Primordial black holes from metric preheating: mass fraction in the excursion-set approach

Author(s)

Auclair, Pierre, Vennin, Vincent

Abstract

We calculate the mass distribution of Primordial Black Holes (PBHs) produced during metric preheating. After inflation, the oscillations of the inflaton at the bottom of its potential source a parametric resonant instability for small-scale scalar perturbations, that may collapse into black holes. After reviewing in a pedagogical way different techniques that have been developed in the literature to compute mass distributions of PBHs, we focus on the excursion-set approach. We derive a Volterra integral equation that is free of a singularity sometimes encountered, and apply it to the case of metric preheating. We find that if the energy density at which the instability stops, ρΓ, is sufficiently smaller than the one at which inflation ends, ρend, namely if ρΓ1/4/ρend1/4 < 10−5(ρend1/4/1016GeV)3/2, then PBHs dominate the universe content at the end of the oscillatory phase. This confirms the previous analysis of ref. [1]. By properly accounting for the “cloud-in-cloud” mechanism, we find that the mass distribution is more suppressed at low masses than previously thought, and peaks several orders of magnitude above the Hubble mass at the end of inflation. The peak mass ranges from 10 g to stellar masses, giving rise to different possible cosmological effects that we discuss.

Figures

Evolution of the physical scales appearing in \Eq{eq:instability:band:2}, with time parametrised by the number of \efolds~$N=\ln a$ (counted from the end of inflation). The blue line represents the Hubble radius $1/H$, the orange line the new length scale $1/\sqrt{3Hm}$ and the dotted lines the physical wavelengths of modes of interest, which may enter the instability band after inflation, during the oscillatory phase. Here the Klein-Gordon equation for the inflaton field has been solved for the quadratic potential $V(\phi) = m^2 \phi^2/2$, where $m = 10^{-6} \Mp$.
Caption Evolution of the physical scales appearing in \Eq{eq:instability:band:2}, with time parametrised by the number of \efolds~$N=\ln a$ (counted from the end of inflation). The blue line represents the Hubble radius $1/H$, the orange line the new length scale $1/\sqrt{3Hm}$ and the dotted lines the physical wavelengths of modes of interest, which may enter the instability band after inflation, during the oscillatory phase. Here the Klein-Gordon equation for the inflaton field has been solved for the quadratic potential $V(\phi) = m^2 \phi^2/2$, where $m = 10^{-6} \Mp$.
Bardeen potential $\Phi_{\bm{k}}$ rescaled by the curvature perturbation $\zeta_{\bm{k}}$ during the last \efolds~of inflation and the first \efolds~of the oscillatory phase, in the same situation as the one displayed in \Fig{fig:scale}, for a scale ${\bm{k}}$ that is sufficiently far outside the Hubble radius such that $\zeta_{\bm{k}}$ can be taken as constant. The blue line stands for the full numerical solution of \Eq{eq:zeta:Bardeen}, seen as a differential equation for $\Phi_{\bm{k}}(t)$, where $w(t)$ and $H(t)$ are extracted from \Fig{fig:scale}. The red line stands for the approximation~\eqref{eq:Phi:zeta:Appr}, $\Phi_{\bm{k}}/\zeta_{\bm{k}} = 3/5$, obtained as the late-time solution of \Eq{eq:zeta:Bardeen} when setting $w=0$ and $H=2/(3 t)$, and towards which the full numerical result asymptotes after a few oscillations. The orange line stands for \Eq{eq:zeta:Bardeen} where we neglected $\dot{\Phi}_{\bm{k}}/H$ with respect to $\Phi_{\bm{k}}$. This approximation is well justified on super-Hubble scales during inflation, since $w$ is almost constant there, but fails during the subsequent oscillatory phase where $w$ vanishes on average but otherwise undergoes large oscillations.
Caption Bardeen potential $\Phi_{\bm{k}}$ rescaled by the curvature perturbation $\zeta_{\bm{k}}$ during the last \efolds~of inflation and the first \efolds~of the oscillatory phase, in the same situation as the one displayed in \Fig{fig:scale}, for a scale ${\bm{k}}$ that is sufficiently far outside the Hubble radius such that $\zeta_{\bm{k}}$ can be taken as constant. The blue line stands for the full numerical solution of \Eq{eq:zeta:Bardeen}, seen as a differential equation for $\Phi_{\bm{k}}(t)$, where $w(t)$ and $H(t)$ are extracted from \Fig{fig:scale}. The red line stands for the approximation~\eqref{eq:Phi:zeta:Appr}, $\Phi_{\bm{k}}/\zeta_{\bm{k}} = 3/5$, obtained as the late-time solution of \Eq{eq:zeta:Bardeen} when setting $w=0$ and $H=2/(3 t)$, and towards which the full numerical result asymptotes after a few oscillations. The orange line stands for \Eq{eq:zeta:Bardeen} where we neglected $\dot{\Phi}_{\bm{k}}/H$ with respect to $\Phi_{\bm{k}}$. This approximation is well justified on super-Hubble scales during inflation, since $w$ is almost constant there, but fails during the subsequent oscillatory phase where $w$ vanishes on average but otherwise undergoes large oscillations.
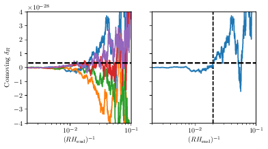
Example of Langevin trajectories for the density contrast evaluated on comoving slices at the end of inflation, and coarse-grained at the scale $R$, for $H_\uend = 10^{-8} \Mp$ and $H_\Gamma = 10^{-25} \Mp$. The (quasi) horizontal black dashed line shows the collapse criterion~\eqref{eq:collapse:threshold:end}. In the right panel, we isolate one realisation and the vertical dashed line denotes the first crossing ``time'' (\ie scale) of the critical threshold.
Caption Example of Langevin trajectories for the density contrast evaluated on comoving slices at the end of inflation, and coarse-grained at the scale $R$, for $H_\uend = 10^{-8} \Mp$ and $H_\Gamma = 10^{-25} \Mp$. The (quasi) horizontal black dashed line shows the collapse criterion~\eqref{eq:collapse:threshold:end}. In the right panel, we isolate one realisation and the vertical dashed line denotes the first crossing ``time'' (\ie scale) of the critical threshold.
Mass fraction $\beta$ of primordial black holes for $H_\uend = 10^{-8} \Mp$ and $H_\Gamma = 10^{-25} \Mp$, as a function of the mass $M$ in grams. The vertical black bars stand for the distribution of first crossing times obtained from $10^6$ simulated realisations of the Langevin equation~\eqref{eq:Langevin:sigma2}, binned into $1000$ logarithmically spaced values of $R$. The size of the bars correspond to $5\sigma$ estimates of the statistical error by jackknife resampling. The red line corresponds to numerically solving the Volterra equation~\eqref{eq:Volterra:regular}, using the method described in \App{sec:numerical-volterra}. The blue line displays the analytical approximation developed in \Sec{sec:AnalyticalApproximation}, which provides a good fit to the full numerical. The vertical green line denotes the mass at which $\beta$ peaks, as estimated from \Eq{eq:meanMass}, and the grey shaded area stands for the $1\sigma$ deviation of $\ln(M)$ according to the distribution $\beta(M)$, centred on its mean value.
Caption Mass fraction $\beta$ of primordial black holes for $H_\uend = 10^{-8} \Mp$ and $H_\Gamma = 10^{-25} \Mp$, as a function of the mass $M$ in grams. The vertical black bars stand for the distribution of first crossing times obtained from $10^6$ simulated realisations of the Langevin equation~\eqref{eq:Langevin:sigma2}, binned into $1000$ logarithmically spaced values of $R$. The size of the bars correspond to $5\sigma$ estimates of the statistical error by jackknife resampling. The red line corresponds to numerically solving the Volterra equation~\eqref{eq:Volterra:regular}, using the method described in \App{sec:numerical-volterra}. The blue line displays the analytical approximation developed in \Sec{sec:AnalyticalApproximation}, which provides a good fit to the full numerical. The vertical green line denotes the mass at which $\beta$ peaks, as estimated from \Eq{eq:meanMass}, and the grey shaded area stands for the $1\sigma$ deviation of $\ln(M)$ according to the distribution $\beta(M)$, centred on its mean value.
Total fraction of the universe comprised in PBHs, $\OmegaPBH$, as a function of $\rho_\mathrm{end}$, the energy density at the end of inflation, and $\rho_\Gamma$, the energy density at the end of the instability phase. On the left panel, we fix $\rho_\uend=10^{-12}\Mp^4$ and let $\rho_\Gamma$ vary. The solid red curve is the full numerical result obtained in the excursion-set approach. The dashed green line corresponds to the Press-Schechter result with the additional factor $2$, which becomes exact in the limit of a scale-invariant threshold, see \Sec{sec:ScaleInvariant:threshold}. The dashed blue line corresponds to the analytical approximation~\eqref{eq:Omegatot:anal}. On the right panel, the full parameter space is explored (where $\rho_\Gamma<\rho_\uend$ since the oscillatory phase occurs after inflation). The colour encodes the value of $\OmegaPBH$, and the transition from tiny values to values close to one is very abrupt. The dashed blue line stands for the analytical estimate~\eqref{eq:bound:Omegatot_eq_1} for the location of this transition.
Caption Total fraction of the universe comprised in PBHs, $\OmegaPBH$, as a function of $\rho_\mathrm{end}$, the energy density at the end of inflation, and $\rho_\Gamma$, the energy density at the end of the instability phase. On the left panel, we fix $\rho_\uend=10^{-12}\Mp^4$ and let $\rho_\Gamma$ vary. The solid red curve is the full numerical result obtained in the excursion-set approach. The dashed green line corresponds to the Press-Schechter result with the additional factor $2$, which becomes exact in the limit of a scale-invariant threshold, see \Sec{sec:ScaleInvariant:threshold}. The dashed blue line corresponds to the analytical approximation~\eqref{eq:Omegatot:anal}. On the right panel, the full parameter space is explored (where $\rho_\Gamma<\rho_\uend$ since the oscillatory phase occurs after inflation). The colour encodes the value of $\OmegaPBH$, and the transition from tiny values to values close to one is very abrupt. The dashed blue line stands for the analytical estimate~\eqref{eq:bound:Omegatot_eq_1} for the location of this transition.
Total fraction of the universe comprised in PBHs, $\OmegaPBH$, as a function of $\rho_\mathrm{end}$, the energy density at the end of inflation, and $\rho_\Gamma$, the energy density at the end of the instability phase. On the left panel, we fix $\rho_\uend=10^{-12}\Mp^4$ and let $\rho_\Gamma$ vary. The solid red curve is the full numerical result obtained in the excursion-set approach. The dashed green line corresponds to the Press-Schechter result with the additional factor $2$, which becomes exact in the limit of a scale-invariant threshold, see \Sec{sec:ScaleInvariant:threshold}. The dashed blue line corresponds to the analytical approximation~\eqref{eq:Omegatot:anal}. On the right panel, the full parameter space is explored (where $\rho_\Gamma<\rho_\uend$ since the oscillatory phase occurs after inflation). The colour encodes the value of $\OmegaPBH$, and the transition from tiny values to values close to one is very abrupt. The dashed blue line stands for the analytical estimate~\eqref{eq:bound:Omegatot_eq_1} for the location of this transition.
Caption Total fraction of the universe comprised in PBHs, $\OmegaPBH$, as a function of $\rho_\mathrm{end}$, the energy density at the end of inflation, and $\rho_\Gamma$, the energy density at the end of the instability phase. On the left panel, we fix $\rho_\uend=10^{-12}\Mp^4$ and let $\rho_\Gamma$ vary. The solid red curve is the full numerical result obtained in the excursion-set approach. The dashed green line corresponds to the Press-Schechter result with the additional factor $2$, which becomes exact in the limit of a scale-invariant threshold, see \Sec{sec:ScaleInvariant:threshold}. The dashed blue line corresponds to the analytical approximation~\eqref{eq:Omegatot:anal}. On the right panel, the full parameter space is explored (where $\rho_\Gamma<\rho_\uend$ since the oscillatory phase occurs after inflation). The colour encodes the value of $\OmegaPBH$, and the transition from tiny values to values close to one is very abrupt. The dashed blue line stands for the analytical estimate~\eqref{eq:bound:Omegatot_eq_1} for the location of this transition.
: Mean PBH mass
Caption : Mean PBH mass
: Dispersion of the PBH masses
Caption : Dispersion of the PBH masses
: Evolution of $\OmegaPBH$ at $\rho_\uend = 10^{-12}  \Mp^{4}$
Caption : Evolution of $\OmegaPBH$ at $\rho_\uend = 10^{-12} \Mp^{4}$
: $\OmegaPBH$ as a function of $\rho_\uend$ and $\rho_\Gamma$
Caption : $\OmegaPBH$ as a function of $\rho_\uend$ and $\rho_\Gamma$
: Average mass of PBH
Caption : Average mass of PBH
: Dispersion of the PBH masses
Caption : Dispersion of the PBH masses
Mass fraction $\beta$ of primordial black holes for $\rho_\uend=10^{-12}\Mp^4$ and $\rho_\Gamma=10^{-40}\Mp$. As in \Fig{fig:mass-function}, the red line corresponds to numerically solving the Volterra equation~\eqref{eq:Volterra:regular}. The olive, orange and purple lines correspond to the results of \Refa{Martin:2019nuw} and are taken from Fig.~4 of that reference. The orange line displays the ``raw'' result obtained with the estimate of \Sec{sec:simplified:PS}, which leads to the problematic $\OmegaPBH>1$. Then, ``renormalisation'' is either performed by ``premature ending'' (purple dashed line) or by ``absorption'' (olive dashed line).
Caption Mass fraction $\beta$ of primordial black holes for $\rho_\uend=10^{-12}\Mp^4$ and $\rho_\Gamma=10^{-40}\Mp$. As in \Fig{fig:mass-function}, the red line corresponds to numerically solving the Volterra equation~\eqref{eq:Volterra:regular}. The olive, orange and purple lines correspond to the results of \Refa{Martin:2019nuw} and are taken from Fig.~4 of that reference. The orange line displays the ``raw'' result obtained with the estimate of \Sec{sec:simplified:PS}, which leads to the problematic $\OmegaPBH>1$. Then, ``renormalisation'' is either performed by ``premature ending'' (purple dashed line) or by ``absorption'' (olive dashed line).
References
  • J. Martin, T. Papanikolaou and V. Vennin, 2020 Primordial black holes from the preheating instability in single-field inflation J. Cosmol. Astropart. Phys. 2020 01 024 [1907.04236]
  • B.J. Carr and S.W. Hawking, 1974 Black holes in the early Universe Mon Not. Roy. Astron. Soc. 168 399
  • B.J. Carr, 1975 The Primordial black hole mass spectrum, https://doi.org/10.1086/153853 Astrophys. J. 201 1
  • G.F. Chapline, 1975 Cosmological effects of primordial black holes, https://doi.org/10.1038/253251a0 Nature 253 251
  • P. Meszaros, 1975 Primeval black holes and galaxy formation Astron. Astrophys. 38 5
  • N. Afshordi, P. McDonald and D.N. Spergel, 2003 Primordial black holes as dark matter: The Power spectrum and evaporation of early structures, https://doi.org/10.1086/378763 Astrophys. J. Lett. 594L71 [astro-ph/0302035]
  • B. J. Carr and M. Rees, 1984 How large were the first pregalactic objects? Trieste Int. Sch. Advanc. Stud. 83-18 A
  • R. Bean and J. Magueijo, 2002 Could supermassive black holes be quintessential primordial black holes?, https://doi.org/10.1103/PhysRevD.66.063505 Phys. Rev. D 66 063505 [astro-ph/0204486]
  • LIGO Scientific and Virgo collaborations, 2019 GWTC-1: A Gravitational-Wave Transient Catalog of Compact Binary Mergers Observed by LIGO and Virgo during the First and Second Observing Runs, https://doi.org/10.1103/PhysRevX.9.031040 Phys. Rev. X 9 031040 [1811.12907]
  • M. Sasaki, T. Suyama, T. Tanaka and S. Yokoyama, 2016 Primordial Black Hole Scenario for the Gravitational-Wave Event GW150914, https://doi.org/10.1103/PhysRevLett.117.061101 Phys. Rev. Lett. 117 061101 [Erratum ibid 121 (2018) 059901] [1603.08338]
  • LIGO Scientific and Virgo collaborations, 2020 Properties and Astrophysical Implications of the 150 M⊙ Binary Black Hole Merger GW190521, https://doi.org/10.3847/2041-8213/aba493 Astrophys. J. Lett. 900 L13 [2009.01190]
  • B. Carr, K. Kohri, Y. Sendouda and J. Yokoyama, Constraints on Primordial Black Holes, [2002.12778]
  • K. Jedamzik, M. Lemoine and J. Martin, 2010 Collapse of Small-Scale Density Perturbations during Preheating in Single Field Inflation J. Cosmol. Astropart. Phys. 2010 09 034 [1002.3039]
  • R. Easther, R. Flauger and J.B. Gilmore, 2011 Delayed Reheating and the Breakdown of Coherent Oscillations J. Cosmol. Astropart. Phys. 2011 04 027 [1003.3011]
  • A.M. Green and K.A. Malik, 2001 Primordial black hole production due to preheating, https://doi.org/10.1103/PhysRevD.64.021301 Phys. Rev. D 64 021301 [hep-ph/0008113]
  • T. Papanikolaou, V. Vennin and D. Langlois, Gravitational waves from a universe filled with primordial black holes, [2010.11573]
  • K. Jedamzik, M. Lemoine and J. Martin, 2010 Generation of gravitational waves during early structure formation between cosmic inflation and reheating J. Cosmol. Astropart. Phys. 2010 04 021 [1002.3278]
  • J. Martin, T. Papanikolaou, L. Pinol and V. Vennin, 2020 Metric preheating and radiative decay in single-field inflation J. Cosmol. Astropart. Phys. 2020 05 003 [2002.01820]
  • V.F. Mukhanov and G.V. Chibisov, 1981 Quantum Fluctuations and a Nonsingular Universe, JETP Lett. 33 532
  • H. Kodama and M. Sasaki, 1984 Cosmological Perturbation Theory, https://doi.org/10.1143/PTPS.78.1 Prog. Theor. Phys. Suppl. 78 1
  • V.F. Mukhanov, H.A. Feldman and R.H. Brandenberger, 1992 Theory of cosmological perturbations. Part 1. Classical perturbations. Part 2. Quantum theory of perturbations. Part 3. Extensions, https://doi.org/10.1016/0370-1573(92)90044-Z Phys. Rept. 215 203
  • F. Finelli and R.H. Brandenberger, 1999 Parametric amplification of gravitational fluctuations during reheating, https://doi.org/10.1103/PhysRevLett.82.1362 Phys. Rev. Lett. 82 1362 [hep-ph/9809490]
  • S.M.C.V. Goncalves, 2000 Black hole formation from massive scalar field collapse in the Einstein-de Sitter universe, https://doi.org/10.1103/PhysRevD.62.124006 Phys. Rev. D 62 124006 [gr-qc/0008039]
  • A. Albrecht, P.J. Steinhardt, M.S. Turner and F. Wilczek, 1982 Reheating an Inflationary Universe, https://doi.org/10.1103/PhysRevLett.48.1437 Phys. Rev. Lett. 48 1437
  • L.F. Abbott, E. Farhi and M.B. Wise, 1982 Particle Production in the New Inflationary Cosmology, https://doi.org/10.1016/0370-2693(82)90867-X Phys. Lett. B 117 29
  • L. Kofman, A.D. Linde and A.A. Starobinsky, 1997 Towards the theory of reheating after inflation, https://doi.org/10.1103/PhysRevD.56.3258 Phys. Rev. D 56 3258 [hep-ph/9704452]
  • W.H. Press and P. Schechter, 1974 Formation of galaxies and clusters of galaxies by selfsimilar gravitational condensation, https://doi.org/10.1086/152650 Astrophys. J. 187 425
  • J.A. Peacock and A.F. Heavens, 1990 Alternatives to the Press-Schechter cosmological mass function Mon. Not. Roy. Astron. Soc. 243 133
  • R.G. Bower, 1991 The Evolution of groups of galaxies in the Press-Schechter formalism Mon Not. Roy. Astron. Soc. 248 332
  • J.R. Bond, S. Cole, G. Efstathiou and N. Kaiser, 1991 Excursion set mass functions for hierarchical Gaussian fluctuations, https://doi.org/10.1086/170520 Astrophys. J. 379 440
  • M. Musso and R.K. Sheth, 2014 The importance of stepping up in the excursion set approach, https://doi.org/10.1093/mnras/stt2387 Mon. Not. Roy. Astron. Soc. 438 2683 [1306.0551]
  • F. Nikakhtar, M. Ayromlou, S. Baghram, S. Rahvar, M.R. Rahimi Tabar and R.K. Sheth, 2018 The Excursion set approach: Stratonovich approximation and Cholesky decomposition, https://doi.org/10.1093/mnras/sty1415 Mon. Not. Roy. Astron. Soc. 478 5296 [1802.04207]
  • C.G. Lacey and S. Cole, 1993 Merger rates in hierarchical models of galaxy formation Mon Not. Roy. Astron. Soc. 262 627
  • J. Zhang and L. Hui, 2006 On random walks with a general moving barrier, https://doi.org/10.1086/499802 Astrophys. J. 641 641 [astro-ph/0508384]
  • A. Buonocore, V. Giorno, A. Nobile and L. Ricciardi, 1990 On the two-boundary first-crossing-time problem for diffusion processes, J. Appl. Prob. 27 102
  • S.P. Bhavsar and J.D. Barrow, 1985 First ranked galaxies in groups and clusters, Mon. Not. Roy. Astron. Soc. 213 857
  • A. Moradinezhad Dizgah, G. Franciolini and A. Riotto, 2019 Primordial Black Holes from Broad Spectra: Abundance and Clustering J. Cosmol. Astropart. Phys. 2019 11 001 [1906.08978]
  • J.M. Bardeen, J.R. Bond, N. Kaiser and A.S. Szalay, 1986 The Statistics of Peaks of Gaussian Random Fields, https://doi.org/10.1086/164143 Astrophys. J. 304 15
  • A. Paranjape and R.K. Sheth, 2012 Peaks theory and the excursion set approach, Mon. Not. Roy. Astron. Soc. 426 2789 [1206.3506]
  • A.D. Gow, C.T. Byrnes, P.S. Cole and S. Young, 2021 The power spectrum on small scales: Robust constraints and comparing PBH methodologies J. Cosmol. Astropart. Phys. 2021 02 002 [2008.03289]
  • K. Jedamzik, 1995 The Cloud in cloud problem in the Press-Schechter formalism of hierarchical structure formation, https://doi.org/10.1086/175936 Astrophys. J. 448 1 [astro-ph/9408080]
  • T. Yano, M. Nagashima and N. Gouda, 1996 Limitation of the press-schechter formalism, https://doi.org/10.1086/177488 Astrophys. J. 466 1 [astro-ph/9504073]
  • M. Nagashima, 2001 A solution to the missing link in the Press-Schechter formalism, https://doi.org/10.1086/323490 Astrophys. J. 562 7 [astro-ph/0108480]
  • M.W. Choptuik, 1993 Universality and scaling in gravitational collapse of a massless scalar field, https://doi.org/10.1103/PhysRevLett.70.9 Phys. Rev. Lett. 70 9
  • C.R. Evans and J.S. Coleman, 1994 Observation of critical phenomena and selfsimilarity in the gravitational collapse of radiation fluid, https://doi.org/10.1103/PhysRevLett.72.1782 Phys. Rev. Lett. 72 1782 [gr-qc/9402041]
  • T. Koike, T. Hara and S. Adachi, 1995 Critical behavior in gravitational collapse of radiation fluid: A Renormalization group (linear perturbation) analysis, https://doi.org/10.1103/PhysRevLett.74.5170 Phys. Rev. Lett. 74 5170 [gr-qc/9503007]
  • C. Gundlach, 1999 Critical phenomena in gravitational collapse Living Rev. Rel. 2 4 [gr-qc/0001046]
  • C. Gundlach, 2003 Critical phenomena in gravitational collapse, https://doi.org/10.1016/S0370-1573(02)00560-4 Phys. Rept. 376 339 [gr-qc/0210101]
  • J.C. Niemeyer and K. Jedamzik, 1998 Near-critical gravitational collapse and the initial mass function of primordial black holes, https://doi.org/10.1103/PhysRevLett.80.5481 Phys. Rev. Lett. 80 5481 [astro-ph/9709072]
  • I. Musco, J.C. Miller and A.G. Polnarev, 2009 Primordial black hole formation in the radiative era: Investigation of the critical nature of the collapse, https://doi.org/10.1088/0264-9381/26/23/235001 Class. Quant. Grav. 26 235001 [0811.1452]
  • I. Musco and J.C. Miller, 2013 Primordial black hole formation in the early universe: critical behaviour and self-similarity, https://doi.org/10.1088/0264-9381/30/14/145009 Class. Quant. Grav. 30 145009 [1201.2379]
  • C.T. Byrnes, M. Hindmarsh, S. Young and M.R.S. Hawkins, 2018 Primordial black holes with an accurate QCD equation of state J. Cosmol. Astropart. Phys. 2018 08 041 [1801.06138]
  • I. Musco, 2019 Threshold for primordial black holes: Dependence on the shape of the cosmological perturbations, https://doi.org/10.1103/PhysRevD.100.123524 Phys. Rev. D 100 123524 [1809.02127]
  • S. Young, 2019 The primordial black hole formation criterion re-examined: Parametrisation, timing and the choice of window function, https://doi.org/10.1142/S0218271820300025 Int. J. Mod. Phys. D 29 2030002 [1905.01230]
  • S. Young and M. Musso, 2020 Application of peaks theory to the abundance of primordial black holes J. Cosmol. Astropart. Phys. 2020 11 022 [2001.06469]
  • T. Suyama and S. Yokoyama, 2020 A novel formulation of the primordial black hole mass function, https://doi.org/10.1093/ptep/ptaa011 PTEP 2020 023E03 [1912.04687]
  • C. Germani and R.K. Sheth, 2020 Nonlinear statistics of primordial black holes from Gaussian curvature perturbations, https://doi.org/10.1103/PhysRevD.101.063520 Phys. Rev. D 101 063520 [1912.07072]
  • K.A. Malik and D. Wands, 2009 Cosmological perturbations, https://doi.org/10.1016/j.physrep.2009.03.001 Phys. Rept. 475 1 [0809.4944]
  • D. Wands, K.A. Malik, D.H. Lyth and A.R. Liddle, 2000 A New approach to the evolution of cosmological perturbations on large scales, https://doi.org/10.1103/PhysRevD.62.043527 Phys. Rev. D 62 043527 [astro-ph/0003278]
  • S. Young, C.T. Byrnes and M. Sasaki, 2014 Calculating the mass fraction of primordial black holes J. Cosmol. Astropart. Phys. 2014 07 045 [1405.7023]
  • T. Harada, C.-M. Yoo, T. Nakama and Y. Koga, 2015 Cosmological long-wavelength solutions and primordial black hole formation, https://doi.org/10.1103/PhysRevD.91.084057 Phys. Rev. D 91 084057 [1503.03934]
  • T. Harada, C.-M. Yoo and K. Kohri, 2013 Threshold of primordial black hole formation, https://doi.org/10.1103/PhysRevD.88.084051 Phys. Rev. D 88 084051 [Erratum ibid 89 (2014) 029903] [1309.4201]
  • V.F. Mukhanov, 1985 Gravitational Instability of the Universe Filled with a Scalar Field JETP Lett. 41 493
  • V.F. Mukhanov, 1988 Quantum Theory of Gauge Invariant Cosmological Perturbations Sov. Phys. JETP 67 1297
  • J. Martin, C. Ringeval and V. Vennin, 2014 Encyclopædia Inflationaris, https://doi.org/10.1016/j.dark.2014.01.003 Phys. Dark Univ. 5-675 [1303.3787]
  • D. Polarski and A.A. Starobinsky, 1996 Semiclassicality and decoherence of cosmological perturbations, https://doi.org/10.1088/0264-9381/13/3/006 Class. Quant. Grav. 13 377 [gr-qc/9504030]
  • J. Lesgourgues, D. Polarski and A.A. Starobinsky, 1997 Quantum to classical transition of cosmological perturbations for nonvacuum initial states, https://doi.org/10.1016/S0550-3213(97)00224-1 Nucl. Phys. B 497 479 [gr-qc/9611019]
  • C. Kiefer and D. Polarski, 2009 Why do cosmological perturbations look classical to us?, https://doi.org/10.1166/asl.2009.1023 Adv. Sci. Lett. 2 164 [0810.0087]
  • J. Martin and V. Vennin, 2016 Quantum Discord of Cosmic Inflation: Can we Show that CMB Anisotropies are of Quantum-Mechanical Origin?, https://doi.org/10.1103/PhysRevD.93.023505 Phys. Rev. D 93 023505 [1510.04038]
  • T. Harada, C.-M. Yoo, K. Kohri, K.-i. Nakao and S. Jhingan, 2016 Primordial black hole formation in the matter-dominated phase of the Universe, https://doi.org/10.3847/1538-4357/833/1/61 Astrophys. J. 833 61 [1609.01588]