].
  • [4786] G. Carullo, W. Del Pozzo, and J. Veitch, “Observational Black Hole Spectroscopy: A time-domain multimode analysis of GW150914,” Phys. Rev. D 99 no. 12, (2019) 123029, arXiv:1902.07527 [gr-qc]. [Erratum: Phys.Rev.D 100, 089903 (2019)].
  • [4787] C. Pacilio, S. Bhagwat, F. Nobili, and D. Gerosa, “Flexible mapping of ringdown amplitudes for nonprecessing binary black holes,” Phys. Rev. D 110 no. 10, (2024) 103037, arXiv:2408.05276 [gr-qc].
  • [4788] N. Christensen, “Optimal detection strategies for measuring the stochastic gravitational radiation background with laser interferometric antennas,” Phys. Rev. D 55 (1997) 448–454. – 868 –
  • [4789] X.-J. Zhu, E. Howell, T. Regimbau, D. Blair, and Z.-H. Zhu, “Stochastic Gravitational Wave Background from Coalescing Binary Black Holes,” Astrophys. J. 739 (2011) 86, arXiv:1104.3565 [gr-qc].
  • [4790] E. Belgacem, “Analytical results for the power-law sensitivity curve of stochastic gravitational-wave backgrounds,” arXiv:2503.06356 [gr-qc].
  • [4791] C. Cutler and J. Harms, “BBO and the neutron-star-binary subtraction problem,” Phys. Rev. D 73 (2006) 042001, arXiv:gr-qc/0511092.
  • [4792] J. Harms, C. Mahrdt, M. Otto, and M. Priess, “Subtraction-noise projection in gravitational-wave detector networks,” Phys. Rev. D 77 (2008) 123010, arXiv:0803.0226 [gr-qc].
  • [4793] T. Regimbau, M. Evans, N. Christensen, E. Katsavounidis, B. Sathyaprakash, and S. Vitale, “Digging deeper: Observing primordial gravitational waves below the binary black hole produced stochastic background,” Phys. Rev. Lett. 118 no. 15, (2017) 151105, arXiv:1611.08943 [astro-ph.CO].
  • [4794] S. Sachdev, T. Regimbau, and B. S. Sathyaprakash, “Subtracting compact binary foreground sources to reveal primordial gravitational-wave backgrounds,” Phys. Rev. D 102 no. 2, (2020) 024051, arXiv:2002.05365 [gr-qc].
  • [4795] A. Sharma and J. Harms, “Searching for cosmological gravitational-wave backgrounds with third-generation detectors in the presence of an astrophysical foreground,” Phys. Rev. D 102 no. 6, (2020) 063009, arXiv:2006.16116 [gr-qc].
  • [4796] Z. Pan and H. Yang, “Improving the detection sensitivity to primordial stochastic gravitational waves with reduced astrophysical foregrounds,” Phys. Rev. D 107 no. 12, (2023) 123036, arXiv:2301.04529 [gr-qc].
  • [4797] B. Goncharov, A. H. Nitz, and J. Harms, “Utilizing the null stream of the Einstein Telescope,” Phys. Rev. D 105 no. 12, (2022) 122007, arXiv:2204.08533 [gr-qc].
  • [4798] K. Janssens, G. Boileau, M.-A. Bizouard, N. Christensen, T. Regimbau, and N. van Remortel, “Formalism for power spectral density estimation for non-identical and correlated noise using the null channel in Einstein Telescope,” Eur. Phys. J. Plus 138 no. 4, (2023) 352, arXiv:2205.00416 [gr-qc]. [Erratum: Eur.Phys.J.Plus 138, 446 (2023)].
  • [4798] K. Janssens, G. Boileau, M.-A. Bizouard, N. Christensen, T. Regimbau, and N. van Remortel, “Formalism for power spectral density estimation for non-identical and correlated noise using the null channel in Einstein Telescope,” Eur. Phys. J. Plus 138 no. 4, (2023) 352, arXiv:2205.00416 [gr-qc]. [Erratum: Eur.Phys.J.Plus 138, 446 (2023)].
  • [4799] S. Wu and A. H. Nitz, “Mock data study for next-generation ground-based detectors: The performance loss of matched filtering due to correlated confusion noise,” Phys. Rev. D 107 no. 6, (2023) 063022, arXiv:2209.03135 [astro-ph.IM].
  • [4800] I. C. F. Wong and T. G. F. Li, “Signal space in the triangular network of the Einstein Telescope,” Phys. Rev. D 105 no. 8, (2022) 084002, arXiv:2108.05108 [gr-qc].
  • [4801] B. F. Schutz and B. S. Sathyaprakash, “Self-calibration of Networks of Gravitational Wave Detectors,” arXiv:2009.10212 [gr-qc].
  • [4802] P. Ajith, M. Hewitson, and I. S. Heng, “Null-stream veto for two co-located detectors: Implementation issues,” Class. Quant. Grav. 23 (2006) S741–S749, arXiv:gr-qc/0604004.
  • [4803] S. A. Usman et al., “The PyCBC search for gravitational waves from compact binary coalescence,” Class. Quant. Grav. 33 no. 21, (2016) 215004, arXiv:1508.02357 [gr-qc].
  • [4804] H. Narola et al., “Null Stream Based Third-generation-ready Glitch Mitigation for Gravitational Wave Measurements,” arXiv:2411.15506 [gr-qc].
  • [4805] T. B. Littenberg and N. J. Cornish, “Bayesian inference for spectral estimation of gravitational wave detector noise,” Phys. Rev. D 91 no. 8, (2015) 084034, arXiv:1410.3852 [gr-qc]. – 869 –
  • [4806] R. Magee et al., “First demonstration of early warning gravitational wave alerts,” Astrophys. J. Lett. 910 no. 2, (2021) L21, arXiv:2102.04555 [astro-ph.HE].
  • [4807] A. H. Nitz, M. Schäfer, and T. Dal Canton, “Gravitational-wave Merger Forecasting: Scenarios for the Early Detection and Localization of Compact-binary Mergers with Ground-based Observatories,” Astrophys. J. Lett. 902 (2020) L29, arXiv:2009.04439 [astro-ph.HE].
  • [4808] P. Whittle, “Curve and periodogram smoothing,” Journal of the Royal Statistical Society: Series B (Methodologi- cal) 19 (1957) 38.
  • [4809] B. Zackay, T. Venumadhav, J. Roulet, L. Dai, and M. Zaldarriaga, “Detecting gravitational waves in data with non-stationary and non-Gaussian noise,” Phys. Rev. D 104 no. 6, (2021) 063034, arXiv:1908.05644 [astro-ph.IM].
  • [4810] O. Edy, A. Lundgren, and L. K. Nuttall, “Issues of mismodeling gravitational-wave data for parameter estimation,” Phys. Rev. D 103 no. 12, (2021) 124061, arXiv:2101.07743 [astro-ph.IM].
  • [4811] S. Kumar, A. H. Nitz, and X. J. Forteza, “Parameter estimation with non stationary noise in gravitational waves data,” arXiv:2202.12762 [astro-ph.IM].
  • [4812] L. Blackburn et al., “The LSC Glitch Group: Monitoring Noise Transients during the fifth LIGO Science Run,” Class. Quant. Grav. 25 (2008) 184004, arXiv:0804.0800 [gr-qc].
  • [4813] LIGO Scientific, Virgo Collaboration, B. P. Abbott et al., “Characterization of transient noise in Advanced LIGO relevant to gravitational wave signal GW150914,” Class. Quant. Grav. 33 no. 13, (2016) 134001, arXiv:1602.03844 [gr-qc].
  • [4814] LIGO Collaboration, D. Davis et al., “LIGO detector characterization in the second and third observing runs,” Class. Quant. Grav. 38 no. 13, (2021) 135014, arXiv:2101.11673 [astro-ph.IM].
  • [4815] L. K. Nuttall, “Characterizing transient noise in the LIGO detectors,” Phil. Trans. Roy. Soc. Lond. A 376 no. 2120, (2018) 20170286, arXiv:1804.07592 [astro-ph.IM].
  • [4816] D. Davis and M. Walker, “Detector Characterization and Mitigation of Noise in Ground-Based Gravitational-Wave Interferometers,” Galaxies 10 no. 1, (2022) 12.
  • [4817] N. J. Cornish and T. B. Littenberg, “BayesWave: Bayesian Inference for Gravitational Wave Bursts and Instrument Glitches,” Class. Quant. Grav. 32 no. 13, (2015) 135012, arXiv:1410.3835 [gr-qc].
  • [4818] C. Pankow et al., “Mitigation of the instrumental noise transient in gravitational-wave data surrounding GW170817,” Phys. Rev. D 98 no. 8, (2018) 084016, arXiv:1808.03619 [gr-qc].
  • [4819] T.-Y. Sun, C.-Y. Xiong, S.-J. Jin, Y.-X. Wang, J.-F. Zhang, and X. Zhang, “Efficient parameter inference for gravitational wave signals in the presence of transient noises using temporal and time-spectral fusion normalizing flow*,” Chin. Phys. C 48 no. 4, (2024) 045108, arXiv:2312.08122 [gr-qc].
  • [4820] C.-Y. Xiong, T.-Y. Sun, J.-F. Zhang, and X. Zhang, “Robust inference of gravitational wave source parameters in the presence of noise transients using normalizing flows,” arXiv:2405.09475 [gr-qc].
  • [4821] A. D. Johnson, K. Chatziioannou, and W. M. Farr, “Source Confusion from Neutron Star Binaries in Ground-Based Gravitational Wave Detectors is Minimal,” arXiv:2402.06836 [gr-qc].
  • [4822] Z. Wang, D. Liang, J. Zhao, C. Liu, and L. Shao, “Anatomy of parameter-estimation biases in overlapping gravitational-wave signals,” Class. Quant. Grav. 41 no. 5, (2024) 055011, arXiv:2304.06734 [astro-ph.IM]. – 870 –
  • [4823] J. Janquart, T. Baka, A. Samajdar, T. Dietrich, and C. Van Den Broeck, “Analyses of overlapping gravitational wave signals using hierarchical subtraction and joint parameter estimation,” Mon. Not. Roy. Astron. Soc. 523 no. 2, (2023) 1699–1710.
  • [4824] J. Langendorff, A. Kolmus, J. Janquart, and C. Van Den Broeck, “Normalizing Flows as an Avenue to Studying Overlapping Gravitational Wave Signals,” Phys. Rev. Lett. 130 no. 17, (2023) 171402, arXiv:2211.15097 [gr-qc].
  • [4825] Q. Hu and J. Veitch, “Accumulating Errors in Tests of General Relativity with Gravitational Waves: Overlapping Signals and Inaccurate Waveforms,” Astrophys. J. 945 no. 2, (2023) 103, arXiv:2210.04769 [gr-qc].
  • [4826] Y. Dang, Z. Wang, D. Liang, and L. Shao, “Impact of Overlapping Signals on Parameterized Post-Newtonian Coefficients in Tests of Gravity,” Astrophys. J. 964 no. 2, (2024) 194, arXiv:2311.16184 [astro-ph.IM].
  • [4827] H. Song, D. Liang, Z. Wang, and L. Shao, “Impact of spin in compact binary foreground subtraction for estimating the residual stochastic gravitational-wave background in ground-based detectors,” Phys. Rev. D 109 no. 12, (2024) 123014, arXiv:2401.00984 [gr-qc].
  • [4828] H. Zhong, R. Ormiston, and V. Mandic, “Detecting cosmological gravitational wave background after removal of compact binary coalescences in future gravitational wave detectors,” Phys. Rev. D 107 no. 6, (2023) 064048, arXiv:2209.11877 [gr-qc]. [Erratum: Phys.Rev.D 108, 089902 (2023)].
  • [4828] H. Zhong, R. Ormiston, and V. Mandic, “Detecting cosmological gravitational wave background after removal of compact binary coalescences in future gravitational wave detectors,” Phys. Rev. D 107 no. 6, (2023) 064048, arXiv:2209.11877 [gr-qc]. [Erratum: Phys.Rev.D 108, 089902 (2023)].
  • [4829] O. Theobald, Machine Learning for Absolute Beginners: A Plain English Introduction. Ai, Data Science, Python & Statistics for Beginners. Scatterplot Press, London, 2017.
  • [4830] I. Goodfellow, Y. Bengio, and A. Courville, Deep Learning. MIT Press, Cambridge, MA, 2016. http://www.deeplearningbook.org.
  • [4831] E. Cuoco, M. Cavaglià, I. S. Heng, D. Keitel, and C. Messenger, “Applications of machine learning in gravitational wave research with current interferometric detectors,” arXiv:2412.15046 [gr-qc].
  • [4832] E. Cuoco, A. Iess, F. Morawski, and M. Razzano, Machine Learning for the Characterization of Gravitational Wave Data. 2021.
  • [4833] J. Powell, D. Trifirò, E. Cuoco, I. S. Heng, and M. Cavaglià, “Classification methods for noise transients in advanced gravitational-wave detectors,” Class. Quant. Grav. 32 no. 21, (2015) 215012, arXiv:1505.01299 [astro-ph.IM].
  • [4834] J. Powell, A. Torres-Forné, R. Lynch, D. Trifirò, E. Cuoco, M. Cavaglià, I. S. Heng, and J. A. Font, “Classification methods for noise transients in advanced gravitational-wave detectors II: performance tests on Advanced LIGO data,” Class. Quant. Grav. 34 no. 3, (2017) 034002, arXiv:1609.06262 [astro-ph.IM].
  • [4835] M. Razzano and E. Cuoco, “Image-based deep learning for classification of noise transients in gravitational wave detectors,” Class. Quant. Grav. 35 no. 9, (2018) 095016, arXiv:1803.09933 [gr-qc].
  • [4836] M. Zevin et al., “Gravity Spy: Integrating Advanced LIGO Detector Characterization, Machine Learning, and Citizen Science,” Class. Quant. Grav. 34 no. 6, (2017) 064003, arXiv:1611.04596 [gr-qc].
  • [4837] M. Razzano, F. Di Renzo, F. Fidecaro, G. Hemming, and S. Katsanevas, “GWitchHunters: Machine learning and citizen science to improve the performance of gravitational wave detector,” Nucl. Instrum. Meth. A 1048 (2023) 167959, arXiv:2301.05112 [gr-qc].
  • [4838] H. Shen, D. George, E. A. Huerta, and Z. Zhao, “Denoising Gravitational Waves with Enhanced Deep Recurrent Denoising Auto-Encoders,” arXiv:1903.03105 [astro-ph.CO]. – 871 –
  • [4839] P. Laguarta et al., “Detection of anomalies amongst LIGO’s glitch populations with autoencoders,” Class. Quant. Grav. 41 no. 5, (2024) 055004, arXiv:2310.03453 [astro-ph.IM].
  • [4840] M. Lopez, V. Boudart, K. Buijsman, A. Reza, and S. Caudill, “Simulating transient noise bursts in LIGO with generative adversarial networks,” Phys. Rev. D 106 no. 2, (2022) 023027, arXiv:2203.06494 [astro-ph.IM].
  • [4841] J. Powell, L. Sun, K. Gereb, P. D. Lasky, and M. Dollmann, “Generating transient noise artefacts in gravitational-wave detector data with generative adversarial networks,” Class. Quant. Grav. 40 no. 3, (2023) 035006, arXiv:2207.00207 [astro-ph.IM].
  • [4842] B. Allen, W. G. Anderson, P. R. Brady, D. A. Brown, and J. D. E. Creighton, “FINDCHIRP: An Algorithm for detection of gravitational waves from inspiraling compact binaries,” Phys. Rev. D 85 (2012) 122006, arXiv:gr-qc/0509116.
  • [4843] B. P. Abbott et al., “Observation of Gravitational Waves from a Binary Black Hole Merger,” Phys. Rev. Lett. 116 no. 6, (2016) 061102, arXiv:1602.03837 [gr-qc].
  • [4844] F. Aubin et al., “The MBTA pipeline for detecting compact binary coalescences in the third LIGO–Virgo observing run,” Class. Quant. Grav. 38 no. 9, (2021) 095004, arXiv:2012.11512 [gr-qc].
  • [4845] B. Ewing et al., “Performance of the low-latency GstLAL inspiral search towards LIGO, Virgo, and KAGRA’s fourth observing run,” Phys. Rev. D 109 no. 4, (2024) 042008, arXiv:2305.05625 [gr-qc].
  • [4846] Q. Chu et al., “SPIIR online coherent pipeline to search for gravitational waves from compact binary coalescences,” Phys. Rev. D 105 no. 2, (2022) 024023, arXiv:2011.06787 [gr-qc].
  • [4847] D. Wadekar, T. Venumadhav, J. Roulet, A. K. Mehta, B. Zackay, J. Mushkin, and M. Zaldarriaga, “New search pipeline for gravitational waves with higher-order modes using mode-by-mode filtering,” Phys. Rev. D 110 no. 4, (2024) 044063, arXiv:2405.17400 [gr-qc].
  • [4848] T. Cokelaer, “Gravitational waves from inspiralling compact binaries: Hexagonal template placement and its efficiency in detecting physical signals,” Phys. Rev. D 76 (2007) 102004, arXiv:0706.4437 [gr-qc].
  • [4849] I. W. Harry, B. Allen, and B. S. Sathyaprakash, “A Stochastic template placement algorithm for gravitational wave data analysis,” Phys. Rev. D 80 (2009) 104014, arXiv:0908.2090 [gr-qc].
  • [4850] S. Roy, A. S. Sengupta, and P. Ajith, “Effectual template banks for upcoming compact binary searches in Advanced-LIGO and Virgo data,” Phys. Rev. D 99 no. 2, (2019) 024048, arXiv:1711.08743 [gr-qc].
  • [4851] M. Pillas, Exploring the physics of neutron star mergers with gravitational waves and gamma-ray bursts. PhD thesis, U. Paris-Saclay, 2023. http://www.theses.fr/2023UPASP107/document.
  • [4852] P. Relton, A. Virtuoso, S. Bini, V. Raymond, I. Harry, M. Drago, C. Lazzaro, A. Miani, and S. Tiwari, “Addressing the challenges of detecting time-overlapping compact binary coalescences,” Phys. Rev. D 106 no. 10, (2022) 104045, arXiv:2208.00261 [gr-qc].
  • [4853] D. George and E. A. Huerta, “Deep Learning for Real-time Gravitational Wave Detection and Parameter Estimation: Results with Advanced LIGO Data,” Phys. Lett. B 778 (2018) 64–70, arXiv:1711.03121 [gr-qc].
  • [4854] H. Gabbard, M. Williams, F. Hayes, and C. Messenger, “Matching matched filtering with deep networks for gravitational-wave astronomy,” Phys. Rev. Lett. 120 no. 14, (2018) 141103, arXiv:1712.06041 [astro-ph.IM]. – 872 –
  • [4855] T. D. Gebhard, N. Kilbertus, I. Harry, and B. Schölkopf, “Convolutional neural networks: a magic bullet for gravitational-wave detection?,” Phys. Rev. D100 no. 6, (2019) 063015, arXiv:1904.08693 [astro-ph.IM].
  • [4856] H. Xia, L. Shao, J. Zhao, and Z. Cao, “Improved deep learning techniques in gravitational-wave data analysis,” Phys. Rev. D 103 no. 2, (2021) 024040, arXiv:2011.04418 [astro-ph.HE].
  • [4857] M. B. Schäfer et al., “First machine learning gravitational-wave search mock data challenge,” Phys. Rev. D 107 no. 2, (2023) 023021, arXiv:2209.11146 [astro-ph.IM].
  • [4858] M. Dax, S. R. Green, J. Gair, N. Gupte, M. Pürrer, V. Raymond, J. Wildberger, J. H. Macke, A. Buonanno, and B. Schölkopf, “Real-time gravitational-wave inference for binary neutron stars using machine learning,” arXiv:2407.09602 [gr-qc].
  • [4859] X. Fan, J. Li, X. Li, Y. Zhong, and J. Cao, “Applying deep neural networks to the detection and space parameter estimation of compact binary coalescence with a network of gravitational wave detectors,” Sci. China Phys. Mech. Astron. 62 no. 6, (2019) 969512, arXiv:1811.01380 [astro-ph.IM].
  • [4860] B. Lin, X. Li, and W. Yu, “Binary Neutron Stars Gravitational Wave Detection Based on Wavelet Packet Analysis And Convolutional Neural Networks,” arXiv:1910.10525 [astro-ph.IM].
  • [4861] P. G. Krastev, “Real-Time Detection of Gravitational Waves from Binary Neutron Stars using Artificial Neural Networks,” Phys. Lett. B 803 (2020) 135330, arXiv:1908.03151 [astro-ph.IM].
  • [4862] P. G. Krastev, K. Gill, V. A. Villar, and E. Berger, “Detection and Parameter Estimation of Gravitational Waves from Binary Neutron-Star Mergers in Real LIGO Data using Deep Learning,” Phys. Lett. B 815 (2021) 136161, arXiv:2012.13101 [astro-ph.IM].
  • [4863] LIGO Scientific, VIRGO Collaboration, R. Abbott et al., “Search for Lensing Signatures in the Gravitational-Wave Observations from the First Half of LIGO–Virgo’s Third Observing Run,” Astrophys. J. 923 no. 1, (2021) 14, arXiv:2105.06384 [gr-qc].
  • [4864] T. Chen and C. Guestrin, “XGBoost: A Scalable Tree Boosting System,” arXiv:1603.02754 [cs.LG].
  • [4865] T. Mishra, B. O’Brien, V. Gayathri, M. Szczepanczyk, S. Bhaumik, I. Bartos, and S. Klimenko, “Optimization of model independent gravitational wave search for binary black hole mergers using machine learning,” Phys. Rev. D 104 no. 2, (2021) 023014, arXiv:2105.04739 [gr-qc].
  • [4866] T. Mishra et al., “Search for binary black hole mergers in the third observing run of Advanced LIGO-Virgo using coherent WaveBurst enhanced with machine learning,” Phys. Rev. D 105 no. 8, (2022) 083018, arXiv:2201.01495 [gr-qc].
  • [4867] A. K. Lenon, D. A. Brown, and A. H. Nitz, “Eccentric binary neutron star search prospects for Cosmic Explorer,” Phys. Rev. D 104 no. 6, (2021) 063011, arXiv:2103.14088 [astro-ph.HE].
  • [4868] A. I. Renzini et al., “pygwb: a Python-based library for gravitational-wave background searches,” J. Open Source Softw. 9 no. 94, (2024) 5454.
  • [4869] A. Ain, P. Dalvi, and S. Mitra, “Fast Gravitational Wave Radiometry using Data Folding,” Phys. Rev. D 92 no. 2, (2015) 022003, arXiv:1504.01714 [gr-qc].
  • [4870] A. Ain, J. Suresh, and S. Mitra, “Very fast stochastic gravitational wave background map making using folded data,” Phys. Rev. D 98 no. 2, (2018) 024001, arXiv:1803.08285 [gr-qc]. – 873 –
  • [4871] V. Dergachev and M. A. Papa, “Early release of the expanded atlas of the sky in continuous gravitational waves,” Phys. Rev. D 109 no. 2, (2024) 022007, arXiv:2401.13173 [gr-qc].
  • [4872] L. D’Onofrio et al., “Search for gravitational wave signals from known pulsars in LIGO-Virgo O3 data using the 5n-vector ensemble method,” Phys. Rev. D 108 no. 12, (2023) 122002, arXiv:2311.08229 [gr-qc].
  • [4873] B. Steltner, M. A. Papa, H. B. Eggenstein, R. Prix, M. Bensch, B. Allen, and B. Machenschalk, “Deep Einstein@Home All-sky Search for Continuous Gravitational Waves in LIGO O3 Public Data,” Astrophys. J. 952 no. 1, (2023) 55, arXiv:2303.04109 [gr-qc].
  • [4874] V. Dergachev and M. A. Papa, “Frequency-Resolved Atlas of the Sky in Continuous Gravitational Waves,” Phys. Rev. X 13 no. 2, (2023) 021020, arXiv:2202.10598 [gr-qc].
  • [4875] LIGO Scientific, VIRGO Collaboration, R. Abbott et al., “Search of the early O3 LIGO data for continuous gravitational waves from the Cassiopeia A and Vela Jr. supernova remnants,” Phys. Rev. D 105 no. 8, (2022) 082005, arXiv:2111.15116 [gr-qc].
  • [4876] LIGO Scientific, VIRGO, KAGRA Collaboration, R. Abbott et al., “Search for continuous gravitational waves from 20 accreting millisecond x-ray pulsars in O3 LIGO data,” Phys. Rev. D 105 (2022) 022002, arXiv:2109.09255 [astro-ph.HE].
  • [4877] S. Frasca, P. Astone, and C. Palomba, “Evaluation of sensitivity and computing power for the Virgo hierarchical search for periodic sources,” Class. Quant. Grav. 22 (2005) S1013–S1019.
  • [4878] K. Wette, S. Walsh, R. Prix, and M. A. Papa, “Implementing a semicoherent search for continuous gravitational waves using optimally-constructed template banks,” Phys. Rev. D 97 no. 12, (2018) 123016, arXiv:1804.03392 [astro-ph.IM].
  • [4879] A. Mukherjee, R. Prix, and K. Wette, “Implementation of a new weave-based search pipeline for continuous gravitational waves from known binary systems,” Phys. Rev. D 107 no. 6, (2023) 062005, arXiv:2207.09326 [gr-qc].
  • [4880] I. L. Rosa, P. Astone, S. D’Antonio, S. Frasca, P. Leaci, A. L. Miller, C. Palomba, O. J. Piccinni, L. Pierini, and T. Regimbau, “Continuous Gravitational-Wave Data Analysis with General Purpose Computing on Graphic Processing Units,” Universe 7 no. 7, (2021) 218.
  • [4881] S. D’Antonio et al., “Semicoherent method to search for continuous gravitational waves,” Phys. Rev. D 108 no. 12, (2023) 122001, arXiv:2311.06021 [gr-qc].
  • [4882] L. Pierini, Boosting the sensitivity of continuous gravitational waves all-sky searches using advanced filtering techniques. PhD thesis, Rome U., 2023.
  • [4883] J. R. Gair, S. Babak, A. Sesana, P. Amaro-Seoane, E. Barausse, C. P. L. Berry, E. Berti, and C. Sopuerta, “Prospects for observing extreme-mass-ratio inspirals with LISA,” J. Phys. Conf. Ser. 840 no. 1, (2017) 012021, arXiv:1704.00009 [astro-ph.GA].
  • [4884] R. Brito, S. Ghosh, E. Barausse, E. Berti, V. Cardoso, I. Dvorkin, A. Klein, and P. Pani, “Stochastic and resolvable gravitational waves from ultralight bosons,” Phys. Rev. Lett. 119 no. 13, (2017) 131101, arXiv:1706.05097 [gr-qc].
  • [4885] L. Pierini et al., “Impact of signal clusters in wide-band searches for continuous gravitational waves,” Phys. Rev. D 106 no. 4, (2022) 042009, arXiv:2209.09071 [gr-qc].
  • [4886] M. Drago et al., “Coherent WaveBurst, a pipeline for unmodeled gravitational-wave data analysis,” arXiv:2006.12604 [gr-qc].
  • [4887] S. Bini, G. Vedovato, M. Drago, F. Salemi, and G. A. Prodi, “An autoencoder neural network integrated into gravitational-wave burst searches to improve the rejection of noise transients,” Class. Quant. Grav. 40 no. 13, (2023) 135008, arXiv:2303.05986 [gr-qc]. – 874 –
  • [4888] M. J. Szczepańczyk et al., “Search for gravitational-wave bursts in the third Advanced LIGO-Virgo run with coherent WaveBurst enhanced by machine learning,” Phys. Rev. D 107 no. 6, (2023) 062002, arXiv:2210.01754 [gr-qc].
  • [4889] S. Vinciguerra, M. Drago, G. A. Prodi, S. Klimenko, C. Lazzaro, V. Necula, F. Salemi, V. Tiwari, M. C. Tringali, and G. Vedovato, “Enhancing the significance of gravitational wave bursts through signal classification,” Class. Quant. Grav. 34 no. 9, (2017) 094003, arXiv:1702.03208 [astro-ph.IM].
  • [4890] LIGO Scientific, VIRGO, KAGRA Collaboration, R. Abbott et al., “Search for Gravitational Waves Associated with Gamma-Ray Bursts Detected by Fermi and Swift during the LIGO–Virgo Run O3b,” Astrophys. J. 928 no. 2, (2022) 186, arXiv:2111.03608 [astro-ph.HE].
  • [4891] LIGO Scientific, VIRGO, KAGRA, CHIME/FRB Collaboration, R. Abbott et al., “Search for Gravitational Waves Associated with Fast Radio Bursts Detected by CHIME/FRB during the LIGO–Virgo Observing Run O3a,” Astrophys. J. 955 no. 2, (2023) 155, arXiv:2203.12038 [astro-ph.HE].
  • [4892] KAGRA, VIRGO, LIGO Scientific Collaboration, R. Abbott et al., “All-sky search for long-duration gravitational-wave bursts in the third Advanced LIGO and Advanced Virgo run,” Phys. Rev. D 104 no. 10, (2021) 102001, arXiv:2107.13796 [gr-qc].
  • [4893] V. Boudart and M. Fays, “Albus: a machine learning algorithm for gravitational wave burst searches,” in 2022 IEEE International Conference on Big Data (Big Data), pp. 6599–6601. 2022.
  • [4894] LIGO Scientific, Virgo Collaboration, B. P. Abbott et al., “All-sky search for long-duration gravitational-wave transients in the second Advanced LIGO observing run,” Phys. Rev. D 99 no. 10, (2019) 104033, arXiv:1903.12015 [gr-qc].
  • [4895] J. Veitch et al., “Parameter estimation for compact binaries with ground-based gravitational-wave observations using the LALInference software library,” Phys. Rev. D 91 no. 4, (2015) 042003, arXiv:1409.7215 [gr-qc].
  • [4896] L. Dai, T. Venumadhav, and B. Zackay, “Parameter Estimation for GW170817 using Relative Binning,” arXiv:1806.08793 [gr-qc].
  • [4897] H. Narola, J. Janquart, Q. Meijer, K. Haris, and C. Van Den Broeck, “Relative binning for complete gravitational-wave parameter estimation with higher-order modes and precession, and applications to lensing and third-generation detectors,” arXiv:2308.12140 [gr-qc].
  • [4898] U. Bhardwaj, J. Alvey, B. K. Miller, S. Nissanke, and C. Weniger, “Sequential simulation-based inference for gravitational wave signals,” Phys. Rev. D 108 no. 4, (2023) 042004, arXiv:2304.02035 [gr-qc].
  • [4899] J. Alvey, U. Bhardwaj, S. Nissanke, and C. Weniger, “What to do when things get crowded? Scalable joint analysis of overlapping gravitational wave signals,” arXiv:2308.06318 [gr-qc].
  • [4900] J. McGinn, A. Mukherjee, J. Irwin, C. Messenger, M. J. Williams, and I. S. Heng, “Rapid neutron star equation of state inference with Normalising Flows,” arXiv:2403.17462 [gr-qc].
  • [4901] Y. Xie, D. Chatterjee, G. Narayan, and N. Yunes, “Neural Post-Einsteinian Framework for Efficient Theory-Agnostic Tests of General Relativity with Gravitational Waves,” arXiv:2403.18936 [gr-qc].
  • [4902] H. Gabbard, C. Messenger, I. S. Heng, F. Tonolini, and R. Murray-Smith, “Bayesian parameter estimation using conditional variational autoencoders for gravitational-wave astronomy,” Nature Phys. 18 no. 1, (2022) 112–117, arXiv:1909.06296 [astro-ph.IM]. – 875 –
  • [4903] A. Kolmus, J. Janquart, T. Baka, T. van Laarhoven, C. Van Den Broeck, and T. Heskes, “Tuning neural posterior estimation for gravitational wave inference,” arXiv:2403.02443 [astro-ph.IM].
  • [4904] J. Skilling, “Nested sampling for general Bayesian computation,” Bayesian Analysis 1 no. 4, (2006) 833–859.
  • [4905] Q. Hu, J. Irwin, Q. Sun, C. Messenger, L. Suleiman, I. S. Heng, and J. Veitch, “Decoding Long-duration Gravitational Waves from Binary Neutron Stars with Machine Learning: Parameter Estimation and Equations of State,” arXiv:2412.03454 [gr-qc].
  • [4906] Q. Hu and J. Veitch, “Costs of Bayesian Parameter Estimation in Third-Generation Gravitational Wave Detectors: a Review of Acceleration Methods,” arXiv:2412.02651 [gr-qc].
  • [4907] G. Papamakarios, E. Nalisnick, D. J. Rezende, S. Mohamed, and B. Lakshminarayanan, “Normalizing Flows for Probabilistic Modeling and Inference,” J. Machine Learning Res. 22 no. 1, (2021) 2617–2680, arXiv:1912.02762 [stat.ML].
  • [4908] S. R. Green, C. Simpson, and J. Gair, “Gravitational-wave parameter estimation with autoregressive neural network flows,” Phys. Rev. D 102 no. 10, (2020) 104057, arXiv:2002.07656 [astro-ph.IM].
  • [4909] A. Delaunoy, A. Wehenkel, T. Hinderer, S. Nissanke, C. Weniger, A. R. Williamson, and G. Louppe, “Lightning-Fast Gravitational Wave Parameter Inference through Neural Amortization,” arXiv:2010.12931 [astro-ph.IM].
  • [4910] B. K. Miller, A. Cole, P. Forré, G. Louppe, and C. Weniger, “Truncated Marginal Neural Ratio Estimation,” in 35th Conference on Neural Information Processing Systems. 7, 2021. arXiv:2107.01214 [stat.ML].
  • [4911] M. J. Williams, J. Veitch, and C. Messenger, “Nested sampling with normalizing flows for gravitational-wave inference,” Phys. Rev. D 103 no. 10, (2021) 103006, arXiv:2102.11056 [gr-qc].
  • [4912] K. W. K. Wong, M. Gabrié, and D. Foreman-Mackey, “flowMC: Normalizing flow enhanced sampling package for probabilistic inference in JAX,” J. Open Source Softw. 8 no. 83, (2023) 5021, arXiv:2211.06397 [astro-ph.IM].
  • [4913] M. J. Williams, J. Veitch, and C. Messenger, “Importance nested sampling with normalising flows,” Mach. Learn. Sci. Tech. 4 no. 3, (2023) 035011, arXiv:2302.08526 [astro-ph.IM].
  • [4914] K. W. K. Wong, M. Isi, and T. D. P. Edwards, “Fast Gravitational-wave Parameter Estimation without Compromises,” Astrophys. J. 958 no. 2, (2023) 129, arXiv:2302.05333 [astro-ph.IM].
  • [4915] J. Wildberger, M. Dax, S. R. Green, J. Gair, M. Pürrer, J. H. Macke, A. Buonanno, and B. Schölkopf, “Adapting to noise distribution shifts in flow-based gravitational-wave inference,” Phys. Rev. D 107 no. 8, (2023) 084046, arXiv:2211.08801 [gr-qc].
  • [4916] W. van Straalen, A. Kolmus, J. Janquart, and C. Van Den Broeck, “Pre-Merger Detection and Characterization of Inspiraling Binary Neutron Stars Derived from Neural Posterior Estimation,” arXiv:2407.10263 [gr-qc].
  • [4917] N. Anau Montel, J. Alvey, and C. Weniger, “Scalable inference with Autoregressive Neural Ratio Estimation,” Mon. Not. Roy. Astron. Soc. 530 no. 4, (2024) 4107–4124, arXiv:2308.08597 [astro-ph.IM].
  • [4918] E. Cameron and A. Pettitt, “Recursive Pathways to Marginal Likelihood Estimation with Prior-Sensitivity Analysis,” arXiv:1301.6450 [stat.ME]. – 876 –
  • [4919] F. Feroz, M. P. Hobson, E. Cameron, and A. N. Pettitt, “Importance Nested Sampling and the MultiNest Algorithm,” Open J. Astrophys. 2 no. 1, (2019) 10, arXiv:1306.2144 [astro-ph.IM].
  • [4920] J. S. Speagle, “dynesty: a dynamic nested sampling package for estimating Bayesian posteriors and evidences,” Mon. Not. Roy. Astron. Soc. 493 no. 3, (2020) 3132–3158, arXiv:1904.02180 [astro-ph.IM].
  • [4921] N. Loutrel, “Analytic Waveforms for Eccentric Gravitational Wave Bursts,” Class. Quant. Grav. 37 no. 7, (2020) 075008, arXiv:1909.02143 [gr-qc].
  • [4922] J. Samsing, D. J. D’Orazio, K. Kremer, C. L. Rodriguez, and A. Askar, “Single-single gravitational-wave captures in globular clusters: Eccentric deci-Hertz sources observable by DECIGO and Tian-Qin,” Phys. Rev. D 101 no. 12, (2020) 123010, arXiv:1907.11231 [astro-ph.HE].
  • [4923] F. De Santi, M. Razzano, F. Fidecaro, L. Muccillo, L. Papalini, and B. Patricelli, “Deep learning to detect gravitational waves from binary close encounters: Fast parameter estimation using normalizing flows,” Phys. Rev. D 109 no. 10, (2024) 102004, arXiv:2404.12028 [gr-qc].
  • [4924] U. Grenander and M. I. Miller, “Representations of Knowledge in Complex Systems,” J. R. Stat. Soc. B (Methodological) 56 no. 4, (1994) 549–603. http://www.jstor.org/stable/2346184.
  • [4925] M. Gabrié, G. M. Rotskoff, and E. Vanden-Eijnden, “Adaptive Monte Carlo augmented with normalizing flows,” Proc. Nat. Acad. Sci. 119 no. 10, (2022) e2109420119, arXiv:2105.12603 [physics.data-an].
  • [4926] T. D. P. Edwards, K. W. K. Wong, K. K. H. Lam, A. Coogan, D. Foreman-Mackey, M. Isi, and A. Zimmerman, “ripple: Differentiable and Hardware-Accelerated Waveforms for Gravitational Wave Data Analysis,” arXiv:2302.05329 [astro-ph.IM].
  • [4927] J. Perret, M. Arene, and E. Porter, “DeepHMC: A deep-neural-network based Hamiltonian Monte Carlo algorithm for compact binary parameter estimation,”.
  • [4928] S. Duane, A. D. Kennedy, B. J. Pendleton, and D. Roweth, “Hybrid Monte Carlo,” Phys. Lett. B 195 (1987) 216–222.
  • [4929] P. Couvares et al., “Gravitational Wave Data Analysis: Computing Challenges in the 3G Era,” arXiv:2111.06987 [gr-qc].
  • [4930] C. Messick et al., “Analysis Framework for the Prompt Discovery of Compact Binary Mergers in Gravitational-wave Data,” Phys. Rev. D 95 no. 4, (2017) 042001, arXiv:1604.04324 [astro-ph.IM].
  • [4931] F. Badaracco, J. Harms, and L. Rei, “Joint optimization of seismometer arrays for the cancellation of Newtonian noise from seismic body waves in the Einstein Telescope,” Class. Quant. Grav. 41 no. 2, (2024) 025013, arXiv:2310.05709 [astro-ph.IM].
  • [4932] aLIGO Collaboration, A. Buikema et al., “Sensitivity and performance of the Advanced LIGO detectors in the third observing run,” Phys. Rev. D 102 no. 6, (2020) 062003, arXiv:2008.01301 [astro-ph.IM].
  • [4933] S. Mozzon, L. K. Nuttall, A. Lundgren, T. Dent, S. Kumar, and A. H. Nitz, “Dynamic Normalization for Compact Binary Coalescence Searches in Non-Stationary Noise,” Class. Quant. Grav. 37 no. 21, (2020) 215014, arXiv:2002.09407 [astro-ph.IM].
  • [4934] S. Mozzon, G. Ashton, L. K. Nuttall, and A. R. Williamson, “Does nonstationary noise in LIGO and Virgo affect the estimation of H0?,” Phys. Rev. D 106 no. 4, (2022) 043504, arXiv:2110.11731 [astro-ph.CO]. – 877 –
  • [4935] T. B. Littenberg and N. J. Cornish, “Prototype global analysis of LISA data with multiple source types,” Phys. Rev. D 107 no. 6, (2023) 063004, arXiv:2301.03673 [gr-qc].
  • [4936] Virgo Collaboration, F. Acernese et al., “Virgo Detector Characterization and Data Quality during the O3 run,” arXiv:2205.01555 [gr-qc].
  • [4937] KAGRA Collaboration, T. Akutsu et al., “Overview of KAGRA: Calibration, detector characterization, physical environmental monitors, and the geophysics interferometer,” PTEP 2021 no. 5, (2021) 05A102, arXiv:2009.09305 [gr-qc].
  • [4938] AdvLIGO Collaboration, P. Nguyen et al., “Environmental noise in advanced LIGO detectors,” Class. Quant. Grav. 38 no. 14, (2021) 145001, arXiv:2101.09935 [astro-ph.IM].
  • [4939] Y. S. C. Lee, M. Millhouse, and A. Melatos, “Impact of noise transients on gravitational-wave burst detection efficiency of the BayesWave pipeline with multidetector networks,” Phys. Rev. D 109 no. 8, (2024) 082002, arXiv:2403.16837 [gr-qc].
  • [4940] J. Y. L. Kwok, R. K. L. Lo, A. J. Weinstein, and T. G. F. Li, “Investigation of the effects of non-Gaussian noise transients and their mitigation in parameterized gravitational-wave tests of general relativity,” Phys. Rev. D 105 no. 2, (2022) 024066, arXiv:2109.07642 [gr-qc].
  • [4941] R. Macas, J. Pooley, L. K. Nuttall, D. Davis, M. J. Dyer, Y. Lecoeuche, J. D. Lyman, J. McIver, and K. Rink, “Impact of noise transients on low latency gravitational-wave event localization,” Phys. Rev. D 105 no. 10, (2022) 103021, arXiv:2202.00344 [astro-ph.HE].
  • [4942] J. Powell, “Parameter Estimation and Model Selection of Gravitational Wave Signals Contaminated by Transient Detector Noise Glitches,” Class. Quant. Grav. 35 no. 15, (2018) 155017, arXiv:1803.11346 [astro-ph.IM].
  • [4943] D. Davis, T. B. Littenberg, I. M. Romero-Shaw, M. Millhouse, J. McIver, F. Di Renzo, and G. Ashton, “Subtracting glitches from gravitational-wave detector data during the third LIGO-Virgo observing run,” Class. Quant. Grav. 39 no. 24, (2022) 245013, arXiv:2207.03429 [astro-ph.IM].
  • [4944] F. Di Renzo, “Gravitational-wave event validation by Advanced LIGO and Advanced Virgo detectors. Procedures and challenges for the upcoming observing runs,” PoS ICHEP2022 (11, 2022) 110.
  • [4945] S. Chatterji, A. Lazzarini, L. Stein, P. J. Sutton, A. Searle, and M. Tinto, “Coherent network analysis technique for discriminating gravitational-wave bursts from instrumental noise,” Phys. Rev. D 74 (2006) 082005, arXiv:gr-qc/0605002.
  • [4946] I. W. Harry and S. Fairhurst, “A targeted coherent search for gravitational waves from compact binary coalescences,” Phys. Rev. D 83 (2011) 084002, arXiv:1012.4939 [gr-qc].
  • [4947] L. Wen and B. F. Schutz, “Coherent network detection of gravitational waves: The Redundancy veto,” Class. Quant. Grav. 22 (2005) S1321–S1336, arXiv:gr-qc/0508042.
  • [4948] S. Jarov, S. Thiele, S. Soni, J. Ding, J. McIver, R. Ng, R. Hatoya, and D. Davis, “A new method to distinguish gravitational-wave signals from detector noise transients with Gravity Spy,” arXiv:2307.15867 [gr-qc].
  • [4949] R. Essick, P. Godwin, C. Hanna, L. Blackburn, and E. Katsavounidis, “iDQ: Statistical Inference of Non-Gaussian Noise with Auxiliary Degrees of Freedom in Gravitational-Wave Detectors,” arXiv:2005.12761 [astro-ph.IM].
  • [4950] A. Viets et al., “Reconstructing the calibrated strain signal in the Advanced LIGO detectors,” Class. Quant. Grav. 35 no. 9, (2018) 095015, arXiv:1710.09973 [astro-ph.IM]. – 878 –
  • [4951] VIRGO Collaboration, F. Acernese et al., “Calibration of advanced Virgo and reconstruction of the detector strain h(t) during the observing run O3,” Class. Quant. Grav. 39 no. 4, (2022) 045006, arXiv:2107.03294 [gr-qc].
  • [4952] S. Vitale, C.-J. Haster, L. Sun, B. Farr, E. Goetz, J. Kissel, and C. Cahillane, “Physical approach to the marginalization of LIGO calibration uncertainties,” Phys. Rev. D 103 no. 6, (2021) 063016, arXiv:2009.10192 [gr-qc].
  • [4953] E. Payne, C. Talbot, P. D. Lasky, E. Thrane, and J. S. Kissel, “Gravitational-wave astronomy with a physical calibration model,” Phys. Rev. D 102 (2020) 122004, arXiv:2009.10193 [astro-ph.IM].
  • [4954] Y. Huang, H.-Y. Chen, C.-J. Haster, L. Sun, S. Vitale, and J. Kissel, “Impact of calibration uncertainties on Hubble constant measurements from gravitational-wave sources,” arXiv:2204.03614 [gr-qc].
  • [4955] J. Yousuf, S. Kandhasamy, and M. A. Malik, “Effects of calibration uncertainties on the detection and parameter estimation of isotropic gravitational-wave backgrounds,” Phys. Rev. D 107 no. 10, (2023) 102002, arXiv:2301.13531 [gr-qc].
  • [4956] W. O. Schumann, “Über die strahlungslosen Eigenschwingungen einer leitenden Kugel, die von einer Luftschicht und einer Ionosphärenhülle umgeben ist,” Z. Naturforsch. A 7 no. 2, (1952) 149–154. https://ui.adsabs.harvard.edu/abs/1952ZNatA...7..149S.
  • [4957] W. O. Schumann, “Über die Dämpfung der elektromagnetischen Eigenschwingungen des Systems Erde - Luft - Ionosphäre,” Z. Naturforsch. A 7 (1952) 250–252. https://ui.adsabs.harvard.edu/abs/1952ZNatA...7..250S.
  • [4958] F. Cireddu, M. Wils, I. C. F. Wong, P. T. H. Pang, T. G. F. Li, and W. Del Pozzo, “Likelihood for a network of gravitational-wave detectors with correlated noise,” Phys. Rev. D 110 no. 10, (2024) 104060, arXiv:2312.14614 [gr-qc].
  • [4959] T. A. Prince, M. Tinto, S. L. Larson, and J. W. Armstrong, “The LISA optimal sensitivity,” Phys. Rev. D 66 (2002) 122002, arXiv:gr-qc/0209039.
  • [4960] T. Regimbau, “The Quest for the Astrophysical Gravitational-Wave Background with Terrestrial Detectors,” Symmetry 14 no. 2, (2022) 270. – 879 –