Generation of gravitational waves from freely decaying turbulence

Author(s)

Auclair, Pierre, Caprini, Chiara, Cutting, Daniel, Hindmarsh, Mark, Rummukainen, Kari, Steer, Danièle A., Weir, David J.

Abstract

We study the stochastic gravitational wave background (SGWB) produced by freely decaying vortical turbulence in the early Universe. We thoroughly investigate the time correlation of the velocity field, and hence of the anisotropic stresses producing the gravitational waves. With hydrodynamical simulations, we show that the unequal time correlation function (UETC) of the Fourier components of the velocity field is Gaussian in the time difference, as predicted by the “sweeping” decorrelation model. We introduce a decorrelation model that can be extended to wavelengths around the integral scale of the flow. Supplemented with the evolution laws of the kinetic energy and of the integral scale, this provides a new model UETC of the turbulent velocity field consistent with the simulations. We discuss the UETC as a positive definite kernel, and propose to use the Gibbs kernel for the velocity UETC as a natural way to ensure positive definiteness of the SGWB. The SGWB is given by a 4-dimensional integration of the resulting anisotropic stress UETC with the gravitational wave Green's function. We perform this integration using a Monte Carlo algorithm based on importance sampling, and find that the result matches that of the simulations. Furthermore, the SGWB obtained from the numerical integration and from the simulations show close agreement with a model in which the source is constant in time and abruptly turns off after a few eddy turnover times. Based on this assumption, we provide an approximate analytical form for the SGWB spectrum and its scaling with the initial kinetic energy and integral scale. Finally, we use our model and numerical integration algorithm to show that including an initial growth phase for the turbulent flow heavily influences the spectral shape of the SGWB. This highlights the importance of a complete understanding of the turbulence generation mechanism.

Figures

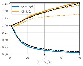
Extension of the decorrelation velocity at scales larger than the integral scale, following the model given in \cref{eq:Vlarge}. It interpolates smoothly between $\vrms^2/3$ in the inertial range as in \cref{eq:Cv2} and $2\vrms^2/15$ on large scales. These limits are shown with the black dashed lines.
Caption Extension of the decorrelation velocity at scales larger than the integral scale, following the model given in \cref{eq:Vlarge}. It interpolates smoothly between $\vrms^2/3$ in the inertial range as in \cref{eq:Cv2} and $2\vrms^2/15$ on large scales. These limits are shown with the black dashed lines.
\emph{Left panel}: Slice through simulation ($\mathrm{A}'$) showing the velocity initial conditions in real space. \emph{Right panel}: Same slice as the left panel but after a time $\Delta \tau=20.6 \tauxist$ has elapsed.
Caption \emph{Left panel}: Slice through simulation ($\mathrm{A}'$) showing the velocity initial conditions in real space. \emph{Right panel}: Same slice as the left panel but after a time $\Delta \tau=20.6 \tauxist$ has elapsed.
\emph{Left panel}: Slice through simulation ($\mathrm{A}'$) showing the velocity initial conditions in real space. \emph{Right panel}: Same slice as the left panel but after a time $\Delta \tau=20.6 \tauxist$ has elapsed.
Caption \emph{Left panel}: Slice through simulation ($\mathrm{A}'$) showing the velocity initial conditions in real space. \emph{Right panel}: Same slice as the left panel but after a time $\Delta \tau=20.6 \tauxist$ has elapsed.
 : Simulation (A), unrescaled velocity power spectrum. : Power spectrum rescaled with \cref{eq:pv_scaled_one_scale}.
Caption : Simulation (A), unrescaled velocity power spectrum. : Power spectrum rescaled with \cref{eq:pv_scaled_one_scale}.
 : Evolution of the velocity power spectrum from simulation (A). \emph{Left panel}: unrescaled power spectrum. The solid black line is the initial condition, \cref{eq:power-spectrum} and coloured lines show the time evolution from $\tau=\tdevel$ up to $\tau = \tend$ with interval $\Delta\tau = 9.96\, \tauxist$. Lighter colours refer to later times. \emph{Right panel}: power spectrum rescaled according to \cref{eq:pv_scaled_one_scale}. The curves are plotted starting from $\tau-\tdevel\simeq 40\,\tauxist$, at fixed intervals $\Delta \tau = 1.99 \tauxist$. : Caption not extracted
Caption : Evolution of the velocity power spectrum from simulation (A). \emph{Left panel}: unrescaled power spectrum. The solid black line is the initial condition, \cref{eq:power-spectrum} and coloured lines show the time evolution from $\tau=\tdevel$ up to $\tau = \tend$ with interval $\Delta\tau = 9.96\, \tauxist$. Lighter colours refer to later times. \emph{Right panel}: power spectrum rescaled according to \cref{eq:pv_scaled_one_scale}. The curves are plotted starting from $\tau-\tdevel\simeq 40\,\tauxist$, at fixed intervals $\Delta \tau = 1.99 \tauxist$. : Caption not extracted
 : Evolution of $\vrms^2 \xi^{1+\beta}$.
Caption : Evolution of $\vrms^2 \xi^{1+\beta}$.
 : Power spectrum rescaled with \cref{eq:Pvxi}, assuming $\beta=3$. : \emph{Left panel}: evolution of $\vrms^2 \xi^{1+\beta}$ for different values of $\beta$ in simulation (A). As shown in \cref{eq:vxigeneral}, this quantity is expected to remain constant, thus indicating that $\beta \simeq 3$. \emph{Right panel}: Power spectrum rescaled with \cref{eq:Pvxi}, using $\beta=3$. The power spectra are plotted from $\tau-\tdevel\simeq 40\,\tauxist$ onward, at fixed interval $\Delta \tau = 1.99 \tauxist$.
Caption : Power spectrum rescaled with \cref{eq:Pvxi}, assuming $\beta=3$. : \emph{Left panel}: evolution of $\vrms^2 \xi^{1+\beta}$ for different values of $\beta$ in simulation (A). As shown in \cref{eq:vxigeneral}, this quantity is expected to remain constant, thus indicating that $\beta \simeq 3$. \emph{Right panel}: Power spectrum rescaled with \cref{eq:Pvxi}, using $\beta=3$. The power spectra are plotted from $\tau-\tdevel\simeq 40\,\tauxist$ onward, at fixed interval $\Delta \tau = 1.99 \tauxist$.
Evolution of the velocity and integral scale in simulation (A). The black-dashed line showcases \cref{eq:VelEvMod,eq:XiEvMod} for $\ndecay=5$, $p=4/3$ and $q=1/3$, where the values of $p$ and $q$ correspond to $\beta=3$; see the relationships in \cref{eq:pchialpha,eq:qchialpha}.
Caption Evolution of the velocity and integral scale in simulation (A). The black-dashed line showcases \cref{eq:VelEvMod,eq:XiEvMod} for $\ndecay=5$, $p=4/3$ and $q=1/3$, where the values of $p$ and $q$ correspond to $\beta=3$; see the relationships in \cref{eq:pchialpha,eq:qchialpha}.
 : Instantaneous exponents $(p,q)$.
Caption : Instantaneous exponents $(p,q)$.
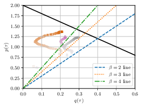
 : Time evolution $p(\tau)$, $q(\tau)$. : \emph{Left panel}: Trajectory of the instantaneous exponents $(p,q)$ in simulation (A). Time is represented by the colour scheme: early times are shown with lighter shades and late times with darker shades, starting at $\tau=\tdevel$ and with interval $\Delta \tau \simeq 2 \tauxist$ between markers. The dark solid line represents the scale-invariance line $p=2(1-q)$, \cref{eq:pVsq}. The coloured dashed, dotted and dash-dotted lines show the self-similarity relations $p=(1+\beta)q$ for various choices of $\beta$. \emph{Right panel}: Evolution of the instantaneous kinetic energy and integral scale exponents $(p, q)$ as a function of time in simulation (A). The dash-dotted line shows the values expected for $p$ and long dashed line for $q$, with $\beta = 3$.
Caption : Time evolution $p(\tau)$, $q(\tau)$. : \emph{Left panel}: Trajectory of the instantaneous exponents $(p,q)$ in simulation (A). Time is represented by the colour scheme: early times are shown with lighter shades and late times with darker shades, starting at $\tau=\tdevel$ and with interval $\Delta \tau \simeq 2 \tauxist$ between markers. The dark solid line represents the scale-invariance line $p=2(1-q)$, \cref{eq:pVsq}. The coloured dashed, dotted and dash-dotted lines show the self-similarity relations $p=(1+\beta)q$ for various choices of $\beta$. \emph{Right panel}: Evolution of the instantaneous kinetic energy and integral scale exponents $(p, q)$ as a function of time in simulation (A). The dash-dotted line shows the values expected for $p$ and long dashed line for $q$, with $\beta = 3$.
 : Model of \Refa{kaneda_lagrangian_1993}.
Caption : Model of \Refa{kaneda_lagrangian_1993}.
 : Our model. : Comparison of normalized unequal time correlator models with data from simulation (A): on the left, the model of \Refa{kaneda_lagrangian_1993} as used in \Refa{Niksa:2018ofa}, on the right our model. The $y$-axis displays the combination of data and model functions which should produce a Gaussian curve in the argument of the $x$-axis; this is discussed in further detail in connection with \cref{eq:Rfigure2b}. The solid dark line is the prediction of the model in each case.
Caption : Our model. : Comparison of normalized unequal time correlator models with data from simulation (A): on the left, the model of \Refa{kaneda_lagrangian_1993} as used in \Refa{Niksa:2018ofa}, on the right our model. The $y$-axis displays the combination of data and model functions which should produce a Gaussian curve in the argument of the $x$-axis; this is discussed in further detail in connection with \cref{eq:Rfigure2b}. The solid dark line is the prediction of the model in each case.
 : Simulation (A), $\Delta\tau/\tauxist = 3.98$.
Caption : Simulation (A), $\Delta\tau/\tauxist = 3.98$.
 : Simulation (D), $\Delta\tau/\tauxist = 4.87$. : Simulation (E), $\Delta\tau/\tauxist = 0.594$.
Caption : Simulation (D), $\Delta\tau/\tauxist = 4.87$. : Simulation (E), $\Delta\tau/\tauxist = 0.594$.
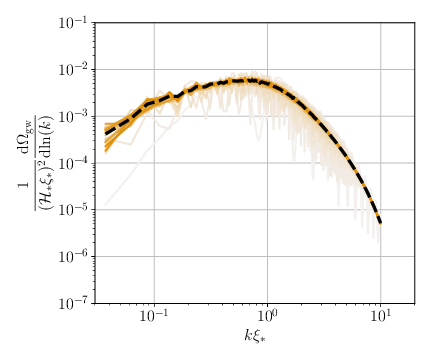
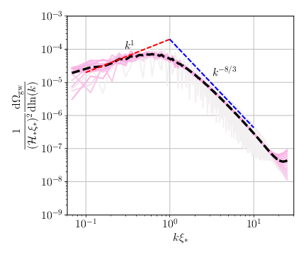
 : Gravitational wave power spectrum from our simulations with $\vrmsst \approx 0.1$. In the y-axis, we divide the by $(\mathcal{H}_*\xi_*)^2$ since the simulations are in flat space-time, see~\cref{eq:OmGWsimul} and the following discussion. The coloured lines show the gravitational wave power spectrum at intervals $\Delta \tau$ starting from $\tau - \tdevel = \Delta \tau$ and finishing at $\tau = \tend$ . Darker shades correspond to later times. The black dashed line shows an average over the gravitational wave power spectrum in the last half of the elapsed simulation time. The red dashed line shows a $k^1$ power-law, while the blue dashed line shows a $k^{-8/3}$. The sampling of relatively few $k$-space modes into discrete bins leads to some noise in the very lowest wavenumbers. It is also possible that, for these lowest wavenumbers, finite volume effects lead to a flattening of the power spectrum as this is not seen in our results using numerical integration. We have cut off the spectrum at high wavenumbers as it progressively gets polluted due to numerical precision errors in projecting $\dot{u}_{ij}(\vb{k})$ to $\dot{h}_{ij}(\vb{k})$. : Caption not extracted
Caption : Gravitational wave power spectrum from our simulations with $\vrmsst \approx 0.1$. In the y-axis, we divide the by $(\mathcal{H}_*\xi_*)^2$ since the simulations are in flat space-time, see~\cref{eq:OmGWsimul} and the following discussion. The coloured lines show the gravitational wave power spectrum at intervals $\Delta \tau$ starting from $\tau - \tdevel = \Delta \tau$ and finishing at $\tau = \tend$ . Darker shades correspond to later times. The black dashed line shows an average over the gravitational wave power spectrum in the last half of the elapsed simulation time. The red dashed line shows a $k^1$ power-law, while the blue dashed line shows a $k^{-8/3}$. The sampling of relatively few $k$-space modes into discrete bins leads to some noise in the very lowest wavenumbers. It is also possible that, for these lowest wavenumbers, finite volume effects lead to a flattening of the power spectrum as this is not seen in our results using numerical integration. We have cut off the spectrum at high wavenumbers as it progressively gets polluted due to numerical precision errors in projecting $\dot{u}_{ij}(\vb{k})$ to $\dot{h}_{ij}(\vb{k})$. : Caption not extracted
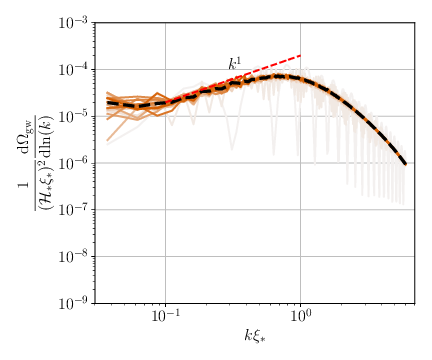
Averaged GW power spectra for simulations (A)-(G) from \cref{tab:list}. The coloured lines shown here correspond to averaging the GW power spectra over the last half of the simulations. Simulations (B) and (C) have $\vrmsst\simeq0.03$, (A), (D) and (E) have $\vrmsst\simeq0.1$, and (F) and (G) have $\vrmsst\simeq0.3$. A cut off has been applied to the spectrum at high wavenumbers due to numerical precision noise.
Caption Averaged GW power spectra for simulations (A)-(G) from \cref{tab:list}. The coloured lines shown here correspond to averaging the GW power spectra over the last half of the simulations. Simulations (B) and (C) have $\vrmsst\simeq0.03$, (A), (D) and (E) have $\vrmsst\simeq0.1$, and (F) and (G) have $\vrmsst\simeq0.3$. A cut off has been applied to the spectrum at high wavenumbers due to numerical precision noise.
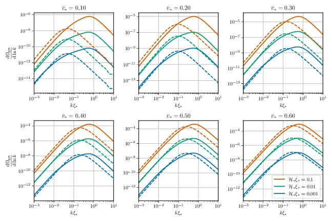
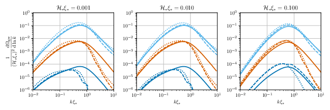
Examples of GW power spectra computed via numerical integration of \cref{eq:OmPvAVG} under the assumption of instantaneous turbulence generation (see \eqref{eq:disc_evol}). The spectra are computed using different values of the initial rms velocity, $\vrmsst$, the initial integral scale relative to the Hubble scale, $\mathcal{H}_*\xi_*$. Each panel corresponds to a different value of $\vrmsst$, as specified by the title, and each colour indicates a different value of $\mathcal{H}_*\xi_*$, as specified by the legend in the bottom right panel. The solid lines are computed setting $\beta = 3$, whereas the dashed lines setting $\beta = 4$. We recall that the evolution of $\vrms(\tau)$ and $\xi(\tau)$ are determined by $\beta$ through \cref{eq:pchialpha,eq:qchialpha}.
Caption Examples of GW power spectra computed via numerical integration of \cref{eq:OmPvAVG} under the assumption of instantaneous turbulence generation (see \eqref{eq:disc_evol}). The spectra are computed using different values of the initial rms velocity, $\vrmsst$, the initial integral scale relative to the Hubble scale, $\mathcal{H}_*\xi_*$. Each panel corresponds to a different value of $\vrmsst$, as specified by the title, and each colour indicates a different value of $\mathcal{H}_*\xi_*$, as specified by the legend in the bottom right panel. The solid lines are computed setting $\beta = 3$, whereas the dashed lines setting $\beta = 4$. We recall that the evolution of $\vrms(\tau)$ and $\xi(\tau)$ are determined by $\beta$ through \cref{eq:pchialpha,eq:qchialpha}.
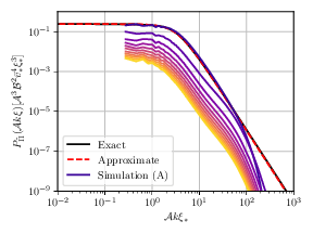
Anisotropic stress spectral density $P_{\tilde{\Pi}}(k,\tdevel)$ at the initial time in the constant source approximation, from the exact integration of \cref{eq:Piintegral} (black solid line) and the analytical approximation \cref{eq:Piapprox} (red dashed line). We also show $P_{\tilde{\Pi}}(k,\tau)$ extracted from simulation (A) (colored solid lines) between $\tau=\tdevel$ and $\tau=\tend$ with interval $\Delta \tau = 9.96 \tauxist$. Lighter colours indicate later times.
Caption Anisotropic stress spectral density $P_{\tilde{\Pi}}(k,\tdevel)$ at the initial time in the constant source approximation, from the exact integration of \cref{eq:Piintegral} (black solid line) and the analytical approximation \cref{eq:Piapprox} (red dashed line). We also show $P_{\tilde{\Pi}}(k,\tau)$ extracted from simulation (A) (colored solid lines) between $\tau=\tdevel$ and $\tau=\tend$ with interval $\Delta \tau = 9.96 \tauxist$. Lighter colours indicate later times.
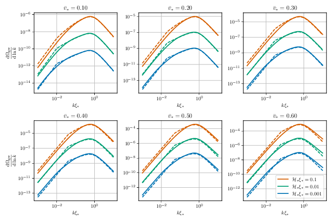
Reproduction of \cref{fig:varying-beta}, where here we also show the constant source approximation given in \cref{eq:constant_approx} for different values of $\vrmsst$ and $\mathcal{H}_*\xi_*$. The solid lines match those of \cref{fig:varying-beta} (with $\beta=3$), whereas the dashed lines give the constant source approximation for an equivalent value of $\vrmsst$ and $\mathcal{H}_*\xi_*$. We fix $\ncut=7$ in the constant source approximation \cref{eq:constant_approx} for all values of $\vrmsst$ and $\mathcal{H}_*\xi_*$.
Caption Reproduction of \cref{fig:varying-beta}, where here we also show the constant source approximation given in \cref{eq:constant_approx} for different values of $\vrmsst$ and $\mathcal{H}_*\xi_*$. The solid lines match those of \cref{fig:varying-beta} (with $\beta=3$), whereas the dashed lines give the constant source approximation for an equivalent value of $\vrmsst$ and $\mathcal{H}_*\xi_*$. We fix $\ncut=7$ in the constant source approximation \cref{eq:constant_approx} for all values of $\vrmsst$ and $\mathcal{H}_*\xi_*$.
GW power spectrum for instantaneous turbulence generation. The gray lines show the analytical approximation of \cref{eq:constant_approx} based on a constant source lasting for $\ncut = 7$ eddy turnover times. The black lines show the result of the 4d numerical integration of \cref{sec:numintegration}. From top to bottom, these lines correspond to $\vrmsst=0.3$, $\vrmsst=0.1$ and $\vrmsst=0.03$ respectively. In all cases we fix $\mathcal{H}_* \xi_* = 0.001$. We also show the averaged GW power spectra for simulations (A)-(G) from \cref{tab:list}, which are plotted using colored lines as specified in the legend. The GW power spectra from simulations has been cut off at high wavenumbers due to numerical precision noise.
Caption GW power spectrum for instantaneous turbulence generation. The gray lines show the analytical approximation of \cref{eq:constant_approx} based on a constant source lasting for $\ncut = 7$ eddy turnover times. The black lines show the result of the 4d numerical integration of \cref{sec:numintegration}. From top to bottom, these lines correspond to $\vrmsst=0.3$, $\vrmsst=0.1$ and $\vrmsst=0.03$ respectively. In all cases we fix $\mathcal{H}_* \xi_* = 0.001$. We also show the averaged GW power spectra for simulations (A)-(G) from \cref{tab:list}, which are plotted using colored lines as specified in the legend. The GW power spectra from simulations has been cut off at high wavenumbers due to numerical precision noise.
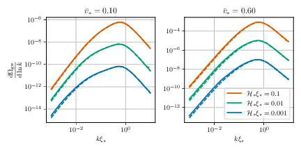
Gravitational wave power spectrum in the instantaneous generation scenario (solid lines), with a $\mathcal{C}^0$ growth phase (dashed lines) and with a $\mathcal{C}^1$ growth phase (dotted lines). From bottom to top, $\vrmsst = 0.1, 0.3$ and $0.6$. The left panel shows $\mathcal{H}_* \xi_* = 10^{-3}$, the middle panel $\mathcal{H}_* \xi_* = 10^{-2}$ and the right panel $\mathcal{H}_* \xi_* = 10^{-1}$.
Caption Gravitational wave power spectrum in the instantaneous generation scenario (solid lines), with a $\mathcal{C}^0$ growth phase (dashed lines) and with a $\mathcal{C}^1$ growth phase (dotted lines). From bottom to top, $\vrmsst = 0.1, 0.3$ and $0.6$. The left panel shows $\mathcal{H}_* \xi_* = 10^{-3}$, the middle panel $\mathcal{H}_* \xi_* = 10^{-2}$ and the right panel $\mathcal{H}_* \xi_* = 10^{-1}$.
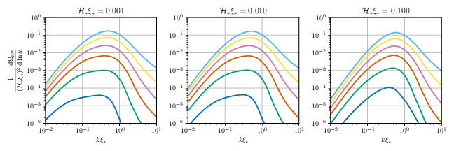
Gravitational wave power spectrum in the scenario with $\mathcal{C}^1$ growth phase. Each panel displays a different value for the initial integral scale $\mathcal{H}_* \xi_*$ (as specified in the panels titles), and each line corresponds to $\vrmsst = 0.1, 0.2, 0.3, 0.4, 0.5,$ and $0.6$ from bottom to top.
Caption Gravitational wave power spectrum in the scenario with $\mathcal{C}^1$ growth phase. Each panel displays a different value for the initial integral scale $\mathcal{H}_* \xi_*$ (as specified in the panels titles), and each line corresponds to $\vrmsst = 0.1, 0.2, 0.3, 0.4, 0.5,$ and $0.6$ from bottom to top.
As in \cref{fig:varying-beta}, we show the SGWB spectra for several values of $\vrmsst$ and $\mathcal{H}_*\xi_*$ in the instantaneous generation scenario with $\beta=3$ (solid lines), compared with the SGWB obtained within the stationary assumption given in \cref{eq:stationary} (dashed lines). We fix $\ncut=7$ as in the constant source approximation, see \cref{eq:SGWBfinconst}.
Caption As in \cref{fig:varying-beta}, we show the SGWB spectra for several values of $\vrmsst$ and $\mathcal{H}_*\xi_*$ in the instantaneous generation scenario with $\beta=3$ (solid lines), compared with the SGWB obtained within the stationary assumption given in \cref{eq:stationary} (dashed lines). We fix $\ncut=7$ as in the constant source approximation, see \cref{eq:SGWBfinconst}.
Velocity power spectra at $\tau=\tend$ in simulations (A), ($\mathrm{A}'$) and ($\mathrm{A}''$).
Caption Velocity power spectra at $\tau=\tend$ in simulations (A), ($\mathrm{A}'$) and ($\mathrm{A}''$).
 : Evolution of $\vrms^2 \xi^{1+\beta}$
Caption : Evolution of $\vrms^2 \xi^{1+\beta}$
 : Evolution of $\xi$ and $\vrms^2$ : \emph{Left panel}: Evolution of $\vrms^2 \xi^{1+\beta}$ for different values of $\beta$ in simulations (A), ($\mathrm{A}'$) and ($\mathrm{A}''$). As shown in the main text, this quantity should remain constant in freely decaying turbulence, thus indicating that $\beta \simeq 3$. \emph{Right panel}: Evolution of the velocity and integral scale in simulations (A), ($\mathrm{A}'$) and ($\mathrm{A}''$). The black-dashed line showcases \cref{eq:VelEvMod,eq:XiEvMod} for $\ndecay=5$, $p=4/3$ and $q=1/3$, where the values of $p$ and $q$ correspond to $\beta=3$. In both panels, the coloured solid lines refer to simulation (A), dashed lines to ($\mathrm{A}'$) and dotted lines to ($\mathrm{A}''$).
Caption : Evolution of $\xi$ and $\vrms^2$ : \emph{Left panel}: Evolution of $\vrms^2 \xi^{1+\beta}$ for different values of $\beta$ in simulations (A), ($\mathrm{A}'$) and ($\mathrm{A}''$). As shown in the main text, this quantity should remain constant in freely decaying turbulence, thus indicating that $\beta \simeq 3$. \emph{Right panel}: Evolution of the velocity and integral scale in simulations (A), ($\mathrm{A}'$) and ($\mathrm{A}''$). The black-dashed line showcases \cref{eq:VelEvMod,eq:XiEvMod} for $\ndecay=5$, $p=4/3$ and $q=1/3$, where the values of $p$ and $q$ correspond to $\beta=3$. In both panels, the coloured solid lines refer to simulation (A), dashed lines to ($\mathrm{A}'$) and dotted lines to ($\mathrm{A}''$).
 : Instantaneous exponents $(p,q)$.
Caption : Instantaneous exponents $(p,q)$.
 : Time evolution $p(\tau)$, $q(\tau)$. : \emph{Left panel}: Trajectory of the instantaneous exponents $(p,q)$ in simulation (A), ($\mathrm{A}'$) and ($\mathrm{A}''$). Simulation (A) is shown with circular gray markers, ($\mathrm{A}'$) with pink triangles, and ($\mathrm{A}''$) with orange squares. Time is represented by the colour scheme: early times are shown with lighter shades and late times with darker shades, starting at $\tau=\tdevel$, with interval $\Delta \tau \sim 2 \tauxist$. The dark solid line represents the self-similarity line $p=2(1-q)$. The coloured lines show the relation $p=(1+\beta)q$ for various choices of $\beta$. \emph{Right panel}: Evolution of the instantaneous kinetic energy and integral scale exponents $(p, q)$ as a function of time in simulation (A), ($\mathrm{A}'$) and ($\mathrm{A}''$). Solid lines refer to simulation (A), dashed lines to ($\mathrm{A}'$) and dotted lines to ($\mathrm{A}''$). The horizontal lines show the values expected for $p$ and $q$ if $\beta = 3$.
Caption : Time evolution $p(\tau)$, $q(\tau)$. : \emph{Left panel}: Trajectory of the instantaneous exponents $(p,q)$ in simulation (A), ($\mathrm{A}'$) and ($\mathrm{A}''$). Simulation (A) is shown with circular gray markers, ($\mathrm{A}'$) with pink triangles, and ($\mathrm{A}''$) with orange squares. Time is represented by the colour scheme: early times are shown with lighter shades and late times with darker shades, starting at $\tau=\tdevel$, with interval $\Delta \tau \sim 2 \tauxist$. The dark solid line represents the self-similarity line $p=2(1-q)$. The coloured lines show the relation $p=(1+\beta)q$ for various choices of $\beta$. \emph{Right panel}: Evolution of the instantaneous kinetic energy and integral scale exponents $(p, q)$ as a function of time in simulation (A), ($\mathrm{A}'$) and ($\mathrm{A}''$). Solid lines refer to simulation (A), dashed lines to ($\mathrm{A}'$) and dotted lines to ($\mathrm{A}''$). The horizontal lines show the values expected for $p$ and $q$ if $\beta = 3$.
 : Simulation (B).
Caption : Simulation (B).
 : Simulation (C). : Real part of the unequal time correlator measured in simulation (B) on the left panel and simulation (C) on the right panel. The $y$-axis displays $\tgauss(k, \tau, \tuetc)$. The solid dark line is the prediction of our model combining \cref{eq:expvsweep,eq:Vlarge,eq:vsweepcomplete}.
Caption : Simulation (C). : Real part of the unequal time correlator measured in simulation (B) on the left panel and simulation (C) on the right panel. The $y$-axis displays $\tgauss(k, \tau, \tuetc)$. The solid dark line is the prediction of our model combining \cref{eq:expvsweep,eq:Vlarge,eq:vsweepcomplete}.
 : Simulation (D).
Caption : Simulation (D).
 : Simulation (E). : Real part of the unequal time correlator measured in simulation (D) on the left panel and simulation (E) on the right panel. The $y$-axis displays $\tgauss(k, \tau, \tuetc)$. The solid dark line is the prediction of our model combining \cref{eq:expvsweep,eq:Vlarge,eq:vsweepcomplete}).
Caption : Simulation (E). : Real part of the unequal time correlator measured in simulation (D) on the left panel and simulation (E) on the right panel. The $y$-axis displays $\tgauss(k, \tau, \tuetc)$. The solid dark line is the prediction of our model combining \cref{eq:expvsweep,eq:Vlarge,eq:vsweepcomplete}).
 : Simulation (F).
Caption : Simulation (F).
 : Simulation (G). : Real part of the unequal time correlator measured in simulation (F) on the left panel and simulation (G) on the right panel. The $y$-axis displays $\tgauss(k, \tau, \tuetc)$. The solid dark line is the prediction of our model combining \cref{eq:expvsweep,eq:Vlarge,eq:vsweepcomplete}).
Caption : Simulation (G). : Real part of the unequal time correlator measured in simulation (F) on the left panel and simulation (G) on the right panel. The $y$-axis displays $\tgauss(k, \tau, \tuetc)$. The solid dark line is the prediction of our model combining \cref{eq:expvsweep,eq:Vlarge,eq:vsweepcomplete}).
 : Simulation (B), $\Delta\tau/\tauxist = 4.97$.
Caption : Simulation (B), $\Delta\tau/\tauxist = 4.97$.
 : Simulation (C), $\Delta\tau/\tauxist = 0.647$. : GW power spectrum from simulations with $\vrmsst \approx 0.03$. The left and right panels show simulation (B) and (C) from \cref{tab:list} respectively. The coloured lines show the GW power spectrum with interval $\Delta \tau$ as listed in the caption, with darker shades corresponding to later times. The black dashed line shows an average over the GW power spectrum in the last $50\%$ of the simulation. We have cut off the spectrum at high wavenumbers due to numerical precision noise.
Caption : Simulation (C), $\Delta\tau/\tauxist = 0.647$. : GW power spectrum from simulations with $\vrmsst \approx 0.03$. The left and right panels show simulation (B) and (C) from \cref{tab:list} respectively. The coloured lines show the GW power spectrum with interval $\Delta \tau$ as listed in the caption, with darker shades corresponding to later times. The black dashed line shows an average over the GW power spectrum in the last $50\%$ of the simulation. We have cut off the spectrum at high wavenumbers due to numerical precision noise.
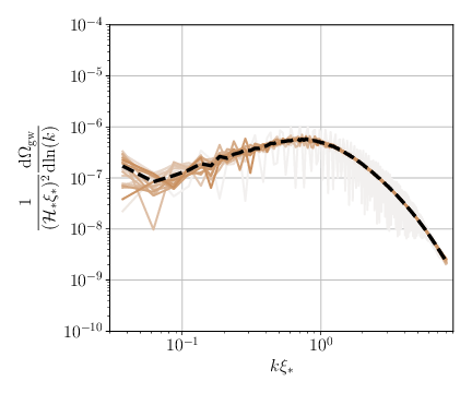
 : Simulation (F), $\Delta\tau/\tauxist = 5.16$.
Caption : Simulation (F), $\Delta\tau/\tauxist = 5.16$.
 : Simulation (G), $\Delta\tau/\tauxist = 0.583$. : GW power spectrum from simulations with $\vrmsst \approx 0.3$. The left and right panels show simulation (F) and (G) from \cref{tab:list} respectively. The coloured lines show the GW power spectrum with interval $\Delta \tau$ as listed in the caption, with darker shades corresponding to later times. The black dashed line shows an average over the GW power spectrum in the last $50\%$ of the simulation. We have cut off the spectrum at high wavenumbers due to numerical precision noise.
Caption : Simulation (G), $\Delta\tau/\tauxist = 0.583$. : GW power spectrum from simulations with $\vrmsst \approx 0.3$. The left and right panels show simulation (F) and (G) from \cref{tab:list} respectively. The coloured lines show the GW power spectrum with interval $\Delta \tau$ as listed in the caption, with darker shades corresponding to later times. The black dashed line shows an average over the GW power spectrum in the last $50\%$ of the simulation. We have cut off the spectrum at high wavenumbers due to numerical precision noise.
Evolution of the kinetic energy $\vrms^2$, decomposed into the vortical, $\vrms_\perp^2$, and longitudinal,  $\vrms_\parallel^2$, components (see \cref{eq:kinetic-comp}). The central panel shows simulation (A).
Caption Evolution of the kinetic energy $\vrms^2$, decomposed into the vortical, $\vrms_\perp^2$, and longitudinal, $\vrms_\parallel^2$, components (see \cref{eq:kinetic-comp}). The central panel shows simulation (A).
 : Simulation (B).
Caption : Simulation (B).
 : Simulation (C). : Evolution of the kinetic energy $\vrms^2$, decomposed into the vortical, $\vrms_\perp^2$, and longitudinal,  $\vrms_\parallel^2$, components (see \cref{eq:kinetic-comp}). The left and right panels show simulation (B) and (C) respectively.
Caption : Simulation (C). : Evolution of the kinetic energy $\vrms^2$, decomposed into the vortical, $\vrms_\perp^2$, and longitudinal, $\vrms_\parallel^2$, components (see \cref{eq:kinetic-comp}). The left and right panels show simulation (B) and (C) respectively.
 : Simulation (D).
Caption : Simulation (D).
 : Simulation (E). : Evolution of the kinetic energy $\vrms^2$, decomposed into the vortical, $\vrms_\perp^2$, and longitudinal,  $\vrms_\parallel^2$, components (see \cref{eq:kinetic-comp}). The left and right panels show simulation (D) and (E) respectively.
Caption : Simulation (E). : Evolution of the kinetic energy $\vrms^2$, decomposed into the vortical, $\vrms_\perp^2$, and longitudinal, $\vrms_\parallel^2$, components (see \cref{eq:kinetic-comp}). The left and right panels show simulation (D) and (E) respectively.
 : Simulation (F).
Caption : Simulation (F).
 : Simulation (G). : Evolution of the kinetic energy $\vrms^2$, decomposed into the vortical, $\vrms_\perp^2$, and longitudinal,  $\vrms_\parallel^2$, components (see \cref{eq:kinetic-comp}). The left and right panels show simulation (F) and (G) respectively.
Caption : Simulation (G). : Evolution of the kinetic energy $\vrms^2$, decomposed into the vortical, $\vrms_\perp^2$, and longitudinal, $\vrms_\parallel^2$, components (see \cref{eq:kinetic-comp}). The left and right panels show simulation (F) and (G) respectively.
References
  • [1] Edward Witten, "Cosmic Separation of Phases", Phys.Rev.D,30,272-285, DOI: 10.1103/PhysRevD.30.272
  • [2] C. J. Hogan, "Gravitational radiation from cosmological phase transitions", Mon.Not.Roy.Astron.Soc.,218,629-636
  • [3] Michael S. Turner, Frank Wilczek, "Relic gravitational waves and extended inflation", Phys.Rev.Lett.,65,3080-3083, DOI: 10.1103/PhysRevLett.65.3080
  • [4] Arthur Kosowsky, Michael S. Turner, Richard Watkins, "Gravitational radiation from colliding vacuum bubbles", Phys.Rev.D,45,4514-4535, DOI: 10.1103/PhysRevD.45.4514
  • [5] Arthur Kosowsky, Michael S. Turner, "Gravitational radiation from colliding vacuum bubbles: envelope approximation to many bubble collisions", Phys.Rev.D,47,4372-4391, DOI: 10.1103/PhysRevD.47.4372
  • [6] Marc Kamionkowski, Arthur Kosowsky, Michael S. Turner, "Gravitational radiation from first order phase transitions", Phys.Rev.D,49,2837-2851, DOI: 10.1103/PhysRevD.49.2837
  • [7] K. Kajantie, M. Laine, K. Rummukainen, Mikhail E. Shaposhnikov, "Is there a hot electroweak phase transition at m_H ≳ m_W?", Phys.Rev.Lett.,77,2887-2890, DOI: 10.1103/PhysRevLett.77.2887
  • [8] Chiara Caprini, "Detecting gravitational waves from cosmological phase transitions with LISA: an update", JCAP,2003,024, DOI: 10.1088/1475-7516/2020/03/024
  • [9] Pau Amaro-Seoane: Laser Interferometer Space Antenna, 2017, 2017 (arXiv:, arXiv: 1702.00786)
  • [10] Chiara Caprini, "Science with the space-based interferometer eLISA. II: Gravitational waves from cosmological phase transitions", JCAP,1604,001, DOI: 10.1088/1475-7516/2016/04/001
  • [11] Robert Caldwell: Detection of Early-Universe Gravitational Wave Signatures and Fundamental Physics, 2022, 2022 (arXiv:, arXiv: 2203.07972)
  • [12] Stephan J. Huber, Thomas Konstandin, "Gravitational Wave Production by Collisions: More Bubbles", JCAP,0809,022, DOI: 10.1088/1475-7516/2008/09/022
  • [13] David J. Weir, "Revisiting the envelope approximation: gravitational waves from bubble collisions", Phys.Rev.D,93,124037, DOI: 10.1103/PhysRevD.93.124037
  • [14] Thomas Konstandin, "Gravitational radiation from a bulk flow model", JCAP,1803,047, DOI: 10.1088/1475-7516/2018/03/047
  • [15] Daniel Cutting, Mark Hindmarsh, David J. Weir, "Gravitational waves from vacuum first-order phase transitions: from the envelope to the lattice", Phys.Rev.D,97,123513, DOI: 10.1103/PhysRevD.97.123513
  • [16] Daniel Cutting, Elba Granados Escartin, Mark Hindmarsh, David J. Weir, "Gravitational waves from vacuum first order phase transitions II: from thin to thick walls", Phys.Rev.D,103,023531, DOI: 10.1103/PhysRevD.103.023531
  • [17] Marek Lewicki, Ville Vaskonen, "Gravitational wave spectra from strongly supercooled phase transitions", Eur.Phys.J.C,80,1003, DOI: 10.1140/epjc/s10052-020-08589-1
  • [18] Marek Lewicki, Ville Vaskonen, "Gravitational waves from colliding vacuum bubbles in gauge theories", Eur.Phys.J.C,81,437, DOI: 10.1140/epjc/s10052-021-09232-3
  • [19] Oliver Gould, Satumaaria Sukuvaara, David Weir, "Vacuum bubble collisions: From microphysics to gravitational waves", Phys.Rev.D,104,075039, DOI: 10.1103/PhysRevD.104.075039
  • [20] Chiara Caprini, Ruth Durrer, Geraldine Servant, "Gravitational wave generation from bubble collisions in first-order phase transitions: An analytic approach", Phys.Rev.D,77,124015, DOI: 10.1103/PhysRevD.77.124015
  • [21] Ryusuke Jinno, Masahiro Takimoto, "Gravitational waves from bubble collisions: An analytic derivation", Phys.Rev.D,95,024009, DOI: 10.1103/PhysRevD.95.024009
  • [22] Ryusuke Jinno, Masahiro Takimoto, "Gravitational waves from bubble dynamics: Beyond the Envelope", JCAP,1901,060, DOI: 10.1088/1475-7516/2019/01/060
  • [23] Mark Hindmarsh, Stephan J. Huber, Kari Rummukainen, David J. Weir, "Gravitational waves from the sound of a first order phase transition", Phys.Rev.Lett.,112,041301, DOI: 10.1103/PhysRevLett.112.041301
  • [24] Mark Hindmarsh, Stephan J. Huber, Kari Rummukainen, David J. Weir, "Numerical simulations of acoustically generated gravitational waves at a first order phase transition", Phys.Rev.D,92,123009, DOI: 10.1103/PhysRevD.92.123009
  • [25] Mark Hindmarsh, Stephan J. Huber, Kari Rummukainen, David J. Weir, "Shape of the acoustic gravitational wave power spectrum from a first order phase transition", Phys.Rev.D,96,103520, DOI: 10.1103/PhysRevD.96.103520
  • [26] Mark Hindmarsh, "Sound shell model for acoustic gravitational wave production at a first-order phase transition in the early Universe", Phys.Rev.Lett.,120,071301, DOI: 10.1103/PhysRevLett.120.071301
  • [27] Mark Hindmarsh, Mulham Hijazi, "Gravitational waves from first order cosmological phase transitions in the Sound Shell Model", JCAP,1912,062, DOI: 10.1088/1475-7516/2019/12/062
  • [28] Ryusuke Jinno, Thomas Konstandin, Henrique Rubira, "A hybrid simulation of gravitational wave production in first-order phase transitions", JCAP,2104,014, DOI: 10.1088/1475-7516/2021/04/014
  • [29] Ue-Li Pen, Neil Turok, "Shocks in the Early Universe", Phys.Rev.Lett.,117,131301, DOI: 10.1103/PhysRevLett.117.131301
  • [30] Jani Dahl, Mark Hindmarsh, Kari Rummukainen, David Weir: Decay of acoustic turbulence in two dimensions and implications for cosmological gravitational waves, 2021, 2021 (arXiv:, arXiv: 2112.12013)
  • [31] Daniel Cutting, Mark Hindmarsh, David J. Weir, "Vorticity, kinetic energy, and suppressed gravitational wave production in strong first order phase transitions", Phys.Rev.Lett.,125,021302, DOI: 10.1103/PhysRevLett.125.021302
  • [32] Chiara Caprini, Ruth Durrer, "Gravitational waves from stochastic relativistic sources: Primordial turbulence and magnetic fields", Phys.Rev.D,74,063521, DOI: 10.1103/PhysRevD.74.063521
  • [33] Grigol Gogoberidze, Tina Kahniashvili, Arthur Kosowsky, "The Spectrum of Gravitational Radiation from Primordial Turbulence", Phys.Rev.D,76,083002, DOI: 10.1103/PhysRevD.76.083002
  • [34] Tina Kahniashvili, Leonardo Campanelli, Grigol Gogoberidze, Yurii Maravin, "Gravitational Radiation from Primordial Helical Inverse Cascade MHD Turbulence", Phys.Rev.D,78,123006, DOI: 10.1103/PhysRevD.78.123006
  • [35] Tina Kahniashvili, Grigol Gogoberidze, Bharat Ratra, "Gravitational Radiation from Primordial Helical MHD Turbulence", Phys.Rev.Lett.,100,231301, DOI: 10.1103/PhysRevLett.100.231301
  • [36] Chiara Caprini, Ruth Durrer, Geraldine Servant, "The stochastic gravitational wave background from turbulence and magnetic fields generated by a first-order phase transition", JCAP,0912,024, DOI: 10.1088/1475-7516/2009/12/024
  • [37] Chiara Caprini, Ruth Durrer, Elisa Fenu, "Can the observed large scale magnetic fields be seeded by helical primordial fields?", JCAP,0911,001, DOI: 10.1088/1475-7516/2009/11/001
  • [38] Peter Niksa, Martin Schlederer, Günter Sigl, "Gravitational Waves produced by Compressible MHD Turbulence from Cosmological Phase Transitions", Class.Quant.Grav.,35,144001, DOI: 10.1088/1361-6382/aac89c
  • [39] , Y. Kaneda, Lagrangian and Eulerian time correlations in turbulence, Phys. Fluids A 5 (1993) 2835. , DOI: 10.1063/1.858747
  • [40] , R.H. Kraichnan, Kolmogorov's hypotheses and eulerian turbulence theory, Phys. Fluids 7 (1964) 1723. , DOI: 10.1063/1.2746572
  • [41] Alberto Roper Pol, Axel Brandenburg, Tina Kahniashvili, Arthur Kosowsky, "The timestep constraint in solving the gravitational wave equations sourced by hydromagnetic turbulence", Geophys.Astrophys.Fluid Dynamics,114,130-161, DOI: 10.1080/03091929.2019.1653460
  • [42] Alberto Roper Pol, Sayan Mandal, Axel Brandenburg, Tina Kahniashvili, "Numerical simulations of gravitational waves from early-universe turbulence", Phys.Rev.D,102,083512, DOI: 10.1103/PhysRevD.102.083512
  • [43] Tina Kahniashvili, Axel Brandenburg, Grigol Gogoberidze, Sayan Mandal, "Circular polarization of gravitational waves from early-Universe helical turbulence", Phys.Rev.Res.,3,013193, DOI: 10.1103/PhysRevResearch.3.013193
  • [44] Axel Brandenburg, Grigol Gogoberidze, Tina Kahniashvili, Sayan Mandal, "The scalar, vector, and tensor modes in gravitational wave turbulence simulations", Class.Quant.Grav.,38,145002, DOI: 10.1088/1361-6382/ac011c
  • [45] , G.-W. He, M. Wang and S.K. Lele, On the computation of space-time correlations by large-eddy simulation, Phys. Fluids 16 (2004) 3859 [https://doi.org/10.1063/1.1779251]. , DOI: 10.1063/1.1779251
  • [46] Alberto Roper Pol, Chiara Caprini, Andrii Neronov, Dmitri Semikoz, "Gravitational wave signal from primordial magnetic fields in the Pulsar Timing Array frequency band", Phys.Rev.D,105,123502, DOI: 10.1103/PhysRevD.105.123502
  • [47] Chiara Caprini, Daniel G. Figueroa, "Cosmological Backgrounds of Gravitational Waves", Class.Quant.Grav.,35,163001, DOI: 10.1088/1361-6382/aac608
  • [48] , P.A. Davidson, Turbulence: An Introduction for Scientists and Engineers, Oxford University Press, Oxford, U.K. (2004).
  • [49] , A. Kolmogorov, The Local Structure of Turbulence in Incompressible Viscous Fluid for Very Large Reynolds' Numbers, Akademiia Nauk SSSR Doklady 30 (1941) 301.
  • [50] , T. von Kármán, Progress in the Statistical Theory of Turbulence, Proc. Nat. Acad. Sci. 34 (1948) 530. , DOI: 10.1073/pnas.34.11.530
  • [51] Axel Brandenburg, Tina Kahniashvili, Sayan Mandal, Alberto Roper Pol, "Evolution of hydromagnetic turbulence from the electroweak phase transition", Phys.Rev.D,96,123528, DOI: 10.1103/PhysRevD.96.123528
  • [52] , W.K. George, The decay of homogeneous isotropic turbulence, Phys. Fluids A 4 (1992) 1492. , DOI: 10.1063/1.858423
  • [53] Axel Brandenburg, Tina Kahniashvili, Alexander G. Tevzadze, "Nonhelical inverse transfer of a decaying turbulent magnetic field", Phys.Rev.Lett.,114,075001, DOI: 10.1103/PhysRevLett.114.075001
  • [54] Johannes Reppin, Robi Banerjee, "Nonhelical turbulence and the inverse transfer of energy: A parameter study", Phys.Rev.E,96,053105, DOI: 10.1103/PhysRevE.96.053105
  • [55] Mattias Christensson, Mark Hindmarsh, Axel Brandenburg, "Inverse cascade in decaying 3-D magnetohydrodynamic turbulence", Phys.Rev.E,64,056405, DOI: 10.1103/PhysRevE.64.056405
  • [56] Leonardo Campanelli, "On the self-similarity of nonhelical magnetohydrodynamic turbulence", Eur.Phys.J.C,76,504, DOI: 10.1140/epjc/s10052-016-4356-6
  • [57] P. Olesen: Inverse transfer of self-similar decaying turbulent non-helical magnetic field, 2015, 2015 (arXiv:, arXiv: 1509.08962)
  • [58] Axel Brandenburg, Tina Kahniashvili, "Classes of hydrodynamic and magnetohydrodynamic turbulent decay", Phys.Rev.Lett.,118,055102, DOI: 10.1103/PhysRevLett.118.055102
  • [59] P. Olesen, "On inverse cascades in astrophysics", Phys.Lett.B,398,321-325, DOI: 10.1016/S0370-2693(97)00235-9
  • [60] , P.D. Ditlevsen, M.H. Jensen and P. Olesen, Scaling in decaying hydrodynamic turbulence, Physica A 342 (2004) 471 [, arXiv: nlin/0205055]. , DOI: 10.1016/j.physa.2004.05.076
  • [61] Leonardo Campanelli, "Evolution of Magnetic Fields in Freely Decaying Magnetohydrodynamic Turbulence", Phys.Rev.Lett.,98,251302, DOI: 10.1103/PhysRevLett.98.251302
  • [62] , L. Landau and E. Lifshitz, Fluid Mechanics: Volume 6, Elsevier Science (2013).
  • [63] , T. Teitelbaum and P.D. Mininni, Large-scale effects on the decay of rotating helical and non-helical turbulence, Phys. Scripta T 142 (2010) 014003 [, arXiv: 0911.0356]. , DOI: 10.1088/0031-8949/2010/T142/014003
  • [64] , S.J. Camargo and S.J. Tasso, Renormalization group in magnetohydrodynamic turbulence, Phys. Fluids B 4 (1992) 1199. , DOI: 10.1063/1.860128
  • [65] Tetsuya Shiromizu, "Inverse cascade of primordial magnetic field in MHD turbulence", Phys.Lett.B,443,127-130, DOI: 10.1016/S0370-2693(98)01348-3
  • [66] , V. Mons, J.-C. Chassaing, T. Gomez and P. Sagaut, Is isotropic turbulence decay governed by asymptotic behavior of large scales? an eddy-damped quasi-normal markovian-based data assimilation study, Phys. Fluids 26 (2014) 115105. , DOI: 10.1063/1.4901448
  • [67] , P. Schaefer, M. Gampert, J. Goebbert, M. Gauding and N. Peters, Asymptotic analysis of homogeneous isotropic decaying turbulence with unknown initial conditions, J. Turbulence 12 (2011) 1. , DOI: 10.1063/1.860128
  • [68] , M. Meldi and P. Sagaut, On non-self-similar regimes in homogeneous isotropic turbulence decay, J. Fluid Mech. 711 (2012) 364. , DOI: 10.1017/jfm.2012.396
  • [69] Ye Zhou, "Turbulence theories and statistical closure approaches", Phys.Rept.,935,1-117, DOI: 10.1016/j.physrep.2021.07.001
  • [70] , T. Sanada and V. Shanmugasundaram, Random sweeping effect in isotropic numerical turbulence, Phys. Fluids A 4 (1992) 1245. , DOI: 10.1063/1.858242
  • [71] , A. Gorbunova, G. Balarac, L. Canet, G. Eyink and V. Rossetto, Spatio-temporal correlations in three-dimensional homogeneous and isotropic turbulence, Phys. Fluids 33 (2021) 045114. , DOI: 10.1063/5.0046677
  • [72] , Y.-H. Dong and P. Sagaut, A study of time correlations in lattice Boltzmann-based large-eddy simulation of isotropic turbulence, Phys. Fluids 20 (2008) 035105. , DOI: 10.1063/1.2842381
  • [73] , M. Wilczek and Y. Narita, Wave-number-frequency spectrum for turbulence from a random sweeping hypothesis with mean flow, Phys. Rev. E 86 (2012) 066308. , DOI: 10.1103/PhysRevE.86.066308
  • [74] , Y. Kaneda and T. Gotoh, Lagrangian velocity autocorrelation in isotropic turbulence, Phys. Fluids A 3 (1991) 1924. , DOI: 10.1063/1.857922
  • [75] , M.G. Genton, Classes of kernels for machine learning: A statistics perspective, J. Mach. Learn. Res. 2 (2002) 299.
  • [76] , J. Mercer, Functions of Positive and Negative Type, and their Connection with the Theory of Integral Equations, Phil. Trans. Roy. Soc. Lond. A 209 (1909) 415. , DOI: 10.1098/rsta.1909.0016
  • [77] Chiara Caprini, Ruth Durrer, Thomas Konstandin, Geraldine Servant, "General Properties of the Gravitational Wave Spectrum from Phase Transitions", Phys.Rev.D,79,083519, DOI: 10.1103/PhysRevD.79.083519
  • [78] , R. Silverman, Locally stationary random processes, IRE Transactions on Information Theory 3 (1957) 182. , DOI: 10.1109/TIT.1957.1057413
  • [79] , D. Higdon, J. Swall and J. Kern, Non-stationary spatial modeling, Bayesian statistics 6 (1999) 761.
  • [80] K. Enqvist, J. Ignatius, K. Kajantie, K. Rummukainen, "Nucleation and bubble growth in a first order cosmological electroweak phase transition", Phys.Rev.D,45,3415-3428, DOI: 10.1103/PhysRevD.45.3415
  • [81] Axel Brandenburg, Kari Enqvist, Poul Olesen, "Large scale magnetic fields from hydromagnetic turbulence in the very early universe", Phys.Rev.D,54,1291-1300, DOI: 10.1103/PhysRevD.54.1291
  • [82] , J. Wilson and G. Matthews, Relativistic Numerical Hydrodyamics, Cambridge University Press, Cambridge, U.K. (2003).
  • [83] , B. Van Leer, Towards the ultimate conservative difference scheme. iv. a new approach to numerical convection, J. Comput. Phys. 23 (1977) 276. , DOI: 10.1016/0021-9991(77)90095-X
  • [84] Peter Anninos, P. Chris Fragile, "Non-oscillatory central difference and artificial viscosity schemes for relativistic hydrodynamics", Astrophys.J.Suppl.,144,243, DOI: 10.1086/344723
  • [85] Juan Garcia-Bellido, Daniel G. Figueroa, Alfonso Sastre, "A Gravitational Wave Background from Reheating after Hybrid Inflation", Phys.Rev.D,77,043517, DOI: 10.1103/PhysRevD.77.043517
  • [86] Mark B. Hindmarsh, Marvin Lüben, Johannes Lumma, Martin Pauly, "Phase transitions in the early universe", SciPost Phys.Lect.Notes,24,1, DOI: 10.21468/SciPostPhysLectNotes.24
  • [87] Huai-Ke Guo, Kuver Sinha, Daniel Vagie, Graham White, "Phase Transitions in an Expanding Universe: Stochastic Gravitational Waves in Standard and Non-Standard Histories", JCAP,2101,001, DOI: 10.1088/1475-7516/2021/01/001
  • [88] John Ellis, Marek Lewicki, José Miguel No, "Gravitational waves from first-order cosmological phase transitions: lifetime of the sound wave source", JCAP,2007,050, DOI: 10.1088/1475-7516/2020/07/050
  • [89] G. Peter Lepage, "A New Algorithm for Adaptive Multidimensional Integration", J.Comput.Phys.,27,192, DOI: 10.1016/0021-9991(78)90004-9
  • [90] G. Peter Lepage, "Adaptive multidimensional integration: VEGAS enhanced", J.Comput.Phys.,439,110386, DOI: 10.1016/j.jcp.2021.110386
  • [91] Axel Brandenburg, Stanislav Boldyrev, "The turbulent stress spectrum in the inertial and subinertial ranges", Astrophys.J.,892,80, DOI: 10.3847/1538-4357/ab77bd
  • [92] Axel Brandenburg, Yutong He, Tina Kahniashvili, Matthias Rheinhardt, "Relic gravitational waves from the chiral magnetic effect", Astrophys.J.,911,110, DOI: 10.3847/1538-4357/abe4d7
  • [93] Alberto Roper Pol, Sayan Mandal, Axel Brandenburg, Tina Kahniashvili, "Polarization of gravitational waves from helical MHD turbulent sources", JCAP,2204,019, DOI: 10.1088/1475-7516/2022/04/019